Установка задних дисковых тормозов на автомобиль ВАЗ-21093
Курсовая
работа
по дисциплине: Дооборудование и
тюнинг автотранспортных средств
тема:
«Установка задних дисковых тормозов на автомобиль ВАЗ-21093»
Содержание
Введение
. Обзор дисковых тормозных механизмов, сравнение и выбор
конкретного механизма
.1 Обзор дисковых тормозных механизмов
1.2 Сравнение барабанных, сплошных дисковых и дисковых
вентилируемых тормозных механизмов
1.3 Выбор тормозного механизма.
. Расчёт параметров заднего дискового механизма для
автомобиля ВАЗ-2109
. Стоимость затрат на модернизацию заднего дискового
механизма
4. Техника безопасности
Заключение
Список источников
Введение
Проекты тюнинга обычно делятся на несколько этапов, а именно: доработку
двигателя, КПП, подвески, кузова и что самое главное на доработку тормозной
системы. По мнению специалистов автоспорта тюнинг всегда должен начинаться с
модификации тормозной системы.
Тормозная система служит для уменьшения скорости и быстрой остановки
автомобиля. Надежные и эффективные тормоза - основной элемент активной безопасности
современного автомобиля. Если надежность обеспечивается конструкцией привода,
то эффективность главным образом зависит от конструкции непосредственно самих
тормозов. В этой связи особенный интерес представляет применение дисковых
тормозов, что является характерной чертой современного автомобилестроения.
В данной работе рассматривается замена стандартного заднего барабанного
механизма на дисковый.
1. Обзор дисковых тормозных механизмов, сравнение и выбор конкретного
механизма
1.1 Обзор дисковых тормозных механизмов
Первые автомобильные тормозные механизмы были барабанные, за много лет
они не сильно изменились и широко используются до сих пор. Современные
автомобили комплектуются более эффективными дисковыми тормозами.
К настоящему времени открытые дисковые тормозные механизмы полностью
вытеснили барабанные на передних осях легковых автомобилей и продолжают успешно
вытеснять их на задних. С ростом динамических свойств автомобилей, тормоза со
сплошным диском постепенно заменяются тормозами с вентилируемым диском. Полной
замене барабанных тормозов пока препятствуют в основном экономические факторы.
Попытки создания концепций альтернативных дисковому тормозу пока не дали
положительных результатов. Достаточно очевидно, что основной причиной смены концепций
тормозов является дальнейшее повышение цикличности их работы. Рост цикличности
торможений в свою очередь требует повышения энергорассеивающей способности
тормоза, которая обеспечивается путем резкого увеличения, фактически удвоения,
площади поверхности трения, являющейся одновременно и площадью охлаждения
ротора.
.2 Сравнение барабанных, сплошных дисковых и дисковых вентилируемых
тормозных механизмов
Барабанные тормозные механизмы имеют ряд достоинств и недостатков,
которые определяют область их применения.
Достоинства:
· Барабаны дешевле и проще в производстве.
· конструктивно обладают эффектом механического самоусиления.
· Благодаря тому, что нижние части колодок связаны друг с
другом, трение о барабан передней тормозной колодки усиливает прижатие к нему
задней тормозной колодки. Этот эффект способствует многократному увеличению
тормозного усилия, передаваемого водителем, и повышает тормозящее действие при
усилении давления на педаль.
· закрытая конструкция, препятствующая попаданию в механизм грязи.
Недостатки:
· Главным недостатком барабанных тормозов является плохое
охлаждение.
Дисковые тормозные механизмы.
Достоинства:
· рассеивают тепло намного лучше, чем барабанные.
· меньший вес в сравнении с барабанными
Недостатки:
· высокая стоимость производства и более быстрый износ
фрикционных накладок из-за большой нагрузки при торможении.
· При интенсивном торможении диск сильно нагревается, что
приводит к нарушению формы его рабочей поверхности, ее короблению, следствием
чего становится осевое биение диска, передаваемое на руль и тормозную педаль.
· Площадь колодок у дисковых тормозов меньше, чем у барабанных,
поэтому для них нужны большие усилия на приводе и соответственно более высокое
давление в гидросистеме.
· Т.к. дисковые тормоза открыты, при попадании влаги снижается
эффективность торможения.
Вентилируемые дисковые тормозные механизмы.
Чтобы исключить риск перегрева, тормозные диски стали делать
вентилируемыми.
Достоинства:
· отводится более эффективно тепло
· снижение веса диска
· Вентилируемый диск шире обычного, имеет заметно большую
площадь поверхности
К недостатку вентилируемых дисков можно отнести то, что при наличии
канавок на диске уменьшается ресурс тормозных колодок.
.3 Выбор тормозного механизма
Для установки на автомобиль ВАЗ-2109 были выбраны дисковые
невентилируемые тормоза, т.к. в отличие от вентилируемых они не снижают ресурс
тормозных колодок.
Вывод: в качестве технического решения были выбраны дисковые
невентилируемые тормоза.
2. Расчёт параметров заднего дискового механизма для автомобиля ВАЗ-2109
При установке на автомобиль ВАЗ-2109 задних дисковых тормозных механизмов
вместо барабанных необходимо сохранить соотношение тормозных сил по осям
автомобиля, заложенное заводом изготовителем. В этом случае не требуется корректировка
первоначальной установки регулятора тормозных сил (РТС). Поэтому необходимо
определить диаметр рабочего цилиндра дискового тормозного механизма, который
эквивалентен рабочему цилиндру барабанного тормозного механизма при известных
остальных параметрах. Тормозная сила на колесе, развиваемая барабанным
тормозным механизмом, равна:
где р02 - давление в приводе задних тормозов; Δр2 - давление, необходимое
для преодоления сил упругости пружин и сил трения; В2 - комплексный
параметр тормозного механизма.
Комплексный параметр - это коэффициент пропорциональности между тормозной
силой и давлением в приводе, который для барабанного тормозного механизма с
одним рабочим цилиндром равен:
где F2 - площадь заднего рабочего цилиндра; rб -
радиус барабана; rк - динамический радиус колеса; η2 - КПД тормозного механизма; k2
-коэффициент эффективности тормозного механизма с односторонним расположением
опор тормозных колодок, который находится по выражению:
где μ - коэффициент трения пары накладка-тормозной барабан. Тормозная
сила на колесе развиваемая дисковым тормозным механизмом равна:
где ΔрД - давление, необходимое для преодоления сил
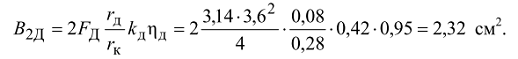
трения; В2Д - комплексный параметр дискового тормозного механизма.
где FД - площадь поршня рабочего цилиндра дискового тормозного
механизма; rД - средний радиус диска; ηД -КПД тормозного механизма; kД -коэффициент
эффективности дискового тормозного механизм, который находится по выражению:
Накладывая условие равенства тормозных сил, развиваемых
барабанным и дисковым тормозными механизмами (правые части уравнений (1) и (4)
равны), получим:
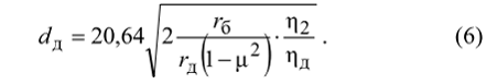
С учетом выражений (2) и (5) находим площадь поршня рабочего цилиндра
дискового тормозного механизма и его диаметр по выражению:
Исходные данные для расчета приведены в табл. 1.
Подставляя исходные данные в выражение (6), получим

Проверка эквивалентности комплексных параметров барабанного и дискового
тормозных механизмов:
а) барабанный тормозной механизм
б) дисковый тормозной механизм
Вывод: в данном разделе произведён расчёт параметров заднего тормозного
механизма автомобиля. Вследствие расчёта выяснилось, что предпочтительным
является суппорт фирмы LUCAS или Girling, т.к. он является наиболее близким по
диаметру поршня рабочего цилиндра.
3. Стоимость затрат на модернизацию заднего дискового механизма
автомобиля ВАЗ-2109
Стоимость модернизации можно подсчитать по формуле:
С=Т+У,
где Т - стоимость задних дисковых тормозов LUCAS - 11500 рублей
У - стоимость установки и настройки задних дисковых тормозов в
установочном центре - 3000 рублей
В итоге получаем С=11500+3000=14500 руб.
Вывод: стоимость установки тормозных дисков LUCAS составляет 14500 рублей.
тормозной механизм дисковый автомобиль
4. Техника безопасности
На предприятиях проводится определенный комплекс мероприятий по охране
труда, имеющих целью обеспечить безопасность, сохранение здоровья и
работоспособности человека в процессе труда.
Одной из составных частей охраны труда является техника безопасности. Ее
назначение - с помощью организационных и технических мероприятий и средств
предохранить персонал от травм. Важнейшими условиями безопасности труда
являются: создание максимально безопасных конструкций механизмов и машин,
рациональная организация производства, обучение работающих безопасным методам и
приемам труда. Безопасные методы и приемы труда предусматриваются в правилах и
нормах, разработанных для всех отраслей производства. Рабочий, не прошедший
инструктаж по технике безопасности, к работе не допускается.
Другую значительную часть охраны труда составляет производственная
санитария. Ее цель - обеспечить санитарно-гигиенические условия труда, не
допускающие вредных воздействий на организм человека, и тем самым предупредить
профессиональные заболевания (заболевания, связанные с вредным воздействием
условий труда).
Охрана труда также должна обеспечивать пожарную безопасность. Для этого
разработаны системы предотвращения пожаров и пожарной защиты, т.е. комплекс
мероприятий, направленный на предупреждение пожаров, и приемы и средства борьбы
с огнем в случае возникновения пожара.
К работе по ремонту автомобильной техники допускаются лица не моложе 18
лет, прошедшие медицинское освидетельствование, обучение по специальной
программе и инструктажи по технике безопасности.
Поступающий на работу слесарь должен пройти вводный инструктаж по охране
труда, производственной санитарии, оказанию доврачебной помощи пострадавшим,
пожарной безопасности, экологическим требованиям, условиям работы, первичный
инструктаж на рабочем месте, о чем должны быть сделаны записи в соответствующих
журналах с обязательной подписью инструктируемого и инструктирующего.
Слесарь по ремонту автомобильной техники обязан выполнять только ту
работу, которая поручена руководителем работ. Без разрешения и инструктажа
производить работу, не входящую в обязанности слесаря, запрещается.
Рабочий инструмент и детали расположить в удобном и безопасном для
пользования порядке. Убедиться в том, что рабочий инструмент, приспособления и
средства индивидуальной защиты исправны и соответствуют требованиям безопасности.
При ремонте или техническом обслуживании автомобильной техники, повесить
на рулевое колесо табличку «Двигатель не пускать! Работают люди».
Работать под техникой вне смотровой канавы, эстакады или подъемника
только при наличии лежаков. Работать на полу (земле) запрещается.
Влезать под машину и вылезать из-под нее только со стороны,
противоположной проезду. Работая под машиной, размещаться между колесами вдоль
машины.
Заключение
Итак, в качестве технического решения, повышающего эффективность торможения
автомобиля ВАЗ-2109, были выбраны дисковые тормоза.
Во втором разделе был произведён расчёт дисковых тормозов. В результате
выяснилось, что предпочтительным является суппорт фирмы LUCAS или Girling, т.к.
он является наиболее близким по диаметру поршня рабочего цилиндра.
В третьем разделе, где требовалось подсчитать стоимость установки задних
дисковых тормозов на автомобиль, по результатам расчёта стоимость установки
составила 14500 рублей.
В конце работы приведён комплекс мер по технике безопасности, направленный
на снижение производственного травматизма при выполнении данного вида тюнинга.
Список источников
Пузанков А.Г. Автомобили: Устройство и техническое
обслуживание: учебник для студ. учреждений сред. проф. образования - 4-е
издание., стер. - М: Издательский центр «Академия», 2009. - 640с.