|
≤678910111213141516
|
|
|
|
|
|
|
|
|
|
|
|
|
1,071,081,091,111,141,181,231,281,331,381,43
|
|
|
|
|
|
|
|
|
|
|
|
МПа
МПа
МПа
1.2
Определение среднего уровня прочности бетона
Средний уровень прочности бетона определяется по
формуле
, МПа (1.2)
где
- требуемая прочность бетона, МПа;
-
коэффициент, принимаемый в зависимости от среднего коэффициента вариации
по таблице
1.2.
Таблица 1.2 Коэффициент, принимаемый
в зависимости от среднего коэффициента вариации
|
≤66-77-88-1010-1212-14≥14
|
|
|
|
|
|
|
|
|
1,031,041,051,071,091,121,15
|
|
|
|
|
|
|
|
Мпа
Мпа
МПа
Определение
в
зависимости от качества материалов по таблице 1.3 и рекомендуемой по прочности
марки цемента по таблице 1.4.
Таблица 1.3 Коэффициент, учитывающий качество
материалов для бетона
|
Характеристика
материалов
|

|
|
|
Высококачественные
|
0,65
|
0,43
|
|
Рядовые
|
0,60
|
0,40
|
|
Пониженного
качества
|
0,55
|
0,37
|
Примечания:
1. К высококачественным материалам относятся
щебень из плотных горных пород высокой прочности, песок оптимальной крупности и
портландцемент высокой активности без добавок или с минимальным количеством
добавок, заполнители должны быть чистыми и фракционированными.
2. К рядовым материалам относятся
заполнители среднего качества, в том числе гравий, портландцемент средней
активности или высокомарочный шлакопортландцемент, отсев.
. К материалам пониженного качества
относятся заполнители низкой прочности, мелкие пески, цемент низкой активности.
Таблица 1.4 Рекомендуемые марки цемента для
бетонов по СНиП 5.01.23-83
|
Класс
бетона
|
B7,5
|
B10
|
B15
|
B20
|
B22,5
|
B25
|
B30
|
B35
|
B40
|
B50
|
|
Марка
цемента
|
Рекомендуемая
|
300
|
400
|
400
|
400
|
400
|
400
|
500
|
550
|
600
|
600
|
|
Допустимая
|
300
|
400
|
300
500
|
300
500
|
500
|
500
|
500
600
|
500
600
|
500
550
|
550
|
, (1.3)
где
- коэффициент, определяемый по
таблице 1.3;
- марка цемента, определяемая по
таблице 1.4, МПа;
- средняя прочность бетона, МПа.
По условию задания, для бетона B20
принимаем марку прочности 400 (
МПа), качество заполнителей -
высококачественные с коэффициентом
.
Определение по таблице 1.5 расхода воды в
зависимости от удобоукладываемости смеси и наибольшей крупности заполнителя.
Для бетонной смеси
см,
мм, расход
воды
л.
Таблица 1.5 Ориентировочный расход
воды на 1 м3 бетонной смеси на плотном заполнителе при температуре
смеси
|
Марка
по удобоукладываемой
|
Жёсткость
по ГОСТ 10181.1-81, сек.
|
Подвижность
, смРасход
воды, л/м3 при крупности, мм
|
|
|
|
|
Гравий
|
Щебень
|
|
|
|
10
|
20
|
40
|
70
|
10
|
20
|
40
|
70
|
|
1
|
2
|
3
|
4
|
5
|
6
|
7
|
8
|
9
|
10
|
11
|
|
Ж4
|
31
и более
|
|
150
|
135
|
125
|
120
|
160
|
150
|
135
|
130
|
|
Ж3
|
21-30
|
|
160
|
145
|
130
|
125
|
170
|
160
|
145
|
140
|
|
Ж2
|
11-20
|
|
165
|
150
|
135
|
130
|
175
|
165
|
150
|
150
|
|
Ж1
|
5-10
|
|
175
|
160
|
145
|
140
|
185
|
175
|
160
|
155
|
|
П1
|
1-4
|
4
и менее
|
190
|
175
|
160
|
155
|
200
|
190
|
175
|
170
|
|
П2
|
|
5-9
|
200
|
185
|
170
|
165
|
210
|
200
|
185
|
180
|
|
П3
|
|
10-15
|
215
|
205
|
190
|
180
|
225
|
215
|
200
|
190
|
|
П4
|
|
16
и более
|
225
|
220
|
205
|
195
|
235
|
230
|
215
|
205
|
|
|
|
|
|
|
|
|
|
|
|
|
Окончательный расход воды
, л
рассчитываем, вводя поправку на водопотребность песка [5]:
, (1.4)
где
- расход воды, определяемый по
таблице 1.5;
- водопотребность песка (рисунок
1.1).
Формула учитывает изменение расхода
воды при использовании песков с водопотребностью, отличной от 7% (поправка на
расход воды в бетонной смеси составляет 3…5 л на каждый процент изменения
водопотребности песка [7]).

Рисунок 1.1. Водопотребность песка в зависимости
от модуля крупности
л
Определение расхода цемента по формуле (1.5):
, кг (1.5)
кг
кг
кг
Определение пустотности гравия по
формуле (1.6):
, (1.6)
где
- плотность гравия насыпная, кг/см3;
- плотность гравия истинная, кг/см3.
Определение по таблице 1.6
коэффициента раздвижки зёрен
в зависимости от
и расхода
цемента.
Таблица 1.6 Значения коэффициента
раздвижки зёрен
для
подвижных бетонных смесей (водопотребность песка 7%)
|
Расход
цемента, кг/м3
|
При
|
|
0,3
|
0,4
|
0,5
|
0,6
|
0,7
|
0,8
|
|
250
|
-
|
-
|
-
|
1,26
|
1,32
|
1,38
|
|
300
|
-
|
-
|
1,30
|
1,36
|
1,42
|
-
|
|
350
|
-
|
1,30
|
1,38
|
1,44
|
-
|
-
|
|
400
|
1,31
|
1,40
|
1,46
|
-
|
-
|
-
|
|
500
|
1,44
|
1,52
|
1,56
|
-
|
-
|
-
|
|
600
|
1,52
|
1,56
|
-
|
-
|
-
|
-
|
Примечания:
1. При других
и
коэффициент
находят
интерполяцией.
. Если водопотребность
используемого мелкого песка 7%, коэффициент
уменьшается на 0,03 на каждый
процент увеличения водопотребности песка; если водопотребность крупного песка
менее 7%, коэффициент
увеличивается
на 0,03 на каждый процент уменьшения водопотребности песка.
І
,
кг
1. В таблице 1.6 есть столбец с
и
.
. Для расхода цемента -
строки
кг и
кг.
. Определяем
для
и
кг
.
. Определяем
для
и
кг
.
. Определяем
для
кг между
и
.
Так как применяется мелкий песок с
, то
коэффициент
уменьшаем
на 0,03на каждый процент уменьшения Вп:
.
ІІ
,
кг
. В таблице 1.6 есть столбец
с
и
.
. Для расхода цемента -
строки
кг и
кг.
. Определяем
для
и
кг
.
. Определяем
для
и
кг
.
. Определяем
для
кг между
и
.
.
ІІІ
,
кг
. В таблице 1.6 есть столбец
с
и
.
. Для расхода цемента -
строки
кг и
кг.
. Определяем
для
и
кг
.
. Определяем
для
и
кг
.
. Определяем
для
кг между
и
.
.
Определение расхода гравия по
формуле (1.7):
, кг/м3 (1.7)
где 
- пустотность гравия;
- плотность гравия насыпная, кг/см3;
- плотность гравия истинная, кг/см3.
кг/м3
кг/м3
кг/м3
Определение расхода песка по формуле
(1.8):
, кг/м3 (1.8)
кг/м3
кг/м3
кг/м3
Определение расчётной плотности бетонной смеси.
, кг/м3 (1.9)
кг/м3
кг/м3
кг/м3
Определение расхода материалов на замес
бетоносмесителя.
Определяем коэффициент выхода бетонной смеси:
(1.10)
Для бетоносмесителя вместимостью 500 л выход
составляет
л
л
л
Определение состава бетона с учётом
влажности заполнителей.
І Определяем содержание воды в
песке:
При влажности песка 4%
л
л
л
ІІ Определяем содержание воды в гравии:
При влажности гравия 2%
л
л
Для сохранения В/Ц уменьшаем расход
воды:
кг;
кг;
кг;
кг;
кг;
кг;
кг;
кг;
кг;
л;
л;
л.
Определение расхода материалов на один замес
бетоносмесителя объёмом 500 л.
|
Расход
материала, кг/м3
|
Выход
из б/см 500 л, м3
|
Количество
материала, кг
|
Расход
материала, кг/м3
|
Выход
из б/см 500 л, м3
|
Количество
материала, кг
|
|
Сухие
материалы
|
Влажные
материалы
|
|
Ц1
|
303,08
|
0,3175
|
96,23
|
303,08
|
0,3175
|
96,23
|
|
Г1
|
1152,07
|
0,3175
|
365,78
|
1175,11
|
0,3175
|
373,10
|
|
П1
|
689,40
|
0,3175
|
218,88
|
716,98
|
0,3175
|
227,64
|
|
В1
|
197
|
0,3175
|
62,55
|
146,38
|
0,3175
|
46,47
|
|
|
|
743,44
|
|
|
743,44
|
|
Ц2
|
322,95
|
0,3165
|
102,21
|
322,95
|
0,3165
|
102,21
|
|
Г2
|
1157,41
|
0,3165
|
366,32
|
1180,56
|
0,3165
|
373,65
|
|
П2
|
667,13
|
0,3165
|
211,15
|
693,82
|
0,3165
|
219,59
|
|
В2
|
197
|
0,3165
|
62,35
|
147,16
|
0,3165
|
46,58
|
|
|
|
742,03
|
|
|
742,03
|
|
Ц3
|
345,61
|
0,316
|
109,21
|
345,61
|
0,316
|
109,21
|
|
Г3
|
1119,82
|
0,316
|
353,86
|
1142,22
|
0,316
|
360,94
|
|
П3
|
685,93
|
0,316
|
216,75
|
713,37
|
0,316
|
225,42
|
|
В3
|
197
|
0,316
|
62,25
|
147,16
|
0,316
|
46,50
|
|
|
|
742,07
|
|
|
742,07
|
2.
Графики зависимости коэффициента вариации прочности бетона проектируемого
состава Vп от требуемой прочности бетона Rт и расхода
цемента Ц
Рисунок 2.1. График зависимости
коэффициента вариации прочности бетона
от требуемой прочности бетона
Рисунок 2.2. График зависимости
коэффициента вариации прочности бетона
от расхода цемента
3.
Структура бетонной смеси и бетона проектируемого состава
Структура бетона образуется в результате
затвердевания (схватывания) бетонной смеси и последующего твердения бетона.
Структура бетона определяет его свойства.
После приготовления и уплотнения бетонной смеси
в результате гидратации цемента происходит медленное упрочнение
свежеуплотнённой смеси, однако какое-то время она ещё сохраняет способность к
значительным пластическим деформациям. После образования значительного
количества новообразований их частицы сближаются и начинается переход
коагуляционной структуры в кристаллизационную с резким возрастанием прочности
[2]. Бетонная смесь затвердевает, возникает твёрдая структура бетона.
Продолжительность периода формирования структуры
бетона и её свойства зависят от состава бетона и применяемых материалов.
Определяющее значение имеют вид цемента и химические добавки. Применение
быстротвердеющих цементов, добавок-ускорителей твердения, уменьшение
водоцементного отношения и повышение жёсткости или температуры бетонной смеси
ускоряют формирование структуры бетона. Это имеет важное значение при заводском
производстве железобетонных изделий. Схватывание бетонной смеси ускоряется
также при увеличении содержания заполнителя и уменьшении его крупности.
В процессе изготовления и твердения бетона можно
выделить два периода [10], когда материал характеризуется различными свойствами
и состоянием: 1) до схватывания цемента и превращения бетона в твёрдое тело -
бетонная смесь и 2) период твердения и эксплуатации материала, обладающего
всеми свойствами твёрдого тела - бетон.
Бетонную смесь, представляющую собой сложную
многокомпонентную полидисперсную систему, получают при затворении водой смеси
цемента с заполнителями. В неё также могут входить специальные добавки и
вовлечённый в процессе приготовления смеси воздух. Бетонную смесь получают и
при затворении смесь заполняют органическими и другими жидкими связующими [10].
Вследствие наличия внутренних сил взаимодействия
между частицами твёрдой фазы и воды бетонная смесь приобретает связанность и
определённые свойства, характерные для структурированной вязкой жидкости. По
своим свойствам бетонные смеси занимают промежуточное положение между вязкими
жидкостями и твёрдыми телами. От истинной вязкой жидкости они отличаются
наличием некоторой прочности структуры или структурной вязкостью, возникающей
благодаря силам вязкого трения. От твёрдых тел - отсутствием достаточной
упругости формы и способности к значительным необратимым пластическим
деформациям течения даже при незначительных нагрузках.
Образовавшаяся после затвердевания бетонной
смеси структура тяжёлого бетона [2] представляет собой цементный камень с
втопленными в него зёрнами заполнителя, имеющий множество пор и пустот разных
размеров и происхождения. В бетоне различают макроструктуру, представленную
системой щебень-цемент-песчаный раствор; мезоструктуру, показывающую строение
системы песок-цементный камень, и микроструктуру - тонкое строение цементного
камня и заполнителя.
Макро- и мезоструктуру бетона можно разделить на
три вида [2] в зависимости от величины раздвижки зёрен заполнителя цементным
камнем; первый - зёрна заполнителя значительно раздвинуты цементным камнем и
как бы «плавают» в нём; второй - цементный камень заполняет поры между зёрнами
заполнителя и лишь незначительно раздвигает их, покрывая тонким слоем; третий -
зёрна заполнителя контактируют друг с другом через тонкую прослойку цементного
камня, который лишь частично заполняет пустоты между его зёрнами. Наиболее
оптимальной является структура второго вида, которая обеспечивает высокую
плотность и заданную прочность бетона при минимальном расходе цемента.
Микроструктура цементного камня в бетоне состоит
из новообразований и непрореагировавших зёрен цемента и микропор различных
размеров. С увеличением возраста бетона его микроструктура в результате
продолжительной гидратации цемента изменяется: возрастает количество
новообразований цементного камня, уменьшается его пористость, изменяется
распределение пор по размерам [2]. Изменение структуры бетона сопровождается
изменением его свойств: бетон становится прочнее, он твердеет.
Для практических целей структуру бетонной смеси
удобно рассматривать как систему, состоящую из двух компонентов: цементного
теста и заполнителя [10]. Основным структурообразовательным компонентом
бетонной смеси является цементное тесто, в состав которого входят цемент, вода,
в ряде случаев тонкомолотые минеральные добавки или золы. Частицы цемента и
тонкомолотых добавок отличаются маленькими размерами и большой удельной
поверхностью, в результате чего цементное тесто обладает высокоразвитой
поверхностью раздела твёрдое тело-жид-кость и в нём сильнее проявляются силы
адсорбционного, молекулярного и капиллярного взаимодействия, придающие системе
связанность и подвижность.
Структура цементного теста с момента затворения
водой находится в постоянных изменениях. Эти изменения вызываются как внешними
силами, действующими при перемешивании и уплотнении бетонной смеси, так и
внутренними физико-хими-ческими процессами, в первую очередь гидратацией
цемента. Внешние силы, как правило, способствуют диспергации цементных зёрен,
разрушению флокул, лучшему распределению воды на поверхности цемента и тем
самым повышают подвижность бетонной смеси. При гидратации цемента образуются
новообразования с высокой удельной поверхностью. На поверхности цементных зёрен
появляется переходный слой, активно взаимодействующий с водой, удельная
поверхность твёрдой фазы увеличивается. В результате возрастает количество
связанной воды, а подвижность бетонной смеси уменьшается.
Вода в бетонной смеси
находится в различных состояниях (таблица 3.1). Небольшая часть воды вступает в
химическое взаимодействие с цементом и находится в химически связанном
состоянии. Относительное количество этой воды постепенно увеличивается, однако
к моменту схватывания не превышает 5%. Другая часть воды под действием
адсорбционных сил оказывается физико-химически связанной на поверхности твёрдой
фазы. Количество её также меняется процессе гидратации цемента, которая обычно
сопровождается увеличением удельной поверхности твёрдой фазы. В
свежеприготовленном цементном тесте относительное содержание этой воды
составляет около 3-5%, увеличивается к моменту схватывания до 25% от общего
содержания воды.
Таблица 3.1 Вода в бетонной смеси
|
Характер
связи
|
Условия
и причины образования связи
|
Ориентировочное
относительное содержание воды, % от общего количества воды
|
|
|
В
свежеприготовленной смеси
|
В
период схватывания цемента
|
|
Химическая
(в точном количественном соотношении)
|
Гидратация
и кристаллизация из раствора
|
1…2
|
4…5
|
|
Физико-химическая,
адсорбционная
|
Адсорбция
в зоне действия молекулярных силовых полей твёрдой фазы
|
3…5
|
20…25
|
|
Механическая,
структурная
|
Захват
воды в тонкие капилляры, поры, флокулы
|
93…95
|
70…75
|
Основное количество воды в цементном тесте
находится в межзерновом пространстве, размеры отдельных пор и полостей которого
могут изменяться от 1 до 50 мкм и более, что в десятки и сотни раз больше, чем
толщина даже слабо связанных сольватных плёнок воды. Вследствие действия
капиллярных сил и образования флокул и геля в процессе гидратации цемента вода
в межзерновом пространстве механически связана со структурой цементного камня.
По образному выражению Н. А. Мощанского, это вода, «запутанная в структуре».
Часто её также называют свободной, подразумевая, что она не связана химически и
не испытывает воздействия молекулярных сил твёрдой фазы. Относительное количество
свободной воды от общего объёма воды составляет около 95% сразу после
приготовления цементного теста и уменьшается до 65…70% к моменту схватывания.
Свободная вода оказывает заметное влияние на подвижность цементного теста.
Введение заполнителей в цементное тесто
существенно влияет на свойства материала. Поверхность заполнителей оказывает
воздействие на прилегающие слои цементного теста. За счёт адсорбционных,
молекулярных и капиллярных сил эти слои теряют подвижность подобно тому
явлению, которое имеет место при адсорбции воды поверхностью твёрдого тела.
Однако при этом взаимодействие охватывает мельчайшие частицы цемента и зона
воздействия заполнителя на цементное тесто увеличивается (рисунок 3.1). Толщина
зоны воздействия зависит от свойств заполнителей и цемента и в среднем
составляет около 10…15 мкм. Влияние заполнителя возрастает с увеличением его
содержания или удельной поверхности.
В зависимости от соотношения между цементным
тестом и заполнителем можно выделить три основных структуры бетонной смеси
(рисунок 3.2).
В первой структуре зёрна заполнителя раздвинуты
на значительное расстояние и практически между собой не взаимодействуют; они
оказывают влияние лишь на прилегающую зону цементного теста, а суммарное
действие их прямо пропорционально содержанию зёрен заполнителя и их удельной
поверхности.
Во второй структуре цементного теста меньше и
оно лишь заполняет поры между зёрнами заполнителя с незначительной раздвижкой
самих зёрен слоем обмазки, толщина которой в местах контакта зёрен заполнителя равна
1…3 средним диаметрам частиц цемента. В этих условиях зоны воздействия
отдельных зёрен заполнителя начинают перекрывать друг друга - возникает трение
между зёрнами заполнителя. Для придания смеси той же подвижности, что и в
структуре первого типа, требуется более интенсивное воздействие или увеличение
подвижности цементного теста за счёт изменения водоцементного отношения в
большей мере, чем это было свойственно структуре первого типа.
Рисунок 3.1. Влияние заполнителя на воду (а) и
цементное тесто (б)
Рисунок 3.2. Типы структур бетонной смеси и
влияние их на водопотребность равноподвижной смеси: І - смесь с плавающим
заполнителем; ІІ - смесь с плотной упаковкой заполнителей; ІІІ - крупнопористая
смесь с недостатком цементного теста
На рисунке 3.3 приведены результаты одного из
опытов, показывающие, насколько требуется увеличить водоцементное отношение для
получения раствора одинаковой подвижности (на встряхивающем столике) при повышении
содержания песка. Чётко виден перелом кривых, указывающий на переход от одного
типа структуры к другому, причём при применении мелкого песка граница перехода
сдвинута в зону составов с большим расходом цемента, что необходимо для
заполнения увеличившегося объёма пустот и обмазки большей суммарной поверхности
зёрен мелкого песка.
Рисунок 3.3. Изменения
,
необходимые для получения равноподвижных цементно-песчаных смесей при различном
соотношении цемента и песка: 1 - на песке средней крупности; 2 - на мелком
песке
В третьей структуре бетонной смеси цементного
теста мало, оно только обмазывает зёрна заполнителя слоем небольшой толщины, а
поры между зёрнами заполнителя лишь частично.
Каждая структура имеет свои закономерности,
определяющие её свойства и влияющие на них различные факторы [10]. Для
структуры первого типа решающее значение имеют свойства цемента; реологические
свойства определяются в соответствии с зависимостью, характерной для вязких
жидкостей. В структуре второго типа возрастает роль заполнителя и трения между
его зёрнами. Особенно сильно заполнитель влияет на свойства структуры третьего
типа, и реологические свойства в этом случае должны описываться с учётом сил внутреннего
(сухого) трения.
Переход от одного типа структуры к другому с
увеличением содержания заполнителя совершается постепенно. Вначале переход
намечается в отдельных малых объёмах и постепенно охватывает весь объём
бетонной смеси.
При переходе от второго типа структуры к
третьему сначала (при небольшой нехватке цементного теста для заполнения пустот
в заполнителе) при перемешивании и укладке в бетонную смесь вовлекается большое
количество мельчайших пузырьков воздуха, который как бы увеличивает объём цементного
теста и тем самым способствует заполнению межзернового объёма пустот в
заполнителе. Такую структуру правильнее относить ко второму типу. При
дальнейшем уменьшении содержания цементного теста увеличивается объём
вовлекаемого воздуха и размер пузырьков воздуха, возникают сплошные большие
разрывы и неплотности. Такая структура уже должна относиться к третьему типу.
Вследствие постепенного характера изменения
структуры бетонной смеси границы между структурами условно могут сдвигаться при
изменении свойств цемента и заполнителя, подвижности бетонной смеси, методов
формования и других факторов. Обычно бетонная смесь относится ко второму типу
структуры. Подобная структура отличается высокой эффективностью и позволяет
получить нерасслаиваемую бетонную смесь заданной подвижности при минимальном
расходе цемента. Примером смеси, имеющей структуру первого типа, является
цементно-песчаная смесь с повышенным расходом вяжущего, применяемая для
изготовления армоцементных конструкций. Структуру третьего типа имеют беспесчаные
бетонные смеси (для крупнопористых бетонов) и некоторые тощие составы
строительных растворов.
Структура бетонной смеси, образовавшаяся в
процессе её приготовления и укладки, впоследствии до момента затвердевания
может претерпевать изменения, вызывающие гидратацию цемента и осаждение твёрдых
частиц по объёму бетонной смеси, называется расслоением или седигментацией.
При этом можно различить два процесса: макро- и микрорасслоение: в первом
происходит осаждение крупных тяжёлых зёрен, в результате чего несколько
уплотняется смесь в нижних частях формы или конструкции, а лишняя вода
отжимается наверх или скапливается под крупными зёрнами заполнителя; во втором
подобное явление происходит с цементными зёрнами (вследствие их малой величины)
с меньшей скоростью, причём оно обычно развивается в порах между заполнителем.
При применении лёгких заполнителей может
наблюдаться обратная картина: зёрна заполнителя всплывают, а раствор
скапливается в нижней части формы или изделия. При этом чем заметнее разница в
плотностях отдельных видов твёрдых зёрен и жидкости, тем больше вероятность
расслоения бетонной смеси.
Расслоение может возникать и в процессе укладки
и уплотнения бетонной смеси. Длительное вибрирование, вызывая разжижение смеси,
в некоторых случаях (в подвижных смесях) будет способствовать её расслоению.
Склонность к расслоению зависит и от структуры бетонной смеси: большую
склонность проявляют смеси первого тип структуры, меньшую - смеси, имеющие
оптимальную структуру второго типа и содержащие достаточное количество
мельчайших твёрдых частиц (цемента и при необходимости минеральных
наполнителей). Склонность к расслоению увеличивается с повышением расхода воды
и водоцементного отношения (в очень подвижных и литых смесях). Расслоение,
вызываемое осаждением крупных частиц и выделением воды на верхней поверхности
уложенного бетона, часто может наблюдаться визуально.
Расслоение, вызываемое постепенным
осаждением цементных зёрен, обычно заметить трудно. При правильном подборе
состава бетона оно не должно иметь место. И. Н. Ахвердов установил, что имеется
определённый диапазон водоцементного отношения, при которых расслоения
цементного теста не происходит. Для портландцемента это
НГ, где НГ -
нормальная густота цементного теста. Нижнее значение В/Ц определяет границу,
выше которой образуется связанное цементное тесто, верхнее значение -
водоудерживающую способность цементного теста. При вибрации верхнее значение
,
обеспечивающее достаточную водоудерживающую способность цементного теста,
уменьшается до 1,35…1,4. При большем
начинается отделение лишней воды.
Значение предельного
зависит от
состава цемента, используемых добавок и других факторов.
Доброкачественная бетонная смесь, то
есть сохранённая ею слитность структуры без расслоения, определяется на основе
, которое
должно находиться в пределах, указанных выше для цементного теста.
Склонность к расслоению можно
уменьшить, применяя химические (гидрофобные вещества стабилизирующие и
водоудерживающие добавки, например, этилцеллюлозу) или минеральные добавки с
развитой удельной поверхностью (трепел, золы, микрокремнезём, бетонитовые глины
и др.).
Рассмотренные в курсовой работе
данные проектирования: бетонная смесь - подвижная, с высококачественными
заполнителями и имеет плотную макроструктуру, то есть относится ко второму типу
структур (рисунок 3.2.ІІ).
4.
Температурные деформации бетона
Бетон, как и другие материалы,
расширяется при нагревании и сжимается при охлаждении. В среднем коэффициент
линейного расширения бетона составляет
. Однако в действительности он
колеблется в зависимости от состава бетона и свойств заполнителя и вяжущего
[10]. С увеличением содержания цементного камня коэффициент линейного
расширения
увеличивается.
Например, в одном из опытов раствор состава 1:3 имел
, а цементный
камень −
.
Определённое влияние на коэффициент линейного расширения оказывает вид
заполнителя. Например, бетон на граните в опытах показал
, бетон на
керамзите −
, бетон на
известняке −
.
Зависимость коэффициента линейного расширения бетона
от
коэффициента линейного расширения заполнителя
приведена на рисунке 4.1.
Рисунок 4.1. Зависимость
коэффициента
линейного
расширения бетона от коэффициента линейного расширения заполнителя
: 1 - водное
твердение; 2 − воздушное твердение
Изменение температуры в пределах
мало влияет
на коэффициент температурного расширения сухого бетона, если при этом в бетоне
отсутствуют физико-химические превращения. При изменении температуры влажного
бетона температурные деформации складываются с влажностными усадками или
расширением. При замерзании влажного бетона существенное влияние на его
деформации оказывает образование льда в порах и капиллярах материала. В ряде
случаев вместо деформаций сжатия при остывании бетона ниже
могут
наблюдаться деформации расширения, вызываемые давлением образующегося льда.
При нагревании температурная
деформация бетона одновременно состоит из двух видов деформаций [9]: обратимая
деформация - температурное расширение и необратимая - температурная усадка.
Известная часть температурной деформации бетона является необратимой.
Накапливающиеся при циклическом воздействии знакопеременные температурные
остаточные деформации могут в несколько раз превышать предельную растяжимость
бетона. Ко второй части температурной деформации относим соответственно
деформацию полос бетона между трещинами.
Температурные деформации
железобетонных элементов [9] не равны температурным деформациям бетона или
арматуры, а являются функциями этих деформаций и зависят от степени армирования
и вида арматуры и бетона, температуры и влажности бетона. Сначала рассмотрим
влияние на деформации арматуры температурных деформаций бетона при частичном
нарушении сцепления арматуры с бетоном. Это влияние проявляется двояко, из-за
чего предварительно деформация бетона разделена на две части. Первая часть
связана с расширением бетона по нормали к трещинам. Она влияет непосредственно
на раскрытие трещин и через этот факт - на смещение арматуры относительно
берега трещины.
С целью изучения влияния степени
понижения температуры и увлажнения материала [9] на развитие температурных
деформаций бетона при низких отрицательных температурах, были исследованы
температурные деформации бетона в автоматической термокамере МПС-500,
обеспечивающей температуру от 100 до
. Температура в камере
контролировалась по показаниям термометров сопротивления с автоматической
непрерывной записью её и по показаниям ртутного термометра, дополнительно
установленного в рабочем объёме камеры. Температура внутри образцов
определялась по показаниям термопар, заложенных при формовании.
На предел огнестойкости изгибаемых
элементов в условиях ограниченных продольных деформаций [9] существенное
влияние оказывают температурные деформации бетона. Чем больше относительная
величина температурных деформаций, то есть чем меньше усадка бетона, тем
быстрее достигает своего максимального значения продольное усилие сжатия. Для
статических расчётов необходимо иметь данные об изменении механических,
упругопластических свойств и температурных деформациях бетона и арматуры при
воздействии высоких температур и нагрузок, а также опытные предельные состояния
железобетонных элементов при стандартном пожаре, которые можно получить только
по результатам испытаний.
Деформации бетона, возникающие под
влиянием изменения температуры, зависят от коэффициента линейных температурных
деформаций бетона. Этот коэффициент зависит от вида цемента, заполнителя,
влажностного состояния бетона и может изменяться в пределах 30%. Температурные
деформации расширения пропаренного бетона и особенности бетона автоклавного
твердения при одинаковой влажности и тех же составляющих значительно
превосходят температурные деформации бетона нормального твердения.
При огневом воздействии происходят
дополнительные потери предварительного напряжения от температурной усадки и
ползучести бетона на уровне продольной арматуры, от релаксации напряжений в
арматуре, разности температурных деформаций бетона и арматуры и снижения модуля
упругости арматуры при нагреве.
Для предварительно напряжённых
конструкций немаловажно сохранить предварительное напряжение в арматуре во
время и после пожара, потеря которого происходит в основном за счёт усадки и
ползучести бетона, релаксации напряжения в арматуре и разности температурных
деформаций бетона и арматуры. При температуре от 450 до
коэффициент
температурного расширения уменьшается, с 550 до
появляется огневая усадка
керамзитоперлитобетона, вызванная дегидратацией гидрата окиси кальция и усадкой
перлита при этих температурах. Коэффициент усадки керамзитоперлитобетона
классов B25 и B30 достигает своего максимального значения при
.
Для расчёта железобетонных
сооружений, подвергающихся действию повышенных технологических температур с
внутренней стороны и отрицательных температур с наружной, необходима также
информация о температурных деформациях бетона при действии отрицательных
температур. Причём температрные деформации следует определять для бетона,
подвергавшегося нагреву, или без нагрева, но в процессе эксплуатации не
подвергавшегося интенсивному водонасыщению. Г. И. Горчаковым, В. М. Москвиным и
рядом других авторов установлено, что для свободно высыхающего старого бетона,
не подвергавшегося увлажнению и предварительному нагреву, линейные
температурные деформации бетона при замораживании до
монотонно
возрастают с понижением температуры.
В виде пара вода перемещается под
влиянием градиента упругости паров [9]. Известно, что упругость пара у
переохлаждённой воды выше, чем у льда, и с понижением температуры этот градиент
возрастает. Поэтому процесс перегонки пара ко льду, находящемуся в крупных
порах, от переохлаждённой воды в мелких порах, с понижением температуры должен
ускоряться не исключая возможной миграции воды из твёрдой фазы (льда) от более
мелких к более крупным кристаллам льда посредством сублимации по закону
Томсона. Также путём плавления части льда в местах повышенного давления,
отжатия и повторного замораживания образовавшейся воды в местах пониженного
давления. Миграция воды из мелких пор и замерзанием её в более крупных порах
при замораживании объясняется характером кривых температурных деформаций бетона
и цементного камня при оттаивании.
Пары воды и воздух в бетоне [11] при
нагреве движутся в основном вверх, в сторону открытой поверхности изделия, так как
здесь, особенно у верхних слоёв, не ограниченных формой, требуется наименьшее
усилие для их раздвижки и разрыхления. Поэтому визуально заметно вспучивание
при нагреве и слоистая структура материала наблюдается только в верхних слоях.
Для внутренних же зон вышележащие слои играют роль пригруза и препятствуют в
какой-то степени развитию деструктивных явлений, которые можно было бы
наблюдать визуально.
Изучение температурных деформаций
бетона [11] при различных способах тепловой обработки показало, что, остаточные
расширения, характеризующие степень структурных нарушений, зависят от скорости
нагрева и начальной прочности, достигнутой бетоном до наложения теплового
воздействия. Установлено, что бетон, имеющий определённую начальную прочность,
приобретает в процессе термообработки только деформации, соответствующие
температурному расширению затвердевшего материала. Объясняется это тем, что
такой бетон воспринимает возникающие в результате нагрева внутренние
напряжения, снижая тем самым их деструктивное воздействие. Исходя из этих
представлений С. А. Мироновым и Л. А. Малининой введено понятие о «критической»
прочности - минимальной прочности бетона, при которой наложенное тепловое
воздействие не приводит к структурным нарушениям. Расширение бетона с такой прочностью
практически равно температурному расширению затвердевшего бетона того же
состава.
Деформации температурной усадки и
ползучести бетона при нагреве определяются опытным путём в лаборатории.
Результаты определения деформаций температурной усадки [3] при кратковременном
и длительном нагреве оформляются в виде диаграммы, на которой по оси абсцисс
откладывается температура, а по оси ординат - величина температурных деформаций
при первом, втором и третьем нагреве и охлаждении. При первом нагреве
вычисляется температурная деформация бетона
, при втором и третьем нагреве -
деформация температурного расширения бетона
. Разность деформации температурного
расширения
и
температурной деформации
представляет
деформацию температурной усадки
при кратковременной и длительной
нагрузках
. (4.1)
Линейная относительная температурная
деформация
-
относительное изменение линейных размеров образца, вызванная совместным
действием температурной усадки бетона.
Линейная относительная деформация
температурного расширения
−
относительное увеличение размера образца, вызванное температурным расширением
бетона при нагрузке.
Линейная относительная температурная
деформация усадки
−
относительное уменьшение размеров ненагруженного образца, вызванное испарением
из него влаги при нагрузке.
Деструктивные процессы при
замораживании и постепенное разрушение разнообразны [8]. При нагревании и
охлаждении компоненты бетона - цементный камень, заполнители и вода в его порах
изменяют объём в соответствии с присущими каждому материалу коэффициентами
температурных деформаций. Различие в этих коэффициентах может служить одной из
причин появления напряжения в зонах контакта материалов. Однако основной
причиной разрушения бетона является давление льда, образующегося при фазовом
переходе воды в лёд и с увеличением объёма до 9% или гидравлическом давлении
воды, отжимаемой льдом. На морозостойкость бетона оказывает влияние степень его
водонасыщения, минеральный состав цемента, от которого зависит структура
цементного камня и его перового пространства, вид и крупность зёрен
заполнителя, водоцементное отношение, введение пластифицирующих
воздухововлекающих добавок.
Для железобетонных пролётных
строений мостов характерны два типичных случая замораживания бетона. К первому
случаю относится разрушение бетона на горизонтальных и наклонных поверхностях
поясов балок, подверженных увлажнению атмосферными осадками. Накапливавшаяся
влага может задерживаться на бетонной поверхности и проникать внутрь пояса
железобетонной балки. Ко второму случаю относятся вертикальные поверхности
стенок и поясов при эпизодическом увлажнении атмосферными осадками и
замораживании на воздухе. Длительная служба железобетонных конструкций в
условиях агрессивного воздействия природной среды может быть обеспечена
коррозионной стойкостью, как бетона, так и арматуры.
Температурные деформации бетона
близки к температурным деформациям стали, что обеспечивает их надёжную
совместную работу в железобетоне при различных температурах окружающей среды.
5.
Введение в бетон модифицирующей добавки, повышающей подвижность бетонной смеси
Пластификаторы бетонных смесей давно и прочно
завоевали ведущее место среди множества добавок, применяемых в технологии
бетона [1]. Основное назначение пластификаторов - увеличение подвижности или
снижение жёсткости бетонной смеси - её разжижение, что обеспечивает уменьшение
энерго- и трудозатрат при укладке бетона в монолитные строительные конструкции,
сборные железобетонные изделия и способствует интенсификации технологического
цикла, повышению качества продукции. С другой стороны, применение
пластификаторов позволяет, за счёт снижения водоцементного отношения, при
сохранении заданной подвижности или жёсткости бетонной смеси, повышать в
значительной степени прочность и долговечность изделий, в частности на рядовых
цементах.
Органические поверхностно-активные вещества
(ПАВ), используемые в качестве пластификаторов, успешно вошли в практику
строительства и нашли в настоящее время весьма широкое применение.
В зависимости от пластифицирующего эффекта
добавки подразделяют на следующие виды [4]:
− суперпластификаторы (І группа
пластифицирующих добавок) повышают подвижность бетонной смеси от П1 до П5 (от
2…4 см до 21…25 см) без снижения прочности бетона во все сроки испытания. К ним
относятся пластификаторы отечественного производства: разжижитель С-3,
разжижитель СМФ, дофен ДФ, суперпластификатор 10-03, суперпластификатор НКНС
40-03, меламинформальдегидная анионоактивная смола марки МФ-АР, а также
суперпластификаторы зарубежных производителей: Агипласт (Agiplast), Изола ФМ-86
(Izola FM-86), Конпласт М1 (Conplast M1), Кормикс (Cormix), Кризо Флюид (Chriso
fluid), Ломар Д (Lomar D), Мелмент (Melment L10, Melment F), Майти (Mighty),
Зика Вискорит-3 (Sika ViskoCrete-3), Аддимент ФМ 62 (Addiment FM 62) и др.;
− сильнопластифицирующие (ІІ группа
пластифицирующих добавок), повышающие подвижность смеси от П1 до П4 (от 2…4 см
до 16…20 см) без снижения прочности бетона. К ним относятся пластификаторы
отечественного производства: аплассан АПЛ, лингопан Б-3, лингосульфонат
технический модифицированный ЛСТМ-2, модифицированные лингосульфонаты ЛТМ
(ХДСК-1, ХДСК-3, МТС-1, НИЛ-20, НИЛ-21, КБМ, ЛСТ-МЩ-1 и др.), зарубежных
производителей: Бетокем ЛП (Betokem LP), ВРДА (WRDA), Пластимент БВ40
(Plastiment BV40), ФН Ликвидат ВС (VN Liquidaat WS), Фддимент БВ 3 (Addiment BV
3);
− среднепластифицирующие (ІІІ группа
пластифицирующих добавок) повышают подвижность смеси от П1 до П3 (от 2…4 см до
10…15 см) без снижения прочности бетона. К ним относятся: лингосульфонаты
технические ЛСТ, плав дикарбоновых кислот ПДК, водорастворимый препарат С-1,
водорастворимые препараты ВРП-1 и ВРП-Э50, лингопан Б-1,
пластификатор 20-03 и др., а также зарубежные: Перамин В (Peramin V), Сементол
Дельта (Cementol Delta), Аддимент БВ 8 (Addiment BV 8);
− слабопластифицирующие (ІV группа
пластифицирующих добавок) увеличивают подвижность бетонной смеси от П1 до П2
(от 2…4 см до 5…9 см) без снижения прочности бетона. К ним относятся:
нейтрализованный чёрный контакт НЧК, чёрный нейтрализованный рафинированный
контакт КЧНР, этилсиликонат натрия ГКЖ-10 и метилсиликонат натрия ГКЖ-11,
чёрный сульфатный щёлок ЧСЩ, мылонафт М1 и др.
Обычно пластификаторы даже в небольших
количествах вызывают замедление гидратации и твердения цементного камня [1]
вследствие слабой проницаемости воды через создаваемые ими адсорбционные слои.
Так как эти слои экранизируют новообразования минералов цемента и площадь их
контакта друг с другом, прочность такого бетона, как правило, ниже прочности
бетона того же состава без добавок. С увеличением дозировки пластификаторов
адсорбционные слои становятся ещё менее проницаемыми и прочность бетона ещё
более снижается. Эта особенность действия является недостатком ряда
гидрофилизирующих ПАВ и обусловлена сшитой пространственной структурой
соединений, что снижает их пластифицирующую способность. Типичными
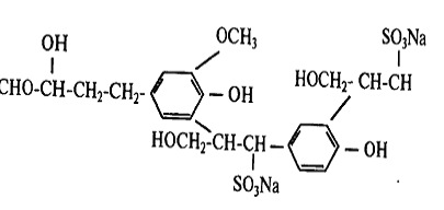
представителями таких соединений являются лингосульфонаты структурной формулы
Таким образом, достигаемая с помощью ПАВ
подвижность бетонной смеси сопровождается снижением прочности бетона, что
ограничивает возможность получать одновременно высокоподвижные смеси и на их
основе затвердевший бетон с высокими прочностными характеристиками.
В общем случае адсорбционная и пластифицирующая
способность соединений определяется рядом факторов, важнейшими из которых
являются длина и характер углеводородной цепи, а также их молекулярная масса. С
этой точки зрения представлено более перспективное применение в качестве
высокоэффективных пластифицирующих соединений линейных структур,
характеризующихся наличием радикалов большой молекулярной массы (типа
нафталина, меламина, антрацена, фенола) и функционально активных групп (типа
сульфо- и карбоксигрупп, моно- и полиоксикарбоновых кислот и т. д.),
способствующих реагированию минералов цементного клинкера и продуктами их
гидратации.
Все свойства таких соединений тесно связаны с их
характерными особенностями: способностью адсорбироваться на разных поверхностях
раздела и образовывать пространственные коагуляционные структуры как в объёме
цементной системы, так и, особенно, в поверхностных слоях.
Необходимо отметить весьма существенную
особенность суперпластификаторов [1] по сравнению с обычными пластификаторами
ПАВ. Последние, за редким исключением, действуют ещё и как замедлители
схватывания и твердения цемента, в то время как введение суперпластификаторов
мало отражается на этих процессах. Это обусловлено в первую очередь тем, что
обычные пластификаторы получают, как правило, из попутных или побочных
продуктов различных производств, которые, наряду с пластифицирующими
веществами, содержат балластные элементы, оказывающие побочное действие на
процесс гидратации цемента. В отличие от СП эти соединения имеют нестабильный
состав и не всегда обеспечивают требуемый и ожидаемый эффект.
Суперпластификаторы, являясь заводскими продуктами, выработаны по строго
установленной технологии, со строго нормированными свойствами, лишены этих недостатков.
Аплассан (АПЛ) [4] - продукт
переработки сульфатосодержащих отходов акрилатных производств, жидкость
тёмно-коричневого цвета, имеет слабощелочные реакции. По своему действию -
пластификатор-стабилизатор. Бетонная смесь обладает значительной тиксотропией и
повышенной удобоукладываемостью при вибрационном воздействии. При передозировке
возможно замедление темпа твердения. Рекомендуемая дозировка -
массы
цемента в расчёте на сухое вещество.
АПЛ используется [1] для
приготовления бетонных смесей, транспортируемых автотранспортом и
автобетононасосами, для получения монолитных бетонов B15 и выше. Для
производства сборных конструкций из бетонов B25 и выше, вертикально формуемых,
густоармированных. Для возведения конструкций и сооружений с повышенными
требованиями по плотности и однородности бетона.
При выборе добавки необходимо руководствоваться
следующим [6]
− применение
пластифицирующих добавок 2-3-й групп или пластифицирующе-воздухововлекающих
добавок без удлинения технологического цикла возможно в том случае, если он
составляет не менее 11 ч для бетонов на портландцементах, 14 ч для бетонов на
шлакопортландцементах или пуццолановых портландцементах; при этом конструкции
до тепловой обработки выдерживают, как правило, не менее 2 ч, а скорость
подъёма температуры не более
; при меньших циклах тепловой
обработки указанные добавки могут применяться в случае использования закрытых
форм или в сочетании с ускорителями твердения;
− при введении
пластифицирующих добавок 2-3-й групп или пластифицирующе-воздухововлекающих
добавок в бетоны, выдержанные в естественных условиях полигона, необходимо
учитывать замедление темпа его твердения, особенно в ранние сроки и при
пониженных температурах, а при температурах ниже
с добавками указанных видов, как
правило, вводят ускорители твердения.
С целью уменьшения расхода цемента в состав
бетонной смеси могу вводить пластифицирующие добавки 2-3-й групп и
пластифицирующе-воздухововлекающие добавки, а также комплекс добавок на основе
указанных, в том числе и с ускорителями твердения.
Эффективность введения
пластифицирующих добавок проявляется в экономии цемента для равнопрочных
бетонов (порядка
) [4],
уменьшении расслаиваемости бетонной смеси, повышении плотности и
непроницаемости бетона, росте прочности бетона равноподвижных составов.
При введении пластифицирующих
добавок в бетон при постоянном расходе цемента и равноподвижной бетонной смеси
можно уменьшить водоцементное отношение; это особенно эффективно при
интенсивной вибрации. Кроме того, добавки-пластификаторы способствуют
гомогенизации бетонной смеси и, как следствие, повышают её однородность.
Пластифицирующая эффективность добавок повышается с увеличением тонкости помола
цемента, его расхода в бетоне или растворе.
Заключение
В ходе курсового проектирования был рассчитан
состав тяжёлого бетона класса B20, рассмотрены структуры бетона и бетонной
смеси, температурные деформации бетона, а также рассмотрены пластифицирующие
добавки, повышающие подвижность бетонной смеси.
Бетон, состав которого был рассчитан в ходе
курсового проектирования, относится ко второму типу структур, так как для него
использованы высококачественные заполнители и подвижная бетонная смесь. Этот
бетон имеет плотную макроструктуру.
Бетон деформируется под воздействием как
высоких, так и низких температур. Деформации при воздействии высоких и низких
температур зависят от процессов гидратации клинкерных минералов в составе
цемента.
Чтобы увеличить подвижность бетонной смеси
рассчитанного состава бетона, можно применить пластификаторы ІІ группы. Ко ІІ
группе относятся: Аплассан АПЛ, Лингопан Б-3, лингосульфонат технический
модифицированный ЛСТМ-2, также модифицирующие лингосульфонаты ЛТМ (ХДСК-1,
ХДСК-3, МТС-1, НИЛ-20, НИЛ-21, МЛС, ОКЗИЛ, КБМ, ЛСТ-МЩ-1, КОД-С) и добавки
зарубежных производителей на основе лингосульфонатов: Бетокем ЛП, ВРДА,
Пластимент БВ40, ФН Ликвидат ВС, Аддимент БВ 3. Лучшими, по моему мнению, для рассчитанного
состава бетона будут АПЛ, Лингопан Б-3 и зарубежный Аддимент БВ 3, так как
повышают удобоукладываемость бетонной смеси, а Аддимент ещё и не вызывает
коррозии арматуры.
Библиографический
список
1. Батраков В. Г. Модифицированные
бетоны. Теория и практика / 2-е изд., перераб. и доп. - М., 1998. - 768 с.
. Горчаков Г. И., Баженов Ю. М.
Строительные материалы: Учебник для вузов / М.: Стройиздат, 1986. - 688 с., ил.
. ГОСТ 24544-81. Бетоны. Методы
определения деформаций усадки и ползучести.
. Добавки в бетоны и строительные
растворы учебно-справочное пособие / Л. И. Касторных - 2-е изд. - Ростов н/Д,
Феникс, 2007 - 221 с. - (Строительство)
. Методические указания к выполнению
домашнего задания по разделу «Бетон» / Под общей редакцией Г. И. Горчакова. -
М.: МГСУ, 2002 - 28 с.
. Пособие по применению химических
добавок при производстве сборных железобетонных конструкций и изделий (к СНиП
3.09.01-85). [Электронный ресурс]. Точка доступа:
www.infosait.ru/norma_doc/46/46694/index/htm
. Расчёт состава обычного бетона:
Методические указания к курсовой работе по курсу «Технология бетонных и
железобетонных изделий» / Под ред. Т. М. Климчука. - Ростов н/Д: Рост. гос.
строит. ун-т, 2005. - 32 с.
. Температурные деформации.
[Электронный ресурс]. Точка доступа: www.jb-i.ru
. Температурные деформации бетона.
[Электронный ресурс]. Точка доступа: www.ngpedia.ru/id665404p1.html;
www.ndpedia.ru/id665404p2.html
. Технология бетона. Учебник / Ю. М.
Баженов - М.: Изд-во АСВ, 2002 - 500 стр. с иллюстрациями
11.
Форсированный электроразогрев бетона. Изучение температурных деформаций.
[Электронный ресурс]. Точка доступа: www.mixoid.net
<http://www.mixoid.net>