Система команд конфігурування маршрутизаторів Cisco

  • Вид работы:
    Реферат
  • Предмет:
    Информатика, ВТ, телекоммуникации
  • Язык:
    Русский
    ,
    Формат файла:
    MS Word
    141,56 kb
  • Опубликовано:
    2009-01-12
Вы можете узнать стоимость помощи в написании студенческой работы.
Помощь в написании работы, которую точно примут!

Система команд конфігурування маршрутизаторів Cisco

 

Реферат

Тема: Система команд конфігурування маршрутизаторів Cisco.










Анотація

            Розвиток інформаційних технологій неминуче супроводжується розширенням комп'ютерних мереж як в плані збільшення числа під'єднаних до них комп'ютерів, так і в плані покриття такими мережами все більшої території. При такому розширенні виникає ряд проблем, серед яких можна виділити наступні:

            а) при використанні локальними комп'ютерними мережами (LAN) спільного середовища передачі при збільшенні числа підключених комп'ютерів збільшується кількість колізій при обміні інформацією (розширення домену колізій);

            б) виникає необхідність об'єднання географічно віддалених комп'ютерних мереж;

            в) виникає необхідність об'єднання комп'ютерних мереж, побудованих на базі різних технологій.

            Якщо перша проблема може бути успішно вирішена за допомогою мостів або комутаторів, то при усуненні двох останніх широко використовуються маршрутизатори.

            В широкому розумінні, маршрутизатором називається програма, що забезпечує обмін пакетів даних або обмін повідомлень між абонентами різних комп'ютерних мереж. Враховуючи, що така програма найчастіше функціонує на спеціалізованих апаратних засобах, у вузькому розумінні, маршрутизатором прийнято називати сукупність цих апаратних та програмних засобів.

            Одним із лідерів серед світових виробників маршрутизаторів вважається фірма Cisco Systems. Фірма виготовляє широкий спектр мереженого обладнання, в число яких входять і маршрутизатори різного класу –від найпростіших для малих офісів до найпотужніших для великих підприємств. На маршрутизаторах фірми Cisco функціонує потужна операційна система Cisco IOS, розроблена цією ж фірмою на базі ОС UNIX, яка є простою у використанні і пропонує споживачам широкий набір функціональних можливостей.

            Предметом розгляду даного реферату є програмні засоби маршрутизаторів Cisco, а саме –набір команд операційної системи Cisco IOS. В роботі приведено лише основні команди мінімально необхідної настройки маршрутизатора без прив'язки до конкретної версії операційної системи та конкретної моделі маршрутизатора.

            Опис команд приведено в контексті окремих типових апаратних підсистем маршрутизатора або відповідно до типових завдань, які потребують вирішення за його допомогою. Проблеми вирішення специфічних завдань, які виникають в процесі експлуатації маршрутизатора при виконанні ним конкретних функцій, не розглядаються.

            До складу реферату входять 20 сторінок друкованого тексту, включаючи 7 ілюстрацій та 4 таблиці.

Зміст

1. Вступ.. 2

2. Програмне забезпечення маршрутизаторів Cisco. 3

2.1. Інтерфейс.. 3

2.2. Організація команд Cisco IOS.. 5

2.2.1. Контекст адміністратора.. 6

2.2.2. Контекст глобального конфігурування. 9

2.2.3. Лінії керування. 10

2.3. Інтерфейси маршрутизатора. 11

2.3.1. Фізичні інтерфейси. 11

2.3.2. Логічні інтерфейси. 13

2.4. Ідентифікація інтерфейсів.. 13

2.5. Конфігурування інтерфейсів. 14

2.6. Маршрутизація.. 15

Висновок.. 17

Перелік скорочень.. 18

Перелік літератури.. 19

1. Вступ


            Фірма Cisco Systems пропонує маршрутизатори різного класу як для малих офісів так і мультигігабітні пристрої, які функціонують в ядрі Інтернет.

            Маршрутизатор Cisco 1601 належить до Low-End –класу і призначений для підключення локальних мереж Ethernet невеликих офісів до мережі Internet, внутрішньої мережі компанії або ж до корпоративної мережі через декілька підключень глобальних мереж, таких як ISDN, асинхронні послідовні та синхронні послідовні.

Маршрутизатори, серії 2500 належить до Medium-End класу і призначені для використання в невеликих офісах і в мережах з віддаленими вузлами.

            Типова модель Cisco 2500 обладнана двома із наступних інтерфейсів:

·   Ethernet

·   Синхронний послідовний

·   Асинхронний послідовний

            Маршрутизатори, серії 2500 обладнані пам'яттю FLASH технології EPROM, яка застосовується для збереження програмних образів та забезпечує їх легку модифікацію.

            Ці системи можуть працювати з різноманітними програмними комплексами операційної системи Cisco IOS, що дає можливість вибору комплекту програм, який відповідає конкретним мереженим протоколам. Програмні комплекти мають досить широкий спектр –від простих ІР та мостових з'єднань до повного набору функціональних можливостей програмного забезпечення Cisco.

            Серія модульних маршрутизаторів Cisco 3600 розроблена для віддалених офісів та підрозділів, яким необхідний доступ до корпоративної мережі або до мережі Internet. Дана серія забезпечує високий рівень різних технологій віддаленого доступу, в тому числі передачу голосу і факсів через мережі ТСР/ІР

2. Програмне забезпечення маршрутизаторів Cisco.


На маршрутизаторах Cisco виконується высокопродуктивна операційна система IOS (Cisco Internetworking Operating System), створена на базі ОС UNIX, яка фізично розміщена в енергонезалежній пам'яті маршрутизатора (FLASH).

            Процес ініціалізації маршрутизатора виконується в наступній послідовності:

1.   POST (Power On Self Test) –тестування обладнання після включення живлення.

2.   Bootstrap IOS –програма завантаження основного IOS.

3.   Cisco IOS –основна операційна система маршрутизатора.

4.   Файл конфігурації із NVRAM.

Підключення до маршрутизатора здійснюється програмою TELNET на ІР –адресу будь-якого з його інтерфейсів або при посередництві будь-якої іншої термінальної програми через консольний порт маршрутизатора CON або додатковий порт AUX. Останньому способу слід надати перевагу, оскільки в процесі конфігурування маршрутизатора можуть змінюватися параметри ІР-інтерфейсів, що може призвести до втрати з'єднання через TELNET. Окрім того, з міркувань безпеки доступ до маршрутизатора через TELNET слід заборонити.

Аварійне відключення оператора від консолі не реєструється маршрутизатором і сеанс залишається в тому ж стані. При повторному підключенні оператор опиниться в тому ж самому контексті, з якого відбулося аварійне відключення (якщо не спрацював автоматичний вихід по таймеру неактивності). Навпаки, при втраті TELNET –з'єднання маршрутизатор закриває сеанс роботи оператора.

При першому завантаженні IOS намагається завантажити конфігурацію з глобальної мережі; при невдалому завершенні цієї процедури IOS пропонує здійснити початкове конфігурування маршрутизотора за допомогою програми SETUP. Програма SETUP пропонує встановити деякі основні глобальні параметри конфігурації маршрутизатора шляхом діалогу питання –відповідь. До початкового конфігурування маршрутизатора відносяться наступні дії:

1.   Специфікація імені маршрутизатора (по умовчанню пропонується "Router").

2.   Специфікація пароля enable secret.

3.   Специфікація пароля enable password.

4.   Специфікація пароля віртуального терміналу.

5.   Конфігурування протоколів SNMP, IP, протоколів маршрутизації RIP, IGRP.

6.   Конфігурування інтерфейсів.

Кожен з наведених вище етапів, запропонованих програмою SETUP, може бути проігнорований, а необхідні конфігураційні параметри можуть встановлюватися без посередництва програми SETUP за допомогою відповідних команд Cisco IOS. Крім цього, запуск програми SETUP є можливим в довільний момент з привілейованого режиму.

 

2.1. Інтерфейс

 

            Взаємодія з системою Cisco IOS відбувається при посередництві інтерфейсу командного рядка (CLI –Command Line Interface). В загальному випадку формат команди виглядає наступним чином:

Команда     [параметри або опції]

            Параметри або опції, залежно від команди, можуть бути обов'язковими, необов'язковими або відсутніми взагалі. Для орієнтування в системі команд в Cisco IOS передбачена залежна від контексту система допомоги.

            Допомога слова може знадобитися при необхідності отримання переліку команд, які розпочинаються попередньо введеною послідовністю символів. В цьому випадку пропонується завершити введену послідовність символом "?"(знак питання) – у відповідь Cisco IOS надасть перелік команд, які починаються шуканою послідовністю символів. Наступний приклад демонструє використання допомоги слова:

Router# co?

configure connect copy

            Допомога синтаксису допомагає отримати перелік допустимих ключових слів та команд даного контексту або перелік допустимих параметрів команди. Для використання допомоги синтаксису пропонується одразу після ключового слова через пробіл ввести символ "?" (знак питання). В результаті буде видано перелік можливих команд чи параметрів команди. Наступний приклад демонструє використання допомоги синтаксису:

            Router# configure ?

               memory             Configure from NV memory

               network            Configure from a TFTP network host

               overwrite-network  Overwrite NV memory from TFTP network host=20

               terminal           Configure from the terminal

            У випадку введення невірної команди (помилка в слові, недопустима в даному контексті команда або невірно заданий параметр) Cisco IOS видасть відповідне повідомлення і вказівку імовірного місцезнаходження помилки в командному рядку. Ключове слово або невірний параметр в цьому випадку позначаються символом "^" (тильда). Наступний приклад демонструє реакцію системи на невірно введене ключове слово "Ethernet"

                               ^

% Invalid input detected at '^' marker.

Команди та ключові слова можна скорочувати до мінімально можливого –необхідно набрати кількість символів, яка є достатньою для однозначного трактування ключового слова чи команди. Якщо введена послідовність недостатня для однозначного трактування команди чи ключового слова –реакцією Cisco IOS спробу виконати таку команду буде повідомлення, типу:

cisco(config)#i

% Ambiguous command: "i"

Автозавершення – клавішею TAB можна завершити ввід команди, якщо кількість попередньо набраних символів команди задовольняє умову (2).

Для усунення необхідності повторного набору команд передбачено буфер історії команд, який надає можливість повторного використання введених раніше команд.

Способи редагування командного рядка:

  • Попередня/наступна команда:                               Ctrl-P/Ctrl-N або стрілки­¯.
  • Символ вперед/назад:                                             Ctrl-F/Ctrl-B або стрілки ®¬.
  • На початок/в кінець рядка:                                      Ctrl-A/Ctrl-E
  • Наступне слово/попереднє слово:                         Esc F/Esc B
  • Авто завершення команди:                                     Tab або Ctrl-I
  • Вставити з буфера/вставити наступний:                          Ctrl-Y/Esc Y
  • Видалити символ зліва від курсора / під курсором:         Delete/Ctrl-D
  • Видалити всі символи до початку рядка/кінця рядка:      Ctrl-U/Ctrl-K
  • Видалити слово ліворуч курсора / праворуч курсора:     Ctrl-W/Esc D
  • Переввід рядка:                                                        Ctrl-L/Ctrl-R
  • Поміняти символи місцями:                                   Ctrl-T
  • Екранування символу:                                            Ctrl-V або Esc Q
  • Коментарі починаються зі знаку оклику, але у NVRAM не зберігаються.

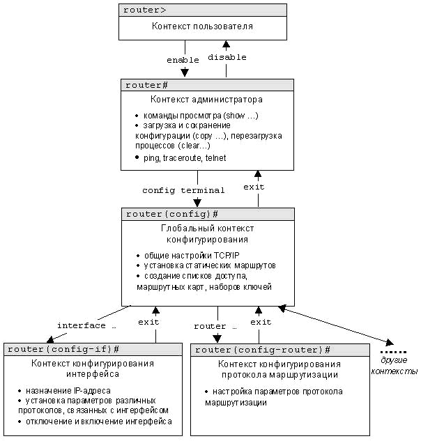
При роботі з командним рядком Cisco IOS передбачено декілька контекстів (режимів вводу команд). Поточний контекст ідентифікується символом запрошення вводу команди, який виводиться вслід за іменем маршрутизатора, наприклад Router> - контекст користувача; Router# - контекст адміністратора. Замість сигнатури "Router" виводиться назва маршрутизатора, якщо вона була специфікована.

Контекст користувача –відкривається при підключенні до маршрутизатора і допускає виконання лише обмеженого набору основних контрольних команд, що не впливають на конфігурацію маршрутизатора. Якщо на протязі тривалого часу відсутні будь-які дії в контексті адміністратора, Cisco IOS автоматично переходить в контекст користувача.

Контекст адміністратора –відкривається командою enable, поданою в контексті користувача. Контекст адміністратора надає доступ до всіх без винятку команд (команди, що дозволяють отримати повну інформацію про конфігурацію маршрутизатора та його поточний стан, команди переходу в режим конфігурування, команди збереження та завантаження конфігурації). Зворотній перехід до контексту користувача відбувається по команді disable або по закінченні встановленого часу неактивності.

Контексти користувача та адміністратора можуть бути захищені паролями з метою запобігання несанкціонованого доступу незареєстрованих операторів, тому при вході до одного з цих контекстів може відбуватися запит пароля (Password:). При вводі пароля останній із міркувань безпеки на екрані терміналу не відображається. При роботі через сеанс TELNET пароль передається мережею у відкритому форматі; TELNET не вживає жодних засобів по забезпеченню захисту пароля від можливого перехоплення. Завершення сеансу роботи відбувається по команді exit.

2.2. Організація команд Cisco IOS


Команди Cisco IOS чітко структуровані і доступні в різних контекстах і для успішної роботи з системою команд важливим є розуміння того, в якому контексті які команди є доступними. Для спрощення орієнтування в ієрархії команд вигляд рядка запрошення має унікальний вигляд. На малюнку 2.2.1 наведена проста схематична діаграма деяких контекстів Cisco IOS.

Кожна команда доступна лише на певному рівні ієрархії CLI (в певному контексті CLI). Наприклад, команди конфігурації не будуть доступними, поки інтерфейс не буде переведено на рівень глобального конфігурування командою configure.

В таблиці 2.2.1 наведено перелік можливих контекстів та доступних команд системи команд.

Таблиця 2.2.1. Контексти та доступні команди системи команд Cisco IOS

Router>

- Режим користувача

Router#

- Привілейований режим

Router(config)#

- Режим глобального конфігурування

Router(config-if)#

- Режим конфігурування інтерфейсу (контекст обраного інтерфейсу)

Router(config-router)#

- Режим конфігурування маршрутизації

Router(config-line)#

- Режим конфігурування віртуального терміналу


            Вихід з контексту глобального конфігурування до контексту адміністратора, а також вихід з будь-якого контексту до контексту верхнього рівня виконується командою exit. Комбінація CTRL+Z приводить до переходу в контекст адміністратора з будь-якого під контексту; до цього ж приводить команда end будь-якого під контексту.

            Відміна дії будь-якої команди реалізована за допомогою т.з "негативних" команд –команд, яким передує префікс no, наприклад:

      Router(config-if)#shutdown         -виключає інтерфейс

      Router(config-if)# no shutdown     -включає інтерфейс.

Інколи при введенні негативних команд є потреба у вказуванні параметрів команд, дії яких вони відміняють.

Малюнок 2.2.1. Схематична ієрархія команд Cisco IOS

2.2.1. Контекст адміністратора


            Команди конфігурування дозволяють маніпулювати поточним режимом роботи маршрутизатора шляхом зміни значень параметрів, які зберігаються в файлі конфігурації.

            Маршрутизатор Cisco зберігає конфігурацію в двох копіях –файл поточної конфігурації (running-config) в RAM та файл стартової конфігурації (startup-config) в NVRAM. Файли конфігурації є текстовими файлами, що містять секції, кожна з яких відповідає одній із підсистем маршрутизатора; в секціях прописуються значення конкретних параметрів відповідних підсистем. При завантаженні Cisco IOS зчитує команди конфігурації з файлу startup-config (в NVRAM) до файлу running-config (в RAM). Поточна конфігурація є активною у процесі функціонування маршрутизатора.

Всі команди вступають в дію одразу ж після їх введення і прописуються до файлу поточної конфігурації (running-config) в RAM. Деякі настройки маршрутизатора та його окремих підсистем мають значення по умовчанню. До файлу конфігурації прописуються лише ті значення параметрів, які відрізняються від значень, прийнятих по умовчанню.

            Контекст адміністратора містить команди перегляду файлів поточної та стартової конфігурацій:

      show running-config [options]

                        -перегляд файлу поточної конфігурації;

      show startup-config [options]

                        -перегляд файлу стартової конфігурації;

            Параметри [options] дозволяють керувати процесом виводу і дозволяють, наприклад, здійснювати вивід не всього файлу, а вмісту деякої окремої його секції.

            Якщо маршрутизатор втратить управління і буде перезавантажений, всі зміни, зафіксовані в running-config буде втрачено, якщо їх попередньо не було збережено до файлу стартової конфігурації (startup-config) в NVRAM. Для збереження змін у файлі стартової конфігурації слід користуватися командою:

Router# copy running-config startup-config

            Конфігурація маршрутизатора може зберігатися на TFTP –сервері і завантажуватися з нього. Для цього необхідно вказувати ІР -адресу TFTP –сервера та назву файлу, під якою буде збережено файл конфігурації. Команда збереження на TFTP має вигляд:

      copy <файл-джерело> TFTP://<IP-адреса TFTP>/[<назва файлу>]

            Якщо параметр <назва файлу> не буде вказано, Cisco IOS запропонує вказати його значення в процесі діалогу.

            При збереженні однієї конфігурації поверх іншої можливі два варіанти: перезапис і злиття. При перезапису стара конфігурація попередньо видаляється, а при злитті –команди нової конфігурації дописуються до старої так, ніби вони вводилися вручну. При злитті конфігурацій можлива низка побічних ефектів, що має особливе значення при злитті списків доступу, оскільки порядок запису рядків списків має суттєве значення. Злиття може змінити цей порядок і суттєво спотворити роботу маршрутизатора.

            Наведена нижче таблиця містить перелік можливих команд збереження конфігурації; всі команди виконуються в контексті адміністратора.

Таблиця 2.2.2. Варіанти команд збереження конфігурації.

Звідки

Куди

Команда

Варіант

Рабочая

Начальная

copy running-config startup-config

Перезапис

TFTP

Начальная

config overwrite-network або copy tftp startup-config

Перезапис

Рабочая

TFTP

copy running-config tftp

Перезапис

Начальная

TFTP

Перезапис

Начальная

Рабочая

config memory або copy startup-config running-config

Злиття

TFTP

Рабочая

config network або copy tftp running-config

Злиття


            Інформація про маршрутизатор (модель, розмір пам'яті, версія IOS, кількість і типи інтерфейсів) доступна по команді:

      show version

            Ця команда виводить наступні важливі дані:

·   Версія IOS, під управлінням якої працює маршрутизатор;

IOS (tm) 3600 Software (C3620-JSX-M), Version 12.2(13b)

·   Версія BOOTSTRAP IOS:

ROM: System Bootstrap, Version 11.1(20)AA2

·   Файл з образом IOS, з якого система була завантажена:

flash:c3620-jsx-mz.122-13b.bin

·   Модель маршрутизатора:

cisco 3620 (R4700) processor (revision 0x81)

·   Розмір оперативної пам'яті (виводиться у вигляді двох чисел –розміру процесорної пам'яті та розмір пам'яті вводу-виводу:

with 60416K/5120K bytes of memory.

·   Розмір NVRAM:

29K bytes of non-volatile configuration memory.

·   Розмір пам'яті FLASH:

16384K bytes of processor board System flash (Read/Write)

·   Значення конфігураційного регістра:

Configuration register is 0x2102

            Перегляд вмісту FLASH –пам'яті реалізований командою show flash, результат виконання має вигляд:

      System flash directory:

      File  Length      Name/status

      1     13205088    c3620-jsx-mz.122-13b.bin

[13205152 bytes used, 3047776 available, 16252928 total]

16384K bytes of processor board System flash (Read/Write)

            Моніторинг завантаження процесора:

show processes

show processes cpu

show processes memory

            Другий варіант команди виводить більш детальну інформацію про навантаження процесора (середнє завантаження кожного процесора за останні 5 секунд, 1 та 5 хвилин.), а третій –про завантаження процесами оперативної пам'яті:

PID     -ідентифікатор процесу;

Qty      -перший символ       -приорітет процесу:

С-критичний (Critical)

Н –високий (High)

М –середній (Medium)

L –низький (Low)

            -наступні символи    -статус процесу

                                   * -виконується процесором

                                   we –очікування події (wait event)

                                   si –очікування завершення інтервалу часу

                                   sp –очікування завершення періоду (для періодичних процесів)

                                   st –очікування спрацювання таймера.

Runtime         -сумарний час (в мілісекундах) виконання процесу центральним процесором.

Invoked          -скільки разів з моменту створення процесу центральний процесор переходив до його виконання.

USecs             -середня тривалість однієї активації процесу (в мікросекундах)

5Sec, 1Min, 5Min

-середнє завантаження процесора даним процесом за останні 5с., 1хв., 5 хв.

Allocated        -загальний розмір пам'яті, виділеної під процес з моменту його створення.

Freed              -загальний об'єм пам'яті, звільненої процесом з моменту його створення.

Holding           -розмір пам'яті, виділений процесу на поточний момент.

             Моніторинг загального завантаження RAM реалізований командою:

            show memory

                Head    Total(b)     Used(b)     Free(b)   Lowest(b)  Largest(b)

Processor   622D4780    25344128     6839588    18504540    18500600    18480200

      I/O    3B00000     5242904     2145848     3097056     3097056     3096796

 

...подальший вивід пропущено...

             Для кожного пулу пам'яті (процесорного та вводу виводу) вказуються:

Total               -розмір пулу в байтах;

Used               -скільки пам'яті задіяно на поточний момент;

Free                -кількість незадіяної пам'яті;

Largest           -розмір найбільшого неперервного блоку, доступний для виділення в поточний момент.

            Завдання заміни образу IOS шляхом копіювання необхідного образу з TFTP –сервера до FLASH –пам'яті здійснюється командою:

                               copy tftp flash

із наступним пере завантаженням маршрутизатора.

            Примусове пере завантаження маршрутизатора здійснюється командою:

            reload

            Якщо на момент пере завантаження виявлено факт попередньої зміни файлу поточної конфігурації running-config, Cisco IOS запропонує варіанти його збереження в файлі startup-config (або відмова від збереження).

2.2.2. Контекст глобального конфігурування.


Перехід до контексту глобального конфігурування здійснюється з контексту адміністратора командою configure

з терміналу:                configure terminal

з NVRAM:                  configure memory

з мережі:                     configure network

            В контексті глобального конфігурування виконуються команди, які впливають на функціонування системи в цілому, а також команди переходу до контекстів конфігурування конкретних підсистем маршрутизатора. Контекст глобального конфігурування ідентифікується рядком запиту (config)# і допускає виконання наступних команд:

            hostname <назва маршрутизатора>

            Встановлює назву маршрутизатора замість назви по умовчанню "Router"

            [no] enable password <пароль>

            Команда парольного доступу до контексту адміністратора, який буде запитуватися під час виконання команди enable. Пароль прописується до файлу поточної конфігурації і зберігається там у відкритому (нешифрованому) вигляді. При відсутності цього пароля переключення до привілейованого режиму можна здійснити лише при використанні консолі, а з віртуального терміналу буде доступний лише контекст користувача.

            [no] enable secret <пароль>

            Команда, за своєю дією аналогічна попередньо описаній, однак пароль зберігається в зашифрованому MD5 –алгоритмом вигляді і має вищий пріоритет виконання.

            [no] ip domain-lookup

            Дозволити/заборонити звернення до DNS (Domain Name Service)

            [no] cdp run

            Дозволяє/забороняє використання протоколу CDP (Cisco Discovery Protocol) виявлення безпосередньо підключеної апаратури Cisco, тобто доступної на канальному рівні. Протокол з періодичністю 60 с. опитує порти маршрутизатора на предмет наявності апаратури Cisco і заносить інформацію про виявлені пристрої до бази даних.

            Маршрути до безпосередньо приєднаних мереж заносяться до таблиці маршрутизації автоматично одразу ж після конфігурування інтерфейсу, при умові, що цей інтерфейс працездантий (line protocol up). Для формування додаткових статичних маршрутів призначена команда:

                  [no] ip route <dest.address><dest.mask><next-hop>[options]

            <destination address>     -адреса цільової мережі

            <destination mask>           -маска цільової мережі

<next-hop>                           -адреса сусіднього маршрутизатора

<options>                             -додаткові параметри, наприклад –параметри метрики

В якості параметра <next-hop> можна вказувати:

            -безпосередню адресу сусіднього (доступного на канальному рівні) маршрутизатора.

            -адресу віддаленої мережі або віддаленого хоста (опосередкована маршрутизація).

            -локальний інтерфейс.

Опосередкований маршрут вказує на запис в таблиці маршрутизації, в якому знаходиться прямий маршрут. Дозволяється формувати таким чином послідовності маршрутів будь-якої довжини. Локальний інтерфейс рекомендується вказувати лише для двоточкових інтерфейсів.

            Статичні маршрути фіксуються в файлі стартової конфігурації, а до таблиці маршрутизації піднімаються тільки при умові досяжності вказаного в них маршруту.

            Для регулювання пріоритетами маршрутів слід користуватися параметром <адміндистанція>, який може приймати значення від 0 до 255. Рівень пріоритету зворотно пропорційний значенню адміністративної дистанції і в таблицю маршрутизації з усіх активних маршрутів, що ведуть до даного префікса піднімається лише маршрут з найменшим значенням адміндистанції. По умовчанню адміндистанція статичних маршрутів рівна 1.

Нульове значення зарезервоване системою Cisco IOS і не може бути використане в явному вигляді, однак неявно нульову адміндистанцію можна задати, вказавши в якості параметра <next-hop> локальний інтерфейс. Нульове значення адміндистанції мають також маршрути до безпосередньо приєднаних мереж. Маршрути, які в якості адміндистанції містять значення 255, до таблиці маршрутів не піднімаються.

            Команда:

      [no] ip default network <адреса віддаленої мережі>

            Дозволяє вказати маршрут по умовчанню, відмінний від стандартного. Параметр <адреса віддаленої мережі> повинен бути статично описаний в таблиці маршрутизації. Можливим є визначення декількох маршрутів по умовчанню – в цьому випадку при обранні маршруту Cisco IOS користується значеннями адміністративної дистанції та метричною інформацією. Маршрути по умовчанню в таблиці маршрутизації позначаються символом "*".

            Наведений нижче приклад демонструє використання маршруту в мережу 10.0.0.0 в якості маршруту по умовчанню.

ip route 10.0.0.0 255.0.0.0 10.108.3.4

ip default-network 10.0.0.0

            Cisco IOS має по умовчанню зарезервований маршрут для використання його в якості маршруту по умовчанню –0.0.0.0/0. Cisco IOS надає можливість активації (деактивації) цього маршруту командою:

      [no] ip classless

Команда ip classless активує зарезервований Cisco IOS маршрут по умовчанню (0.0.0.0/0), а команда no ip classless деактивує цей маршрут. По умовчанню цей маршрут активований, але не описаний.

2.2.3. Лінії керування.


            Настройка ліній керування маршрутизатором здійснюється окремо для кожної лінії в контексті обраної лінії, перехід до якого здійснюється з контексту глобального конфігурування командою:

line [aux | console | tty | vty] line-number [ending-line-number]

Дана команда приводить до зміни поточного контексту на контекст обраної лінії керування, який ідентифікується зміною рядка запрошення на (config-line)#

            В якості параметрів команди вказуються:

aux      -додатковий ЕІА/ТІА-232 DTE –порт. Повинен задаватися, як відносна лінія 0. Додатковий порт може використовуватися для підтримки модема та асинхронних зв'язків.

con      -консольна термінальна лінія (DTE)

tty      -стандартна асинхронна лінія.

vty      -віртуальна термінальна лінія, що використовується для віддаленого доступу до консолі.

line-number

            -відносний номер першої лінії в групі ліній, що настроюються, починаючи з нуля.

ending-line-number

            -відносний номер останньої лінії (при конфігуруванні декількох ліній одночасно).

По умовчанню маршрутизатор виводить діагностичні повідомлення тільки на консоль, а перенаправлення таких повідомлень на обрану лінію керування реалізується командою:

            terminal monitor

Дія цієї команди відміняється командою no monitor.

            По умовчанню маршрутизатор виводить системні повідомлення поверх вводу оператора і для продовження вводу оператор повинен пам'ятати, в якому місці його перервали. Для того, щоб дозволити після виводу кожного системного повідомлення вивід частини попередньо введеного оператором рядка, слід використовувати команду:

logging synchronous

Якщо по завершенню деякого проміжку часу (інтервал неактивності) спостерігається відсутність вводу з терміналу, Cisco IOS розриває поточну сесію. Інтервал неактивності встановлюється командою:

                  exec timeout <хвилини>[<секунди>]

            Будь-яка команда Х, введена в контексті оператора або адміністратора, сприймається маршрутизатором, як команда telnet X. Це приводить до того, що будь-який помилковий ввід примушує маршрутизатор опитувати сервер DNS для перетворення помилково введеного рядка в ІР –адресу, що зумовлює затримки в роботі оператора. Уникнути таких затримок допомагає команда:

            transport preffered none

            З міркувань безпеки, доступ до маршрутизатора через віртуальний термінал слід обмежити за допомогою пароля. Встановити пароль можна командою:

                  [no] password <текст пароля>

Активація запиту пароля при вході в Cisco IOS через віртуальний термінал виконується командою:

            [no] login

            Слід зауважити, що в робочому режимі з міркувань безпеки віртуальні термінали потрібно заблокувати, а доступ до маршрутизатора здійснювати лише по консольній лінії або через термінальний сервер.

2.3. Інтерфейси маршрутизатора.


2.3.1. Фізичні інтерфейси


            Кожен маршрутизатор обладнаний певною кількістю фізичних інтерфейсів. Найрозповсюдженішими інтерфейсами є Ethernet / Fast Ethernet і послідовні (Serial) інтерфейси. За своєю апаратною реалізацією послідовні інтерфейси бувають синхронні, синхронно-асинхронні та асинхронні.

            Інтерфейси Ethernet на витій парі мають з'єднувач RJ-45 (в деяких моделях AUI (DB-15), які потребують підключення зовнішнього трансивера, що реалізує той чи інший інтерфейс фізичного рівня Ethernet).

            Послідовні інтерфейси обладнуються фірмовими з'єднувачами DB-60F або SmallSerial F (останній компактніший) (малюнок 2.3.1). Для підключення зовнішнього обладнання до інтерфейсу слід використовувати фірмовий кабель –свій для кожного протоколу фізичного рівня. Такий кабель, з одного боку, має з'єднувач DB-60M (male), а з іншого боку –з'єднувач обраного стандарту фізичного рівня для пристрою DTE або DCE. На кабель покладено наступні функції:

            -шляхом замикання спеціальних контактів з'єднувача DB-60 сигналізує маршрутизатору про обраний протокол фізичного рівня та статус маршрутизатора (DTE або DCE).

            -виконує функції перехідника універсального з'єднувача DB-60 на стандартний з'єднувач обраного протоколу фізичного рівня.

Малюнок 2.3.1. З'єднувачі DB-60 та SmallSerial послідовних інтерфейсів Cisco.

В термінології Cisco кабель DTE підключається до пристрою DCE і навпаки, тобто тип кабеля вказує на тип маршрутизатора, а не тип зовнішнього обладнання.

            Кабелі DTE використовуються для підключення модема (малюнок 2.3.2.), а сукупність кабелів DTE-DCE –для з'єднання двох маршрутизаторів напряму (back-to-back), при цьому один із маршрутизаторів виступатиме в ролі DCE а інший -DTE.

Малюнок 2.3.2. З'єднання DTE та DCE пристроїв.

 

Таблиця 2.3.1. Кабелі послідовних інтерфейсів.

Артикул (Part Number)

Интерфейс

Тип

Разъем на стороне маршрутизатора

Разъем на дальнем конце

CAB-V35MT

V.35

DTE

DB-60 M

M.34 M

CAB-SS-V35MT

V.35

DTE

Smart Serial M

M.34 M

CAB-V35FC

V.35

DCE

DB-60 M

M.34 F

CAB-SS-V35FC

V.35

DCE

Smart Serial M

M34 F

CAB-232MT

RS-232

DTE

DB-60 M

DB-25 M

CAB-SS-232MT

RS-232

DTE

Smart Serial M

DB-25 M



2.3.2. Логічні інтерфейси


            Поряд із фізичними інтерфейсами на маршрутизаторі можуть бути організовані логічні інтерфейси: Loopback, Null, Dialer, Virtual-Template, Multilink та ін. Інтерфейси

Loopback та Null взагалі не пов'язані з фізичними інтерфейсами і існують лише у вигляді відповідних секцій файлу конфігурації.

            Loopback –це інтерфейс зворотнього зв'язку і має наступні властивості:

·   інтерфейс завжди активний (на відміну від фізичних інтерфейсів, де обрив кабеля приводить до відключення інтерфейсу.

·   пакети, адресовані на такий інтерфейс, вважаються адресованими маршрутизатору, а уявна ІР –мережа, до якої він підключений вважається безпосередньо підключеною мережею.

·   пакети, адресовані через цей інтерфейс до уявної ІР –мережі, знищуються.

Інтерфейс Null не має ІР –адреси та інших параметрів. Пакети, адресовані через Null, знищуються; Null застосовується при фільтруванні датаграм і створення захисних маршрутів при сумуванні маршрутів.

            Інші віртуальні інтерфейси фактично транспортують дані через відповідні фізичні інтерфейси, однак в цьому випадку ІР –інтерфейс вже не асоціюється безпосередньо з фізичним портом.

2.4. Ідентифікація інтерфейсів


            Ідентифікатор інтерфейсу складається з його типу (Ethernet, Fast Ethernet, Serial, Loopback, Null…) та номера. В маршрутизаторах з фіксованою апаратною конфігурацією номери фізичних інтерфейсів є абсолютними (малюнок 2.4.1.) і вказуються на корпусі. При роботі в Cisco IOS з такими інтерфейсами прийнята нотація:

                        <номер порту>[.номер субінтерфейсу]

Cisco 1601

Малюнок 2.4.1. Інтерфейси маршрутизатора Cisco 1601

В модульних маршрутизаторах (малюнок 2.4.2., 2.4.3., 2.4.4.) номер інтерфейсу залежить від слоту, в якому встановлено інтерфейс ний модуль. В такому випадку номер складається з декількох чисел, які вказують, відповідно номер слоту, модуля та інтерфейсу.

 

Малюнок 2.4.2. Конструкція модуля.

Малюнок 2.4.3. Інтерфейси маршрутизатора Cisco 2611.

 

При конфігуруванні таких інтерфейсів прийнято нотацію:

або

                               <номер слоту/номер модуля/номер порту>[.номер субінтерфейсу]

 

Малюнок 2.4.4. Інтерфейси маршрутизатора Cisco 3640

 

            Номери віртуальних інтерфейсів надаються їм при їх конфігуруванні. Логічний інтерфейс Null може бути лише один і завжди має номер 0.

2.5. Конфігурування інтерфейсів.


            Конфігурування інтерфейсів здійснюється окремо для кожного інтерфейсу в контексті обраного інтерфейсу, перехід до якого здійснюється командою контексту глобального конфігурування:

            interface <тип><номер>

В якості параметру <тип> допускаються наступні слова: Ethernet, Fast Ethernet, Serial, Loopback, Null.

            Вказана команда приводить до зміни поточного контексту на контекст конфігурування обраного інтерфейсу (config-if#).

            На інтерфейсах Ethernet, окрім встановлення ІР –адреси, як правило більше нічого робите не потрібно, однак Fast Ethernet може потребувати деяких примусових настройок дуплексного режиму або встановлення фіксованої швидкості (по умовчанню ці параметри встановлюються шляхом переговорів, однак в окремих випадках переговори можуть не дати необхідних результатів).

            Послідовні інтерфейси по умовчанню на фізичному рівні є інтерфейсами DTE, а на канальному рівні –інтерфейсами HDLC (фірмову модифікаціюCisco HDLC). Якщо інтерфейс переведено в режим DCE, -для нього слід задавати тактову частоту синхронізації передачі даних.

            Для надання фізичному інтерфейсу ІР адреси слід використовувати команду:

            ip address <IP-address><address-mask>

де <IP-address> -ІР –адреса інтерфейсу; <address-mask> -маска під мережі.

            В деяких випадках може бути необхідність встановлення ширини смуги пропускання командою:

            bandwith <ширина-смуги-пропускання, кБіт/с>

По умовчанню значення bandwith мають наступні значення:

            - для Ethernet              10000

            - для Fast Ethernet      100000

            - для Serial                  1544

            Слід зауважити, що значення параметра bandwith не впливає на фізичну швидкість передачі, а використовується деякими протоколами маршрутизації для оцінки маршруту.

Тип середовища передачі вказується командою:

            media-type <тип-середовища-передачі>

Параметр <тип-середовища-передачі> може приймати значення:

            -для Ethernet               "10BASE-T"

            -для Fast Ethernet       "100BASE-T", "100BASE-TX"

            Для послідовних інтерфейсів, які використовують функції DCE, необхідно вказати фізичну швидкість передачі даних. Це можна зробити командою:

            clock rate <фізична-швидкість-передачі, кБіт/с>

Параметр <фізична-швидкість-передачі, кБіт/с> може приймати фіксовані значення, перелік яких можна попередньо проглянути, ввівши clock rate ?.

            Для послідовного інтерфейсу, що виконує функцію DTE також може бути вказаний цей параметр, однак він буде проігнорований Cisco IOS і жодного впливу на роботу інтерфейсу не матиме, оскільки обладнання DTE запозичує цей параметр від DCE.

            По умовчанню фізичні інтерфейси виключені (неактивні –administratively down). Для їх активації використовується команда:

            [no] shutdown

Ця команда переводить інтерфейс до стану manual up. Якщо зовнішнє обладнання вимкнено, то Cisco IOS автоматично переведе фізичний інтерфейс до стану manual down, а при активізації зовнішнього обладнання фізичний інтерфейс підніметься до стану manual up автоматично.

            Для послідовних інтерфейсів іноді виникає необхідність використовувати протокол канального рівня, відмінний від протоколу по умовчанню (HDLC). Cisco IOS надаэ можливість вказати тип використовуваного протоколу командою:

            encapsulation <протокол>

Параметр <протокол> може приймати фіксовані значення, для яких Cisco IOS передбачені зарезервовані ключові слова, наприклад PPP, Frame-Relay і т.п. Повний перелік значень параметра <протокол> доступний для перегляду командою encapsulation ?

            Логічні інтерфейси конфігуруються тими ж командами, які наведені вище, за винятком того, що параметри media-type, clock rate та операція [no] shutdown для них не має сенсу.

2.6. Маршрутизація


            Загальний порядок заповнення таблиці маршрутів наступний:

·   Менеджер таблиці маршрутів по мірі настройки інтерфейсів автоматично встановлює маршрути в безпосередньо приєднані мережі з адміндистанцією 0.

·   Статичні маршрути настроюються адміністратором.

·   Кожен протокол маршрутизації обирає найкращий маршрут до кожного з відомих йому префіксів (можливо, один префікс матиме декілька рівнозначних маршрутів).

·   Менеджер таблиці маршрутів розглядає маршрути, що надійшли від протоколів маршрутизації; для кожного префікса обирається маршрут з кращим пріоритетом і заноситься до таблиці маршрутів.

·   Може виявитися, що до одного префікса є декілька маршрутів з однаковим адміністративним пріоритетом; в цьому випадку до таблиці маршрутів заносяться всі такі маршрути (але не більше шести) і маршрутизатор відправляє датаграми; розподіляючи їх рівномірно між маршрутами (load balancing).

            Префікси з однаковим значенням адреси і різними масками вважаються різними префіксами. В подальшому при виборі маршруту по адресі, яка належить декільком префіксам, встановленим до таблиці маршрутів, маршрутизатор буде керуватися правилом найдовшої маски (метод Longest Prefix Math).

            Маршрутам, що формуються протоколами маршрутизації, надаються адміністративні пріоритети, згідно таблиці 2.6.1:

Таблиця 2.6.1. Адміністративні пріоритети маршрутів.

Джерело інформації про маршрут

Административный приоритет (Administrative distance)

IP-адреса інтерфейсу (маршрути до безпосередньо приєднаних мереж)

0

Статичні маршрути

1

Захисні маршрути протоколу EIGRP (EIGRP summary)

5

Зовнішні маршрути протоколу BGP (eBGP)

20

Протокол EIGRP

90

Протокол IGRP

100

Протокол OSPF

110

Протокол IS-IS

115

Протокол RIP

120

Зовнішні маршрути протоколу EIGRP

170

200

 

Конфігурування протоколів маршрутизації відбувається в контексті обраного протоколу маршрутизації. Вибір конкретного протоколу здійснюється з контексту глобального конфігурування командою:

[no] router <протокол> [можливі-опції]

Параметр <протокол> може приймати фіксовані значення (такі, як rip, ospf…), повний перелік яких доступний за підказкою (router ?). Параметр [можливі опції] залежить від параметру <протокол> і стосується конкретного протоколу.

            Контекст обраного протоколу маршрутизації ідентифікується рядком запрошення, який має вигляд (config-router)#. В цьому контексті доступні команди конфігурування протоколу маршрутизації, повний перелік яких залежить від обраного протоколу.

            Інколи буває необхідність для маршрутів певного протоколу встановити значення адмінпріоритету, відмінне від того, яке надається по умовчанню. Для цього Cisco IOS передбачена команда:

            distance <значення-адміндистанції (1...255)>

В результаті всі маршрути даного протоколу на даному маршрутизаторі матимуть вказане значення пріоритету.

            Протокол маршрутизації розповсюджує маршрутну інформацію через всі активні інтерфейси. Команда:

                        [no] passive-interface <тип><номер>

дозволяє не розповсюджувати інформацію про маршрути через конкретно заданий інтерфейс.

            По умовчанню конкретний протокол маршрутизації розповсюджує інформацію про ті маршрути, які сформовані лише ним. Примусити протокол до розповсюдження інформації про чужі маршрути можна командою:

            [no] redistribute <джерело зовнішніх маршрутів>

            При відключенні (деактивації) протоколу маршрутизації негативною командою, маршрути, сформовані цим протоколом, з маршрутної таблиці не видаляються. Для примусового очищення таблиці від маршрутів неактивного протоколу передбачена команда:

            clear ip route <протокол> | *]

Ця команда видаляє з таблиці маршрутизації динамічні маршрути вказаного параметром <протокол> протоколу або всі динамічні маршрути (якщо в якості параметру <протокол> проставлено *)

Висновок


На маршрутизаторах Cisco виконується высокопродуктивна операційна система IOS (Cisco Internetworking Operating System), створена на базі ОС UNIX, яка фізично розміщена в енергонезалежній пам'яті маршрутизатора (FLASH).

Підключення до маршрутизатора здійснюється програмою TELNET на ІР –адресу будь-якого з його інтерфейсів або при посередництві будь-якої іншої термінальної програми через консольний порт маршрутизатора CON або додатковий порт AUX.

Взаємодія з системою Cisco IOS відбувається при посередництві інтерфейсу командного рядка (CLI –Command Line Interface). Для спрощення орієнтування в системі команд в Cisco IOS передбачена гнучка система контекстної допомоги.

При роботі з командним рядком Cisco IOS передбачено декілька контекстів (режимів вводу команд). Поточний контекст ідентифікується символом запрошення вводу команди, який виводиться вслід за іменем маршрутизатора.

Контекст користувача –відкривається при підключенні до маршрутизатора і допускає виконання лише обмеженого набору основних контрольних команд, що не впливають на конфігурацію маршрутизатора. Контекст адміністратора надає доступ до всіх без винятку команд (команди, що дозволяють отримати повну інформацію про конфігурацію маршрутизатора та його поточний стан, команди переходу в режим конфігурування, команди збереження та завантаження конфігурації)

Команди Cisco IOS чітко структуровані і доступні лише в контекстах, яких вони стосуються. Для спрощення орієнтування в контекстах команд вигляд рядка запрошення в  кожному контексті є унікальним.

Для відміни дії введених команд використовується принцип заміщення (коли тією ж командою задається інше значення певного параметра настройки) та негативні команди (ті ж самі команди, яким передує префікс no).

Система команд Cisco IOS має необхідні команди для перегляду інформації, конфігурування маршрутизатора, моніторингу роботи (відладки), збереження/відновлення конфігурації та групу допоміжних команд.

            Маршрутизатор Cisco зберігає конфігурацію в двох копіях –файл поточної конфігурації в RAM та файл стартової конфігурації в NVRAM. Файли конфігурації є текстовими файлами, що містять секції, кожна з яких відповідає одній із підсистем маршрутизатора; в секціях прописуються значення конкретних параметрів відповідних підсистем. При завантаженні Cisco IOS зчитує команди конфігурації з файлу стартової конфігурації до файлу поточної конфігурації. Поточна конфігурація є активною у процесі функціонування маршрутизатора.

Всі команди вступають в дію одразу ж після їх введення і прописуються до файлу поточної конфігурації. Деякі настройки маршрутизатора та його окремих підсистем мають значення по умовчанню. До файлу конфігурації прописуються лише ті значення параметрів, які відрізняються від значень, прийнятих по умовчанню.

Перелік скорочень


BGP                Border Gateway Protocol

CDP                Cisco Discovery Protocol

                        Протокол виявлення пристроїв Cisco

CLI                 Command Line Interface

                        Інтерфейс командного рядка

DCE                Data Comunication Equipment

            Обладнання передачі даних

DNS                Domain Names Service

                        Служба розділення імен

DTE                Data Terminal Equipment

                        Обладнання обробки даних

EIGRP             Enhanced IGRP

EPROM          Electrical Programming ROM

            Електрично програмована постійна пам'ять

FTP                 File Transfer Protocol

                        Протокол передачі файлів

HDLC             High Level Data-link Control

            Протокол управління даними високого рівня

IGRP               Interior Gateway Routing Protocol

IOS                 Internetworking Operating System

            Міжмережева операційна система

ISDN              Integrated Services Digital Metwork

            Цифрова мережа з інтегруванням служб

OSPF              Open Shortest Path First

POST              Power On Self Test

                        Тестування обладнання при включенні

PPP                 Point-to-Point Protocol

                        Протокол двоточкових з'єднань

RAM               Random Access Memory

                        Пам'ять із довільним доступом

RIP                  Routing Information Protocol

            Протокол інформації маршрутизації

SNMP             Simple Network Management Protocol

                        Простий протокол керування мережею

TCP/IP            Transport Control Protocol/Internet Protocol

                        Протокол управління передачею / Міжмережевий протокол

TFTP               Trivial FTP

Перелік літератури

 

1. Cisco IOS Commands Master List, Release 12.2

Телекоммуникационные технологии. Лабораторный практикум

http://www.citforum.ru/nets/protocols/index.shtml     

7.   http://www.ocs.ru/way/349372/obj/382714.html

Похожие работы на - Система команд конфігурування маршрутизаторів Cisco

 

Не нашли материал для своей работы?
Поможем написать уникальную работу
Без плагиата!
Без нейросетей!