Электроника и электрооборудование транспортных и транспортно-технологических машин

  • Вид работы:
    Контрольная работа
  • Предмет:
    Транспорт, грузоперевозки
  • Язык:
    Русский
    ,
    Формат файла:
    MS Word
    857,23 Кб
  • Опубликовано:
    2013-08-07
Вы можете узнать стоимость помощи в написании студенческой работы.
Помощь в написании работы, которую точно примут!

Электроника и электрооборудование транспортных и транспортно-технологических машин

МИНОБРНАУКИ РОССИИ

Федеральное государственное бюджетное образовательное

Учреждение высшего профессионального образования

«Тульский государственный университет»

Политехнический институт

Кафедра «Автомобили и автомобильное хозяйство»




Контрольно-курсовая работа

По дисциплине «Электроника и электрооборудование транспортных и транспортно - технологических машин»

Вариант № 16


Выполнил: студент гр. 620891 Р.В. Никитин

Проверил: д.т.н., проф. каф. АиАХ В. И. Петров







Тула 2012

Содержание

Задание 1. Временные характеристики стартерных аккумуляторных батарей

Задание 2. Расчет вольт-амперных характеристик стартерных АКБ

Задание 3. Электромеханические характеристики стартера

Задание 4. Характеристики контактной системы зажигания

Список использованной литературы


Задание 1. Временные характеристики стартерных аккумуляторных батарей

Рассчитать и построить временные характеристики аккумуляторной батареи при токе разряда I = 3C20.

.1. Рассчитать внутреннее сопротивление АКБ.

.2. Определить напряжения начала разряда.

.3. Рассчитать и построить зависимость времени разряда АКБ от температуры.

.4. Рассчитать и построить временные характеристики батареи при различных температурах.

Исходные данные :

Таблица 1.1

№ варианта

Тип аккумуляторной батареи

Степень разреженности электролита, %

Температура электролита батареи, ̊С

Плотность электролита , кг/м3





+25

0

-35

16

6СТ-90ЭМС

25

+25

0

-35

1270

1280

1300


Таблица 1.2

Тип АКБ

Число пластин

S, м2 10-4

hЭ, м 10-2

lЭ, м 10-2

δ+, м 10-2

δ-, м 10-2

δС, м 10-2

δТ, м 10-2

δСТ,м 10-2

Kм,

6СТ-90ЭМС

6/7

191

13,35

14,3

0,230

0,19

0,15

0,075

0,04

3,0


За напряжение начала разряда принято напряжение на 10-ой секунде после включения батареи на разряд, которое определяется по формуле:



где  - ЭДС батареи, В;  - ЭДС поляризации, В;  - ток разряда батареи, А;  - сопротивление АКБ при разряде, Ом.

Рис. 1. Временная характеристика АКБ.

С достаточной точностью можно определить ЭДС батареи по следующей формуле:


где  - число последовательно соединенных аккумуляторов в АКБ;  - плотность электролита при 15оС, кг/м3;  - степень разреженности батареи.

При температуре +25оС:


При температуре 0оС:


При температуре -35оС:


Определим ток разряда по формуле:


Вычисляем удельное сопротивление электролита с достаточной точностью по формуле:


где   - температура электролита.

При температуре +25оС:


При температуре 0оС:


При температуре -35оС:


ЭДС поляризации зависит от тока разряда и температуры электролита и определяется по формуле:


где  - число пластин в аккумуляторе;  - прощадь одной пластины, м2.

При температуре +25оС:


При температуре 0оС:


При температуре -35оС:


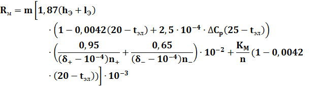
Сопротивление АКБ является суммой сопротивлений:


где  - сопротивление электролита;  - сопротивление сепараторов;  - сопротивление активной массы, решеток, полюсных мостов, выводных штерей и перемычек; объединунных таким понятием как «сопротивление металлических частей».

Сопротивление электролита определяется по формуле:

где  - толщина сеператора, м;  - толщина тела сепаратора, м;  - толщина стекловолокна, м.

При температуре +25оС:


При температуре 0оС:


При температуре -35оС:


Сопротивление сепараторов определяется по формуле:

где  - коэффициент, зависящий от пористости, диаметра и конфигурации пор сепаратора. Материал сепаратора - мипласт, .

При температуре +25оС:


При температуре 0оС:


При температуре -35оС:


Сопротивление металлических частей равно:


где  - коэффициент, зависящий от способа соединения аккумуляторов в батарею, в нашеи случае 3,0;  - высота и ширина пластины, м;  и  - толщина положительной и отрицательной пластины;  и  - число положительных и отрицательных пластин в аккумуляторе.

При температуре +25оС:


При температуре 0оС:

При температуре -35оС:


Сопротивление аккумуляторной батареи будет равно:

При температуре +25оС:


При температуре 0оС:



При температуре -35оС:


За напряжение начала разряда принято напряжение на 10-ой секунде после включения батареи на разряд, которое определится как.

При температуре +25оС:


При температуре 0оС:


При температуре -35оС:


Напряжение конца и начала разряда определяется в основном температурой электролита и плотностью разрядного тока. Между ними существует следующая связь:


При температуре +25оС:


При температуре 0оС:


При температуре -30оС:


Для построения временной характеристики необходимо также знать время, в течение которого аккумуляторная батарея разряжается до .

Продолжительность разряда с учетом влияния температуры электролита определяется по формуле:


При температуре +25оС:


При температуре 0оС:


При температуре -35оС:


В общем виде зависимость уравнения от продолжительности разряда описывается уравнением:


Рис. 2. Временные характеристики стартерных батарей.

Задание 2. Расчет вольт - амперных характеристик стартерных аккумуляторных батарей

Рассчитать и построить ВАХ аккумуляторной батареи.

.1. Рассчитать ВАХ полностью заряженной аккумуляторной батареи для температуры +25оС.

.2. Рассчитать для этой же АКБ вольт - амперные характеристики с учетом заданной степени разреженности и температуры электролита.

.3. Определить по ВАХ напряжение АКБ при токе 3C20 и токе разряда батареи при напряжении 7,2 В.

Исходные данные:

Таблица 2.1

Тип аккумуляторной батареи

Число положительных пластин

Степень разреженности батареи, %

Температура электролита батареи, оС

6СТ-90

6

25

+25

0

-35


Значение  и коэффициента  для полностью заряженнных АКБ на первой попытке пуска:

Таблица 2.2

Тип аккумуляторной батареи

Ток замыкания  при 0 оС, А

Коэффициент



от -40 оС до 0 оС

от 0 оС до +40 оС

6СТ-90

222

4,0

1,7


Значение коэффициента  в зависимости от температуры электролита и степени разреженности батареи:

Таблица 2.3

, %

Коэффициент  при температуре электролита, оС


-35

0

+25

25

0,35

0,56

0,86


Значение коэффициента  при токе разряда 35C20 равно 2,5, считая, что двигатель карбюраторный.

Значение коэффициента  в зависимости от температуры электролита при разреженности батареи.

Таблица 2.4

Температура электролита, оС

-35

0

коэффициент , А/с

0,3

1,2


Число 10-секундных попыток запуска принимаем равным . Продолжительность попытки пуска .

Рис. 5. ВАХ аккумуляторной батареи.

Значение условного начального разрядного напряжения может быть найдено по формуле:


При температуре +25оС:


При температуре 0оС:


При температуре -35оС:


Определяем условный ток короткого замыкания, приходящийся на один положительный электрод (пластину):


При температуре +25оС:


При температуре 0оС:


При температуре -35оС:


Условный ток короткого замыкания батареи:


При температуре +25оС:


При температуре 0оС:


При температуре -35оС:


Определим внутреннее сопротивление батареи:


При температуре +25оС:


При температуре 0оС:


При температуре -35оС


Определим максимальную полезную мощность:



При температуре +25оС:


При температуре 0оС:


При температуре -35оС:


Рис. 3. ВАХ аккумуляторной батареи.

Напряжение АКБ при токе 3C20 и токе разряда батареи при напряжении 7,2В.

Таблица 2.5

Температура

-35оС

0оС

+25оС

При  

9,11В

10,099 В

10,269 В

При

391,5 А

1024 А

1236 А


Задание 3. Электромеханические характеристики стартера

Пересчитать электромеханические характеристики стартера на новую ВАХ аккумуляторной батареи. Исходные данные в таблице 4.1 - 4.6.

.1. Построить ВАХ U(I) и U`(I). Соединить точку UCТ с началом координат прямой UТ. Найти ток I`СТ.

.2. Построить зависимости n(I) и M(I).

.3. Участок оси тока от IСХ до I`СТ разбить на интервалы, для каждого значения тока определить значение противо - ЭДС стартера E и E`. Полученные данные занести в таблицу.

.4. Рассчитать частоту вращения вала стартера для новой ВАХ.

.5. Рассчитать мощность стартера для двух ВАХ.

.6. Результаты расчета занести в таблицу и построить на графике кривые n`(I), P(I) и P`(I).

.7. Найти значение максимальной мощности стартера для двух ВАХ и рассчитать для этих режимов следующие соотношения: P`max/PCH; M`max/MCH; n`max/nCH; I`max/ICH; U`max/UCX, а также UCH/UH; U`max/UH. Данные расчета занести в таблицу и дать заключение о результатах проведенных расчетов.

.8. На графике нанести оси координат для оценки полученных результатов в системе.

Исходные данные:

таблица 4.1

Тип стартера

Тип АКБ

Исходные данные по ВАХ



номинальной

новой*



UHP

UCT

ICT

τ`Б

U`HP

U`CT

СТ-221

6СТ-90

12,35

8,3

520

-20

11,96

5,8


Характеристика n(I) и M(I) стартера СТ-221

Таблица 4.2

I, А

25

100

150

200

250

300

350

400

450

520

n

6500

3360

2450

1750

1300

900

640

400

200

0

M

0

1,9

4

6,7

9,4

12,5

15,8

19

22,2

25,6


Строим ВАХ U(I) и U`(I). Соединяем точку UCТ с началом координат прямой UТ. Получаем ток I`СТ. = 340 А.

Строим зависимости n(I) и M(I).

Участок оси тока от IСХ до I`СТ. разбиваем на интервалы, для каждого значения тока определяем значение противо - ЭДС стартера E и E`. Полученные данные заносим в таблицу 4.3.

Таблица 4.3

I, А

50

108

137

166

195

224

253

282

311

340

E

11,1

10,4

9,6

8,8

8,2

7,6

6,9

6,1

5,2

4,7

4

E`

10,1

9,4

8,1

7

6,2

5,2

4

3,2

2,1

1,3

0


Рассчитываем частоту вращения вала для новой ВАХ по формуле:


Полученные значения занесем в таблицу 4.4.

Таблица 4.4

I, А

50

79

108

137

166

195

224

253

282

311

340

n'

5914

3254

2784

2108

1701

1232

841

687

404

246

0


Рассчитываем мощность стартера для двух ВАХ, по формуле:

Полученные значения занесем в таблицу 4.5.

Таблица 4.5

I, А

50

79

108

137

166

195

224

253

282

311

340

P

11,1

10,4

9,6

8,8

8,2

7,6

6,9

6,1

5,2

4,7

4

P`

10,1

9,4

8,1

7

6,2

5,2

4

3,2

2,1

1,3

0


Строим кривые n`, Р и Р`.

По графику находим значение максимальной мощности стартера для двух ВАХ: PCH=1,28 кВт, P`max=0,9 кВт.

Рис. 4. Характеристика стартера на новой ВАХ.

Задание 5. Характеристики контактной системы зажигания

аккумуляторная батарея стартер зажигание

Исследовать выходные характеристики контактной системы зажигания.

.1. Рассчитать и построить зависимость тока разрыва контактов от частоты вращения вала двигателя.

.2. Рассчитать и построить зависимость максимального вторичного напряжения от частоты вращения вала двигателя и числа искр.

.3. На графике U2(n) в том же масштабе построить зависимость пробивного напряжения свечи от частоты вращения вала двигателя.

.4. Рассчитать и построить зависимость коэффициента запаса по вторичному напряжению от частоты вращения вала двигателя. Найти предельную частоту вращения вала, когда коэффициент запаса равен 1,5.

Исходные данные:

Таблица 5.1

№ п/п

Z

UБ, В

τз

R1, Ом

L1, Гн 10­-3

C1, Ф 10-6

C/2, Ф 10-12

W2/W1

C//2, Ф 10-12

η

16

4

12

0,65

3,25

9,5

0,25

41

68,5

40

0,85


Таблица 5.2

Nдв, об/мин

200

1000

1500

2000

2500

3000

3500

4000

4500

5000

5500

UП, кВ

15

14

13,5

12

11

9,5

8

7,5

7

6,7

6,5


Для каждого числа оборотов двигателя определяем ток разрыва по формуле:



где  - напряжение батареи;  - суммарное активное сопротивление первичной цепи;  - относительное время замкнутого состояния контактов прерывателя;  - частота вращения коленчатого вала двигателя; Z - число цилиндров двигателя.

Внесем полученные данные в таблицу 5.3 и построим по этим данным график.

Определяем емкость вторичной сети С2:


Величина максимального вторичного напряжения определяется по формуле:


Наличие в свече шунтирующего сопротивления, равного 3Мом, снижает максимальное вторичное напряжение примерно на 4кВ, т. е:


Рассчитываем значения  и  для каждого значения числа оборотов двигателя, заносим полученные значения в таблицу 15.

Определяем коэффициент запаса по вторичному напряжению:



В режиме пусковых оборотов коэффициент запаса равен:


В рабочем режиме коэффициент запаса равен:


Занесем расчеты по данным формулам в таблицу 5.3 и построим кривые коэффициентов запаса.

Таблица 5.3

Nдв, об/мин

IP, А

U2M, кВ

U2MЭ, кВ

КЗ

КЗП пусковых оборотов

КЗП рабочего режима

200

3,69

29,18

25,18

1,68

1,61

1,28

1000

3,69

29,14

25,14

1,80

1,72

1,37

1500

3,65

28,84

24,84

1,84

1,77

1,40

2000

3,56

28,14

24,14

2,01

1,93

1,53

2500

3,44

27,16

23,16

2,11

2,01

1,59

3000

3,29

26,02

22,02

2,32

2,21

1,75

3500

3,14

24,84

20,84

2,61

2,48

1,96

4000

3,00

23,68

19,68

2,62

2,49

1,97

4500

2,85

22,55

18,55

2,65

2,51

1,98

5000

2,72

21,50

17,50

2,61

2,46

1,94

5500

2,59

20,50

16,50

2,54

2,39

1,88



Рис. 6. Зависимость тока разрыва контактов от частоты вращения вала двигателя.

Рис. 7. Зависимость коэффициента запаса по вторичному напряжению от частоты вращения вала двигателя.

Рис. 8 зависимость пробивного напряжения свечи от частоты вращения вала двигателя

Рис. 9 зависимость коэффициента запаса по вторичному напряжению от частоты вращения вала двигателя


Список использованной литературы

. В. И. Петров. Электроника и электрооборудование транспортных и транспортно-технологических машин. Методические указания по выполнению контрольно-курсовой работы для студентов направления 190600 «Эксплуатация наземного транспорта и транспортного оборудования». - Тула. 2009. - 36 с.: ил.

Похожие работы на - Электроника и электрооборудование транспортных и транспортно-технологических машин

 

Не нашли материал для своей работы?
Поможем написать уникальную работу
Без плагиата!
Без нейросетей!