Расчет тягово-скоростных свойств автомобиля Ford Focus
За объект расчета принимаем автомобиль: Ford
Focus (бензиновый
двигатель рабочим объёмом 1,6 л.)
Перечень исходных данных для расчета:
Максимальная мощность двигателя Nемах= 101
кВт;
Число оборотов двигателя,
соответствующих максимальной мощности двигателя nN = 5200,
1/мин;
Максимальный крутящий момент
двигателя Mkmax = 210 Нм;
Число оборотов двигателя,
соответствующих максимальному моменту двигателя nM = 4000,
1/мин ;
Минимальная частота вращения
коленчатого вала двигателя 900;
Габаритные размеры автомобиля: Нг -
габаритная высота = 1495 мм, Вг - габаритная ширина = 1800 мм;
Полная масса автомобиля и
распределение нагрузки по осям 1840 кг, Передаточное число главной передачи uг = 3,58;
Передаточные числа коробки перемены
передач:
- 4,05
- 2,34
- 1,395
- 1,00
- 0,849;
Размеры колес 195/65 R15;
Размеры колеи автомобиля: передняя -
1500мм, задняя - 1444мм.
Задача 1
Рассчитать тягово-скоростные
свойства АТС на всех передачах для горизонтальной дороги. Найти значения
оценочных показателей тягово-скоростных свойств.
По результатам расчетов необходимо
построить следующие графики:
) внешнюю скоростную характеристику
двигателя (зависимость мощности и крутящего момента от частоты вращения
коленчатого вала двигателя);
) график силового баланса;
) динамическую характеристику АТС;
) график ускорений АТС на всех
передачах;
) график времени и пути разгона;
) график мощностного баланса.
За объект расчета принимаем
автомобиль Ford Focus (бензиновый
двигатель рабочим объёмом 1,6 л.)
Максимальная мощность двигателя Nемах= 101
кВт;
Число оборотов двигателя,
соответствующих максимальной мощности двигателя nN = 5200,
1/мин;
Максимальный крутящий момент
двигателя Mkmax = 210 Нм;
Число оборотов двигателя,
соответствующих максимальному моменту двигателя nM = 4000,
1/мин ;
Определяем: MKN, kм, kw, Mз.
= 9550Nemax/nN = 9550·101/5200=
185,49 Нм
kм = Mkmax / MkN =
210/185,49 = 1,13
kw = nN/nM =
5200/4000 = 1,3з
= (kм
- 1)·100 = (1,3 - 1)·100 = 13,21 %
Определяем коэффициенты а,в,с:
Данный двигатель без ограничителя
числа оборотов.
= 2 - 25/ Mз = 2 -
25/13,21 = 2 - 1.969 = 0,11
b = 50/ Mз - 1 =
50/13,21 - 1 = 2,78
c = 25/ Mз = 25/13,21
= 1,89
Проверка:
a + b - c = 1
,11 + 2,78 - 1,89 = 1, найдено
верно.
Внешняя скоростная характеристика
Основными параметрами,
характеризующими, двигатель является: мощность и крутящий момент. Скоростная
характеристика двигателя - это зависимость мощности и крутящего момента от
частоты вращения при установившемся режиме работы.
Находим величину крутящего момента и
мощность двигателя при различных частотах вращения по формулам:
=Nemax(a(n/nN)
+ b(n/nN)2 - c(n/nN)3), кВт=MKN(a
+ b(n/nN) - c(n/nN)2), Нм
Таблица 1.
Результаты расчета внешней
скоростной характеристики
|
n,
1/мин
|
Ne
|
Mk
|
|
900
|
9,32
|
98,90
|
|
1500
|
21,96
|
139,79
|
|
2200
|
40,47
|
175,69
|
|
2900
|
60,39
|
198,88
|
|
3600
|
78,91
|
209,34
|
|
4300
|
93,24
|
207,08
|
|
5000
|
100,58
|
192,11
|
|
5700
|
98,13
|
164,41
|
По полученным данным строим график внешней
скоростной характеристики двигателя (рис. 1).
Рис 1.
Построение графика силового и мощностного
баланса
Силовой баланс показывает соотношение сил,
движущих автомобиль и сил препятствующих его движению.
В общем виде уравнение силового баланса имеет
вид:
Рт = Рп + Рк + Рв + Ри, Н,
Где Рт - тяговая сила, Н
Рп - сила сопротивления подъему
Рв - сила сопротивления воздуха
Рк - сила сопротивления качению колес
Ри - сила сопротивления разгону
Полная тяговая сила определяется по формуле:
т = Мк u
тi k
р ηтi
/ r д
Тяговая мощность определяется по формуле:
NT = 
ηт · kp
к - мощность затрачиваемая на
преодоление сопротивления качению колес
к = РкV/1000
в - мощность затрачиваемая на
преодоление сопротивления воздуха
в = РвV/1000
Исходные данные:
Полная масса 1840 кг;
Коэффициент коррекции kp = 0,95;
Коэффициент обтекаемости kв = 0,3;
Лобовая площадь F=
0,8*(1495*1800) = 2,15 м2;
Коэффициент сопротивления качению fa = 0,0125+6·10-7·V2
Передаточное число главной передачи uг
= 3,58;
Передаточные числа коробки перемены передач:
- 4,05; 2 - 2,34; 3 - 1,395; 4 - 1,00; 5 -
0,849;
КПД трансмиссии ηт
= 0,90;
Динамический и кинематический радиусы колес по
ГОСТ 4754-97
(195/65 R15)
rд = 298 мм; rк
= 313 мм.
Расчет тяговой, динамической характеристик и Nт
V=0.105 n
rk / uтi
,
где uтi
= uki uг
|
uтi1
|
uтi2
|
uтi3
|
uтi4
|
uтi5
|
|
14,50
|
8,38
|
4,99
|
3,58
|
3,04
|
Pт = Мк u
тi k
р ηтi
/ r д
NT = 
ηт · kp
Сила сопротивления воздуха
Рв=kвFV2 ,
Сила сопротивления качению колес
Рк=faGacos α=faGa
Где Ga - сила
тяжести автомобиля = 1840·9,8= 18,05кН
Подставляем данные в формулы,
результаты заносим в таблицы 2; 3; и 4.
Таблица 2.
Результаты расчета тяговой,
динамической характеристики и Nm
|
n,
1/мин
|
V1,м/с
|
V2,м/с
|
V3,м/с
|
V4,м/с
|
V5,м/с
|
Рт1,
кН
|
Рт2,
кН
|
Рт3,
кН
|
Рт4,
кН
|
Рт5,
кН
|
Nт,
кВт
|
|
900,00
|
1,94
|
3,36
|
5,64
|
7,87
|
9,27
|
4,11
|
2,38
|
1,42
|
1,01
|
0,86
|
7,97
|
|
1500,00
|
3,24
|
5,61
|
9,41
|
13,12
|
15,45
|
5,81
|
3,36
|
2,00
|
1,43
|
1,22
|
18,77
|
|
2200,00
|
4,75
|
8,22
|
13,79
|
19,24
|
22,67
|
7,30
|
4,22
|
2,52
|
1,80
|
1,53
|
34,61
|
|
2900,00
|
6,26
|
10,84
|
18,18
|
25,37
|
29,88
|
8,27
|
4,78
|
2,85
|
2,04
|
1,73
|
51,63
|
|
3600,00
|
7,78
|
13,46
|
22,57
|
31,49
|
37,09
|
8,70
|
5,03
|
3,00
|
2,15
|
1,82
|
67,47
|
|
4300,00
|
9,29
|
16,07
|
26,96
|
37,61
|
44,30
|
8,61
|
4,97
|
2,96
|
2,13
|
1,80
|
79,72
|
|
5000,00
|
10,80
|
18,69
|
31,35
|
43,74
|
51,51
|
7,99
|
4,61
|
2,75
|
1,97
|
1,67
|
85,99
|
|
5700,00
|
12,31
|
21,31
|
35,74
|
49,86
|
58,73
|
6,83
|
3,95
|
2,35
|
1,69
|
1,43
|
83,90
|
Таблица 3
Силы сопротивления качению, сопротивления
воздуха
|
V
|
fa
|
Рв1
|
Рв2
|
Рв3
|
Рв4
|
Рв5
|
Рк5
|
ΣРв+Рк
|
|
0,00
|
0,01
|
|
|
|
|
0,00
|
0,23
|
0,23
|
|
9,27
|
0,01
|
0,00
|
0,01
|
0,02
|
0,04
|
0,06
|
0,23
|
0,28
|
|
15,45
|
0,01
|
0,01
|
0,02
|
0,06
|
0,11
|
0,15
|
0,23
|
0,38
|
|
22,67
|
0,01
|
0,01
|
0,04
|
0,12
|
0,24
|
0,33
|
0,23
|
0,56
|
|
29,88
|
0,01
|
0,03
|
0,08
|
0,21
|
0,42
|
0,58
|
0,24
|
0,81
|
|
37,09
|
0,01
|
0,04
|
0,12
|
0,33
|
0,64
|
0,89
|
0,24
|
1,13
|
|
44,30
|
0,01
|
0,06
|
0,17
|
0,47
|
0,91
|
1,27
|
0,25
|
1,51
|
|
51,51
|
0,01
|
0,08
|
0,23
|
0,63
|
1,24
|
1,71
|
0,25
|
1,97
|
|
58,73
|
0,01
|
0,10
|
0,29
|
0,83
|
1,61
|
2,23
|
0,26
|
2,49
|
Таблица 4
Мощность, затрачиваемая на преодоление
сопротивления воздуха, качения колес
|
V, м/с
|
Nк
|
Nв
|
ΣNв+Nк
|
|
0,00
|
0,00
|
0,00
|
0,00
|
|
9,27
|
2,10
|
0,51
|
2,62
|
|
15,45
|
3,53
|
2,38
|
5,91
|
|
22,67
|
5,24
|
7,52
|
12,76
|
|
29,88
|
17,23
|
24,26
|
|
37,09
|
8,92
|
32,95
|
41,88
|
|
44,30
|
10,94
|
56,16
|
67,10
|
|
51,51
|
13,10
|
88,29
|
101,39
|
|
58,73
|
15,44
|
130,81
|
146,25
|
По полученным данным строим графики силового и
мощностного баланса. (рис 2 и 3)
Рис 2.
Рис 3.
Свободная тяговая сила и динамический фактор.
Разность тяговой силы и силы сопротивления
воздуха, называется свободной тяговой силой, которая не зависит от дорожных условий
и является функцией скорости.
Рсв = Рт - Рв
Тяговая характеристика неудобна для сравнения
различных АТС, так как использует размерные параметры. Поэтому переходят к
относительной форме их выражения и используют безразмерную величину D
- динамический фактор.
Динамическая характеристика автомобиля
представляет собой зависимость динамического фактора от скорости автомобиля.
= Рсв/ Ga
Таблица 5.
Результаты расчета Рсв и D
|
1
передача
|
2
передача
|
3
передача
|
4
передача
|
5
передача
|
|
V1,
м/с
|
Рсв1,
кН
|
D1,
кН
|
V2,
м/с
|
Рсв2,
кН
|
D2,
кН
|
V3,
м/с
|
Рсв3,
кН
|
D3,
кН
|
V4,
м/с
|
Рсв4,
кН
|
D4,
кН
|
V5,
м/с
|
Рсв5,
кН
|
D5,
кН
|
|
|
|
|
|
|
|
|
|
|
|
|
|
|
|
|
1,94
|
4,11
|
0,23
|
3,36
|
2,37
|
0,13
|
5,64
|
1,40
|
0,08
|
7,87
|
0,97
|
0,05
|
9,27
|
0,81
|
0,05
|
|
3,24
|
5,80
|
0,32
|
5,61
|
3,34
|
0,18
|
9,41
|
1,94
|
0,11
|
13,12
|
1,32
|
0,07
|
15,45
|
1,06
|
0,06
|
|
4,75
|
7,29
|
0,40
|
8,22
|
4,18
|
0,23
|
13,79
|
2,39
|
0,13
|
19,24
|
1,56
|
0,09
|
22,67
|
1,20
|
0,07
|
|
6,26
|
8,24
|
0,46
|
10,84
|
4,70
|
0,26
|
18,18
|
2,63
|
0,15
|
25,37
|
1,63
|
0,08
|
29,88
|
1,31
|
0,07
|
|
7,78
|
8,66
|
0,48
|
13,46
|
4,91
|
0,27
|
22,57
|
2,67
|
0,15
|
31,49
|
1,51
|
0,08
|
37,09
|
0,94
|
0,05
|
|
9,29
|
8,55
|
0,47
|
16,07
|
4,81
|
0,27
|
26,96
|
2,50
|
0,14
|
37,61
|
1,21
|
0,07
|
44,30
|
0,54
|
0,03
|
|
10,80
|
7,91
|
0,44
|
18,69
|
4,39
|
0,24
|
31,35
|
2,12
|
0,12
|
43,74
|
0,74
|
0,04
|
51,51
|
-0,04
|
0,00
|
|
12,31
|
6,74
|
0,37
|
21,31
|
3,66
|
0,20
|
35,74
|
1,53
|
0,08
|
49,86
|
0,08
|
0,00
|
58,73
|
-0,79
|
-0,04
|
По полученным данным строим график динамической
характеристики АТС (рис 4)
Рис 4.
Определение ускорения автомобиля
Величина ускорения автомобиля на каждой передаче
определяется по формуле:
= (D-
fa) ·
g/ δврi
, м/с,
Где g
- ускорение свободного падения = 9,8
δвр -
коэффициент учета вращающихся масс
δвр = 1 +
0,04·uк2 + 0,04,
где uк
- передаточное число КПП на каждой передаче:
|
1
|
δвр1
|
1,70
|
|
2
|
δвр2
|
1,26
|
|
3
|
δвр3
|
1,12
|
|
4
|
δвр4
|
1,08
|
|
5
|
δвр5
|
1,07
|
Значения D
берем с графика. Динамический фактор, соответствующий определенной скорости и
находя, точки ускорения j
подставляем в график ускорений, в эти же скорости.
Таблица 6.
Результаты расчета ускорения автомобиля J
и V
|
1
передача
|
2
передача
|
3
передача
|
4
передача
|
5
передача
|
|
V1,
м/с
|
J1
. м/с2
|
V2,
м/с
|
J2
. м/с2
|
V3,
м/с
|
J3
. м/с2
|
V4,
м/с
|
J4
. м/с2
|
V5,
м/с
|
J5
. м/с2
|
|
1,94
|
1,24
|
3,36
|
0,92
|
5,64
|
0,57
|
7,87
|
0,38
|
9,27
|
0,30
|
|
3,24
|
1,79
|
5,61
|
1,34
|
9,41
|
0,84
|
13,12
|
0,55
|
15,45
|
0,43
|
|
4,75
|
2,26
|
8,22
|
1,70
|
13,79
|
1,05
|
19,24
|
0,67
|
22,67
|
0,49
|
|
6,26
|
2,57
|
10,84
|
1,93
|
18,18
|
1,17
|
25,37
|
0,70
|
29,88
|
0,47
|
|
7,78
|
2,70
|
13,46
|
2,02
|
22,57
|
1,18
|
31,49
|
0,65
|
37,09
|
0,36
|
|
9,29
|
2,67
|
16,07
|
1,98
|
26,96
|
1,10
|
37,61
|
0,50
|
44,30
|
0,16
|
|
10,80
|
2,46
|
18,69
|
1,80
|
31,35
|
0,91
|
43,74
|
0,26
|
51,51
|
-0,14
|
|
12,31
|
2,09
|
21,31
|
1,48
|
35,74
|
0,63
|
49,86
|
-0,07
|
58,73
|
-0,52
|
По данным таблицы 6, строим график ускорений
(рис 5.)
Рис 5.
Расчет разгонной характеристики
Чтобы определить время и путь разгона в
интервале скоростей от Vmin
до Vmax разбиваем этот
интервал на меньшие участки, для каждого из которых считают:
=Jср=0.5(J1
+ J2) , м/с
Где J1
и J2 - ускорение в
начале и в конце участка
Затем находим Δt - время
изменения скорости от V1
до V2 по формуле:
Δt = (V2
- V1)/Jср
Полное значение времени разгона в заданном
интервале скоростей есть сумма времени разгона на отдельных участках:
= ΣΔt
, с
Путь пройденный за время движения Δt,
находим по формуле:
ΔS
= Vср·Δt,
м
Vср = (V2
+ V1)/2
Полный путь разгона в заданном интервале, есть
сумма пути разгона на отдельных участках:
= ΣΔS,
м
Расчетные значения приведены в таблице 7.
Таблица 7
Результаты расчета разгонной характеристики
|
Участок
|
V1,
м/с
|
V2,
м/с
|
V
ср, м/с
|
J1
. м/с2
|
J2
. м/с2
|
J
ср, м/с2
|
Δt,
с
|
t,с
|
ΔS,
м
|
S,
м
|
|
|
|
0
|
|
|
|
|
0
|
|
0
|
|
1
|
2,00
|
4,00
|
3,00
|
1,30
|
2,02
|
1,66
|
1,20
|
1,20
|
3,61
|
3,61
|
|
2
|
4,00
|
6,00
|
5,00
|
2,02
|
2,52
|
2,27
|
0,88
|
2,09
|
4,41
|
8,02
|
|
3
|
8,00
|
7,00
|
2,52
|
2,71
|
2,62
|
0,76
|
2,85
|
5,35
|
13,37
|
|
4
|
8,00
|
10,00
|
9,00
|
2,71
|
2,60
|
2,66
|
0,75
|
3,60
|
6,78
|
20,15
|
|
5
|
10,00
|
12,00
|
11,00
|
2,60
|
2,20
|
2,40
|
0,83
|
4,44
|
9,17
|
29,32
|
|
6
|
|
|
11,00
|
|
|
0,00
|
1,00
|
5,44
|
11,00
|
40,32
|
|
7
|
12,00
|
14,00
|
13,00
|
2,00
|
2,02
|
2,01
|
1,00
|
6,43
|
12,94
|
53,26
|
|
8
|
14,00
|
16,00
|
15,00
|
2,02
|
1,98
|
2,00
|
1,00
|
7,43
|
15,00
|
68,26
|
|
9
|
16,00
|
18,00
|
17,00
|
1,98
|
1,85
|
1,92
|
1,04
|
8,48
|
17,75
|
86,01
|
|
10
|
18,00
|
20,00
|
19,00
|
1,85
|
1,65
|
1,75
|
1,14
|
9,62
|
21,71
|
107,72
|
|
11
|
|
|
19,00
|
|
|
|
1,00
|
10,62
|
19,00
|
126,72
|
|
12
|
20,00
|
22,00
|
21,00
|
1,18
|
1,19
|
1,19
|
1,69
|
12,31
|
35,44
|
162,17
|
|
13
|
22,00
|
24,00
|
23,00
|
1,19
|
1,17
|
1,18
|
1,69
|
14,00
|
38,98
|
201,15
|
|
14
|
24,00
|
26,00
|
25,00
|
1,17
|
1,12
|
1,15
|
1,75
|
15,75
|
43,67
|
244,82
|
|
15
|
26,00
|
28,00
|
27,00
|
1,12
|
1,08
|
1,10
|
1,82
|
17,57
|
49,09
|
293,91
|
|
16
|
28,00
|
30,00
|
29,00
|
1,08
|
0,98
|
1,03
|
1,94
|
19,51
|
56,31
|
350,22
|
|
17
|
30,00
|
34,00
|
32,00
|
0,98
|
0,74
|
0,86
|
4,65
|
24,16
|
148,84
|
499,06
|
|
18
|
|
|
32,00
|
|
|
|
1,00
|
25,16
|
32,00
|
531,06
|
|
19
|
34,00
|
38,00
|
36,00
|
0,60
|
0,49
|
0,55
|
7,34
|
32,50
|
264,22
|
795,28
|
|
20
|
38,00
|
42,00
|
40,00
|
0,49
|
0,33
|
0,41
|
9,76
|
42,26
|
390,24
|
1185,52
|
|
21
|
42,00
|
48,00
|
45,00
|
0,33
|
0,00
|
0,17
|
36,36
|
78,62
|
1636,36
|
2821,88
|
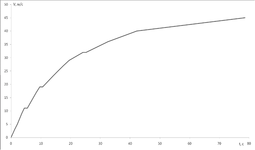
По полученным результатам строим графики (рис
6,7), учитывая, что время на переключение передач равняется 1 секунде, при этом
считаем, что скорость за время переключения передач не меняется.
Разгонная характеристика V
= f(t)
Рис 6.
Разгонная характеристика V
= f(S)
Рис 7.
Задача 2
Определить расход топлива того же АТС в литрах
на 100 км пути при движении его с равномерной скоростью. Скорость АТС принять
равной V = 0.95* Vmax
, где Vmax -
максимальная скорость движения АТС в данных дорожных условиях. Данные,
необходимые для решения задачи, найти по графику мощностного баланса из
предыдущей задачи
Определение расхода топлива при равномерном
движении автомобиля
Обычно при расчете расхода топлива принимают,
что движение равномерное на горизонтальной дороге. Тогда уравнение расхода
топлива имеет вид:
=ge(NK+NB)/(36vρTηT),
Где ge-
удельный расход топлива, г/кВт ч.
ρT - плотность
топлива, для бензина ρT
= 0,75 г/см3
Зависимость ge
определяем по формуле:
= geNkчkи,
где geN
- удельный расход топлива при Nemax;
kи - коэффициент,
учитывающий зависимость ge
от коэффициента использования мощности:
и=А - Ви + Си2
ч - коэффициент, учитывающий зависимость ge
от частоты вращения коленчатого вала двигателя:
ч=A - Bn/nN
+C(n/nN)2.
Для данного типа двигателя: А=1.7; В=2.63;
С=1.92.
Для двигателей gemin
=195...230, г/кВт ч, принимаем 210 г/кВт ч,
Тогда geN
= 1,15·210 = 241.5 г/кВт ч
Коэффициент использования мощности:
И = (ΣN·rд)/(Nt·rк)
Значения ΣN
и Nt берем с графика
мощностного баланса.
Расчитываем расход топлива для режима 0,95·Vmax
= 0,95·48 = 45,6 м/с
И = (72*0,298)/( 86*0,313) = 0,80 ≈ 80%
и=А - Ви + Си2 = 1,7-2,63*0,80+1,92*0,802 =0,83
n = (0,95·Vmax
* ut4)/(0.105*rk) = (0,95*48*3,49)/(0,105*0,313) = 4842 мин-1ч=A
- Bn/nN +C(n/nN)2 = 1,23 - 0,792*(4699/5200) + 0,56*(4699/5200)2 = 0,97= geNkчkи
= 241,5*0,97*0,83 = 194, г/кВт
ч=ge(NK+NB)/(36VρTηT)
= 194*72/(36*48*0,75*0,90) = 11,98 л/100
км
Задача 3
Построить график пути торможения того же АТС для
следующих коэффициентов сцепления φx
= 0.6, 0.7, 0.8. По оси абсцисс отложить скорость АТС в начале торможения (до
80 км/ч), по оси ординат тормозной путь и установившееся замедление. Расчет
вести без учета времени реакции водителя.
Тормозные свойства автомобиля
Торможение - процесс создания и изменения
искусственного сопротивления движению автомобиля с целью уменьшения его
скорости или удерживания неподвижным относительно дороги.
Оценочные показатели:
Оценочными показателями для одиночного
автомобиля будут:
минимальный тормозной путь ST,
Установившееся замедление jycm.
Тормозной путь и установившееся замедление можно
определить по формулам:
ST = V0(τc+0.5 τн)+V02/(2gφx)
jycm = gφx
где V0
- начальная скорость торможения автомобиля;
τc. - время
срабатывания тормозного привода;
τн - время
нарастания замедления;
g - ускорение
свободного падения.
Для системы гидропривода с барабанными тормозами
τc = 0,16 - 0,20 с,
принимаем τc =0,16 с.
Время нарастания замедления для легковых
автомобилей с гидроприводом и барабанными тормозами можно принять равным τн
= 0,5 с
Таблица 8.
Результаты расчета тормозного пути и
установившегося замедления для φx
- 0,6; 0,7; 0,8
|
φx
|
jycm
|
ST
|
|
|
V0
= 20км/ч=5,5м/с
|
V0
= 40км/ч=11,1м/с
|
V0
= 60км/ч=16,6м/с
|
V0
= 80км/ч=22,2м/с
|
|
0,6
|
5,89
|
4,82
|
15,02
|
30,21
|
50,97
|
|
0,7
|
6,87
|
4,46
|
13,52
|
26,87
|
44,99
|
|
0,8
|
7,85
|
4,18
|
12,40
|
24,36
|
40,50
|
По полученным данным строим графики Зависимости ST
= f(V),
Jуст = f(V),
рисунок 8.
Рис 8.
Задача 4
двигатель автомобиль топливо
ускорение
Найти максимальный угол подъёма, который может
преодолеть Ваш автомобиль. Определить также, на сколько градусов подъем должен
быть круче найденного, чтобы началось скольжение вниз заторможенного АТС.
Если максимальный угол подъема, который может
преодолеть автомобиль находить с помощью зависимости D
= f(v),
то:
і = Dmax
- fа = 0,48 - 0,012536
= 0,467 = 46,7%, т.е. ≈ 24°.
Найти угол, при котором АТС начнет скользить на
подъеме можно исходя из равенства: Ртор = Рп
где Ртор - тормозная сила на колесах:
Ртор = Ga
cos α
φ, Н
Рп - сила тяжести, действующая вдоль оси АТС:
Рп = Gаsin
α, H;
После подстановки значений сил в равенство и его
преобразования получим выражение для угла наклона:
α = arctg(φ)
= arctg(0,8) = 38,67°,
Отсюда α-β=
38,67-24= 14,67
т.е. уклон должен быть на 14,67˚ круче
Задача 5
Проверить, что может произойти раньше
опрокидывание или скольжение АТС на крутом повороте при движении на
асфальтированной дороге. Центр масс расположен посередине колеи колес для
грузового автомобиля на уровне грузовой площадки, легкового - на расстоянии,
равном диаметру колеса.
Устойчивость определяем по формуле:
пу = В/(2hg)
≥ φу
где φу
- боковой коэффициент сцепления колес с дорогой можно принять равным φу
= 0,8
В - колея колес автомобиля, В = 1,5 м
hg - высота
центра масс автомобиля, для Ford
Focus hg
= 0,634 м
n пу = 1,5/(2*0,634)
= 1,18 > φу , значит
на крутом вираже раньше наступит скольжение.
Список использованных источников
1. Литвинов
А.С,, Фаробин Я.Е. Автомобиль, Теория эксплуатационных свойств. М.:
Машиностроение, 1989 г - 237 с.
. Теория
автомобилей: Методические указания по выполнению контрольных работ/ Сост.; C.A,
Соколов: Вологда.: ВоГТУ, 2010. - 30 с.
. Краткий
автомобильный справочник НЙИАТ. М: Транспорт, 1984 г. - 220с.
. Райпель
М. Шасси автомобиля: Амортизаторы, шины и колеса. Пер. с нем. В.П. Агапова, Под
рел. О.Д. Златовратского. М.: Машиностроение, 1986 г - 320 с.