Отопление и вентиляция семиэтажного жилого здания
Введение
Основные исходные данные для выполнения
курсового проекта принимаются по приложению А[8]. Согласно варианту задания
выписываем климатические данные, необходимые для расчетов:
Название города Пенза
Температура воздуха, °С-29
Недоговариваемые конструктивные решения
принимаем самостоятельно.
Мною спроектирована система центрального
двухтрубного отопления нижней разводкой, с тупиковым движением теплоносителя
жилого 7-этажного 42-х квартирного здания и система естественной вытяжной
канальной вентиляции.
Питание системы отопления - ТЭЦ с располагаемым
давлением 14000Па.
теплопотеря отопление гидравлический
вентиляция
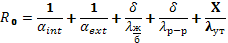
1. Теплотехнический расчет ограждающих
конструкций
Стена.
Конструкция:
Стена из силикатного кирпича на ЦПР, утеплитель
- пенополистирол
Рис. 1.
. Исходя из санитарно-гигиенических условий
Rотр - требуемое
сопротивление теплопередачи стены, перекрытия, покрытия, окна.
n=1 (для стены), 0,9
(для покрытия) 0,75 (для перекрытия над подвалом) -поправочный коэффициент
уменьшения расчетной разности температур для ограждения из таблицы 3*[4];
aв=8,7 Вт/м²·ºС
- коэффициент тепловосприятия внутренней поверхности ограждающей конструкции
(стен, полов, потолка) из таблицы 4*[4];
tн=
-29°C - расчетная
наружная температура воздуха из СНиП 23.01-2003;
tв=
+18°C - температура
внутри помещения из [3];
Dtн=4,0
(для стены) 3,0 (для покрытия) 2,0 (для перекрытия над подвалом) - нормативный
температурный перепад между температурой внутреннего воздуха и температурой
внутренней поверхности ограждающей конструкции ,ºС
из таблицы 2*[4].0тр =1*(18-(-29))/(4*8,7)=1,35 м²·°С/Вт
(для стен)0тр =0,9*(18-(-29))/(3*8,7)=1,62 м²·°С/Вт
(для покрытия);0тр =0,75*(18-(-29))/(2*8,7)=2,11 м²·°С/Вт
(для перекрытия над подвалом);
. Исходя из энергосбережения.

= -4,5ºС -средняя
температура отопительного периода

=207 - число суток отопительного
периода
Из таблицы 1б*[4] методом
интерполяции находим
Rreq=3,0
м²·°С/Вт
(для стены);req=0,51
м²·°С/Вт
(для окна);req=4,0
м²·°С/Вт
(для покрытия);req=4,0
м²·°С/Вт
(для перекрытия над подвалом);

=23 - коэффициент теплопередачи
наружных поверхностей ограждающих конструкций из табл. 6*[4];
δ - толщина отдельного слоя
ограждения, м
λ - теплопроводность каждого
конструктивного слоя.
Определяем необходимую толщину утеплителя для
стены:
Тогда толщина утеплителя равна
Берем листы кратные 0.04 м и получаем конечную
толщину утеплителя = 0.04 м
Проверочный расчет:
Условие выполняется, следовательно толщина стены
0,45 м.
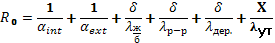
Перекрытие над подвалом.
Рис. 2.
Конструкция перекрытия над подвалом:
) Паркет
) Цементраня стяжка
) Гидроизоляция-рубероид (из-за малой толщины в
расчете не учитываем)
) Ж/Б плита
) Утеплитель пенополистирол

=12 (для неотапл. подвала выше
уровня земли)
Тогда толщина утеплителя равна:
Берем листы кратные 0.04 м и
получаем конечную толщину утеплителя = 0.16 м
Проверочный расчет:
Покрытие (потолок последнего этажа)
- Раствор-стяжка
-Утеплитель-пенополистирол
-Гидроизоляция (не учитываем)
- Ж/Б плита
Рис. 3.

=12
Толщина утеплителя равна:
Берем листы кратные 0.04 м и получаем конечную
толщину утеплителя = 0.16 м
Проверочный расчет:
Оконный проем 0тр =0,51 м²·°С/Вт
Исходя из условия R≥R0тр
по приложению 6*[4] принимаем стеклопакет с двойным остеклением с воздушным
заполнением:
=0,57м²·°С/Вт.
Размеры окон: 1770х1760 мм.
Входная дверь
Значение принимается равным 0.6
3.0=1.8
м²·°С/Вт
Коэффициенты теплопередачи.
Расчетный температурный перепад ∆t между
температурой внутреннего воздуха и температурой внутренней поверхности
ограждающей конструкции:
. Теплопотери каждого помещений и тепловая
мощность системы отопления
Основные и добавочные теплопотери определяем,
суммируя потери теплоты через отдельные ограждающие конструкции (ОК) с
округлением до 10 Вт, по формуле
Qпот =
А (tвнутр-tнар)(1+∑β)nk
где А - расчётная площадь ОК, м2
k - коэффициент
теплопередачи ОК, Вт/(м2°С). K=1/
R0
tвнутр-
расчётная средняя температура внутреннего воздуха, °С;нар-
расчётная температура холодного периода года, °С;
β - добавочные доли
теплоты в долях от основных потерь;
n - коэффициент,
принимаемый в зависимости от положения наружной поверхности ограждающих
конструкций по отношению к наружному воздуху по [1,табл. 3*].
Тепловая мощность системы отопления здания равна
= 54299Вт.
. Гидравлический расчет системы отопления
Задача гидравлического расчета трубопроводов
сводится к определению экономичных сечений участков трубопроводов,
обеспечивающих при определенном заданном перепаде давления подачу необходимого
теплоносителя по всем нагревательным приборам.
Расчет выполняем по удельным линейным потерям
давления.
Основное циркуляционное кольцо через стояк Ст.1,
т.к. данный стояк самый нагруженный из удаленных (5113 Вт). Расчетное
циркуляционное давление в системах с искусственной циркуляцией равно сумме
давления, создаваемого насосом и естественного давления:

=14000 Па - давление, создаваемое
циркуляционным насосом для обеспечения необходимого расхода воды в системе;

-естественное циркуляционное
давление:

- естественное циркуляционное
давление,возникающее в расчетном кольце системы вследствие охлаждения воды в трубах;

-естественное циркуляционное
давление ,возникающее в расчетном кольце системы вследствие охлаждения воды в
отопительных приборах.

,
где b=0,64 -среднее приращение
плотности (объемной массы) при понижении температуры воды
h
=21
м-вертикальное расстояние между условными центрами: охлаждения в стояке для
прибора и нагревания(середина высоты теплообменника или котла, точка смешения
воды в тепловом пункте); это расстояние может измеряться от уровня магистрали,
прокладываемой в подвальном помещении;

- расчетная разность температуры
воды в системе;
g
=9,81м/с-скорость свободного падения.

=3296 Па
При подборе диаметра труб исходят из
принятого расхода воды и среднего ориентировочного значения удельной линейной
потери давления:
где
α=0,65-для системы с насосной
искусственной циркуляцией - коэффициент, учитывающий долю потерь давления на
трении;

=91,4 м - общая длина последовательных
участков, составляющих циркуляционное кольцо;
Расход теплоносителя на участке:

= 4,2048 кДж /(кг*С) - удельная
массовая теплоемкость воды (при температуре 75 градусов);

= 4,1893 кДж /(кг*С) - удельная
массовая теплоемкость воды (при температуре 90 градусов);
расход тепла на участке;

= 
- разность температуры воды в начале
и в конце участка трубопровода, ºC;

=1,04-коэффициент учета
дополнительного теплового потока устанавливаемых отопительных приборов за счет
округления сверх расчетной величины (для чугунных радиаторов, в зависимости от
марки),

=1,02- коэффициент учета дополнительных
потерь теплоты отопительных приборов у наружных ограждений (для чугунных
радиаторов).
Скорость движения воды по трубам V и потери
давления на трение на 1 м и R находим методом интерполяции по
известным значениям Rср. и Gуч.
/приложение В,[1]/
Rl - потери
давления по длине.
Z = åz
*V2r/2
- потери давления на преодоление местного сопротивления.
åz-сумма коэффициентов местных
сопротивлений:
Таблица 1.
|
участок
|
арматура
|
коэф
|
диаметр
|
|
1
|
отвод
90
|
2
|
10
|
|
|
радиатор
чугунный
|
2
|
|
|
2
|
тройник
проходной
|
1
|
10
|
|
3
|
тройник
проходной
|
1
|
10
|
|
4
|
тройник
проходной
|
1
|
10
|
|
5
|
тройник
проходной
|
1
|
10
|
|
6
|
тройник
проходной
|
1
|
10
|
|
7
|
отвод
90°
|
1,5
|
20
|
|
отвод
90°
|
1,5
|
|
|
тройник
проходной
|
1
|
|
|
вентиль
прямоточный
|
3
|
|
|
отвод
90°
|
1,5
|
|
|
отвод
90°
|
1,5
|
|
|
отвод
90°
|
1,5
|
|
|
отвод
90°
|
1,5
|
|
|
тройник
проходной
|
1
|
|
|
8
|
отвод
90°
|
1,5
|
32
|
|
отвод
90°
|
1,5
|
|
|
тройник
проходной
|
1
|
|
|
9
|
тройник
проходной
|
1
|
32
|
|
10
|
вентиль
прямоточный
|
3
|
32
|
|
тройник
на противотоке
|
3
|
|
|
11
|
тройник
на противотоке
|
3
|
32
|
|
вентиль
прямоточный
|
3
|
|
|
вентиль
прямоточный
|
3
|
|
|
12
|
вентиль
прямоточный
|
2,5
|
32
|
|
тройник
на противотоке
|
3
|
|
|
13
|
вентиль
прямоточный
|
2,5
|
|
|
тройник
на противотоке
|
3
|
|
|
14
|
вентиль
прямоточный
|
2,5
|
32
|
|
тройник
на противотоке
|
3
|
|
|
15
|
вентиль
прямоточный
|
2,5
|
32
|
|
тройник
проходной
|
1
|
|
|
16
|
тройник
проходной
|
1
|
32
|
|
17
|
отвод
90°
|
1,5
|
32
|
|
отвод
90°
|
1,5
|
|
|
тройник
проходной
|
1
|
|
|
18
|
отвод
90°
|
1,5
|
20
|
|
отвод
90°
|
1,5
|
|
|
отвод
90°
|
1,5
|
|
|
отвод
90°
|
1,5
|
|
|
вентиль
прямоточный
|
3
|
|
|
тройник
поворотный
|
3
|
|
|
тройник
проходной
|
3
|
|
|
19
|
тройник
проходной
|
1
|
10
|
|
20
|
тройник
проходной
|
1
|
10
|
|
21
|
тройник
проходной
|
1
|
10
|
|
22
|
тройник
проходной
|
1
|
10
|
|
23
|
тройник
проходной
|
1
|
10
|
|
24
|
отвод
90°
|
2
|
10
|
|
кран
двойной регулировки
|
5
|
|
V2r/2
=Рд - динамическое давление воды на участке. По значению скорости на участке
находим динамическое давление. /приложение Е, [1]/
(R*l+z) - общее сопротивление, возникающее при
движении воды в трубопроводе.
При тупиковом движении теплоносителя невязка
потерь давления в циркуляционном кольце не должна превышать 15%.
å(R*l+z) = 12302,62 Па
,9DРр = 0,9* = Па
Невязка:
. Расчёт канальной системы естественной вытяжной
вентиляции
В жилых домах устраивают естественную вытяжную
канальную вентиляцию из кухни, санузлов и ванной комнаты. Так как в задании
используется совмещенная крыша, вертикальные вент. каналы выводятся на крышу
без объединения в сборный воздуховод. Вытяжные каналы размещаются во внутренних
капитальных стенах. Для зданий с числом этажей 5 и более с целью сокращения
площади, занимаемой каналами, выполняются по схеме с перепуском через один или
несколько этажей. Такие блоки имеют сборный канал большого сечения, к которому
подключаются вертикальные каналы из этажей.
Основы расчёта заключаются в определении
естественного давления Δре,
Па, возникающего за счёт разности плотности наружного и внутреннего воздуха, и
сечений вентиляционных каналов, обеспечивающих заданный расход воздуха.
Количество удаляемого воздуха из помещений:
· Кухни с двухкомфорочными газовыми плитами 60
,
· Ванная комната и санузел 50
Расчет проводим для кухни седьмого этажа - самый
неблагоприятный участок(ВЕ1).
Естественное давление определяется по формуле
где 
=0,8 м - высота воздушного столба,
принимаемая от центра жалюзийной решетки до устья вытяжной шахты, м;
rн =1,270 кг/м3 - плотность
наружного воздуха при t=+5°С
rв 1,205 кг/м3 - плотности
внутреннего воздуха при t=+20°С
Участок №1:
Для определения площади сечения
канала участка 1, задаемся скоростью движения воздуха 0,5 м/с. При этой
скорости и количестве удаляемого воздуха по каналу L=60 м³/ч площадь
сечения канала f,м² должна
быть:
Принимаем для участка 1 кирпичный
канал
кирпича (f =0,038 м²). При этой
площади сечения фактическая скорость движения воздуха равна:
Т.к. этот канал прямоугольного
сечения, для определения потери давления на трение необходимо установить по
табл.7.2 [1] эквивалентный диаметр. Он будет равен 180 мм.
Пользуясь методом интерполяции по
номограмме (Приложение К,[1]) находим, что при скорости движения воздуха 0,44
м/с в воздуховоде диаметром 180 мм потеря давления на 1 м воздуховода равна R=0,025 Па/м,
а на всем участке 1 с учетом коэффициента шероховатости b=1,25 (табл.7.1 [1]), длина участкаl = 0,95 м.
Далее по приложению Л [1] находим
сумму всех коэффициентов местных сопротивлений участка:
· жалюзийная решётка ζ=2;
· колено прямоугольное ζ=1,2.
· тройник под углом
на вытяжке для прохода воздуха ζ=0,2
∑ζ=3,4.
По приложению К [1] определяем
динамическое давление
в зависимости от скорости движения
воздуха 0,44 м/с, которое равняется 0,12 Па.
Тогда потери на трение на участке 1
получим

Па
Общая потеря на трение на участке

Участок №2:
На участке 2 количество движущегося
воздуха равно 840 м³/ч.
Скоростью задаёмся равной 1,5 м/с. Тогда получим площадь сечения короба
Принимаем для участка 2 кирпичный
канал 
кирпича (f =0,28 м²). При этой
площади сечения фактическая скорость движения воздуха равна:
Эквивалентный диаметр равен 545 мм.
Потерю давления методом интерполяции получим 0,012 Па/м, с учётом коэффициента
шероховатости b=1.56, длина
участка l = 1,5 м.
Далее по приложению Л [1] находим
сумму всех коэффициентов местных сопротивлений участка:
· Утепляющий колпак ζ=0,1;
· Вытяжная шахта с зонтом ζ=1,3;
∑ζ=1,4.
Определяем динамическое давление 
в зависимости от скорости движения
воздуха 0,76м/с, которое равняется 0,35 Па.
Тогда потери на трение на участке 2 получим
Общая потеря на трение на участке

Потеря давления на участках будет
составлять 
Так как 
, то воздух будет циркулировать в
данной системе вентиляции.
Таблица 2. Спецификация оборудования, изделий и
материалов
|
№
строки
|
Наименование
|
Кол-во
|
ед,кг.
|
Прим
|
|
1
|
|
|
|
|
|
2
|
Труба
водогазопроводная
|
|
|
|
|
3
|
1.
ГОСТ 3262-75 Æ25
|
|
24,8
|
М
|
|
4
|
Æ20
|
|
12,8
|
М
|
|
5
|
Æ15
|
|
42
|
М
|
|
6
|
Æ10
|
|
645
|
М
|
|
7
|
|
|
|
|
|
8
|
2.
Радиатор МС-90-108
|
106
|
|
|
|
9
|
3.
Вентили прямоточные
|
40
|
|
|
|
10
|
4.
Кран спускной
|
16
|
|
|
|
11
|
5.
Кран двойной регулировки
|
106
|
|
|
|
12
|
6.
Воздухосборник
|
4
|
|
|
|
13
|
|
|
|
|
|
14
|
Вентиляция
|
|
|
|
|
15
|
7.
Жалюзийная решетка
|
126
|
|
|
|
16
|
8.
Дефлектор
|
1
|
|
|
|
17
|
|
|
|
|
Библиографический список
1. СНиН 23-02-2003. Тепловая защита
зданий.- М.: Госстрой России, 2004. - 26 с.
2. ГОСТ 30494-96. Здания жилые
и общественные. Параметры микроклимата в помещениях. - М.: Госстрой России,
1999. - 14 с.
. СНиП 23-01-99 Строительная
климатология. - М.: Госстрой России, 2000. - 58 с.
4. СНиП II-3-79*. Строительная
теплотехника. - М.: Госстрой России, 1998. -50 с.
5. Тихомиров К.В.
Теплотехника, теплогазоснабжение и вентиляция: Учеб. для вузов / К.В.Тихомиров,
Э.С.Сергеенко. - 4-е изд., перераб. и доп. - М.: Стройиздат, 1991. - 480 с.
Приложение 1
Гидравлический расчет системы отопления
|
Данные
по схеме
|
Принято
|
Потери
давления на участке Rl+Z, Па
|
|
N
участка
|
Тепловая
нагрузка участка Q, Вт
|
Расход
воды на участке G, кг/ч
|
Длина
участка L ,м
|
Диаметр
трубопровода dу
|
Скорость
течения воды V, м/с
|
Удельные
потери давления на трение R, Па/м
|
Потери
давления на трение Rl, Па
|
Сумма
коэф. местн. Сопр. ζ
|
Потери
давления на местное сопротивление Z, Па
|
|
|
1
|
868
|
0,1
|
4
|
10
|
0,067
|
8,8
|
35,16
|
4
|
8,7
|
43,82
|
|
2
|
1534
|
55,7
|
3
|
10
|
0,119
|
6,9
|
20,76
|
1
|
6,8
|
27,59
|
|
3
|
2202
|
80,0
|
3
|
10
|
0,171
|
14,5
|
43,56
|
1
|
14,1
|
57,67
|
|
4
|
2869
|
104,2
|
3
|
10
|
0,222
|
24,1
|
72,3
|
1
|
23,8
|
96,08
|
|
5
|
3536
|
128,5
|
3
|
10
|
0,274
|
36,7
|
110,16
|
1
|
36,2
|
146,38
|
|
6
|
4203
|
152,7
|
3
|
10
|
0,326
|
51,9
|
155,76
|
1
|
51,3
|
207,04
|
|
7
|
5113
|
185,7
|
9,4
|
20
|
0,140
|
134,1
|
1260,728
|
14
|
132,4
|
1393,13
|
|
8
|
9394
|
341,3
|
2,8
|
32
|
0,091
|
15,8
|
44,24
|
4
|
16,0
|
60,22
|
|
9
|
11960
|
434,5
|
4,1
|
32
|
0,120
|
7,0
|
28,864
|
1
|
6,9
|
35,81
|
|
10
|
14750
|
535,8
|
2,5
|
32
|
0,143
|
61,7
|
154,25
|
6
|
59,2
|
213,45
|
|
11
|
29269
|
1063,3
|
6,6
|
32
|
0,284
|
354,6
|
2340,36
|
9
|
350,2
|
2690,61
|
|
12
|
54299
|
1972,6
|
1,1
|
32
|
0,527
|
892,5
|
981,75
|
5,5
|
737,0
|
1718,77
|
|
13
|
54299
|
1979,9
|
1,1
|
32
|
0,529
|
755,5
|
831,05
|
5,5
|
751,9
|
1582,91
|
|
14
|
29269
|
1067,2
|
6,6
|
32
|
0,285
|
218,0
|
1438,8
|
5,5
|
218,2
|
1657,03
|
|
15
|
14750
|
537,8
|
2,7
|
32
|
0,143
|
36,0
|
97,065
|
3,5
|
35,0
|
132,03
|
|
16
|
11960
|
436,1
|
4,1
|
32
|
0,117
|
6,7
|
27,429
|
1
|
6,7
|
34,12
|
|
17
|
9394
|
342,5
|
2,6
|
32
|
0,091
|
15,8
|
41,08
|
4
|
16,2
|
57,26
|
|
18
|
5113
|
186,4
|
9,7
|
20
|
0,140
|
143,7
|
1393,89
|
15
|
143,6
|
1537,51
|
|
19
|
4203
|
153,3
|
3
|
10
|
0,327
|
52,2
|
156,72
|
1
|
52,2
|
208,95
|
|
20
|
3536
|
128,9
|
3
|
10
|
0,275
|
37,0
|
111
|
1
|
36,9
|
147,94
|
|
21
|
2869
|
104,6
|
3
|
10
|
0,223
|
24,3
|
72,9
|
1
|
24,3
|
97,19
|
|
22
|
2202
|
80,3
|
3
|
10
|
0,171
|
14,4
|
43,2
|
1
|
14,3
|
57,48
|
|
23
|
1534
|
55,9
|
3
|
10
|
0,119
|
7,0
|
21,12
|
1
|
6,9
|
28,04
|
|
24
|
868
|
31,7
|
4,1
|
10
|
0,068
|
13,6
|
55,76
|
7
|
15,8
|
71,57
|
|
|
|
9537,9
|
|
2764,7
|
12302,6
|