Расчет тяговой и динамической характеристики транспортно-технологических машин

  • Вид работы:
    Курсовая работа (т)
  • Предмет:
    Транспорт, грузоперевозки
  • Язык:
    Русский
    ,
    Формат файла:
    MS Word
    128,6 Кб
  • Опубликовано:
    2013-11-05
Вы можете узнать стоимость помощи в написании студенческой работы.
Помощь в написании работы, которую точно примут!

Расчет тяговой и динамической характеристики транспортно-технологических машин

МИНИСТЕРСТВО ОБРАЗОВАНИЯ И НАУКИ

РОССИЙСКОЙ ФЕДЕРАЦИИ

ФЕДЕРАЛЬНОЕ ГОСУДАРСТВЕННОЕ БЮДЖЕТНОЕ ОБРАЗОВАТЕЛЬНОЕ УЧРЕЖДЕНИЕ ВЫСШЕГО ПРОФЕССИОНАЛЬНОГО ОБРАЗОВАНИЯ

«Тюменский государственный нефтегазовый университет»

Филиал «Тобольский индустриальный институт»

Кафедра «Машины и технологическое оборудование»





КУРСОВАЯ РАБОТА

по дисциплине «Теория рабочих процессов транспортно-технологических машин и оборудования»

Вариант









Тобольск 2011

СОДЕРЖАНИЕ

АННОТАЦИЯ

ЗАДАНИЕ НА ВЫПОЛНЕНИЕ КУРСОВОЙ РАБОТЫ

ПЕРЕЧЕНЬ СОКРАЩЕНИЙ И УСЛОВНЫХ ОБОЗНАЧЕНИЙ

ВВЕДЕНИЕ

. РАСЧЕТ ТЯГОВОЙ И ДИНАМИЧЕСКОЙ ХАРАКТЕРИСТИКИ ТРАНСПОРТНО-ТЕХНОЛОГИЧЕСКИХ МАШИН

.1 Определение силы тяги на ведущих элементах машины

.2 Построение тяговой характеристики ТТМ

. ОПРЕДЕЛЕНИЕ СИЛ СОПРОТИВЛЕНИЯ ПРИ ДВИЖЕНИИ ТТМ И ПОСТРОЕНИЕ ТЯГОВОГО БАЛАНСА

3. ПОСТРОЕНИЕ ДИНАМИЧЕСКОЙ ХАРАКТЕРИСТИКИ СПЕЦИАЛЬНОЙ АВТОМОБИЛЬНОЙ ТЕХНИКИ

. РАСЧЕТ ПОКАЗАТЕЛЕЙ УСТОЙЧИВОСТИ ТРАНСПОРТНО-ТЕХНОЛОГИЧЕСКОЙ МАШИНЫ

. ОПРЕДЕЛЕНИЕ ВЛИЯНИЯ БОКОВОГО УВОДА НА УПРАВЛЯЕМОСТЬ

ЗАКЛЮЧЕНИЕ

СПИСОК ИСПОЛЬЗУЕМОЙ ЛИТЕРАТУРЫ

АННОТАЦИЯ

Данная курсовая работа состоит из пяти глав.

В первой главе мы определяем силу тяги на ведущих элементах машины, для этого вычисляем крутящий момент на колесах, тяговую силу для каждой передачи, рассчитываем поступательную скорость автомобиля. Определяем тяговую силу и скорость для каждой передачи.

Во второй главе определяем силы сопротивления при движении ТТМ и построение тягового баланса, для этого рассчитываем силу сопротивления подъему, находим силу сопротивления воздушной среды, силу сопротивления качению и суммарную силу сопротивления движения машины.

В третьей главе определяем значения динамического фактора в интервале рабочих скоростей транспортно-технологических машин на различных передачах и строим динамическая характеристика специальной автомобильной техники. Определяем критическую скорость по условию тяги.

В четвертой главе определяем критическую скорость на опрокидывание и боковое скольжение, угол подъема, при котором может начаться сползание специальной автомобильной техники и угол подъема, при котором может начаться ее опрокидывание.

В пятой главе определяем значения радиуса поворота без учета влияния бокового увода, значения центробежной силы, действительный радиус поворота машины.

ЗАДАНИЕ НА ВЫПОЛНЕНИЕ КУРСОВОЙ РАБОТЫ

Вариант 4

Марка автомобиля: КАмаЗ - 53212;

Колесная формула: 6х4;

Радиус качения колеса: rk =0,488;

Номинальный крутящий момент: Мe =637,4, при 1400 − 1700 об/мин;

Передаточные числа:

i1 =7,82, i2 =4,03, i3 =2,5, i4 =1,53, i5 =1, i0 =5,43, id =1;

Вес: Ga = 8200кг, в том числе m1 = 3600кг на переднюю ось

и m2 = 4600кг на заднюю тележку;

Мощность: Рмах = 154 кВт, при 2600 об/мин;

Радиус поворота по внешнему колесу: R пов = 9 м.

Габаритные размеры автомобиля КамАЗ-53212.

ПЕРЕЧЕНЬ СОКРАЩЕНИЙ И УСЛОВНЫХ ОБОЗНАЧЕНИЙ

 - крутящий момент;

 - крутящий момент на колесах;

 - передаточное число коробки передач;

 - передаточное число главной передачи;

 - передаточное число дополнительной передачи;

 - кпд трансмиссии;

 - тяговая сила;

 - радиус качения;

 - поступательная скорость;

 - сила сопротивления подъему;

 - Сила сопротивления окружающей среды;

 - скорость автомобиля;

 - сила сопротивления качению;

 - суммарная сила сопротивления движения машины;

ВВЕДЕНИЕ


ОАО «КАМАЗ» представляет собой автомобилестроительное производство полного цикла, объединяющее металлургическое, кузнечное, прессово-рамное, механосборочное, специального машиностроения и инструментальное производства со всеми необходимыми объектами энергетического и вспомогательного назначения в составе 16-ти специализированных заводов на территории РФ и стран СНГ, из них 9 - в Набережных Челнах. Помимо разработки и производства предприятие занимается сервисным обслуживанием грузовых и легковых автомобилей, внутренней и внешней торговлей и другими видами деятельности.

Основные производственные мощности завода расположены в промышленной зоне Набережных Челнов. В Нефтекамске (Башкортостан) производятся автобусы.

Бортовые автомобили-тягачи КамАЗ-53212 (выпуск с 1979 г. по 2002 г.) предназначены для работы преимущественно с прицепами. Кузов - металлическая платформа с открыкающимися боковыми и задним бортами. Настил пола - деревянный, предусмотрена установка тента. Кабина - трехместная, откидывающаяся вперед, с шумо- и термоизоляцией, оборудована местами крепления ремней безопасности, со спальным местом. Сиденье водителя - подрессоренное, регулируется по массе водителя, длине, наклону спинки. Автомобили КАМАЗ 53212 снабжены предпусковыми подогревателями.

Курсовая работа по дисциплине: «Теория рабочих процессов транспортно-технологических машин» является вторым этапом изучения указанного курса.

Цель работы:

1. Проанализировать конструкцию транспортно-технологических машин (ТТМ) и их место в технологическом процессе нефтегазодобычи.

2. Ознакомиться с методами расчета тяговых и динамических характеристик транспортно-технологических машин (ТТМ).

. Изучить методику определения сил сопротивления при движении ТТМ и построения тягового баланса.

. Освоить методику построения динамической характеристики специальной автомобильной техники и приобретение навыков использования динамической характеристики для решения практических задач.

. Ознакомиться с методикой расчета показателей устойчивости транспортно-технологических машин.

. Произвести оценку влияния бокового увода шин на управляемость специальной автомобильной техники.

1. РАСЧЕТ ТЯГОВОЙ И ДИНАМИЧЕСКОЙ ХАРАКТЕРИСТИКИ ТРАНСПОРТНО-ТЕХНОЛОГИЧЕСКИХ МАШИН

1.1 Определение силы тяги на ведущих элементах машины

В процессе решения этой задачи осваивается методика определения силы тяги на ведущих элементах машины и анализ влияния различных факторов на величину силы тяги. Для этого анализируется внешняя скоростная характеристика двигателя, ее влияние на тяговые показатели машины. Определяются значения крутящего момента двигателя при различных скоростях вращения коленчатого вала. Изучается влияние конструкции трансмиссии на диапазон изменения силы тяги на ведущих элементах трансмиссии.

На основании данных из справочной литературы определяется модель двигателя, установленная на ТТМ, конструкция трансмиссии и параметры, определяющие движители. Строится внешняя скоростная характеристика двигателя транспортно-технологической машины.

Расчет максимального крутящего момента на движителе ТТМ:

                                           (1.1)

где Мк − вращающий момент на колесе (или ведущей звездочке), н*м;

Me − крутящий момент двигателя, н*м;

iк − передаточное число коробки передач;

ig − передаточное число дополнительной коробки;

iо − передаточное число главной передачи;

ηтр − коэффициент полезного действия трансмиссии.

Для трехосных неполноприводных транспортно-технологических машин принимается ηтр=0,8.

Значение максимальной силы тяги на колесе:

                                                   (1.2)

где Рк − значение силы тяги на колесе, н;

rк − радиус качения колеса, м.

Для КамАЗ-53212 − rк=0,488 м.

Для определения значения скорости движения ТТМ, соответствующей максимальному значению силы тяги на ведущих элементах машины можно воспользоваться следующей формулой:

                                                    (1.3)

где    n − скорость вращения коленчатого вала двигателя, соответствующая максимальному значению крутящего момента, об/мин;

Vк − скорость движения САТТО, соответствующая n, км/час.

Полученные значения заносятся в таблицу 1.2.

Таблица 1.2.

Результаты расчета тяговой силы на ведущих элементах машины

Передача КП

ig

Мк

Рк

1

7,82

1

28790,3

58996,5

4,89

2

4,03

1

14836,9

30403,6

9,48

3

2,5

1

9204,1

18860,8

15,29

4

1,53

1

5632,9

11542,8

24,98

5

1

1

3681,6

7544,3

38,22


1.2. Построение тяговой характеристики ТТМ

машина скорость устойчивость управляемость

По формуле Лейдермана определяются значения мощности двигателя при различных скоростях вращения коленчатого вала (выбирается 6 - 7 точек включая точки, соответствующие оборотам холостого хода, оборотам, при которых достигается максимальный крутящий момент и максимальным оборотам двигателя):

                             (1.4)

Где    Рмах − максимальная мощность, развиваемая двигателем, Вт;

n − обороты двигателя для которых рассчитывается мощность;

N − обороты, на которых развивается максимальная мощность;

a, b, c − эмпирические коэффициенты.

Для КамАЗ-53212 a=0,5, b=1,5, c=1.

На основании данных формулы 1.4 определяются значения крутящего момента двигателя на различных оборотах:

                                                 (1.5)

Расчет силы тяги на движителе ТТМ для соответствующих значений скорости вращения коленчатого вала двигателя:

               (1.6)

Для 1-й передачи:

Далее определяются значения скорости движения САТТО, соответствующие выбранным значениям скоростей вращения коленчатого вала:

 (1.7)

Для 1-й передачи:

Полученные значения заносятся в таблицу 1.3 для каждой из рассматриваемых передач.

На основании полученных данных строится график тяговой характеристики (рис. 1.1).

Таблица 1.3.

Результаты расчета данных для построения графика тяговой характеристики

n, об/мин

800

1100

1400

1700

2000

2300

2600

1-я передача

Рк, н

47647,4

52525,9

55940,9

57892,4

58380,2

57404,5

54965,2

Vк, км /час

2,61

3,58

4,56

5,54

6,52

7,49

8,47

2-я передача

Рк, н

24554,8

27069

28828,9

29834,6

30086

29583,1

28326,1

Vк, км /час

5,06

6,96

8,85

10,75

12,65

14,54

16,44

3-я передача

Рк, н

15232,5

16792,2

17883,9

18507,8

18663,8

18351,8

17572

Vк, км /час

8,15

11,21

14,27

17,33

20,39

23,44

26,5

4-я передача

Рк, н

9322,3

10276,8

10945

11326,8

11422,2

11231,3

10754,1

Vк, км /час

13,32

18,32

23,32

28,31

33,31

38,31

43,3

5-я передача

Рк, н

6093

6716,9

7153,6

7403,1

7465,5

7340,7

7028,8

Vк, км /час

20,39

28,03

35,67

43,32

50,96

58,61

66,25


Рис 1.1. График тяговой характеристики автомобиля КамАЗ-53212

2. ОПРЕДЕЛЕНИЕ СИЛ СОПРОТИВЛЕНИЯ ПРИ ДВИЖЕНИИ ТТМ И ПОСТРОЕНИЕ ТЯГОВОГО БАЛАНСА

На основании справочных данных и коэффициентов сопротивления качению колес определяются значения силы сопротивления качению по формуле:

                                        (2.1)

где    Ga − вес машины, н;

f − коэффициент сопротивления качению.

f=0,02 для гравийных дорог.

При движении колесной машины на подъемах и спусках она испытывает дополнительное сопротивление, которое зависит от крутизны подъема:

                                              (2.2)

где    − значение угла подъема (спуска), град.

Значение силы сопротивления подъема рассчитываются для значений угла подъема от 0 до 30 град с интервалом в 5 градусов. Полученные значения заносятся в таблицу 2.1.

Таблица 2.1.

Результаты расчета cилы сопротивления подъему

α, град

5

10

15

20

25

30

Рh, н

714,3

1423,2

2121,3

2803,2

3463,8

4098,1


Далее определяются значения сил сопротивления воздушной среды Рw для различных скоростей движения с интервалом в 10 км/час:

                                                      (2.3)

где Кw − коэффициент сопротивления воздуха, н*с2/м4;

Fa − лобовая площадь машины, м2;

Va − скорость движения машины, м/с.

Кw=0,68

В свою очередь, лобовая площадь машины может быть определена по формуле:

                                                    (2.4)

где B − ширина колеи передних колес машины, м;

H − габаритная высота машины, м.

Полученные значения заносятся в таблицу 2.2.

На основании полученных данных строится график силы сопротивления воздушной среды (рис. 2.1).

Таблица 2.2.

Результаты расчета cилы сопротивления воздушной среды

Va, км/ч

10

20

30

40

50

60

Рw, н

38,8

155,2

349,2

620,8

970,0

1396,8

Рис 2.1. График силы сопротивления воздушной среды

Расчет силы сопротивления разгону Pj производится для каждой из передач коробки передач при значении ускорения машины ja = 1 м/с2. Значения силы Pj определяются по следующей формуле:

                                             (2.5)

где δa − коэффициент учета вращающихся масс;− ускорение свободного падения, (g = 9,81 м/с2).

                                          (2.6)

Полученные значения заносятся в таблицу 2.3.

Таблица 2.3.

Результаты расчета суммарной cилы сопротивления разгону

Номер передачи

δa

Pj , Н

1

7,82

5,33

4455,8

2

4,03

2,19

1828

3

2,5

1,49

1243,4

4

1,53

1,21

1014,6

5

1

1,12

936,2


На основании данных расчетов сил сопротивления строится график тягового баланса. Для построения графика тягового баланса определяется значение силы сопротивления движения Рсум для рассматриваемых значений скоростей движения машины по формуле:

                                          (2.7)

Значения в формулу 2.7. подставляются из таблиц 2.1, 2.2. По результатам расчетов заполняется таблица 2.4 и строится график тягового баланса.

Таблица 2.4.

Результаты расчета cилы сопротивления движения машины

Va, км/ч

Рсум, н


α = 00

α = 50

α = 100

α = 150

10

202,8

917,1

1626

2324,1

20

319,2

1033,5

1742,4

2440,5

30

513,2

1227,5

1936,4

2634,5

40

784,8

1499,1

2208

2906,1

50

1134

1848,3

2557,2

3255,3

60

1560,8

2275,1

2984

3682,1

Рис 2.2. график тягового баланса автомобиля КамАЗ-53212

По графику тягового баланса определяются максимальные скорости движения по условию силы тяги для горизонтального участка дороги ( α = 0) и подъемов с α = 50, α = 100 и α = 150.

3. ПОСТРОЕНИЕ ДИНАМИЧЕСКОЙ ХАРАКТЕРИСТИКИ СПЕЦИАЛЬНОЙ АВТОМОБИЛЬНОЙ ТЕХНИКИ

На основании данных сил сопротивления движению и значений силы тяги на ведущих колесах, определяются значения динамического фактора для каждой из передач и принятых диапазонов скоростей по формуле:

                                                (3.1)

Исходные значения для расчета Da и полученные значения динамического фактора заносятся в таблицу 3.1.

Таблица 3.1

Значения динамического фактора для различных скоростей движения на i-той передаче

1-я передача

Va, км/ч

2,61

3,58

4,56

5,54

6,52

7,49

8,47

Pк, н

47647,4

52525,9

55940,9

57892,4

58380,2

57404,5

54965,2

Pw, н

2,6

5

8,1

11,9

16,5

21,8

27,8

Da

5,81

6,4

6,82

7,06

7,12

7

6,7

2-я передача

Va, км/ч

5,06

6,96

8,85

10,75

12,65

14,54

16,44

Pк, н

24554,8

27069

28828,9

29834,6

30086

29583,1

28326,1

Pw, н

9,9

18,8

30,4

44,8

62

82,1

104,9

Da

2,99

3,3

3,51

3,63

3,66

3,6

3,44

3-я передача

Va, км/ч

8,15

11,21

14,27

17,33

20,39

23,44

26,5

Pк, н

15232,5

16792,2

17883,9

18507,8

18663,8

18351,8

17572

Pw, н

25,8

48,8

79

116,5

161,2

213,2

272,5

Da

1,85

2,04

2,17

2,24

2,26

2,21

2,11

4-я передача

Va, км/ч

13,32

18,32

23,32

28,31

33,31

38,31

43,3

Pк, н

9322,3

10276,8

10945

11326,8

11422,2

11231,3

10754,1

Pw, н

68,9

130,2

210,9

311

430,5

569,3

727,5

Da

1,13

1,24

1,31

1,34

1,34

1,3

1,22

5-я передача

Va, км/ч

20,39

28,03

35,67

43,32

50,96

58,61

66,25

Pк, н

6093

6716,9

7153,6

7403,1

7465,5

7340,7

7028,8

Pw, н

161,2

304,8

493,8

728,1

1007,7

1332,7

1703,1

Da

0,72

0,78

0,81

0,81

0,79

0,73

0,65


На основании данных таблицы 3.1 строится динамическая характеристика специальной автомобильной техники - графическая зависимость динамического фактора Da от скорости движения машины Va на различных передачах (рис. 3.1).

Построенная динамическая характеристика позволяет определить максимальную скорость движения машины и ее характер движения для значений суммарного сопротивления дороги, указанных в задании на курсовую работу.

Рис 3.1. Графическая зависимость динамического фактора Da от скорости движения машины Va на различных передачах.

Далее определяются значения ускорений машины на различных передачах при скоростях движения 20, 40 и 60 км/час. Значения ускорений определяются по формуле:

                                         (3.2)

где    ψуск − коэффициент суммарного сопротивления дороги.

ψуск=0,02.

Полученные значения заносятся в таблицу 3.2.

Таблица 3.2.

Значение ускорений машины на различных передачах


1-я передача

2-я передача

3-я передача

4-я передача

5-я передача

20 км/ч

1,39

0,88

40 км/ч

0,89

0,55

60 км/ч

0,47


4. РАСЧЕТ ПОКАЗАТЕЛЕЙ УСТОЙЧИВОСТИ ТРАНСПОРТНО-ТЕХНОЛОГИЧЕСКОЙ МАШИНЫ

Максимальная (критическая) скорость движения автомобиля на повороте, при которой начнется опрокидывание:

                                        (4.1)

Где    Rпов − радиус поворота, м;ц − высота расположения центра тяжести машины, м.пов = 9 м; hц = 1,22 м.

Критическая скорость на боковое скольжение при повороте автомобиля по кривой радиуса Rпов определяется по формуле:

 (4.2)

где    φa − коэффициент сцепления колес с дорогой.

φa = 0,4.

Определение показателей устойчивости специальной автомобильной техники на продольной плоскости начинается с изучения схемы действия сил на автомобиль, находящийся на продольном уклоне.

Угол подъема α, при котором начнется опрокидывание автомобильной техники вокруг осей, проходящих через точки опор задних колес (для рассматриваемого случая), определяется по формуле:

                                                    (4.3)

где    b − расстояние от центра тяжести машины до плоскости, проведенной через геометрическую ось задних колес, м.

b = 1,75 м.

Как правило, до начала опрокидывания машины на продольном уклоне начинается ее сползание или пробуксовывание ведущих колес. При этом угол α, при котором начинается сползание неполноприводной колесной техники, определяется из соотношения:

                                                  (4.4)

где    a − расстояние от центра тяжести машины до плоскости проходящей через геометрическую ось передних колес, м.

При этом, значение расстояния от центра тяжести машины до плоскости проходящей через геометрическую ось передних колес может быть определено по формуле:

                                                      (4.5)

5. ОПРЕДЕЛЕНИЕ ВЛИЯНИЯ БОКОВОГО УВОДА НА УПРАВЛЯЕМОСТЬ

На начальном этапе производится расчет приближенного радиуса поворота машины при угле поворота колес a по следующей формуле:

                                                 (5.1)

где    L - база автомобиля, м;

a - угол поворота машины, град (a = 20о)

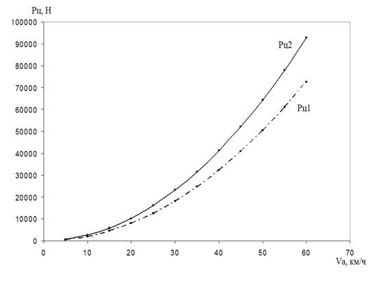
Далее определяются центробежные силы, действующие на автомобиль при повороте, на переднюю и заднюю оси при различных скоростях движения машины с интервалом в 10 км/час. Указанные значения определяются по следующим формулам:

                                          (5.2)

где m1,2 - масса автомобиля, приходящаяся соответственно на переднюю или заднюю оси, кг;

V - скорость автомобиля, м/с.

m1 = 3600 кг; m2 = 4600 кг.

Значения скорости машины выбираются начиная с 5 км/ч до 60км/ч с шагом 5 км/ч.

Затем, определяются углы бокового увода, соответствующие данным центробежным силам по формуле:

                                              (5.3)

где Кув − коэффициент бокового увода.

Кув = 2

Полученные значения заносятся в таблицу 5.1

Таблица 5.1

Значения центробежных сил и углов увода для различных скоростей движения автомобиля

Va, км/ч

Рц1, Н

dув1, град

Рц2, Н

dув2, град

5

504,2

0,3

644,3

0,3

10

2016,9

1,0

2577,2

1,3

15

4538,0

2,3

5798,6

2,9

20

8067,6

4,0

10308,6

5,2

25

12605,7

6,3

16107,3

30

18152,2

9,1

23194,5

11,6

35

24707,1

12,4

31570,2

15,8

40

32270,6

16,1

41234,6

20,6

45

40842,4

20,4

52187,5

26,1

50

50422,7

25,2

64429,1

32,2

55

61011,5

30,5

77959,2

39,0

60

72608,8

36,3

92777,8

46,4


На основании данных таблицы 5.1 строятся графики зависимости центробежных сил Рц1, Рц2 от скорости движения машины Va (рис 5.1).

Далее определяется действительный радиус поворота машины по формуле:

                           (5.4)

где    L - база автомобиля, м;

a - угол поворота машины, град;

d1,2 - углы увода, град.

Рис 5.1. График зависимости центробежных сил Рц1, Рц2 от скорости движения машины Va.

Таблица 5.2

Действительный радиус поворота машины

Va, км/ч

R1пов, м

Va, км/ч

R1пов, м

5

13,7

35

12

10

13,7

40

11,3

15

13,5

45

10,4

20

13,3

50

9,3

25

13

55

8

30

12,6

60

6,6


ЗАКЛЮЧЕНИЕ

В данной курсовой работе выполнен тяговый расчет автомобиля КамАЗ-53212.

В ходе вычислений была найдена, сила тяги на ведущих элементах машины, произведен расчет тяговых характеристик ТТМ и построены их графические зависимости, определены силы сопротивления при движении ТТМ и построен тяговый баланс, а также определена динамическая характеристика и рассчитаны показатели устойчивости автомобиля, среди которых:

максимальная (критическая) скорость движения автомобиля на повороте, при которой начнется опрокидывание;

критическая скорость на боковое скольжение при повороте автомобиля по кривой;

угол подъема, при котором начнется опрокидывание автомобиля вокруг осей, проходящих через точки опор задних колес;

угол, при котором начинается сползание.

Выполнив все расчеты и проанализировав транспортно-технологическую машину, я получил теоретические навыки в определении некоторых технических характеристик.

СПИСОК ИСПОЛЬЗУЕМОЙ ЛИТЕРАТУРЫ

1.      Краткий автомобильный справочник./НИИАТ. М. Транспорт, 1988 - 224 с.

2.      Мощностной баланс автомобиля В.А. Петрушов. ВВ. Московкин. А.Н. Евграфов. -М.: Машиностроение. 1984. - 160 с.

.        Грузовые автомобили: Проектирование и основы конструирования М.С. Высоцкий. Л.Х. Гилелес. С.Г. Херсонский. - М.: Машиностроение. 1995. - 256 с.

4.   Техническая эксплуатация автомобилей: Учебник для ВУЗов / Ю.П. Баранов, А.П. Болдан, В.М. Власов, Г.В. Крамаренко, Г.М. Напольский. Под ред. Г.В Крамаренко, - 2-у изд. Переработанное и дополненное - М.: Транспорт, 1983. - 488 с.

5.      Барский И.Б. Конструирование и расчет тракторов.- М.: Машиностроение, 1980.-355с.

6.      Вахламов В.К. Автомобили: Эксплуатационные свойства: Учебник для студентов высших учебных заведений - М.: Издательский центр «Академия», 2005 - 240 с.

Похожие работы на - Расчет тяговой и динамической характеристики транспортно-технологических машин

 

Не нашли материал для своей работы?
Поможем написать уникальную работу
Без плагиата!
Без нейросетей!