Расчет движительного комплекса винтового судна
Курсовой проект
по дисциплине “Теория устройства
судов”
Тема
Расчет движительного комплекса
винтового судна
Выполнил
студент
Шерстнев Д.А.
Задание на курсовую работу
судно двигатель винтовой
Выполнить проектировочный и поверочный расчеты движительного комплекса и
построить ходовые характеристики судна
Исходные данные судна:
Тип судна и его класс ……………………Буксир-Толкач «О»
Длина судна L, м
…………………………………………38,0
Ширина судна B, м
………………………………………..8,20
Осадка судна (средняя) T, м
………………………………1,95
Коэффициент полноты водоизмещения д………………..0,625
Коэффициент полноты площади мидель-шпангоута в …..0,960
Диаметр гребного винта (предельно допустимый) DMAX , м 1,55
Число гребных валов zp………………………………….2
Расчетная
скорость хода (на тихой глубокой воде)
, км/ч
…10,5
Тяга
на буксирном гаке (упор толкача при расчетной скорости судна) Z,
кН.. 6500
Тип
ДРК - гребной винт в насадки.
Объем
курсовой работы
.Расчет
сопротивления воды движению судна.
.Выбор
оптимального типа движительно-рулевого комплекса. Определение мощности и
частоты вращения главных двигателей. Выбор типа главных двигателей
.Проектирование
движительного комплекса на полное использование мощности главных двигателей.
.Расчет
и построение ходовых (тяговых) характеристик судна.
Введение
судно двигатель винтовой
Задачей курсового проекта является выполнении проектировочного и
проверочного расчетов движительного комплекса, а также построение винтовых
характеристик главного двигателя.
Исходные данные.
Вариант № 33
Тип судна и его класс Буксир-Толкач «О»
Длина судна L = 38 м
Ширина судна B = 8,2 м
Осадка судна (средняя) T =
1,95 м
Коэффициент полноты водоизмещения д = 0,625
Коэффициент полноты площади мидель - шпангоута в = 0,96
Число движителей zP = 2 шт
Диаметр гребного винта (предельно допустимый) Dmax = 1,55 м
Расчетная скорость Vк
=10,5 км/ч = 2,92
м/с
Тяга на гаке Z = 6500 кгс =
63,74 кН ≈ 65,0 кН.
1.
Расчет сопротивления воды движению судна
Расчет сопротивления воды движению судна выполняется по методу пересчета
с прототипа [4], таблица 7 (упрощенная)
Объемное водоизмещение судна:
Смоченная
поверхность по ф-ле С.П. Мурагина:
Безразмерные
параметры, характеризующие форму корпуса:
Значения
коэффициента остаточного сопротивления
по
прототипу
|
Числа Фруда
|
|
0,12
|
0,16
|
0,20
|
0,24
|
0,28
|
0,30
|
|
4,204,184,164,184,364,52
|
|
|
|
|
|
|
Таблица для расчета сопротивления (упрощенная)
|
1
|
Fr (задаемся)
|
0,12
|
0,16
|
0,20
|
0,24
|
0,28
|
0,30
|
|
2
|
,м/с где g
= 9,8 м/с
|
2,32
|
3,09
|
4,63
|
5,4
|
5,79
|
|
3
|
 5,49,514,921,429,233,5
|
|
|
|
|
|
|
4
|
(по таблице)4,204,184,164,184,364,52
|
|
|
|
|
|
|
5
9
, кН
Для
пресной воды:
Для
морской воды:
|
3,646,379,9414,3520,4224,29
|
|
|
|
|
|
|
|
|
10
|
, км/ч8,3511,1213,916,6719,4420,84
|
|
|
|
|
|
|
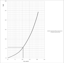
По
результатам расчета строится зависимость сопротивления воды движению судна
Кривая
буксирного сопротивления.
Рис.
1.1.
2.
Расчеты при выборе
главного двигателя и типа движителя заданного судна
.1 Расчет коэффициентов взаимодействия движителя с корпусом
2.1.1 Коэффициент попутного потока
Надбавка к коэффициенту попутного потока
Если
Fr < 0,2 то
, где
Где
VK - расчетная скорость по заданию, м/с;
L - длина судна,
м.
Где
zp - число движителей;
д
- коэффициент общей плотности;- водоизмещение судна, м3;- диаметр
гребного винта по заданию, м.
Коэффициент влияния корпуса
.2
Скорость потока, подтекающего к винту
.3
Полезная тяга
=
R(VS) при VS = 10,5 км/ч определяется по графику «Кривая
буксировочного сопротивления» рис. 1.1.;= 6500 кг с = 65 кН, - тяга на
буксирном гаке;
.4
Упор движителя
Где
При
этом АР = 0,6; ВР = 0,67 для zp =
1;
АР
= 0,8; ВР = 0,25 для zp ≥
2;
2.5
Коэффициент упора - частоты вращения
, таблица
2.1. и 2.2.
A - скорость эквивалентного
винта в свободной воде;
Тр
- расчетное значение упора;
с
= 1,0 т/м3 = 103 кг/м3 - плотность для пресной
воды;
с
= 1,025 т/м3 =1,025 ∙ 103 кг/м3 -
плотность для морской воды;
.6
Минимально допустимая мощность двигателя, таблица 2.1. и 2.2.
, кВт;
Где
- КПД валопровода
, при iQ = 1.
Диаграммные
значения
в функции KNT по диаграмме XIV ZЛ=4;
и=0,58 для винта в насадке.
Для
тех значений nc при которых Dopt ≥ Dmax = 1,55 м, дальнейший расчет по таблице 2.1.
прекращается и производится расчет по таблице 2.2.
Таблица
2.1.Расчет величин D и (PS)min от частоты вращения при скорости хода судна по
заданию.
|
n мин -1
|
240
|
300
|
360
|
420
|
480
|
540
|
600
|
|
nс c -1
|
5
|
6
|
7
|
8
|
9
|
10
|
|
KNT (из диаграммы Кn opt)
|
0,47
|
0,42
|
0,38
|
0,35
|
0,33
|
0,32
|
0,3
|
|
Jopt (из диаграммы лe)
|
0,31
|
0,27
|
0,24
|
0,23
|
0,21
|
0,2
|
0,19
|
|
P/D (из диаграммы H/D)
|
0,78
|
0,75
|
0,71
|
0,68
|
0,67
|
0,65
|
0,63
|
|
Dopt= VA/( Jopt ∙nc)
|
1,9
|
1,78
|
1,66
|
1,49
|
1,43
|
1,33
|
1,26
|
|
зP (из
диаграммы)
|
0,5
|
0,46
|
0,43
|
0,41
|
0,39
|
0,37
|
0,35
|
|
зD= зP зk / iQ
|
-
|
-
|
-
|
0,43
|
0,41
|
0,38
|
0,36
|
|
, кВт---250263277293
|
|
|
|
|
|
|
|
Таблица 2.2. Расчет величины (PS)min при D = Dmax = 1,55 м.
|
n мин -1
|
240
|
300
|
360
|
|
nс c -1
|
4
|
5
|
6
|
|
0,450,2902
|
|
|
|
|
0,390,310,26
|
|
|
|
|
P/D
|
1,15
|
0,95
|
0,75
|
1,55
|
1,55
|
1,55
|
|
зP
|
0,5
|
0,46
|
0,44
|
|
зD= зP зk / iQ
|
0,52
|
0,48
|
0,46
|
|
, кВт205223233
|
|
|
|
Далее для обоих случаев строятся зависимости PS(n) и Dopt(n)
рис. 2.1., 2.2. и производится выбор типа движителя.
Вывод: Выбираем ДВС немецкой фирмы «Бака у-Вольф» марки 8NVD36 c nc = 8,33 c-1, Ps = 294 кВт. Этой
частоте вращения соответствует оптимальный винт с D = 1,4 м. Редуктор не устанавливается.
Зависимость мощности (Ps)min, кВт, и оптимального диаметра Dopt от частоты вращения n, c-1.
Рис. 2.1., 2.2.
3. Проектирование движительного комплекса на полное
использование мощности энергетической установки
.1 Вычисляем коэффициент попутного потока WT и засасывания tK
zP =
2 - количество гребных винтов;
д
= 0,625 - коэффициент полноты водоизмещения;
V = 379,76 м3
- водоизмещение;
D = 1,4 м -
диаметр винта принимается по результатам предварительного расчета гребного
винта;
.2
Вычисляем расчетное значение скорости и упора гребного винта
м/с;
кН;
VK = 2,92
м/с - скорость хода по заданию;
WT =
0,181 - коэффициент попутного потока;
TE =
35,25 кН - полезная тяга на гаке;
tK =
0,151 - коэффициент засасывания.
3.3
Выбираем число лопастей z и дисковое отношение И гребного винта.
.3.1
Выбираем число лопастей z по величине коэффициента
Так
как
, то выбираем z = 4.
VA =
2,39 м/с - расчетное значение скорости;
D = 1,4 м,
диаметр винта;
С
= 1 т/м3 - плотность пресной воды;
Z = 65 кН - тяга
на гаге по заданию.
.3.2
Определяем дисковое отношение винта
,
минимально необходимое из условия обеспечения допустимой относительной толщины
лопасти и отсутствия кавитации винта
a' = 0,05 -
коэффициент характеризующий прочность лопасти, для специальной бронзы;
z = 4 - число
лопастей;
D = 1,4 м -
диаметр винта;
-
предельное значение относительной толщины лопасти на
радиусе
Ro = (0,6 ÷ 0,7) R.
TP =
41,54 кН - упор гребного винта при расчетном режиме его работы.
m' = 1,5 для
буксиров - коэффициент характеризующий возможную максимальную нагрузку на
лопасть.
Определяем
значение
из условия отсутствия кавитации винта:
По
графику
определяем расчетный коэффициент
при
z = 4, H/D = 0,67, лP
= 0,21.
KS = 0,32 -
кавитационная характеристика;
о
= 1,6 - эмпирический коэффициент;
pS -
абсолютное гидростатическое давление кгс/м2, на уровне оси винта
кг/м2;
г
= с∙g = 1000 кг/м3 - плотность воды;
pd -
давление насыщенных паров воды, кгс\м2, принимается в зависимости от
температуры. Примем pd = 125 кгс\м2 при t = 10°C.
м -
глубина погружения.
Т
= 1,9 - осадка судна (среднея).
За
окончательное значение дискового винта принимаем И = 0,75; z =
4; расчетная диаграмма №XV
Дальнейший
расчет элементов гребного винта производим последовательными приближениями в
табличной форме.
Таблица
3.1.
|
D = 1,4 м; И = 0,75; z = 4; nC = 8,33 c-1; Wт = 0,181; tK = 0,151, VA = 2,39 м/с; с = 1 т/м3;
PS = 294 кВт.
|
|
Расчетные формулы
|
Расчетные значения
|
|
1. TE (кН) - последовательным приближением
|
35,25
|
40
|
|
2. , кН41,547,747,1
|
|
|
|
|
3. 0,330,320,32
|
|
|
|
|
4. из диаграммы0,220,210,21
|
|
|
|
|
5. , а = 1,030,230,220,22
|
|
|
|
|
6. , м1,31,31,3
|
|
|
|
|
7. 0,160,180,18
|
|
|
|
|
8. из диаграммы, м0,670,70,7
|
|
|
|
|
9. из диаграммы0,40,3950,395
|
|
|
|
|
10. , 0,40,40,4
|
|
|
|
|
11. , , кВт256298294
|
|
|
|
После первого приближения уточняем полезную тягу на гаке
.
Вывод:
В
результате расчета, судно при выбранном двигателе марки 8NVD36,
с эффективной мощностью Ps = 294 кВт, частотой вращения nC =
8,33 c-1, при
гребном винте D = 1,4 м,
; z = 4
- обеспечивает при заданной скорости буксировки VK =
2,92 м/с наибольшую тягу на гаке ТЕ = 40 кНт при полном
использовании мощности энергетической установи.
4.
Расчет и построение буксирных характеристик судна.
4.1
Подсчитаем в табличной форме безразмерную характеристику двигателя
Таблица 4.1.
|
D = 1,4 м; зВ = 0,96;
|
|
1
|
n задаемся
|
мин-1
|
300
|
360
|
420
|
480
|
500
|
540
|
600
|
|
2
|
nc
|
c-1
|
5
|
6
|
7
|
8
|
8,33
|
9
|
10
|
|
3
|
Ne = f(n) по внешней характеристике
|
кВт
|
176
|
212
|
247
|
282
|
294
|
318
|
353
|
|
4
|
-0,0410,0280,0210,0160,0150,0130,01
|
|
|
|
|
|
|
|
|
Подсчитанные таким образом значения коэффициента момента К2
представлены в виде кривой, изображенной на рисунки 4.2.
Рис. 4.1. Внешняя характеристика.
Рис. 4.2. Коэффициент момента К2
.2 Произведем расчет динамических характеристик винта за корпусом судна,
используя данные, полученные для основного режима работы винта
Wт =
0,181 - коэффициент попутного потока примем одинаковый для всех режимов работы
винта.
Расчет динамических характеристик винта за корпусом судна выполняется по
таблицы 4.2.1., задаваясь значениями относительной поступи винта лP в практически важных пределах
изменения скоростей хода судна.
Таблица 4.2.1.
|
№
|
Расчетные формулы
|
Расчетные значения
|
|
1.
|
ле задаемся
|
0
|
0,10
|
0,20
|
0,35
|
0,50
|
|
2.
|
0,26
|
0,23
|
0,19
|
0,13
|
0,07
|
|
3.
|
К2 = f(ле;H/D) из диаграммы
|
0,019
|
0,017
|
0,016
|
0,014
|
0,01
|
|
4.
|
00,2090,460,971,89
|
|
|
|
|
|
|
5.
|
-58,5712,12,70,71
|
|
|
|
|
|
|
6.
|
по рис. 55 «Руководство по расчету
и проектированию гребных винтов»0,951.031,11,31,65
|
|
|
|
|
|
|
7.
|
из рис. 55 «Руководство по расчету
и проектированию гребных винтов»1,551,531,51,451,4
|
|
|
|
|
|
|
8.
|
1111,011,01
|
|
|
|
|
|
|
9.
|
1,011,011,011,011,01
|
|
|
|
|
|
|
10.
|
t - по рис. 54
|
0,055
|
0,075
|
0,095
|
0,125
|
0,15
|
|
11.
|
0,2450,2130,1720,1140,06
|
|
|
|
|
|
|
12.
|
0,0240,0210,020,0180,013
|
|
|
|
|
|
|
12.
|
00,1220,2440,4270,611
|
|
|
|
|
|
Результаты расчетов представлены графически на рис. 4.3. в виде кривых Ке
= f (л) и К2 = f (л).
Рис. 4.3 Ke = f (л) и К2 = f(л).
4.3 Произведем расчет ходовых характеристик судна в виде кривых полезной
тяги винта Ре и мощности двигателя Ne при наивыгоднейшем тепловом режиме его
работы при постоянном значении Me = const.
Расчеты производим по таблице 4.2.2., являющейся продолжением таблицы
4.2.
Таблица 4.2.2.Me = const
|
№
|
Расчетные формулы
|
Расчетные значения
|
|
13
|
n = f(K2) (c-1)
|
7,35
|
7,8
|
8
|
8,65
|
10
|
|
14
|
x Ne = f(n) (кВт)
|
519
|
548
|
564
|
610
|
706
|
|
13
|
(км/ч)04,89,8418,6230,79
|
|
|
|
|
|
|
14
|
(кН)10,179,968,466,554,61
|
|
|
|
|
|
Результаты расчетов по таблице 4.2.2. представлены графически на рисунке
4.4. и 4.5. в виде кривых хPe = f(v) и хNe = f(v) при n = const и Me = const.
На этом же графике в масштабе Ре нанесена кривая сопротивления корпуса судна
R(v) = f(v) при водоизмещении V = 379,76 м3.
.4 Рассчитаем ходовые характеристики судна в виде кривых полезной тяги
винта Pe и мощности двигателя Ne при постоянных значениях частоты вращения (n =
const), принимаемых в практически важных пределах
Номинальную частоту вращения n = 8,33 c-1 = 500 мин-1 считаем максимально
допустимой по конструктивным особенностям данного двигателя. Расчет выполняем
по таблице 4.2.3., которая является продолжением таблицы 4.2.
Таблица 4.2.3.n = 8.33 с-1
|
№
|
Расчетные формулы
|
|
13
|
(км/ч)05,1210,2417,9325,65
|
|
|
|
|
|
|
14
|
(кН)13,0611,369,176,083,20
|
|
|
|
|
|
|
15
|
(кВт)958838798718519
|
|
|
|
|
|
= 8 с-1
|
№
|
Расчетные формулы
|
Расчетные значения
|
|
13
|
(км/ч)04,929,8417,2224,64
|
|
|
|
|
|
|
14
|
(кН)12,0510,478,465,612,95
|
|
|
|
|
|
|
15
|
(кВт)848742707637459
|
|
|
|
|
|
= 7 с-1
|
№
|
Расчетные формулы
|
Расчетные значения
|
|
13
|
(км/ч)04,38,6115,0621,56
|
|
|
|
|
|
|
14
|
(кН)9,228,026,484,292,26
|
|
|
|
|
|
|
15
|
(кВт)568498473426308
|
|
|
|
|
|
= 6 с-1
|
№
|
Расчетные формулы
|
Расчетные значения
|
|
13
|
(км/ч)03,697,3812,9118,48
|
|
|
|
|
|
|
14
|
(кН)6,785,894,763,151,66
|
|
|
|
|
|
|
15
|
(кВт)358313298268194
|
|
|
|
|
|
= 5 с-1
|
№
|
Расчетные формулы
|
Расчетные значения
|
|
13
|
(км/ч)03,076,1510,7615,4
|
|
|
|
|
|
|
14
|
(кН)4,714,093,302,191,15
|
|
|
|
|
|
|
15
|
(кВт)207182173155112
|
|
|
|
|
|
= 4 с-1
|
№
|
Расчетные формулы
|
Расчетные значения
|
|
13
|
(км/ч)02,464,928,6112,32
|
|
|
|
|
|
|
14
|
(кН)3,012,622,111,40,74
|
|
|
|
|
|
|
15
|
(кВт)10693887954
|
|
|
|
|
|
Результаты расчета представлены графически на рис. 4.4. и 4.5. в виде
зависимостей хPe = f(v) и хNe = f(v).
Рис. 4.4
Рис. 4.5.
Вывод
На судно устанавливают ДВС немецкой фирмы «Бака у - Вольф» марки 8NVD36 с n = 8,33 с-1, Ps = 294 кВт. Этой частоте вращения соответствует оптимальный
винт с D = 1,4 м, редуктор не
устанавливается.