Экспертиза технического состояния транспортного средства Toyota Avensis
Негосударственное частное
образовательное учреждение
Высшего профессионального образования
Южный институт
менеджмента
Центр повышения квалификации и
дополнительного профессионального образования
ВЫПУСКНАЯ АТТЕСТАЦИОННАЯ
РАБОТА
(ДИПЛОМНАЯ РАБОТА)
на тему: "Экспертиза
технического состояния транспортного средства TOYOTA AVENSIS "
Слушатель
группы №11 Е.В. Шпаков
Руководитель, заместитель генерального директора ООО
"ЮРЦФЭ"
О.Б. Лысенко
Нормоконтролер Е.Н. Насонова 2013 г.
Краснодар 2013
Задание на
выполнение выпускной аттестационной работы (дипломной работы)
по дополнительной профессиональной образовательной программе
профессиональной переподготовки "Программа профессиональной переподготовки
экспертов-техников"
слушателю Шпакову Евгению Валерьевичу
Тема выпускной аттестационной работы: "Экспертиза
технического состояния транспортного средства TOYOTA AVENSIS"
Утверждено приказом ректора института № 78-О от " 29
" апреля 2013 г.
Срок сдачи законченной работы в ЦПК и ДПО " 20 "
мая 2013 г.
Слушатель Е.В. Шпаков " " 2013 г.
Руководитель выпускной аттестационной работы, заместитель
генерального директора ООО "ЮРЦФЭ" О.Б. Лысенко " " 2013 г.
Объем
иллюстративной части работы
Рисунок 1 - Идентификация транспортного средства по
расшифровке номера кузова (электронный каталог TOYOTA-EPCS V1.0 L50 R080)
Рисунок 2 - План - схема ДТП
Фотография 1 - Поврежденное транспортное средство
потерпевшего
Таблица 1 - Наличие, характер технических повреждений
транспортного средства
Таблица 2 - Установление причин повреждений транспортного
средства
Таблица 3 - Значения коэффициента доверия t д
Таблица 4 - Рекомендуемые коэффициенты вариации рыночной
стоимости транспортных средств
Таблица 5 - Статистическое наблюдение с целью установления
рыночной стоимости транспортного средства
Таблица 6 - Параметрическое описание функции Ω, зависящей от фактического возраста Tф (лет) и фактического
пробега с начала эксплуатации Lф (тыс. км)
Таблица 7 - Установление стоимости одного нормо-часа работ по
ремонту транспортного средства
Таблица 8 - Объем предоставляемых услуг в натуральном
выражении
Таблица 9 - Краска металлик
Таблица 10 - Комплект сопутствующих материалов
Таблица 11 - Расчет стоимости ремонта транспортного средства
Реферат
Выпускная аттестационная работа ___ с., ___ рис., ___ табл.,
__ источников. Иллюстративная часть 3 листа формата А4.
АВТОТРАНСПОРТНОЕ СРЕДСТВО, ВЛАДЕЛЕЦ АВТОТРАНСПОРТНОГО
СРЕДСТВА, ВОДИТЕЛЬ, ВОЗМЕЩЕНИЕ УБЫТКА, ВРЕД МАТЕРИАЛЬНЫЙ, ГРАЖДАНСКАЯ
ОТВЕТСТВЕННОСТЬ, ДЕФОРМАЦИЯ, ДОГОВОР ОБЯЗАТЕЛЬНОГО СТРАХОВАНИЯ ГРАЖДАНСКОЙ
ОТВЕТСТВЕННОСТИ ТРАНСПОРТНЫХ СРЕДСТВ, ДОРОЖНО-ТРАНСПОРТНОЕ ПРОИСШЕСТВИЕ
Целью выпускной аттестационной работы является независимая
экспертиза технического состояния и определение стоимости ремонта транспортного
средства, пострадавшего в результате дорожно-транспортного происшествия.
Задачей выпускной аттестационной работы является определение и анализ правового
обеспечения независимой технической экспертизы на современном этапе, изучение
необходимой и достаточной информации, факторов, влияющих на проведение
экспертизы, анализ порядка и правил составления задания на экспертизу,
подробное изучение объекта независимой технической экспертизы, как с точки
зрения технических, функциональных и эксплуатационных характеристик, так и диагностики
транспортного средства, установление наличия, характера и причин повреждений
транспортного средства, изучение методологической базы проведения экспертизы и
определение стоимости ремонта транспортного средства, оценка качества
информационного обеспечения независимой технической экспертизы.
Объектом выпускной аттестационной работы является проведение
независимой технической экспертизы транспортного средства TOYOTA AVENSIS.
содержание
Объем иллюстративной части работы
Реферат
Введение
1. Общие сведения
1.1 Основные понятия и определения независимой технической
экспертизы
1.2 Правовое обеспечение независимой технической экспертизы
2. Объект независимой технической экспертизы
2.1 Описание, идентификация и обозначение объекта независимой
технической экспертизы
2.2 Технические, функциональные и эксплуатационные характеристики
объекта Основные параметры авто TOYOTA AVENSIS
2.3 Внутреннее оснащение
3. Техническое состояние транспортного средства
3.1 Диагностика технического состояния транспортных средств
3.2 Установление наличия, характера и причин технических
повреждений транспортных средств
4. Установление стоимости ремонта транспортного средства с учетом
наличия и характера технических повреждений, обусловленых страховым случаем
4.1 Определение рыночной стоимости транспортного средства
4.2 Определение физического износа транспортного средства с учетом
возраста и пробега с начала эксплуатации
4.3 Определение стоимости ремонта поврежденного транспортного
средства
4.4 Установление стоимости ремонта объекта экспертизы
4.5 Ограничения и пределы применения полученных результатов
5. Выводы по экспертизе технического состояния транспортного
средства
Список использованных источников
Приложения
Введение
Экспертная деятельность является важнейшим этапом обоснования
и принятия решения на всех уровнях управления и поэтому все большее значение. В
Российской Федерации достаточно активно идет процесс законодательного
закрепления различных видов экспертной деятельности. В
году принят Федеральный закон "Об оценочной деятельности",
который определил правовые основы такого важного вида экономико - правовой
экспертизы, как стоимостная оценка бизнеса, недвижимости, движимого имущества,
нематериальных и других видов активов. В 2001 году принят Федеральный закон
"О государственной судебно - экспертной деятельности в Российской
Федерации", которым регулируется проведение экспертиз, осуществляемых в
гражданском, административном и уголовном судопроизводстве.
Федеральным законом "Об обязательном страховании
гражданской ответственности владельцев транспортных средств", принятом в
2002 году, впервые в законодательстве Российской Федерации определены правовые
основания нового вида экспертной деятельности - независимой технической
экспертизы транспортного средства при обязательном страховании гражданской
ответственности владельцев транспортных средств.
Указанные виды экспертной деятельности принципиально
различаются.
Это обусловлено тем, что независимая техническая экспертиза
транспортного средства и другие виды экспертной деятельности регулируются
разными Федеральными законами, не имеющими верховенства друг над другом.
Названные Федеральные законы для соответствующих видов
экспертной деятельности устанавливают различные требования к целям и содержанию
экспертизы, объектам и субъектам экспертизы, порядку ее проведения,
нормативному и информационному обеспечению, а также оформлению результатов
экспертной деятельности.
Оценочная деятельность, по существу, является параметрической
экспертизой, так как единственная цель оценки - определение экономического
показателя, как стоимость активов различного вида.
Государственная судебно - экспертная деятельность является
целевой (адресной) экспертизой, так как предусматривает проведение практически
любых видов экспертиз для любых объектов только для целей судебного
производства. Независимая техническая экспертиза транспортного средства
характеризуется тем, что она проводится в отношении только одного конкретного
объекта - транспортного средства и только для целей обязательного страхования
гражданской ответственности владельцев транспортных средств.
Структура настоящей работы следующая, С начала представлены
основные термины и определения, составляющие основу понятий независимой
технической экспертизы, и даны их определения. Рассмотрены правовые основы
независимой технической экспертизы, приведено описание правовой регламентации и
этапы проведения. В практической части приведены конкретные примеры проведения
независимой технической экспертизы транспортного средства, а также выходные
документы по этапам проведенных работ.
транспортное средство техническая экспертиза
1. Общие
сведения
1.1 Основные
понятия и определения независимой технической экспертизы
Целью независимой технической экспертизы транспортного
средства при ОСАГО (далее по тексту - независимая техническая экспертиза)
является установление следующих обстоятельств, влияющих на выплату страхового
возмещения по договору обязательного страхования гражданской ответственности
владельцев транспортных средств:
) наличие и характер технических повреждений транспортного
средства;
) причины возникновения технических повреждений транспортного
средства;
) технология, методы, объем и стоимость ремонта транспортного
средства.
Не являются целями проведения независимой технической
экспертизы:
) установление лица, допустившего нарушение правил дорожного
движения, повлекшее технические повреждения транспортного средства, и его вины
в этом нарушении;
) расчет величины страховой выплаты при причинении вреда
транспортному средству потерпевшего.
В общем случае объектами независимой технической экспертизы
являются транспортные средства потерпевшего и страхователя, а также отдельные
элементы транспортного средства.
Субъектами независимой технической экспертизы являются
страховщики, потерпевшие, страхователи, эксперты-техники, экспертные
организации.
Страховщиком при решении вопроса о выплате страхового
возмещения по договору обязательного страхования гражданской ответственности
владельцев транспортных средств используются в основном следующие результаты
независимой технической экспертизы:
) идентификация объекта экспертизы;
) номенклатура всех повреждений транспортного средства
потерпевшего;
) причины всех повреждений транспортного средства
потерпевшего, обусловленных страховым случаем;
) номенклатура повреждений транспортного средства
потерпевшего, обусловленных страховым случаем;
) достоверное установление факта наличия или отсутствия
страхового случая;
) технологии, методы и объем (трудоемкость) ремонта
(устранения) повреждений транспортного средства потерпевшего, обусловленных
страховым случаем;
) стоимость ремонта (устранения) повреждений транспортного
средства потерпевшего, обусловленных страховым случаем.
Независимая техническая экспертиза включает в себя следующие
этапы:
) идентификация транспортного средства как объекта экспертизы
и проверка результатов идентификации на соответствие данным регистрационных и
иных документов;
) установление наличия и характера технических повреждений
транспортного средства;
) установление причин возникновения технических повреждений
транспортного средства;
) установление номенклатуры повреждений, обусловленных
страховым случаем;
) определение технологии, методов и объема (трудоемкости)
ремонта (устранения) повреждений транспортного средства потерпевшего,
обусловленных страховым случаем;
) определение стоимости ремонта (устранения) повреждений
транспортного средства потерпевшего, обусловленных страховым случаем.
.2 Правовое
обеспечение независимой технической экспертизы
Основными задачами системы правового обеспечения независимой
технической экспертизы являются:
) регулирование деятельности по проведению независимой
технической экспертизы с целью повышения её качества, уровня доказательности,
объективности, воспроизводимости и точности результатов;
) создание необходимых условий для формирования рынка услуг
по проведению независимой технической экспертизы, обеспечивающего возможность
полной реализации Федерального закона "Об обязательном страховании
гражданской ответственности владельцев транспортных средств"
на всей территории Российской Федерации;
) создание эффективных механизмов по разрешению разногласий
между страховщиками, страхователями и потерпевшими, обеспечивающих снижение
социальной напряженности при обязательном страховании гражданской
ответственности владельцев транспортных средств;
) стандартизация и унификация процедур независимой
технической экспертизы с целью сокращения экономических и социальных потерь при
обязательном страховании гражданской ответственности владельцев транспортных
средств.
Федеральным законом "Об обязательном страховании
гражданской ответственности владельцев транспортных средств" определено,
что государственное регулирование независимой технической экспертизы должно
осуществляться в соответствии со следующими нормативно-правовыми документами,
утверждаемыми Правительством Российской Федерации или в установленном им
порядке.
Таким образом, законодательством вводится новая специальность
"эксперт - техник" по новому виду профессиональной деятельности
независимой технической экспертизе. Для того чтобы стать экспертом - техником и
быть допущенным к такой экспертной деятельности, соискатели должны проходить
профессиональную аттестацию на соответствие установленным профессиональным
требованиям к экспертам - техникам и быть внесенными в государственный реестр
экспертов - техников.
Дальнейшая конкретизация правовых основ независимой
технической экспертизы определяется постановлением Правительства Российской
Федерации "Об организации независимой технической экспертизы транспортных
средств" от 24 апреля 2003 г. № 238, которое устанавливает правовые
положения этого вида экспертной деятельности в отношении транспортных средств.
В соответствии со статьей 12 Федерального закона №40 "Об
обязательном страховании гражданской ответственности владельцев транспортных
средств"
Правительство Российской Федерации утверждает (Постановление
Правительства Российской Федерации от 24 апреля 2003 г. № 238 "Об
организации независимой технической экспертизы транспортных средств").
Утверждает прилагаемые правила организации и проведения
независимой технической экспертизы транспортных средств, при решении вопроса о
выплате страхового возмещения по договору обязательного страхования гражданской
ответственности владельца транспортного средства.
Правила обеспечивают обязательность следования следующим
базовым принципам.
Создание равных правовых условий для допуска на рынок услуг
по независимой технической экспертизе экспертов - техников и экспертных
организаций независимо от их ведомственной принадлежности и организационно -
правового статуса, обеспечение независимости эксперта - техника, создание
эффективных механизмов защиты прав потребителей услуг по независимой
технической экспертизе.
Возложить на Министерство транспорта Российской Федерации
координацию деятельности органов исполнительной власти в области организации
независимой технической экспертизы транспортных средств.
Министерству транспорта Российской Федерации и Министерству
внутренних дел Российской Федерации в установленном порядке разработать и
утвердить совместно с Министерством труда и социального развития Российской
Федерации - условия и порядок профессиональной аттестации экспертов-техников,
осуществляющих независимую техническую экспертизу транспортных средств, в том
числе требования к экспертам-техникам.
Возложить на Министерство юстиции Российской Федерации
ведение государственного реестра экспертов-техников.
Министерству транспорта Российской Федерации, Министерству
юстиции Российской Федерации и Министерству внутренних дел Российской Федерации
принять меры по организации, методическому и информационному обеспечению
проведения независимой технической экспертизы транспортных средств.
Министерству транспорта Российской Федерации совместно с
Министерством юстиции Российской Федерации, Министерством внутренних дел и
другими заинтересованными органами исполнительной власти осуществлять анализ и
обобщение опыта работы в области организации и проведения независимой
технической экспертизы транспортных средств для выработки предложений по
дальнейшему развитию и совершенствованию указанной деятельности.
Установить, что Правила, утвержденные пунктом 1 настоящего
постановления, применяются с даты вступления в силу Федерального закона
"Об обязательном страховании гражданской ответственности владельцев
транспортных средств".
Целью проведения независимой технической экспертизы
транспортного средства (далее именуется - экспертиза) является установление
следующих обстоятельств, влияющих на выплату страхового возмещения по договору
обязательного страхования гражданской ответственности владельца транспортного
средства:
) наличие и характер технических повреждений транспортного
средства;
) причины возникновения технических повреждений транспортного
средства;
) технология, объем и стоимость ремонта транспортного
средства.
Установление лица, допустившего нарушение правил дорожного
движения, повлекшее технические повреждения транспортного средства, и его вины
в этом нарушении целью проведения экспертизы не является.
Проведение экспертизы может быть организовано независимо от
экспертизы, назначаемой и проводимой в соответствии с гражданским
процессуальным, арбитражным процессуальным, уголовным процессуальным
законодательством Российской Федерации или законодательством Российской
Федерации об административных правонарушениях (далее именуется - судебная
экспертиза).
При наличии в выводах судебной экспертизы сведений,
позволяющих страховщику решить вопросы, необходимые для выплаты страхового
возмещения, экспертиза может не проводиться.
Экспертиза организуется и проводится в отношении
транспортного средства потерпевшего или страхователя, признаваемых таковыми
Федеральным законом "Об обязательном страховании гражданской
ответственности владельцев транспортных средств".
Проведение экспертизы организуется страховщиком в
соответствии с пунктом 3 статьи 12 Федерального закона "Об обязательном
страховании гражданской ответственности владельцев транспортных средств",
а в случаях, указанных в пункте 4 статьи 12 этого Федерального закона, -
потерпевшим.
Для проведения экспертизы привлекается эксперт-техник или
экспертная организация. Экспертом-техником признается физическое лицо,
прошедшее профессиональную аттестацию на соответствие установленным требованиям
и внесенное в государственный реестр экспертов-техников (далее именуется -
государственный реестр). Порядок проведения профессиональной аттестации (в том
числе требования к эксперту-технику) устанавливается совместно федеральными
органами исполнительной власти, на которые возложено государственное
регулирование в области транспорта, в области юстиции, в области внутренних дел
и в области трудовых отношений. Экспертной организацией признается юридическое
лицо, имеющее в своем штате не менее одного эксперта-техника, для которого эта
организация является основным местом работы, а проведение экспертизы является
одним из видов деятельности, предусмотренных в учредительных (статутных)
документах указанной организации.
Страховщик (потерпевший) самостоятельно определяет
эксперта-техника (экспертную организацию), с которым заключает договор о
проведении экспертизы. Страховщик вправе заключить с экспертом-техником
(экспертной организацией) договор об экспертном обслуживании.
Для проведения экспертизы страховщик (потерпевший) обращается
к эксперту-технику (экспертной организации) с письменным заявлением, в котором
наряду с предложением о заключении договора о проведении экспертизы обязательно
указываются:
) полное фирменное наименование и место нахождения
страховщика, фамилия, имя, отчество, дата, место рождения, место жительства
потерпевшего - физического лица или полное наименование и место нахождения
потерпевшего - юридического лица;
) вопросы, требующие разрешения в процессе проведения
экспертизы.
Эксперт-техник (экспертная организация) не может проводить
экспертизу (участвовать в проведении экспертизы), если:
) является учредителем, собственником, акционером,
страхователем или должностным лицом страховщика;
) эксперт-техник или хотя бы один из экспертов-техников
экспертной организации состоит в близком родстве или свойстве с потерпевшим;
) страховщик (потерпевший) является учредителем, собственником,
акционером или должностным лицом экспертной организации;
) имеет прямую или косвенную заинтересованность в результатах
экспертизы.
Срок проведения экспертизы устанавливается экспертом-техником
(экспертной организацией) по согласованию со страховщиком (потерпевшим) с
учетом требований статей 12 и 13 Федерального закона "Об обязательном
страховании гражданской ответственности владельцев транспортных средств".
Оплата услуг эксперта-техника (экспертной организации), а
также возмещение иных расходов, понесенных им в связи с проведением экспертизы,
производятся за счет страховщика (потерпевшего) в соответствии с заключенным
договором.
Эксперт-техник (экспертная организация) обязан вести
регистрацию и учет всех заключенных договоров о проведении экспертизы и
выданных экспертных заключений. Копии экспертных заключений и другая
документация, связанная с проведением экспертизы, подлежат хранению
экспертом-техником (экспертной организацией) в течение трех лет, если более
длительный срок хранения не установлен законодательством Российской Федерации.
За неисполнение либо ненадлежащее исполнение обязательств по
договору эксперт-техник (экспертная организация) несет ответственность,
предусмотренную гражданским законодательством Российской Федерации и договором.
За составление заведомо ложного экспертного заключения
эксперт-техник несет ответственность, предусмотренную законодательством
Российской Федерации.
По каждому заключенному договору о проведении экспертизы
руководитель экспертной организации назначает эксперта-техника, ответственного
за проведение этой экспертизы.
Экспертиза должна проводиться в соответствии с нормативными,
методическими и другими документами, утверждаемыми в установленном порядке.
Нормативные, методические и другие документы, используемые при проведении
экспертизы, утверждаются совместно федеральными органами исполнительной власти,
на которые возложено государственное регулирование в области транспорта, в
области юстиции и в области внутренних дел.
При проведении экспертизы эксперт-техник (экспертная
организация) имеет право:
) запрашивать у страховщика (потерпевшего) и третьих лиц
информацию, необходимую для проведения экспертизы;
) получать от страховщика (потерпевшего) разъяснения и
дополнительные сведения, необходимые для осуществления экспертизы;
) привлекать с письменного согласия страховщика
(потерпевшего) к участию в проведении экспертизы других экспертов-техников
(экспертные организации) и специалистов.
При проведении экспертизы эксперт-техник (экспертная
организация) обязан:
) сообщать страховщику (потерпевшему) о невозможности своего
участия в проведении экспертизы вследствие возникновения обстоятельств,
указанных в пункте 8 настоящих Правил;
) обеспечивать сохранность документов и объектов
исследования, получаемых от страховщика (потерпевшего) и третьих лиц в ходе
проведения экспертизы;
) не разглашать конфиденциальную информацию, полученную в
ходе проведения экспертизы, и результаты экспертизы, за исключением случаев,
предусмотренных законодательством Российской Федерации.
Проведение экспертизы завершается составлением экспертного
заключения, оформляемого в письменной форме.
В экспертном заключении должны быть указаны:
) полное наименование, организационно-правовая форма, место
нахождения экспертной организации, фамилия, инициалы, должность и
государственный реестровый номер эксперта-техника, которому руководителем этой
организации было поручено проведение экспертизы, либо фамилия, имя, отчество,
место жительства, данные документа, удостоверяющего личность, государственный
реестровый номер эксперта-техника (в случае если договор на проведение
экспертизы был заключен непосредственно с экспертом-техником);
) дата составления и порядковый номер экспертного заключения;
) основание для проведения экспертизы;
) полное фирменное наименование и место нахождения
страховщика;
) фамилия, имя, отчество, данные документа, удостоверяющего
личность потерпевшего - физического лица, или полное наименование и место
нахождения потерпевшего - юридического лица;
) перечень и точное описание объектов, представленных
страховщиком (потерпевшим) для исследования и оценки в ходе экспертизы;
) нормативное, методическое и другое обеспечение,
использованное при проведении экспертизы;
) сведения о документах, в том числе о страховом полисе об
обязательном страховании гражданской ответственности, рассмотренных в процессе
экспертизы;
) описание проведенных исследований (осмотров, измерений,
анализов, расчетов и др.);
) обоснование результатов экспертизы, а также ограничения и
пределы применения полученных результатов;
) выводы по каждому из поставленных вопросов.
Выводы экспертизы должны быть понятны и не должны содержать
формулировки, допускающие неоднозначное толкование.
Экспертное заключение, выполненное экспертной организацией,
подписывается собственноручно экспертом-техником, непосредственно выполнявшим
экспертизу, утверждается руководителем этой организации и удостоверяется ее
печатью. Экспертное заключение, выполненное экспертом-техником, подписывается
им и заверяется его личной печатью.
Экспертное заключение прошивается (с указанием количества
сшитых страниц) и передается страховщику (потерпевшему) под расписку или
направляется по почте с уведомлением о вручении.
В случае несогласия страховщика (потерпевшего) с выводами
экспертизы им может быть организовано проведение повторной (в том числе
комиссионной) экспертизы с привлечением другого эксперта-техника (экспертной
организации). Расходы, связанные с назначением и проведением повторной (в том
числе комиссионной) экспертизы, оплачиваются за счет средств инициатора проведения
такой экспертизы, если страховщик и потерпевший между собой не договорились об
ином.
Страховщик (потерпевший) вправе уведомить орган (должностное
лицо), проводивший профессиональную аттестацию эксперта-техника, на основании
которой этот эксперт-техник включен в соответствующий государственный реестр, о
факте некачественной подготовки им (или с его участием) экспертного заключения.
К указанному уведомлению должны быть приложены копии заключений первоначальной
и повторной (в том числе комиссионной) экспертизы.
Информационное обеспечение независимой технической экспертизы
Информационное обеспечение один из важнейших факторов, влияющих на качество
услуг по независимой технической экспертизе. Наличие объективного
информационного обеспечения является необходимым условием достижения
достоверности, точности, доказательности и воспроизводимости результатов
независимой технической экспертизы. Кроме того, при проведении независимой
технической экспертизы основная доля трудовых и финансовых затрат связана с поиском
и обработкой исходной информации, поэтому развитие и совершенствование
информационного обеспечения является одной из важнейших задач повышения
эффективности работы экспертов-техников и экспертных организаций.
Формирование информационного обеспечения, используемого при
проведении независимой технической экспертизы, постановлением правительства
Российской Федерации [3] возложено на Министерство транспорта Российской
Федерации, Министерство юстиции Российской Федерации и Министерство внутренних
дел Российской Федерации.
В качестве основных источников информации, необходимой для
проведения основных этапов независимой технической экспертизы, используются:
) первичные документы, содержащие информацию об объекте
экспертизы и дорожно-транспортном происшествии;
) нормативные, методические и информационно-справочные
материалы на бумажных носителях;
) программные продукты и электронные базы данных;
) информация из Интернета;
) собственная база данных.
Источники информации разделяются на документированные и
недокументированные. Документированные источники информации, кроме решения
задачи формирования информационного обеспечения для проведения независимой
технической экспертизы, позволяют обеспечить необходимый уровень правовой
доказательности результатов независимой технической экспертизы, что является
необходимым условием их применения в определенных правовых ситуациях. К
документированным источникам в первую очередь относятся периодические и
непериодические печатные издания, выпускаемые в соответствии с требованиями российского
законодательства. К недокументированным источникам относятся издания, не
имеющие официальной регистрации, данные из Интернета, а так же информационное
обеспечение компьютерных программ для расчета различных видов стоимости в
отношении транспортных средств. Недокументированные источники информации
выполняют функции только формирования информационного обеспечения.
Выборочное статистическое наблюдение рекомендуется проводить
на основе документированных источников информации. Основными видами документов
(источников информации), в которых при выборочном наблюдении могут быть
отобраны единицы статистического наблюдения, являются;
) заверенные подписью и печатью или официально опубликованные
ценовые предложения (прайс-листы) торгующих организаций, осуществляющих в
соответствии с требованиями Правил продажи отдельных видов товаров продажу
транспортных средств, запасных частей к транспортным средствам, а так же
материалов для ремонта транспортных средств;
) заверенные подписью и печатью или официально опубликованные
ценовые предложения (прайс-листы) исполнителей услуг по техническому
обслуживанию и ремонту транспортных средств стоимости одного нормо-часа
указанных работ, оказывающих услуги по ремонту в соответствии с требованиями
Правил оказания услуг (выполнения работ) по техническому обслуживанию и ремонту
автомототранспортных средств;
) периодические издания, в которых указаны реквизиты издающих
организаций, зарегистрированных в соответствии с законодательством Российской
Федерации;
) периодические издания, распространяемые по подписке и
указываемые в Каталоге периодических изданий;
) непериодические специализированные информационно-справочные
издания, в которых представлены реквизиты издающих организаций,
зарегистрированных в соответствии с законодательством Российской Федерации;
) информационная база органов государственной статистики;
) информационная база органов власти субъектов Российской
Федерации и местного самоуправления.
В перечень первичных документов, содержащих информацию об
объекте экспертизы и о дорожно-транспортном происшествии, входят;
) документы, удостоверяющие личность потерпевшего;
) паспорт транспортного средства;
) свидетельство о регистрации транспортного средства;
) одобрение типа транспортного средства;
) свидетельство о соответствии конструкции транспортного
средства требованиям безопасности (в случае внесения изменений в конструкцию
транспортного средства);
) извещение о дорожно-транспортном происшествии;
) копия протокола об административном правонарушении,
оформленного в связи с происшествием;
) справка о дорожно-транспортном происшествии;
) схема места дорожно-транспортного происшествия;
) протокол осмотра транспортного средства;
) копия постановления по делу об административном
правонарушении;
) справка из отделения пожарной охраны (в случае возгорания
транспортного средства).
Одной из основных составляющих информационного обеспечения
независимой технической экспертизы является ценовая информация о различных
объектах в отношении транспортных средств. Нормативное и методическое обеспечение
сбора, обработки и представления ценовой информации для проведения различных
экспертиз в отношении транспортных средств практически отсутствует.
В структуре информационного обеспечения независимой
технической экспертизы значительно увеличивается доля информационно-справочных
материалов, представленных в электронном виде, а так же реализованных на их
основе программных продуктов. В настоящее время в мире существует более 500
различных программных комплексов по ремонту транспортных средств, диагностике
автомобилей и подбору запасных частей для расчета ущерба от повреждения
транспортных средств. К основным видам программных продуктов, используемых в
Российской Федерации, относятся AudaQuest, AutoCalc (Eurotax), Audatex,
MitchellRepair, Нами-Сервис, AUTOExpert, ПС-Комплекс, SILVERDAT.
В практике проведения различных видов экспертной деятельности
в отношении транспортных средств все более увеличивается количество
пользователей сети Интернет. Это связано с тем, что большинство российских и
зарубежных производителей автотранспортных средств, запасных частей, материалов
для ремонта, дополнительного оборудования имеют свои сайты, на которых
приводятся цены на их продукцию. Так же многие крупные дилеры, автоцентры,
автосалоны и станции технического обслуживания создают свои сайты, на которых
представлена ценовая информация об их продукции и услугах на соответствующих
товарных рынках. Кроме того, отдельные периодические справочные издания, в
которых содержится ценовая информация, касающаяся автотранспорта, имеют свои
сайты, на которых приводятся электронные копии их печатной продукции.
В целом указанная ценовая информация для оценки
автотранспортных средств, представленная в Интернете, обладает следующими
достоинствами:
) информация представлена практически по всему модельному
ряду автотранспортных средств отечественного и зарубежного производства;
) оперативное обновление;
) достаточно низкая стоимость информации;
) наличие поисковых систем по шаблонам;
) возможность запроса дополнительных сведений о комплектности,
функциональных, конструктивных и эксплуатационных параметрах продукции, услуг и
их стоимости;
) более оперативное получение информации при наличии сайтов,
отражающих содержание печатных справочных изданий.
К недостаткам использования ценовой информации из Интернета
следует отнести низкий уровень документальности. Чтобы частично компенсировать
этот недостаток, к экспертному заключению рекомендуется приложить распечатку
странички с соответствующего сайта.
2. Объект
независимой технической экспертизы
2.1 Описание,
идентификация и обозначение объекта независимой технической экспертизы
Идентификация транспортного средства и его элементов
проводится с целью установления:
) марки (модели, модификации) транспортного средства,
внесения изменений в конструкцию транспортного средства, цвета окраски
транспортного средства и соответствия установленных характеристик и параметров
данным регистрационных и других документов, предъявляемых при проведении
независимой технической экспертизы, а также маркировочным данным;
) наличия и подлинности государственных регистрационных
знаков и соответствия их требованиям действующего законодательства и записям в
регистрационных и других документах, предъявляемых при проведении независимой
технической экспертизы;
) года выпуска транспортного средства;
) основной и дополнительной маркировки транспортного средства
(содержание, способ нанесения, конфигурация, взаиморасположение и т.п.) и
соответствия ее данным регистрационных и других документов, предъявляемых при
проведении независимой технической экспертизы;
) наличия признаков изменения маркировки транспортного
средства;
) принадлежности отдельных элементов (фрагментов)
транспортных средств объекту независимой технической экспертизы или конкретной
марке (модели, модификации) транспортного средства.
Идентификация включает в себя следующие методические этапы:
) установление марки (модели, модификации) объекта
независимой технической экспертизы - транспортного средства по его внешнему
виду, фактическим конструктивным, функциональным и эксплуатационным
характеристикам;
) установление цвета объекта независимой технической
экспертизы - транспортного средства;
) проверка наличия регистрационных знаков и соответствия их
требованиям действующего законодательства;
) исследование маркировки объекта независимой технической
экспертизы 5) транспортного средства и его элементов;
) установление внесения изменений в конструкцию объекта
независимой технической экспертизы - транспортного средства;
) установление принадлежности отдельных элементов (фрагментов)
транспортных средств конкретной марке (модели, модификации) транспортного
средства и (или) объекту независимой технической экспертизы;
) сверка полученных результатов между собой и данными
регистрационных и других документов, предъявляемых при проведении независимой
технической экспертизы, а также данными справочных материалов;
) формулирование выводов независимой технической экспертизы
по результатам идентификации.
Проведение идентификации основывается на следующих
методических принципах и положениях, а также требованиях нормативных правовых
документов:
) для установления марки (модели, модификации) объекта
независимой технической экспертизы используются руководства (инструкции) по
эксплуатации транспортных средств, издаваемые предприятиями - изготовителями, а
также иллюстрированные справочники (каталоги) транспортных средств;
) цвет объекта независимой технической экспертизы -
транспортного средства должен соответствовать цвету, указанному в паспорте
транспортного средства и регистрационных документах;
) в соответствии с постановлением Совета Министров -
Правительства Российской Федерации от 23 октября 1993 г. № 1090 на механических
транспортных средствах (кроме трамваев и троллейбусов) и прицепах должны быть
установлены на предусмотренных для этого местах государственные регистрационные
знаки (далее - регистрационные знаки) соответствующего образца;
) стандартом ГОСТ Р 50577-93 определены типы и основные
размеры, а также технические требования к регистрационным знакам,
устанавливаемым на транспортные средства. Приказом Министерства внутренних дел
Российской Федерации от 28 марта 2002 г. № 282 установлен перечень цифровых
кодов субъектов Российской Федерации, применяемых на государственных
регистрационных знаках транспортных средств.
Постановлением Правительства Российской Федерации от 17
сентября 2004 г. № 482 определен порядок установки и использования на
транспортных средствах особых государственных регистрационных знаков.
Для идентификации транспортного средства проводится проверка
основной и дополнительной маркировки. Технические требования и содержание
основной и дополнительной маркировок транспортных средств установлены
стандартом ОСТ 37.001.269-96. В соответствии с ГОСТ 26828 транспортные
средства, шасси и двигатели должны иметь товарный знак.
Транспортные средства, подлежащие обязательной сертификации,
должны иметь знак соответствия по ГОСТ Р 50460, который устанавливает форму,
размеры и технические требования к знаку соответствия, применяемому в Системе
сертификации ГОСТ Р. Обязательным элементом маркировки транспортного средства
является идентификационный номер (VIN), который в соответствии с международным
стандартом ИСО 3779-83, определяющим его содержание и структуру, должен
наноситься на неотъемлемой панели несущего кузова или лонжероне рамы. Международным
стандартом ИСО 4030-83 установлены рекомендации по месту расположения и способу
нанесения VIN.
В связи с тем, что места расположения VIN у производителей
транспортных средств различаются, для быстрого поиска и расшифровки VIN
целесообразно использовать рекомендации справочника Auto-Ident (Eurotax),
каталоги и электронные базы данных производителей транспортных средств,
Основная маркировка транспортных средств также (как правило) должна включать
табличку, расположенную по возможности в передней части и содержащую следующие
данные: VIN; индекс (модель, модификация, исполнение) двигателя (при рабочем
объеме 125 см3 и более); допустимая полная масса; допустимая полная масса
автопоезда (для тягачей); допустимая масса, приходящаяся на каждую ось (оси) тележек,
начиная с передней оси; допустимая масса, приходящаяся на седельно-сцепное
устройство.
Основная маркировка составных частей транспортных средств
производится следующим образом:
) двигатели внутреннего сгорания, а также шасси и кабины
грузовых автомобилей, кузова легковых автомобилей и блоки двигателей должны
иметь маркировку - идентификационный номер составной части;
) идентификационный номер основной маркировки должен
наноситься на поверхности, имеющие следы механической обработки,
предусмотренной технологическим процессом;
) таблички должны соответствовать требованиям ГОСТ 12969,
ГОСТ 12970, ГОСТ 12971 и крепиться на изделии с помощью, как правило,
неразъемного соединения.
Дополнительная маркировка транспортных средств является
рекомендуемой и осуществляется как производителями транспортных средств, так и
специализированными предприятиями. Дополнительная маркировка транспортных
средств предусматривает нанесение на него идентификационных данных, видимых и
невидимых глазом (видимая и невидимая маркировка).
Видимая маркировка наносится, как правило, на наружную
поверхность стекла ветрового окна, стекла окна задка, стекол окон боковин
(подвижных), фар и задних фонарей. Невидимая маркировка наносится, как правило,
на обивку крыши, обивку спинки сиденья водителя, поверхность корпуса
переключателя указателей поворота и становится видимой в свете ультрафиолетовых
лучей.
При выполнении маркировки не должна быть нарушена структура
материала, на который она наносится.
При исследовании маркировки следует учитывать, что в
соответствии с "Правилами регистрации автомототранспортных средств и
прицепов к ним в ГИБДД МВД России" для транспортных средств, имеющих
признаки изменения нанесенной на них маркировки вследствие естественного
износа, коррозии, в графах "Особые отметки" паспорта транспортного
средства (кроме случаев зарегистрированных изменений), свидетельства о
регистрации транспортного средства, реестра регистрации транспортных средств,
карточки учета транспортного средства, делаются записи "Номер VIN (кузова,
двигателя, а также в графы "Особые отметки" паспорта транспортного
средства (кроме случаев зарегистрированных изменений) и карточки учета
транспортного средства вклеиваются изготовленные экспертно -
криминалистическими подразделениями фотографии места измененной маркировки
размером 50х15 мм. Записи, вносимые в свидетельство о регистрации транспортного
средства, паспорт транспортного средства, а также фотографии заверяются
подписью должностного лица и печатью регистрационного подразделения.
Особенности конструкции объекта независимой технической
экспертизы могут также определяться внесением изменений в конструкцию
транспортного средства конкретной марки (модели, модификации). Порядок внесения
изменений в конструкцию транспортного средства и их правовое закрепление
регламентированы приказом Министерства внутренних дел Российской Федерации от 7
декабря 2000 г. № 1240, в соответствии с которым под изменением конструкции
транспортного средства понимается исключение предусмотренных или установка не
предусмотренных конструкцией конкретного транспортного средства составных
частей и предметов оборудования. Приказом установлено, что на изменение
конструкции транспортного средства необходимо в ГИБДД получить
"Свидетельство о соответствии конструкции транспортного средства
требованиям безопасности".
При установлении внесения изменений в конструкцию объекта
независимой технической экспертизы - транспортного средства должны также
учитываться требования нормативных правовых актов по:
) размещению рекламы на наружные поверхности транспортных
средств (приказ МВД России от 7 июля 1998 г. № 410);
) нанесению цветографических схем, опознавательных знаков и
надписей на наружные поверхности транспортного средства (ГОСТ Р 50574-93);
) оборудованию транспортных средств специальными световыми и
звуковыми сигналами (Постановление Правительства РФ от 17 сентября 2004 г. №
482);
) оборудованию транспортных средств радиоэлектронными
средствами (высокочастотными устройствами) (постановление Правительства
Российской Федерации от 31 июля 1998 г. № 868);
) комплектованию предметами дополнительного оборудования, без
которых эксплуатация транспортных средств запрещена (Правила перевозки опасных
грузов автомобильным транспортом, Инструкция по перевозке крупногабаритных и
тяжеловесных грузов автомобильным транспортом по дорогам Российской Федерации).
В соответствии с "Правилами регистрации
автомототранспортных средств и прицепов к ним в ГИБДД МВД России"
документально замена базовых агрегатов и внесение изменений в конструкцию
транспортного средства в регистрационных и учетных документах оформляются
следующим образом:
) в случае замены кузова легкового автомобиля и автобуса,
кабины грузового автомобиля, в том числе на другую модель (модификацию), год
выпуска транспортного средства не изменяется;
) в графе "Марка, модель" свидетельства о
регистрации транспортного средства и карточки учета транспортных средств
указывается марка (модель) установленного кузова (кабины), а в графе
"Особые отметки" делается отметка "замена кузова (кабины)"
с указанием даты соответствующего изменения;
) в паспорте транспортного средства все сведения об
измененных номерах агрегатов и модели (модификации) транспортного средства, а
также дата изменения, указываются в графе "Особые отметки";
) изменение регистрационных данных, связанное с внесением
изменений в конструкцию зарегистрированного транспортного средства,
производится на основании "Свидетельства о соответствии конструкции
транспортного средства требованиям безопасности", выданного ГИБДД.
В результирующей части идентификационной экспертизы должно
быть указано соответствие (не соответствие) объекта экспертизы установленным
требованиям по идентификации транспортных средств, их агрегатов, узлов и других
элементов.
Данные о поврежденном автомобиле, согласно регистрационных
документов:
|
Объект
экспертизы
|
Транспортное
средство
|
|
Тип
|
Автомобиль
легковой
|
|
Марка, модель
|
TOYOTA AVENSIS
|
|
Категория
|
B
|
|
Год выпуска
|
2005
|
|
Регистрационный
знак (транзит)
|
МР174Е/77 RUS
|
|
Модель, номер
двигателя
|
1AZ/1846515
|
|
Идентификационный
номер (VIN)
|
SB1BJ56L30E060155
|
|
Номер кузова
|
SB1BJ56L30E060155
|
|
Номер шасси
|
отсутствует
|
|
Цвет кузова
|
Темно-красный
металлик
|
|
Мощность
двигателя, кВт/л. с
|
108/147
|
|
Объем двигателя
|
1998
|
|
Пробег
(показания одометра), км
|
129044
|
Идентификация транспортного средства по расшифровке номера
кузова (электронный каталог TOYOTA-EPCS V1.0 L50 R080) на рисунке 1
Рисунок 1 - Идентификация транспортного средства по
расшифровке номера кузова (электронный каталог TOYOTA-EPCS V1.0 L50 R080)
2.2
Технические, функциональные и эксплуатационные характеристики объекта Основные
параметры авто TOYOTA AVENSIS
(SBIBJ56L30E060155)
|
Тип кузова
|
sedan
|
|
Привод
|
FF
|
|
Трансмиссия
|
4FC
|
|
Объем
двигателя, куб. см
|
1998
|
|
Марка кузова
|
AZT250L-AEPGHW
|
Спецификации
|
Габариты кузова
(ДхШхВ), мм
|
4630 x 1760 x
1480
|
|
Колесная база,
мм
|
2700
|
|
Высота
дорожного просвета (клиренс)
|
150
|
|
Вес без
пассажиров, кг
|
1410
|
|
Максимальная
масса, кг
|
1970
|
|
Число мест
|
5
|
|
Число дверей
|
4
|
|
Минимальный
радиус разворота
|
5,3
|
|
Объем
топливного бака, л
|
60
|
Двигатель
|
Краткая
характеристика
|
1AZ-FSE
|
|
Макс. мощность,
л. с. (кВт) при об. /мин.
|
152 (112) /
6000
|
|
Макс. крутящий
момент, кг*м (Н*м) при об. /мин.
|
20.4 (200) /
4000
|
|
Удельная
мощность, кг/л. с.
|
8.49
|
|
Тип двигателя
|
4 cylinder DOHC
|
|
Используемое
топливо
|
Бензин Regular
(АИ-92, АИ-95)
|
|
Система
снижения количества вредных выбросов
|
(LEV) D-4
|
|
Расход топлива
в режиме 10/15, л/100 км
|
7,1
|
|
Степень сжатия
|
9
|
|
Диаметр поршня,
мм
|
86
|
Подвеска / Ходовая часть
|
Гидроусилитель
руля
|
есть
|
|
Передние колеса
|
195/65 R15
|
|
Передние тормоза
|
Ventilated
disk
|
|
Задние тормоза
|
Drum
(leading/trailing)
|
Strut
type coil spring
|
|
Задняя подвеска
|
Torsion
beam type coil spring
|
Внешнее оснащение
|
Люк
|
|
|
Передние
противотуманные фары
|
|
|
Задние
противотуманные фары
|
|
|
Ксеноновые фары
|
|
|
Антиблокировочная
система (ABS)
|
|
|
Защита от
ультрафиолетовых лучей на стеклах
|
|
2.3
Внутреннее оснащение
Кондиционер Manual
Отделка салона под дерево Круиз-контроль Центральный замок
Электрические стеклоподъемники Подвижность рулевой колонки вперед-назад
Подвижность рулевой колонки вверх-вниз Кожаная оплетка рулевого колеса
Электропривод передних сидений Электропривод задних сидений Раскладывающееся
заднее сиденье Усилители жесткости в дверях Подушка безопасности водительская
Подушка безопасности пассажирская Подушка безопасности боковая Аудио CD-плейер
3. Техническое
состояние транспортного средства
3.1
Диагностика технического состояния транспортных средств
Одним из путей повышения эксплуатационной надежности машин
является применение методов технической диагностики.
Техническая диагностика - область знаний, охватывающая
теорию, методы и средства определения технического состояния объектов.
Задачами технического диагностирования являются: контроль
технического состояния, поиск места и причин отказа, прогнозирование
технического состояния.
Внедрение методов и средств технического диагностирования
позволяет:
) повысить надежность машин в эксплуатации;
) повысить техническую готовность машин;
) снизить трудоемкость и стоимость технического обслуживания;
) снизить объем сборочно-разборочных работ, сохранить ресурс
машин и сборочных единиц;
) сократить перерасход топлива и не допустить снижения
производительности машин за счет эксплуатации машин с оптимальными
регулировками;
) обеспечить полную выработку ресурса машин и снижение затрат
на ремонт за счет более точной оценки их технического состояния при направлении
в капитальный ремонт;
) повысить качество ремонта за счет применения при входном и
выходном контроле средств диагностики;
) определение области рационального использования машин по
мере их износа;
) повысить безопасность машин (в том числе и экологическую).
Диагностика аварийного транспортного средства TOYOTA AVENSIS регистрационный знак
(транзит) MP174E/77RUS проводилась визуальным (органолептическим) методом. Осмотр
проводился по месту нахождения экспертной организации, при дневном естественном
освещении. Автомобиль поврежденный, на ходу.
При осмотре автомобиля TOYOTA AVENSIS регистрационный знак
(транзит) MP174E/77RUS были выявлены следующие механические повреждения:
|
Бампер задний
|
нарушение ЛКП в
виде царапин на левой боковой поверхности, вид повреждения П1.
|
|
Дверь задняя
левая
|
повреждение ЛКП
в виде глубоких царапин в задней части, вид повреждения П1, конструктивный
тип элемента - Ф2
|
|
Крыло заднее
левое
|
повреждение
элемента (царапины, риски, мелкие вмятины и выпуклости) глубиной, не
превышающей 2 мм, повреждение лакокрасочного покрытия (площадь до 1 кв. дм),
вид повреждения П1, конструктивный тип элемента - Ф3
|
3.2
Установление наличия, характера и причин технических повреждений транспортных
средств
Согласно данных, полученных в результате исследования
административного материала составленного сотрудниками ПДПС ГИБДД по г. Омску,
"15" октября 2012 г. в 08 ч.10 мин., водитель ХХХХХХХХ., управляя
автомобилем ВАЗ 21081, г/н. ХХХХХ/55RUS, двигаясь по улице проспект Маркса в г. Омске,
в районе дома №7 при попытке перестроиться не предоставил преимущество в
движении, движущемуся попутно, без изменения направления движения автомобилю TOYOTA AVENSIS, г/н ХХХХХ /RUS,
двигавшемуся в попутном направлении, под управлением водителя Баженова О. В.
Столкновение произошло при движении в попутном направлении.
Контакт произошел передней правой частью автомобиля ВАЗ 21081, г/н. ХХХХХ/55RUS, c задней и боковой
частью автомобиля TOYOTA AVENSIS, г/н ХХХХХ /RUS. В результате ДТП автомобили
получили механические повреждения. Пострадавших нет. Исследованием
поврежденного автомобиля установлено, что повреждения задней и боковой левой
части автомобиля TOYOTA AVENSIS, г/н ХХХХХ /RUS получены в результате бокового
столкновения и первичного контакта, с передней правой частью автомобиля ВАЗ
21081, г/н. ХХХХХ/55RUS.
Рисунок 2 - План - схема ДТП
Фотография 1 - Поврежденное транспортное средство
потерпевшего Повреждения транспортного средства - объекта экспертизы.
Таблица 1 - Наличие, характер технических повреждений
транспортного средства
|
Наименование
повреждения
|
Характеристика
повреждения
|
|
Повреждение
бампера заднего
|
нарушение ЛКП в
виде царапин на левой боковой поверхности, вид повреждения П1.
|
|
Повреждение
двери задней левой
|
повреждение ЛКП
в виде глубоких царапин в задней части, вид повреждения П1, конструктивный
тип элемента - Ф2
|
|
Повреждение
крыла заднего левого
|
повреждение
элемента (царапины, риски, мелкие вмятины и выпуклости) глубиной, не
превышающей 2 мм, повреждение лакокрасочного покрытия (площадь 4 кв. дм), вид
повреждения П1, конструктивный тип элемента - Ф3
|
Таблица 2 - Установление причин повреждений транспортного
средства.
|
№
|
Наименование
повреждения
|
Причина
повреждения
|
Причина -
страховой случай да/нет
|
|
1
|
Повреждение
бампера заднего
|
Столкновение с
передней правой частью автомобиля ВАЗ 21081
|
да
|
|
2
|
Повреждение
двери задней левой
|
Столкновение с
передней правой частью автомобиля ВАЗ 21081
|
да
|
|
3
|
Повреждение
крыла заднего левого
|
Столкновение с
передней правой частью автомобиля ВАЗ 21081
|
да
|
4.
Установление стоимости ремонта транспортного средства с учетом наличия и
характера технических повреждений, обусловленых страховым случаем
4.1
Определение рыночной стоимости транспортного средства
Для целей независимой технической экспертизы в качестве
стоимости ремонта поврежденного транспортного средства принимается величина,
удовлетворяющая следующему условию:
Срем = 
, (1)
где 
- рыночная стоимость транспортного средства на дату повреждения
(страхового случая) в неповрежденном состоянии, тыс. руб.
Срем - стоимость ремонта транспортного средства, тыс. руб.
Рыночная стоимость ремонта, поврежденного транспортного средства
не может превышать рыночную стоимость транспортного средства в доаварийном
состоянии.
Рыночная стоимость транспортного средства C рын рассчитывается
для условий конкретных товарных рынков транспортных средств, соответствующих
месту государственной регистрации транспортного средства потерпевшего.
При наличии ценовой информации с товарных рынков транспортных
средств о стоимости объекта независимой технической экспертизы расчет рыночной
стоимости транспортного средства C рын проводится по формуле:
, (2)
где w - объем выборки значений цен транспортного средства -
объекта независимой технической экспертизы;

- k-ое значение цены транспортного средства в выборке,
тыс. руб.
Сбор информации для проведения расчетов оценки по формуле (2)
осуществляется методом выборочного наблюдения в границах товарного рынка
транспортных средств по месту государственной регистрации транспортного
средства потерпевшего. Границы товарных рынков объектов независимой технической
экспертизы определяются в соответствии с Методическими рекомендациями по
определению границ и объемов товарных рынков.
Основными параметрами товарного рынка транспортных средств
являются географические границы рынка, которые определяют территорию
(географическую область, регион), на которой была собрана ценовая информация.
Выборочное наблюдение рекомендуется проводить на основе
документированных источников информации. Основными видами документов
(источников информации), в которых при выборочном наблюдении могут быть
отобраны цены транспортных средств, являются:
периодические издания, в которых представлены реквизиты издающих
организаций, зарегистрированных в соответствии с законодательством Российской
Федерации;
периодические издания, распространяемые по подписке и указываемые
в "Каталоге периодических изданий";
непериодические специализированные информационно - справочные
издания, в которых представлены реквизиты издающих организаций,
зарегистрированных в соответствии с законодательством Российской Федерации;
заверенные подписью и печатью ценовые предложения (прайс - листы)
торгующих организаций, осуществляющих продажу транспортных
средств;
официальные источники информации;
информационная база органов государственной статистики;
информационная база органов государственной власти и местного
самоуправления.
Сбор информации должен быть бесповторным, то есть каждое значение
цены транспортного средства должно учитываться только один раз. Для этого
следует исключить дублирование одних и тех же единиц статистического наблюдения
из разных источников информации.
Объем выборки рассчитывается по следующей формуле:
(3)
где 
коэффициент доверия;
υ - коэффициент вариации стоимости
транспортного средства в выборке;
ΔС отн - относительная предельная ошибка расчета рыночной стоимости
транспортного средства, %.
Прямые скобки в формуле означают взятие целой части от числа,
полученного в указанных скобках.
Относительную предельную ошибку ΔС отн при расчете рыночной стоимости транспортных средств
рекомендуется задавать не более 10%.
Относительная предельная ошибка ΔС отн определяет величину доверительного интервала, которая
рассчитывается следующим образом:

= С рын+ 
×Срын, (4)
Коэффициент доверия t д определяется в зависимости от
выбранного уровня доверительной вероятности Р дов попадания
рассчитанного среднего значения рыночной стоимости транспортного средства по
полной (генеральной) выборке в доверительный интервал ΔС дов. Для расчета рыночной стоимости транспортных средств
рекомендуется принять уровень доверительной вероятности не ниже Р дов =
0,90.
В таблице приведены значения коэффициента доверия для различных
значений доверительной вероятности, Таблица 3.
Таблица 3 - Значения коэффициента доверия t д
|
Доверительная
вероятность, Pд
|
Коэффициент
доверия tд
|
Доверительная
вероятность, Pд
|
Коэффициент
доверия tд
|
|
0,700
|
1,04
|
0,940
|
1,88
|
|
0,750
|
1,15
|
0,950
|
1,96
|
|
0,800
|
1,28
|
0,960
|
2,06
|
|
0,850
|
1,44
|
0,970
|
2,18
|
|
0,900
|
1,65
|
0,980
|
2,32
|
|
0,910
|
1,69
|
0,990
|
2,58
|
|
0,920
|
1,75
|
0,995
|
2,80
|
|
0,930
|
1,81
|
0,999
|
3,50
|
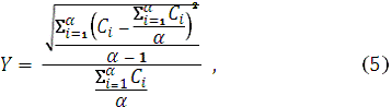
Коэффициент вариации υ рыночной стоимости
транспортного средства по результатам пробного выборочного наблюдения
рассчитывается по формуле:
(5)
где α - объем пробной выборки,
ед.

- i-е значение стоимости в пробной выборке, р.
В случае, когда пробное выборочное наблюдение не проводится, могут
быть использованы рекомендуемые значения коэффициента вариации рыночной
стоимости транспортных средств, приведенные в Таблице 4.
Таблица 4 - Рекомендуемые коэффициенты вариации рыночной
стоимости транспортных средств
|
|
Объект
независимой технической экспертизы
|
Коэффициент
вариации, υ
|
|
1
|
Новые
транспортные средства
|
0,10
|
|
2
|
Подержанные
транспортные средства
|
0, 20
|
Определение рыночной стоимости транспортного средства.
Определение объема выборки
где t д - коэффициент доверия = 1,65 (по формуле 3).
Коэффициент доверия определяется в зависимости от выбранного
уровня доверительной вероятности попадания рассчитанного среднего значения
рыночной стоимости транспортного средства по полной выборке в доверительный
интервал. Для расчета стоимости транспортных средств рекомендуемый уровень
составляет не ниже 0,90. Принимаем для расчета уровень доверительной
вероятности равный 0,9. Уровню доверительной вероятности 0,9 соответствует
коэффициент доверия равный 1,65;
υ - коэффициент вариации
стоимости транспортного средства в выборке=0,2
В случае, когда пробное выборочное наблюдение не проводится,
могут быть использованы рекомендуемые значения коэффициента вариации рыночной
стоимости транспортных средств. Для подержанных транспортных средств
коэффициент вариации составляет 0,2.
Для определения рыночной стоимости автомобиля TOYOTA AVENSIS, 2005 года, выпуска,
изготовитель Япония используются следующие значения.
ΔС отн - относительная предельная
ошибка расчета рыночной стоимости транспортного средства, % =10%. Относительную
предельную ошибку при расчете рыночной стоимости транспортных средств
рекомендуется задавать не более 10%.

= 11
Таблица 5 - Статистическое наблюдение с целью установления
рыночной стоимости транспортного средства
|
Марка (модель,
модификация) транспортного средства
|
TOYOTA AVENSIS
|
|
Возраст
транспортного средства, Т (годы)
|
7,3
|
|
Пробег с начала
эксплуатации, L (тыс. км)
|
129044
|
|
Географические
границы рынка транспортных средств
|
Омская область,
г. Омск
|
|
Источник
информации о продаже транспортного средства
|
Реквизиты
продавцов
|
Цена
транспортного средства, руб
|
Характеристики
условий обращения транспортных средств на рынке, ограничивающие возможности
их приобретения
|
|
Журнал
"Автопроспект" от 15.10.2012г
|
Тел.8-ХХХ - ХХХ
- ХХХ
|
450 000
|
Состояние
хорошее, 2,0 бензин, АКПП
|
|
Журнал
"Автопроспект" от 15.10.2012г
|
Тел.8-ХХХ - ХХХ
- ХХХ
|
455 000
|
Состояние хорошее,
2,0 бензин, АКПП
|
|
Журнал
"Автопроспект" от 15.10.2012г
|
Тел.8-ХХХ - ХХХ
- ХХХ
|
460 000
|
Состояние
хорошее, 2,0 бензин, АКПП
|
|
Журнал
"Автопроспект" от 15.10.2012г
|
Тел.8-ХХХ - ХХХ
- ХХХ
|
465 000
|
Состояние
хорошее, 2,0 бензин, АКПП
|
|
Журнал
"Автопроспект" от 15.10.2012г
|
Тел.8-ХХХ - ХХХ
- ХХХ
|
480 000
|
Состояние
хорошее, 2,0 бензин, АКПП
|
|
Журнал
"Автопроспект" от 15.10.2012г
|
Тел.8-ХХХ - ХХХ
- ХХХ
|
495 000
|
Состояние
хорошее, 2,0 бензин, АКПП
|
|
Журнал
"Автопроспект" от 15.10.2012г
|
Тел.8-ХХХ - ХХХ
- ХХХ
|
500 000
|
Состояние
хорошее, 2,0 бензин, АКПП
|
|
Журнал
"Автопроспект" от 15.10.2012г
|
Тел.8-ХХХ - ХХХ
- ХХХ
|
510 000
|
Состояние
хорошее, 2,0 бензин, АКПП
|
|
Журнал
"Автопроспект" от 15.10.2012г
|
Тел.8-ХХХ - ХХХ
- ХХХ
|
525 000
|
Состояние
хорошее, 2,0 бензин, АКПП
|
|
Журнал
"Автопроспект" от 15.10.2012г
|
Тел.8-ХХХ - ХХХ
- ХХХ
|
535 000
|
Состояние
хорошее, 2,0 бензин, АКПП
|
|
Журнал
"Автопроспект" от 15.10.2012г
|
Тел.8-ХХХ - ХХХ
- ХХХ
|
550 000
|
Состояние
хорошее, 2,0 бензин, АКПП
|
|
|
|
|
|
Рыночная стоимость транспортного средства =

Рыночная стоимость транспортного средства: TOYOTA AVENSIS, 2005 г/в, 2,0л, АКПП, изготовитель
Япония, на октябрь 2012 года составляет 493 182 (Четыреста девяносто три тысячи
сто восемьдесят два) рубля.
В том случае, когда проведение выборочного наблюдения стоимости
объекта независимой технической экспертизы невозможно из-за отсутствия
необходимых данных на товарных рынках идентичных транспортных средств, расчет
рыночной стоимости транспортного средства Срын проводится по формуле:
(6)
где Со - рыночная стоимость транспортного средства -
объекта независимой технической экспертизы в новом состоянии, тыс. руб.;
Иф - физический
износ транспортного средства на дату страхового случая, %.
При наличии ценовой информации с первичного рынка о стоимости
транспортных средств расчет рыночной стоимости транспортного средства -
объекта независимой технической экспертизы в новом состоянии
проводится по формуле:
(7)
где p - объем выборки значений цен транспортного средства в
новом состоянии;
С 0s - s-ое
значение цены нового транспортного средства в выборке, тыс. руб.
При отсутствии информации с первичного рынка о стоимости транспортного
средства - объекта независимой технической экспертизы расчет его рыночной
стоимости в новом состоянии проводится на основе информации о рыночной
стоимости нового аналогичного транспортного средства по формуле:


(8)
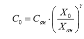
где С0 - рыночная стоимость транспортного средства -
объекта независимой технической экспертизы в новом состоянии, тыс. руб.;
С ан - рыночная
стоимость нового транспортного средства, которое является аналогом
транспортного средства - объекта независимой технической экспертизы, тыс. руб.;
Х0, Х ан
- соответственно значения функциональной, конструктивно-
технической или эксплуатационной характеристики X, по
которой сравниваются транспортное средство - объект независимой технической
экспертизы и его аналог.
Расчет рыночной стоимости С ан транспортного средства -
аналога транспортного средства - объекта независимой технической экспертизы
проводится по формуле 7.
При наличии цен на несколько аналогов объекта независимой
технической экспертизы, принадлежащих к конкретному виду транспортных средств,
рекомендуется окончательно в качестве аналога выбирать транспортное средство,
относящееся к тому же семейству транспортных средств, что и объект экспертизы,
и имеющее наиболее близкие значения прочих конструктивных, функциональных и
эксплуатационных характеристик.
4.2
Определение физического износа транспортного средства с учетом возраста и
пробега с начала эксплуатации
Расчет физического износа транспортного средства с учетом
возраста и пробега с начала эксплуатации проводится по формуле:
(9)
где е - основание натуральных логарифмов, е ≈
2,72
Ω - функция, зависящая от
возраста и фактического пробега транспортных средств с начала эксплуатации.
Вид функции для различных видов транспортных средств на
товарных рынках транспортных средств Российской Федерации определяется в
соответствии с Таблицей 6.
Таблица 6 - Параметрическое описание функции Ω, зависящей от фактического возраста Tф (лет) и фактического
пробега с начала эксплуатации Lф (тыс. км)
|
№
|
Вид
транспортного средства
|
Вид зависимости
Ω
|
|
1
|
Легковые
автомобили отечественные
|
0,07・Tф+0,0035・Lф
|
|
2
|
Грузовые
бортовые автомобили отечественные
|
0,1・Тф+0,003・Lф
|
|
3
|
Тягачи
седельные отечественные
|
0,09・Тф+0,002・Lф
|
|
4
|
Самосвалы
отечественные
|
0,15・Tф+0,0025・Lф
|
|
5
|
Специализированные
и специальные отечественные
|
0,14・Тф+0,002・Lф
|
|
6
|
Автобусы
отечественные
|
0,16・Тф+0,001・Lф
|
|
7
|
Легковые
автомобили европейского производства
|
0,05・Tф+0,0025・Lф
|
|
8
|
Легковые
автомобили американского производства
|
0,055・Тф+0,003・Lф
|
|
9
|
Легковые
автомобили азиатского производства (кроме Японии)
|
0,065・Тф+0,0032・Lф
|
|
10
|
Легковые
автомобили производства Японии
|
0,045・Tф+0,002・Lф
|
|
11
|
Грузовые автомобили
зарубежного производства
|
0,09・Тф+0,002・Lф
|
|
12
|
Автобусы
зарубежного производства
|
0,12・Тф+0,001・Lф
|
Определение физического износа транспортного средства с
учетом возраста и пробега с начала эксплуатации.
В данном случае, для TOYOTA AVENSIS - возраст, Тф = 7,30 лет
(с даты выпуска); пробег Lф =129,044 тыс. км (по одометру)
Ω=0,045・Tф+0,002・Lф=0,045*7,30+0,002*129,044=0,59
Иф=100* (1-
) =44,6 %
Физический износ автомобиля TOYOTA AVENSIS, 2005 г/в составляет 44,6 %.
4.3
Определение стоимости ремонта поврежденного транспортного средства
Стоимостью ремонта транспортного средства для целей
независимой технической экспертизы является стоимость устранения повреждений,
причиной которых был страховой случай. Перечень указанных повреждений
определяется на основе результатов независимой технической экспертизы по
установлению причин повреждений.
Расчет стоимости ремонта поврежденного транспортного средства
проводится по формуле:
(10)
где n - количество повреждений транспортного средства,
обусловленных страховым случаем;

- рыночная стоимость проведения работ по устранению i-того
повреждения транспортного средства, обусловленного страховым случаем, тыс.
руб.;

- рыночная
стоимость материалов, необходимых для устранения i-
того повреждения транспортного средства, обусловленного страховым
случаем, тыс. руб.;
- рыночная стоимость в новом состоянии всех элементов
транспортного средства, подлежащих замене при устранении i-того
повреждения транспортного средства, обусловленного страховым случаем, тыс. руб.
Стоимость ремонта рассчитывается для условий конкретных товарных
рынков запасных частей к транспортным средствам, материалов для ремонта, а
также услуг по ремонту транспортных средств, соответствующих месту
государственной регистрации транспортного средства потерпевшего. Границы
товарных рынков указанных видов продукции и услуг определяются в соответствии с
Методическими рекомендациями по определению границ и объемов товарных рынков.
Стоимость проведения работ по устранению i-того повреждения
транспортного средства, обусловленного страховым случаем, рассчитывается по
формуле:
(11)
где 
- рыночная стоимость одного нормо-часа работ, необходимых для
устранения i-того повреждения транспортного средства, обусловленного
страховым случаем, тыс. руб.;

- трудоемкость
работ, необходимых для устранения i-того повреждения транспортного
средства, обусловленного страховым случаем, нормо-час.
Рыночная стоимость одного нормо-часа работ, необходимых для
устранения i-того повреждения транспортного средства, обусловленного
страховым случаем, определяется по результатам статистического выборочного
наблюдения или по данным справочных материалов. Выборочное наблюдение
проводится в границах товарного рынка услуг по ремонту транспортных средств на
дату страхового случая в месте регистрации транспортного средства потерпевшего
среди юридических и физических лиц, зарегистрированных в установленном порядке
и выполняющих работы по ремонту транспортных средств в соответствии с
требованиями Правил оказания услуг (выполнения работ) по техническому
обслуживанию и ремонту автомототранспортных средств.
Стоимость одного нормочаса определяется как среднее арифметическое
результатов выборочного наблюдения. Расчёт средневзвешенной стоимости нормочаса
трудоёмкостей работ с учётом регионального рынка услуг по ремонту АМТС
импортного производства, для автомобиля TOYOTA AVENSIS 2005 г/в. Задаются следующие параметры
результатов расчета: доверительная вероятность - 0,90, относительная ошибка -
15%, необходимый объем выборки - 5. На основании результатов статистического
наблюдения рассчитывается средневзвешенное значение стоимости одного нормо -
часа j - го вида по ремонту транспортных средств по формуле:
, (12)
где
- средневзвешенное значение стоимости одного
нормо-часа работ j-го вида по ремонту транспортных средств, р.;
- количество единиц статистического наблюдения
по стоимости одного нормо-часа работ по ремонту транспортных средств j-го вида;
- значение цены одного нормо-часа работ по
ремонту транспортных средств j-го вида для
-й единицы статистического наблюдения, р.;
- доля работ по ремонту транспортных средств j-го вида, выполняемых
исполнителем услуг по ремонту, в общем объеме этого вида работ на рынке для
-й единицы статистического
наблюдения, %.
Таблица 7 - Установление стоимости одного нормо-часа работ по
ремонту транспортного средства
|
Наименование j-го вида работ по ремонту транспортных
средств КУЗОВНЫЕ, МАЛЯРНЫЕ
|
|
Вид (марка,
модель, модификация) транспортного средства ИНОМАРКА
|
|
Географические
границы рынка услуг по ремонту транспортных средств г. ОМСК
|
|
хозяйствующие
субъекты, действующие на рынке услуг по ремонту транспортных средств
|
Цена
нормо-часа, р.
|
Доля объема
услуг хозяйствующего субъекта на рынке, %
|
Характеристика
условий обращения услуг, ограничивающих возможности их получения
|
|
полное
наименование (с указанием организационно-правовой формы)
|
адрес (место
нахождения)
|
|
|
|
|
СТО Виадук
|
г. Омск, ул.10
лет Октября, 195 а
|
550
|
20
|
-
|
|
СТО Август
|
г. Омск, ул.4-я
Транспортная,12
|
500
|
20
|
-
|
|
СТО Ривьера
|
г. Омск, ул.
Суворова,
|
600
|
15
|
-
|
|
СТО Карме
|
г. Омск, ул.10
лет Октября, 215
|
650
|
25
|
-
|
|
СТО Автодом
|
г. Омск, ул.
Тарская, 144
|
500
|
20
|
-
|
Доля каждого хозяйствующего субъекта на рынке услуг по
ремонту транспортных средств может определяться по величине доходов от такой
деятельности или показателям, определяющим объем предоставляемых услуг
(количество постов для ремонта с учетом сменности работы и т.д.).
В связи с отсутствием данных об объеме услуг хозяйствующих
субъектов в стоимостном выражении доля услуг каждого субъекта на рынке
определяется в соответствии с показателями, определяющими объем предоставляемых
услуг в натуральном выражении (таблица 8).
Таблица 8 - Объем предоставляемых услуг в натуральном
выражении
|
Показатели
характеризующие объем услуг
|
Хозяйствующие
субъекты, действующие на рынке услуг по ремонту транспортных средств
|
|
СТО Виадук
|
СТО Ривьера
|
СТО Карме
|
СТО Автодом
|
|
Число рабочих
постов
|
1
|
4
|
2
|
1
|
2
|
|
Количество
рабочих дней в неделю
|
6
|
7
|
7
|
5
|
6
|
|
Произведение
количества постов на количество рабочих дней
|
6
|
28
|
14
|
5
|
12
|
|
Относительная
доля %
|
20
|
20
|
15
|
25
|
20
|
Средневзвешенное значение стоимости одного нормо-часа работ j-го вида по ремонту
транспортных средств равно (округленно) - 560 р.
Расчет стоимости одной единицы каждого вида материалов,
используемых при ремонте.
Виды и количество материалов, используемых для ремонта
транспортных средств, определяются в соответствии с нормативно-технической
документацией предприятий-изготовителей транспортных средств, производителей
материалов, а также в соответствии с видом работ по ремонту транспортных
средств (руководства по текущему ремонту транспортных средств, технологии
текущего ремонта транспортных средств и т.д.). В стоимости материалов основную
долю составляют затраты на материалы, используемые для окраски, в состав
которых входят краска (эмаль), прозрачный лак, шпатлевка, грунтовка,
порозаполнители, камнезащитная мастика (антигравийное покрытие), отвердитель и
растворитель, шлифовальная шкурка, чистящие и вспомогательные средства,
материалы для укрывания неокрашиваемых поверхностей, респираторы, обтирочный
материал.
Статистическое наблюдение с целью установления стоимости
материалов для ремонта транспортных средств проводится в отношении юридических
лиц и индивидуальных предпринимателей:
) расположенных в предварительно определенных географических
границах рассматриваемого рынка по продаже материала у-го вида для ремонта
транспортных средств;
) зарегистрированных в установленном порядке и осуществляющих
свою деятельность в соответствии с Правилами продажи отдельных видов товаров.
Информация при проведении статистического наблюдения с целью
установления стоимости одной единицы измерения материала у-го вида для ремонта
транспортных средств приведена в таблице 9-10.
Задаются следующие параметры результатов расчета с целью
установления стоимости одной единицы измерения материала у-го вида для ремонта
транспортных средств: доверительная вероятность - 0,80, относительная ошибка -
20%, необходимый объем выборки - 2.
Таблица 9 - Краска металлик
|
Наименование
материала y-го вида краски металлик
|
|
Единица
измерения материала y-го вида, кг
|
|
Марка (код), а
также другие идентификационные параметры материала y-го вида, официально установленные государственными органами
|
|
Географические
границы рынка услуг по ремонту транспортных средств г. Омск
|
|
хозяйствующие
субъекты, действующие на рынке услуг по ремонту транспортных средств
|
Цена, р.
|
Доля объема
услуг хозяйствующего субъекта на рынке, %
|
Характеристика
условий обращения материала на рынке, ограничивающих возможности их
приобретения
|
|
полное наименование
(с указанием организационно-правовой формы)
|
адрес (место
нахождения)
|
|
|
|
|
Химмарк
|
г. Омск, ул.4
Транспортная
|
2000
|
50
|
-
|
|
Автоколор
|
г. Омск, ул.
Арктическая
|
2200
|
50
|
-
|
Доля каждого хозяйствующего субъекта на рынке продаж
материала у-го вида для ремонта транспортных средств может определяться по
величине доходов от данной деятельности или по показателям, определяющим объем
продаж (площади торгово-складских помещений и т.д.).
По результатам статистического наблюдения рассчитывается
средневзвешенное значение стоимости одной единицы измерения материала у-го вида
по формуле (6):
(13)
где
- средневзвешенное значение стоимости
одной единицы измерения материала у-го вида, р.;
z - количество единиц статистического наблюдения по стоимости одной
единицы измерения материала у-го вида для ремонта транспортных средств;
- значение цены одной единицы измерения материала у-го вида для
ремонта транспортных средств для
-й единицы статистического наблюдения, р.;
- доля объема продаж материала у-го вида по ремонту транспортных
средств, осуществляемых хозяйствующим субъектом, в общем объеме продаж этого
вида материла на рынке для
-й единицы статистического наблюдения, %.
Согласно таблице 9 производим расчет средневзвешенного значения
стоимости краски металлик по формуле (6):
Средневзвешенное значение стоимости краски металлик - 2100 р.
Таблица 10 - Комплект сопутствующих материалов
|
Наименование
материала y-го вида КОМПЛЕКТ СОПУТСТВУЮЩИХ
МАТЕРИАЛОВ
|
|
Единица
измерения материала y-го вида
КОМПЛЕКТ НА ОДНУ ДЕТАЛЬ
|
|
Марка (код), а
также другие идентификационные параметры материала y-го вида, официально установленные государственными органами
|
|
Географические
границы рынка услуг по ремонту транспортных средств г. ОМСК
|
|
Хозяйствующие
субъекты, действующие на рынке услуг по ремонту транспортных средств
|
Цена, р.
|
Доля объема
услуг хозяйствующего субъекта на рынке, %
|
Характеристика
условий обращения материала на рынке, ограничивающих возможности их
приобретения
|
|
полное
наименование (с указанием организационно-правовой формы)
|
адрес (место
нахождения)
|
|
|
|
|
ООО Краска 1
|
г. Омск, ул.4
Транспортная
|
1000
|
50
|
-
|
|
ООО Краска 2
|
г. Омск, ул.
Арктическая
|
1200
|
50
|
-
|
Согласно таблице 10 производим расчет средневзвешенного
значения стоимости комплекта сопутствующих материалов по формуле (13):
Средневзвешенное значения стоимости комплекта сопутствующих
материалов на одну деталь - 1100 р.
4.4
Установление стоимости ремонта объекта экспертизы
Результатом установления стоимости ремонта транспортного
средства, является рассчитанное значение стоимости ремонта поврежденного
транспортного средства как суммарной стоимости устранения всех повреждений,
причиной которых является страховой случай, с учетом установленных для каждого
повреждения методов, видов работ, технологий и трудоемкости ремонта. Расчет
стоимости ремонта поврежденного транспортного средства проводится по формуле
(14):
где
- стоимость ремонта поврежденного
транспортного средства, р.;
n - количество повреждений транспортного средства, обусловленных
страховым случаем;
m - количество видов работ по ремонту транспортного средства,
необходимых для устранения i-го
повреждения, обусловленного страховым случаем;
- рыночная стоимость одного нормо-часа работы по ремонту j-го вида, выполнение которой необходимо при устранении i-го повреждения транспортного средства обусловленного
страховым случаем, р.;
- трудоемкость работы по ремонту j-го вида, выполнение которой необходимо при устранении i-го повреждения транспортного средства, обусловленного
страховым случаем, нормо-час;
k - количество видов материала, необходимых для устранения i-го повреждения транспортного средства, обусловленного
страховым случаем;
- рыночная стоимость одной единицы измерения (м. кв. м, кг и т,
д.) материала y-го вида, который должен быть использован
при устранении i-го повреждения транспортного средства,
обусловленного страховым случаем, р.;
- норма расхода материала y-го вида, который должен быть использован при устранении i-го повреждения транспортного средства, обусловленного
страховым случаем, единица материала/ремонтная единица транспортного средства
(деталь, узел агрегат кг м, кв. м и т.д.);
- количество ремонтных единиц (деталь, узел, агрегат, кг, м, кв.
м. и т.д.), подвергаемых ремонту при устранении i-го повреждения транспортного средства, обусловленного страховым
случаем, с использованием материала у-го вида;
- количество несъемных элементов транспортного средства,
подлежащих замене при устранений i-го повреждения
транспортного средства, обусловленного страховым случаем;
- рыночная стоимость в новом состоянии I-го несъемного элемента транспортного средства, подлежащего замене
при устранении i-го повреждения транспортного средств
обусловленного страховым случаем, р.;
- коэффициент, учитывающий дополнительную стоимость крепежных
деталей (болты гайки, винты, стяжки, шайбы, шплинты, заклепки, пистоны,
пластмассовые крепежные материалы, прокладки и т.д.) при проведении работ по
замене поврежденных съемных элементов транспортного средства (принимается
1,02):
- рыночная стоимость в новом состоянии
-го съемного элемента транспортного
средства, подлежащего замене при устранении i-го повреждения транспортного средства обусловленного страховым
случаем, р.;
- стоимость 1 нормо-часа подготовительно-заключительных работ по
ремонту транспортного средства в целом, р.;
- трудоемкость подготовительно-заключительных работ по ремонту
транспортного средства в целом, нормо-час.
Стоимость ремонта поврежденного транспортного средства
рассчитывается;
) на дату страхового случая;
) для условий рынков запасных частей к транспортным средствам,
материалов для ремонта, а также услуг по ремонту транспортных средств,
соответствующих месту государственной регистрации транспортного средства
потерпевшего.
Рыночная стоимость нормо-часа работ, материалов и запасных частей
(съемных и несъемных элементов), необходимых для устранения повреждения
транспортного средства, определяйся по результатам статистического наблюдения в
предварительно определенных географических границах рынков товаров и услуг в
отношении транспортных средств в месте государственной регистрации
транспортного средства потерпевшего.
Расчет стоимости ремонта транспортного средства на основании ранее
полученных данных приведен в таблице 11.
Таблица 11 - Расчет стоимости ремонта транспортного средства
|
Наименование
|
Стоимость руб.
|
Нормо-час
|
Кол-во
|
руб.
|
|
Стоимость
ремонтных работ
|
|
Бампер задний -
с/у
|
560,00
|
0,5 0
|
1,00
|
280,00
|
|
Крыло заднее
левое - ремонт
|
560,00
|
2,00
|
1,00
|
1120,00
|
|
Брызговик
задний левый - с/у
|
560,00
|
0,10
|
1,00
|
56,00
|
|
Дверь задняя
левая - с/у вкл. Разборку сборку
|
560,00
|
1,00
|
1,00
|
560,00
|
|
Фонарь задний
левый - с/у
|
560,00
|
0, 20
|
1,00
|
112,00
|
|
Итого:
Стоимость ремонтных работ
|
2128,00
|
|
Стоимость
работ по окраске
|
|
Крыло заднее
левое - окраска
|
560,00
|
1,80
|
1,00
|
1008,00
|
|
Дверь задняя
левая - окраска
|
560,00
|
2,40
|
1,00
|
1 344,00
|
|
Бампер задний -
окраска
|
560,00
|
2, 20
|
1,00
|
1232,00
|
|
Итого:
Стоимость работ по окраске
|
3584,00
|
|
Стоимость
ремонтных работ:
|
5712,00
|
|
Стоимость
материалов
|
|
Краска металлик
|
2100,00
|
|
0,90
|
1890,00
|
|
Сопутствующие
материалы
|
1 100,00
|
|
2,00
|
2200,00
|
|
Подбор колера
|
1000,00
|
|
1,00
|
1000,00
|
|
Итого:
Стоимость материалов
|
5090,00
|
|
Стоимость
ремонта транспортного средства составляет:
|
10802,00
|
4.5 Ограничения
и пределы применения полученных результатов
Результаты расчета стоимости ремонта поврежденного
транспортного средства действительны для условий товарных рынков транспортных
средств, запасных частей к транспортным средствам, материалов для ремонта, а
также услуг по ремонту транспортных средств города Омска.
Дата, на которую определяется стоимость ремонта транспортного
средства, - 15 октября 2012г.
Экспертное заключение достоверно исключительно в полном
объеме и может использоваться только в соответствии с целями экспертизы,
отдельные части не могут являться самостоятельными документами.
У эксперта-техника не было личной заинтересованности, или
какой бы то ни было предвзятости при проведении экспертизы.
Размер оплаты эксперту-технику за проведение экспертизы
никоим образом не зависел от результатов экспертизы.
В процессе проведения экспертизы Эксперт-техник исходил из
достоверности устной информации и всей документации по объекту экспертизы,
предоставленной в его распоряжение Заказчиком. Иная информация, использованная
при определении итоговой величины стоимости объекта оценки, также была получена
из достоверных, по мнению Эксперта-техника, источников. Тем не менее,
Эксперт-техник не может принять на себя ответственность за точность этих
данных, поэтому в экспертизе по возможности, указываются все использованные
источники информации.
Основными источниками информации, использованными экспертизе,
стали данные открытых электронных и печатных изданий, где в режиме свободного
доступа размещаются сведения о станциях технического обслуживания и магазинах
по продаже запасных частей к автомобилям, данными которых Эксперт-техник
руководствовался при проведении экспертизы. Пользователь экспертизы, при
желании, может самостоятельно ознакомиться с данной информацией по адресам и
ссылкам, указанным в экспертизе. Эксперт-техник подтверждает, что на момент
проведения экспертизы данная информация в указанных источниках существовала.
Однако он не несет ответственность за дальнейшие изменения содержания данных
источников.
Мнение Эксперта-техника относительно стоимости ремонта
является действительным только на дату оценки. Эксперт-техник не принимает на
себя никакой ответственности за изменение экономических, юридических и иных
факторов, которые могут возникнуть после этой даты и повлиять на рыночную
ситуацию, а, следовательно, и на стоимость объекта экспертизы.
Экспертиза содержит профессиональное мнение Эксперта-техника
относительно стоимости объекта экспертизы и не является гарантией того, что
объект будет восстановлен по цене, равной указанной в проведенной экспертизе.
Итоговая величина стоимости в настоящей экспертизе выражена в
валюте Российской Федерации (рубли).
5. Выводы по
экспертизе технического состояния транспортного средства
При проведении экспертизы технического состояния
транспортного средства TOYOTA AVENSIS были получены следующие результаты:
) произведена идентификация объекта экспертизы;
) идентификационные характеристики и параметры объекта
экспертизы соответствуют записям в регистрационных и других документах;
) номенклатура всех повреждений транспортного средства
потерпевшего, обусловлены страховым случаем, наступившем в результате ДТП между
автомобилями TOYOTA AVENSIS и ВАЗ21081 15 октября 2012г.;
) определена технология и объем ремонта объекта экспертизы;
) произведен расчет стоимости ремонта транспортного средства,
включающего работы по устранению всех повреждений, обусловленных страховым
случаем;
) стоимость ремонта объекта экспертизы составляет 10802,00
(Десять тысяч восемьсот два) рубля;
) стоимость ремонта не превышает стоимость транспортного
средства на дату страхового случая в неповрежденном состоянии.
Список
использованных источников
1.
Федеральный закон Российской Федерации "Об обязательном страховании
гражданской ответственности владельцев транспортных средств".25 апреля
2002 г. № 40-ФЗ.
.
Постановление Правительства Российской Федерации от 24 апреля 2003 г. № 238
"Об организации независимой технической экспертизы транспортного
средства".
.
ИСО 3780-83. Автомобили. Международный идентификационный код изготовителей
(WMI).
.
ИСО 4030-83. Идентификационный номер транспортного средства (VIN). Место
расположения и способ нанесения.
.
ОСТ 37.001.269-96. Транспортные средства. Маркировка.
.
Методические рекомендации по проведению независимой технической экспертизы
транспортного средства при ОСАГО.001МР/СЭ. Утверждены НИИАТ Минтранса России,
РФЦСЭ при Минюсте России, ЭКЦ МВД Росси и НПСО "ОТЭК". М., 2004.
.
Андрианов Ю.В. Оценка стоимости подвижного состава автомобильного транспорта.
Рекомендовано Минобразования России в качестве учебного пособия для студентов
высших учебных заведений, обучающихся по экономическим специальностям, а также
для подготовки экспертов-техников по независимой технической экспертизе
транспортных средств. М.: Международная академия оценки и консалтинга. 2003.
Приложения
Приложение А
Заявление о проведении независимой технической экспертизы
транспортного средства В общество с ограниченной ответственностью
"Независимая оценка и экспертиза".
Прошу заключить договор на проведение независимой технической
экспертизы транспортного средства 1. Заказчик: Баженов Олег Валерьевич 1.1
Страховщик ОСАО "Ингосстрах", 644046. г. Омск, ул. Проспект Маркса,
18.
.2 Потерпевший Баженов Олег Валерьевич 1.3 Дата рождения
23.05.1975
.4 Место рождения г. Омск 1.5 Место жительства г. Омск 2.
Объекты экспертизы:
1.
Транспортное
средство потерпевшего:
|
Тип
|
Автомобиль
легковой
|
|
Марка, модель
|
TOYOTA AVENSIS
|
|
Категория
|
B
|
|
Год выпуска
|
2005
|
|
Регистрационный
знак (транзит)
|
МР174Е/77 RUS
|
|
Модель, номер
двигателя
|
1AZ/1846515
|
|
Идентификационный
номер (VIN)
|
SB1BJ56L30E060155
|
|
Номер кузова
|
SB1BJ56L30E060155
|
|
Номер шасси
|
отсутствует
|
|
Цвет кузова
|
Темно-красный
металлик
|
|
Мощность
двигателя, кВт/л. с
|
108/147
|
|
Объем двигателя
|
1998
|
|
Пробег
(показания одометра), км
|
129044
|
. Вопросы, требующие разрешения в процессе проведения
независимой технической экспертизы:
Идентификация объекта экспертизы.
Подлинность маркировочных и других идентификационных
характеристик, соответствие их регистрационным и другим документам в отношении
объекта экспертизы.
Номенклатура всех повреждений транспортного средства
потерпевшего.
Причины всех повреждений транспортного средства потерпевшего.
Номенклатура повреждений транспортного средства потерпевшего,
обусловленных страховым случаем.
Достоверное установление факта наличия или отсутствия
страхового случая.
Технологии, методы и объем (трудоемкость) ремонта
(устранения) повреждений транспортного средства потерпевшего, обусловленных
страховым случаем.
Стоимость ремонта (устранения) повреждений транспортного
средства потерпевшего, обусловленных страховым случаем.
Прилагаемые документы: ПТС 77ТН328021, паспорт
гражданина РФ 5203 428244, справка о ДТП.
Дата 14 ноября 2012 г.
Подпись _________________________Баженов
Приложение Б
Договор № 1467-9197
на проведение независимой технической экспертизы
транспортного средства г. Омск"14" ноября 2012 г.
Общество с ограниченной ответственностью "Независимая
оценка и экспертиза" именуемое в дальнейшем "Исполнитель", в
лице директора Шпакова Евгения Валерьевича действующего на основании устава с
одной стороны, и Баженов Олег Валерьевич именуемый в дальнейшем
"Заказчик", с другой стороны, заключили настоящий договор о
нижеследующем:
Предмет договора
.1 Заказчик поручает, а Исполнитель принимает на себя обязательства
по проведению независимой технической экспертизы транспортного средства (далее
по тексту - экспертиза).
.2 Объекты экспертизы - Транспортное средство потерпевшего
|
Тип
|
Автомобиль
легковой
|
|
Марка, модель
|
TOYOTA AVENSIS
|
|
Категория
|
B
|
|
Год выпуска
|
2005
|
|
Регистрационный
знак (транзит)
|
МР174Е/77 RUS
|
|
Модель, номер
двигателя
|
1AZ/1846515
|
|
Идентификационный
номер (VIN)
|
SB1BJ56L30E060155
|
|
Номер кузова
|
SB1BJ56L30E060155
|
|
Номер шасси
|
отсутствует
|
|
Цвет кузова
|
Темно-красный
металлик
|
|
Мощность
двигателя, кВт/л. с
|
108/147
|
|
Объем двигателя
|
1998
|
|
Пробег
(показания одометра), км
|
129044
|
1.3. Перечень работ, выполняемых по договору:
.3.1. Проведение осмотра поврежденного транспортного
средства (с фотографиями поврежденного транспортного средства) с выездом на место
нахождения поврежденного транспортного средства.
1.3.2. Составление экспертного заключения.
1.4 Вопросы, требующие разрешения в процессе проведения
экспертизы:
Идентификация объекта экспертизы.
Подлинность маркировочных и других идентификационных характеристик,
соответствие их регистрационным и другим документам в отношении объекта
экспертизы.
Номенклатура всех повреждений транспортного средства
потерпевшего.
Причины всех повреждений транспортного средства потерпевшего.
Номенклатура повреждений транспортного средства потерпевшего,
обусловленных страховым случаем.
Достоверное установление факта наличия или отсутствия
страхового случая.
Технологии, методы и объем (трудоемкость) ремонта
(устранения) повреждений транспортного средства потерпевшего, обусловленных
страховым случаем.
Стоимость ремонта (устранения) повреждений транспортного
средства потерпевшего, обусловленных страховым случаем.
Дополнительные вопросы, требующие разрешения с учетом
результатов экспертизы: нет 2. Права и обязанности Исполнителя.
.1 Исполнитель принимает на себя следующие обязанности:
.1.1 Провести экспертизу транспортного средства, указанного в
п.1.2 настоящего договора, в соответствии с требованиями законодательства
Российской Федерации, нормативными, методическими и другими документами,
утверждаемыми в установленном порядке.
.1.2 Назначать по данному договору эксперта-техника,
ответственного за проведение этой экспертизы.
.1.3 Сообщать Заказчику о невозможности своего участия в
проведении экспертизы вследствие возникновения следующих обстоятельств:
Исполнитель является учредителем, собственником, акционером,
страхователем или должностным лицом страховщика;
Исполнитель имеет прямую или косвенную заинтересованность в
результатах экспертизы;
Эксперт-техник или хотя бы один из экспертов-техников
Исполнителя состоит в близком родстве или свойстве с потерпевшим;
Заказчик является учредителем, собственником, акционером или
должностным лицом Исполнителя.
.1.4 Сообщить Заказчику о получении следующих промежуточных
результатов экспертизы и приостановить выполнение работ по договору:
Несоответствие фактических идентификационных данных
идентификационным данным, представленным в регистрационных и иных документах, и
наличие фактов изменения идентификационных параметров на транспортном средстве;
Установление факта проведения до независимой технической
экспертизы ремонта поврежденного транспортного средства или утилизация его
остатков, которые не позволяет достоверно установить наличие и характер
технических повреждения транспортного средства;
Отсутствие технических повреждений, обусловленных заявляемых
страховым случаем.
.1.5 Составить экспертное заключение в соответствии с
требованиями законодательства Российской Федерации, нормативными, методическими
и другими документами, утверждаемыми в установленном порядке.
.1.6. Обеспечивать сохранность документов и объектов
исследования, получаемых от Заказчика и третьих лиц в ходе проведения
экспертизы.
.1.7 Не разглашать конфиденциальную информацию, полученную в
ходе проведения экспертизы, и результаты экспертизы, за исключением случаев,
предусмотренных законодательством Российской Федерации.
.1.8 Вести регистрацию и учет всех заключенных договоров о
проведении экспертизы и выданных экспертных заключений.
.1.9 Хранить копии экспертных заключений и другой документации,
связанной с проведением экспертизы, в течение трех лет, если более длительный
срок хранения не установлен законодательством Российской Федерации.
.2 Исполнитель имеет право:
запрашивать у Заказчика и третьих лиц информацию, необходимую
для проведения экспертизы;
получать от Заказчика разъяснения и дополнительные сведения,
необходимые для производства экспертизы;
привлекать с письменного согласия Заказчика к участию в
проведении экспертизы других экспертов-техников (экспертные организации) и
специалистов. Привлекаемый эксперт-техник (экспертная организация) не может
участвовать в проведении экспертизы по тем же обстоятельствам, что и
Исполнитель в соответствии с действующим законодательством.
. Права и обязанности Заказчика.
.1 Заказчик принимает на себя следующие обязанности:
.1.1 Предоставить Исполнителю по его запросу безвозмездно и
своевременно всю имеющуюся у него информацию, в том числе документально
подтвержденную, которая может иметь значение для экспертизы.
.1.2 Согласовать с Исполнителем дату, время и место
проведения осмотра поврежденного транспортного средства и сообщить об участии в
нем заинтересованных лиц.
.1.3 Оплатить работу Исполнителя в соответствии с условиями
настоящего договора. Прекращение работ по договору по желанию Заказчика в связи
с получением промежуточных результатов экспертизы, изложенных в п.2.1.3
настоящего договора, не может являться основанием для пересмотра установленной
договорной цены.
.1.4 Представить транспортное средство для осмотра в чистом
виде. В случае проведения осмотра по месту нахождения поврежденного
транспортного средства с выездом эксперта-техника обеспечить необходимые
условия для качественного осмотра.
.2 Заказчик имеет право:
.2.1 Получать от Исполнителя всю необходимую информацию об
используемом методическом и информационном обеспечении экспертизы.
.2.2 Давать письменные распоряжения Исполнителю о прекращении
или продолжении работ по договору при сообщении Исполнителем данных
промежуточных результатов экспертизы, изложенных в п.2.1.3 настоящего договора.
.2.3 Требовать проведения осмотра транспортного средства с
использованием фотосъемки.
. Дополнительные условия.
.1 Споры по данному договору разрешаются в соответствии с
законодательством Российской Федерации.
.2 Договор может быть расторгнут по инициативе Исполнителя
при невозможности его участия в проведении экспертизы вследствие возникновения
обстоятельств, препятствующих проведению объективной экспертизы транспортного
средства.
. Стоимость работ, сроки и порядок расчетов 5.1 Общая
стоимость работ по настоящему договору составляет 1500 (одна тысяча пятьсот)
рублей.
.2 Заказчик после заключения договора вносит авансовый платеж
в размере 1000 (одна тысяча) рублей.
.3 Услуги исполнителя по настоящему договору оплачиваются
Заказчиком в течении 5 (пяти) банковских дней с момента получения счета и
подписанного сторонами настоящего договора акта приемки выполненных работ.
.4 В случае, если экспертное заключение не востребуется
Заказчиком в течение 10 рабочих дней после срока его представления
Исполнителем, установленного в п.7.1 настоящего договора, сумма авансового
платежа засчитывается как оплата произведенных услуг.
. Ответственность сторон.
.1 За неисполнение либо ненадлежащее исполнение обязательств
по договору Исполнитель несет ответственность, предусмотренную гражданским
законодательством Российской Федерации и договором.
.2 За составление заведомо ложного экспертного заключения
эксперт-техник несет ответственность, предусмотренную законодательством
Российской Федерации.
.2 В случае невыполнения условий п.7.1 настоящего договора
Исполнитель уплачивает штраф в размере 0,5% от договорной цены за каждый день
просрочки.
. Срок действия договора, условия его изменения действия и
расторжения.
.1 Срок действия: начало 14 ноября 2012г. окончание 24 ноября
2012г.
.2 Изменение договора производится по соглашению сторон.
. Юридические и платежные реквизиты сторон ИСПОЛНИТЕЛЬ
ЗАКАЗЧИК
|
ООО
"Независимая оценка и экспертиза" ИНН 550404320153 ОГРН
308554330200308 Юридический адрес: 644046 г. Омск ул. Пушкина 115, офис 2,
тел/факс: (3812) 306-278 р/сч 40802810000310001462,к/сч
30101810800000000828,банк - филиал Газпромбанка (ОАО) в г. Омске, БИК
0452799828, ИНН 7744001497, КПП 550502001
|
Баженов Олег
Валерьевич г. Омск, ул. Химиков, д. 20, кв.128.
|
|
Директор /Е.В.
Шпаков/
|
__________________________
М. П.
Приложение В
АКТ
ОСМОТРА ТРАНСПОРТНОГО СРЕДСТВА
. Основание для проведения осмотра: договор № 1467-9197 от 14
ноября 2012 г.
Дата осмотра: "14" ноября 2012 г.
Начало осмотра: 11 ч 20 мин. Окончание осмотра 11 ч.30 мин.
Место осмотра: г. Омск, ул. Пушкина 115.
Мною, экспертом-техником: Шпаковым Евгением Валерьевичем,
произведен осмотр транспортного средства потерпевшего Собственник: Баженов Олег
Валерьевич, г. Омск, ул. Химиков, д. 20, кв. 128.
2. Объект осмотра - транспортное средство (данные
регистрационных документов):
|
Тип
|
Автомобиль
легковой
|
|
Марка, модель
|
TOYOTA AVENSIS
|
|
Категория
|
B
|
|
Год выпуска
|
2005
|
|
Регистрационный
знак (транзит)
|
МР174Е/77 RUS
|
|
Модель, номер
двигателя
|
1AZ/1846515
|
|
Идентификационный
номер (VIN)
|
SB1BJ56L30E060155
|
|
Номер кузова
|
SB1BJ56L30E060155
|
|
Номер шасси
|
отсутствует
|
|
Цвет кузова
|
Темно-красный
металлик
|
|
Мощность
двигателя, кВт/л. с
|
108/147
|
|
Объем двигателя
|
1998
|
|
Пробег
(показания одометра), км
|
129044
|
. Прочие данные:
Паспорт транспортного средства: серия 77ТН № 328021
Свидетельство о регистрации: нет Страховой полис:
ВВВ0618866814
Владелец: Баженов Олег Валерьевич Адрес владельца: г. Омск,
ул. Химиков, д. 20, кв. 128.
Дата повреждения транспортного средства: 15.10.2012.
Пробег на дату осмотра (тыс. км.): 129,044 установлен по
одометру 3. При осмотре транспортного средства установлено:
|
№ п/п
|
Идентификационные
характеристики и параметры
|
Фактические
значения, описания и характеристики, установленные в результате осмотра
|
|
Тип
транспортного средства (кузова)
|
Легковой
|
|
Марка (модель,
модификация) объекта экспертизы
|
TOYOTA AVENSIS
|
|
Внесение
изменений в конструкцию
|
Отсутствуют
|
|
Государственный
регистрационный номер
|
МР 174 Е 77
|
|
Идентификационный
номер (VIN)
|
SB1BJ56L30E060155
|
|
Знак
соответствия
|
Соответствует
установленным требованиям
|
|
Товарный знак
|
Соответствует
установленным требованиям
|
|
Двигатель
|
|
8.1
|
Тип двигателя
|
Бензиновый,
инжекторный
|
|
8.2
|
Модель
двигателя
|
|
|
8.3
|
Номер двигателя
|
1AZ-1846515
|
|
9.
|
Номер шасси
(рамы)
|
-
|
|
10.
|
Номер кузова
(коляски)
|
SB1BJ56L30E060155
|
|
11.
|
Цвет
лакокрасочного покрытия
|
Темно-красный
|
|
12.
|
Тип
лакокрасочного покрытия
|
Металлик
|
|
13.
|
Аэрография
|
Отсутствует
|
|
14.
|
Данные основной
маркировки
|
Признаков
изменения маркировки не обнаружено
|
|
15.
|
Дополнительные
сведения об идентификации транспортного средства
|
Признаков
изменения маркировки не обнаружено, идентификационные данные ТС соответствуют
записям в паспорте ТС
|
.2 Техническое состояние транспортного средства.
.2.1 Результаты пробного пуска двигателя и проверки
транспортного средства на ходу не производился 3.2.2 Наличие следов ремонтных
воздействий, не позволяющих достоверно установить наличие и характер отдельных
повреждений транспортного средства отсутствуют 3.2.3 На транспортном средстве
обнаружены следующие повреждения:
|
№
|
Наименование
повреждения
|
Характеристика
повреждения
|
|
1
|
Повреждение
бампера заднего
|
нарушение ЛКП в
виде царапин на левой боковой поверхности, вид повреждения П1.
|
|
2
|
Повреждение
двери задней левой
|
повреждение ЛКП
в виде глубоких царапин в задней части, вид повреждения П1, конструктивный
тип элемента - Ф2
|
|
3
|
Повреждение
крыла заднего левого
|
повреждение
элемента (царапины, риски, мелкие вмятины и выпуклости) глубиной, не
превышающей 2 мм, повреждение лакокрасочного покрытия (площадь 4 кв. дм), вид
повреждения П1, конструктивный тип элемента - Ф3
|
.2.4 Возможны следующие скрытые повреждения: нет 3.2.5 Во
время осмотра взяты следующие пробы и элементы транспортного средства для
исследования: нет Акт составлен по наружному осмотру.
При осмотре присутствовали:
. Потерпевший (страхователь)
. Другие заинтересованные лица (в том числе доверенные лица с
указанием реквизитов доверенности)
Эксперт-техник Шпаков Е.В.
Государственный реестровый номер
Приложение Г
Фотографии поврежденного объекта экспертизы
Фото 1 Общий вид TOYOTA AVENSIS МР174Е/77
Фото 2 Идентификационный номер VIN
Фото 3 Пробег, км TOYOTA AVENSIS МР174Е/77
Фото 4 Высота области повреждений TOYOTA AVENSIS МР174Е/77
Фото 5 Повреждение двери задней левой, крыла заднего левого,
бампера заднего TOYOTA AVENSIS МР174Е/77
Фото 6 Повреждение крыла заднего левого TOYOTA AVENSIS МР174Е/77
Приложение Д
ЭКСПЕРТНОЕ Заключение № 1467-9197
Дата составления 20 ноября 2012 г.
. Основание для проведения независимой технической
экспертизы транспортного средства (далее - экспертизы): договор № 1467-9197
от 14 ноября 2012г.
. Полное фирменное наименование и место нахождения
страховщика: Страховщик: ОСАО "Ингосстрах", 644046. г. Омск, ул.
Проспект Маркса,18 Фамилия, имя, отчество, данные документа, удостоверяющего
личность потерпевшего: Баженов Олег Валерьевич, паспорт 5203 428244. г. Омск,
ул. Химиков, д. 20, кв. 128.
3. Объект экспертизы - транспортное средство
потерпевшего:
|
Тип
|
Автомобиль
легковой
|
|
Марка, модель
|
TOYOTA AVENSIS
|
|
Категория
|
B
|
|
Год выпуска
|
2005
|
|
Регистрационный
знак (транзит)
|
МР174Е/77 RUS
|
|
Модель, номер
двигателя
|
1AZ/1846515
|
|
Идентификационный
номер (VIN)
|
SB1BJ56L30E060155
|
|
Номер кузова
|
SB1BJ56L30E060155
|
|
Номер шасси
|
отсутствует
|
|
Цвет кузова
|
Темно-красный
металлик
|
|
Мощность
двигателя, кВт/л. с
|
108/147
|
|
Объем двигателя
|
1998
|
|
Пробег
(показания одометра), км
|
129044
|
Дата повреждения транспортного средства 15 октября 2012г.
. Вопросы, требующие разрешения в процессе проведения
экспертизы:
Идентификация объекта экспертизы.
Подлинность маркировочных и других идентификационных
характеристик, соответствие их регистрационным и другим документам в отношении
объекта экспертизы.
Номенклатура всех повреждений транспортного средства
потерпевшего.
Причины всех повреждений транспортного средства потерпевшего.
Номенклатура повреждений транспортного средства потерпевшего,
обусловленных страховым случаем.
Достоверное установление факта наличия или отсутствия
страхового случая.
Технологии, методы и объем (трудоемкость) ремонта (устранения)
повреждений транспортного средства потерпевшего, обусловленных страховым
случаем.
Стоимость ремонта (устранения) повреждений транспортного
средства потерпевшего, обусловленных страховым случаем.
. Нормативное, методическое и другое обеспечение,
использованное при проведении экспертизы:
Методические рекомендации по проведению независимой
технической экспертизы транспортного средства при ОСАГО.
Трудоемкости работ завода изготовителя ТС.
. Сведения о документах, в том числе о страховом
полисе об обязательном страховании гражданской ответственности, рассмотренных в
процессе экспертизы: извещение о дорожно-транспортном происшествии от 15
октября 2012г.; справка о дорожно-транспортном происшествии от 15 октября 2012
г.;
7. Результаты экспертизы транспортного средства
потерпевшего.
Идентификация транспортного средства потерпевшего и проверка
соответствия его идентификационных параметров и характеристик данным
регистрационных и иных документов:
|
№ п/п
|
Идентификационные
характеристики и параметры транспортного средства
|
Записям в
регистрационных и иных документах
|
|
|
соответствует
|
не
соответствует
|
|
1
|
Марка (модель,
модификация) объекта экспертизы
|
+
|
|
|
2
|
Тип
транспортного средства
|
+
|
|
|
3
|
Внесение
изменений в конструкцию
|
|
|
|
4
|
Государственный
регистрационный номер
|
+
|
|
|
5
|
Идентификационный
номер (VIN)
|
+
|
|
|
6
|
Знак
соответствия
|
+
|
|
|
7
|
Товарный знак
|
+
|
|
|
8
|
Двигатель:
|
|
8.1
|
- тип
|
+
|
|
|
8.2
|
- модель
|
+
|
|
|
8.3
|
- номер
|
+
|
|
|
9
|
Номер шасси
(рамы)
|
|
|
|
10
|
Номер кузова
(коляски)
|
+
|
|
|
11
|
Цвет
лакокрасочного покрытия
|
+
|
|
|
12
|
Шины:
|
|
|
|
12.1
|
- размер
|
+
|
|
|
12.2
|
- индекс
несущей способности
|
+
|
|
|
12.3
|
- категория
скорости
|
+
|
|
|
13
|
Данные основной
маркировки
|
+
|
|
Внесение изменений в конструкцию транспортного средства: не
установлено.
.2 Установление технических повреждений транспортного
средства потерпевшего.
.2.1 Наличие следов ремонтных воздействий, не позволяющих
достоверно установить наличие и характер отдельных повреждений транспортного
средства - не обнаружено.
.2.2 На транспортном средстве установлено наличие следующих
повреждений:
|
№
|
Наименование
повреждения
|
Характеристика
повреждения
|
|
1
|
Повреждение
бампера заднего
|
нарушение ЛКП в
виде царапин на левой боковой поверхности, вид повреждения П1.
|
|
2
|
Повреждение
двери задней левой
|
повреждение ЛКП
в виде глубоких царапин в задней части, вид повреждения П1, конструктивный
тип элемента - Ф2
|
|
3
|
Повреждение
крыла заднего левого
|
повреждение
элемента (царапины, риски, мелкие вмятины и выпуклости) глубиной, не
превышающей 2 мм, повреждение лакокрасочного покрытия (площадь 4 кв. дм), вид
повреждения П1, конструктивный тип элемента - Ф3
|
.3 Установление причин повреждений транспортного средства.
Согласно данных, полученных в результате исследования
административного материала составленного сотрудниками ПДПС ГИБДД по г. Омску,
"15" октября 2012 г. в 08 ч.10 мин., водитель ХХХХХХХХ., управляя
автомобилем ВАЗ 21081, г/н. ХХХХХ/55RUS, двигаясь по улице проспект Маркса в г. Омске,
в районе дома №7 при попытке перестроиться не предоставил преимущество в
движении, движущемуся попутно, без изменения направления движения автомобилю TOYOTA AVENSIS, г/н ХХХХХ /RUS,
двигавшемуся в попутном направлении, под управлением водителя Баженова О. В.
Столкновение произошло при движении в попутном направлении.
Контакт произошел передней правой частью автомобиля ВАЗ 21081, г/н. ХХХХХ/55RUS, c задней и боковой
частью автомобиля TOYOTA AVENSIS, г/н ХХХХХ /RUS.
Причина возникновения повреждений:
|
№
|
Наименование
повреждение
|
Причина
повреждения
|
Причина -
страховой случай да/нет
|
|
1
|
Повреждение
бампера заднего
|
Столкновение с
передней правой частью автомобиля ВАЗ 21081
|
да
|
|
2
|
Повреждение
двери задней левой
|
Столкновение с
передней правой частью автомобиля ВАЗ 21081
|
да
|
|
3
|
Повреждение
крыла заднего левого
|
Столкновение с
передней правой частью автомобиля ВАЗ 21081
|
да
|
.4 Установление методов, технологии и объемов (трудоемкости)
ремонта для устранения повреждений, обусловленных страховым случаем:
) Бампер задний - исходя из внешнего вида, характера,
топографии и выраженности имеющихся повреждений ЛКП, эксперт-техник пришёл к
выводу, что восстановление данной детали возможно с применением окраски. В
связи с этим, экспертом-техником назначена Окраска заднего бампера.
) Крыло заднее левое - исходя из геометрических параметров,
внешнего вида, характера, топографии и выраженности имеющихся повреждений,
эксперт - техник пришёл к выводу, что восстановление данной детали возможно с
применением выправления в легкодоступном месте на площади до 20 %. В связи с
этим, экспертом-техником назначен Ремонт № 1 заднего левого крыла с последующей
окраской.
) Дверь задняя левая - исходя из геометрических параметров,
внешнего вида, характера, топографии и выраженности имеющихся повреждений,
эксперт пришёл к выводу, что восстановление данной детали возможно с
применением окраски. В связи с этим, экспертом-техником назначена окраска двери
задней левой.
Данные по объёмам (трудоёмкостям) ремонта использованы
экспертом-техником согласно норм времени завода изготовителя, указанных в
программном продукте AUDATEX.
.5 Расчет стоимости ремонта для устранения повреждений,
обусловленных страховым случаем.
.5.1 Расчет (обоснование) стоимости нормо-часа.
Задаются следующие параметры результатов расчета:
доверительная вероятность - 0,90; относительная ошибка - 15%, необходимый объем
выборки - 5.
Установление стоимости одного нормо-часа работ по ремонту
транспортного средства:
|
Наименование j-го вида работ по ремонту транспортных
средств КУЗОВНЫЕ, МАЛЯРНЫЕ
|
|
Вид (марка,
модель, модификация) транспортного средства ИНОМАРКА
|
|
Географические
границы рынка услуг по ремонту транспортных средств г. ОМСК
|
|
хозяйствующие
субъекты, действующие на рынке услуг по ремонту транспортных средств
|
Цена
нормо-часа, р.
|
Доля объема
услуг хозяйствующего субъекта на рынке, %
|
Характеристика
условий обращения услуг, ограничивающих возможности их получения
|
|
полное
наименование (с указанием организационно-правовой формы)
|
адрес (место
нахождения)
|
|
|
|
|
СТО Виадук
|
г. Омск, ул.10
лет Октября, 195 а
|
550
|
20
|
-
|
|
СТО Август
|
г. Омск, ул.4-я
Транспортная,12
|
500
|
20
|
-
|
|
СТО Ривьера
|
г. Омск, ул.
Суворова,
|
600
|
15
|
-
|
|
СТО Карме
|
г. Омск, ул.10
лет Октября, 215
|
650
|
25
|
-
|
|
СТО Автодом
|
г. Омск, ул.
Тарская, 144
|
500
|
20
|
-
|
В связи с отсутствием данных об объеме услуг хозяйствующих
субъектов в стоимостном выражении доля услуг каждого субъекта на рынке
определяется в соответствии с показателями, определяющими объем предоставляемых
услуг в натуральном выражении:
Объем предоставляемых услуг в натуральном выражении:
|
Показатели
характеризующие объем услуг
|
Хозяйствующие
субъекты, действующие на рынке услуг по ремонту транспортных средств
|
|
СТО Виадук
|
СТО Август
|
СТО Ривьера
|
СТО Карме
|
СТО Автодом
|
|
Число рабочих
постов
|
1
|
4
|
2
|
1
|
2
|
|
Количество
рабочих дней в неделю
|
6
|
7
|
7
|
5
|
6
|
|
Произведение
количества постов на количество рабочих дней
|
6
|
28
|
14
|
5
|
12
|
|
Относительная
доля %
|
20
|
20
|
15
|
25
|
20
|
Средняя стоимость нормо-часа равна (округленно): 560 р.
.5.2 Расчет (обоснование) стоимости одной единицы каждого
вида материалов, используемых при ремонте.
Задаются следующие параметры результатов расчета:
доверительная вероятность - 0,80, относительная ошибка - 20%, необходимый объем
выборки - 2.
.5.3.1 Краска металлик:
|
Наименование
материала y-го вида краски металлик
|
|
Единица
измерения материала y-го вида, кг
|
|
Марка (код), а
также другие идентификационные параметры материала y-го вида, официально установленные государственными органами
|
|
Географические
границы рынка услуг по ремонту транспортных средств г. Омск
|
|
хозяйствующие
субъекты, действующие на рынке услуг по ремонту транспортных средств
|
Цена, р.
|
Доля объема
услуг хозяйствующего субъекта на рынке, %
|
Характеристика
условий обращения материала на рынке, ограничивающих возможности их
приобретения
|
|
полное
наименование (с указанием организационно-правовой формы)
|
адрес (место
нахождения)
|
|
|
|
|
Химмарк
|
г. Омск, ул.4
Транспортная
|
2000
|
50
|
-
|
|
Автоколор
|
г. Омск, ул.
Арктическая
|
2200
|
50
|
-
|
Средняя стоимость краски металлик равна: 2100 р.
Определение стоимости комплекта сопутствующих материалов:
|
Наименование
материала y-го вида КОМПЛЕКТ СОПУТСТВУЮЩИХ МАТЕРИАЛОВ
|
|
Единица
измерения материала y-го вида
КОМПЛЕКТ НА ОДНУ ДЕТАЛЬ
|
|
Марка (код), а
также другие идентификационные параметры материала y-го вида, официально установленные государственными органами
|
|
Географические
границы рынка услуг по ремонту транспортных средств г. ОМСК
|
|
Хозяйствующие
субъекты, действующие на рынке услуг по ремонту транспортных средств
|
Цена, р.
|
Доля объема
услуг хозяйствующего субъекта на рынке, %
|
Характеристика
условий обращения материала на рынке, ограничивающих возможности их приобретения
|
|
Полное
наименование (с указанием организационно-правовой формы)
|
Адрес (место
нахождения)
|
|
|
|
|
ООО Краска 1
|
г. Омск, ул.4
Транспортная
|
1000
|
50
|
-
|
|
ООО Краска 2
|
г. Омск, ул.
Арктическая
|
1200
|
50
|
-
|
Средняя стоимость комплекта материалов на одну деталь равна:
1100 р.
.5.4 Расчет стоимости ремонта транспортного средства:
Расчет стоимости ремонта транспортного средства:
|
Наименование
|
Стоимость руб.
|
Нормо-час
|
Кол-во
|
руб.
|
|
Стоимость
ремонтных работ
|
|
Бампер задний -
с/у
|
560,00
|
0,50
|
1,00
|
280,00
|
|
Крыло заднее
левое - ремонт
|
560,00
|
2,00
|
1,00
|
1120,00
|
|
Брызговик
задний левый - с/у
|
560,00
|
0,10
|
1,00
|
56,00
|
|
Дверь задняя
левая - с/у вкл. Разборку сборку
|
560,00
|
1,00
|
1,00
|
560,00
|
|
Фонарь задний
левый - с/у
|
560,00
|
0, 20
|
1,00
|
112,00
|
|
Итого:
Стоимость ремонтных работ
|
2128,00
|
|
Стоимость
работ по окраске
|
|
Крыло заднее
левое - окраска
|
560,00
|
1,80
|
1,00
|
1008,00
|
|
Дверь задняя
левая - окраска
|
560,00
|
2,40
|
1,00
|
1 344,00
|
|
Бампер задний -
окраска
|
560,00
|
2, 20
|
1,00
|
1232,00
|
|
Итого:
Стоимость работ по окраске
|
3584,00
|
|
Стоимость
ремонтных работ:
|
5712,00
|
|
Стоимость
материалов
|
|
Краска металлик
|
2100,00
|
|
0,90
|
1890,00
|
|
Сопутствующие
материалы
|
1 100,00
|
|
2,00
|
2200,00
|
|
Подбор колера
|
1000,00
|
|
1,00
|
1000,00
|
|
Итого:
Стоимость материалов
|
5090,00
|
|
|
Стоимость
ремонта транспортного средства составляет:
|
10802,00
|
. Ограничения и пределы применения полученных результатов.
.1 Результаты расчета стоимости ремонта поврежденного
транспортного средства действительны для условий товарных рынков транспортных
средств, запасных частей к транспортным средствам, материалов для ремонта, а
также услуг по ремонту транспортных средств города Омска.
.2 Дата, на которую определяется стоимость ремонта
транспортного средства, - 15 октября 2012 г.
.3 Расчет стоимости транспортного средства потерпевшего на
дату страхового случая в неповрежденном состоянии.
Задаются следующие параметры результатов расчета:
доверительная вероятность - 0,90;
относительная ошибка - 10%;
необходимый объем выборки - 11.
Расчет рыночной стоимости:
|
Марка (модель,
модификация) транспортного средства
|
TOYOTA AVENSIS
|
|
Возраст
транспортного средства, Т (годы)
|
7,3
|
|
Пробег с начала
эксплуатации, L (тыс. км)
|
129044
|
|
Географические
границы рынка транспортных средств
|
Омская область,
г. Омск
|
|
Источник
информации о продаже транспортного средства
|
Реквизиты
продавцов
|
Цена
транспортного средства, руб
|
Характеристики
условий обращения транспортных средств на рынке, ограничивающие возможности
их приобретения
|
|
Журнал
"Автопроспект" от 15.10.2012г
|
Тел.8-ХХХ - ХХХ
- ХХХ
|
450 000
|
Состояние
хорошее, 2,0 бензин, АКПП
|
|
Журнал
"Автопроспект" от 15.10.2012г
|
Тел.8-ХХХ - ХХХ
- ХХХ
|
455 000
|
Состояние
хорошее, 2,0 бензин, АКПП
|
|
Журнал
"Автопроспект" от 15.10.2012г
|
Тел.8-ХХХ - ХХХ
- ХХХ
|
460 000
|
Состояние
хорошее, 2,0 бензин, АКПП
|
|
Журнал
"Автопроспект" от 15.10.2012г
|
Тел.8-ХХХ - ХХХ
- ХХХ
|
465 000
|
Состояние
хорошее, 2,0 бензин, АКПП
|
|
Журнал
"Автопроспект" от 15.10.2012г
|
Тел.8-ХХХ - ХХХ
- ХХХ
|
480 000
|
Состояние
хорошее, 2,0 бензин, АКПП
|
|
Журнал
"Автопроспект" от 15.10.2012г
|
Тел.8-ХХХ - ХХХ
- ХХХ
|
495 000
|
Состояние
хорошее, 2,0 бензин, АКПП
|
|
Журнал
"Автопроспект" от 15.10.2012г
|
Тел.8-ХХХ - ХХХ
- ХХХ
|
500 000
|
Состояние
хорошее, 2,0 бензин, АКПП
|
|
Журнал
"Автопроспект" от 15.10.2012г
|
Тел.8-ХХХ - ХХХ
- ХХХ
|
510 000
|
Состояние
хорошее, 2,0 бензин, АКПП
|
|
Журнал
"Автопроспект" от 15.10.2012г
|
Тел.8-ХХХ - ХХХ
- ХХХ
|
525 000
|
Состояние
хорошее, 2,0 бензин, АКПП
|
|
Журнал
"Автопроспект" от 15.10.2012г
|
Тел.8-ХХХ - ХХХ
- ХХХ
|
535 000
|
Состояние
хорошее, 2,0 бензин, АКПП
|
|
Журнал
"Автопроспект" от 15.10.2012г
|
Тел.8-ХХХ - ХХХ
- ХХХ
|
550 000
|
Состояние
хорошее, 2,0 бензин, АКПП
|
|
Марка (модель,
модификация) транспортного средства
|
TOYOTA AVENSIS
|
|
Возраст
транспортного средства, Т (годы)
|
7,3
|
|
Пробег с начала
эксплуатации L (тыс. км)
|
129044
|
|
Географические
границы рынка транспортных средств
|
Омская область,
г. Омск
|
|
|
|
|
|
Рыночная стоимость транспортного средства =

=
=493182 рубля
.4 Другие допущения и ограничения: отсутствуют.
. Выводы по экспертизе в целом:
) Произведена идентификация объекта экспертизы;
) Идентификационные характеристики и параметры объекта
экспертизы соответствуют записям в регистрационных и других документах.
) Номенклатура всех повреждений транспортного средства
потерпевшего, обусловлены страховым случаем, наступившем в результате ДТП между
автомобилями TOYOTA AVENSIS и ВАЗ 21081 15 октября 2012 г.
) Определена технология ремонта и произведен расчет стоимости
ремонта транспортного средства, включающего работы по устранению всех
повреждений, обусловленных страховым случаем, составляет 10802,00 (Десять тысяч
восемьсот два) рубля;
) Стоимость ремонта не превышает стоимость транспортного
средства на дату страхового случая в неповрежденном состоянии.
Эксперт-техник Шпаков Е.В.
Государственный реестровый номер