Принципи проектування екоміста і житла в умовах мінімального впливу шуму
Зміст
Вступ
Розділ І. Класифікація та аналіз джерел шуму в місті
.1 Аналіз зовнішніх джерел шуму в житлових
будівлях
1.1.1 Шум автомобільного транспорту
.1.2 Шум рельсового транспорту
1.1.3 Джерела авіаційного шуму
.1.4 Шум промислових підприємств
.1.5 Розповсюдження джерел шуму від зовнішніх джерел
приміщення
.1.6 Карта шуму міста
.2 Аналіз джерел внутрішнього шуму в житлових
будівлях
.2.1 Акустика приміщення
.2.2 Поширення шуму в будівлях
.2.3 Система кондиціювання повітря
.3 Нормування шуму в будівлях
.3.1 Санітарно-гігієнічні, технічні та екологічні
норми
.3.2 Вплив шуму на людину
.4 Моніторинг зовнішніх та внутрішніх джерел шуму
1.5 Містобудівельні методи підвищення екологічності
в житлових будівлях засобами звукоізоляції
1.5.1 Звукопоглинання в житлових будівлях
.5.2 Акустика поглиначів та дифузорів в житлових
будівлях
.5.3 Вібродемпфування в житлових будівлях
Розділ ІІ. Дослідження акустичних джерел в умовах
інтенсивних транспортних потоків
.1 Матеріали та методи дослідження
2.2 Аналіз данних моніторингу шуму вул.Чоколовський
бульвар, м. Київ
.3 Аналіз розрахунків рівня звукового тиску у
житловому будинку від шуму міського автотранспорту
Розділ ІІІ. Охорона праці
.1 Небезпечні та шкідливі фактори при роботі в
ревербераційній камері
.2 Технічні та організаційні заходи для зменшення
рівня впливу небезпечних та шкідливих виробничих факторів при роботі в
ревербераційній камері
.3 Забезпечення пожежної і вибухової безпеки при
роботі в ревербераційній камері
Розділ ІV. Еколого-економічний збиток від дії транспортного
шуму на населення
.1 Розрахунок еколого-економічного збитку від дії
транспортного шуму на населення
.2 Аналіз розрахунку еколого-економічного збитку від
дії транспортного шуму на населення
Висновки
Список використаних джерел
Додаток
Перелік скорочень
АШ - авіаційний шум;
ВООЗ - всесвітня організація охорони здоровя;
СКП - система кондиціювання повітря;
ІКАО - міжнародна організація цивільної авіації;
ГОСТ - державний стандарт;
РЗТ - рівень звукового тиску;
ТЗ - транспортній засіб;
ТП - транспортний потік;
ІСО - міжнародний стандарт;
ГПР - гранично-припустимий рівень;
ЦТП - центральний тепловий пункт.
Вступ
Джерела міського шуму є автомобільний, рельсовий, авіаційний
транспорти та шум промислових підприємств . Міський шум сприймається перш за
все суб'єктивно. Одним з показників несприятливої дії шуму є скарги населення
на передчасний розвиток стомлюваності, головний біль, порушення сну. Реакція на
шум в визначається психофізіологічними особливостями особистості, типом
нервової системи, характером самого джерела шуму. Шум утрудняє чіткість мови,
особливо при рівні шуму більше 70 дБ А. В основі виникнення шуму (як і звуку)
лежать механічні коливання пружних тіл.
Шум від автомобільного транспорту є одним з більш небезпечних
параметричних забруднень. У найбільш промислово розвинутих країнах на долю
автомобільного транспорту припадає від 60% до 80% екологічного забруднення
навколишнього середовища, у тому числі й акустичного. В умовах, коли масштаби
автомобільного руху зростають, зони акустичного дискомфорту значно
збільшуються, у зв'язку з цим проблема боротьби з транспортним шумом має
екологічне, економічне та соціальне значення.
Механізм впливу транспорту на навколишнє середовище має ряд
специфічних особливостей порівняно з багатьма галузями машинобудування.
Такими особливостями є:
масовість і постійно зростаюча інтенсивність
експлуатації транспортних засобів;
експлуатація старіючого парку транспортних засобів;
незадовільний стан дорожнього покриття ;
концентрація великої кількості транспортних засобів
на порівняно обмеженій території і їхнє масове проникнення в зони житлової
забудови;
не забезпечення екологічних нормативів при
проектування транспортних шляхів;
низький рівень шумозахищенності сучасних будинків.
Метою даної дипломної роботи аналіз міжнародного та
національного досвіду щодо зниження шумового навантаження на населення в
сучасному місті. Експериментальне дослідження шуму транспортних потоків в
критичних зонах міста Києва. В дипломній роботі розглянуті наступні питання.
1. Виконана оцінка шумового забруднення вулиці
Чоколовський бульвар, місто Київ.
2. Проведений аналіз негативного впливу шумового
забруднення вулиці Чоколовський бульвар, місто Київ.
3. Обгрунтовані принципи проектування житла в умовах
мінімального впливу шуму на основі експериментально отриманих даних як моделі
для застосування.
4. Запропоновані рекомендації щодо зниження шумового
навантаження на населення в сучасному місті.
Об'єкт дослідження - критичні щодо шуму зони міста Києва.
Предмет дослідження - засоби адаптації населення до впливу
шуму із умов забезпечення нормативних вимог.
Для досягнення поставленої мети дослідження використовувалися
такі методи дослідження:
аналітичні - аналіз національного і міжнародного досвіду щодо
існуючої практики зниження шуму в сучасному місті;
експериментальні - проведення моніторингу шуму
автотранспортних потоків на вулиці Чоколовський бульвар;
емпіричні - аналіз змін показників шуму автотранспортних
потоків на вулиці Чоколовський бульвар;
рекомендаційні - запропоновані засоби зниження шуму
транспортних засобів міського середовища.
Наукова новизна дослідження полягає в використанні
моделювання впливу транспортного шуму та аналіз принципів проектування житла в
умовах шумового забруднення.
Практичне значення дослідження полягає в тому, що його
результати досліджень дозволяють знизити шумове навантаження на населення в
сучасному місті.
Особистий внесок випускника. Автором проекту здійснено
основний об’єм експериментальної роботи, обробку та аналіз отриманих
результатів, розроблення рекомендацій щодо зниження шумового забруднення .
Розділ І. Класифікація та аналіз джерел шуму в місті
1.1 Аналіз вкладу зовнішніх джерел шуму в акустичне поле в
житлових будівлях
Основними джерелами зовнішнього шуму в будівлях є транспортні
засоби (автомобілі, залізничний транспорт, авіаційний транспорт). Крім того, на
шумовий режим населених місць може впливати також і виробничий шум близько
розташованих промислових підприємств.
В якості точкового джерела розглядається емісія шуму з
ділянки площі, найбільша довжина якого складає максимум 0,7 S - відстані від
цієї лінії до місця іміссіі, тобто місця розташування приймача.
Промисловий район розглядається як площинне джерело шуму
залежно від відстані від джерела шуму займаної площі. До площинних джерел шуму
можна також віднести підприємства та їх комплекси, промислові зони, торгові
центри, стоянки автомобілів. Площинні джерела - це такі, у яких найбільший
розмір становить більше, ніж 0,7 видалення місця емісії від місця іміссіі,
тобто більш ніж 0,78.
До лінійних джерел шуму відносяться транспортні засобі на
автомобільних дорогах, залізний і трамвайний транспорт. Лінійними називають
джерела шуму, що випромінюють його по своїй довжині.
Згідно з нормативними документи шумова характеристика
транспортного потоку оцінюється еквівалентним рівнем звуку, що розраховується
за результатами вимірювань рівнів звуку на відстані 7,5 м від першої смуги руху
[1].
1.1.1 Шум автомобільного транспорту
Джерелами шуму в автомобілі, що рухається, є шум двигуна, шум
кочення і шум обтікання. Шум ходової частини автомобіля складається із шуму
двигуна, шуму передачі і шуму допоміжних механізмів. У автомобіля шуми
механічного походження випромінюються вібруючими елементами шасі і кузова.
У легкових автомобілів шум ходової частини є основним
джерелом шума при його розгоні і руху на низьких передачах. На швидкісних
дорогах такий шум перекривається шумом кочення і шумом обтікання елементів
конструкції автомобіля.
Шум приводу вантажівок і автобусів визначається загальним
шумом, яке характерне при високих швидкостях руху. Шум кочення створюється при
взаємодії шини з поверхнею дороги, а також при витисканні повітря з пазів
протектора з поверхні шини. Звукова потужність шуму кочення приблизно
пропорційна третій швидкості руху, а рівень шуму збільшується на 9 дБ при
кожному подвоєнні швидкості руху.
У легкового автомобіля, що рівномірно рухається на прямій
передачі на дорозі з гладким покриттям на літніх шинах, шум кочення перекриває
інші складові шуму на швидкості понад 50 км/год. Зимові і спеціальні шини
виявляються більш гучні, ніж літні шини. Шини з періодично розташованими
грунтозачепами при русі створюють виючі тони, у зв'язку з цим застосовують
аперіодичні розташування грунтозачепів [2].
На шум взаємодії шини с дорожнім покриттям впливає
конструкція шини і характеристики її матеріалу. Шум від зимових шин містить
значну частку високочастотних складових, що призводить до зменшення рівнів на
асфальту на 3 дБА. Чим менше профіль малюнка шини, тим більше впливає на шум
кочення стан поверхні дорожнього покриття. На високих швидкостях руху
автомобіля стає помітною складова шуму, яка обумовлена опором потоку повітря.
Цей шум в основному широкосмуговий, обумовлений зривом вихорів, його звукова
потужність приблизно пропорційна п'ятому-шостому ступеню швидкості руху. У
деяких автомобілів у шумі обтікання спостерігаються дискретні тони, спричинені
періодичним зривом вихорів (наприклад, зі стійок багажника) чи резонансом
порожніх об'ємів. При відкритих (цілком чи частково) вікнах автомобіля
усередині нього можуть виникати коливання тиску в інфразвуковому діапазоні
частот.
Також слід зазначити про шум двигуна автомобіля складається з
шуму вихлопу, шуму всмоктування і шуму, що випромінюється власне двигуном.
Механізм цих компонент різний. Процес створення загального шуму слід розглядати
для кожної окремої складової.
Шум вихлопу виникає в процесі пульсуючого витікання
відпрацьованих газів. За відсутності глушника він є найбільш інтенсивною
компонентою сумарного шуму двигунів. Звукова потужність цього джерела становить
від 0,01 до 0,1 % потужності двигуна. Шум всмоктування набагато менш
інтенсивний за шум вихлопу, оскільки об'єм впуску повітря (холодне повітря без
палива) менший, ніж об'єм вихлопних газів; крім того, всмоктування повітря
відбувається не так різко, як його викидання.
Шум, що випромінюється безпосередньо двигуном, за своєю
звуковою потужністю на 20...30 дБ нижчий, ніж шум вихлопу. Однак на практиці
ним не слід нехтувати, оскільки шум вихлопу та всмоктування можна майже завжди
істотно знизити за рахунок застосування глушників, а для зменшення шуму власне
двигуна потрібні значні витрати. Крім того, треба враховувати, що вібрація може
передаватися від двигуна через опори та інші з'єднання на фундаменти й інші
елементи конструкції з великою площею і обумовлює структурний шум автомобіля
[1].
Шум двигуна обумовлений, з одного боку, процесами згоряння
палива в циліндрах, а з іншого - механічними процесами (удари клапанів,
перекладання поршнів, удари паливного насоса при вприскуванні палива, зубчасте
зачеплення привода). У дизелях основною причиною шуму є процес згоряння. У
карбюраторних двигунах процес згоряння більш "м'який", запалювання
від свічки відбувається в одній точці і потрібний деякий час для того, щоб
горіння поширилося на весь об'єм. Перевагою карбюраторного двигуна з точки зору
акустики є також те, що в разі неповного навантаження всмоктується менше
повітря й інтенсивність низькочастотних складових змінного тиску знижується.
Водночас у дизелі навіть у режимі примусового привода низькочастотні складові
залишаються незмінними [7].
Експериментально доведено, що рівень звукової потужності
двигунів внутрішнього згоряння обчислюється за формулою:

57+10lg(
, (1.1)
де 
-
номінальна частота обертання ротора; N - номінальна потужність; n - робоча
частота обертання ротора.
Рис.1.1. Рівні шуму і вібрації двигунів внутрішнього
згорання: а) - рівні звукового тиску (РЗТ) 12-циліндрового двигуна, б) - рівні
вібрації (РВ) двигунів; криві 1...9 наведені для наступних режимів: 1-1700
об/хв, вихлоп без глушника; 2 - 1700 об/хв,; 3 - 1700 об/хв,; 4 - 800 об/хв; 6
- 1700 об/хв,; 7 - 800 об/хв; 8 - 1200 об/хв; 9 - 4000 об/хв
Як видно з рис.1.1, спектр двигуна широкосмуговий з
дискретними компонентами на окремих частотах обумовлений компонентами вихлопу
всмоктування повітря [3].
1.1.2 Шум рельсового транспорту
Шум рельсового транспорту залежить, перш за все, від
швидкості транспорту (див. рис.1.2) і залежить від типу двигуна, стану колій.
Впровадження на коліях України швидкісних поїздів з підвищеною швидкістю руху
створюють значні рівні шуму. На швидкостях, більших за 250 км/год, внесок
звукової енергії високої частоти зростає і звук може бути подібний до шуму
літаків.
За своїм функціональним призначенням рейковий транспорт
поділяється на: транспорт дальнього сполучення, у тому числі і надшвидкісний,
приміський і міський транспорт.
Рис.1.2. Залежність рівня шуму поїзда від швидкості
Шумові характеристики потоків рельсового транспорту
визначаються за такою формулою:

, (1.2)
де T - час виміру, сек; 
-
час проходження потяга крізь точки спостереження або часу між двома проходами
потягів; 
-
визначений рівень звуку при русі поїзда або рівень звуку в паузі між проходами
поїздів, дБА [3].
У таблиці 1.1 наведені усереднені дані про шум потягів на перегонах
(для дизельної й електричної тяги) із щебеневою основою, при гарному стані рейкових
шляхів, в умовах вільного поширення звука. Розкид результатів замірів у 90%
випадків складає + 2 дБА.
Таблиця 1.1 Шум потягів на перегонах
|
Відстань точки заміру від шляхів, м
|
Висота точки заміру над верхньою кромкою рейки, м
|
Швидкість руху потягу, км/год
|
|
|
60
|
80
|
120
|
160
|
200
|
240
|
|
|
Рівень шуму, дБ і дБА
|
|
|
|
|
|
|
|
|
|
|
|
|
|
|
|
10
|
2
|
90
|
85
|
93
|
89
|
96
|
95
|
99
|
99
|
102
|
102
|
-
|
105
|
|
25
|
1,2
|
84
|
78
|
87
|
82
|
90
|
88
|
93
|
92
|
96
|
96
|
-
|
98
|
|
25
|
3,5
|
85
|
80
|
88
|
94
|
91
|
90
|
94
|
94
|
97
|
97
|
-
|
100
|
|
50
|
3,5
|
81
|
75
|
84
|
79
|
87
|
85
|
90
|
89
|
93
|
93
|
-
|
95
|
|
100
|
3,5
|
76
|
70
|
79
|
74
|
82
|
80
|
85
|
84
|
88
|
88
|
-
|
90
|
|
|
|
|
|
|
|
|
|
|
|
|
|
|
|
При нерівній поверхні рейок і коліс дані табл.1.1
збільшуються на 5 дБА, а при значній хвилястості поверхонь - до 15 дБА. Рейки
на бетонних шпалах приблизно на 2 дБА нижче, ніж на дерев'яних.
Зовнішній шум на перегонах від поїздів дальнього сполучення
перекриває чутний людиною діапазон частот: від десятків герц до 15…20 кГц
(Рис.1.3). Причому частина спектра вище 500 Гц характерна для швидких поїздів,
а нижче 400 Гц - для товарних потягів.
Також відрізняються мокрі і сухі рейки. Рівні шуму на
частотах нижче 500 Гц при зростанні швидкості руху понад 80 км/год практично не
збільшуються (див. рис.1.4), а на частотах більше 500 Гц зростають у середньому
на 10 дБА.
Рис.1.3. Рівень шуму залізничних потягів: 1 - відстань 10 м,
висота над рейками 2 м, шум 90 дБА; 2 - відстань 25 м, висота над рейками 12 м,
шум 89 дБА; 3 - відстань 50 м, висота над рейками 1,2 м, шум 84 дБА; 4 -
відстань 100 м, висота над рейками 1,2 м, шум 79 дБА
Рис.1.4. Рівень шуму при розгоні потяга: крива 1 описує
різницю рівнів шуму ∆L при збільшенні швидкості від 80 до 120 км/год, а
крива 2 - зміну ∆L при збільшенні швидкості від 80 до 150 км/год
Зі збільшенням відстані від рейок (при висоті точки заміру
3,5 м) в інтервалі від 15 до 100 м рівні шуму знижуються на 5 дБА. Якщо висоту
заміру над рейкою збільшити з 1,2 до 3,5 м (відстань від рейок - 25 м), то
рівні шуму зростуть приблизно на 2 дБА, причому зростання спостерігається в
основному в діапазоні частот від 200 до 1000 Гц.
Шум від потягу, який йде по мосту, залежить не тільки від
швидкості руху, а також від конструкції самого мосту (сталевий чи
залізобетонний) і як здійснене закріплення рейок на ньому.
Частина повітряного шуму при коченні коліс вагона по рейках
передається через підлогу, вікна, стіни вагона, а при русі у тунелі - через
стелю у його внутрішній салон. Крім того, від коліс вагона на інші
конструктивні елементи передається звукова вібрація, у результаті чого в
процесі шумовипромінювання у пасажирському вагоні додається ще одна складова
повітряного шуму. Характерні рівні звукового тиску приміських електропоїздів
наведені на рис.1.5. Причина цього полягає в тому, що приміські електропоїзди
оснащені переважно пнеморесорами і шумозахисними екранами, що відбивають шум на
частотах вище 260 Гц, крім того, в деяких моделях вагонів використовуються
дискові гальма, що дають менший шум.
Рис.1.5. Рівні шуму електропоїзда: крива 1 відповідає випадку
руху електропоїзда зі швидкістю 120 км/год (Lмах =79 дБА), крива 2 -
зі швидкістю 100 км/год (Lмах =77 дБА), крива 3 -
швидкістю 80 км/год (Lмах =76 дБА), крива 4 -швидкістю 60 км/год (Lмах
=73 дБА)
Рівні шуму в салоні приміського електропоїзда, що рухається
зі швидкістю 120 км/год, перевищують гучність у вагоні швидкого поїзда усього
на 3 дБА, хоча приміські електропоїзди мають на кожній осі приводні
електродвигуни. При русі електропоїзда у тунелі зі швидкістю 60 км/год рівень
шуму зростає з 65 до 74 дБА.
Результати замірів зовнішнього шуму від потягів метрополітену
(міський транспорт) при русі на відкритих перегонах (без предметів, що
відбивають, і будівель) наведені на рис.1.6.
Рис.1.6. Середні третьоктавні рівні шуму потягів: крива 1
відповідає середній зміні шуму від частоти, а область 2 - розкиду вимірюваних
рівнів шуму
На рис. 1.6 виміряні рівні зовнішнього шуму потягів
метрополітену рухались зі швидкістю 40 км/год. Рейки покладені на щебеневій
основі. Точка замірів розташована на відстані 7,5 м і на висоті 1,25 м над
рейками. У випадку руху потягу метрополітену по насипу, рівні шуму на висоті
другого поверху житлового будинку біля будинку, що знаходяться на відстані
близько 20 м від насипу, підвищуються на 3 дБА (порівняно з умовами відкритого
простору), а на висоті першого поверху - на 4...5 дБА. Збільшення відстані до забудови
з 20 до 50 м призводить до зниження рівня шуму біля будинку на 10 дБА [2].
Потяг, який рухається по тунелю, збуджує звукову вібрацію, що
передається від рейок на конструкції тунелю, а при неглибокому його заляганні і
на будинки, що знаходяться над ним. Максимуми рівнів швидкості вібрацій,
виміряні на стінці тунелю і стінці підвалу будинку, розташованого на відстані
14 м від тунелю, при швидкості потягу 60 км/год розташовуються в інтервалі
частот від 40 до 74 Гц (основний тон згинних коливань колісної пари) і
складають відповідно 60 і 47 дБ. Подвоєння швидкості руху з 40 до 80 км/год
викликає підвищення рівнів вібрації конструкції тунелю на 4...9 дБ. З
подвоєнням навантаження на вісь вагона рівні вібрації збільшують-і ч приблизно
на 3 дБ. Якісна амортизація вагона не впливає на рівні тукової вібрації в
тунелі, але на них істотно впливає товщина стінок тунелю. Подвоєння товщини
стінок (чи глибини, на якій знаходиться тунель) призводить до зниження рівнів
вібрації приблизно на 12 дБ.
Зовнішній шум трамвая при русі на шляхах на щебеневій основі
зі швидкістю 40 км/год на відстані 7,5 м від рейок і висоті над рейками 1,25 м
складає 81 дБА, а при швидкості 60 км/год - 86 дБА.
Якщо між рейками знаходиться асфальтове покриття, то рівні
шуму трамвая при швидкості 40 км/год складають 87 дБА, а при швидкості 60
км/год - 91 дБА.
Під час руху трамвая по бетонному мосту рівні шуму в
середньому зростають на 4 дБА.
Рис.1.7. Третьоктавні рівні шуму трамвая: при розгоні і
гальмуванні (крива 1) на підземній станції і перегоні (крива 3), а також при
русі зі швидкістю 40 км/год на перегоні (крива 2)
Для проведення випробувань була обрана ділянка шляху, на
якому рейки покладені на щебеневу основу. На підземній станції заміри
проводилися на відстані 1,5 м від вагона і на висоті 1,25 м над рейками, а на
відкритому перегоні - на відстані 7,5 м від вагона і такій же висоті над
рейками. Варіація значень рівнів шуму пов'язаний не тільки з конструкцією
вагона шуму ПС.
Середня швидкість вертикальних звукових вібрацій, які
виникають при русі трамвая зі швидкістю 40 км/год біля рейки, дорівнює 105 дБ,
а при швидкості 60 км/ год- 108 дБ.
Рис.1.8. Середні рівні шуму у середині трамвая: крива 1 - це
усереднені третьоктавні рівні, а заштрихована зона 2 - розкид рівнів шуму
усередині трамвая, що рухається зі швидкістю 40 км/год
Рівень вібрації на відстані 15 м від рейок, встановлених на
шпалах, які, у свою чергу, встановлені на щебеневу основу, при тих же
швидкостях руху знижується відповідно до 63 дБ і 66 дБ.
При замерзлому ґрунті узимку рівень вібрацій на відстані 15 м
від шляхів підвищується на 5 дБ, особливо в діапазоні частот приблизно 40 Гід
[3].
.1.3 Шум авіаційного транспорту
У літаків з реактивними двигунами шум обумовлений наступними
джерелами: реактивним струменем, турбіною, камерою згорання, шумом оптікання.
Внесок кожної зі складових переважно залежить від ступеня двоконтурності
двигуна.
Рис.1.9. Максимальний рівень шуму прольоту для літаків: крива
1 - відповідає випадку літака з двоступінчатою повітродувкою і вхідним
напрямним апаратом, 2 - випадку з одноступінчатою повітродувкою без вхідного
напрямного апарата; а-Б=0; б-Б=0,9; в-Б=1,3; г-Б=6
Реактивний струмінь і турбіна випромінюють звук переважно в
задньому секторі двигуна, а компресор і повітродувка - першій і задній сектори.
Тенденції в двигунобудуванні спрямовані на створення двигунів з високим
двоконтурним відношенням (до восьми). Шум струменя викликається турбулентною
зоною змішування, тобто зоною змішування вільних вихорів, що знаходиться на
відстані декількох діаметрів за вихідним отвором сопла [25].
В області 0,7 < М <1,6 звукова потужність турбулентного
струменя зростає пропорційно восьмому ступеню швидкості витікання, і
розраховується за формулою:
P
,
де 
-
густина у зоні змішування; 8 - площа вихідного перерізу сопла.
Спектр компресорів складається із широкосмугового шуму і тональних
складових. Причиною широкосмугового шуму є турбулентний потік, що набігає з
лопатей ротора і статора, а також нерівномірний зрив вихорів із самих лопатей.
Ці явища спричинюють нерівномірні пульсації аеродинамічних збурень, які
впливають на лопаті, що приводить до звуковипромінювання дипольного характеру.
Наявність у спектрі тональних складових обумовлена періодичними
коливаннями аеродинамічних сил. Ці сили спричинені в основному взаємодією
лопатей з потоком, що пройшли через напрямний апарат. Зазначені джерела звука
також мають дипольний характер. Основний тон має частоту f = ВN, де В -
кількість лопатей ротора; N - частота обертання ротора. У вхідному і вихідному
каналах обертові поля звукового тиску збуджують власні моди коливань, що
по-різному загасаючи, поширюються у навколишній простір [5].
Основні параметри, від яких залежить звуковипромінювання компресорів і
гвинтів, - це швидкість обертання лопатей, кількість лопатей ротора і статора,
відстань між статором і ротором, діаметр компресора чи повітродувки. При
збільшенні відстані між вхідними лопатями і ротором рівень шуму спочатку
знижується, а потім набуває постійного значення. Загасання мод при поширенні в
каналі залежить від імпедансу стінки, частоти і швидкості потоку. Якщо
швидкість руху лопатей перевищує швидкість звука, то утворюються ударні хвилі,
що відрізняються одна від одної внаслідок не ідентичності лопатей.
При поширенні ударних хвиль за напрямком до входу, їх не-ідентичність
може зрости. На вході тиск розподілиться таким чином, що період його зміни по
колу буде 2π. Цей розподіл тиску при обертанні лопатей зі
швидкістю, що дорівнює частоті обертання ротора N, спричиняє випромінювання
основного тону з частотою N, а також відповідних обертонів.
Рис.1.10. Максимальні рівні шуму літаків:октавні рівні шуму літака
ДС-8-62 обладнаного чотирма двигунами ИТЗД-ЗВ з подовженими вихідними каналами
повітродувки при різній тязі на одному двигуні
Як наближену формулу для розрахунку максимального рівня шуму на рівні
повітродувки в октавній смузі з частотою f - ВN , на відстані l=50 м
використовується вираз:
=
,
де Vs =2πNrs - швидкість руху кінців лопатей; rs - відстань від кінця
лопатей до осі ротора; D - діаметр компресора.
Численні дослідження шумових характеристик літаків встановили
залежність спектрів їхнього шуму від навантаження двигуна (рис.1.11).
Рис.1.11. Третьоктавні спектри різних літаків: а (1,2,3,4) - при
зльоті; б (1,2,3,4) - при посадці
Слід зазначити, що моменти виникнення максимальних значень
шуму під час прольоту, як правило, не збігаються через розбіжність у
характеристиках направленості при різних навантаженнях двигуна. Поршневі
двигуни використовуються лише на спортивних чи пасажирських літаках. Шум
переважно створюється двигуном і гвинтом.
Основними джерелами шуму вертольота є лопоті і двигуни. У
вертольотів з поршневим приводом звук створюється переважно двигуном. Багато
вертольотів оснащуються газотурбінними двигунами, причому шум реактивного
струменя і турбіни нижче, ніж шум ротора. Шум компресора, як правило,
високочастотний і незначний на великих відстанях.
Спектр шуму, випромінюваного ротором, утворюється тональними
складовими (шум обертання) з постійною частотою f = ВN, (В - кількість лопатей
ротора, N - частота обертання ротора) і широкосмуговим шумом. У спектрі шуму
ротора вертольота може міститися до 50 гармонік основного тону. Причиною появи
тональних складових є аеродинамічні сили, що впливають на лопаті. Вони
складаються зі стаціонарних (піднімальна сила й опір) і змінних складових.
Основною причиною виникнення змінних аеродинамічних сил є
взаємодія лопаті ротора з вихровим слідом попередньої лопаті. Крім того,
несиметричне обтікання лопатей при поступальному русі вертольота приводить до
періодичних змін аеродинамічних сил (швидкість польоту і швидкість руху лопатей
поперемінно складаються і віднімаються) [5].
.1.4 Джерела шуму промислових підприємств
Сучасні промислові підприємства повинні відповідати вимогам
санітарно-гігієнічним нормам.
Джерелами шуму на території промислового підприємства може
бути не тільки обладнання цехів, але і зовнішні джерела: вентилятори
повітрязабору, трансформатори, рейковий та автомобільний транспорт та ін.. Тому
шумовий режим промислового підприємства багато в чому залежить від кількості і
потужності зовнішніх джерел шуму . В якості прикладу зовнішніх джерел шуму в
табл.1.2 наведені рівні звукового тиску деяких підприємств.
Таблиця 1.2 Шум промислових підприємств
|
Комбінати
|
дБА
|
|
домобудівний
|
75
|
|
шкіряний
|
65
|
|
м'ясний
|
60
|
|
Заводи
|
дБА
|
|
моторний
|
75
|
|
хімічного обладнанням
|
70
|
|
лакофарбовий
|
65
|
|
консервний
|
60
|
|
приладобудівний
|
55
|
|
молочний
|
55
|
|
хлібобулочних виробів
|
55
|
|
безалкогольних напоїв
|
55
|
|
Фабрики
|
дБА
|
|
меблева
|
70
|
|
взуттєва
|
60
|
|
швейна
|
55
|
|
кондитерська
|
55
|
Присутні сфери комбінатів, заводів та фабрик в таблиці 1.2
розташовуються на території міста Київ серед жилих будинків. Найбільші рівні
звукового тиску - домобудівна, моторна, хімічного обладнання та меблева
діяльність [13].
Основні походження шуму промислових підприємств:
шум аеродинамічного походження, що виникає внаслідок різних
процесів у газах: завихрення й коливання повітря при обертанні лопаткових
коліс; пульсації тиску під час руху в повітрі деяких тіл з великими
швидкостями; витікання стиснутого повітря, газів, пари та ін.;
шум електромагнітного походження, що виникає внаслідок
коливань електричних пристроїв (ротора, статора, осердя, трансформатора та ін.)
під дією змінних магнітних полів;
шум гідравлічного походження, що виникає у рідинних процесах
(гідравлічні удари, кавітація, турбулентність потоку та ін.) [6].
.1.5 Аналіз розповсюдження джерел шуму від зовнішніх джерел в
приміщення
Джерелами шуму в житлових і громадських будівлях є шум
транспортних потоків, як зображено на рис. 1.12.
Рис.1.12. Вплив шумових хвиль на розміщені біля магістралі
будівлі
На огороджувальну конструкцію можуть впливати падаючі під
різними кутами звукові хвилі:

,
де 
(тут

-
швидкість звуку;
- довжина хвилі; 
-
кут падіння звукових хвиль); 
-
початкова фаза руху.
Початок прямокутної системи координат розміщений в лівому
нижньому кутку пластини, а осі х, у - направлені уздовж її сторін [18].
Сумарний тиск у кожній точці поверхні пластини при 
=

=
π и 
=

=
0, якщо з розгляду опустити множник ехр(
),
буде:

. (1.3)
Якщо початкові фазові кути 

(1.4)

, (1.5)
де 
,

мають
безперервні числові значення. Якщо 
то
в розподілі звукового тиску у формі (1.3) на краях пластини, встановленої в
прорізі акустично не прозорого екрану, будуть вузли (случай падіння звукових
хвиль на будівлі, екрани, кабіни, кожухи і т.п.), а у формі (1.4) - пучності
звукового тиску (джерело звуку усередині об’єму приміщення).
Умова (1.5) дозволяє записати важливу для подальших розрахунків
залежність між числами 
:
.
Вираження форми розподілу звукового тиску (1.3) і (1.4) зручно
переписати у відомому вигляді:

;

;

,
де 
-
амплітуди тиску, відповідно, в падаючих, відбитих і пройдених звукових хвилях.
Під впливом звукового тиску на стінці приміщення яка розглядається як
тонка шарнірно оперта прямокутна пластина виникає вільна пружна хвиля.
Виконання граничних умов призводить к висновку, що при шарнірному обпиранні на
краях пластини не виникають неоднорідні хвилі, таким чином в прямокутному
процесі приймають участь тільки біжучі хвилі [13].
1.1.6 Карта шуму міста
Карта шуму міста це великий розділ генерального плану, що
фіксує сучасне чи майбутнє стан шумового режиму в місті і рекомендує общіеі
конкретні шляхи досягнення нормативного рівня (на стадіях проектів планування,
забудови та благоустрою житлових мікрорайонів та окремих територій вимагають
особоо шумового режиму).
Послідовність побудови карти шуму наступна:
визначається значення еквівалентного рівня шуму та
інтенсивність руху на магістральній вулиці;
на план групи накладається перша частина шумографа для
інтенсивності руху 300-700 екіпажів в 1 ч таким чином, щоб перша тонка лінія
збіглася з бордюром проїзної частини;
через отвори на краях першої частини шумографа позначаються
олівцем і з'єднуючи отримані точки лініями сворюється картина зниження рівня
звуку на відстані у вільному звуковому полі;
за будівлями житлової групи утворюється акустична тінь. Її
«характер» можна визначити за допомогою другої частини шумографа;
з'єднується між собою однойменні Ізобел, що утворюються за
рогом будинку і на відкритій території, отримується картина поширення звуку за
правим кутом будівлі;
повернувши другу частину шумографа тильною стороною,
прикладається до лівого кута будівлі і повторюємо дії;
аналогічно фіксуються лінії, що характеризують акустичну тінь
за кутами всіх будівель;
будівля, що стоїть перпендикулярно до осі дороги, вносить
деякі зміни в характер Ізобел. У найближчого до дороги торця будинку
спостерігається відображення і посилення рівня звуку в середньому на 1 дБ А;
змінюється картина звукового поля і біля будівлі,
розташованої фронтально до вулиці. Зважаючи відображення звукової хвилі у
головного фасаду найближча до нього Ізобел, що відповідає рівню шуму 64 дБ,
переривається і підходить до кутів будівлі;
усуваються чорнові лінії і отримується картина звукового поля
для території житлової забудови [17].
Рис.1.13. Карта завантаженості транспортних магістралей міста
Києва
На рис.1.13 головні зображені магістралі міста Києва
складають близько 4500 автомобілів за годину що свідчить про постійні затори
[21].
Численні джерела міського шуму розкидані по території міста,
в результаті чого в ньому практично завжди відчувається так званий «акустичний
фон». Фоновий рівень звуку в сучасному місті становить 35-45 дБА навіть вночі
(всередині житлових груп мікрорайонів, в замкнутому контурі забудови, в точці,
максимально віддаленої від транспортних магістралей при відсутності видимих
джерел шуму і т.п. [17].
1.2
Аналіз джерел внутрішнього шуму в будівлях
Джерелами внутрішнього шуму в будівлях є побутовий,
структурний, повітряний та ударний шум.
Звукові хвилі, що поширюються від джерела шуму в повітрі
приміщення, багато разів відбиваються від огороджувальних його конструкцій. У
кожну точку приміщення приходять як прямий звук (від джерела шуму), так і
відбитий від огорож, енергія їх підсумовується. Тому в приміщенні рівень
звукового тиску від джерела заданої звукової потужності більше, ніж у відкритому
просторі, де відображення відсутні. Відображення приводять також до збільшення
тривалості звучання, так як звук від кожного наступного відображення приходить
у розглянуту точку з деякою затримкою.
Енергія звуку кожного наступного відображення менше попереднього,
так як вона поглинається повітрям і відбивають звук поверхнями, тому рівень
звукового тиску короткочасного звукового імпульсу зменшується в часі. Цей
процес характеризується часом реверберації Т, с, за яке рівень звукового тиску
в приміщенні після припинення дії джерела шуму зменшується на 60 дБ. Чим довше
час реверберації, тим значніше внесок, внесений відбитим звуком в рівень
звукового тиску в приміщенні. Час реверберації зменшується зі збільшенням
звукопоглинання в приміщенні [20].
Здатність приміщення (його огороджень, розташованої в ньому
меблів, і т.д.) поглинати звукову енергію виражається еквівалентної площею
звукопоглинання А. Ця величина пов'язана з часом реверберації співвідношенням:
=0,163V/T,
де V - об’єм приміщення,
[11].
Щоб отримати задане значення Т в більшому приміщенні потрібно мати і
більшу А, тому доцільно оцінювати звукопоглинальні властивості житлових
приміщень ставленням еквівалентної площі звукопоглинання A до площі підлоги 
,

.
У нормованому діапазоні частот величина А практично не залежить від
частоти, тому звукопоглинання в мебльованих житлових приміщеннях можна
характеризувати усередненими по частоті значеннями А або 
.
В обстежених приміщеннях 
змінювалось
в діапазоні 0,4...1,4 та в середньому було 0,85. В 50% випадків 0,67 < 
<
1,05 и в 85% випадків 0,61 < 
<
1,18.
∆L = 10lgn.
Спостережувані відхилення в насиченні житлових приміщень меблями,
килимами, іншими предметами призводять до зміни рівня звукового тиску від
заданого джерела шуму в межах 2,2 ... - 3,3 дБ у порівнянні з приміщеннями, що
мають середнє значення 
.
Однак для 50% приміщень ці зміни не перевищують ±1 дБ, а для 85% приміщень - не
перевищують ±1,5 дБ. Таким чином, вплив реальних відмінностей у звукопоглинання
на рівень звукового тиску в житлових приміщеннях порівняно невелике [27].
Кожне приміщення має набір мод - форм власних коливань укладеного в
ньому повітря. Власні коливання можливі на таких частотах, на яких в результаті
накладення прямих і відбитих хвиль в повітрі приміщення утворюються стоячі
хвилі, що мають стаціонарно розташовані вузли та пучности.
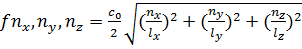
Власні частоти основних мод прямокутного приміщення визначають за
формулою:

,
де 
-
швидкість звуку в просторі, м/с; 
-
розміри приміщення у напрямках х, у, z, паралельних його сторонам, м; 
-
незалежні одне від іншого числа, які можуть приймати будь-які цілі значення: 0,
1, 2…
Власна частота першої основної моди (при 
=
1,
= 
=
0, 
>


>

)
житлових приміщень будинків масового будівництва знаходиться в межах 30 ... 60
Гц, а в першій 1/3 октавній смузі нормованого діапазону частот розташовується 3
... 8 основних мод таких приміщень.
Основна частка звукової енергії, що випромінюється джерелом шуму,
переноситься за допомогою мод приміщення на його власних частотах, на яких
відбувається резонансне рух повітря. На інших частотах повітря приміщення
здійснює тільки вимушені коливання і частка переносимої цими коливаннями
енергії істотно менше.
Змінний тиск, створюваний звуковими хвилями на поверхні огороджувальних
приміщення конструкцій, викликає їх коливання. Інтенсивність коливання
однорідної конструкції можна оцінити рівнем віброшвидкості 
її
поверхні. Він пов'язаний з рівнем звукового тиску в приміщенні, в якому
знаходиться джерело шуму 
простою
залежністю:

=
- R,
де R - ізоляція повітряного шуму конструкцією.
Коливання поверхні конструкції передаються частинкам повітря сусіднього
приміщення, відбувається випромінювання в нього звукової енергії. При цьому
рівень звукового тиску в цьому приміщенні 
визначається
виразом:

=
+ 10lg
(ơF/A),
де F - площа конструкції; А - еквівалентна площа звукопоглинання в
приміщенні;
ơ - коефіцієнт випромінювання
конструкції.
Якщо конструкція неоднорідна по площі, має ділянки з різною ізоляцією
повітряного шуму 
то
пряма передача звуку відбувається через ці ділянки з різною інтенсивністю.
Сумарний рівень звукового тиску в ізольованих приміщенні в цьому випадку
визначається за формулою:

,
(1.6)
де 
-
рівень звукового тиску в приміщенні при проходженні звуку лише через i-й
ділянка конструкції.
На практиці найчастіше зустрічаються конструкції, що складаються з двох
поверхонь з різними значеннями R, - стіна з дверима, огорожа, ослаблене нішею,
наскрізним отвором, щілиною і т.п. У цьому випадку можна використовувати
середню ізоляцію повітряного шуму конструкцією 
,
визначаємо по формулі:

,
де 
-
ізоляція повітряного шуму кожною з двох ділянок конструкції (
);

,

-
площі цих ділянок [15].
Між двома сусідніми приміщеннями шум розповсюджується в результаті його
поширення скрізь двері, вікна, по системі вентиляції і т.д., а також - у
вигляді структурного шуму по конструкціях будівлі, трубопроводах і т.д.
Непряма передача повітряного шуму найбільш важлива для приміщень однієї
квартири. Якщо ці приміщення розділені глухими перегородками, то вони мають
двері, що виходять у внутрішньоквартирний коридор, хол, передпокій. При
використовуваної в масовому будівництві системі вентиляції житлових приміщень з
надходженням повітря через вікна і його видаленням через вентиляційні канали,
розташовані в кухнях і санвузлах, внутрішньоквартирні двері повинні мати щілини
для пропуску повітря, що видаляється. Це виключає можливість значного
поліпшення їх звукоізоляційних властивостей.
Вплив проходження шуму скрізь двері та коридор на звукоізоляцію
приміщень, розділених міжкімнатної перегородкою, показано на рис.1.14.
Рис.1.14. Передача шуму між кімнатами в квартирі: а) - частотні
характеристики ізоляції повітряного шуму; б) - міжкімнатної перегородки без
отвору: 1 - при замкнутих дверях в коридор; 2 - при закритих дверях та
додатковому ущільненні дверних прорізів спеціальними щитами
Вимірювання виконані двічі - при закритих дверях в кімнати і
при додатковому ущільненні дверних прорізів спеціальними щитами, різко
збільшують ізоляцію повітряного шуму дверима. Підвищена передача повітряного
шуму непрямим шляхом призвела до зниження фактичних індексів ізоляції
повітряного шуму між сусідніми приміщеннями до 35 ... 41 дБ. Зниження звукоізоляції,
викликане непрямою передачею шуму, склало в середньому 3 дБ. Розраховані
індекси ізоляції повітряного шуму, що відносяться до шляху його передачі через
двері та коридор, склали 30 ... 36 дБ [25].
Рівень звукового тиску в ізольованих приміщенні може бути
визначений енергетичною сумою за формулою (1.6.) рівнів звукового тиску від
різних акустичних джерел. Ударний вплив збуджує спочатку окремі панелі будівлі.
При поширенні шуму в більш віддалені від його джерела пряма
передача виключається, а непряма стає більш складною. Ця складність викликана
взаємним обміном енергією між хитаються конструкціями і повітрям приміщень,
розташованих на шляху шуму. Як правило передача шуму з віддалених приміщень
виявляється малим в порівнянні з його передачею з безпосередньо прилеглих
приміщень, на що вказує, зокрема, відсутність скарг на такі шуми при
опитуваннях проживають в житлових будинках.
Можливість проходження звуку через щілини і тріщини у
внутрішніх огорожах сучасних житлових будинків визначається наявністю стиків
між збірними елементами, суцільність яких може бути порушена в результаті
експлуатаційних впливів. Це відноситься як до повнозбірних будівель
(великопанельним, великоблочні), так і до будівель інших типів (цегляним,
монолітним), в яких застосовують окремі збірні елементи (плити або панелі
перекриттів, збірні елементи перегородок і т.д.).
Висока ймовірність утворення наскрізних тріщин в монолітних
бетонних огорожах в результаті деформацій усадки, особливо в місцях
технологічних швів. Підвищений тріщиноутворення спостерігається в тонкостінних
елементах об'ємних блок-кімнат у випадках недостатньої відпрацювання технології
їх виробництва. Іншою важливою причиною, що приводить до наскрізним щілинах в
огорожах, є необхідність розміщення в конструкціях і пропуску через них
елементів інженерного обладнання (опалення, вентиляції, електро-, водо-,
газопостачання, каналізації та ін.).
Порушення суцільності в стиках збірних елементів викликається
їх взаємним переміщенням, яке обумовлено такими експлуатаційними процесами як
змінне навантаження перекриття, нерівномірне осідання окремих елементів
будинку, температурно-вологісні деформації зовнішніх огороджень і т.д.
Протидіяти негативному впливу цих процесів на звукоізоляційні
властивості конструкцій можна різними способами: запобіганням від наскрізної
тріщини, щілини шляхом замонолічування стику зі спеціальним армуванням або
застосування в стику герметизуючих матеріалів; обмеженням ширини розкриття
тріщини величиною, при якій зниження звукоізоляції знаходиться в межах запасу,
наявного у конструкції; підвищенням звукоізоляційних властивостей стику з
тріщиною наданням йому особливої конфігурації і включенням в нього
звукопоглинального матеріалу.
Проходження звуку через невеликі отвори в вузькі щілини являє
собою складний процес, що залежить від багатьох факторів. Основні фізичні
явища, що визначають інтенсивність цього процесу: дифракція звукових хвиль, їх
відображення на виході з отвору, резонанс об'єму повітря, укладеного в отворі,
поглинання звуку обмежують його поверхнями, тертя і теплообмін між ними і
повітрям в отворі.
Інженерне обладнання житлових будинків - ліфти, холодне і
гаряче водопостачання, каналізація, опалення, сміттєпроводи - є джерелами шуму,
які розподілені по всій будівлі і діють як у зв'язку з життєдіяльністю
мешканців будинку, так і незалежно від неї. Режим роботи в часі, механізми
шумоутворення в різних видах інженерного обладнання вельми різноманітні.
Це відбивається на тимчасових і частотних характеристиках
вироблених ними шумів. Вони можуть бути постійними, як, наприклад, шуми від
роботи насосів систем водопостачання та опалення, і змінними або
переривчастими, як шуми, викликані користуванням ліфтом, водопроводом і т. д.
Джерелом шуму, яке пов'язано з функціонуванням інженерного
обладнання житлового будинку, є ліфтове обладнання. Джерелами шуму ліфтового
обладнання є електродвигун, лебідка з редуктором, трансформатори,
реле-перемикачі, розміщені в машинному приміщенні. Шум виникає також при русі
кабіни ліфта і противаги по напрямних, відкриванні та закриванні дверей, роботі
поверхових перемикачів, блокувальних пристроїв. У роботі ліфта розрізняють
перехідні (в моменти пуску і зупинки) і сталий (при русі кабіни) режими.
Відповідно в тимчасовій характеристиці генерованого ліфтом шуму спостерігаються
короткочасні піки рівня звукового тиску, відповідні перехідними режимами
роботи. Узагальненою характеристикою шумності ліфта може служити рівень звуку,
що створюється в його машинному приміщенні.
Таблиця 1.3 Характеристика шуму в машинних відділеннях
|
Місто
|
Етажність
|
Рік експлуатації
|
Вид ліфта
|
Кількість досліджених ліфтів
|
 , дбА, при режимі роботи , дБА
|
|
|
|
|
|
|
Перехідному
|
Усталеному
|
|
|
Київ, вул. Борщагівська
|
9
|
1980
|
Радянський
|
2 5 2
|
85 85,4 76
|
77 77,4 70,5
|
- - -
|
|
Київ, вул. Татарська
|
9 16
|
1983 1983
|
Радянський
|
3 3
|
86 88
|
74,5 78
|
- -
|
В табл. 1.3 наведені середні по кожному будинку рівні звуку,
які отримані як середньоарифметичне значень, виміряних в різних секціях будинку
(в кожному будинку вимірювання проводили в 2 ... 5 секціях).
Еквівалентні рівні звуку виміряні при тривалості роботи ліфта, рівної
близько 25% загальної тривалості виміру. Очевидно, що на отримані значення 
плинув
рівень шумового фону в машинних приміщеннях ліфтів (при непрацюючій лебідці).
Він становив 40 ... 50 дБА і в основному був викликаний шумом від розташованих
в машинних приміщеннях трансформаторів.
Рівні звуку, створювані в машинних приміщеннях ліфтами вітчизняного
виробництва, змінюються в порівняно невеликих межах (5 ... 6 дБА) в різних
будинках і різних містах (85 ... 91 дБА в перехідному режимі, 73, 6 ... 79 дБА
в сталому режимі). В даний час промисловістю освоюється виробництво ліфтових
машин (лебідок) з меншою звуковий потужністю.
Джерелами шуму сантехнічного обладнання є трубопроводи холодного,
гарячого водопостачання та каналізації; роздавальні пристрої: крани, душові
сітки; сантехнічні прилади: ванни, умивальники, мийки, унітази зі змивного
бачка. Шуми, що генеруються в цих приладах і пов'язаних з ними елементах
водопровідної та каналізаційної мережі, можна розділити на два види. По-перше,
шуми, що виникають при русі рідини по трубах і інших елементів мережі (фасонним
деталям, змішувачів, вентилів), при її закінченні з кранів, душових сіток і
видаленні через зливні отвори, сифони і т. п. По-друге, шуми , що виникають при
падінні рідини на дно і стінки приладів, або на шар міститься в них. Шуми
першого виду пов'язані з нерівномірним, турбулентним рухом рідини, а також з
засмоктуванням повітря та гідродинамічної кавітацією (утворення в рідині
газових бульбашок і порожнин та їх захлопування). Виникнення та інтенсивність
цих явищ залежать від тиску, швидкості руху рідини, конструктивних параметрів
труб та інших елементів мережі та санітарних приладів.
Шуми цього виду зростають зі збільшенням тиску і швидкості течії води,
при наявності в трубопроводах та приладах елементів, що викликають різке зміна
напрямку течії або перерізу потоку. Причина шумів іншого виду - вібрація стінок
санітарних приладів, що викликається ударами падаючої води, а також
шумоутворення в шарі заповнює їх рідини. Інтенсивність цих шумів залежить як
від сили ударів (напору струменя), так і від конструктивних параметрів приладів
(матеріалу, товщини стінок і т. д.).
Крім шумів, що виникають при користуванні сантехнічним обладнанням,
трубопроводами можуть передаватися шуми від джерел, розташованих поза домом, -
насосів холодного, гарячого водопостачання та опалення, найчастіше знаходяться
в центральних теплових пунктах (ЦТП). Звукова потужність насосів вітчизняного
виробництва досить велика - вони створюють у приміщенні ЦТП рівні звуку, що
перевищують 90 дБА. Звукова енергія передається від насосів по стінках
трубопроводів у вигляді структурного шуму і по воді у вигляді пульсації тиску.
Звукова потужність насосів і рівні переданого шуму особливо зростають, коли
гідравлічна характеристика циркуляційної системи водопостачання або опалення не
узгоджена із зоною оптимального режиму робочої характеристики насоса, що
зв'язує витрата води і тиск в ній.
Передача звуку по конструкціях (передача структурного шуму) обумовлює
можливість непрямого (в обхід огорожі, яка розділяє приміщення) проходження
шуму по ним, а також відтоку звукової енергії з огорожі в суміжні конструкції.
Процес непрямої передачі звуку по конструкціях включає три стадії: збудження
коливань огорож в приміщенні з джерелом шуму в результаті впливу на них
повітряного звукового поля; поширення коливань від огорож в приміщенні з
джерелом шуму через вузли будівлі до огорож в ізолюючої приміщенні, тобто
передачу структурного шуму; випромінювання звукової енергії в ізольованих
приміщенні його хитаються огорожами.
Перша і остання стадії цього процесу не мають істотних відмінностей від
аналогічних стадій при прямій передачі звуку. Специфічною ж стадією тут є
передача структурного шуму у вузлах будівель. Вона характеризується
коефіцієнтом передачі вібрації (г) між сполученими у вузлі елементами або
ізоляцією структурного шуму (Дс) їх з'єднанням. Між названими характеристиками
існує залежність:
с=10lg(l/
).
Частина енергії вигинистих хвиль в огорожі, падаючих під довільними
кутами на лінії з'єднання з іншими конструкціями, відбивається, а частина
передається в поєднані елементи.
У загальному випадку в цих елементах збуджуються вигинання, поздовжні і
поперечні (сдвігові) хвилі, а також швидко затухаючі з відстанню вигинання
хвилі (ближнє поле). Відбувається обмін енергією як між з'єднаними елементами,
так і між видами і формами коливань. Теоретичні вирішення завдань передачі
структурного шуму в з'єднаннях конструкцій привели до складних аналітичним
виразами. Практично застосовні формули отримані для окремих випадків при
значному спрощенні реальних умов.
1.2.1 Аналіз акустичних властивостей
приміщення
Акустичні коливання у замкнених приміщеннях після
багаторазового відбиття хвиль від обмежуючих поверхонь утворюють складне
звукове поле. Це акустичне поле визначається характеристиками джерела
звука,геометричними розмірами і формою приміщення, коефіцієнтами поглинання
звука на поверхнях приміщення.
Основні припущення при розрахунку акустики приміщення є:
дифузне поле у приміщенні ізотропне (напрямки потоків звукової енергії
рівноймовірні) і однорідне (густина акустичної енергії Е поля у приміщенні
стала).
При практичних розрахунках акустики приміщення використовується
променева теорія поширення звука у приміщенні, яка справедлива за умови 
де

-
мінімальний лінійний розмір приміщення, 
-
довжина звукової хвилі. Густину енергії у приміщенні можна подати у вигляді
суми густини енергії прямого 
і
відбитого 
звука.
=
,
де 
-
середній коефіцієнт поглинання, І - загальна площа обмежуючих поверхонь; 
-
повний просторовий кут, в який поширюється звук (
,
називається зоною прямого звука, а у випадку 
-
зоною відбитого звука.
Акустичне відношення визначається для зон, в яких знаходяться слухачі.
Величина акустичного відношення для передачі мови змінюється в межах 0,5...4,
для музичних передач - у діапазоні 2...8. Коли значення акустичного відношення
менше від наведених величин, передача звучить уривчасто. Якщо вказаний параметр
більше від наведеної межі - мова стає погано визначеною.
1.2.2 Аналіз поширення звуку в будівлях
В більшості випадків джерела шуму встановлені в закритих
приміщеннях. При випромінюванні шуму звукові хвилі в приміщенні поширюються
безперешкодно тільки до огорож, потім вони багаторазово відбиваються від них.
Повітряний об'єм в приміщенні під дією прямих хвиль від джерела і хвиль,
відбитих від усіх огороджень, приходить в коливальний рух.
З фізичної точки зору замкнутий повітряний об'єм, обмежений
поверхнями, здатними в тій чи іншій мірі поглинати падаючу на них звукову
енергію, являє собою лінійну коливальну систему з певним спектром власних
частот, що характеризують швидкість загасання кожного з власних коливань
системи. При вимушує впливі шуму, випромінюваного машиною, в повітряному обсязі
приміщення порушуються власні коливання з частотами, близькими до частот різних
складових спектра шуму.
Акустичні коливання у замкнених приміщеннях після багаторазового
відбиття хвиль від обмежуючих поверхонь утворюють складне звукове поле. Це
акустичне поле визначається характеристиками джерела звука, геометричними
розмірами і формою приміщення, коефіцієнтами поглинання звука на поверхнях
приміщення. Основні припущення при розрахунку акустики приміщення є: дифузне
поле у приміщенні ізотропне (напрямки потоків звукової енергії рівноймовірні) і
однорідне (густина акустичної енергії Е поля у приміщенні стала). Ці припущення
справедливі за умови, що у приміщенні немає фокусуючих елементів, геометрично
симетричних обмежуючих поверхонь, мінімальний розмір приміщення більше від
середньої довжини хвилі, а поглинальна здатність поверхонь не дуже велика. У
цьому випадку припускається, що у приміщенні акустичні хвилі некогерентні
(відсутнє явище інтерференції хвиль), звукове поле може бути задане у вигляді
ансамблю плоских хвиль, що характеризуються вектором 
і
кутовими змінними 
.
При інженерних розрахунках сумарна звукопоглинаюча приміщення
визначається за наступною формулою:

,
де 
-
площа i-го елемента приміщення, що має коефіцієнт поглинання 
.
Коефіцієнт поглинання залежить від частоти і пружних властивостей матеріалу
приміщення. Наприклад, бетон, штукатурка на цегельній стіні мають коефіцієнт
поглинання 0,015...0,025, драпіровка з м'якої тканини, килим в області низьких
частот мають коефіцієнт поглинання порядку 0,3 .
Основним параметром акустичних властивостей приміщення є час
реверберації. Одним з параметрів приміщення є акустичне відношення 
відношення
густини енергії дифузної складової акустичного поля до густини енергії прямого
звука:
де r - відстань від джерела до точки прийому [19].
1.2.3 Аналіз системи кондиціювання повітря
Якісна і надійна робота систем кондиціонування повітря і
вентиляції, перш за все, визначається якістю розроблених проектних рішень,
якістю і надійністю застосовуваного устаткування. Сучасні системи
кондиціонування повітря (СКП) повинні відповідати таким умовам:
забезпечувати цілорічне функціонування за енергозберігаючою
технологією, що забезпечує значне (до 60%) скорочення витрат тепла і
електроенергії в порівнянні з традиційними СКП;
поліпшувати охорону навколишнього повітряного середовища;
включати у СКП просте з обслуговування і надійне в роботі
обладнання.
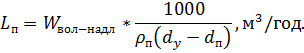
Продуктивність по повітрю припливних і витяжних систем вентиляції та
кондиціонування визначаються за умовами видалення з зони проживання
шкідливостей, що впливають на формування визначальних повітряних параметрів. У
приміщеннях громадських і житлових будівель визначальними шкідливостями, як
правило, є тепловиділення 
Вт.
Розрахунок необхідної витрати припливного повітря для видалення надлишкового
тепла проводиться за формулою:
Температури припливного повітря 
визначається
вибраним режимом його приготування та воздухорозподілення. Температура
видаленого 
повітря
залежить від прийнятої схеми організації повітрообміну в приміщенні. Найбільш
якісним по санітарно-гігієнічним вимогам є схема подачі приготованого
припливного повітря 
безпосередньо
в робочу населену зону і витяжка, загазованість і запорошеного повітря з
верхньої зони під стелею приміщення.
Умови організації повітрообміну зручно оцінювати через показник 
,
обчислюваний для умов видалення залишків тепла по формулі:

,
де 
,
,
- температура відповідно припливного, в зоні проживання і видаляється витяжними
системами повітря в градусах Цельсія [20].
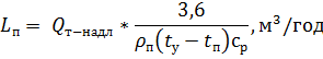
При наявності в приміщенні переважаючих вологовиділення 
в
кг/год, що характерно наприклад для приміщень плавальних басейнів, кількість
нудотного повітря для видалення влагоізбитків обчислюється за формулою:
Вологовміст повітря приточування 
,
г/кг, визначається вибраним режимом його приготування. Вологовміст повітря, що
видаляється 
,
г/кг, визначається прийнятою схемою організації повітрообміну.
Для умов переважаючого видалення влагоізбитків показник організації
повітрообміну обчислюється за формулою:

.
Вологовміст повітря в робочій зоні 
залежить
від призначення приміщення і нормованих параметрів 
и

.
Найбільші теплонадлишки в приміщеннях мають місце в
розрахункових умовах теплого періоду року, які обчислюється при параметрах Б.
Це характерно для умов формування теплових режимів в приміщеннях житлових,
громадських і промислових будівель.
Рис.1.15. Порівняльні показники двох систем організації
повітрообміну в приміщенні
На рис.1.15 показані дві принципово різні схеми організації
повітрообміну в приміщенні, а - система зверху - вгору, 
=

=
1; б - схема затоплення робочої зони припливним повітрям і витяжка під стелею, 
=

=
1,83.
Схема зверху-вгору рис. 1.15 - а є найбільш традиційною для пристрою
вітчизняних систем вентиляції та кондиціонування в громадських,
адміністративних та промислових будівлях.
Подача припливного повітря зверху в робочу зону призводить до
перемішування повітря по висоті приміщення. Такий режим організації
повітрообміну називають змішувальної вентиляцією, що обумовлює температуру
повітря по висоті приміщення 
=

і
показник 
=
1. В натурних випробуваннях в сучасних приміщеннях текстильних підприємств, де
припливні і витяжні пристрої розташовуються в цехах висотою до 8 м на стелі на
відстані до 2 м між собою, відзначені більш низькі температури 
повітря,
що видаляється в порівнянні з температурою повітря 
в
робочій зоні цеху. У цих спостереженнях отриманий показник 
<
1, що вказує на попаданні частини охолодженого повітря приточування до витяжних
отворів, минаючи робочу зону і це значно знижує ефективність відведення
надлишкового тепла в робочій зоні. Крім цього, методи змішувальної вентиляції
обумовлюють підмішування до припливної струмені повітря з верхньої зони
примищення частини шкідливостей, таких як водяні пари і легкі гази, які
піднімаються конвективними потоками під стелю. Повернення в робочу зону
припливним повітрям частини шкідливостей із верхньої зони значно погіршує
санітарно-гігієнічні і енергетичні якості від роботи систем вентиляції та
кондиціонування повітря.
Робоча зона заповнюється свіжим припливним повітрям і під стелю
витісняються шкідливі речовини, що називається методом витісно-котельної
вентиляції. Необхідно прагнути до масового впровадження в практику проектування
і будівництва систем вентиляції та кондиціонування методів подачі припливного
повітря в робочу зону і витяжку під стелею (витискувальний вентиляція).
Обмежувальним умовою для застосування схем передачі вентиляції є обов'язкове
виконання вимог комфортності надходження припливного повітря в робочу зону
перебування людей.

.
(1.7)
Для житлових жилих приміщень у формулі (1.7) замість кількості людей в
приміщеннях Л використовується величина жилої площі 
,

.
Кількість відведеного надлишкового тепла мінімальним витратам припливного
зовнішнього повітря 
обчислюється
за формулою:

,
Вт.
Температура охолодженого припливного зовнішнього повітря 
вибирається
з умов забезпечення комфортності розподілу повітря в робочу зону і можливостей
використовуваних засобів охолодження в агрегаті зовнішнього повітря. Для
зниження температури 
при
подачі охолодженого зовнішнього повітря в робо чую зону успішно застосовуються
вітчизняні конструкції повітророзподільників зі змішанням охолодженого
зовнішнього 
та
внутрішнього 
повітря.
Температура припливного повітря в змішувальних ежекційних
повітророзподільника обчислюється за формулою:

,
де 
-
коефіцієнт ежекції в повітророзподільник внутрішнього повітря 
на
одиницю припливного зовнішнього повітря 
.
У сучасних ежекційних повітря розподільних апаратів досягається
показником 
2,8
[21].
1.3 Нормування шуму в будівлях
При нормуванні шуму до уваги беруться різні його види.
Відповідно до ГОСТ 12.1.003-83 шуми класифікуються за характером спектра та
часовими характеристиками. За першою ознакою шуми поділяються на широкосмужні,
з неперервним спектром, шириною більш ніж одна октава, та вузькосмужні або
тональні, у спектрі яких є виражені дискретні тони. За часовими
характеристиками шуми можуть бути постійними, якщо їх рівень шуму протягом
робочої зміни (8 годин) змінюється не більш ніж на 5 дБА, та непостійними.
Останні поділяються:
• на мінливі, рівень шуму яких
безперервно змінюється (коливається) в часі більш ніж на 5 дБА;
• переривчасті, рівень шуму яких
змінюється ступінчасто на 5 дБА і більше, при цьому довжина інтервалів, під час
яких рівень залишається сталим, становить 1c i більше;
• імпульсні, які складаються з одного
або декількох звукових сигналів, кожен з яких довжиною менше 1 с, при цьому
рівні шуму відрізняються не менш ніж на 7 дБА [9].
1.3.1 Санітарно-гігієнічні, технічні
та екологічні норми
Санітарно-гігієнічні норми шуму включають нормування
допустимих рівній шуму в приміщеннях житлових і громадських будівель і на
території житлової забудови, а також норми виробничого шуму: “Санитарные нормы допустимого шума в
помещениях жилых и общественных зданий и на территории жилой застройки” (1984р.), “Санітарні норми
виробничого шуму, ультразвуку та інфразвуку” (ДСН 3.3.6.037-99).
Санітарні норми не розповсюджуються на приміщення
спеціального призначення (радио-, теле-, кіностудії, приміщення театрів і
кінотеатрів, концертні і спортивні приміщеннята ін.).
Нормованими параметрами постійного шуму являються рівні
звукового тиску дБ, в октавних смугах частот з середньо-геометричними частотами
63, 125, 250, 500, 1000, 2000, 4000, 8000 Гц (октавні рівні звукового тиску). Для
орієнтовної оцінки допускається ви користування рівні звуку, дБА.
Нормованими параметрами непостійного шуму являються
еквівалентні (по енергії) рівні звуку дБА, і максимальні рівні звуку дБА.
Оцінка непостійного шуму на відповідність допустимим рівням повинна проводитися
одночасно по эквивалентному і максимальному рівням звуку.
Відповідно до Закону України “Про охорону атмосферного
повітря” в галузі охорони атмосферного повітря встановлюються нормативи
гранично допустимого впливу фізичних факторів стаціонарних та пересувних
джерел. Нормативи гранично допустимих рівнів впливу на атмосферне повітря
встановлюються для кожного стаціонарного джерела та для кожного типу пересувних
джерел з врахуванням сучасних технічних рішень щодо зниження рівнів впливу фізичних
факторів, в тому числі шуму.
Рівні впливу цього фактору на стан атмосферного повітря,
вимоги до їх скорочення встановлюються відповідним дозволом на основі
затверджених відповідно до санітарних норм нормативів. Господарська чи інші
види діяльності, якщо вони пов‘язані з порушенням передбачених дозволом рівнів
акустичного впливу на стан атмосферного повітря, може бути обмежена, тимчасово
заборонена (зупинена) або припинена відповідно до законодавства.
Допустимі значення октавних рівнів звукового тиску, рівнів
звуку, еквівалентних і максимальних рівнів звуку проникаючого шуму в приміщення
житлових і суспільних будівель, і шуму на території забудови слідує приймати по
таблиці 1.4.
Таблиця 1.4 Поправки на характер шуму і місця розташування
об'єкту
|
Фактор
|
Умови
|
Поправка, дБ
|
|
Характер шуму
|
Широкосмуговий
|
0
|
|
Тональний, імпульсний
|
-5
|
|
Місце розташування
|
Курортний район, місця відпочинку, туризму, зелена
зона міста
|
-5
|
|
Новий район
|
0
|
|
Район забудови, що склався
|
+5
|
При сертифікаційних вимірюваннях шуму автомобіля мікрофон
встановлюється на відстані 7,5 м від осі смуги руху транспортних засобів. На
рис. 1.16 показана схема вимірювання шуму автомобіля.
Санітарно-гігієнічні норми визначають необхідний ступінь
послаблення шуму, а технічні - вказують на досяжні на практиці величини рівнів
шуму технічних джерел. В табл. 1.5 наведені регламентовані рівні шуму.
Рис. 1.16. Схема вимірювання шуму автомобіля
Таблиця 1.5 Максимально допустимі рівні шуму нових
транспортних засобів
|
Тип транспорту
|
Максимальний рівень шуму, dBA
|
|
Приватні автомобілі
|
80
|
|
Службові автомобілі, що мають масу не більш 3,5 тон
|
81
|
|
Громадський транспорт, що має масу не більш 3.5 тон
і не належить до наступних категорій транспорту: - автобуси; - міжміські
автобуси.
|
82 84
|
|
Громадський транспорт с потужністю двигуна більш 200
к.с.: - автобуси; - міжміські автобуси.
|
85 87
|
|
Комерційний транспорт, що має масу більш 12 тон і
потужність двигуна більш 200 к.с.
|
88
|
|
Комерційний транспорт, що має масу більш 3.5 тон і
не належить вищезгаданій категорії автомобілів
|
86
|
|
Двоколісний транспорт: - мопеди; - легкий мотоцикл;
- важкий мотоцикл.
|
72 80 84
|
|
транспорт, що має більше двох коліс: - важкий
мотоцикл; - важкий трицикл, квадроцикл
|
73 81
|
Технічне нормування шуму забезпечує максимальне допустиме
зниження шуму обладнання, пристроїв, транспортних засобів із умов впровадження
існуючих наукових досягнень, новітніх технологій, використання нових
матеріалів, вдосконалення виробничих процесів. Тому технічні норми періодично переглядаються
з метою більш жорстких нормативних обмежень щодо шуму.
Допустимі рівні шуму від зовнішніх джерел в приміщеннях
встановлюються за умови забезпечення вентиляції приміщень (для житлових
приміщень, палат, класів - при відкритих кватирках, фрамугах). Еквівалентні і
максимальні рівні звуку в дБА для шуму, створюваного засобами автомобільного,
залізничного, авіаційного транспорту, в 2 м від захищаючих конструкцій
допускається приймати на 10 дБА вище для територій першого ряду житлових
будівель, готелів, гуртожитків, обернутих убік магістральних вулиць
загальноміського і районного значення [10].
1.3.2 Вплив шуму на людину
Головними видами несприятливого впливу шуму навколишнього
середовища на людину є:
1.
перешкода
мовному зв’язку;
2.
перешкода
сну;
3. ризик пошкодження слуху.
Рідше визнаються несприятливими такі впливи шуму на людину
як:
1. фізіологічні (сердцево-судинні та циркуляторні)
проблеми;
2. психологічні проблеми (що походять від інтенсивного
роздратування);
. соціальні поведінкові проблеми.
У той час, як пошкодження слуху не є звичайним наслідком від
експозиції шуму довкілля, різноманітні перешкоди мовленню і сну є великою
проблемою для населення, наприклад того населення, що проживає навколо
аеропортів та транспортних магістралей.
Роздратування є найбільш поширеним ефектом несприятливого
впливу шуму довкілля, яке узагальнює у собі окремі види несприятливого впливу,
в тому числі перші три вище зазначені види впливу шуму навколишнього
середовища.
Як люди сприймають гучність або шумність будь-якого даного
звуку залежить від декількох вимірюваних фізичних характеристик звуку,
емоційних та соціальних чинників, які супроводжують дію шуму. Цими чинниками є:
інтенсивність, частотний склад, зміни рівня звукового тиску, швидкість та
діапазон зростання рівня звукового тиску, емоційні змінні, відчуття
необхідності або превентивність шуму, оцінка важливості і значення діяльності,
яка продукує шум, діяльність людини під час шуму, ставлення до довкілля,
загальна чутливість до шуму, переконання про вплив шуму на здоров'я, відчуття
побоювання, пов'язане з шумом, тип сусідства, час доби, сезон року,
передбачуваність шуму, контроль джерела шуму, час, на протязі якого людина
піддається впливу шуму [14].
1.4 Методи моніторингу зовнішніх
та внутрішніх джерел шуму
Контроль навколишнього середовища, і, зокрема, шумового
забруднення в даний час є життєво важливою проблемою для майбутнього розвитку
аеропортів. Одна з основних проблем є те, що цей розвиток вітав громадян, які
живуть в околицях аеропорту. Аеропорти повинні показати, що вони повністю
контролюють цей потенціал неприємність. Іншими словами, вони потребують
надійної, ефективної та оперативної системи моніторингу шуму.
Відповідно до цілей розроблені рекомендації і стандарти -
міжнародні і національні, які визначають вимоги до процедур вимірювання, складу
вимірювальної апаратури, процедур обробки акустичних сигналів, відображення
результатів вимірювання. Але насамперед необхідно враховувати на наявність
вимог щодо встановлення систем моніторингу (або контролю) шуму в аеропортах. У
законах і нормативних документах дані вимоги є обов'язковими, наприклад,
стосовно міжнародних аеропортів [8].
В Україні Закон про охорону атмосферного повітря в статті 43
зобов'язує підприємства, установи і організації, діяльність яких обумовлює або
може привести до погіршення стану атмосферного повітря, здійснювати збирання,
обробку, зберігання і аналіз інформації про стан атмосферного повітря засобами
системи моніторингу. Враховуючи актуальність проблеми авіаційного шуму і наявність
зон, в межах яких авіаційним шумом завдаються збитки навколишньому середовищу
(населенню), необхідно здійснювати моніторинг шуму в районі і околицях
аеропортів.
Під контролем розуміють звичайне вимірювання рівнів шуму, що
утворюється повітряними суднами, які обслуговуються на аеродромі. Процедури
контролю звичайно включають велике число вимірювань протягом доби, на основі
яких може бути складений висновок про акустичний клімат [9].
.5 Містобудівельні методи підвищення екологічності в житлових
будівлях застосуванням звукоізоляції
Звукоізоляція є одним із ефективних методів зниження шуму при поширенні
звукових коливань з одного приміщення в інше. При впливі звукових коливань на
захищену конструкцію падаюча хвиля спричинює коливальні рухи конструкції і стає
джерелом шуму у навколишньому просторі. Розглянемо задачу проходження звукової
хвилі через тонку безмежну пластину за допомогою імпедансного методу. Для
гармонічних коливань швидкість згин пластини
.
Для згинних коливань пластини під дією сили
випливає,
що
.
Оскільки відношення амплітуди сили до швидкості є імпеданс
пластини, тому
,
(1.8)
де
- хвильове число згинних коливань у пластині;
- довжина згинної хвилі. Швидкість поширення згинних
хвиль дорівнює
. Вхідний імпеданс пластини визначається за допомогою
співвідношення
,
де величина коефіцієнта відбиття
може
бути отримана у вигляді:
.
Остаточно вираз для амплітуди тиску
,
коефіцієнтів звукопроникнення
і
звукоізоляції
записуються у вигляді:
(1.9)
Оскільки
, а
,
імпеданс пластини (1.8) дорівнює:
.
З урахуванням втрат у матеріалі пластини, взявши
, отримуємо:
.
Як випливає зі співвідношення (1.9), звукоізоляція дорівнює нулю, якщо
=0. Це має місце, коли
або
0. Рівність імпедансу нулю відповідає просторовим
резонансам тонкої пластини.
Зі співвідношення (1.8) при
0
виконується умова
, коли проекція хвильового вектора у середовищі
збігається з хвильовим числом згинних коливань пластини [28].
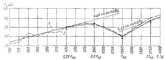
Для інженерних розрахунків звукоізоляції одностінних перешкод
застосовується графоаналітичний метод. Цей метод застосуємо, якщо мінімальний
розмір (висота, ширина або довжина) буде
,
де
- довжина згинної хвилі на критичній частоті. Нижня
границя розрахункового діапазону звукоізоляції
повинна
бути на октаву вище від першої резонансної частоти одностінної перешкоди
, де
-
мінімальний лінійний розмір перешкоди. Верхня границя розрахункового діапазону
визначається за формулою:
,
де
- товщина пластини.
Ребра жорсткості, якщо вони є у перешкоді, слід розташувати у одному
напрямку на відстані більше за 0,5 м один від одного, а їх висота не повинна
перевищувати 30-кратної товщини пластини. Конструкція не повинна мати
акустичних отворів.
Рис.1.17. Розрахункова схема звукоізоляції одностінної конструкції
Розрахунок звукоізоляції одностінної конструкції виконується у такій
послідовності:
для заданого матеріалу і товщини пластини одностінної конструкції
критична частота розраховується за формулою
;
на координатній сітці (по осі абсцис нанесені в логарифмічному масштабі
середньо-геометричні значення 1/3-октавних смуг частот
, а по осі ординат - звукоізоляція
) в межах розрахункового діапазону частот
відкладаються чотири значення абсцис: 0,25
,
0,5
,
, 2
,
як показано на рис.1.17: 1 - приклад розрахунку, 2 - експериментальна крива для
сталевої пластини товщиною 7 мм з ребрами жорсткості;
для вказаних чотирьох абсцис будують чотири значення ординат за даними
табл. 1.6.
знайдені таким чином чотири точки з'єднують прямими лініями, потім від
першої точки у бік низьких частот проводять пряму із нахилом вниз, що дорівнює
4 дБ на октаву, а від четвертої точки у бік високих частот - пряму вгору, що
дорівнює 6 дБ на октаву.
Одним із ефективних способів збільшення звукоізоляції одностінних
тонких перешкод є застосування легких звукопоглинаючих матеріалів, що
покривають рівним шаром всю поверхню перешкоди.
Таблиця 1.6 Значення ординат за матеріалом конструкції
|
Матеріал конструкції
|
Щільність, кг/м2
|
Товщина
|
Звукоізоляція на частотах
|
|
|
|
63 125 250 500 1000 2000 4000 8000
|
|
|
|
|
|
|
|
|
Шлакобетонна панель
|
400
|
250
|
-
|
30
|
45
|
52
|
59
|
64
|
64
|
-
|
|
Залізобетонна плита
|
2000 500
|
800 200
|
47,5 40
|
55 42
|
61 44
|
67,5 51
|
70 59
|
70 65
|
70 65
|
70 65
|
|
Склопластик
|
1700 850
|
10 5
|
12 17
|
16 21
|
25 20
|
28 24
|
31 28
|
31 31
|
34 31
|
38 34
|
|
Скло силікатне
|
2500
|
8
|
-
|
-
|
29
|
33
|
26
|
34
|
-
|
-
|
|
Скло органічне
|
1200
|
5
|
-
|
-
|
31
|
36
|
30
|
39
|
-
|
-
|
|
Цеглина кладка
|
820 420
|
2цеглинни 1цеглинна
|
45 36
|
45 41
|
52 44
|
59 51
|
65 58
|
70 64
|
70 65
|
70 65
|
|
Шлакоблоки
|
360
|
220
|
-
|
42
|
42
|
48
|
54
|
60
|
63
|
-
|
Звукоізоляція отриманої двошарової конструкції
, де звукоізоляція тонкої пластини
розраховується розглянутим вище графоаналітичним
методом, а додаткова звукоізоляція конструкції зі звукопоглиначем знаходиться
за емпіричною залежністю [15].
.5.1 Звукопоглинання в житлових будівлях
Одним із способів зниження шуму у приміщенні є застосування
звукопоглинаючих конструкцій. Під звукопоглинанням розуміють властивість
акустично оброблених поверхонь зменшувати інтенсивність відбитих ними хвиль за
рахунок перетворення звукової енергії на теплову. Цей метод застосовують для
зменшення інтенсивності відбитого (дифузного) звука. Якщо прямий звук від
джерела у точці контролю шуму переважає, в цьому випадку акустична обробка
приміщення незначно вплине на рівень шуму. Тому перед застосуванням
звукопоглинаючих матеріалів і конструкцій необхідно оцінити ефективність
акустичної обробки приміщення шляхом порівняння інтенсивності прямих і відбитих
складових від джерел звука. Обробка приміщення буде ефективною, якщо є велика
кількість відносно несуттєвих джерел шуму, розташованих не дуже близько один
від одного. У цьому випадку сумарний внесок у загальне акустичне поле
розподілених джерел шуму виявиться помітним і акустична обробка приміщення буде
обґрунтована [11].
У найбільш поширених схемах звукопоглинання застосовуються
наступні звукопоглинаючі матеріали і конструкції:
·
пористі
звукопоглиначі;
·
резонансні
звукопоглиначі;
·
панельні
звукопоглиначі;
·
комбіновані
конструкції поглиначів.
Акустичні характеристики звукопоглинаючих конструкцій залежать від
коефіцієнта звукопоглинання
,
що визначається як відношення (для заданої смуги частот (
) поглиненої акустичної енергії до падаючої енергії.
Максимальне зниження РЗТ шуму в октавних смугах частот у приміщенні при
звукопоглинаючому облицюванні його поверхонь визначається формулою:
,
де
- акустичне відношення.
Вибір матеріалів і типу конструкції звукопоглинання залежить від ряду
чинників:
·
акустичної
ефективності матеріалів;
·
об'єму
приміщення;
·
доступності
місця для акустичної обробки;
·
небезпеки
обробки для здоров'я;
·
впливу
вологи і сонячного світла;
·
методів
технічного обслуговування покриття;
·
можливості
захисту покриття від механічного пошкодження;
·
впливу
метеорологічних чинників на покриття, переміщення повітря у приміщенні,
запилення повітря;
·
пожежебезпеки
покриття;
·
можливості
поєднання акустичної обробки з термоізоляцією;
·
сумісності
покриття з технологічними процесами у приміщенні.
Пористі поглиначі у вигляді плит, збірних елементів
виготовляються із капронового волокна, штапельного волокна, мінеральної вати,
базальтового волокна, супертонкого скловолокна, пінопласту з відкритими порами
й інших матеріалів. Механізм дії волокнистого поглинача базується на втратах
(завдяки в'язкому тертю при поворотно-поступальному коливальному руху повітря)
у порах звукопоглинача. На низьких частотах відбувається інтенсивний теплообмін
між повітрям і волокнами. Це приводить на низьких частотах до ізотермічного
процесу стиснення і розширення повітря. Коливання волокон каркаса поглинача
також спричинюють втрати акустичної енергії.
Звукопоглинальні властивості матеріалів і конструкцій характеризуються
коефіцієнтом відбиття
. Припустимо, що імпеданс матеріалу
, де
- відповідно активна і реактивна компоненти акустичного опору. При нормальному
падінні звука на матеріал:
.
Резонансні звукопоглиначі (РЗП) являють собою перфоровану панель,
встановлену на відстані
від жорсткої стінки. Втрати у РЗП зумовлені або
тертям повітря в отворах, або тертям в матеріалі сітки, тканини, вміщених в
отворах. Параметрами РЗП є:
-
площа отвору, на якому розташований один отвір;
-
площа одного отвору діаметром;
,
- товщина панелі;
-
постійна опору;
- питомий акустичний опір;
при
,
при
,
де
- коефіцієнт динамічної в'язкості;
- поправка на кінець отвору. Характеристики РЗП
можуть бути вибрані з умови, що коефіцієнт звукопоглинання буде більшим або
дорівнювати заданому значенню
у
діапазоні частот
, за допомогою співвідношень:
На низьких частотах звукопоглинальна конструкція у вигляді шару
неефективна. Поліпшення поглинання на цих частотах можна досягнути за допомогою
перфорованої панелі, яка безпосередньо прилягає до шару з боку падіння звука.
Вплив плівкового покриття на звукопоглинання пористого матеріалу
враховується шляхом додавання до інерційного опору матеріалу опору плівки
(для поверхневої маси плівки
кг/м2):
, де
.
Таблиця 1.6 Значення опору для плівок
|
Тип плівки
|
Мп, кг/м2
|
Частоти октавних смуг, Гц
|
|
|
63
|
125
|
250
|
500
|
1000
|
2000
|
4000
|
8000
|
|
Поліамідна, ПМ
|
0,057
|
0,05
|
0,11
|
0,43
|
0,85
|
1,70
|
3,41
|
6,82
|
|
Крехалон
|
0,049
|
0,05
|
0,09
|
0,18
|
0,37
|
0,74
|
1,48
|
2,96
|
5,92
|
|
Склотканина марки СТФ
|
0,05
|
0,05
|
0,09
|
0,19
|
0,37
|
0,75
|
1,49
|
2,99
|
5,98
|
|
Поліетилен-терефталатна
|
0,07
|
0,07
|
0,13
|
0,26
|
0,52
|
1,05
|
2,09
|
4,19
|
8,37
|
|
Поліетиленова
|
0,046
|
0,04
|
0,08
|
0,17
|
0,34
|
0,69
|
1,37
|
2,75
|
5,50
|
Нарівні з розглянутими звуковбирними конструкціями
використовуються об'ємні, мембранні поглиначі звука [22].
.5.2 Акустика поглиначів та дифузорів
Дифузори створюють просторову і тимчасову дисперсію звукової
енергії. Зрушуючи в просторі і затримуючи в часі ранні відбиття від
огороджувальних поверхонь. Дифузори застосовуються для створення дифузного
звукового поля при акустичній обробці приміщень домашніх кінотеатрів, кімнат
прослуховування, студій звукозапису, мовних кабін, концертних залів і т.п.
У широких залах ранні відбиття надходять до слухача від
стелі. Ці відбиття формують дуже схожі для лівого і правого вуха сигнали. У
більш вузьких і довгих залах першого відбиті сигнали надходять до слухача від
бічних стін і досить сильно відрізняються один від одного. Можливо тому, багато
сучасних концертні приміщеннямають незадовільні акустичні характеристики.
Приміщенняволіють робити більш широкими, щоб розмістити більше посадочних
місць, а для сучасних систем кондиціонування краще низькі стелі. Для поліпшення
акустики таких залів, відбиття від стелі повинні були бути перенаправлені до
стін.
Фактично, дифузор Шредера являє собою фазову дифракційні
грати, яка розсіює падаючу на неї звукову енергію в широкому діапазоні частот,
навіть при великій величині кута падіння [23].
Дифузор Шредера складається з серії осередків різної глибини,
але однакової ширини, виконаних в корпусі з дерева або інших листових
матеріалів. Розріз типової конструкції дифузора (p = 7) зображено на малюнку
зліва. Перегородки, які розділяють сусідні осередки, виконуються з жорсткого
матеріалу і мають товщину значно меншу в порівнянні з шириною осередків.
Рис.1.18. Конструкція дифузора
Конструкція дифузора заснована на математичній послідовності
квадратичних відрахувань з теорії чисел. Послідовність визначається наступним
співвідношенням:

=

*modulo(p),
де 
-
послідовність значень відносної глибини осередків дифузора, n - невід'ємне ціле
число {0, 1, 2, 3 ...}, визначальне номер відповідної комірки, p -просте число
{2, 3, 5, 7, 11, 13, 17...}, визначає кількість осередків в дифузорі (просте
число, це відмінне від 0 і 1 число, яке ділиться без залишку тільки на 1 і на
самого себе).
Наприклад, підставивши p =17 и n=7 в зазначене співвідношення,
отримаємо 
=
49*modulo17. Modulo17 означає, що число 17 послідовно віднімається з 49 до
появи істотного залишку. Іншими словами 17 віднімається з 49 двічі і залишок 15
є відповіддю.
Таким чином, для p =17 маємо наступну послідовність чисел:

=
0, 1, 4, 9, 16, 8, 2, 15, 13, 13, 15, 2, 8, 16, 9, 4, 1; 0, 1, 4...
Для більших значень n послідовність повторюється з періодом n=17.
Фактична глибина осередків в конструкції дифузора залежить від значення
його проектної частоти fo. Шредер запропонував наступну формулу для розрахунку
глибини осередків залежно від вибраних значень n і p:

=

*
с /(
* 2 * p), (1.10)
де 
-глибина
осередку с номером n, 
-
проектна частота дифузора, с - швидкість звуку в повітрі, p - просте число
(порядок дифузора), що відповідає кількості осередків.
Ширина осередків W постійна і має бути мала в порівнянні проектної
довгої хвилі дифузора, тобто значення W <c / (2 * 
).
Шредер запропонував співвідношення
= 0,137 * c / 
.
Необхідно відзначити, що встановлена співвідношенням (1.10) компоновка
осередків різної глибини забезпечує більш широкий діапазон частот розсіювання
звукової енергії в порівнянні з дифузорами, заснованими на принципі
послідовності максимальної довжини.
На проектній частоті дифузор володіє максимальною ефективністю
розсіювання звукової енергії.
Нижня межа робочого діапазону дифузора 
залежить
від розміру самої глибокої осередку і має значення приблизно на половину октави
нижче проектної частоти дифузора 
.
Верхня межа робочого діапазону 
залежить
від ширини осередків і не перевищує значення

=
c / (2 * W).
Перегородки, які розділяють сусідні осередки, повинні бути виконані з
тонкого і жорсткого матеріалу. На практиці товщина цих перегородок має кінцеву
товщину t і тому в розрахунках необхідно замість ширини осередку W
застосовувати суму значень (W + t).
Рис.1.19. Діаграма розсіювання звукової енергії одновимірного
дифузора
Як видно на рис.1.19 одновимірний дифузор Шредера має форму
напівциліндра, ця діаграма залежить від кута падіння звукової енергії і
підпорядковується законом дзеркального відображення. На малюнку ліворуч
зображені полярні характеристики розсіювання звукової енергії дифузором Шредера
(ліворуч) і плоскої відбиває поверніть при нормальному падінні звукової
енергії.
Фундаментальні теоретичні роботи Манфреда Шредера дають
можливість інженерам-акустикам проектувати і застосовувати на практиці
ефективні звукорозсіюючі конструкції із заданими акустичними характеристиками
[24].
.5.3 Вібродемпфування в будівлях
Вібродемпфуваня - це зменшення рівня вібрації об’єкта за рахунок
перетворення механічної енергії коливань в теплову енергію. Досягається
використанням у захищеному об’екті матеріалів з великим внутрішнім коефіцієнтом
тертя 
.
Такими матеріалами є сплави Cu-Ni, Ni-Co, магнієві сплави, пластмаси, гуми,
текстоліт, спеціальні мастики та ін.
Рис. 1.20. Залежність коефіцієнта передачі від
співвідношення 
/
Практично вібродемпфування відбувається нанесенням на вібруючі поверхні
шар матеріалу с великими внутрішніми втратами, також використовується
поверхневе тертя при вібрації двох скріплених пластин. Коливальна енергія
переходить в теплову енергію при деформації покриття чи при терті скріплених
поверхонь.
Використання жорстких демпфуючих матеріалів ефективно при
низьких частотах вібрації, а м’яких - при високих частотах. Найкращий ефект
вібродемпфування досягається, коли протяжність демпфуючого шару сумірна с
довжиною хвилі вигибу, а товщина покриття дорівнює 2-3 товщині елемента
конструкції [25].
Розділ ІІ. Дослідження акустичних джерел в умовах інтенсивних
транспортних потоків
.1 Матеріали та методи дослідження
В ході проведення моніторингу шуму на вул. Чоколовський
бульвар, м. Київ, використовувались такі методики: CH 3077-84, ГОСТ 23337-78
(1984), ГОСТ 31296.2-2006, ГОСТ 20444-85 та СНИП ІІ-12-77.
Шумовою характеристикою транспортних потоків є еквівалентний
рівень звуку дБА. Місця проведення вимірювань для визначення шумових
характеристик транспортних потоків слідує вибирати на прямолінійних
горизонтальних ділянках вулиць або доріг з асфальтобетонним покриттям. Ухил
вулиці або дороги повинен бути не більш 1%. Поверхня проїжджої частини вулиці
або дорогі повинна бути гладкою, чистою і сухою (без вибоїн, піску, гравію,
бруду, води і снігу). Навкруги місця проведення вимірювань в радіусі 50 м не
повинні знаходиться які-небудь споруди (будівлі, забори і ін.) або елементи
рельєфу, що відбивають звук. Місця проведення вимірювань повинні бути
розташовані на ділянках вулиць або доріг із сталою швидкістю рухи транспорту і
на відстані не менш 100 м від транспортних вузлів і зупинок.
Місця для проведення вимірювань слід вибирати на тих ділянках
вулиць і доріг, де необхідно проводити вимірювання, незалежно від поперечного і
подовжнього профілю і типу покриття проїжджої частини вулиць і доріг. Вони не
повинні знаходитися зовні зон дії сильних магнітних та електростатичних полів.
Вимірювання слідує проводить під час максимальної інтенсивності руху
транспортних потоків. Їх не потрібно виконувати тоді, коли випадають атмосферні
опади і при швидкості вітру більше 3 м/с. Мікрофон повинен знаходитися на
відстані 7,5 м від осі першої смуги руху транспортних засобів на висоті 1,2 м
від рівня проїжджої частини.
При вимірюваннях на вузьких вулицях і дорогах мікрофон можна
встановлювати на відстані менше 7,5 м від осі першої смуги руху транспортних
засобів, але не ближче 1 м від стін будівель, заборів або елементів рельєфу,
відбиваючих звук. Мікрофон повинен бути направлений в сторону транспортного
потоку і видалений не менше ніж на 0,5 м від людини, що проводить вимірювання.
Перемикач частотної характеристики приладу при виконанні вимірювань повинен
бути встановлений в положення ‘А’, а перемикач часової характеристики - в
положенні "швидко".
Значення рівня звуку слід приймати по максимальному значенню
стрілки приладу у момент відліку. Тривалість вимірювань рівнів звуку в кожній
точці слід встановлювати в залежності від інтенсивності руху транспортних
потоків. Для транспортних потоків інтенсивністю понад 1000 од/ч повинне бути
зроблений 300 відліків рівнів звуку (тривалість вимірювань - не менше 10 мін),
для транспортних потоків інтенсивністю від 500 до 1000 од/год - 600 відліків
рівнів звуку (тривалість - не менше 20 мін), для транспортних потоків
інтенсивністю менш 500 од/год - 900 відліків рівнів звуку (тривалість
вимірювань - не менше за 30 міни); інтервал між відліками рівней звуку повинен
складати від 2 до 3 с [26].
Рівні звуку сторонніх шумів при проведенні вимірювань повинні
бути на 10 дБА нижче за мінімальний рівень звуку, створюваного транспортними
засобами. Якщо забезпечити цю умову неможливо, вимірювання проводитися не
повинні. Рівні звуку, створювані в місцях проведення вимірювань сторонніми
джерелами непостійних шумів, при проведенні вимірювань не повинні
реєструватися.
При вимірах Leq підраховують число минулих автомобілів на
інтервалі, рівному тривалості вимірювань. Щонайменше, мають бути виділені дві
категорії автомобілів («важкі» і «легкі»), якщо результати вимірювань повинні
бути приведені до умов іншого транспортного потоку. Для визначення
репрезентативності умов руху вимірюють середню швидкість руху і вказують тип
дорожнього покриття.
У загальному випадку важкими вважають автомобілі, маса яких
більше 3500 кг. часто важкі автомобілі ділять на підкатегорії залежно від числа
колісних осей. При вимірах Leq необхідно достатнє число минулих автомобілів,
щоб усереднити відмінності шуму окремих автомобілів в залежності від необхідної
точності. Однак якщо відповідної інформації немає, то стандартне відхилення
відтворюваності Х розраховують за формулою:

, (2.1)
де n - число минулих автомобілів.
Формула (2.1) відповідає змішаному транспортному потоку. Якщо
рухаються автомобілі однієї категорії, то стандартне відхилення може бути
менше.
Якщо при проходженні кожного автомобіля реєструють LE і потім
використовують статистичні дані про транспортному потоці для розрахунку Leq на
опорному часовому інтервалі, то число автомобілів кожній категорії має бути не
менше 30.
Максимальні рівні звукового тиску Lmax автомобілів різних
категорій розрізняються. Для кожної категорії має місце певний розкид
максимальних рівнів звукового тиску внаслідок відмінності технічних
характеристик автомобілів, різних швидкостей руху або манери водіння.
Максимальний рівень звукового тиску повинен бути визначений при проходженні
щонайменше 30 автомобілів розглянутої категорії.
Вибір тривалості вимірювань
Вибирають таку тривалість вимірювань, щоб охопити всі значні
зміни звукового випромінювання і умови поширення звуку. Якщо шум з'являється
періодично, то тривалість вимірювань повинна охоплювати по меншій мірою три
періоди. Якщо безперервні вимірювання на цьому періоді неможливі, то тривалість
вимірювань повинна бути обрана так, щоб результати вимірювань були
представницькі для частини циклу, а спільно адекватно характеризували повний
цикл. Якщо шум створюється одиничним звуковим подією (наприклад, прольотом
літака, під час якого шум може змінюватися і бути відсутнім на значній частині
опорного часового інтервалу), то тривалість вимірювань вибирають так, щоб можна
було визначити рівень впливу шуму LE одиничного події.
Положення мікрофона поза приміщенням
Мікрофон встановлюють в тому місці, де необхідно оцінити шум.
Для інших цілей використовують одне з нижченаведених адрес:) у вільному
звуковому полі (основний варіант).
Цей варіант відповідає реальному або гіпотетично вільного
звукового поля над поверхнею землі, для якого рівні звукового тиску поза
будівлею розраховують за вимірам поблизу від нього. Таке звукове поле означає,
що впливом на мікрофон всіх наявних відбитків від якої будівлі позаду мікрофона
нехтують. Простір за екрануючим будівлею розглядають як область такого ж
звукового поля, однак на нього перерахування b) і с) не поширюються, оскільки в
цьому випадку враховують відбиття від зворотного боку будівлі;
б) мікрофон змонтований врівень зі звуковідбивальних
площиною. У цьому випадку для отримання значення поля падаючої хвилі до
вимірювання полю застосовують корекцію мінус 6 дБ. При інших умовах
використовують інші корекції.
в) мікрофон встановлений на відстані від 0,5 до 2 м перед
звуковідбивальних поверхнею. У цьому випадку для отримання значення поля
падаючої хвилі до вимірювання полю застосовують корекцію мінус 3 дБ. При інших
умовах використовують інші корекції.
У складних ситуаціях (наприклад, велика щільність забудови,
вузька вулиця) ця різниця може бути багато вище. Навіть в ідеальному випадку
вона може бути кілька обмежена. При близькому до ковзаючого падінні звукової
хвилі таке положення мікрофону не рекомендується, так як різниця сигналів може
бути великий.
Для загального картографування мікрофони встановлюють на
висоті (4 ± 0,5) м в зоні багатоповерхового житла. При одноповерхової забудові
і в зонах відпочинку мікрофони встановлюють на висоті (1,2 ± 0,1) або (1,5 ±
0,1) м.
Для безперервного моніторингу мікрофони можуть бути
встановлені на інший висоті. Рівні шуму в точках картографічної сітки зазвичай
розраховують. Якщо в особливих випадках вимірювання в них виконують, то
щільність точок сітки вибирають залежно від просторового дозволу, необхідного
для дослідження просторового зміни рівнів звукового тиску [27].
Для розрахунку рівня звукового тиску у жилому приміщенні
використовується така формула:

,
(2.2)
де 
-
отримане максимальне значення Lекв с табл. 2.1, 
-
коефіцієнт поправки на відстань при проходженні звукової хвилі до об’єкта
жилого приміщення, розраховується за формулою:

,
(2.3)
де 
-
відстань від місця проведення експерименту або заміру рівнів звукового тиску до
площі огороджувальних поверхонь конструкції жилого приміщення.
Отримання рівня звукової потужності у середені жилого приміщення
розраховується за формулою:

, (2.4)
де 
-
коефіцієнт звукопоглинання матеріалу.
Визначення рівнів звукового тиску в розрахункових точках
жилого приміщення
Розрахункові точки при акустичних розрахунках вибираються
усередині приміщення на висоті 1,2 -1,5 м від рівня підлоги.
Октавні рівні звукового тиску (РЗТ) у дБ у розрахункових
точках на робочих місцях приміщень визначаються за допомогою співвідношень:
а) у зоні прямого і відбитого звуку по формулі:
;
б) у зоні прямого звуку по формулі:
;
Таблиця 2.1 Параметри приміщення
|
Довжина приміщення, м
|
Ширина приміщення, м
|
Висота приміщення, м
|
Відстань від джерела до приймача, м
|
Тип приміщення
|
|
10
|
3
|
4
|
3,1
|
4
|
в) у зоні відбитого звуку по формулі:
,
де Lp - октавний рівень звукової потужності джерела шуму, в
дБ; χ - коефіцієнт, що враховує вплив ближнього
акустичного поля, який приймається залежно від відношення відстані між
акустичним центром джерела і розрахунковою точкою до габаритного максимального
розміру джерела шуму по рис. 1; Ф - фактор спрямованості джерела шуму (для
джерела з рівномірним випромінюванням звуку Ф = 1); S - площа уявної поверхні
правильної геометричної форми, що проходить через розрахункову точку (
- для джерела шуму в просторі; для джерела на стіні,
підлозі -
, у двогранному кутку -
,
у тригранному кутку -
), r - відстань від джерела до приймача шуму, В -
стала приміщення, яка в октавних смугах частот визначається за формулою:
,
де В1000 - стала приміщення на
середньо-геометричній частоті 1000 Гц, визначається за даними табл. 2.2 залежно
від об’єму V приміщення. Частотний коефіцієнт μ визначається за даними табл.
2.3.
Таблиця 2.2 Значення сталої приміщення
|
Тип прим.
|
Опис приміщення
|
|
|
1
|
Приміщення з звукопоглиначами на стелі та частково
на стінах
|
V/15
|
Таблиця 2.3 Значення константи
|
Об’єм приміщення, м3
|
Октавні смуги частот, Гц
|
|
63
|
125
|
250
|
500
|
1000
|
2000
|
4000
|
8000
|
|
V<200
|
0.8
|
0.76
|
0.7
|
0.8
|
1
|
1.4
|
1.8
|
2.5
|
.2 Аналіз даних моніторингу шуму вул. Чоколовський бульвар,
м. Київ
Оцінці впливу автотранспортного потоку на навколишнє природне
середовище досліджувалась за таким планом:
. Вимірювання рівнів шуму, створюваних автомобільним
транспортом у вільному потоці та для змінюваних умов руху - біля світлофорів,
зупинок.
. Дослідження впливу кількості автомобілів, проїхавши
повз точку спостереження на необхідний час вимірювання еквівалентного рівня
шуму.
. Аналіз дослідження шумових характеристик
транспортного потоку [28].
В ході експерименту також використовувався порівняльний метод
згідно ГОСТ 31296.2-2006 та ГОСТ 20444-85 шумоміром “Октава-110А”.
Рис.2.1. Карта досліджувальної території
Таблиця 2.4 Вихідні данні
|
Ділянка
|
Час вимірювання
|
Інтенсивність потоку
|
Інтенсивність потоку
|
Файл
|
|
|
І кат
|
ІІ кат
|
ІІІ кат
|
І кат
|
ІІ кат
|
ІІІ кат
|
|
|
1-2
|
12:41
|
123
|
5
|
2
|
179
|
13
|
2
|
49
|
|
|
|
163
|
12
|
1
|
178
|
9
|
2
|
50
|
|
|
|
162
|
14
|
2
|
215
|
8
|
2
|
51
|
|
|
|
184
|
11
|
1
|
221
|
14
|
2
|
52
|
|
2-3
|
13:17
|
180
|
9
|
1
|
189
|
8
|
4
|
53
|
|
|
|
181
|
8
|
2
|
201
|
11
|
2
|
54
|
|
|
|
169
|
5
|
2
|
173
|
10
|
1
|
55
|
|
|
|
167
|
10
|
3
|
195
|
6
|
1
|
58
|
|
3-4
|
13:50
|
209
|
12
|
0
|
170
|
2
|
1
|
59
|
|
|
|
208
|
11
|
2
|
171
|
8
|
0
|
60
|
|
|
|
201
|
10
|
1
|
171
|
11
|
2
|
61
|
|
|
|
210
|
12
|
1
|
161
|
7
|
4
|
62
|
|
4-5
|
-
|
|
|
|
|
|
|
|
|
|
|
|
|
|
|
|
|
|
|
5-6
|
14:25
|
200
|
12
|
1
|
161
|
6
|
0
|
63
|
|
|
|
211
|
15
|
2
|
201
|
11
|
1
|
64
|
|
|
|
207
|
10
|
2
|
187
|
6
|
1
|
66
|
|
|
|
163
|
11
|
4
|
173
|
8
|
1
|
67
|
|
6-7
|
12:00
|
182
|
7
|
171
|
4
|
0
|
70
|
|
|
|
194
|
20
|
1
|
172
|
10
|
2
|
71
|
|
|
|
198
|
17
|
1
|
147
|
11
|
1
|
72
|
|
|
|
192
|
14
|
5
|
181
|
6
|
1
|
73
|
|
7-8
|
12:23
|
197
|
12
|
0
|
187
|
7
|
1
|
74
|
|
|
|
195
|
8
|
3
|
173
|
3
|
1
|
75
|
|
|
|
200
|
12
|
0
|
182
|
6
|
1
|
76
|
|
|
|
192
|
11
|
2
|
159
|
10
|
1
|
77
|
|
8-9
|
13:00
|
189
|
11
|
4
|
197
|
8
|
0
|
78
|
|
|
|
169
|
11
|
2
|
152
|
5
|
2
|
79
|
|
|
|
184
|
12
|
1
|
143
|
3
|
3
|
80
|
|
|
|
184
|
11
|
1
|
123
|
8
|
1
|
81
|
|
кінцева точка
|
13:38
|
-
|
|
|
|
|
|
84
|
|
|
|
|
|
|
|
|
85
|
|
|
|
|
|
|
|
|
87
|
|
|
|
|
|
|
|
|
88
|
Більшість вулиць означеного району належить до категорії
закритих, тобто відcтань від дороги до житлової забудови не перевищує 50 м, що
призводить до достатньо високого рівня шуму. На цих перехрестях вивчений
транспортний потік, що складається з автомобілів легкових, вантажних (легкі,
середні, важкі) та автобусів. До складу транспортного потоку, на досліджуваних
перехрестях, входить частина міського потоку автомобілів і частина транзитних
автомобілів.
Файли, що не увійшли в таблицю:
- прискорення автомобілів;
- холостий хід на світлофорі;
- вільний потік;
- холостий хід на світлофорі;
- вільний потік;
- вільний потік;
- холостий хід на світлофорі;
- вільний потік;
- холостий хід на світлофорі.
Для більшої точності отримання даних обрана територія на
вулиці Чоколівський бульвар складала майже 450 метрів, які були поділені на
ділянки по 50 метрів та включали такі зони :
зона прискорення (на світлофорі перед початковою
ділянкою);
зона обгону (наприклад з другої смуги на третю) ;
зона гальмування (перед світлофором) ;
зона зупинки (на світлофорі).
Визначення інтенсивності транспортних потоків здійснювалось в
обох напрямках автотранспорту, ділянка 4-5 була пропущена через підвищену
похибку за наявності в зоні автобусної зупинки.
Для більшої точності, збір даних кожної ділянки проводився 4
рази, по 5 хвилин, на основі яких було визначено дві усередненні таблиці
інтенсивності. Відсутня інтенсивність потоку кінцевої точки пояснюється її
потенційності.
Таблиця 2.5 Рівні звукового тиску у 1/3 октавах
|
Ділянка
|
Кількість замірів кожної ділянки, дбА
|
Lекв
|
|
№
|
1
|
2
|
3
|
4
|
Усередненні значення
|
|
1-2
|
62,51
|
65,62
|
62,14
|
58,59
|
62,21
|
|
Файл
|
49
|
50
|
51
|
52
|
-
|
|
2-3
|
59,64
|
60,4
|
61,1
|
60,51
|
60,41
|
|
Файл
|
53
|
54
|
55
|
58
|
-
|
|
3-4
|
58,92
|
61,71
|
62,92
|
61,82
|
61,34
|
|
Файл
|
59
|
60
|
61
|
62
|
-
|
|
4-5
|
-
|
-
|
-
|
-
|
-
|
|
Файл
|
-
|
-
|
-
|
-
|
-
|
|
5-6
|
63,26
|
62,04
|
62,45
|
57,7
|
61,36
|
|
Файл
|
63
|
64
|
66
|
67
|
-
|
|
6-7
|
61,21
|
62,43
|
66,15
|
62,72
|
63,12
|
|
Файл
|
70
|
71
|
72
|
73
|
-
|
|
7-8
|
62,88
|
59,69
|
56,79
|
59,97
|
59,83
|
|
Файл
|
74
|
75
|
76
|
77
|
-
|
|
8-9
|
61,38
|
58,21
|
61,04
|
58,89
|
59,88
|
|
Файл
|
78
|
79
|
80
|
81
|
-
|
Шум автотранспортних потоків є не постійним і має дискретний
характер, тональність якого встановлюється вимірюванням в третьоктавних смугах
частот по перевищенню рівня в одній смузі над сусідніми не менш ніж на 10 дБ.
Згідно ДБН 360-92 перевищення рівнів з 7 до 23:00 год. шуму на сельбищ ній зоні
населених місць максимальний отриманий Lекв перевищає норматив на 8,12 дБА.
Таблиця 2.6 Рівні звукового тиску в октавах
|
Ділянка
|
Кількість замірів кожної ділянки, дбА
|
Lекв
|
|
№
|
1
|
2
|
3
|
4
|
Усередненні значення
|
|
1-2
|
66,62
|
70,91
|
67,61
|
63,84
|
67,24
|
|
Файл
|
49
|
50
|
51
|
52
|
-
|
|
2-3
|
65,54
|
64,22
|
66,49
|
65,88
|
65,53
|
|
Файл
|
53
|
54
|
55
|
58
|
-
|
|
3-4
|
64,44
|
66,98
|
69,05
|
67,37
|
66,96
|
|
Файл
|
59
|
60
|
61
|
62
|
-
|
|
|
4-5
|
-
|
-
|
-
|
-
|
-
|
|
|
Файл
|
-
|
-
|
-
|
-
|
-
|
|
|
5-6
|
68,53
|
68,09
|
66,64
|
63,1
|
66,59
|
|
|
Файл
|
63
|
64
|
66
|
67
|
-
|
|
|
6-7
|
66,37
|
67,89
|
72,1
|
67,9
|
68,56
|
|
|
Файл
|
70
|
71
|
72
|
73
|
-
|
|
|
7-8
|
66,94
|
65,59
|
62,28
|
64,28
|
64,77
|
|
|
Файл
|
74
|
75
|
76
|
77
|
-
|
|
|
8-9
|
66,93
|
63,23
|
66,09
|
64,32
|
65,14
|
|
|
Файл
|
78
|
79
|
80
|
81
|
-
|
|
|
|
|
|
|
|
|
|
На табл. 2.6 зображено шум з безперервним спектром шириною
більше однієї октави. Згідно ДБН 360-92 перевищення рівнів з 7 до 23:00 год.
шуму на сельбищній зоні населених місць максимальний отриманий Lекв перевищує
норматив на 13,56.
З аналізу отриманих результатів випливає, що
гранично-припустимий рівень (ГПР) шумового забруднення атмосферного повітря
(для міста), що становить 60 дБА, значно перевищений. Інтенсивність потоку
змінюється від 178 авт./год. до 199 авт./год., що обумовлює зростання
еквівалентного рівня шуму з 64,77 дБА до 68,56 дБА.
Рівень шуму транспортного потоку визначається інтенсивністю й
складом потоку, насамперед, часток вантажних автомобілів у потоці. Збільшення середньої
швидкості транспортного потоку безумовно призводить до підвищення рівня шуму.
Еквівалентний рівень шуму потоку може бути знижений на 2 - 3,5 дБА, якщо шум
одиночних легкових автотранспортних засобів (АТЗ) у складі потоку знизити з 78
до 75 дБА, а вантажних - з 85 до 80 дБА (за умови, що частка вантажних АТЗ у
потоці 10 - 30%) [19].
Рис.2.2. Залежність рівня шуму від інтенсивності та складу
транспортного потоку
Рис.2.3. Оцінка рівня шуму для територіальної дороги
шум житловий транспортний
2.3 Аналіз розрахунків рівня звукового тиску у житловому
будинку від шуму міського автотранспорту
Розрахунки РЗТ виконувалися згідно формули 2.2 (з враховуючим
коефіцієнтом поправки на відстань при надходженні звукової хвилі).
Таблиця 2.7 Розрахунок рівня звукового тиску у жилому
п’ятиповерховому приміщенні (по поверхово)
|
Рівні звукової потужності, дБ
|
|
Октавні смуги частот, Гц
|
|
|
63
|
125
|
250
|
500
|
1000
|
2000
|
4000
|
8000
|
|
|
87,4
|
79,2
|
75,8
|
77,9
|
74,9
|
71,1
|
66,9
|
60,4
|
|
 87,479,275,878,075,071,267,060,5
|
|
|
|
|
|
|
|
|
|
 87,379,075,877,974,971,166,960,4
|
|
|
|
|
|
|
|
|
|
|
87,3
|
79,1
|
75,7
|
77,8
|
74,8
|
71,0
|
66,8
|
60,3
|
|
|
87,2
|
79,0
|
75,6
|
77,8
|
74,8
|
71,0
|
66,8
|
60,2
|
|
|
87,2
|
78,9
|
75,6
|
77,7
|
74,7
|
71,9
|
66,7
|
60,2
|
Розрахунок коефіцієнту поправки на відстань при надходженні
звукової хвилі до приміщення (поповерхово):

=0,07;

=-0,02;

=-0,09;

=-0,15;

=-0,21.
Таблиця 2.8 Рівень звукового тиску зовнішніх джерел шуму у середині
жилого приміщення з урахуванням проходження звукової хвилі через площу
огороджувальної поверхні (скла):
|
Рівні звукової потужності, дБ
|
|
Октавні смуги частот, Гц
|
|
|
250
|
500
|
1000
|
2000
|
|
|
46,8
|
45,0
|
49,0
|
37,2
|
|
|
46,7
|
44,9
|
48,9
|
37,1
|
|
|
46,7
|
44,8
|
48,8
|
37,0
|
|
|
46,6
|
44,8
|
48,8
|
37,0
|
|
|
46,6
|
44,7
|
48,7
|
36,9
|
Таблиця 2.9 Рівні звукової потужності внутрішніх джерел шуму
у октавних смугах частот
|
Рівні звукової потужності, дБ
|
|
Октавні смуги частот, Гц
|
|
|
63
|
125
|
250
|
500
|
1000
|
2000
|
4000
|
8000
|
|
Ĺp кондиціонера
|
55
|
44
|
35
|
29
|
25
|
22
|
20
|
18
|
|
Ĺp холодильника
|
67
|
57
|
49
|
44
|
40
|
37
|
35
|
33
|
|
Ĺp пральної машинки
|
87
|
79
|
72
|
68
|
65
|
63
|
67
|
59
|
Для визначення РЗТ в розрахункових точках використовуємо
експериментально отримані дані (див. табл. 2.4 та 2.6).
Октавні рівні звукового тиску у розрахункових точках на
робочих місцях приміщень визначаються за допомогою співвідношення у зоні
прямого і відбитого звуку по формулі:
.
(2.5)
Визначаємо коефіцієнт χ за даними рис. 2.4. Для
цього визначаємо співвідношення (r / lmax), де r - відстань між
акустичним центром джерела шуму і розрахунковою точкою, lmax -
максимальний габаритний розмір джерела шуму (lmax = 2,0 м), χ
= 2,8/2=1,3.
Рис. 2.4. Графік для визначення коефіцієнта χ
Знаходимо площу уявної поверхні правильної геометричної
форми, що проходить через розрахункову точку за умови, що джерело шуму
знаходиться на поверхні підлоги, за формулою: S = 2×π×r2 = 2× 3,14× 2,8=104 м.
Знаходимо постійну приміщення В за формулою: В = В1000 × μ, для заданої категорії приміщень постійна приміщення
на середньо геометричній частоті 1000 Гц визначається за даними табл. 2.2.
Об’єм приміщення V визначається за табл. 2.1 (V=72 
).
Частотний коефіцієнт μ
для приміщень з об’ємом, визначається за даними табл. 2.3 і розраховується у
табличній формі (табл. 2.6).
Таблиця 2.10 Форма заповнення значень параметрів μ та В
|
Параметр
|
Октавні смуги частот, Гц
|
|
63
|
125
|
250
|
500
|
1000
|
2000
|
4000
|
8000
|
|
μ
|
0,8
|
0,76
|
0,7
|
0,8
|
1
|
1,4
|
1,8
|
2,5
|
|
В
|
38,4
|
36,48
|
33,6
|
38,4
|
48
|
67,2
|
86,4
|
120
|
Знаходимо значення коефіцієнта ψ, що враховує порушення дифузних властивостей
звукового поля у приміщенні, який визначається за даними рис.2.5, для цього
вираховуємо площу обмежуючих поверхонь, 
=104
м.
Рис. 2.5. Графік для визначення коефіцієнта ψ
Таблиця 2.11 Форма заповнення значень параметрів В, ψ
|
Параметр
|
Октавні смуги частот, Гц
|
|
63
|
125
|
250
|
500
|
1000
|
2000
|
4000
|
8000
|
|
В
|
38,4
|
36,48
|
33,6
|
38,4
|
48
|
67,2
|
86,4
|
120
|
|
Sогр, м2
|
104
|
104
|
104
|
104
|
104
|
104
|
104
|
104
|
|
В/Sогр
|
0,36
|
0,35
|
0,32
|
0,36
|
0,46
|
0,64
|
0,83
|
1,15
|
|
ψ
|
0,77
|
0,74
|
0,75
|
0,77
|
0,68
|
0,63
|
0,51
|
0,4
|
Виходячи з даних, наведених в табл. 2.1, визначаємо, що
приміщення можна віднести до жилих кімнат квартир, спальні приміщення в дитячих
садках тощо.
Фактор направленості джерела шуму приймаємо рівним 1 для
джерела з рівномірним випромінюванням звуку.
Проводимо розрахунок рівнів звукового тиску за формулою
(2.5):
Розрахунки РЗТ для зовнішнього шуму автотранспортних потоків
наведені в табл. 2.12.
Таблиця 2.12
|
Рівні звукової потужності, дБ
|
|
Октавні смуги частот, Гц
|
|
|
250
|
500
|
1000
|
2000
|
|
|
45,8
|
44,01
|
48,0
|
36,1
|
|
|
45,7
|
43,9
|
47,9
|
36,0
|
|
|
45,7
|
43,8
|
47,8
|
35,9
|
|
|
45,6
|
43,8
|
47,8
|
35,8
|
|
|
45,6
|
43,7
|
47,7
|
35,8
|
Розрахунки РЗТ для внутрішнього шуму побутових приладів
наведені в табл. 2.13.
Таблиця 2.13
|
Рівні звукової потужності, дБ
|
|
Октавні смуги частот, Гц
|
|
|
63
|
125
|
250
|
500
|
1000
|
2000
|
4000
|
8000
|
|
Ĺp кондиціонера
|
53
|
40
|
33
|
27
|
22,8
|
19,7
|
18,6
|
16,5
|
|
Ĺp холодильника
|
66
|
56
|
48
|
43
|
38,8
|
35,7
|
33,6
|
31,5
|
|
Ĺp пральної машинки
|
86
|
78
|
71
|
67
|
64,8
|
62,7
|
65,6
|
57,5
|
Порівняння результатів рівнів звукового тиску щодо їх
відповідності встановленим нормативним значенням, наведеним в табл. 2.15.
Таблиця 2.14 Нормативні значення октавних РЗТ и рівнів звуку
|
Тип приміщення
|
Рівні звукового тиску у октавних смугах частот, Гц
|
LA
|
|
|
63 63
|
125 125
|
250 250
|
500 500
|
1000 1000
|
2000 2000
|
4000 4000
|
8000 8000
|
|
|
Жилі кімнати квартир, спальні приміщення у дитячих
садках
|
55
|
44
|
35
|
29
|
25
|
22
|
20
|
18
|
30
|
Таблиця 2.15 Порівняння розрахункових даних з нормативними
значеннями рівнів звукового тиску
|
Параметр, дБ
|
|
Октавні смуги частот, Гц
|
|
|
63
|
125
|
250
|
500
|
1000
|
2000
|
4000
|
8000
|
|
Розрахункові дані  --49,445,243,638,5--
|
|
|
|
|
|
|
|
|
|
Розрахункові дані  --49,445,243,638,5-
|
|
|
|
|
|
|
|
|
|
Розрахункові дані  --49,445,243,638,5--
|
|
|
|
|
|
|
|
|
|
Розрахункові дані  --49,445,243,638,5--
|
|
|
|
|
|
|
|
|
|
Розрахункові дані  --49,445,143,538,4--
|
|
|
|
|
|
|
|
|
|
Нормативні дані
|
55
|
44
|
35
|
29
|
25
|
22
|
20
|
18
|
|
Перевищення виміряних даних над нормативними  --14,416,218,616,5--
|
|
|
|
|
|
|
|
|
|
Перевищення виміряних даних над нормативними  --14,416,218,616,5-
|
|
|
|
|
|
|
|
|
|
Перевищення виміряних даних над нормативними  --14,416,218,616,5--
|
|
|
|
|
|
|
|
|
|
Перевищення виміряних даних над нормативними  --14,416,218,616,5--
|
|
|
|
|
|
|
|
|
|
Перевищення виміряних даних над нормативними  --14,416,118,516,4--
|
|
|
|
|
|
|
|
|
З табл. 2.15 видно що різниця РЗТ між поверхами (з умовою 2м
від вікна до вікна) складає не більше 0,1 дБ, що свідчить про неістотність
відстані жилих приміщень одне від одного, в той час як відстань жилого
приміщення від джерела шуму має дуже суттєвий характер. Наглядне зображення
розбіжностей розрахункового методу з даними табл. 2.15, відтворене на рис.2.6,
2.7.

Рис. 2.7. Графік різниці РЗТ між розрахунковими та
нормативними для побутових приладів
При перевищенні РЗТ над допустимими рівнями розробляються
профілактичні заходи зниження шуму, які включають три основні групи
шумозахисних методів:
зменшення внутрішнього шуму методом звукоізоляції та
звукопоглинанням за будівельним напрямком;
зменшення зовнішнього шуму методом звукоізоляції окремих
деталей машин і механізмів за технічним напрямком;
зменшення зовнішнього шуму методом створення шумозахисних
екранів та озеленення за архітектурно-планувальним напрямком;
розробка та вдосконалення законодавчої бази щодо обмеження
шуму за нормативно-правовому напрямку [28].
Існують такі ефективні заходи, які можна застосовуються для
поліпшення акустичного комфорту в звичайній житловій квартирі:
. Електричні розетки
Демонтують електророзетку і монтажну коробку, дотримуючись
правил з електробезпеки. В отвір вкладують «шайбу» з щільної мінеральної вати,
азбестової тканини або базальтового картону. Потім герметизують отвір гіпсовою
шпаклівкою або цементним розчином, так щоб залишилося місце для установки
електророзетки.
. Монтажні електричні коробки
Звукоізоляцію монтажних коробок рекомендується провести за
аналогією з електророзетками.
. Стояки системи опалення та водопостачання
Якщо стояк прокладений через перекриття в гільзі, то зазор
між гільзою і стояком герметизують термостійким силіконовим герметиком.
Якщо стояк прокладений безпосередньо через перекриття,
навколо труби, то розчищають і видаляють пошкоджений шар цементного розчину
якомога глибше (не допускаючи проникнення в сусідню квартиру). Потім підставу
труби вкривають звукоізолюючим матеріалом (наприклад, склохолстом «ВИБРОСТЕК»
або азбестовою тканиною) і зацементовують порушену ділянку підлоги і / або
стелі. Надлишки ізолюючого матеріалу обрізаються, а стик герметизується
силіконовим герметиком.
. Стики між перекриттям підлоги і стіни
Демонтують плінтуси по периметру приміщення. Якщо існує така
можливість, за допомогою зубила та молотка виконують уздовж стін в підлозі шов
шириною 30-50 мм на всю глибину стяжки. Заповнюють шов свіжим цементно-піщаним
розчином. Після висихання цементної суміші обробляють стик нетверднучим
силіконовим герметиком.
Якщо в квартирі укладений паркет і частковий демонтаж стяжки
неможливий, то ретельно заповнюють деформаційний шов між стіною і краєм
паркетного настилу силіконовим герметиком. Потім закріпіть плінтуси на свої
місця.
. Стики між плитами стінок та стелі
Знімають старі шпалери, розшивають стики між бетонними
панелями. Утворені порожнечі заповнюють гіпсовою шпаклівкою або цементним
розчином. Після висихання шпаклівки промажують всі стики «стіна-стіна» і
«стіна-стеля» акриловим герметиком. Після видалення надлишків акрилового
герметика можна проводити фарбування або обклеювання приміщення новими
шпалерами.
. Вікна
Для збільшення звукоізоляції старого вікна рекомендується
замінити існуючі стекла завтовшки 4 мм товщими, наприклад, 5 або 6 мм.
Перед монтажем нового скла, рясно промажують настановні місця
віконної стулки по всьому периметру прозорим нейтральним силіконовим
герметиком. Щільно втискують скло в силіконовий «валик» в стулці. Потім змонтовують
штапики і видаляють надлишки силікону.
У кожній віконній стулці по всьому контуру притвору
закріплюють гумовий ущільнювач, що має перетин.
. Вхідні двері
Вхідну групу в квартиру рекомендується виконувати у вигляді
тамбура. При цьому зовнішні двері повинна володіти протизламними властивостями,
а внутрішні двері можуть бути декоративними.
Для забезпечення високої звукоізоляції, необхідно, щоб двері
в закритому положенні не мали щілин і нещільностей в приляганні дверного
полотна до коробки. Для цього дверні коробки повинні обов'язково мати поріг і
ущільнюючу прокладку по всьому притвору. В якості прокладки краще всього
використовувати профільні гумові ущільнювачі, що мають перетин. Різниця в
звукоізоляції дверей з порогом і без нього може досягати 10-15 дБ.
Дуже часто монтажний зазор між дверною коробкою і дверним
отвором будівельники заповнюють монтажною піною, і через нього звук легко
проникає в квартиру із загального коридору. У цьому випадку необхідно видалити
монтажну піну і заповнити монтажний зазор і всі порожнечі в коробці цементним
розчином. Після висихання цементної суміші місця примикання дверної коробки до
конструкції стіни необхідно ретельно загерметизувати силіконовим герметиком для
запобігання появи в майбутньому деформаційних тріщин [29].
Розділ ІІІ. Охорона праці
.1 Небезпечні та шкідливі виробничі фактори при роботі в
ревербераційній камері
Розглянемо небезпечні та шкідливі виробничі фактори, які
впливають на людину відповідно до класифікації, наведеної у ГОСТ 12.0.003-74.
Робоче місце знаходиться у ревербераційній камері. Відповідно до цього на
працівника діють такі небезпечні виробничі фактори:
. Фізичні:
підвищене значення напруги в електричному ланцюзі, замикання
якого може відбутися через тіло людини;
підвищений рівень електромагнітних випромінювань;
підвищений рівень шуму на робочому місці;
підвищений рівень вібрації.
. Психофізіологічні:
нервово-психічні перевантаження (перенапруга аналізаторів.
монотонність праці, зоровий дискомфорт).
Підвищене значення напруги в електричному ланцюзі, замикання
якого може відбутися крізь тіло людини. Джерелами є електронагрівальні
пристрої, комп’ютер, спеціальні пристрої.
Підвищений рівень електромагнітних випромінювань. Джерелом є
комп'ютер. Використовується для обробки та аналізу наукових даних. Хоча зараз
сучасні комп'ютери випускають із захисними екранами або спеціально нанесеним на
дисплей захисним шаром, це не вирішує проблеми впливу електромагнітного
випромінювання на користувача комп'ютером.
Є випромінювання, яке йде із задніх стінок комп’ютера при
його роботі, якщо ця частина комп’ютера не захищена. Також додатковими
джерелами служать периферійні пристрої комп'ютера - принтери, сканери та ін.
Відмінною ж особливістю сучасних комп'ютерів є збільшення робочих частот
центрального процесора і периферійних пристроїв, а також підвищення споживаної
потужності до 400 - 500Вт. У результаті цього рівень випромінювання системного
блоку на частотах 40 - 70 ГГц за останні 2 - 3 роки збільшився в тисячі разів і
став набагато більш серйозною проблемою, ніж випромінювання монітора.
Тривалість дії фактора - близько 20 год/ тиждень (половина робочого часу).
Підвищений рівень шуму на робочому місці. Джерелами є тестове
та експериментальне обладнання. При визначенні шумових характеристик обладнання
піддають максимальному навантаженню для отримання більш істотних даних, у
зв’язку з цим виникає потреба в захисті від негативної дії шуму на робочому
місці.
Підвищений рівень вібрації на робочому місці. Джерелом є
тестове та експериментальне обладнання, яке створює під час роботи велике
динамічне навантаження і призводять до поширення вібрації в конструкції
будівлі. Ця вібрація супроводжує та є причиною появи шуму. В спектральному
складі вібрації переважають октавні смуги з середньо-геометричними частотами
31,5 і 63 Гц.
Нервово-психічні перевантаження (перенапруга аналізаторів.
монотонність праці, зоровий дискомфорт). Джерело - робота на комп'ютері.
Тривалість дії фактора - близько 20 год/ тиждень (половина робочого часу), що
вкладається в норму (не більше 6 год/день).
.2 Технічні та організаційні заходи для зменшення рівня
впливу небезпечних та шкідливих виробничих факторів при роботі в
ревербераційній камері
. Небезпечне значення напруги в електричному ланцюзі,
замикання якого може відбутися крізь тіло людини.
Забезпечення електроенергією електроприладів здійснюється від
щита з розподільними трансформаторами, під'єднаного до електричного ввідного
пристрою через захисний вимикальний пристрій. Усе електроустаткування при
напрузі понад 42В, а також устаткування і механізми, які можуть бути під
напругою, занулені. Усі розетки мають маркування,із значенням напруги, яка
подається. Всі елементи електричних приладів, по яких проходить струм мають
біти надійно захищені від випадкового дотику. При експлуатації електронагрівальних
приладів необхідно слідкувати за тим, щоб вони були розміщені якнайдалі від
легкозаймистих речовин, матеріалів, предметів і конструкцій. Металеві та
неметалеві електропровідні конструкції, комунікації та виробниче обладнання
повинні бути заземленими. В них допускається напруга 42 В. Інколи в
науково-дослідницьких роботах необхідно застосовувати установки з напругою 220
В і більше. Такі установки спричиняють особливу небезпеку. Робота на установках
з напругою більше 220В повинна виконуватись не менше, ніж двома особами, одна з
яких повинна мати кваліфікацію, яка дає право на виконання самостійних робіт на
таких установках. Останні обладнуються захисним огородженням, заземленням,
блокуванням, сигналізацією, рубильником в колах живлення, плакатами та відповідно
затвердженою інструкцією. Не можна залишати без нагляду не виключені електро- і
радіоприлади, допускати до них сторонніх осіб.
В кабінетах, де є комп'ютерна техніка також існує потреба
щодо вжиття необхідних заходів безпеки. Використання нової обчислювальної
техніки потребує дотримання певних заходів безпеки при її експлуатації. В
кабінеті повинна підтримуватись оптимальна температура 17-21°С, вологість 40-60
%. При роботі з обчислювальною технікою важливо враховувати оптимальні умови
освітленості. В кабінеті забороняється доторкатися до електрообладнання, клем,
електродротів, арматури і відкривати дверці електрошаф. Для персональних
комп'ютерів дозволяється подавати напругу не більше 42 В. Приєднувати до
електромережі комп'ютери з більш високою напругою живлення можна лише за
допомогою шлангових дротів з подвійною ізоляцією. Їх штепсельні розетки, крім
гнізд для робочих контактів, повинні мати ще одне гніздо для заземлення
контакту. Справність ПК слід випробовувати один раз в з місяці.
. Підвищений рівень електромагнітних випромінювань.
Щоб уникнути несприятливого впливу електромагнітного
випромінювання від комп’ютера на користувача необхідно:
по можливості, варто придбати рідкокристалічний монітор,
оскільки його випромінювання значно менша, ніж у поширених ЕЛТ моніторів
(монітор з електронною трубкою);
при покупці монітора необхідно звернути увагу на наявність
сертифікату;
системний блок і монітор повинен знаходитися якнайдалі від
вас.
не залишайте комп'ютер включеним на тривалий час якщо ви його
не використовуєте, хоча це і прискорить знос комп'ютера, але здоров'я
корисніше. Так само, не забудьте використовувати "сплячий режим" для
монітора;
у зв'язку з тим що електромагнітне випромінювання від стінок
монітора набагато більше, постарайтеся поставити монітор в кут, так що б
випромінювання поглиналося стінами. Особливу увагу варто звернути на
розстановку моніторів в офісах;
по можливості скоротіть час роботи за комп'ютером і почастіше
переривайте роботу;
комп'ютер повинен бути заземлений.
. Підвищений рівень шуму на робочому місці.
За будь-якої виробничої діяльності, а
також організації робочих місць варто передбачати необхідні заходи, спрямовані
на зниження шуму, що впливає на людину, до значень, які не перевищують
допустимі. Це досягається технічними засобами боротьби із шумом (зменшенням
шуму машин); застосуванням технологічних процесів, за яких рівні звукового
тиску на робочих місцях не перевищують припустимі; використанням при
будівництві звуковбирних матеріалів; застосуванням засобів індивідуального
захисту (протишумні шоломи, навушники, вкладиші у вуха); організаційними
заходами (вибором раціонального режиму праці й відпочинку, скороченням часу
перебування в гучних умовах). Санітарними правилами забороняється навіть
короткочасне перебування людей в зонах з активними рівнями звукового тиску
понад 135 дб.
Розрахунок шумового режиму робочого місця
Порядок розрахунку полягає у визначенні рівнів звуку на
захищеній від шуму території або в приміщенні будівлі даного призначення і
зіставленні їх з допустимими рівнями звуку. Розрахункові рівні звуку для
транспортних потоків, на міських магістралях або дорогах приймаються в
залежності від їх інтенсивності згідно рис.4.1.
Рис. 3.1. Графік для визначення розрахункових рівнів звуку
транспортних потоків в залежності від інтенсивності, швидкості і характеру
транспортного потоку
Розрахунок очікуваної величини транспортного шуму:

=
46 +11,8 lgN+
=46+11,8lg191+2=71,88
,
де N - інтенсивність руху транспорту в обох напрямках в ек/год; 
-
сума похибок.
Шумовий режим робочого місця складає 71,88 дБА.
Використання рис.4.1 і розрахунку можуть бути використані для
визначення величини 
тільки
на ділянках з безперервним рухом транспорту, коли задані умови транспорту не
відрізняються від умов руху, прийнятих для умов побудови графіка, а саме:
А) при характері (складі) руху вантажного і громадського транспорта
10-90% і швидкості руху основного потоку 20-60 дм / год;
Б) при розділювальних смугах по осі проїзної частини з шириною менше
5м;
В) при проїзної частини з покриттям з асфальтобетону або цементобетону;
Г) при відстані між лініями безперервної забудови більше 50-60 м.
4. Підвищений рівень вібрації на
робочому місці.
Основними заходами щодо боротьби з
вібрацією є зниження вібрації: зниження вібрації в джерелі виникнення;
зменшення вібрації на шляху поширення - віброізоляція, шляхом застосування
пружинних і гумових прокладок, спеціальних підкладок під устаткування;
застосування дистанційного управління, що виключає передачу вібрацій на робоче
місце; використання індивідуальних засобів захисту (антивібраційні рукавиці.
взуття, гумові килимки). Вібруюче устаткування періодично й після ремонту варто
перевіряти на відповідність його діючим санітарним нормам. Для виміру вібрації
застосовуються вібрографи, вимірники шуму та вібрації, а також інші прилади,
показані на рис. 4.2.
5. Нервово-психічні перевантаження (перенапруга аналізаторів.
монотонність праці, зоровий дискомфорт). Порушення зорових функцій у користувачів
комп'ютерів пов'язані, в основному, з трьома групами факторів:
параметрами освітлення робочого місця;
характеристиками дисплея;
специфікою роботи за комп'ютером.
Рис. 3.2. Типи шумомірів та
віброметрів: а) Алгоритм - 02 вібромір; б) SVAN - 948 чотирьохканальний: в)SV -
210/211 Стаціонарна шумомір і вітромір системи моніторингу шуму
Тому, необхідно звернути увагу на забезпечення раціонального
освітлення на робочому місці, використання сучасних дисплеїв з покращеними
характеристиками, дотримання режимів праці та відпочинку, а також необхідно щоб
центр екрана дисплея був нижчий від кута зору людини.
.3 Забезпечення пожежної і вибухової безпеки при роботі в
ревербераційній камері
Причини пожеж і загорянь в
ревербераційній камері можуть бути такі:
1. несправний пристрій, чи порушення
режиму роботи систем опалення, вентиляції і кондиціонування повітря;
2. несправний пристрій, чи перевантаження
електричних установок і мереж (неправильний вибір перетинів чи проводів підбор
електроустаткування, несправність засобів захисту мереж від перевантажень і
ін.);
. самозапалювання і
самозаймання речовин і матеріалів при неправильному їхньому збереженні чи
застосуванні;
. необережне поводження з
вогнем (паління в невстановлених місцях, недбале проведення вогневих робіт,
залишення без догляду електронагрівальних приладів і т.п.).
До небезпечних факторів пожежі
відносяться:
відкритий вогонь чи іскри;
підвищена температура повітря,
предметів і т.п.;
токсичні продукти горіння;
дим (високодисперсна аерозоль із
твердими частками);
знижена концентрація кисню;
вибух.
Загальні вимоги до систем запобігання
пожеж і пожежного захисту регламентується міждержавними стандартами системи
стандартів безпеки праці ГОСТ 12.1.004-91 і ГОСТ 12.1.010-76 і спеціальною
нормативно-технічною документацією.
Для пожежної профілактики порушення
режиму роботи необхідно:
) користуватися електроспоживачами,
шнури живлення яких мають триполюсну вилку з попереджуючим включенням
заземлюючого проводу;
) не вмикати в електромережу
електроспоживачі, шнури живлення яких мають пошкоджену ізоляцію;
) не вмикати в електромережу
електроспоживачі, які мають пошкодження або ненадійно з’єднані з електрошнуром
живлення, вилками, розетками та подовжувачами;
) не вмикати електроспоживачі в
розетки, які не мають захисних, направляючих;
) не застосовувати для опалення
приміщень нестандартного (саморобного) електронагрівального обладнання або ламп
розжарювання;
6) при користуванні
електроспоживачами, які мають окремий, самостійний провід заземлення, перед
включенням його в електромережу перевірити наявність та надійність приєднаного
проводу до відповідних клем;
7) не залишати без догляду працюючі електроспоживачі;
) по закінченні робочого дня вимкнути вимикач на
електроспоживачі та від’єднати провід живлення від
розетки електромережі. При цьому слід пам’ятати, що від’єднуючи вилку
електроспоживача від розетки, її слід тримати за корпус, а не смикати за провід
живлення, бо можна висмикнути один з проводів і потрапити під дію електричного
струму.
Профілактика пожеж від перевантажень:
1. при проектуванні необхідно правильно вибирати переріз
провідників мереж і схем за допустимою величиною струму;
2. в процесі експлуатації електричних мереж не можна
включати додатково електроприймачі, якщо мережа на це не розрахована;
. для захисту електрообладнання від струмів
перевантаження найбільш ефективні автоматичні і електронні схеми захисту,
вимикачі, теплові реле і плавкі запобіжники.
З метою попередження можливостей загоряння і виникнення пожеж
у ревербераційній камері необхідно:
4.1. робочі місця і проходи звільнити від зайвих предметів;
4.2. не працювати з легкозаймистими речовинами на
відкритому вогні і поблизу електронагрівальних приладів;
.3. у процесі виконання роботи перевіряти крани газових
пальників.
Для забезпечення пожежовибухобезпеки важливе значення має
підтримка необхідного теплового режиму обладнання за допомогою природної або
механічної вентиляції, а також тепловідводів спеціального призначення.
Необхідно прийняти ряд заходів, для забезпечення гасіння пожеж. До них
відносяться будівництво димових люків для видалення та обмеження розповсюдження
диму, який виникає при пожежі , будівництво спеціальних сходів, забезпечення
під'їздів до споруд, будівель та джерел води. Для гасіння пожеж використовують
вогнегасники (пінні, рідинні, газові).
При виникненні пожежі рекомендуються наступні дії:
вивести людей і матеріальні цінності з небезпечної зони;
викликати пожежну охорону;
вжити заходи по локалізації пожежі;
по можливості, вжити заходи по гасінню пожежі.
Безпека при вибухах забезпечується встановленням мінімальної
кількості вибухонебезпечних речовин, які використовують у лабораторіях;
використання обладнання, яке розраховане на тиск вибуху; застосування активних
систем зменшення вибуху та засобів попереджування.
Для запобігання пожеж і вибухів необхідно виключити
можливість утворення вибухонебезпечного середовища, підвищення температури і
тиску даного середовища вище максимально допустимих значень горючості.
Розділ ІV. Еколого-економічний збиток від дії транспортного
шуму на населення
.1 Визначення еколого-економічного збитку від дії
транспортного шуму на населення
Розрахувати еколого-економічий збиток можна за такою
формулою:

,
де 
-
корисний коефіцієнт (12грн); 
-
коефіцієнт агресивності, який визначається в залежності від рівня шуму
внутрішніх приміщень; 
-
рівні шуму від транспорту у внутрішніх приміщеннях вдень, дБА; 
-
кількість людей у приміщенні.
.2 Аналіз розрахунку еколого-економічного збитку від дії
транспортного шуму на населення
Умовно було взято, що в однокімнатній квартирі проживають 2 людини, в
двокімнатній 4 і в трьокімнатній 6. Двадцять один пятиповерхових будинки в
кожному з яких по одному типу квартири на поверх, тоді: 
=
12*5*21 = 1260 мешканців [28].
Оскільки перевищенний середній рівень 
=
43 дБА то 
=
12, тоді:
Отриманий результат характеризує збитки за нормативами в день
і для визначення сумарного збитку за рік:
Висновки
1. На територіях, які межують з магістральними вулицями
спостерігаються зони в яких різні зашумлення перевищують нормативні. На
території вул.. Чоколовський бульвар ширина зони зашумлення складає близько від
10 м до 420 м.
2. Для створення умов праці, які б відповідали
нормативним вимогам що до рівнів шуму у внутрішніх приміщеннях необхідні
шумозахисні заходи якими можуть бути звукоізоляція скління та звукопоглинання.
. Автотранспортні потоки на вулично-дорожній мережі
міст обумовлюють високі рівні шуму, які складають від 62 до 72 дБА, що
призводить до значного шумового забруднення прилеглих житлових територій, тому
саме на вулично-дорожній мережі міст найбільш ефективні шумозахистні заходи для
зменшення негативного впливу транспортних шумів.
. Капіталовкладення, яке потрібно для виконання цих
заходів коштує значно менше ніж збитки від негативного впливу шуму на людей.
. Загальна оцінка ефективності заходів повинна
здійснюватися в залежності від рівня негативних впливів, які порівнюються з санітарно-гігієнічними
нормами.
Список використаних джерел
1. Дьяков А.Б., Игнатьев Ю.В. Экологическая безопасность
транспортных потоков.-М.:Транспорт, 1989.-128 с.
2. Дідьковский В.С., Маркэлов П.О. Шум і Вібрація:
Підручник.-К.: Вища шк., 1995.-263 с.
. Авиационная акустика: В 2-х ч./Под ред..
А.Г.Мунина.-М.: Машиностроение, 1986.-250 c.
. Гигиенические критерии состояния окружающей среды:
(12.Шум.-Женева): ВОЗ, 1983.-115 с.
. ГОСТ 22283-88. Шум авиационный. Допустимые уровни
шума на територии жилой застройки. [Введ. 01.04.1981].
. ГОСТ 24525.4-80. Управление производственным объединением и промышленным
предприятием. Управление ораной окружающей среды. Основные положения.- (М.: Госстандарт), 1981.-14 с.
7. ГОСТ 204444-85. Шум. Транспортні потоки.
Методи виміру шумової характеристики. [Введ. 01.01.86].
8. ГОСТ 31296.2-2006. Описание, измерение и оценка шума
на местности. (Часть 2.-М.: Стандартинформ 2008).
9. Закон України “Про охорону навколишнього
природного середовіща” від [25.06.1991].
10. Закон України “Про санітарно-епідеміологічну службу”
[від 05.06.1994].
11. Заборов В.И., Лапаев Э.М., Никольский В.Н. Звукоизоляция
в жилых и общественных зданиях. - М.: Стройиздат, 1979.-254 с.
12. Мсаков В.М., Федорович М.А. Виброшумозащита в
электромашиностроении .- Л.:Энергоатомиздат, 1986.-208 с.
. Исакович М.А. Общая акустика. - М.: Наука, 1973.-495
с.
. Кузнецов В.С. Медико - биологические аспекты
проблемы шума и вибрации. Пленарные доклады на VІ НТК по авиационной
акустике.-М: ЦАГИ, 1979.-С.122-149.
15. Лепендин Л.Ф. Акустика.-М.: Высш. Шк.,
1978.-448 с.
16. Новак С.М., Логвинец А.С. Защита от вибраций и шума в
строительстве:
Справочник. - К.: Будівельник, 1990.-184 с.
17. Осипов Г.Л., Прутков Б.Г., Шишкин И.А.
Градостроительные меры борьбы с шумом.- М.: Стройиздат, 1975.-215 с.
. Поспелов П.И. Борьба с шумом на автомобильных
дорогах.-М.:Транспорт,
1981.-88 с.
. Самойлюк Е.П., Денисенко, Пилипенко А.П.
Борьба с шумом в населенных местах.- К.: Будівельник, 1981.-144 с.
. Луканин В.Н., Трофименко Ю.В. Промислово-транспортна
екологія: Учеб. Для вузів / Під ред. В.Н. Луканина. - М.: Высш. шк., 2001. -
273с.
. Макарова Т.В. До питання оцінки впливу
транспортного потоку на суспільно екологічні показники місцевості, що прилягає
до дороги // Т.В. Макарова, О.Г. Воловненко, С.М. Долгополов // Міжвузівський
збірник «Наукові нотатки». Луцьк, 2010. Випуск №28 - С.317-322
22. Токарев В.И., Запорожец А.И., Страхолес В.В. Снижение
шума при эксплуатации пассажирских самолетов. - Киев: Техника, 1990. - 127 с.
23. Дідковський В.С. та ін. Основи акустичної
екології: Навчальний посібник /За ред. В.С. Дідковського.- Кіровоград:
Поліграфічно-видавничий
центр ТОВ "Імпекс ЛТД", 2002.-520 с.
. Квитка В.Е., Мельников Б.Н., Токарев В.И.
Гражданская авиация и охрана окружающей среды К.: Вища шк., Головное
издательство, 1984.-136 с.
. Авиационная акустика //Под ред. А.Г.Мунина. Часть 1.
Шум на местности дозвуковых пассажирских самолетов и вертолетов. - М.:
Машиностроение, 1982. - 243 с.
. Контроль шума в промышленности: Предупреждение,
снижение / Под ред.Дж.Д.Вейба. - Л.:Судостроение, 1981.-312 с.
. Коаригин С.Д., Крышов С.И. Архитектурно-строительная
акустика. - М.: Высш. Шк., 1986.-256 с.
. Рекомендации по установлению зон ограничения жилой
застройки в окрестностях аэропортов ГА из
русловий шума.-М.: ГосНИИСФ, НИИСФ, МНИИ гигиены, 1985ю-49 с.
. Колесников А.Е. Шум и вибрация: Учебник. -
Л.:Судостроение, 1988.-248 с.
ДОДАТКИ
Додаток А
Допустимі рівні звуку електропобутової апаратури
|
Группы ТНП
|
Уровни звукового давления, дБА в октавных полосах со
среднегеометрическими частотами, Гц
|
Уровни звука эквивалентные уровни звука, дБА
|
Максимальные уровни звука, дБА
|
|
31,5
|
63
|
125
|
250
|
500
|
1000
|
2000
|
4000
|
8000
|
|
|
|
1. Бытовые электрические приборы:
|
|
а) изделия предназначенные для круглосуточной эксплуатации
в жилых комнатах квартир, например: вентиляторы, воздухообменники,
кондиционеры
|
72
|
55
|
44
|
35
|
29
|
25
|
22
|
20
|
18
|
30
|
40
|
|
б) изделия, предназначенные для круглосуточной эксплуатации
во вспомогательных нежилых помещениях квартир, например: холодильники,
морозильники
|
83
|
67
|
57
|
49
|
44
|
40
|
37
|
35
|
33
|
45
|
55
|
|
в) изделия длительного использования (от 1 до 6 часов в
день), предназначенные для механизации хозяйственных и кухонных работ,
например: стиральные и швейные машины, воздухоочистители для кухонь
|
100
|
87
|
79
|
72
|
68
|
65
|
63
|
61
|
59
|
70
|
75
|
|
г) изделия кратковременного использования (менее 1 часа в
день), предназначенные для механизации хозяйственных и кухонных работ,
например: пылесосы, кухонные комбайны, кофемолки, миксеры
|
107
|
95
|
87
|
82
|
78
|
75
|
73
|
71
|
69
|
80
|
85
|
|
д) изделия производственно-бытового назначения, например:
электродрели, электрорубанки**
|
107
|
95
|
87
|
82
|
78
|
75
|
73
|
71
|
69
|
80
|
90
|
|
2. Игрушки для детей (за исключением настроенных
музыкальных игрушек, духовых и ударных инструментов)***
|
|
а) до 3-х лет
|
93
|
79
|
70
|
63
|
58
|
55
|
52
|
50
|
49
|
60
|
70
|
|
б) от 3-х до 6-ти лет
|
96
|
83
|
74
|
68
|
63
|
60
|
57
|
55
|
54
|
65
|
75
|
|
в) старше 6-ти лет
|
100
|
87
|
79
|
72
|
68
|
65
|
63
|
61
|
59
|
70
|
80
|
|
г) игрушки для игры на открытом воздухе
|
103
|
91
|
83
|
77
|
73
|
70
|
68
|
66
|
64
|
75
|
85
|
|
3. Электроприборы санитарно-гигиенические, например: фены,
электробритвы
|
100
|
87
|
79
|
72
|
68
|
65
|
63
|
61
|
59
|
70
|
75
|
|
4. Бытовая оргтехника, например: множитель, 085;ая техника
|
96
|
83
|
74
|
68
|
63
|
60
|
57
|
55
|
54
|
65
|
75
|
|
5. ПЭВМ (системный блок)
|
86
|
71
|
61
|
54
|
49
|
45
|
42
|
40
|
38
|
50
|
-
|
|
* Корректированный уровень звуковой мощности является
технической характеристикой источника шума и в данных СанПиН не нормируется.
** Индивидуальная трудовая деятельность с применением ТИП данной группы при
уровнях звука выше 75 дБА в квартирах жилых зданий запрещается. Работа с
изделиями производственно-бытового назначения в жилых зданиях в ночное время
суток (с 23 до 7 часов) запрещена. *** Максимальный уровень звука игрушки,
издающей импульсный шум в качестве игрового момента (удар, одиночный выстрел
и др.), должен быть не более 90 дБА при измерении на временной характеристике
«импульс» шумомера.
|