Удосконалення маршруту перевезення хлібобулочних виробів по м. Київ (на прикладі ПАТ 'Київхліб')
МІНІСТЕРСТВО ОСВІТИ І НАУКИ
УКРАЇНИ
КОЛЕДЖ ІНФОРМАЦІЙНИХ
ТЕХНОЛОГІЙ ТА ЗЕМЛЕВПОРЯДКУВАННЯ
НАЦІОНАЛЬНОГО АВІАЦІЙНОГО
УНІВЕРСИТЕТУ
ВИПУСКНА КОМІСІЯ
СПЕЦІАЛЬНОСТІ
«ОРГАНІЗАЦІЯ ПЕРЕВЕЗЕНЬ ТА
УПРАВЛІННЯ НА АВТОТРАНСПОРТІ»
Пояснювальна записка
до дипломного проекту
молодшого спеціаліста
на тему: Удосконалення маршруту перевезення
хлібобулочних виробів по м. Київ (на прикладі ПАТ «Київхліб»)
Виконав: студент IV курсу, групи ОП-47
спеціальності «Організація перевезень та управління на
автотранспорті» Пастушенко А.О.
Київ - 2013
РЕФЕРАТ
Мета дослідження:
Удосконалення маршруту перевезення хлібобулочних
виробів по м. Києві на прикладі ПАТ "Київхліб".
Предмет дослідження:
ПАТ «Київхліб»
Задачі дослідження:
ü аналіз існуючої організації
перевезень вантажів і виконання техніко-експлуатаційних показників по ПП;
ü аналіз впливу різних експлуатаційних
факторів на ефективність перевезень;
ü вибрати ефективний рухомий склад для
виконання перевезень продукції;
ü запропонувати раціональні маршрути
руху автомобілів;
ü визначити економічну ефективність
перевезень.
В РПЗ використано такі терміни: автомобільний транспорт,
вантаж, транспортно-експлуатаційні показники, транспортний процес, рухомий
склад, маршрут, автотранспортне підприємство ПП, продуктивність, собівартість,
вантажовідправник, вантажоодержувач, транспортна робота, розвізний та кільцевий
маршрут, оптимальний маршрут, пробіг, транспортно-технологічна схема, дохід,
затрати, прибуток, економічний ефект перевезень.
ЗМІСТ
ВСТУП
РОЗДІЛ 1.
ЗАГАЛЬНИІЙ РОЗДІЛ
1.1
Розвиток автомобільного транспорту в Україні: економіко-правові аспекти
1.2
Характеристика ринку хліба і хлібобулочних виробів в Україні
1.3
Особливості перевезень
1.4 Аналіз
передових транспортних технологій
1.5
Обґрунтування і вибір теми проекту
РОЗДІЛ 2.
ОРГАНІЗАЦІЙНИЙ РОЗДІЛ
2.1
Характеристика ПАТ «Київхліб»
2.2
Факторне дослідження продуктивності автомобілів і собівартості перевезень
2.3 Заходи
по удосконаленню транспортного процесу
РОЗДІЛ 3.
РОЗРАХУНКОВО-ТЕХНОЛОГІЧНИЙ РОЗДІЛ
3.1
Характеристика вантажу, вантажовідправників і вантажоодержувачів
3.2 Вибір
рухомого складу
3.3 Вибір
маршрутів руху автомобілів
3.4
Експлуатаційні показники використання рухомого складу
РОЗДІЛ 4.
ОХОРОНА ПРАЦІ
4.1 Вимоги
до транспортування, приймання, зберігання і реалізація хлібобулочних виробів
РОЗДІЛ 5.
ЕКОНОМІЧНИЙ РОЗДІЛ
5.1
Визначення доходів
5.1.1
Доходи від перевезень
5.1.2
Доходи від роботи спеціалізованого рухомого складу
5.1.3
Доходи від експедиторських операцій
5.1.4
Загальна сума доходів
5.2
Визначення витрат
5.3
Балансовий прибуток
5.4
Економічний ефект від перевезень
ВИСНОВКИ
СПИСОК
ВИКОРИСТАНИХ ДЖЕРЕЛ
ВСТУП
Розвиток техніки і науки в наші часи досягає високого рівня.
Всі види людської діяльності, такі як виробництво різноманітної продукції,
сільське господарство, надання послуг, розвиток науки, відпочинок - все це за
останні декілька десятиліть вийшло на новий якісний і кількісний рівень.
Досягнення високого рівня комфорту, полегшення роботи і зменшення витрат часу
забезпечується наданням транспортних послуг. Саме автотранспорт присутній у
всіх сферах людської діяльності. Якщо розглядати транспорт з узагальненої точки
зору, то транспорт - це специфічна галузь господарства, він не створює, як інші
виробничі сектори, нових матеріальних цінностей. Результатом роботи транспорту
є переміщення вантажів і людей. Вантажний транспорт належить до виробничої
сфери. Пасажирський, здійснюючи перевезення людей, належить до обслуговуючих
галузей. Важливість транспорту полягає в тому, що він забезпечує зв'язки між галузями,
підприємствами, регіонами країни, зарубіжними державами. Без транспорту був би
неможливий сам процес сучасного виробництва, для якого необхідні зв'язки щодо
постачання сировини і продукції. Велика роль галузі у підвищенні рівня життя
населення. Зайнято у транспорті близько 9.4% працюючих у господарському
комплексі країни. Для сучасного транспорту властива велика різноманітність
видів, кожен з яких має свої специфічні виробничі особливості. Тому можна
вважати його комплексом взаємопов'язаних галузей. Поділяють його на складові
частини, передусім, за середовищем, в якому здійснюється переміщення вантажу чи
людей. За цим підходом транспортний комплекс складається із сухопутного,
водного та повітряного. Специфічною галуззю транспортного комплексу є міський
пасажирський транспорт. Щодо автомобільного транспорту, так для нього
характерна висока маневреність, що робить вигідним його використання на
коротких відстанях.
Метою проекту є розв’язання питань щодо удосконалення
організації транспортного процесу перевезень хлібобулочних виробів, визначення
основних техніко-експлуатаційних показників роботи рухомого складу. Також в
даному проекті буде виконано аналіз існуючої організації перевезень вантажів по
АТП; визначення факторів, що впливають на продуктивність перевезень; буде
обрано рухомий склад для заданого типу вантажів і необхідну кількість його для
виконання перевезень; буде розраховано раціональний маршрут руху автомобілів та
інше. Одним із головних завдань цього курсового проекту є пропозиції щодо удосконалення
транспортного процесу та визначення економічного ефекту від запропонованих
заходів.
РОЗДІЛ 1. ЗАГАЛЬНИЙ РОЗДІЛ
1.1 Розвиток автомобільного транспорту в Україні:
економіко-правові аспекти
Автомобільний транспорт є однією з найважливіших сфер підприємницької
діяльності, оскільки у процесі господарювання кожна фірма потребує перевезення
матеріалів, сировини, готової продукції, при цьому вони використовують власний
автотранспорт або користуються послугами автотранспортних підприємств.
Головним завданням розвитку транспортно-дорожнього комплексу
України на середньостроковий період та до 2020 р. є визначення шляхів
розв’язання проблем подальшого розвитку транспортної галузі, зростання попиту
на транспортні послуги, активізації процесів інтеграції транспортно-дорожнього
комплексу України до європейської та світової транспортних систем. Для
сучасного економічного стану України характерним є підвищення ролі транспорту,
який забезпечує життєдіяльність населення, функціонування і розвиток економіки
держави, збереження її обороноздатності, можливість досягнення
зовнішньоекономічних цілей країни.
Автомобільний транспорт відіграє важливу роль в
соціально-економічному розвитку країни. На сьогодні більш як 100 тис.
автомобільних перевізників надають послуги з перевезення 52 % пасажирів та 64 %
вантажів.
Автомобільний транспорт у цілому задовольняє потреби
національної економіки та населення у перевезеннях, однак структура парку
автобусів та вантажних автомобілів є недосконалою, більшість транспортних
засобів за своєю конструкцією, пасажиромісткістю, вантажністю, типами кузова,
класом комфортності, видами та питомими витратами палива, екологічними
показниками не відповідають сучасним вимогам.
Оновлення парку рухомого складу автомобільного транспорту
відбувається повільними темпами - майже 70 % рухомого складу є технічно та/або
морально застарілими, а 50 % автобусів експлуатуються більш як 10 років.
Перехід економіки України на ринкові умови господарювання і
швидка приватизація підприємств істотним чином змінили систему перевізного
процесу. Сьогодні автотранспортні підприємства працюють в умовах відсутності
централізованих замовлень, що викликає визначену нестабільність формування
обсягів їх послуг протягом запланованого періоду часу. Результатом є
невпевненість підприємств в досягненні позитивних результатів від їх
виробничо-господарської діяльності, зростає ризик їх стійкого функціонування на
конкурентному ринку. Є невпевненість підприємств в досягненні позитивних
результатів від їх виробничо-господарської діяльності.
Нерозв’язаною залишається проблема компенсації втрат доходів
автомобільних перевізників у зв’язку з перевезенням пільгових категорій
громадян та перевезень за регульованими тарифами, оскільки неможливо визначити
реальний обсяг доходів автомобільних перевізників.
Недосконалою є система організації міжнародних перевезень
пасажирів та вантажів автомобільним транспортом, зокрема механізм перетинання
державного кордону, розмитнення вантажу та отримання віз водіями транспортних
засобів.
Крім того, викиди в атмосферу шкідливих речовин, що
здійснюються автомобільним транспортом, становлять 95 % викидів, що
здійснюються пересувними джерелами забруднення.
Основними причинами виникнення проблеми є:
недосконалість законодавства щодо регулювання діяльності
автомобільних перевізників, а також інших суб’єктів підприємницької діяльності,
які забезпечують безпечність перевезень пасажирів та вантажів, та системи
контролю за його дотриманням;
недостатній обсяг фінансування витрат, пов’язаних з наданням
соціально значущих послуг, за рахунок бюджетних коштів;
відсутність системних підходів до забезпечення функціонування
автомобільного транспорту.
Висновки. Для вирішення цих проблем необхідно удосконалити
систему державного управління у галузі автомобільного транспорту, підвищити якість
надання послуг з перевезення пасажирів та вантажів шляхом:
координації та виконанні програм, зокрема щодо розвитку
автомобільних доріг, як державного, так і місцевого значення, розвитку
національної мережі міжнародних транспортних коридорів, енергозбереження,
підвищення безпеки дорожнього руху;
створення механізму надання соціально значущих послуг,
зокрема перевезення пасажирів у сільській місцевості та осіб з обмеженими
фізичними можливостями;
урегулювання відносин автомобільних перевізників, власників
автостанцій та органів виконавчої влади;
розроблення правил перевезення пасажирів у таксі, вимог до
такого виду діяльності та її квотування, проведення державної перереєстрації
автомобілів, які обладнані для роботи як таксі;
посилення вимог до автомобільних перевізників та забезпечення
контролю за дотриманням ними вимог законодавства щодо безпеки дорожнього руху;
удосконалення нормативно-правової бази щодо охорони
навколишнього природного середовища, енергозбереження, енергоефективності та
використання транспортними засобами альтернативних видів палива;
впорядкування системи страхування від нещасних випадків на
транспорті під час здійснення нерегулярних та регулярних спеціальних перевезень
пасажирів;
адаптації національного законодавства до європейського у
галузі автомобільного транспорту, зокрема щодо управління перевезеннями,
регулювання ринку транспортних послуг, доступу до ринку послуг з перевезення
пасажирів та вантажів, підвищення конкурентоспроможності автомобільних
перевізників, забезпечення безпеки руху, здійснення транзитних перевезень,
прикордонного контролю, визначення вимог до колісних транспортних засобів,
транспортної статистики, екологічних та соціальних вимог;
запровадження економічного механізму, спрямованого на
підвищення конкурентоспроможності автомобільних перевізників, забезпечення
збереження та створення нових робочих місць;
розроблення механізму допуску автомобільних перевізників до
провадження господарської діяльності на ринку послуг з перевезення пасажирів та
вантажів;
удосконалити систему цінового і податкового регулювання
діяльності автомобільних перевізників, забезпечити інноваційний та
інвестиційний розвиток галузі автомобільного транспорту шляхом:
розроблення та запровадження механізму виплати окремим
категоріям громадян адресної дотації для пільгового проїзду автомобільним
транспортом;
розроблення механізму встановлення тарифів на перевезення
пасажирів та автостанційні послуги;
розроблення та запровадження єдиного механізму оподаткування
автомобільних перевізників, які надають послуги з перевезення пасажирів та
вантажів і провадять господарську діяльність в однакових конкурентних умовах;
зниження розміру ставок ввізного мита під час ввезення деяких
типів транспортних засобів, які не виробляються в Україні;
удосконалення механізму нарахування та сплати податку з
власників транспортних засобів;
запровадження механізму проведення безготівкових розрахунків
за перевезення пасажирів на маршрутах міського автобусного сполучення;
створення умов для оновлення автомобільними перевізниками парку
рухомого складу автомобільного транспорту та оптимізації його структури,
використання новітніх технологій та інформаційних систем;
підвищити рівень безпечності перевезень пасажирів та вантажів
шляхом:
удосконалення системи підготовки, перепідготовки та
підвищення кваліфікації персоналу автомобільного транспорту;
посилення вимог до безпечності конструкції та технічного
стану транспортного засобу відповідно до європейських норм та стандартів у
сфері безпеки дорожнього руху;
розроблення гармонізованого з європейськими вимогами
положення щодо режиму праці та відпочинку водіїв транспортних засобів;
створення нормативно-правової бази щодо затвердження типу
колісних транспортних засобів, предметів обладнання та частин до них відповідно
до європейського законодавства;
розроблення та запровадження технічного регламенту надання
послуг з технічного обслуговування та ремонту транспортних засобів;
інтегрувати систему автомобільного транспорту до європейської
шляхом:
об’єднання з транс’європейською транспортною мережею
відповідно до Європейської політики сусідства, підвищення ефективності
використання транзитного потенціалу
1.2 Характеристика ринку хліба і хлібобулочних
виробів в Україні
Перша особливість перевезення хлібобулочних виробів - це
стабільний, непорушний ні за яких умов графік роботи в будні, у вихідні та
святкові дні. Її об’єми коливаються в залежності від щоденного замовлення,
точніше - заявок - завдань для хлібних заводів, що вони отримують від
роздрібної мережі.
Ємність хлібного ринку в Україні складає приблизно 4-4,5 млн.
тонн на рік. Проте, якщо вірити даним Державного комітету статистики,
випікається його вдвічі менше. У порівнянні з 1990-м роком об’єми виробництва
взагалі знизилися в три рази і продовжують зменшуватися.
На ринку хлібу, який ніхто не запасає, встановився баланс
попиту та пропозиції. Експерти ж, визначаючи його об’єми, судячи з усього,
орієнтувались на постанову Кабінету міністрів №656 від 14.04.2000 р., яким був
затверджений набір продуктів харчування для основних соціальних та демографічних
груп населення країни. Встановлена ним норма споживання житнього та пшеничного
хліба складає 101кг на рік на працездатну людину. Помноживши її на приблизну
кількість наших співвітчизників та зробивши невелику похибку на вік найменших з
них (норма для дітей до 6-ти років - 43,8кг) отримуємо потрібне нам число.
За даними Держкомстату, загальний обсяг українського ринку
хлібобулочних виробів в 2007 р. знаходиться в межах 2,3-2,4 млн. т. Однак
частка хліба преміум-класу в натуральному виразі в минулому році становить
менше 0,1%. Хоча деякі експерти схильні більш оптимістично оцінювати цей
сегмент. Так, за даними лідерів, обсяг виробництва кожного з них у 2007 р.
коливався в межах від 50 до 900 т. Враховуючи ж, що ємність київського хлібного
ринку складає близько 300 тис. т, а продукція преміум-класу реалізується в
столиці більш ніж у 200 торгових точках (по всій Україні - більше ніж у 350
торгових точках), виходить, що в Києві при середньорічному обсязі споживання
хліба в 300 тис. т показник споживання преміальної хлібної продукції приблизно
0,3%.
Рис. 1.1 Виробництво хлібу і хлібобулочних виробів на душу
населення за добу, кг.
В Україні відчувається помітне зменшення обсягів вживання
хлібобулочної продукції. Важливу роль в цьому процесі відіграє ціна на даний продукт,
адже вона постійно зростає і пов’язане це зі збільшенням закупівельних цін на
борошно, яке є основною складовою собівартості хліба. Вживання хлібобулочних
виробів населенням України в тисячах тонн представлено на рис. 1.1.
Що ж вплинуло на такий хід подій на ринку хлібобулочних
виробів. По-перше, на вживання хліба вплинула його вартість. За часів СРСР його
виробництво будо дотаційним, тому деякі дозволяли собі закупати зачерствілий
хліб на корм тваринам. Зараз це недозволена розкіш. Підвищені ціни змусили
багатьох змінити своє відношення до хлібу - кожен намагається придбати рівно
стільки, щоб потім не викидати залишки у смітник.
По-друге, потрібно враховувати такий момент, як негативний
вплив у демографічній ситуації країни. Скорочення кількості населення на 4-6
мільйонів людей (точні дані, нажаль, неможливо назвати), звичайно, також
сказалося на ринок хлібу. Змінюється і структура споживання: рівень благоустрою
людей, що підвищився, вже дозволив багатьом «переформувати» свій раціон, основу
якого ще нещодавно складали мучні вироби, на користь овочів, фруктів, м’ясних
та рибних виробів.
По-третє, значна частина виготовлення хлібу (приблизно
25-30%) пр. випадає на невеликі приватні підприємства та домашню випічку, якій
віддають перевагу не тільки жителі сіл, але і деякі міщани. Зрозуміло, що ця
продукція не піддається обліку за досить об’єктивними обставинами і
статистичними даними на увагу не береться. Тим самим ускладнюється аналіз
ситуації і планування попиту в галузі.
Лев’яча доля випічки хліба в Україні приходиться на 6-7
компаній, що контролюють 45% ринку і ділять його між собою за територіальною
приналежністю. Імпорт, який ледве дотягує до 1% від всієї реалізації, особливо
на ситуацію не впливає.
Хліб в нашій країні є досить дешевим. Його середня ціна
складає приблизно 0,5 дол., в той час як в Білорусії та Молдові - 0,6-0,7 дол.,
Росії - 0,8-0,9 дол., Чехії - 1,1 дол., Латвії - 1,3 дол., Великобританії - 2,4
дол., Данії - 3,1 дол. Проте, постулат «доступного хліба» держава підтримує не
тільки регулюючими актами, але і «вливаннями» борошна, реалізуючи сировину зі
своїх резервів за ціною, яка на 25-30% нижче ринкової. Але його не так багато і
задовольнити потреби заводів вдається в кращому випадку на чверть.
Хоч скарги на урегульованість ціноутворення і мають місце,
хлібний бізнес вважається одним з найбільш стабільних і практично не
ризикованих. Ті компанії, які стверджують що рентабельність їх пекарень
коливається в межах 2-5%, все ж кривлять душею, оскільки вона складає 5-25% в
залежності від продукції що випускається.
Кількість «соціального хліба», що випускається з борошна
нижчих сортів, ціни на який знаходяться під ретельним наглядом держави, складає
менше половини від загального обсягу випуску і навряд здатне привести до
банкрутства підприємств.
Зараз асортимент хлібі і хлібобулочних виробів, що
випускаються в Україні, нараховує майже 1000 найменувань і кожен рік до них
додаються ще кілька десятків. Виробники розширяють його за рахунок використання
нових технологій та застосування всіх можливих добавок (кунжут, льон, ізюм,
спеції, горіхи, кокосова стружка і т. п.), наповнювачів та посипок. Ще одна
тенденція - ріст вживання булочок та пиріжків, випуск яких вже досяг 20% від
загального обсягу продукції.
Виявлено, що переважаючою складовою собівартості хліба є
борошно, яке становить 60,3 відсотка. Інші складові собівартості хліба мали
незначний відсоток, а саме: паливо - 5,8 %, заробітна плата - 4,3 %,
електроенергія - 1,5 %, інші витрати в сукупності - 28,1 відсотка.
Рис. 1.2 Складові собівартості хліба, %.
Покращені ржано-пшеничні сорти хлібу випікають з житнього
борошна різних сортів і пшеничного борошна першого, другого сортів та обійної з
додаванням солоду, патоки, прянощів (аніс, тмин, коріандр). Хліб отримують
заварним способом, він має солодкуватий смак і специфічний аромат.
Бородянський хліб випікають формовим, штучним, масою 0,5-1,0
кг.
Виготовляють хліб із житньої обійної та пшеничного борошна
другого сорту з додаванням патоки, цукру, червоного солоду. Поверхню хлібу
обсипають тмином, анісом або коріандром. Хліб має солодкуватий смак, приємний
аромат.
Столовий хліб з житньої обдирної і пшеничного борошна першого
сорту, додають цукор. Смак дещо солодкуватий, м’яка частина світла. Випікають
подовим (кругла форма) штучним, масою 0,7-1,0 кг.
Ризький хліб випікають у вигляді батонів 0,4-0,8 кг з тупими
кінцями. Отримують його з житньої сіяної (85%) і пшеничного борошна першого
сорту (10%) з додаванням білого солоду (5%), патоки або цукру і тмину. Хліб має
світлий колір, солодкуватий смак, невисоку кислотність (7%) і гарну пористість.
Мінський хліб має форму батону з загостреними кінцями,
штучний від 0,4 до 0,8 кг. Отримують тісто для батону на заквасці, не містить
солоду. Смак кислуватий, м’яка частина більш світла, ніж у Ризького.
Дарницький хліб виробляють формовим або подовим, штучним
масою 0,5-1,25 кг. Виготовляють із суміші житнього борошна і пшеничного борошна
першого ґатунку.
Російський хліб виготовляють подовим і формовим, масою
0,5-1,1 кг. Отримують із суміші житнього та пшеничного борошна першого ґатунку.
В даному випадку ми розглядаємо перевезення хлібу і
хлібобулочних виробів з Хлібокомбінату №2. Одним із стратегічних видів
продукції на хлібокомбінаті №2 є виробництво хліба українського домашнього подового
вагою 0.9 кг на печах Гостол. Також у 2008році в цеху №1 було введено в дію
лінію білоруського хліба. Крім того в булочному цеху виробляються булочні і
здобні вироби в асортименті, кекси, короваї на замовлення.
У даний час потужність комбінату складає :
Хліб український домашній подовий, (0,9) 58,2 т/добу
Батон Нива, (0,5) 25,3 т/добу
Хліб пшеничний, (0,65) 17,9 т/добу
Заварні сорти 18,0 т/добу
Враховуючи, що питома вага хліба українського в загальному
обсязі виробництва складає 60 %, доходність підприємства в основному базується
на випуску якісного, конкурентоспроможного українського хліба, який
користується попитом у покупців всіх районів м. Києва, Київської області та
інших регіонів України.
1.3 Особливості перевезень
Перевозять хліб спеціалізованим автомобільним транспортом,
обладнаним лотками для хліба. Хлібні вироби укладають на лотки в один ряд на
нижню чи бічну кірку або на ребро. Транспорт, що перевозить хліб, має
відповідати певним санітарно-гігієнічним вимогам; дозвіл на його експлуатацію видає
санітарна інспекція.
Найбільш прогресивним у даний час є контейнерний спосіб
перевезення хліба, при якому процеси його вантаження і вивантаження
механізовані, скорочені простої автотранспорту, краще зберігається свіжість
виробів.
На підприємствах торгівлі хліб зберігають у підсобних
приміщеннях і торгових залах. Приміщення повинні бути сухими, чистими,
вентильованими, з рівномірною температурою і відносною вологістю повітря. Хліб
краще зберігає свої споживчі властивості при температурі 20-25°С і відносній
вологості повітря 75%.
При зберіганні в хлібі протікають процеси, що впливають на
його масу і якість.
При всихання відбуваються в основному втрата вологи і
одночасно зменшення маси виробу. Формовий хліб всихає швидше, ніж подовий, тому
що має велику вологість. Дрібно-штучні вироби випаровують вологу інтенсивніше.
Черствіння хліба при зберіганні - це складний
фізико-колоїдний процес, який не можна пов'язувати з усихання. Хліб може
черствіти, але не всихати. У черствого хліба м'яка частина нееластична, тверда,
кришаться, а скориночка м'яка, матова, тоді як у свіжого вона гладка,
глянсуватим, блискуча, тендітна. Специфічні аромат і смак влежаного, черствого
хліба з'являються внаслідок втрати і руйнування частини ароматичних речовин. У
свіжому хлібі набряклі крохмальні зерна знаходяться в аморфному стані. При
зберіганні відбувається перехід крохмалю з аморфного в кристалічний стан. При
цьому структура крохмальних зерен ущільнюється, обсяг їх зменшується,
з'являються тріщини між білком і крохмалем, відбувається також часткове
виділення вологи. Ця волога частково утримується м'якушем, а частково
розм'якшує кірку. Хліб з житнього борошна довше зберігає свіжість, ніж хліб з
пшеничного борошна, внаслідок повільного старіння житнього крохмального
клейстеру і більшого змісту кислот. Додавання в тісто цукру, патоки, молока,
сироватки, жирів уповільнює процес черствіння хліба.
Заморожування при -20°С і нижче дозволяє зберегти свіжість
хліба і булочних виробів тривалий час. Проте спосіб цей порівняно дорогий і має
обмежене застосування.
З втратою хлібом статусу соціального стратегічного продукту,
спостерігаються зміни у питанні необхідності фасування хліба та різних
хлібобулочних виробів. Якщо говорити про маленькі пекарні, які реалізують свій
товар через мережу кіосків і булочних, або про цехи випічки сегмента HoReCa
(сфери індустрії гостинності), то питання упаковки носять в більшості випадків
маркетинговий характер.
Ситуація йде інакше, якщо хліб виробляється в промислових
масштабах для забезпечення населення цим продуктом щодня. Основні вимоги
диктують, звичайно, споживачі міст, основним каналом збуту хліба в яких є
мережевий роздріб.
1.4 Аналіз передових транспортних технологій
Для перевезення хліба використовуються автомобілі-фургони,
обладнані напрямними для встановлення лотків, чи автомобілі, пристосовані для
перевезення хліба у тарі-обладнанні.
Рис. 1.3 СРС для перевезення хліба на лотках
Хлібний фургон призначений для перевезення кондитерських та
хлібобулочних виробів на лотках. Кількість лотків в модифікації ГАЗ 3302
«ГАЗель» буває 98, 112 і 128, в модифікації ГАЗ 3307 і ГАЗ 3309 йде по 200
лотків. Хлібні фургони мають декілька незалежних секцій, кожна з яких володіє
власною навстіж дверима.
Кузов хлібного фургона прямокутної форми має конструкцію
панельно-каркасного типу і складається з основи, передньої, задньої, бокової
стінок і дверних рам. З правого боку кузова розташовані три або чотири
однопільні двері (залежно від моделі хлібного фургона) з кутом відкривання
стулок 180 градусів. Стулки дверей мають гумові ущільнювальні профілі та
обладнані штанговими запорами. Для забезпечення збереження вантажу передбачена
можливість установки на двері замки і пломби. Каркас кузова фургона для
перевезення хліба та підстави - металевий, зварений чи збірної конструкції,
виконаний із сталевого профілю. Каркаси передній, бічних панелей, даху, дверних
прорізів виготовлені в оригінальному профілю з оцинкованого металу.
Зовнішня обшивка хлібного фургона може бути виготовлена:
З ламінованої фанери високоякісного матеріалу, виробленого за
фінською технологією. Фанера має товщину 10 мм. Вона не вимагає фарбування,
водостійка і не піддається корозії. Бічні панелі кузова виконані з цілісних
листів фанери, що не мають стикових з'єднань;
З дубльованого металу - оцинкованої сталі (товщина 0,7 мм),
покритої особливо міцної емаллю, нанесеною по високотемпературної технології в
заводських умовах. Кузов фургона з дубльованого металу надійно захищений від
несприятливих впливів навколишнього середовища й має підвищену корозійну
стійкість. Плакованих метал кріпиться до каркаса витяжними заклепками. Метал
покритий захисною плівкою, яка видаляється перед початком експлуатації фургона.
Завантажувати і розвантажувати вироби можна
вантажопідіймальним бортом автомобіля. Широко застосовуються вагони-підйомники
різних типів. Кожний з цих автофургонів є металевим фургоном з
гідропідйомником, вантажна платформа якого одночасно виконує функції заднього
торцевого борту машини.
Хліб перевозиться в лотка або в контейнерах. Хлібний
контейнер пристосований дня зберігання та транспортування хлібу. Базовий вигляд
контейнеру показаний на Рис. 2.5.
Таблиця 1.1
Технічні характеристики контейнеру СХК-64
|
Висота
|
1760 мм
|
|
Ширина
|
810 мм
|
|
Глибина
|
630 мм
|
|
Місткість
|
8 лотків
|
|
Маса (нетто)
|
64 кг
|
Рис. 1.4 Загальний вигляд контейнеру для перевезення хлібу
.5 Обґрунтування і вибір теми проекту
Перевезення стали невід’ємною частиною нашого життя, адже
саме завдяки їм ми отримуємо потрібну нам продукцію вчасно і без зайвих зусиль.
За останні десятиліття ринок з надання транспортних послуг значно розширився, а
з ним і зросла конкуренція. Криза, що почалася ще у 2008 році і котра триває і
по сьогодні лише зробила цю конкуренцію сильнішою та жорсткішою і для того, щоб
працювати і отримувати прибутки і надалі потрібно оптимізувати дану схему праці
і додавати якісь новинки.
З іншого боку, останнім часом дуже гостро постало питання про
захист навколишнього середовища. При цьому саме шкідливим викидам від
діяльності транспорту належить левова частка забруднень. Тому вже зараз у
розвинених країнах вживають заходів щодо оптимізації роботи транспортних
засобів. І якщо підприємець не хоче залишитися на узбіччі ринку, то він повинен
йти в ногу з часом і новітніми технологіями.
Саме поєднавши ці два питання і виникла тема мого дипломного
проекту: «Підвищення ефективності перевезень хлібобулочної продукції». В цьому
проекті я намагатимуся впровадити вивчений мною матеріал у навчальному закладі
по спеціальності “Організація перевезень і управління на транспорті
(автомобільний)”, та надати рекомендації щодо удосконалення перевізного
процесу, враховуючи важливість охорони навколишнього середовища та підвищення
конкурентоспроможності підприємств на ринку послуг у сфері організації і здійснення
перевезень.
перевезення автомобіль рухомий маршрут
РОЗДІЛ 2. ОРГАНІЗАЦІЙНИЙ РОЗДІЛ
2.1 Характеристика ПАТ «Київхліб»
Публічне акціонерне товариство «Київхліб» - визнаний лідер
хлібопекарного ринку України.
До складу компанії входить 6 хлібокомбінатів у столиці, а
також 6 виробничих майданчиків в Київській області, - в містах Бровари,
Васильків, Макарів, Сквира, Біла Церква і Фастів.
Акціонерне товариство має свій парк рухомого складу по
перевезенню хлібо-булочних виробів та ремонтну зону і постійно оновлює рухомий
склад.
Виробничі потужності дозволяють випускати до 1200 т
хлібобулочних і 65 т кондитерських виробів на добу. На сьогоднішній день
асортимент продукції налічує близько 600 найменувань.
Щоб мешканці столичного регіону могли щоденно отримувати
свіжий хліб, на підприємствах ВАТ «Київхліб» працює близько 6 тисяч робітників
і фахівців.
Між тим, славетна історія об’єднання київських
хлібопекарських підприємств налічує вже більше 80 років. Із 1930 року, зі
створенням київського тресту «Головхліб» в Києві, було побудовано 12
хлібокомбінатів.
У 1996 році на базі державного підприємства
"Київхліб" створено відкрите акціонерне товариство
"Київхліб".
Зробивши ставку на досвід і професіоналізм фахівців, зберігши
кращі традиції, використовуючи вироблені впродовж багатьох років технології
виробництва та рецептури, компанія взяла курс на завоювання лідируючих позицій
на вітчизняному ринку.
Наразі об’єднання випускає хлібобулочну і кондитерську
продукцію під торговими марками: ТМ «Київхліб», ТМ «БКК», ТМ «Марсель», ТМ
«Червона калина», ТМ «Гаряча штучка».
Сьогодні на комбінатах здійснюється системна реконструкція,
постійно удосконалюється і модернізується парк технологічного устаткування,
запускаються нові виробничі потужності. Завдяки висококваліфікованим
спеціалістам та вдалій реалізації нових рецептур динамічно нарощується випуск
нової продукції, розширюється асортимент.
Питанням якості продукції та дотриманню технології її
виготовлення компанія приділяє першочергового значення. Хліб виготовляється з натуральної
високоякісної сировини, без використання консервантів і поліпшувачів. Продукція
не містить ГМО.
З метою підвищення ефективності управління виробництвом і
конкурентоспроможності продукції, на всіх підприємствах сертифіковані і
функціонують системи управління якістю згідно з вимогами стандарту ISO 9001, на
хлібокомбінатах № 10 і № 12 впроваджено систему безпечності продукції HACCP.
Для утримання парку автомобілів були розроблені зони
технічного обслуговування та поточного ремонту, а також декілька ремонтних
відділень, такі як слюсарно-механічне, агрегатне, акумуляторне, шиноремонтне,
електротехнічне та інші.
2.2 Факторне дослідження продуктивності
автомобілів і собівартості перевезень
Одним з найважливіших показників роботи рухомого складу є
його продуктивність. Для аналізу ефективності роботи транспортних засобів по
АТП розрахуємо годинну продуктивність автомобілів та собівартість перевезення
для простого циклу. Це дасть змогу визначити методи підвищення ефективності
використання автотранспортних засобів шляхом визначення характеру та ступеню
впливу окремих техніко-експлуатаційних факторів на продуктивність і
собівартість.
Годинна продуктивність роботи автомобіля визначається за
формулою:

(2.1)
Собівартість автомобільних перевезень визначається за формулою:

(2.2)
середнє значення постійних витрат автомобіля вантажопідйомністю 
в
базовому періоді = 157,55 коп/год.


коп/т.
Взявши фактори, що аналізуються змінним, за відомими формулами
отримаємо залежності:

(2.3.)
Зміна 
та

визначається
при значенні зміні техніко-експлуатаційних показників наведених у таблиці 3.1.
Таблиця2.1.
Значення зміни техніко-експлуатаційних показників
|
|
|
|
|
|
|
|
Зміна ТЕП, %
|
7,8
|
-1,6
|
4,7
|
-2,3
|
-3,4
|
6,2
|
|
фактичне значення
|
2,44
|
0,867
|
22,93
|
1,22
|
13,33
|
0,907
|
Визначимо фактичну заміну ТЕП у відсотках за наступною
формулою:

(2.4)
Для виявлення взаємопов’язаного впливу факторів на продуктивність
автомобілів і собівартість перевезень визначимо зміну цих величин при зміні
техніко-експлуатаційних параметрів використавши математичні залежності впливу
відносних змін:
Таким чином, зміна годинної продуктивності автомобіля, як наслідок
зміни ТЕП у відсотках визначається в такий спосіб:
у відсотках - 
Внаслідок складності математичного апарату зміна собівартості
перевезень у випадку зміни кожного значення техніко-експлуатаційного показника
матиме вигляд:
у відсотках - 
у тоннах - 
середнє значення собівартості, розраховане за математичною залежністю
(1.2) грн./т.

коп/т.

коп/т.

коп/т.

коп/т.

коп/т.

коп/т.
Результати розрахунків наведені у таблиці 3.2.
Таблиця 2.2
Результати розрахунків зміни продуктивності і собівартості залежно від
змінних показників
|
№ п/п
|
Показники
|
Умовні позначення
|
Зміна годинної
продуктивності
|
Зміна собівартості
перевезень
|
|
|
|
|
|
|
|
|
1.
|
Вантажопідйомність
і ступінь її використання, т
|
|
7,97
|
0,091
|
-7,2
|
-296,62
|
|
2.
|
Коефіцієнт
статичного використання вантажопідйомності
|
|
-1,59
|
-0,018
|
-1,47
|
-61,38
|
|
3.
|
Технічна швидкість,
км/год
|
|
1,74
|
0,007
|
-0,7
|
-28,84
|
|
4.
|
Коефіцієнт
використання пробігу
|
|
1,51
|
0,017
|
-0,64
|
-26,37
|
|
5.
|
Пробіг автомобіля з
вантажем за їздку, км
|
|
1,26
|
0,014
|
-2,26
|
-93,1
|
|
6.
|
Час простою під
навантаженням-розвантаженням, год
|
|
2,3
|
0,026
|
-4,32
|
-177,97
|
2.3 Заходи по удосконаленню транспортного процесу
Для удосконалення транспортного процесу та зменшення затрат
на нього потрібно:
) в організації перевезення ввести нові технології обліку і
контролю транспортних засобів, що дасть можливість економії грошових коштів за
рахунок контролю витрат пального і використання рухомого складу на маршруті;
) рухомий склад АТП потрібно оновити та модернізувати,
застарілі автомобілі списати або продати, розглянути питання придбання
транспортних засобів на умовах лізингу. Оновлення парку рухомого складу дає
можливість економії коштів на витратах пального та ремонту автомобілів;
) необхідно здійснити ремонт доріг, організацію та оформлення
під’їзних шляхів, обладнання стояночних місць та облаштування
розвантажувально-навантажувальних майданчиків для зменшення часу заїзду
автомобілів в пункт завозу і зменшення часу простою автомобіля під
навантаженням або розвантаженням;
) загалом по АТП слід підвищити коефіцієнт використання
вантажопідйомності автомобілів шляхом формування збірних/розвізних партій
вантажу;
) зменшити простій в очікуванні замовлень;
) удосконалити процес навантаження-розвантаження шляхом
впровадження нових механічних на механізованих
навантажувально-розвантажувальних засобів.
РОЗДІЛ 3. РОЗРАХУНКОВО-ТЕХНОЛОГІЧНИЙ РОЗДІЛ
3.1 Характеристика вантажу, вантажовідправників і
вантажоодержувачів
Наносимо на карту Києва вантажовідправника-виробника та
вісімнадцять вантажоотримувачів.
Партії вантажу, які потрібно доставити та відстані від ВВ до
ВО наведені в таблиці 3.1
Рис. 3.1 - Ситуаційний план.
Таблиця 3.1
Обсяги перевезень вантажів та відстані між ВВ та ВО
|
Вантажо-відправник
|
Вантажо-одержувач
|
L, км
|
Обсяги перевезень,
т
|
Вантажообіг, ткм
|
|
ПАТ «Київхліб»
|
B1
|
11,2
|
1,2
|
13,44
|
|
ПАТ «Київхліб»
|
B2
|
0,8
|
10,56
|
|
ПАТ «Київхліб»
|
B3
|
14
|
1,1
|
15,40
|
|
ПАТ «Київхліб»
|
B4
|
11,6
|
1
|
11,60
|
|
ПАТ «Київхліб»
|
B5
|
8,4
|
0,65
|
5,46
|
|
ПАТ «Київхліб»
|
B6
|
2,8
|
0,9
|
2,52
|
|
ПАТ «Київхліб»
|
B7
|
8
|
0,8
|
6,40
|
|
ПАТ «Київхліб»
|
B8
|
8,4
|
0,75
|
6,30
|
|
ПАТ «Київхліб»
|
B9
|
3,6
|
0,7
|
2,52
|
|
ПАТ «Київхліб»
|
B10
|
11,6
|
0,95
|
11,02
|
|
ПАТ «Київхліб»
|
B11
|
11,6
|
0,6
|
6,96
|
|
ПАТ «Київхліб»
|
B12
|
15,2
|
0,5
|
7,60
|
|
ПАТ «Київхліб»
|
B13
|
8,4
|
1,05
|
8,82
|
|
ПАТ «Київхліб»
|
B14
|
16,8
|
0,4
|
6,72
|
|
ПАТ «Київхліб»
|
B15
|
14
|
0,3
|
4,20
|
|
ПАТ «Київхліб»
|
B16
|
15,2
|
1,15
|
17,48
|
|
ПАТ «Київхліб»
|
B17
|
16,4
|
0,2
|
3,28
|
|
ПАТ «Київхліб»
|
B18
|
18,8
|
1,25
|
23,50
|
Таблиця 3.2 Відстані між пунктами
|
1
|
2
|
3
|
4
|
5
|
6
|
7
|
8
|
9
|
10
|
11
|
12
|
13
|
14
|
15
|
16
|
17
|
18
|
атп
|
ВВ
|
|
1
|
0
|
18,4
|
20,8
|
18,4
|
16,4
|
13,2
|
8
|
18,8
|
11,6
|
22,4
|
13,2
|
26
|
16,4
|
27,6
|
24,4
|
20,8
|
23,6
|
29,6
|
11,6
|
11,2
|
|
2
|
18,4
|
0
|
3,6
|
2,8
|
6
|
11,2
|
20
|
10,8
|
16,8
|
13,2
|
24,4
|
16
|
20,4
|
18,4
|
21,6
|
27,6
|
28
|
23,6
|
92
|
13,2
|
|
3
|
20,8
|
3,6
|
0
|
2,8
|
6
|
11,6
|
21,6
|
9,2
|
17,6
|
10,8
|
25,6
|
13,2
|
20,4
|
15,6
|
20
|
27,6
|
27,6
|
20,8
|
10,8
|
14
|
|
4
|
18,4
|
2,8
|
2,8
|
0
|
3,6
|
9,2
|
18,8
|
8,4
|
15,2
|
10,4
|
23,2
|
13,2
|
18,4
|
16
|
18,8
|
25,6
|
26
|
20,8
|
8,4
|
11,6
|
|
5
|
16,4
|
6
|
6
|
3,6
|
0
|
6
|
16
|
5,2
|
11,6
|
8,4
|
20
|
11,6
|
14,8
|
14
|
16
|
22
|
22,4
|
18,4
|
5,2
|
8,4
|
|
6
|
13,2
|
11,2
|
11,6
|
9,2
|
6
|
0
|
10,4
|
6
|
6
|
9,2
|
14
|
13,2
|
9,2
|
14,8
|
13,2
|
16,8
|
17,6
|
17,6
|
2,8
|
2,8
|
|
7
|
8
|
20
|
21,6
|
18,8
|
16
|
10,4
|
0
|
16
|
6
|
18,8
|
6
|
22,4
|
9,2
|
23,2
|
18,4
|
13,2
|
16
|
24
|
10,8
|
8
|
|
8
|
18,8
|
10,8
|
9,2
|
8,4
|
5,2
|
6
|
16
|
0
|
10,4
|
3,6
|
18,4
|
7,2
|
11,6
|
9,2
|
10,8
|
18,8
|
18,4
|
13,2
|
7,2
|
8,4
|
|
9
|
11,6
|
16,8
|
17,6
|
15,2
|
11,6
|
6
|
6
|
10,4
|
0
|
13,2
|
8,4
|
16,4
|
5,2
|
17,6
|
13,2
|
11,6
|
13,2
|
18,4
|
7,2
|
3,6
|
|
10
|
22,4
|
13,2
|
10,8
|
10,4
|
8,4
|
9,2
|
18,8
|
3,6
|
13,2
|
0
|
20,8
|
3,6
|
13,2
|
6
|
9,2
|
20
|
18,8
|
10,4
|
11,2
|
11,6
|
|
11
|
13,2
|
24,4
|
25,6
|
23,2
|
20
|
14
|
6
|
18,4
|
8,4
|
20,8
|
0
|
23,6
|
8,4
|
24
|
17,6
|
8,4
|
11,6
|
23,2
|
15,2
|
11,6
|
|
12
|
26
|
16
|
13,2
|
13,2
|
11,6
|
13,2
|
22,4
|
7,2
|
16,4
|
3,6
|
23,6
|
0
|
15,6
|
2,8
|
9,2
|
20
|
8,4
|
14,8
|
15,2
|
|
13
|
16,4
|
20,4
|
20,4
|
18,4
|
14,8
|
9,2
|
9,2
|
11,6
|
5,2
|
13,2
|
8,4
|
15,6
|
0
|
16
|
9,2
|
7,2
|
8,4
|
15,2
|
11,6
|
8,4
|
|
14
|
27,6
|
18,4
|
15,6
|
16
|
14
|
14,8
|
23,2
|
9,2
|
17,6
|
6
|
24
|
2,8
|
16
|
0
|
8,4
|
20,8
|
18,8
|
6
|
16,8
|
16,8
|
|
15
|
24,4
|
21,6
|
20
|
18,8
|
16
|
13,2
|
18,4
|
10,8
|
13,2
|
9,2
|
17,6
|
9,2
|
9,2
|
8,4
|
0
|
13,2
|
10,8
|
6
|
16
|
14
|
|
16
|
20,8
|
27,6
|
27,6
|
25,6
|
22
|
16,8
|
13,2
|
18,8
|
11,6
|
20
|
8,4
|
21,6
|
7,2
|
20,8
|
13,2
|
0
|
3,6
|
18,4
|
18,8
|
15,2
|
|
17
|
23,6
|
28
|
27,6
|
26
|
22,4
|
17,6
|
16
|
18,4
|
13,2
|
18,8
|
11,6
|
20
|
8,4
|
18,8
|
10,8
|
3,6
|
0
|
15,6
|
20
|
16,4
|
|
18
|
29,6
|
23,6
|
20,8
|
20,8
|
18,4
|
17,6
|
24
|
13,2
|
18,4
|
10,4
|
23,2
|
8,4
|
15,2
|
6
|
6
|
18,4
|
15,6
|
0
|
20
|
18,8
|
|
атп
|
11,6
|
9,2
|
10,8
|
8,4
|
5,2
|
2,8
|
10,8
|
7,2
|
7,2
|
11,2
|
15,2
|
14,8
|
11,6
|
16,8
|
16
|
18,8
|
20
|
20
|
0
|
3,6
|
|
ВВ
|
11,2
|
13,2
|
14
|
11,6
|
8,4
|
2,8
|
8
|
8,4
|
3,6
|
11,6
|
11,6
|
15,2
|
8,4
|
16,8
|
14
|
15,2
|
16,4
|
18,8
|
3,6
|
0
|
.2 Вибір рухомого складу
Для виконання перевезення візьмемо три автомобілі різної
вантажопідйомності та проаналізуємо, який автомобіль найбільш точно відповідає
заданому типу перевезень. Для перевезення розфасованої крупи в мережу магазинів
міста необхідно автомобіль-фургон. Вантажопідйомність для маятникових маршрутів
не повинна бути меншою ніж найбільший обсяг партії завезення, тобто 1,25 т.
Також необхідно враховувати, що вантаж перевозиться на піддонах, а це означає,
що внутрішні габарити кузова вантажного автомобіля повинні відповідати
раціональному розміщенню піддонів в кузові. Також для зручного
навантаження-розвантаження висота платформи має бути не високою, а розміри
дверного отвору має забезпечувати можливість використання
навантажувально-розвантажувальних механізмів.
Виконання вантажних робіт може здійснюватися з допомогою
різних механізмів. Завантаження може здійснюється за допомогою
електронавантажувачів. Розвантаження в пунктах завозу переважно здійснюється за
допомогою використання механічних пристроїв (наприклад, рокла) або вручну.
Для подальших розрахунків оберемо три типи рухомого складу,
технічна характеристика яких подана у таблиці 3.2:
. ГАЗ 2705.
. ГАЗ 33106.
. МАЗ 478800.
Таблиця 3.2
Характеристика рухомого складу
|
Характеристика
|
ГАЗ 2705
|
ГАЗ 33106
|
МАЗ 478800
|
|
Колісна формула
|
4х2
|
4х2
|
4х2
|
|
Тип двигуна
|
Бензин
|
Дизель
|
Дизель
|
|
Екологічний стандарт
|
Euro 2
|
Euro 2
|
Euro 2
|
|
Робочій об’єм двигуна, л
|
2,45
|
3,9
|
6,4
|
|
Максимальна швидкіст,
км/год
|
115
|
110
|
85
|
|
Вантажопідйомність, т
|
1,3
|
3,45
|
4,5
|
|
Габаритні розміри кузова,
см
|
314/183/150
|
640/223/295
|
520/245/245
|
Для перевезень вантажів на розвізних маршрутах слід обирати
автомобіль такої вантажопідйомності, за якої транспортна робота
виконуватиметься з мінімальними витратами. Для цього із запропонованого ряду
автомобілів різної вантажопідйомності необхідно обрати автомобіль, який
найповніше відповідає конкретним умовам перевезень.
Для оцінки і вибору автомобіля оптимальної вантажопідйомності
визначимо рівноцінну середню відстань доставки вантажу, за якої собівартість
перевезень порівнюваних автомобілів однакова. При цьому на розвізних маршрутах
із одночасним розвозом і збором вантажу автомобілі більшої вантажопідйомності
доцільно застосовувати, якщо:
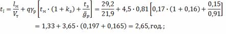
Час простою автомобіля під навантаженням-розвантаженням за
одну їздку визначається за формулою:
Для визначення середньої відстані пробігу автомобілю між
суміжними пунктами завозу вантажу використаємо найкоротшу зв’язуючи мережу. Для
цього заповнимо таблицю відстаней на основі ситуаційного плану.
Для визначення ланок НЗМ заповнимо таблицю 3.3.
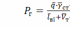
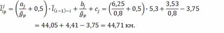
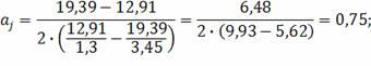
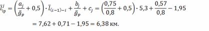
Таблиця 3.3 Ланки НЗМ
|
В2
|
В3
|
В4
|
В5
|
В6
|
В7
|
В8
|
В9
|
В10
|
В11
|
В12
|
В13
|
В14
|
В15
|
В16
|
В17
|
В18
|
А
|
|
І
|
18,4 (1)
|
20,8 (1)
|
18,4 (1)
|
16,4 (1)
|
13,2 (1)
|
8 (1)
|
18,8 (1)
|
11,6 (1)
|
22,4 (1)
|
13,2 (1)
|
26 (1)
|
16,4 (1)
|
27,6 (1)
|
24,4 (1)
|
20,8 (1)
|
23,6 (1)
|
29,6 (1)
|
11,2 (1)
|
|
ІІ
|
18,4 (1)
|
20,8 (1)
|
18,4 (1)
|
16 (7)
|
10,4 (7)
|
|
16 (7)
|
6 (7)
|
18,8 (7)
|
6 (7)
|
22,4 (7)
|
9,2 (70
|
23,2 (7)
|
18,4 (7)
|
13,2 (7)
|
16 (7)
|
24 (7)
|
8 (7)
|
|
ІІІ
|
16,8 (9)
|
17,6 (9)
|
15,2 (9)
|
11,6 (9)
|
6 (9)
|
|
10,4 (9)
|
|
13,2 (9)
|
6 (7)
|
16,4 (9)
|
5,2 (9)
|
17,6 (9)
|
13,2 (9)
|
11,6 (9)
|
13,2 (9)
|
18,4 (9)
|
3,6 (9)
|
|
IV
|
13,2 (А)
|
14 (А)
|
11,6 (А)
|
8,4 (А)
|
2,8 (А)
|
|
8,4 (А)
|
|
11,6 (А)
|
6 (7)
|
15,2 (А)
|
5,2 (9)
|
16,8 (А)
|
13,2 (9)
|
11,6 (9)
|
13,2 (9)
|
18,4 (9)
|
|
|
V
|
11,2 (6)
|
11,6 (6)
|
9,2 (6)
|
6 (6)
|
|
|
6 (6)
|
|
9,2 (6)
|
6 (7)
|
13,2 (6)
|
5,2 (6)
|
14,8 (6)
|
13,2 (6)
|
11,6 (9)
|
13,2 (9)
|
17,6 (6)
|
|
|
VI
|
11,2 (6)
|
11,6 (6)
|
9,2 (6)
|
6 (6)
|
|
|
6 (6)
|
|
9,2 (6)
|
6 (7)
|
13,2 (6)
|
|
14,8 (6)
|
9,2 (13)
|
7,2 (13)
|
8,4 (13)
|
15,2 (13)
|
|
|
VII
|
6 (5)
|
3,6 (5)
|
|
|
|
5,2 (5)
|
|
8,4 (5)
|
6 (7)
|
11,6 (5)
|
|
14 (5)
|
9,2 (13)
|
7,2 (13)
|
8,4 (13)
|
15,2 (13)
|
|
|
VIII
|
6 (5)
|
6 (5)
|
3,6 (5)
|
|
|
|
|
|
3,6 (8)
|
6 (7)
|
7,2 (8)
|
|
9,2 (8)
|
9,2 (13)
|
7,2 (13)
|
8,4 (13)
|
13,2 (8)
|
|
|
IX
|
2,8 (4)
|
2,8 (4)
|
|
|
|
|
|
|
3,6 (8)
|
6 (7)
|
7,2 (8)
|
|
9,2 (8)
|
9,2 (13)
|
7,2 (13)
|
8,4 (13)
|
13,2 (8)
|
|
|
X
|
2,8 (4)
|
|
|
|
|
|
|
|
3,6 (8)
|
6 (7)
|
7,2 (8)
|
|
9,2 (8)
|
9,2 (13)
|
7,2 (13)
|
8,4 (13)
|
13,2 (8)
|
|
|
XI
|
|
|
|
|
|
|
|
|
3,6 (8)
|
6 (7)
|
7,2 (8)
|
|
9,2 (8)
|
9,2 (13)
|
7,2 (13)
|
8,4 (13)
|
13,2 (8)
|
|
|
XII
|
|
|
|
|
|
|
|
|
|
6 (7)
|
3,6 (10)
|
|
6 (10)
|
9,2 (10)
|
7,2 (13)
|
8,4 (13)
|
10,4 (10)
|
|
|
XIII
|
|
|
|
|
|
|
|
|
|
6 (7)
|
|
|
2,8 (12)
|
9,2 (12)
|
7,2 (13)
|
8,4 (13)
|
8,4 (12)
|
|
|
XIV
|
|
|
|
|
|
|
|
|
|
6 (7)
|
|
|
|
8,4 (14)
|
7,2 (13)
|
8,4 (13)
|
6 (14)
|
|
|
XV
|
|
|
|
|
|
|
|
|
|
|
|
|
|
8,4 (14)
|
7,2 (13)
|
8,4 (13)
|
6 (14)
|
|
|
XVI
|
|
|
|
|
|
|
|
|
|
|
|
|
|
6 (18)
|
7,2 (13)
|
8,4 (13)
|
|
|
|
XVII
|
|
|
|
|
|
|
|
|
|
|
|
|
|
|
7,2 (13)
|
8,4 (13)
|
|
|
|
XVIII
|
|
|
|
|
|
|
|
|
|
|
|
|
|
|
|
3,6 (16)
|
|
|
Таблиця 3.4
Ланки найкоротшої зв’язуючої мережі
|
Ланки НЗМ
|
Відстань, км
|
|
1-7
|
8
|
|
7-9
|
6
|
|
9-А
|
3,6
|
|
А-6
|
2,8
|
|
6-13
|
5,2
|
|
6-5
|
6
|
|
5-8
|
5,2
|
|
5-4
|
3,6
|
|
4-3
|
2,8
|
|
4-2
|
2,8
|
|
8-10
|
3,6
|
|
10-12
|
3,6
|
|
14-12
|
2,8
|
|
7-11
|
6
|
|
14-18
|
6
|
|
18-15
|
6
|
|
13-16
|
7,2
|
|
16-17
|
3,6
|
Перед вибором автомобіля оптимальної вантажопідйомності
заповнимо таблицю з даними.
Таблиця 3.5
Вихідні дані по автомобілям
|
Автомобілі
|
q, т
|
Сзм коп/км
|
Спос, коп/год
|
Скм коп/ км tнв год
Tз год
|
|
|
|
ГАЗ 2705
|
1,3
|
6,59
|
138,5
|
12,91
|
0,35
|
0,68
|
|
ГАЗ 33106
|
3,45
|
11,58
|
171
|
19,39
|
0,2
|
0,95
|
|
МАЗ 478800
|
4,5
|
14,02
|
187,33
|
23,73
|
0,17
|
1,04
|
Кілометрові витрати розраховуються за формулою:
Для подальших розрахунків візьмемо першу пару автомобілів з
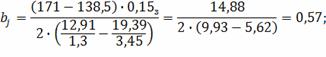
вантажопідйомністю 1,3 т і 3,45 т.
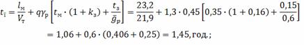
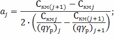
Визначимо рівноцінну відстань за формулою 3.1:
Для побудови номограм додатково розрахуємо значення відстані
з урахуванням зміни розміру партії вантажу.
Таблиця 3.6
Розрахунок відстаней з урахуванням зміни розміру партії
вантажу
|
|
0,5
|
0,8
|
1
|
1,5
|
2
|
2,5
|
3
|
3,5
|
4
|
|
l, км
|
|
-0,82
|
-1,24
|
-1,38
|
-1,57
|
-1,67
|
-1,72
|
-1,76
|
-1,79
|
-1,81
|
|
|
19,21
|
13,15
|
11,13
|
8,44
|
7,09
|
6,28
|
5,74
|
5,36
|
5,07
|
Для розрахунку значень і заповнення таблиці скористуємося
програмою Excel. На основі даних з таблиці 3.6 побудуємо номограми.
Рис. 3.6 - Монограма використання автомобілів.
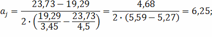
Для подальших розрахунків візьмемо другу пару автомобілів з
вантажопідйомністю 3,45 т і 4,5 т.
Визначимо рівноцінну відстань:
Для побудови номограм додатково розрахуємо значення відстані
з урахуванням зміни розміру партії вантажу.
Таблиця 3.7
Розрахунок відстаней з урахуванням зміни розміру партії
вантажу
|
|
0,5
|
0,8
|
1
|
1,5
|
2
|
2,5
|
3
|
3,5
|
4
|
|
l, км 3,310,66-0,22-1,40-1,99-2,34-2,57-2,74-2,87
|
|
|
|
|
|
|
|
|
|
|
|
|
133,40
|
83,84
|
67,32
|
45,30
|
34,29
|
27,68
|
23,27
|
20,13
|
17,77
|
Для розрахунку значень і заповнення таблиці скористуємося
програмою Excel. На основі даних з таблиці 3.7 побудуємо номограми.
Рис. 3.7 - Монограма використання автомобілів.
Виходячи з отриманих розрахунків і побудованих монограм
встановлено, що доцільно використовувати автомобіль МАЗ 478800
вантажопідйомністю 4,5т для забезпечення розвізних маршрутів.
Таблиця 3.8
Технічна характеристика автомобіля МАЗ 478800
|
Параметр
|
Характеристика
|
|
Тип кузову
|
Фургон
|
|
Тип двигуна
|
Дизель
|
|
Об’єм двигуна, л
|
6,4
|
|
Потужність двигуна, к.с
|
140
|
|
Тип КП
|
Механічна, 5
|
|
Колісна формула
|
4х2
|
|
Розмір шин
|
11.00R20 (300R508)
|
|
Передня підвіска
|
Ресорна
|
|
Задня підвіска
|
Ресорна
|
|
Вантажопідйомність, т
|
4,5
|
|
Об’єм кузову, м3
|
30
|
|
Габаритні розміри кузова,
мм
|
5170/2470/2400
|
3.3 Вибір маршрутів руху автомобілів
Одним з найважливіших факторів, які впливають на підвищення
продуктивності транспортного засобі і зменшення витрат на перевезення, є
відстань навантаженої їздки. Даний розділ призначений для формування розвізних
маршрутів на основі методу найкоротшої зв’язуючої мережі. Об’єднуючи маятникові
маршруті в розбірні ми зменшуємо порожній пробіг автомобіля і загальний пробіг.
Таблиця 3.9
Перший варіант маршрутної мережі
|
Маршрути
|
Обсяг перевезень, т
|
Довжина маршруту,
км
|
|
|
2,7
|
28,8
|
|
|
3,65
|
29,2
|
|
|
4,15
|
44,4
|
|
|
2,4
|
35,6
|
|
|
0,8
|
26,4
|
|
|
0,6
|
23,2
|
|
∑
|
14,3
|
187,6
|
Таблиця 3.10
Другий варіант маршрутної мережі
|
Маршрути
|
Обсяг перевезень, т
|
Довжина маршруту,
км
|
|
|
2,1
|
27,2
|
|
|
4,15
|
40,8
|
|
|
1,55
|
38,8
|
|
|
2,4
|
35,6
|
|
|
2,9
|
32,8
|
|
|
1,2
|
23,2
|
|
∑
|
14,3
|
198,4
|
Загальна довжина маршруті свідчить про те, що перший варіант
маршрутної мережі є біль доцільним. Для уточнення порядку об’їзду пунктів
завозу використаємо метод підсумовування по стовпчиках.
Таблиця 3.11
Відстані для маршруту 
|
|
|
|
|
|
|
|
8
|
11,6
|
11,2
|
|
|
8
|
|
6
|
8
|
|
|
11,6
|
6
|
|
3,6
|
|
|
11,2
|
8
|
3,6
|
|
|
|
30,8
|
22
|
21,2
|
22,8
 ;
 ;
 .
Таблиця 3.12
Відстані для маршруту 
|
|
|
|
|
|
|
|
|
2,8
|
6
|
11,6
|
14
|
|
|
2,8
|
|
3,6
|
9,2
|
11,6
|
|
|
6
|
3,6
|
|
6
|
8,4
|
|
|
11,6
|
9,2
|
6
|
|
2,8
|
|
|
14
|
11,6
|
8,4
|
2,8
|
|
|
|
34,4
|
27,2
|
24
|
29,6
|
36,8
|
 ;
 ;
 .
 ;
 ;
 ;
 .
Таблиця 3.13
Відстані для маршруту 
|
|
|
|
|
|
|
|
|
|
|
3,6
|
7,2
|
9,2
|
10,8
|
13,2
|
8,4
|
|
|
3,6
|
|
3,6
|
6
|
9,2
|
10,4
|
11,6
|
|
|
7,2
|
3,6
|
|
2,8
|
9,2
|
8,4
|
15,2
|
|
|
9,2
|
6
|
2,8
|
|
8,4
|
6
|
16,8
|
|
|
10,8
|
9,2
|
9,2
|
8,4
|
|
6
|
14
|
|
|
13,2
|
10,4
|
8,4
|
6
|
6
|
|
18,8
|
|
|
8,4
|
11,6
|
15,2
|
16,8
|
14
|
18,8
|
|
|
|
52,4
|
44,4
|
46,4
|
49,2
|
57,6
|
62,8
|
84,8
|
 ;
 ;
 .
 ;
 ;
 ;
 .
 ;
 ;
 ;
 ;
 .
 ;
 ;
 ;

 ;
 .
Таблиця 3.14
Відстані для маршруту 
|
|
|
|
|
|
|
|
7,2
|
8,4
|
8,4
|
|
|
7,2
|
|
3,6
|
15,2
|
|
|
8,4
|
3,6
|
|
16,4
|
|
|
8,4
|
15,2
|
16,4
|
|
|
|
24
|
26
|
28,4
|
40
|
 ;
 ;
 .
Рис. 3.8 Маршрути
Таблиця 3.15
Результати розрахунків розвізних маршрутів
|
Маршрут перевезення
|
Довжина маршруту
|
Кількість пунктів
завозу
|
Сумарний обсяг
завозу
|
Коефіцієнт
використання вантажопідйомності автомобіля при розвозі
|
Сумарний обсяг
збору тари
|
Коефіцієнт
супутнього збору
|
|
L, км
|
|
|
|
|
|
|
|
28,8
|
3
|
2,7
|
0,6
|
0,43
|
0,16
|
|
|
29,2
|
4
|
3,65
|
0,81
|
0,58
|
0,16
|
|
|
44,4
|
6
|
4,15
|
0,92
|
0,66
|
0,16
|
|
|
35,6
|
3
|
2,4
|
0,7
|
0,38
|
0,16
|
|
|
26,4
|
1
|
0,8
|
0,62
|
0,13
|
0,16
|
|
|
23,2
|
1
|
0,6
|
0,45
|
0,1
|
0,16
|
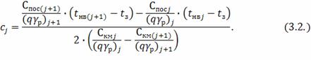
3.4 Експлуатаційні показники використання
рухомого складу
Для дрібнопартіоних перевезень значення експлуатаційних
показників по кожному маршруту і в цілому по проекту визначають у такій послідовності.
На маршруті:
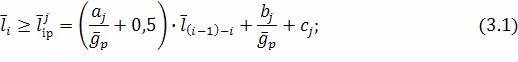
) час однієї їздки автомобіля
 год.;
(3.7)
2) кількість їздок на добу
nї = ntї ;
(3.8)
3) тривалість роботи автомобіля
Tн = tї l , год.; (3.9)
) добова продуктивність автомобіля
 ,
т.; (3.10)
 ,
ткм;
5) на маршруті працює 1 автомобіль
Ае=1; (3.11)
Для маршруту  :
 ткм;
Ае=1;
) 
 .
Для маршруту  :
 ткм;
Ае=1;
) 
 .
Для маршруту 
 ткм;
Ае=1;
) 
 .
Для маршруту  :
 ткм;
Ае=1;
) 
 .
Для маршруту А-В
 61,77 ткм;
Ае=1;
) 52,8
  8,44.
Для маршруту  :
 48,48 ткм;
Ае=1;
)  41,76
 6,73.
За проектом:
) Кількість їздок за добу
 = 23
Кількість автомобілів на маршрутах
 ;
Автомобіле-години в експлуатації
 52,58;
Загальний пробіг

Добова продуктивність автомобіля
 ;
 ;
Фактичний обсяг перевезень
 44,82
 7,18
Фактичний вантажообіг
 ;
 ;
Середня тривалість роботи автомобіля:
Середня довжина маршруту:
Середнє значення коефіцієнта використанні вантажопідйомності:
Середній розмір партії вантажу, що завозиться:
Середній час однієї їздки автомобіля:
Середньодобові продуктивності автомобіля:
в тонах:
в тонно-кілометрах:
Таблиця3.16
Експлуатаційні показники використання рухомого складу на
маршрутах
|
Показники
|
Позначення
|
Маршрут перевезення
|
За проектом
|
|
|
1
|
2
|
3
|
4
|
5
|
6
|
|
|
1. Тривалість
однієї їздки, год.
|
|
2,4
|
2,65
|
3,75
|
3,14
|
1,69
|
1,45
|
2,24
|
|
2. Кількість їздок
за добу
|
|
4
|
3
|
2
|
3
|
5
|
6
|
23
|
|
3. Тривалість
роботи автомобіля, год.
|
|
9,76
|
8,11
|
7,66
|
9,58
|
9,61
|
8,86
|
8,76
|
|
4.Добова
продуктивність автомобіля:
|
|
|
|
|
|
|
|
|
|
т
|
|
12,5
|
12,7
|
9,61
|
8,4
|
4,68
|
418
|
8,68
|
|
ткм
|
|
89,9
|
73,6
|
60,5
|
74,8
|
61,8
|
485
|
68,18
|
|
5. Кількість
автомобілів на маршруті
|
|
1
|
1
|
1
|
1
|
1
|
1
|
6
|
|
6.
Автомобіле-години в експлуатації
|
|
9,76
|
8,11
|
7,66
|
9,58
|
9,61
|
8,86
|
52,58
|
|
7. Загальний пробіг
автомобіля, км
|
|
118,8
|
912
|
92,4
|
110,4
|
135,6
|
142,8
|
691,2
|
|
8. Фактичний обсяг
перевезення, т:
|
|
|
|
|
|
|
|
|
|
вантажу
|
|
3,6
|
4
|
7,2
|
8,3
|
10,9
|
10,8
|
44,82
|
|
тари
|
|
0,58
|
0,64
|
1,15
|
1,33
|
1,75
|
1,73
|
7,18
|
|
9. Фактичний
вантажообіг, ткм:
|
|
|
|
|
|
|
|
|
|
вантажу
|
|
41,8
|
52,8
|
64,1
|
52,3
|
63,3
|
77,8
|
352,03
|
|
тари
|
|
6,68
|
8,45
|
10,2
|
8,38
|
10,2
|
12,5
|
56,36
|
|
10. Середня довжина
маршруту, км
|
|
28,8
|
29,2
|
44,4
|
35,6
|
26,4
|
23,2
|
21,27
|
|
11. Середнє
значення коефіцієнта використання вантажопідйомності
|
|
0,6
|
0,81
|
0,92
|
0,7
|
0,62
|
0,45
|
0,69
|
|
12. Середній розмір
партії вантажу, що завозиться, т
|
|
2,7
|
3,65
|
4,15
|
2,4
|
0,8
|
0,6
|
2,38
|
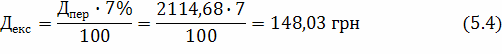
РОЗДІЛ 4. ОХОРОНА
ПРАЦІ
4.1 Вимоги до транспортування, приймання, зберігання і
реалізація хлібобулочних виробів
Перевозять хлібобулочні вироби в основному автомобільним,
рідше водним, залізничним і гужовим видами транспорту. З автомобільного
транспорту для перевезення хлібобулочних виробів найширше застосовується
спеціалізований. Автомашини та інші транспортні засоби, призначені для
перевезень хлібобулочних виробів, повинні мати санітарний паспорт або письмовий
висновок міської чи районної санітарної інспекції про придатність їх для
перевезення цієї продукції.
Хлібобулочні вироби становлять більше як 1/3 загального
обсягу вантажообороту продовольчих товарів. Вони є найбільш зручною групою
товарів для доставки та продажу з використанням тари-обладнання, призначеної
для укладання, транспортування, тимчасового зберігання та продажу з неї методом
самообслуговування. Отже, тара-обладнання - це одночасно транспортне, тарне і торговельне обладнання. Існують
лоткові та безлоткові типи тари-обладнання.
Постачання роздрібних торговельних підприємств хлібобулочними
виробами здійснюється централізовано у встановлені графіком години. Кожну
партію виробів забезпечують документацією про якість. У товарно-транспортній
накладній зазначають найменування виробів, масу одного виробу, роздрібну ціну,
кількість штук, час виймання з печі, кількість тари, час виходу машини з
підприємства в перший пункт здавання виробів. Відповідність хлібобулочних
виробів вимогам нормативно-технічної документації засвідчують штампом
встановленої форми.
У наш час ще широко використовується лоткова форма доставки
хлібо-булочних виробів у роздрібні торгові підприємства. При цій формі доставки
продукцію на хлібозаводах складають у лотки, встановлені на вагонетки.
Вагонетки з продукцією відкачують вручну в експедиційне приміщення. Потім лотки
вкладають у кузов автомобіля, який обладнано спрямовуючими косинцями.
Завантаження і розвантаження здійснюється водієм та спеціальним робітником.
Хлібобулочні вироби у тарі-обладнанні перевозять за схемою:
хлібозавод- зал магазину. Ця схема доставки вимагає доброї підготовленості
магазинів. На хлібозаводі продукцію безпосередньо з циркуляційного столу вручну
або за допомогою спеціальних механізмів вкладають у лотки тари-обладнання, їх
доставляють в експедицію для комплектації за замовленнями магазинів та
маршрутом перевезення. Завантаження тари-обладнання в автомобілі та
розвантаження її з автомобілів може здійснюватись вручну. В цьому випадку висота
рампи, як правило, відповідає висоті кузова автомобіля. При різній висоті
рівнів рампи та вантажної платформи кузова автомобіля для завантаження
тари-обладнання в автомобіль застосовують спеціальні пристрої: підйомний стіл;
розвантажувальний пристрій; пристрої для завантаження контейнерів.
Крім того, завантажувати і розвантажувати вироби можна
вантажопідйомним бортом автомобіля. Широко застосовуються фургони-підйомники
різних типів. Кожний з цих автофургонів являє собою металевий фургон з
гідропідйомником, вантажна платформа якого одночасно виконує функції торцевого
борту машини.
Використання тари-обладнання для перевезення хлібобулочних
виробів дає змогу звести до мінімуму кількість перекладань продукції на шляху
від виробника до споживача, зменшити обсяг ручної праці, механізувати всі
процеси вертикального переміщення товарів.
Приймаючи хлібобулочні вироби, у магазині перевіряють їх
кількість та якість, якість тари і упаковки, строки витримування виробів після
виймання з печі, правильність оформлення супровідного документа (накладної,
рахунка-фактури), наявність у ньому відмітки про якість виробів. Забраковані
при прийманні хлібобулочні вироби повертають постачальнику тим транспортом,
який їх доставив. У супровідному документі, крім заповнення всіх належних
реквізитів про приймання продукції, зазначають якість продукції та ознаки
браку, який повертають.
Якщо під час підготовки хлібобулочних виробів до продажу або
продажу їх у межах встановлених строків реалізації виявлено приховані дефекти
(ущільнення м'якушки, порожнини, непромішування, непропеченість, картопляну
хворобу, сторонні предмети та ін.) або зовнішні недоліки виробничого характеру
(підгорілість, блідість, неправильність форми), отримувач зобов'язаний негайно
викликати представника виготовлювача для складання акта.
Особливу увагу при прийманні слід звертати на додержання
строків витримування виробів з моменту виймання з печі, оскільки строки
реалізації відлічують саме з цього моменту. Якщо вироби були перетримані на
підприємстві, у магазині залишається менше часу на їх своєчасну реалізацію.
Працівники роздрібних торговельних підприємств повинні
дотримуватися правил торгівлі хлібобулочними виробами. Для збереження споживних
властивостей продуктів їх слід правильно вкладати у лотки, ящики, кошики, тару
обладнання, на етажерки та полиці. Зберігати і транспортувати хлібобулочні
вироби навалом не допускається.
У залі магазину на видному місці має бути табличка з
нагадуванням про те, що відбирати хлібобулочні вироби треба тільки виделками
або за допомогою акуратно вирізаних смужок чистого паперу.
У магазинах, що реалізують хлібобулочні вироби, на видному
місці вивішують графік завезення продукції, де зазначають години першого та
наступних завезень виробів з хлібопекарських підприємств.
Керівники торговельних закладів повинні слідкувати, щоб у
продажу завжди були пакети з полімерних або інших матеріалів.
Згідно із стандартами, затвердженими останніми роками,
реалізація хлібобулочних виробів повинна здійснюватись із зазначенням вмісту
білка, жиру та вуглеводів у 100 г виробу та інформацією про енергетичну
цінність (ккал/100 г).
У роздрібній торговельній мережі слід додержуватися строків
реалізації хлібобулочних виробів, які відраховуються з моменту виймання
хлібобулочних виробів з печі. Для дрібноштучних булочних виробів, бубликів,
хліба Молочного строк реалізації не повинен перевищувати 16 год. Строк
реалізації хліба і крупноштучних булочних виробів з пшеничного сортового
борошна, хліба з житнього сіяного борошна, Слов'янського, Кишинівського - до 24
год. Для хліба житнього з борошна обдирного і оббивного, житньо-пшеничного і
пшенично-житнього оббивного, хліба "Сувенір селянський", Українського
і Українського нового строк реалізації становить 36 год. Строк реалізації хліба
Дорожнього в упаковці - 48 год, хліба здобного з борошна вищого сорту в
упаковці - 72 год.
На хлібобулочні вироби пониженої вологості встановлені
гарантійні строки зберігання. За умови додержання необхідних умов зберігання ці
строки для баранок і сушок становлять відповідно 25 і 45 діб. Баранки і сушки в
пакетах з поліетиленових і целофанових плівок можна зберігати до 15 діб. Хлібні
палички, хлібну соломку Київську і Ванільну зберігають до 1 місяця, хлібну
соломку солодку, солону, Ароматну і Фруктову - до 3 місяців.
Строк зберігання сухарів здобних залежить від сорту
пшеничного борошна, рецептури і упаковки. Він коливається від 15 до 60 діб.
Окремі найменування сухарів здобних з борошна вищого сорту можна зберігати не
довше, діб: Особливі- 15; Гірчичні, з маком, Молочні, Горіхові, Вершкові, Ювілейні
і здобні з корицею - 45; Ванільні, Дитячі, Київські, Любительські, Осінні, з
ізюмом, Українські і Шкільні - 60. Строк зберігання сухарів здобних з борошна
першого сорту такий: Туристичних - до 45 діб; Дорожніх, Кофейних, Ювілейних -
до 60 діб. Сухарі здобні в пакетах з поліетиленової плівки зберігають до 30
діб.
РОЗДІЛ 5. ЕКОНОМІЧНИЙ РОЗДІЛ
5.1 Визначення доходів
5.1.1 Доходи від перевезень
Сумарні доходи від виконання перевезень:
 (5.1)
При цьому, доходи від виконання перевезень вантажу ДіВ
і-му вантажоодержувачу і тари від нього ДіТ в зворотному
напрямку розраховують таким чином:
 ;
(5.2)
 ;
де, РдобВ, РдобТ - добовий
обсяг перевезень відповідно вантажу і тари, тВ, tТ -
тариф за перевезення відповідно 1 т вантажу і тари, грн.;іД
- коефіцієнт індексації доходів.
Доходи від перевезення вантажу:
 214,8
грн
 179
грн
 147,67грн
 134,25грн
 87,26
грн
 120,82грн
 143,2
грн
 61,13грн
 125,3грн
 85грн
 161
грн
 44,75
грн
 140,8
грн
 35,8грн
 26.85грн
 154,4грн
 26,85грн
 111,87
грн
Доходи від перевезення тари:
 11,52
грн
 =
9.6 грн
 7,92
грн
 =
7,2 грн
 4,68
грн
 6,48
грн
 7,68
грн
 =
3,6грн
 6,72
грн
 4,56грн
 8,64
грн
 =
2,4 грн
 7,56
грн
 1,92
грн
 1,44
грн
 8,28
грн
 1,44
грн
 =
6 грн
5.1.2 Доходи від роботи спеціалізованого рухомого складу
 (5.3 )
5.1.3 Доходи від експедиторських операцій
5.1.4 Загальна сума доходів
5.2 Визначення витрат.
Загальні витрати розраховують в такий спосіб:
(5.7)
При цьому собівартість перевезення 1 т вантажу за проектом визначають
за математичною залежністю:
,
(5.8 )
де С`км - витрати на 1 км пробігу автомобіля з урахуванням
індексації цін, грн./км.
грн./км
5.3 Балансовий прибуток.
(5.9)
де 0,032·Дзаг - норматив відрахувань від суми загальних
доходів на будівництво і реконструкцію автомобільних доріг.
5.4 Економічний ефект від перевезень
Продуктивність одного облікового автомобіля за існуючих в АТП
показників:
;
(5.10)
Потрібна кількість автомобілів для виконання запроектованої програми
перевезень за існуючих в АТП показників:
од (5.11)
Капітальні вкладення в рухомий склад за існуючих в АТП показників:
грн
(5.12)
Капітальні вкладення в рухомий склад за проектом:
грн
(5.13)
Загальний економічний ефект від впровадження раціональної організації
перевезень:
(5.14)
де, Sтатп - собівартість перевезення 1 т вантажу
при існуючих в АТП показниках, грн./т.;
Ен - нормативний коефіцієнт ефективності капітальних вкладень.
Таблиця 5.1
Фактичні та проектні значення показників
|
Показники
|
Фактичні
дані
|
Проектні
дані
|
Відхилення
|
|
Загальна
довжина маршрутів, км
|
209,2
|
187,6
|
-21,6
|
|
Годинна
продуктивність т/год
|
4,12
|
9,29
|
5,17
|
|
Собівартість
грн./т
|
40,55
|
24,3
|
-16,25
|
|
Коефіцієнт
використання вантажопідйомності
|
0,52
|
0,53
|
0,01
|
|
Економічний ефект
|
766,76 грн/добу
|
|
|
|
|
|
При об’єднанні маятникових маршрутів в розвізно-збірні
загальний пробіг скоротився з 209,2км до 187,6км, годинна продуктивність
збільшилася з 4,12 т/год до 9,29 т/год. Коефіцієнт використання
вантажопідйомності автомобіля не зазнав великих змін через те, що на маршруті
присутні два маятникових маршрути з малим обсягом завозу, а автомобіль ми не
міняємо.
Як наслідок, собівартість перевезення 1 тонни вантажу
зменшилася з 40,55 грн/т до 24,3 грн/т, а тому загальний економічний ефект від
впровадження раціональної організації перевезень становить 766,66 грн.
ВИСНОВКИ
Виконуючи даний дипломний проект я набув навичок розв'язання
питань удосконалення організації транспортного процесу перевезень конкретного
типу вантажу, визначив основні техніко-експлуатаційні показники роботи рухомого
складу по АТП і за проектом.
За методом НЗМ визначено 6 розвізних маршрути і 2 маятникових
та за методом підсумовування по стовпчиках уточнено послідовність об’їзду
пунктів завозу.
На основі отриманих маршрутів встановлено необхідний рухомий
склад, що підходить для перевезення даної продукції і відповідає вимогам
перевезення такого типу вантажу, як хлібобулочні вироби.
Також я порахував експлуатаційні показники використання
рухомого складу на всіх новостворених маршрутах та заніс їх у таблицю.
При об’єднанні маятникових маршрутів в розвізно-збірні
загальний пробіг скоротився з 209,2км до 187,6км, годинна продуктивність
збільшилася з 4,12 т/год до 9,29 т/год.
Як наслідок, собівартість перевезення 1 тонни вантажу
зменшилася з 40,55 грн/т до 24,3 грн/т, а тому загальний економічний ефект від
впровадження раціональної організації перевезень становить 766,66 грн/добу
Оскільки метою дипломного проекту було розв’язання питань по
удосконаленню організації транспортного процесу, я можу запропонувати декілька
рішень цих питань. До них можна віднести:
використовувати нові автомобілі,
ремонтувати дороги і під’їзні шляхи,
удосконалювати пристрої для навантаження та розвантаження,
обладнання вантажних майданчиків, в організації всіх перевезень застосовувати
нетрадиційні методи.
СПИСОК ВИКОРИСТАНИХ ДЖЕРЕЛ
1) Бортницкий П. И. Охрана труда на автомобильном
транспорте - К.: Выща шк. Главное из-во, 1988.-263 с., 47 табл., 64 ил., 6
прил. - Библиогр.: 52 назв
) Воркут А. И. Грузовые авотомобильные перевозки. -
К.: Выща шк.,1986. - 447 с.
) Вільковський Є. К., Кельман І. І., Бакуліч О. О.
Вантажознавство (вантажі, правила перевезень, рухомий склад) - 2-е вид.,
перероблене і доповнене. - Львів: "Інтелект-Захід",
2007, - 496 с.
) Ванчукевич В. Ф. Сердюкевич В. Н. Автомобильные
перевозки. - Минск: Вышейшая школа, 1988. - 264 с.
) Дегтярев Г.Н. Организация и механизация
погрузочно-разгрузочных работ на автомобильном транспорте. - М.: Транспорт,
1980. - 263 с.
) Справочник инженера-экономиста автомобильного
транспорта /С. Л. Голованенко, О. М. Жарова, Т. И. Маслова, В. Г. Посыпай; Под.
ред. С. Л. Голованенко. - М.: Техника, 1991. - 351 с.
) Оснач О.Ф. Товарознавство - Київ: ЦНЛ, 2004 - 219 с.
) Савин В.И. Перевозки грузов автомобильным
транспортом: Справочное пособие. - 2е изд. перераб. и доп. - М.:
Издательство “Дело и сервис”, 2004. - 544 ст.
9) Сихроман І. В. Товарознавство продовольчих товарів
- К.: Лібра, 2000. - 368 с.
) Про затвердження Правил перевезень вантажів
автомобільним транспортом в Україні. Наказ Міністерства транспорту України від
14 жовтня 1997 року № 363 // Офіційний вісник України. 1998р. - № 8
) Прохоренко Д.А. Хлеб наш насущный
/Автоперевозчик, 2004, №6 с. 48, 49.
Похожие работы на - Удосконалення маршруту перевезення хлібобулочних виробів по м. Київ (на прикладі ПАТ 'Київхліб')
|