Тепловой расчет и тепловой баланс двигателя ЯМЗ-238 (дизельное топливо)
Министерство
образования РФ государственное образовательное учреждение высшего
профессионального образования
Пермский
государственный технический университет
Кафедра
«Автомобили и технологические машины»
Курсовой
проект
по дисциплине
«Двигатели внутреннего сгорания»
Тема:
«Тепловой расчет и тепловой баланс двигателя ЯМЗ-238 (дизельное топливо)»
Выполнил студент Соловьев П.А.
Проверил: Щелудяков А.М.
Пермь 2013
Содержание
ЗАДАНИЕ ДЛЯ
РАССЧЕТА
ТЕПЛОВОЙ
РАСЧЁТ ДВИГАТЕЛЯ
Топливо
Параметры рабочего
тела
Параметры
окружающей среды и остаточные газы
Процесс
впуска
Процесс
сжатия
Процесс
сгорания
Процесс
расширения и выпуска
Индикаторные
параметры рабочего цикла
Эффективные
показатели двигателя
Основные
параметры цилиндра и двигателя
Построение индикаторной
диаграммы
Скругление
индикаторной диаграммы
ТЕПЛОВОЙ
БАЛАНС ДВИГАТЕЛЯ
ВЫВОД
СПИСОК
ЛИТЕРАТУРЫ
ЗАДАНИЕ ДЛЯ РАССЧЕТА
Произвести расчет четырехтактного дизельного V - образного двигателя ЯМЗ-238, предназначенного для грузовых
автомобилей. Эффективная мощность дизельного двигателя Ne=232 кВт при частоте вращения
коленчатого вала n=2250 мин-1
. Двигатель 8 цилиндровый (i=8).
Система охлаждения жидкостная закрытого типа. Степень сжатия ε=15,3.
ТЕПЛОВОЙ РАСЧЁТ ДВИГАТЕЛЯ
Топливо
В соответствии с заданием типом двигателя принимаем дизельное топливо
(для работы в летних условиях - марки Л, для работы в зимних условиях - марки
З). В соответствии с ГОСТ 305-82 цетановое число не менее 45.
Средний элементарный состав и молекулярная масса топлива:
С = 0,870;Н = 0,126;О=0,004;
Низшая теплота сгорания топлива (1/стр.55):
Нu = 33,91С + 125,60Н - 10,89(О - S) - 2,51(9Н + W)=33,9·0,870
+ 125,6·0,126 - 10,89·0,004 - 2,51·9·0,126 = 42,44 МДж/кг =42440 кДж/кг.
Параметры рабочего тела
Теоретически необходимое количество воздуха для сгорания одного
килограмма топлива (1/стр.48):
В соответствии с заданием принимаем
, где
- коэффициент избытка воздуха.
Количество свежего заряда (1/стр.50):
Количество отдельных компонентов продуктов сгорания (1/стр.51):
Общее количество продуктов сгорания (1/стр.52):
Параметры окружающей среды и остаточные газы
Атмосферные условия:
P0 = 0,1 МПа; Tk = T0 = 2930 K.
Давление окружающей среды при наддуве:
Pk = 0,17 МПа
Температура окружающей среды при наддуве:
где nk - показатель политропы сжатия (для
центробежного нагнетателя с охлаждаемым корпусом принят nk = 1,65
Температура остаточных газов.
Высокое значение ε = 15,3 снижает температуру и давление остаточных газов,
а повышенная частота вращения коленчатого вала и наддув повышают Тr и рr, поэтому можно принять (1/стр.65):
Tr=800 K, pr=0,95·pk=0,95·0,17=0,162
МПа.
Процесс впуска
Принимаем температуру подогрева свежего заряда
Плотность заряда на впуске (1/стр.68):
где RВ = 287 Дж/кг град - удельная газовая постоянная для
воздуха.
Потери давления на впуске (1/стр.68):
где
;
принимаем в соответствии со скоростным режимом работы двигателя и с
учетом небольших гидравлических сопротивлений во впускной системе.
Давление в конце впуска (1/стр.67):
Коэффициент остаточных газов (1/стр.69):
Температура в конце впуска (1/стр.69):
Коэффициент наполнения (1/стр.70):
Процесс сжатия
При работе дизеля на средних режимах можно с достаточной точностью
принять показатель политропы сжатия равным показателю адиабаты, который
определяется по номограмме:
При ε=15,3 и Та=384,7 К принимаем k1=1,359, n1=1,36
Давление в конце сжатия (1/стр.72):
Температура в конце сжатия (1/стр.72):
Средняя мольная теплоемкость в конце сжатия таблица 3.7 (1/стр.59):
а) воздуха
где
б) остаточных газов (находим методом интерполяции по табл. 3.9 (1/
стр.60))
в) рабочей смеси (1/стр.74):
Процесс сгорания
Коэффициент молекулярного изменения свежей смеси (1/стр.53):
Коэффициент молекулярного изменения рабочей смеси (1/стр.54):
Теплота сгорания рабочей смеси (1/стр.57):
Средняя мольная теплоемкость продуктов сгорания (1/стр.59):
Величина коэффициента использования теплоты
для дизелей с неразделенными
камерами сгорания и хорошо организованным смесеобразованием лежит в пределах
(1/стр.76). При наддуве в связи с
повышением теплонапряжённости двигателя и созданием более благоприятных условий
для протекания процессов сгорания принимается
.
Степень повышения давления в дизеле: с целью снижения газовых нагрузок на
детали кривошипно-шатунного механизма принимаем для дизеля с наддувом λ=1,5.
Температура в конце видимого процесса сгорания (1/стр.77):
Максимальное давление сгорания (1/стр.78):
Определим степень предварительного расширения (1/стр.78):
Процесс расширения и выпуска
Степень последующего расширения (1/стр.84):
Средний показатель адиабаты расширения k2 определяется по номограмме, при заданной ε
= 15,3 для
соответствующих значений α=1,6 и Тz=2200,5 К , а средний показатель политропы
расширения n2 оцениваем по величине среднего показателя адиабаты k2=1,277.
Показатель политропы n2 принимаем несколько меньшим n2=1,26.
Давление и температура в конце процесса расширения (1/стр.84):
Проверка ранее принятой температуры остаточных газов (1/стр.85):
что допустимо;
где
- погрешность расчета.
Индикаторные параметры рабочего цикла
Теоретическое среднее индикаторное давление (1/стр.87):
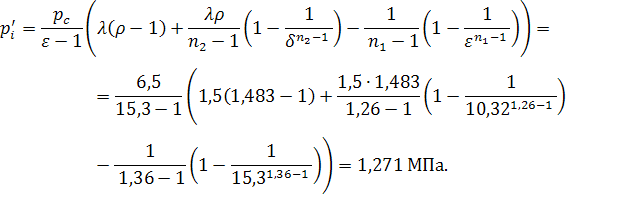
Среднее индикаторное давление (1/стр.88):
где коэффициент полноты индикаторной диаграммы принят
.
Индикаторный КПД и индикаторный удельный расход топлива (1/стр.89):
Эффективные показатели двигателя
Среднее давление механических потерь (1/стр.91).
Принимаем предварительно среднюю скорость поршня vп. ср.=10,7 м/с получаем:
Среднее эффективное давление и механический КПД (1/стр.92):
Эффективный КПД и удельный эффективный расход топлива (1/стр.94):
Основные параметры цилиндра и двигателя
Литраж двигателя (1/стр.95):
Рабочий объем одного цилиндра (1/стр.95):
Диаметр цилиндра и ход поршня (1/стр.95).
Согласно заданию принимаем S/D=1,087.
S =
1,08
D = 1,08
122 = 132,614 мм
Принимаем величины D = 122 и S = 133.
Основные параметры и показатели двигателя определяются по принятым выше
значениям S и D.
Литраж двигателя (1/стр.77):
Площадь поршня:
Средняя скорость поршня (1/стр.96):
погрешность составляет менее 3% что допустимо.
Эффективная мощность (1/стр.77):
Эффективный крутящий момент (1/стр.96):
Часовой расход топлива (1/стр.96):
Литровая мощность двигателя:
Построение индикаторной диаграммы
Индикаторную диаграмму строим для номинального режима
работы двигателя, т. е. при Nе = 231,9 кВт и и n=2250 об/мин, графическим методом.
Масштабы диаграммы: масштаб хода поршня Ms=1 мм в мм; масштаб давлений Мр=0,05
МПа в мм.
Величины в приведенном масштабе, соответствующие
рабочему объему цилиндра и объему камеры сгорания:
АВ=S/МS=133/1= 133 мм;
ОА = АВ/(ε-1)= 133/(15,3-1)=9,3мм.
Максимальная высота диаграммы (точка z, максимальное давление сгорания):
рz/Мр= 9,75/0,05 = 195 мм.
Ординаты характерных точек:
р0/Мр=0,1/0,05 = 2,0
мм;(атмосферное давление)
рк/Мр=0,17/0,05 = 3,4 мм;(при
наддуве)
рr/Мр=
0,162/0,05 = 3,2 мм;(давление остаточных газов)a/Mp=
0,159/0,05 = 3,2 мм; (давление конца впуска)
рс/Мр= 6,5/0,05 = 130 мм;
(давление конца сжатия)
рв/Мр= 0,515/0,05 = 10,3 мм.
(давление конца расширения)
Положение точки z по оси абсцисс (1/стр.96):
'z=ОА (ρ-1)=9,3 (1,483-1)=4,5 мм.
Построение политроп сжатия и расширения проводим
графическим методом (1/стр.97):
а) Для луча ОС принимаем угол
;
б)
в) используя лучи OD и OC, строим политропу сжатия, начиная с
точки c;
г)
д) используя лучи ОЕ и ОС, строим политропу расширения, начиная с
точки z.
Теоретическое среднее индикаторное давление (1/стр.98)
pi =F'Mp/AB =2700
0,05/133 = 1,015 МПа,
что очень близко к величине
= 1,271 МПа, полученной в тепловом
расчёте. (F' - площадь диаграммы acz'zba).
Скругление индикаторной диаграммы
Учитывая достаточную быстроходность рассчитываемого
дизеля и величину наддува, ориентировочно устанавливаются следующие фазы
газораспределения: впуск - начало (точка r') за 25° до в.м.т. и окончание
(точка а") - 60° после н.м.т.; выпуск - начало (точка b') за 60° до
н.м.т., и окончание (точка a') - 25° после в.м.т.
С учетом быстроходности дизеля принимается угол
опережения впрыска 20° (точка с') и продолжительность периода задержки
воспламенения
(точка f).
В соответствии с принятыми фазами газораспределения и
углом опережения впрыска топлива определяют положение точек r', a', a'', c', f
и b' по формуле для перемещения поршня:
где λ- отношение радиуса кривошипа к длине
шатуна, предварительно принимаем λ=0,27.
Таблица 1 - Результаты расчета ординат точек
|
Обознач. точек
|
Положения точек
|
 Расстояние точек от в.м.т.(AX), мм
|
|
|
|
r'
|
25° до в.м.т.
|
25
|
0,122
|
8,1
|
|
a'
|
25° после в.м.т.
|
25
|
0,122
|
8,1
|
|
a"
|
60° после н.м.т.
|
120
|
1,601
|
106,5
|
20° до в.м.т
|
20
|
0,076
|
5,1
|
|
f
|
(20° - 8°) до в.м.т.
|
12
|
0,038
|
2,5
|
|
b'
|
60°
до н.м.т.
|
120
|
1,601
|
106,5
|
Положение точки с" определяется из выражения:
Соединяя плавными кривыми точки
и кривой расширения
и далее c
получим скругленную индикаторную
диаграмму
(см рис.1).
ТЕПЛОВОЙ БАЛАНС ДВИГАТЕЛЯ
дизельный
двигатель сгорание грузовой
Тепловой баланс в общем виде (1/стр.140):
общее количество теплоты, введенной в двигатель с топливом.
Теплота эквивалентная эффективной работе за 1 сек. (1/стр.140):
Теплота, передаваемая окружающей среде (1/стр.140):
где:
C -
коэффициент пропорциональности (для четырехтактных двигателей) принимаем
С=0,48;
m -
показатель степени (для четырехтактных двигателей)
принимаем m=0,67.
Теплота, потерянная с отработавшими газами:
находим методом интерполяции по таблице 3.9 при
,
(1/стр.60):
находим методом интерполяции по таблице 3.6 при
,
(1/стр.60):
Неучтенные потери тепла:
Таблица 2 - Cоставляющие
теплового баланса
|
Составляющие теплового баланса
|
Q Дж/с
|
q %
|
|
Теплота эквивалентная эффективной работе
|
231900
|
36,3
|
|
Теплота, передаваемая окружающей среде
|
147314,7
|
23
|
|
Теплота, унесенная с отработавшими газами
|
184681,5
|
28,9
|
|
Неучтенные потери теплоты
|
74943,3
|
11,7
|
|
Общее количество теплоты, введенной в двигатель с топливом
|
638839,9
|
100
|
Таблица 3 - Сравнение показателей проектируемого двигателя с
показателями заданного прототипа
|
Параметр
|
n, об/мин
|
,см2
|
,л
|
|
,кВт/л
|
S/D
|
,кВт
|
,Нм
|
2250
|
132,66
|
14,86
|
15,2
|
18,9
|
1,078
|
235
|
997,88
|
|
Расчетный ДВС
|
2250
|
116,84
|
12,43
|
15,3
|
18,66
|
1,087
|
231,9
|
984,71
|
ВЫВОД
В спроектированном двигателе из-за увеличения степени сжатия с 15,2 до
15,3 уменьшилась литровая мощность на 1,27 %. Также из-за уменьшения мощности
двигателя на 1,32 % уменьшился эффективный крутящий момент на 1,32 %. Степень
сжатия увеличена за счет уменьшения объема двигателя.
СПИСОК ЛИТЕРАТУРЫ
1. Расчет
автомобильных и тракторных двигателей: Учеб. Пособие для вузов./ А.И. Колчин,
В.П. Демидов - 3-е изд. Перераб. и доп. - М.: Высш. шк., 2003.
. Двигатели
внутреннего сгорания. В 3 кн. Кн.1. Теория рабочих процессов: Учебник для
вузов/ В.Н. Луканин и др. - 2-е изд. Перераб. и доп. - М.: Высш. шк., 2005.