Проектирование одноэтажных зданий разного назначения из древесины и пластмасс
Пояснительная записка к
курсовой работе
Проектирование
одноэтажных зданий разного назначения из древесины и пластмасс
Введение
В одноэтажных однопролетных зданиях производственного и
общественного назначения широко применяют деревянные рамы. Наиболее
распространены рамы дощато-клееные заводского изготовления.
В этом курсовом проекте рассматривается проектирование и
расчет трехшарнирной рамы, которая изготовляется из двух полурам.
Трехшарнирные рамы рекомендуется применять для зданий небольшой
высоты H=(4…6
м), пролетом 12…30 м, и шагом В=3…6 м. Рамы больших пролетов и высот широкого
распространения не получили в связи с возникновением значительных изгибающих
моментов в карнизных узлах и трудностью их изготовления. Сопрягают полурамы в
узлах с помощью простейших шарниров, решаемых в виде лобовых упоров, а
крепление стоек двухшарнирных рам к фундаментам проектируют жесткими. Распор
рам воспринимается фундаментами. Трехшарнирные рамы выполняют как правило,
дощато-клееными прямоугольного, преимущественно переменного по длине стоек и
ригелей, поперечного сечения. Уклон внутренней кромки относительно наружной
принимают не более 15%.
Соединяют стойки и ригели в карнизном узле различными
способами в зависимости от условий изготовления рам. Наиболее широко
распространено соединение по биссектрисе карнизного узла с помощью зубчатого
стыка, осуществляемого фрезерованием готовых элементов стоек и ригелей и с
последующим склеиванием их в заводских условиях. В этом случае изготовляют
прямолинейные клееные элементы стоек и ригелей в виде балок из досок толщиной
33 мм с последующей распиловкой их для получения двух элементов переменного по
длине сечения. Рекомендуется высоту ригеля в коньке принимать не более 0,3, а
стойки в опорном узле - не менее 0,4 наибольшей высоты их в коньковом узле.
1.
Конструктивная схема здания
Ограждающие конструкции принимаем в виде
утепленных клеефанерных плит покрытия и стеновых панелей с асбестоцементными
обшивками.
Фанерные плиты покрытия состоят из каркаса и полок (обшивок).
Продольные и поперечные несущие ребра каркаса выполняют из цельных досок
толщиной 36 или 46 мм. Для обшивки применяют водостойкую строительную фанеру
марки ФСФ. Толщина нижней обшивки должна быть не менее 6 мм, верхней 8 мм.
Соединяют обшивки с ребрами водостойкими синтетическими клеями. Направление
волокон наружных шпонов фанеры как в верхней, так и в нижней обшивке плиты
должно быть продольным для обеспечения стыкования листов фанеры «на ус» и для
лучшего использования прочности фанеры. В утепленных плитах с обшивками из
фанеры рекомендуется использовать утеплитель из несгораемых или трудносгораемых
материалов (плиты минераловатные на синтетическом связующем, из стеклянного
штапельного волокна) с объемной массой gу=100…300 кг/м3
или пенопласт марки ФР-1 с объемной массой gу=50…100 кг/м3.
Толщина утеплителя dу должна определяться теплофизическим расчетом.
Для курсового проекта она принимается конструктивно равной 5-10 см в
зависимости от района строительства. Во избежании смещения при транспортировке
и монтаже мягкий утеплитель закрепляют прижимными решетками из деревянных
брусков сечением 25 ´ 25 мм, соединяя с каркасом гвоздями.
Пароизоляция применяется из рулонных материалов. Продольные деревянные ребра
изготавливают из древесины хвойных пород, удовлетворяющих требованиям не ниже
второго сорта и ставят их на расстоянии не более 500 мм. Размеры продольных
ребер назначают по расчету. Конструкция плиты покрытия показана на рис. 5.
Плиты покрытия жестко крепятся к ригелям рам. После уплотнения стыков по верхней
обшивке настилают слой рубероида на битумной мастике. Расчет утепленной
клеефанерной плиты покрытия приводится ниже.
2. Расчет клеефанерной плиты покрытия
Расчетные характеристики материалов по СниП II - 25-80.
«Деревянные конструкции. Нормы проектирования»
Фанера марки ФСФ:
Расчетное сопротивление растяжению древесины вдоль волокон
наружных слоев Rфр = 14 МПа;
Расчетное сопротивление сжатию Rфс = 12 МПа;
Расчетное сопротивление скалыванию Rфск = 0,8 МПа;
Расчетное сопротивление изгибу поперек волокон наружных слоевфи90
= 6,5 МПа;
Модули упругости: фанеры Еф = 9000 МПа; древесины
Ед = 10000 МПа
Для принятого по заданию ригеля рамы необходимо
предварительно вычислить длину одного ската верхнего пояса при уклоне 1:4.
Затем определяется ширина плиты покрытия исходя из требований
норм проектирования ≤1500 мм. Требуемое количество плит определяется по
формуле:
Номинальная ширина плиты:
где
- ширина стеновой панели;
Фактическая ширина плиты с учетом допуска
Конструирование поперечного сечения плиты:
Принимаем сжатую фанерную обшивку толщиной
Принимаем растянутую фанерную обшивку толщиной
Предварительно требуемая высота сечения
плиты при
По рекомендованному сортаменту пиломатериалов назначаем
продольные ребра сечением 50*150 мм, после острожки по пластям и кромкам
получаем чистые заготовки сечением 46*144 мм.
Поперечные ребра принимаем такой же толщины и высотой на один
номер сортамента меньше, чем продольные - 50*125 мм, после острожки -
*119 мм для устройства сквозного продуха по длине плиты для
её вентилирования.
Проверяем сжатую обшивку на местный изгиб сосредоточенной
силой P=1,2
кН (вес рабочего с инструментом). Рассматриваем плиту как балку шириной 1 м.
Момент от действия сосредоточенной силы:
фахверк коньковой
асбестоцементный панель
Момент сопротивления:
Напряжение в сжатой обшивке:
где
- коэффициент, учитывающий действия монтажной
нагрузки.
- расчетное сопротивление фанеры при изгибе
поперек волокон наружных слоев, для семислойной фанеры.
Сбор нагрузок на панель покрытия
|
Вид нагрузки
|
Нормативная нагрузка, кН/м
|
|
Расчетная нагрузка, кН/м
|
|
1. трехслойная рулонная кровля:
|
0,174
|
1,2
|
0,209
|
|
2. фанерные обшивки:
|
0,142
|
1,1
|
0,156
|
|
3. продольные ребра:
|
0,133
|
1,1
|
0,146
|
|
4. поперечные ребра:
|
0,040
|
1,1
|
0,044
|
|
5. утеплитель:
|
0,150
|
1,2
|
0,180
|
|
6. прижимные бруски сечением 25*25 мм:
|
0,087
|
1,1
|
0,096
|
|
7. пленочная пароизоляция:
|
0,015
|
1,1
|
0,016
|
|
Итого постоянная нагрузка:
|
|
-
|
|
|
Временная нагрузка: Снеговая нагрузка IV района: ;
|
|
1,3
|
|
|
Всего полная нагрузка:
|
|
-
|
|
Максимальные изгибающий момент и поперечная сила:
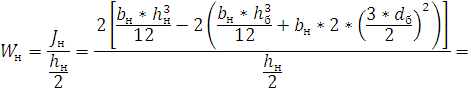
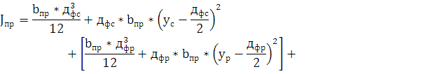
Геометрические характеристики сечения плиты:
Приведенная расчетная ширина сечения панели:
Приведенная площадь поперечного сечения:
где
- модули упругости фанеры и древесины
соответственно.
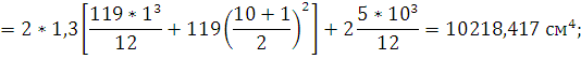
Статический момент относительно растянутой кромки сечения:
Расстояние от растянутой кромки плиты до нейтральной линии:
Определение момента инерции относительно нейтральной линии
сечения:
Приведенные моменты сопротивления:
Проверяем прочность растянутой обшивки:
- коэффициент, учитывающий ослабление сечения в
стыках обшивки по длине плиты;
Проверяем прочность сжатой обшивки:
Определяем статический момент сжатой обшивки относительно
центра тяжести сечения:
Проверяем скалывающие напряжения по клеевому слою фанеры в
пределах ширины продольных ребер.
Расчет по второй группе предельных состояний.
Определяем прогиб плиты в середине пролета:
- коэффициент, учитывающий длительность
приложения нагрузки.
Определяем относительный прогиб:
Условие жесткости выполняется.
3. Конструирование и расчет трехшарнирной рамы и
прямолинейных элементов
Рассчитать и запроектировать несущие конструкции рамы из
прямолинейных элементов. Температурно - влажностные условия эксплуатации А2,
. Пролет рамы
, шаг рам В = 4,3 м.
Класс надежности здания II. Район строительства - г.
Суммы, нормативная снеговая нагрузка
. Ветровая нагрузка при
данной схеме рамы и высоте стойки
не учитывается, так как
разгружает раму. Материал конструкции: доски сосновые второго и третьего сортов
толщиной 40 мм, влажностью до 15%, сталь листовая, круглая и профильная марки
ВСТ3кп2.
Выбор конструктивной схемы.
Уклон ригеля принимаем в соответствии с заданием 1:4
Поперечное сечение рамы прямоугольное постоянной ширины b и переменной высоты h. Высота стойки и ригеля
в карнизе:
Высота поперечного сечения рамы по биссектрисе:
где
, при уклоне 1:4
Высота сечения стойки на опоре
Высота сечения ригеля в коньке
Принимаем доски сечением 225*40 мм. После острожки досок по
пластям (5 - 8 мм) и фрезеровки кромок клееного пакета (15 - 20 мм) получаем
сечение чистых досок 210*35 мм.
Ригель и стойку компонуем в виде прямоугольных клееных
пакетов с последующей распиловкой пакета:
Схема распиловки пакетов для стойки и ригеля полурамы
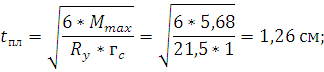
Допуск для образования уклона зубчатого стыка стойки:
Необходимая высота клееного блока стойки:
Необходимое количество досок:
Фактическая высота стойки:

Уточненная высота опорного сечения стойки:
Длина ригеля рамы по оси:
Допуск для образования уклона зубчатого стыка ригеля:
Необходимая высота клееного блока ригеля:
Необходимое количество досок:
Фактическая высота ригеля:
Уточненная высота конькового сечения ригеля:
Статический расчет
Расчетная схема трехшарнирной рамы
Определяем координаты центров характерных сечений, считая
центр тяжести опорного сечения началом координат:
Длина полурамы по осевой линии:
Сбор нагрузок на раму
|
Вид нагрузкиНормативная нагрузка, кН/м Расчетная нагрузка,
кН/м
|
|
|
|
|
1. Вес конструкции кровли:
|
|
-
|
|
|
2. Собственный вес рамы:
|
0,704
|
1,1
|
0,774
|
|
Итого постоянная нагрузка:
|
|
-
|
|
|
3. Временная нагрузка: Снеговая нагрузка для IV-го района -
|
|
1,3
|
|
|
Всего полная нагрузка:
|
|
-
|
|
Определяем расчетные погонные нагрузки на ригель рамы:
Постоянная:
Временная:
Полная:
Опорные реакции:
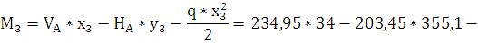
Изгибающие моменты в сечениях:
;
Нормальные и поперечные усилия:
Проверяем максимальные напряжения в биссектрисном сечении 3.
а) для сжатой зоны вдоль оси
под углом к волокнам
;
В данном районе строительство не целесообразно.
б) Для растянутой зоны вдоль оси
под углом к волокнам
:
В данном районе строительство не целесообразно.
в) Для сжатой зоны вдоль оси
под углом к волокнам
:
Проверяем прочность по нормальным напряжениям в сечении 4:
В данном районе строительство не целесообразно.
Раскрепляем раму в направлении из плоскости стеновыми
панелями, плитами покрытия, поперечными (скатными) связями, расположенными по
наружному контуру рамы, а также вертикальной связью, установленной в
биссектрисном сечении 3.
Определяем положение нулевой точки на эпюре изгибающих моментов:
На 3-х участках (от опорного узла до биссектриссного сечения,
от биссектриссного сечения до нулевой точке на эпюре моментов и от нулевой
точки до конькового узла) проверяем устойчивость плоской формы деформирования
рамы с учетом переменности сечения:
а) на участке от опорного до биссектриссного сечения:
- к-т, учитывающий переменность высоты сечения
по длине элемента, не закрепленного из плоскости по растянутой от момента
кромке.
- к-т, зависящий от формы эпюры изгибающих
моментов на участке;
б) на втором участке от биссектриссного сечения до нулевой
точки (x5, y5):
- к-т, учитывающий переменность высоты сечения
по длине элемента, не закрепленного из плоскости по растянутой от момента
кромке.
- к-т, зависящий от формы эпюры изгибающих
моментов на участке;
В данном районе строительство не целесообразно.
в) на третьем участке от нулевой точки на эпюре моментов (x5, y5) до конькового узла:
Максимальное значение изгибающего момента и соответствующей
продольной силы определяем в сечении, в котором поперечная сила равна нулю.
- к-т, учитывающий переменность высоты сечения
по длине элемента, не закрепленного из плоскости по растянутой от момента
кромке.
- к-т, зависящий от формы эпюры изгибающих
моментов на участке;
В данном районе строительство не целесообразно.
Проверяем клеевые швы на скалывание в опорном сечении:
4. Конструирование опорного узла
Конструкция опорного узла рамы
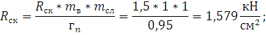
Проверяем торец стойки на смятие вдоль волокон:
Для фундамента принимаем бетон класса В 7,5,
Базу проектируем из стали марки ВСт3кп2, сварка осуществляется
электродами Э42.
Размеры опорной плиты башмака:
Длина плиты
Ширина плиты
Конструктивная схема опорной плиты
1 - консольные участки, 2 - пластинка опертая по трем
сторонам
Определяем фактическое давление на бетон:
Толщину траверс
конструктивно назначаем
равной 1 см. Толщину опорной плиты назначаем из условия изгиба её как консоли,
защемленной опоре (участок 1), или как пластинки, опертой по трем сторонам
(участок 2).
Момент в заделке консольного участка 1:
Момент на участке 2, при отношении сторон
Толщина плиты
:
Принимаем толщину опорной плиты 1,5 см.
Определяем требуемый диаметр анкерных болтов:
Требуемая площадь сечения одного болта из условия среза:
Принимаем болты диаметром
Из условия смятия:
- расчетное сопротивление смятию элементов из
стали ВСт3кп2 с временным сопротивлением
, соединяемых болтами
нормальной точности.
Принимаем высоту башмака
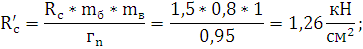
Проверяем кромку стойки на смятие поперек волокон:
5. Конструирование конькового узла
Усилия в элементах конькового узла при загружении снеговой
нагрузкой на половине пролета
Принимаем накладки из брусьев сечением
после острожки 240*240 мм
длиной
принимаем накладку
длиной
Принимаем расстояния между осями болтов
диаметр болтов
Взаимное смятие торцов полурам под углом к волокнам
Проверяем накладки на изгиб:
Определяем несущую способность одного болта:
а) из условия смятия крайнего элемента:
б) из условия смятия среднего элемента:
в) из условия изгиба болта:
Определяем усилия в болтах:
6. Расчет стеновой панели с асбестоцементными
обшивками
Асбестоцементная стеновая панель
Таблица сбора нагрузок
|
Вид нагрузкиНормативная нагрузка, кН/м Расчетная нагрузка,
кН/м
|
|
|
|
|
1. Асбестоцементные плоские листы:
|
0,428
|
1,1
|
0,471
|
|
2. Продольные ребра:
|
0,05
|
1,1
|
0,055
|
|
3. Поперечные ребра:
|
0,032
|
1,1
|
0,035
|
|
4. Утеплитель из минераловатных плит на
синтетическом связующем :
|
0,077
|
1,2
|
0,092
|
|
5. пленочная пароизоляция:
|
0,012
|
1,1
|
0,013
|
|
6. Шурупы и шайбы оцинкованные:
|
0,012
|
1,1
|
0,013
|
|
Итого постоянная нагрузка:
|
|
-
|
|
|
Временная нагрузка: Ветровая нагрузка II района: а) на период эксплуатации: б) при монтаже:
|
|
1,4 1,4
|
|
Расчетное сопротивление древесины сосны второго сорта
растяжению
Модуль упругости листового асбестоцемента:
Коэффициент приведения
Расчет асбестоцементных панелей на ветровую нагрузку и
собственный вес двух панелей:
- расчетный момент от ветровой нагрузки на
период эксплуатации.
- то же, на период воздействия;
- момент от собственного веса двух панелей;
- коэффициент, учитывающий влияние податливости
шурупов;
- момент сопротивления листов обшивки
относительно оси x;
Момент инерции поперечного сечения панели относительно оси y:
Рассматриваем сечение как цельное коробчатое:
Прогиб от ветровой нагрузки:
- коэффициент жесткости составного сечения на
податливых связях;
Определяем количество шурупов расставляемых на половине
пролета панели с каждой стороны при расчете на ветровую нагрузку:
Статический момент брутто одного листа обшивки относительно
оси y:
Расчетная несущая способность одного шурупа:
При
При
При шурупах
можно расставить 30 шт. с шагом
а при
можно расставить 17 шурупов с шагом
Схема расположения шурупов
Расчетная схема стеновой панели при расчете на монтажную
нагрузку
Стеновая панель рассчитывается как консольная балка на двух
опорах
где
- коэффициент перегрузки при транспортировании и
монтаже по п. 6.25 СНиП 2.03.09-85.
7. Расчет стойки торцевого фахверка
Расчетная схема стойки торцевого фахверка
Вычисляем высоту стойки
:
Расчетная длина стойки:
При допускаемой гибкости
радиус инерции сечения
Требуемая высота поперечного сечения:
При толщине досок 33 мм необходимо
досок, принимаем
Предварительно назначаем размеры сечения из досок сечением
125*40
мм,
после острожки 115*33:
Нагрузки, действующие на стойку:
) Собственный вес стойки:
2) Собственный вес асбестоцементных стеновых панелей: по
высоте укладываются
Постоянная нагрузка от панели:
3) Временная нагрузка - ветровой напор:
Вычисляем момент от собственного веса стеновых панелей:

Узел соединения стойки фахверка со стеновой панелью
Вычисляем момент в заделке стойки от отдельных видов
нагрузки:
от ветрового напора:
- от веса стеновых панелей:
Расчетный момент в заделке:
Расчетная продольная сила:
Гибкость стойки:
Проверки выполняются, окончательно принимаем сечение:
Список использованной литературы
1. СНиП 11-25-80. Деревянные конструкций. Нормы
проектирования. М. Стройиздат. 1982 г.
2. ДБН В.1.2-2:2006. Нагрузки и воздействия.
Нормы проектирования. К. Минстрой Украины. 2006.
. СНиП 11-23-81. Стальные конструкции.
Нормы проектирования. М. Стрройиздат. 1990 г.
4. Деревянные клееные и цельнодеревянные
конструкции. Методы проектирования и расчета. ЦНИИСК им. В.А. Кучеренко. - М.:
ФГУП «НИЦ «Сторительство». 2006.
. Рекомендации по проектирования панельных
конструкций с применением древесины и древесных материалов для производственных
зданий ЦНИИСК им. В.А. Кучеренко. Госстроя СССР. М. Стрройиздат. 1982 г.
6. Проектирование и расчет деревянных
конструкций. Справочник под редакцией И.М. Гриня. К. Будівельник. 1988 г.
7. Слицкоухов Ю.В., Гуськов И.М. и др.
Индустриальные деревянные конструкции. Примеры проектирования. М. Стрройиздат.
1991 г.
8. Клименко В.З. Проектування дерев’яних
конструкцій. К. Вища школа. 1998 р.