Разработка виртуальной модели воздушного судна для анализа его свободного возмущенного движения (продольное движение)
Содержание
1. Общая часть.
.1 Общие понятия о равновесии,
балансировке, устойчивости и управляемости ЛА.
.2 Продольная статическая
устойчивость самолета.
.2.1 Продольная статическая
устойчивость по перегрузке.
.2.2 Продольная статическая
устойчивость по скорости.
.3 Возмущенное движение
летательного аппарата.
.3.1 Разделение продольного
движения.
.3.2 Уравнения продольного
возмущенного движения.
. Специальная часть.
.1 Анализ сводного возмущенного
движения летательного аппарата.
.2 Методическое руководство к
проведению практической работы по анализу движения воздушного судна.
. Экономическая часть.
.1 Расчет капитальных вложений
на создание системы.
.2 Расчёт стоимости
программного обеспечения для ПК.
.3 Расчет затрат на решение
уравнений в MathCad 11.
. Экологическая часть.
.1 Загрязнение атмосферы.
.2 Загрязнение гидросферы.
.3 Загрязнение излучением.
.4 Тепловое излучение.
.5 Твёрдые отходы.
.6 Вывод.
. Охрана труда и окружающей
среды.
.1 Освещение.
.2 Пожаробезопасность.
.3 Организация воздухообмена в
помещении. Микроклимат и вентиляция.
.4 Вывод.
. Заключение.
. Список используемой
литературы.
.
Общая часть
1.1 Общие понятия о
равновесии, балансировке, устойчивости и управляемости ЛА
Рассматривая движение самолета как
твердого тела, в том числе и его движение относительно центра тяжести (центра
масс), принято пользоваться такими основными понятиями, как равновесие и
балансировка, устойчивость и управляемость. При этом основное внимание
уделяется статической балансировке, устойчивости и управляемости. Термин
"статическая" подчеркивает приближенное рассмотрение вопросов
балансировки, устойчивости и управляемости, т.е. с учетом только статических
сил и моментов, которые имеют место при заданных значениях углов атаки, скольжения
и крена. Равновесие и балансировка определяют некоторые состояния самолета, в
которых он может быть, а может и не быть в разные моменты полета. Устойчивость
и управляемость относятся к свойствам самолета, которые в значительной степени
закладываются при его проектировании.
Равновесие. Равновесие самолета -
это такое его состояние, при котором все силы и моменты, действующие на него, в
своей сумме равняются нулю:
где 
- главный вектор системы сил;
- главный момент системы.
В соответствии с возможностью
разделения движения самолета на продольное и боковое различают продольное и
боковое равновесия.
Продольное равновесие самолета - это
такое его состояние, при котором выполняется условие:
т. е. соответствующие проекции сил и
моментов равны нулю.
Боковое равновесие самолета - это
такое его состояние, при котором справедливы условия
Балансировка. Балансировка самолета
- это такое его состояние, при котором моменты, действующие на него, в своей
сумме равняются нулю:

.
В связи с возможностью разделения
движения самолета на продольное и боковое различают продольную балансировку,
при которой
и боковую балансировку, при которой
Изучение движения самолета как
материальной точки производится в состоянии балансировки, а прямолинейного
установившегося движения самолета - в состоянии равновесия. Движение самолета в
состоянии равновесия (или балансировки) обычно принимается в качестве
невозмущенного движения.
Устойчивость. Поскольку самолет
всегда в процессе полета подвергается воздействию тех или иных возмущающих
факторов (например, турбулентности атмосферы, порывов ветра, случайных
отклонений рулей и т.п.), то возникает вопрос, а насколько заданное
(невозмущенное) движение является надежным, обладает ли самолет свойством
сохранять заданное невозмущенное движение без вмешательства пилота способен ли
он после воздействия возмущения вернуться к исходному невозмущенному движению.
Это свойство самолета называется динамической устойчивостью или просто
устойчивостью.
Устойчивость - это свойство самолета
сохранять заданное невозмущенное движение (режим полета, т. е. скорость,
высоту, перегрузку, направление полета и т. д.) без вмешательства пилота.
Можно дать и такие определения
устойчивости. Устойчивость - это свойство самолета уничтожать приращения
полетных параметров, полученные в результате воздействия возмущений, или
свойство самолета возвращаться к исходному невозмущенному движению без
вмешательства пилота через некоторое время после прекращения воздействия
возмущения. Устойчивость самолета принято рассматривать при одном из двух предположений:
рули (рычаги управления) зажаты;
пилот их фиксирует в определенном положении;
рули (рычаги управления) свободны;
пилот, сняв усилия с рычагов управления с помощью триммеров, полностью
освобождает их от своего воздействия.
О динамической устойчивости (об
устойчивости) судят по характеру возмущенного движения - изменению полетных
параметров в процессе возмущенного движения. Если в процессе возмущенного
движения приращения параметров исчезают (асимптотически или колебательно), то
такой самолет устойчив (рис. 1), если нарастают - неустойчив (рис. 2), а если
сохраняются неизменными (конечно, это надо рассматривать как чисто
теоретический случай) - нейтрален.
Рис. 1 Поведение самолета,
обладающим свойством устойчивости
Рис. 2 Поведение неустойчивого
самолета:
а - явление потери скорости; б -
явление затягивания в пикирование
В случае динамической устойчивости
возмущенное движение имеет характер затухающих колебаний, а динамической
неустойчивости - все более усиливающегося апериодического возрастания или
уменьшения угла атаки и уменьшения или нарастания скорости.
Таким образом, признаком
динамической устойчивости является затухающий характер колебаний самолета
относительно положения равновесия. Здесь также в связи с возможностью
разделения возмущенного движения на продольное и боковое принято различать
продольную и боковую устойчивости.
Продольная устойчивость - это
свойство самолета сохранять без вмешательства пилота заданное продольное
невозмущенное движение, или это свойство самолета уничтожать приращения
параметров, характеризующих продольное движение, и образовавшихся в результате
воздействия возмущения.
О продольной устойчивости судят по
характеру возмущенного движения, по характеру изменения приращений продольных
параметров (
и т. д.) в процессе возмущенного
движения. Если в процессе продольного возмущенного движения приращения этих
параметров уменьшаются (процесс чаще носит колебательный характер), то самолет
устойчив в продольном отношении (рис. 3, а), растут - неустойчив (рис. 3, б),
сохраняются неизменными - нейтрален (рис. 3, в).
Боковая устойчивость - это свойство
самолета сохранять заданное боковое невозмущенное движение без вмешательства
пилота, уничтожать приращения параметров, характеризующих боковое движение и
образовавшихся в результате воздействия возмущений.
О боковой устойчивости судят по
характеру бокового возмущенного движения, характеру изменения приращений
боковых параметров (∆β, ∆γ, ∆ψ, ∆ψa, ∆γa и т.д.) в
процессе бокового возмущенного движения. Если в процессе бокового возмущенного
движения приращения этих параметров уничтожаются, то самолет устойчив, растут -
неустойчив, сохраняются неизменными - нейтрален.
Для того чтобы судить о динамической
устойчивости (как продольной, так и боковой), необходимо составить и решить
уравнения возмущенного движения (уравнения в вариациях), в результате решения
получить законы (графические зависимости) изменения приращений параметров в
процессе возмущенного движения (см. рис. 3). Полученные зависимости дадут
полное представление о поведении самолета после воздействия возмущений. Из них
будет видно, вернется или не вернется самолет к заданному невозмущенному
движению, а если вернется, то как и когда это произойдет.
Рис. 3. Поведение приращения
параметра в процессе возмущенного движения самолета а - устойчивый самолет; б -
неустойчивый самолет; в - нейтральный
Для предварительной качественной
оценки динамической устойчивости самолета используются различные критерии
устойчивости (Михайлова, Гурвица, Рауса).
Для приближенной оценки свойств
самолета в отношении устойчивости (не прибегая ни к составлению, ни к решению
уравнений возмущенного движения) в аэродинамике получило широкое
распространение понятие статической устойчивости самолёта.
Статическая устойчивость - это
свойство стремления самолета сохранять заданное невозмущенное движение, его
тенденция возвращаться к исходному невозмущенному движению без вмешательства
пилота после воздействия возмущений.
О статической устойчивости самолета
судят по силам и моментам, возникающим под действием возмущений. Если в
результате воздействия возмущений возникают силы и моменты, которые стремятся
вернуть самолет к заданному невозмущенному движению, то такой самолет считается
статически устойчивым. Если же в результате воздействия возмущений возникают
силы и моменты, стремящиеся еще дальше увести самолет от заданного
невозмущенного движения, самолет считается статически неустойчивым. А если в
результате воздействия возмущений не возникает никаких дополнительных сил и
моментов, то такой самолет считается нейтральным.
Статическая устойчивость
свидетельствует только о наличии или отсутствии стремления (тенденции) самолета
к сохранению равновесия в начальный момент времени после нарушения режима
полета, но не дает ответа на вопросы о том, вернется ли самолет на исходный
режим полета, когда вернется и как. Наличие статической устойчивости является
необходимым, но не всегда достаточным условием наличия устойчивости вообще.
Однако в большинстве случаев наличие стремления самолета сохранить заданный
режим полета (т. е. наличие статической устойчивости) означает и способность
сохранить его (т.е. наличие динамической устойчивости). Только при некоторых не
встречающихся на практике сочетаниях конструктивных и аэродинамических
параметров самолетов может оказаться, что при наличии статической устойчивости
отсутствует динамическая устойчивость.
В статической устойчивости также как
в динамической принято различать продольную статическую устойчивость и боковую
статическую устойчивость.
Управляемость. В процессе полета
самолета всегда возникает необходимость перевода его из одного режима полета в
другой или совершения неустановившихся маневров. Здесь проявляется еще одно
свойство самолета - управляемость.
Управляемость - это свойство
самолета переходить из одного невозмущенного движения (режима полета) к другому
по воле пилота при его воздействии на органы управления.
Различают также продольную и боковую
управляемость.
По определению понятие управляемости
противоположно понятию устойчивости, однако из этого не следует делать вывод,
что чем менее устойчив самолет, тем он лучше управляем и наоборот. Только нормальный
в отношении устойчивости самолет является нормальным и приемлемым в отношении
управляемости. Такой самолет не утомляет пилота, не требует к себе излишнего
внимания, он прост и удобен в управлении. Чрезмерно устойчивый самолет и слабо
устойчивый, а тем более неустойчивый самолет не приемлем как в отношении
устойчивости, так и управляемости.
1.2 Продольная статическая устойчивость самолета
Самолет совершает полет в воздушной среде,
которая находится в непрерывном движении и изменении. Поэтому самолет в полете
подвергается воздействию атмосферной турбулентности, восходящих, нисходящих и
других потоков, порывистого ветра и т.д. Под действием внешних возмущений угол
атаки, скорость движения самолета относительно воздуха и другие параметры
полета изменяются. Необходимо, чтобы самолет обладал способностью сохранять
заданный режим полета, восстанавливать его при нарушении какими-либо причинами,
т.е. обладал бы устойчивостью.
Продольная статическая устойчивость - это
свойство стремления самолета сохранять заданное продольное невозмущенное
движение, характеризуемое скоростью и углом атаки, без вмешательства пилота
(т.е. стремление сохранять заданный режим полета по скорости и углу атаки).
Можно рассматривать ее как свойство стремления самолета уничтожать приращения
скорости и угла атаки, полученные при возмущении, при условии, что пилот не
вмешивается в управление.
Обычно полагают, что при нарушении равновесия
пилот не вмешивается в управление. Вместе с тем хорошо известно, что в реальном
полете этого, конечно, не бывает: пилот (или автопилот) время от времени
вмешивается в управление и вносит коррективы.
Возникает вопрос: какой же смысл заниматься
изучением устойчивости самолета, не пилотируемого пилотом? Если при нарушении
равновесия самолет стремится возвратиться к исходному режиму, то с мощью пилота
(или автопилота), правильно вмешивающегося в управление, он еще быстрее
возвратится к этому режиму. Если же самолет не устойчив и сам к заданному
режиму не приходит, то соответствующим отклонением органов управления его можно
возвратить к исходному режиму, но достаточно небольшой внешней причины, чтобы
опять вывести самолет из этого режима. Это значит, что на неустойчивом самолете
пилот (или автопилот) должен непрерывно вмешиваться управление. Неустойчивость
самолета усложняет пилотирование, держит пилота в постоянном напряжении и
отвлекает его внимание от выполнения основной задачи.
Самолеты обладают реальным свойством,
заключающимся в том, что они способны очень быстро изменять угол атаки и очень
медленно изменяют скорость. Так, например, в начале выполнения какого-либо
маневра самолет способен за несколько секунд увеличить угол атаки в несколько
раз, в то время как скорость за это время практически не успевает измениться.
Следовательно, в первые несколько секунд после нарушения режима полета
необходимо обращать внимание на изменение угла атаки. Скорость при этом можно
считать постоянной.
Реальное свойство самолета быстро изменять угол
атаки и медленно скорость явилось обоснованием разделения продольной
статической устойчивости на два вида: при постоянной скорости (устойчивость по
перегрузке); при изменяющейся скорости (устойчивость по скорости).
1.2.1 Продольная
статическая устойчивость по перегрузке
Продольная статическая устойчивость по
перегрузке - это свойство стремления самолета сохранять заданную перегрузку
(или заданный угол атаки) в предположении, что в процессе возмущенного движения
скорость полета остается постоянной и пилот не вмешивается в управление, или
свойство стремления самолета уничтожать приращение перегрузки (или угла атаки),
полученное в результате воздействия возмущений. Таким образом, самолет должен
стремиться сохранять заданный режим полета по углу атаки.
Такое наименование продольной
статической устойчивости (по перегрузке) связано с тем, что при V=const увеличение
или уменьшение угла атаки сопровождается изменением подъемной силы, а
следовательно, и нормальной перегрузки 
. При этом имеем:

.
Откуда для самолета данного веса
т.е. относительный прирост
перегрузки равняется относительному приросту угла атаки.
Рассмотрим проявление устойчивости
по перегрузке. Пусть самолет выполняет прямолинейный установившийся полет (рис.
4). При таком полете все силы и моменты, действующие на него, должны быть взаимно
уравновешены (поэтому силы на рисунке приложены в центе тяжести О). Допустим,
что самолет, движущийся со скоростью V, испытывает
вертикальный порыв ветра, скорость которого W. При этом
изменится направление результирующей скорости, что вызовет увеличение угла
атаки на величину 
. Вследствие этого появится прирост
подъемной силы 
, приложенный в фокусе самолета F, и соответственно
перегрузки 
.
В общем случае фокус F не
совпадает с центром тяжести самолета О, поэтому прирост подъемной силы ∆Ya вызовет
появление продольного момента ∆Mz
относительно центра тяжести. В случае, когда фокус расположен позади центра
тяжести (см. рис. 4), появится восстанавливающий момент (иногда его называют
стабилизирующим). В данном случае он пикирующий (∆Mz<0). Под
действием этого момента ЛА будет стремиться опустить нос, уменьшить угол атаки,
"сбросить" прирост подъемной силы и перегрузки.
Рис. 4. Схема сил и моментов,
действующих на устойчивый по перегрузке самолет, после воздействия возмущений
(О - центр тяжести, F - фокус самолета)
Рис. 5 Схема сил и моментов,
действующих на неустойчивый по перегрузке самолет, после воздействия возмущений
Следовательно, появление пикирующего
момента ∆Mz<0 при увеличении угла атаки ∆α>0 характеризует
устойчивость самолета по перегрузке; Если бы внешнее воздействие привело к
уменьшению угла атаки (нисходящий поток воздуха, ∆α<0), то очевидно
появился бы кабрирующий момент (∆Mz>0),
который стал бы увеличивать угол атаки, т.е. восстанавливать перегрузку
исходного режима. На основе этих рассуждений рассмотрим критерий (т.е.
математическое условие, требование) продольной статической устойчивости по
перегрузке. Действительно, самолет будет статически устойчив, если знак
приращения момента ∆Mz будет противоположным знаку
приращения угла атаки, т.е. если
или (помня, что V=const), перейдя к
безразмерным величинам и производной, что не меняет физического смысла этого
выражения, можно записать: если
то самолет устойчив. В такой форме
обычно записывается критерий продольной статической устойчивости по перегрузке.
Значение частной производной 
характеризует степень устойчивости.
В том случае, когда центр тяжести
находится позади фокуса (рис. 5), увеличение угла атаки приводит к появлению
кабрирующего момента (∆Mz>0), а уменьшение угла
атаки - к появлению пикирующего момента (∆Mz<0),
который будет стремиться еще больше отклонить ЛА от исходного режима. Иногда
этот момент называют дестабилизирующим.
В том случае, когда центр тяжести
совмещен с фокусом, самолет безразличен к нарушению равновесия, не проявляет
тенденции ни к возвращению к исходной перегрузке, ни к дальнейшему отходу от
нее. Отсюда следует, что если:

то самолет устойчив;

то - неустойчив;

то - нейтрален.
Для того, чтобы самолет обладал
продольной статической устойчивостью по перегрузке, необходимо центр тяжести
самолета О расположить впереди фокуса F (см. рис.
4). К этому выводу можно прийти, взяв частную производную от безразмерного
момента самолета 
по 
. Действительно,
Это выражение будет меньше нуля,
если 
, т.е. можно записать, что если:

то самолет устойчив;

то самолет неустойчив;

то самолет нейтрален.
Таким образом, продольная
статическая устойчивость по перегрузке обеспечивается передним расположением
центра тяжести относительно фокуса. Для нормальной схемы правильное
(оптимальное) расположение фокуса относительно центра тяжести самолета
достигается путем соответствующего подбора площади горизонтального оперения
SГ.О. и его размещения (плеча LГ.О.).
1.2.2 Продольная
статическая устойчивость по скорости
Продольная статическая устойчивость по скорости
- это свойство стремления самолета сохранять заданный режим полета по скорости
(а также по углу атаки, так как каждой скорости соответствует свой угол атаки)
при предположении, что пилот не вмешивается в управление, или - свойство
стремления самолета уничтожать приращения скорости и угла атаки, полученные в
результате возмущения. Так как изменение скорости сопровождается изменением
угла атаки, то под устойчивостью по скорости фактически подразумевается
устойчивость режима полета, т.е. стремление ЛА возвращаться не только к
скорости, но и к углу атаки, характеризующим исходный режим полета.
Рассмотрим проявление статической устойчивости
по скорости при нарушении равновесия и определим критерий устойчивости
Предположим, что самолет совершающий полет в спокойной атмосфере, входит в
поток, движущийся навстречу со скоростью Wx
В первый момент его скорость относительно воздуха возрастет на ∆V
= Wх. При изменении
скорости нарушится равновесие сил как по касательной к траектории (лобовое
сопротивление), так и по нормали (подъемная сила). Кроме того, может быть
нарушена и балансировка продольных моментов, что приведет к сравнительно
быстрому изменению угла атаки.
Выясним, что требуется для того, чтобы самолет
обладал стремлением не только уничтожать прирост момента, но и прирост сил.
Самолет будет обладать стремлением
уничтожать неуравновешенный момент, появившийся из-за нарушения исходного режим
а полета, при условии, что 
. Данное условие устойчивости
является необходимым но недостаточным, так как самолет должен обладать
стремлением уничтожать не только неуравновешенный момент, но и неуравновешенные
силы
Допустим (рис. 6, а), что
результирующее лобовое сопротивление станет больше тяги двигателей, а подъемная
сила - больше силы тяжести. В этом случае самолет начнет терять скорость
вследствие увеличения лобового сопротивления и искривления траектории и
перехода самолета в набор высоты, вызванного избытком подъемной силы. Очевидно,
что в рассматриваемом случае самолет будет обладать тенденцией вернуться к
исходной скорости.
|Рис. 6. Устойчивость самолета по
скорости:
а - самолет устойчив; б - самолет
неустойчив, его затягивает в пикирование
Рис. 7. Суждение о продольной
статической устойчивости самолета на всех режимах полета по наклону моментной
кривой, построенной при разных числах М (жирная кривая). Пунктирные кривые -
моментные кривые, построенные при постоянных числах М
Для определения критерия
устойчивости следует выяснить к какой силе необходимо предъявить требование -
лобовому сопротивлению Ха или подъемной силе Ya. Подъемная
сила значительно больше лобового сопротивления 
(в горизонтальном полете, например,
Ха = Ya/K), что
является определяющим. Кроме того, анализ показывает, что изменение касательных
сил выполняет роль не столько восстанавливающих, сколько демпфирующих сил,
вызывающих затухание колебаний, появляющихся при нарушении равновесия.
Вследствие этого начальная тенденция возвращения ЛА к исходной скорости в
основном определяется характером изменения подъемной силы при перемене
скорости.
Если увеличение скорости
сопровождается возрастанием подъемной силы, а уменьшение скорости - ее
падением, то искривление траектории движения будет обуславливать начальную
тенденцию возвращения самолета к исходной скорости за счет преобразования
кинетической энергии в потенциальную и наоборот (рис. 7).
Таким образом, условие продольной
статической устойчивости по скорости математически (т.е. критерий устойчивости)
можно записать в следующем виде: если

то самолет статически устойчив по
скорости;

то самолет статически неустойчив по
скорости;

то самолет статически нейтрален по
скорости.
Таким образом, для того, чтобы
самолет обладал продольной статической устойчивостью при нарушении режима
полета, как по скорости, так и по углу атаки, необходимо чтобы выполнялись
условия:
частная производная 
, т.е. несовпадение знака изменения
продольного момента со знаком изменения угла атаки;
полная производная 
, т. е. совпадение знака изменения
подъемной силы со знаком изменения скорости.
Первое неравенство необходимо для
того, чтобы самолет обладал стремлением уничтожать прирост продольного момента,
а второе - для того, чтобы самолет обладал стремлением уничтожать прирост
скорости (подъемной силы).
Условия
являются необходимыми и достаточными
для того, чтобы самолет стремился вернуться на исходный режим полета, как по
скорости, так и по углу атаки.
Так как подъемная сила
пропорциональна квадрату скорости 
, то может показаться, что при
увеличении скорости всегда будет возрастать подъемная сила и самолет всегда
будет устойчив по скорости. Однако это не так.
Предположим, что увеличение скорости
будет сопровождаться приростом сильного пикирующего момента (∆Mz<0). Это
может быть связано, например, с развитием волнового кризиса и перемещением
фокуса самолета назад или упругими деформациями конструкции или другими
причинами. Образовавшийся пикирующий момент может настолько уменьшить угол
атаки, что подъемная сила, несмотря на увеличение скорости, не только не
увеличится, но даже уменьшится. Действительно, ведь суммарное приращение
подъемной силы складывается из приращений, вызванных изменением скорости и изменением
угла атаки:
В результате этого траектория
движения будет отклоняться вниз. При этом еще больше будет увеличиваться
скорость (из-за перехода потенциальной энергии в кинетическую), а самолет - все
дальше уходить от исходного режима полета (рис. 6, б).
Если пилот (или автопилот) не
вмешивается в управление, то самолет, предоставленный самому себе, будет
входить во все более и более крутое пикирование. Это явление называется
затягиванием в пикирование. Очевидно, что такое поведение самолета
характеризует неустойчивость по скорости.
Для того чтобы судить об
устойчивости по скорости (из рассмотрения моментной диаграммы), необходимо
записать критерий устойчивости в несколько ином виде. Так как в процессе
проявления устойчивости по скорости подъемная сила и продольный момент являются
функциями 
и V, то можно записать:
Пусть на рис. 7 изображена жирной
кривой моментная диаграмма, построенная при разных скоростях (числах М полета)
для установившегося движения (n = 1, горизонтальный полет).
Тангенсы углов наклона касательных, проведенные к моментной кривой в точках,
где mz = 0 (режим
балансировки), определяют полную производную 
. Видно, что в точках 1 и 3 самолет
устойчив по скорости, так как 
, в то время как в точке 2 -
неустойчив, так как 
. Отклоняя руль высоты для
балансировки продольного момента при других значениях 
, можно убедиться, что самолет
устойчив по скорости на всех режимах, исключая заштрихованную область,
соответствующую неустойчивым режимам полета.
Для современных самолетов характерна
потеря устойчивости по скорости при числах М, близких к единице. Потеря
устойчивости по скорости связана с приростом пикирующего момента при увеличении
скорости, обусловленного развитием волнового кризиса (перемещение фокуса назад)
и изменением момента 
При дальнейшем увеличении числа М
(М>1)сначала исчезает неустойчивость, а затем интенсивно возрастает
устойчивость по скорости.
Неблагоприятное влияние на
устойчивость по скорости могут оказать упругие деформации частей самолета,
режим работы силовой установки и другие причины. Причем, если упругие
деформации могут оказать сильное влияние на устойчивость по скорости на больших
скоростях полета, то режим работы двигателей, наоборот, - на малых скоростях.
В отличие от неустойчивости по перегрузке,
небольшая неустойчивость по скорости, вызывая ряд особенностей в продольном
управлении, не создает больших трудностей для пилотирования. Это объясняется
тем, что при неустойчивости по скорости параметры движения изменяются настолько
медленно, что у пилота достаточно времени, чтобы заметить это изменение и
вмешаться в управление. Лишь сильная неустойчивость по скорости,
сопровождающаяся затягиванием в пикирование, может вызвать серьезные трудности
в балансировке самолета, а в некоторых случаях даже представить серьезную
опасность для полета.
1.3 Возмущенное
движение летательного аппарата
В теории автоматического управления летательными
аппаратами весьма широкое распространение получил метод линеаризации уравнений,
если необходимо исследовать полет с учетом процессов в системе управления. Этот
метод совместно с другими способами упрощения исследуемых уравнений является
весьма эффективным. Он используется как при аналитических расчетах, так и при
вычислениях с помощью моделирующих устройств и цифровых электронных машин.
Как известно, система дифференциальных уравнений
называется линейной, если в эти уравнения неизвестные функции и их производные
входят линейно. Другими словами, в состав линейных уравнений не должны входить
отличающиеся от единицы степени неизвестных функций и их производных, а также
смешанные произведения неизвестных функций и их производных, противном случае
система дифференциальных уравнений является нелинейной. Соответственно и физическая
система, описываемая линейной (или нелинейной) системой дифференциальных
уравнений, называется линейной (или нелинейной). Как правило, любая физическая
система является нелинейной. Говоря о линейной системе, обычно подразумевают
такую систему, которую можно с достаточной точностью описать линейными
равнениями.
Аппроксимацию считают достаточно точной, если в
рассматриваемой задаче влияние нелинейных свойств системы не является
существенным. Поэтому для отнесения данной системы к классу линейных или нелинейных
систем необходимо исходить из конкретных условий рассматриваемой задачи.
Рассмотрим, например, систему «летательный
аппарат - автопилот». Эта физическая система является нелинейной, так как и
уравнения движения летательного аппарата, и уравнения автопилота нелинейны.
Оказывается, что для исследования устойчивости уравнения движения летательного
аппарата и уравнения автопилота можно принять линейными. Если же ставится
задача исследования автоколебаний в системе «летательный аппарат - автопилот»,
то нелинейностью уравнений автопилота пренебрегать нельзя. Это объясняется тем,
что автоколебания возникают лишь вследствие нелинейных свойств автопилота.
Благодаря тому, что линейные системы являются
более легкими для исследования и очень большое число реальных систем,
встречающихся в технике, можно представить в виде линейных, наибольшее развитие
получили те области теории автоматического управления, которые посвящены
линейным задачам.
Обычно полет летательного аппарата рассматривают
как движение в пространстве абсолютно жесткого тела, имеющего шесть степеней
свободы. Такое предположение при решении большинства задач не приводит к
большим погрешностям, однако довольно часто встречаются случаи, когда
нежесткость конструкции летательного аппарата существенно влияет на работу
системы управления. В таких случаях летательный аппарат уже нельзя
рассматривать как абсолютно жесткое тело и приходится учитывать деформации
элементов конструкции аппарата. Благодаря нежесткости конструкции летательный
аппарат имеет дополнительные степени свободы. В соответствии с этим система
уравнений, описывающая движение аппарата, становится еще более сложной. Дальше
будем рассматривать летательный аппарат как абсолютно жесткое тело.
Невозмущенной траекторией называется
теоретическая траектория, отвечающая конкретным уравнениям управляемого
движения летательного аппарата с номинальными значениями параметров аппарата и
системы управления, заданным начальным условиям, определенному маневру цели,
стандартным параметрам атмосферы и т.д.
Действительные траектории всегда отличаются от
теоретической не только потому, что динамические свойства летательного аппарата
и системы управления описываются принятыми уравнениями лишь приближенно, но
также в результате воздействия на летательный аппарат и систему управления ряда
случайных факторов. В действительности всегда начальные условия отличаются от
заданных, параметры аппарата и системы управления отклоняются от своих
номинальных значений, параметры состояния атмосферы отличаются от стандартных,
на систему управления воздействуют всякого рода случайные помехи, на
летательный аппарат действуют случайные аэродинамические силы, вызванные
турбулентностью атмосферы, маневр цели может отличаться от заданного и т.п.
Все эти факторы, неизбежно существующие в действительности,
возмущают движение летательного аппарата - на основное невозмущенное движение
накладываются дополнительные движения. Движения, получающиеся из невозмущенного
при воздействии различного рода возмущений, обычно называют возмущенными.
Если возмущающие влияния малы, то возмущенные
траектории проходят вблизи невозмущенной, мало от нее отличаясь. Близость
возмущенных траекторий к теоретической невозмущенной траектории служит
основанием для линеаризации дифференциальных уравнений движения летательного аппарата.
1.3.1 Разделение
продольного движения
При исследовании динамики полета самолета особое
место занимают задачи анализа продольного возмущенного движения. Это движение,
как правило, развивается в результате действия возмущений в плоскости симметрии
самолета (например, при вертикальном порыве ветра), в результате отклонения
руля высоты, стабилизатора и т.д. Движение самолета под действием возмущения
будет вынужденным, а после снятия внешнего возмущения - собственным.
Рассмотрим физическую картину развития
продольного возмущенного движения при отклонении руля высоты от
балансировочного положения на угол ∆δв, полагая, что опорное
(невозмущенное) движение устойчиво. В результате отклонения руля высоты,
например, вверх (задняя кромка руля отклоняется вверх) появляется кабрирующий
момент 
, под действием которого самолет
начинает совершать угловое движение с интенсивным изменением угловой скорости ωz, угла атаки
α
и
угла тангажа υ. Быстрое
угловое движение самолета (короткопериодическое движение), как правило, имеет
колебательный характер. Период колебания параметров движения составляет для
легких самолетов на больших скоростях полета 0,8... 1,2 сек, а для тяжелых -
4...6 сек.
Короткопериодическое движение
завершается балансировкой самолета на новом значении угла атаки,
соответствующем измененному положению руля высоты (
). За время короткопериодического
движения (первой фазы возмущенного движения) скорость и высота полета самолета
практически не изменяются.
Рис. 8. Переходные процессы ∆α(t),
∆H(t) и ∆V(t) при ступенчатом отклонении руля высоты на угол ∆δв:
- быстрое движение; 2 - медленное движение
Балансировкой самолета не заканчивается
невозмущенное движение, поскольку изменение угла атаки вызывает изменение
аэродинамических сил (подъемной силы Ya
и силы лобового сопротивления Ха), вследствие чего нарушается равновесие сил по
касательной и нормали к траектории. Равновесие сил восстанавливается во второй
фазе движения самолета путем медленного изменения скорости и высоты полета. Это
медленное (длиннопериодическое движение), как правило, также имеет
колебательный характер. Период колебаний параметров движения составляет: для
легких самолетов 30...50 сек, а для тяжелых - 60...80 сек. В
длиннопериодическом движении угол атаки изменяется незначительно, вследствие
этого можно считать, что самолет сбалансирован по моментам. Переходные процессы
∆α(t),
∆V(t)
и ∆H(t)
при ступенчатом отклонении руля высоты на угол ∆δв
приведены на рис. 8.
Анализ переходных процессов показывает, что для
продольного возмущенного движения самолета характерно наложение друг на друга
двух типов движений - быстро и медленно затухающего. Поэтому продольное
возмущенное движение при определенных условиях можно разделить на две
составляющие или два этапа.
· Короткопериодическое движение
развивается в первые секунды после действия возмущения (Т<10 сек), возникает
при повороте самолета относительно центра масс и сопровождается быстрым
изменением параметров ∆ωz,
∆α и ∆υ
при практически постоянной скорости ∆V,
что объясняется большой инерционностью самолета. На этом первом этапе
свободного возмущенного движения преобладает быстрозатухающее
короткопериодическое движение и к концу первого этапа колебания угла атаки
практически отсутствуют (∆α = 0).
· Длиннопериодическое движение имеет сравнительно
большой период (Т>10 сек) и связано с медленным изменением параметров ∆V, ∆θ, ∆Н.
Этот второй этап свободного возмущенного движения, как правило, проходит при
балансировочном положении самолета (
).
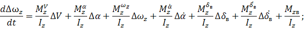
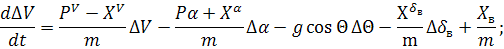
1.3.2 Уравнения
продольного возмущенного движения
Система дифференциальных уравнений:
где:

- масса ЛА; 
- скорость ЛА; 
- угол атаки; 
- ускорение силы тяжести; 
- угол наклона траектории к
горизонту; 
- угол отклонения рулей высоты; 
- проекция вектора угловой скорости
на ось координат Oz1; P- тяга
двигателя; X - лобовое
сопротивление; Mz - момент тангажа; Iz - момент
инерции ЛА относительно оси Oz1; ϑ - угол тангажа; x -
координата вдоль оси Ox1; H - высота
полета; (верхним индексом обозначены частные производные параметров по этим
коэффициентам), описывает изменение параметров продольного возмущенного
движения летательного аппарата.
Для упрощения написания уравнений вводим
сокращенные обозначения коэффициентов уравнений. С этой целью пронумеруем
переменные и возмущения следующим образом:
|
0
|
1
|
2
|
3
|
4
|
5
|
|
V
|
ϑ
|
     Xв,
Yв,
Mzв
|
|
|
|
и каждому из уравнений присвоим
соответствующий номер. Так, например, уравнение, описывающее изменение ∆
, получит № 4. Коэффициенты уравнений
будем обозначать двумя индексами. Первый индекс соответствует номеру уравнения,
второй - номеру приращения. Например, a43 = Yδ/mV.
Очевидно, что первые четыре
уравнения системы можно исследовать независимо от кинематических уравнений,
описывающих изменение ∆х и ∆Н, так как эти вариации не входят в
первые уравнения. Запишем эту систему уравнений, используя для упрощения записи
принятые сокращенные обозначения коэффициентов уравнений. Предварительно
исключим вариацию ∆
с помощью уравнения
Тогда уравнения продольного движения
примут вид:
;
;
;
.
Коэффициенты aik
характеризуют важные аэродинамические и конструктивные свойства летательного
аппарата, и называются динамическими коэффициентами. Некоторые из них имеют
физический смысл. Связаны следующими формулами:
летательный самолет
устойчивость движение
1/сек;
м/сек2;
м/сек2;
м/сек2;
1/(м·сек);
1/сек -характеризует
аэродинамическое демпфирование летательного аппарата и представляет собой
приращение углового ускорения вращения летательного аппарата, вызванное
приращением угловой скорости на единицу. Так как
, то это приращение ускорения
направлено всегда в сторону, противоположную отклонению угловой скорости ∆ωz. Поскольку
угловое ускорение
противодействует
вращению летательного аппарата относительно оси Oz1, его
называют демпфированием;
1/сек2 - характеризует устойчивость
летательного аппарата. Представляет собой приращение углового ускорения,
обусловленное изменением угла атаки на единицу;
1/сек - характеризует влияние
запаздывания скоса потока на момент тангажа. Представляет собой приращение
углового ускорения вращения летательного аппарата, вызванное отклонением
производной
на единицу;
1/сек2 - характеризует
эффективность рулей высоты. Представляет собой приращение углового ускорения
летательного аппарата, создаваемое отклонением органов управления на единицу
угла;
1/сек - характеризует влияние
запаздывания скоса потока, вызванного вращением органов управления, на угловое
ускорение летательного аппарата;
1/м;
1/сек - представляет собой
приращение угловой скорости касательной к траектории, вызванное отклонением
угла атаки на единицу;
1/сек - представляет собой
приращение угловой скорости касательной к траектории, обусловленное отклонением
органов управления на единицу (при неизменном значении угла атаки);
1/сек - представляет собой
приращение угловой скорости касательной к траектории за счет силы тяжести при
отклонении угла наклона траектории на единицу;
1/кг;
1/(кг·м2);
сек/(кг·м).
2.
Специальная часть
.1 Анализ сводного
возмущенного движения летательного аппарата
Приступая к изучению динамических свойств
летательного аппарата, введем ряд упрощающих предположений, законность которых
необходимо проверять каждый раз при исследовании летательного аппарата повой
аэродинамической формы.
Прежде всего, будем опираться на линейные
уравнения движения летательного аппарата.
Хотя аэродинамические характеристики
современных летательных аппаратов, как правило, нелинейны, все же можно
допустить линеаризацию аэродинамических сил и моментов, если правильно выбрать
значения аэродинамических производных
.Влияние нелинейностей на течение
процессов управления при больших возмущениях достаточно полно можно оценить
лишь с помощью электронных моделирующих устройств и электронных цифровых машин.
Предположим, что динамические
свойства аппарата описываются приближенными линейными уравнениями. Кроме того,
предположим, что аэродинамические коэффициенты этих уравнений являются
достаточно медленно меняющимися функциями времени.
Такое упрощение уравнений
летательного аппарата очень удобно для предварительных исследований при
проектирования аппарата и его системы управления как при решении задач
расчетным путем, так и с помощью моделирующих машин. Без указанных упрощающих
предположений задача проектирования системы управления оказалась бы исключительно
сложной.
Для выяснения некоторых общих
свойств продольного возмущенного движения летательного аппарата будем
использовать прием «замораживания» коэффициентов. О допустимости этого приема с
достаточной для практики достоверностью можно судить только после анализа
конкретных характеристик летательного аппарата и системы стабилизации с помощью
вычислительной техники. При общих исследованиях приходится ограничиваться
следующей чисто качественной оценкой.
Для того, чтобы можно было применять
метод «замораживания» коэффициентов, необходимо, чтобы эти коэффициенты
изменялись достаточно медленно. Это означает, что в течение интервала времени,
равного времени переходного процесса исследуемой системы, ее переменные
коэффициенты не должны успевать заметно изменяться. Практически это изменение
не должно превышать 15…20% от начального значения коэффициента на указанном
интервале.
Поэтому исследование системы
уравнений продольного движения путем «замораживания» коэффициентов имеет в
определенной степени условный характер: изучаются динамические свойства
летательного аппарата, которые он имел бы, если бы, начиная с данного момента
времени, коэффициенты уравнений оставались постоянными. Такой анализ следует
рассматривать как качественный. Он допустим при условии, что коэффициенты
уравнений изменяются достаточно медленно, при этом не следует забывать об
условности получаемых результатов.
Теперь будем рассматривать
летательный аппарат как звено системы управления, в котором входными
воздействиями служат приращения отклонений органов управления, а выходными
величинами - приращения параметров движения аппарата, например углов атаки и
скольжения, угловых скоростей касательной к траектории и др.
Система уравнений продольного
движения ЛА содержит четыре неизвестные: ∆V, ∆ϑ, ∆θ,
∆α. Будем
искать частное решение этой системы в виде показательных функций:
∆V = Aeλt , ∆ϑ
= Beλt, ∆θ = Ceλt, ∆α = Deλt,
где А, В, С, D и λ -
постоянные.
Производные, по t от
переменных ∆V, ∆ϑ, ∆θ и ∆α будут:
После подстановки и сокращения на
общий множитель еλt получим
систему алгебраических уравнений:
(λ+a00)A+a02C+a04D
= 0;A+λ(λ+a11)B+(a’12λ+a12)C = 0;
a40A+a42C+(a44-λ)D
= 0;
-B+C+D = 0.
Эту систему можно рассматривать как
систему четырех линейных однородных уравнений относительно А, В, С, D, в которую
неизвестная величина λ входит в качестве параметра.
Очевидно, что эта система имеет тривиальное решение:
= B = C = D = 0.
Для получения нетривиального решения
мы должны потребовать равенства нулю определителя системы, зависящего от λ:
Это уравнение есть алгебраическое
уравнение 4-й степени относительно λ. Вычислив
определитель, получим уравнение в виде:
которое называется характеристическим.
Коэффициенты р1, р2, p3, p4 являются
вещественными величинами, зависящими от коэффициентов системы уравнений
возмущенного движения.
Характеристическое уравнение имеет
четыре корня: λ1, λ2, λ3, λ4. Если все
четыре корня различны, что обычно и имеет место для летательного аппарата, то
каждому корню λi - (i = 1, 2, 3,
4) соответствует частное решение системы такого вида:
Общее решение системы будет
представлять собой сумму четырех частных решений:
Так как коэффициенты
характеристического уравнения р1, р2, p3, p4 являются
вещественными величинами, то корни λ1, λ2, λ3, λ4 этого уравнения
могут быть либо вещественными, либо комплексными сопряженными. Поэтому при
анализе свободного возмущенного движения могут быть лишь следующие случаи:
· все четыре корня вещественные;
· два корня вещественные и два корня
комплексные сопряженные;
· все четыре корня попарно комплексные
сопряженные.
Выясним, каким будет характер свободного
движения в каждом случае.
В первом случае свободное движение летательного
аппарата складывается из четырех апериодических движений. Поэтому каждое из
четырех слагаемых изменяется апериодически: оно возрастает со временем, когда
соответствующий корень положительный, и уменьшается, когда корень,
соответствующий этому слагаемому, отрицательный. Если в рассматриваемом, случае
хотя бы один из четырех корней будет положительным, то с течением времени все
отклонения ∆V, ∆ϑ,
∆θ и ∆α будут
неограниченно возрастать.
Во втором случае паре сопряженных комплексных
корней λ3 = χ+iν,
λ4 = χ-iν
соответствует частное решение вида
где постоянные В3 и В4 - комплексные
сопряженные числа:
Пользуясь формулами Эйлера
преобразуем частное решение,
соответствующее паре корней λ3 и λ4:
где B и φ - новые
произвольные постоянные:
Таким образом, пара комплексных
сопряженных корней дает колебательное движение с амплитудой Bext, угловой
частотой ν и фазой φ. Амплитуда Bext
неограниченно возрастает с течением времени, когда χ>0, и затухает,
если χ<0.
В рассматриваемом случае свободное
движение летательного аппарата представляет собой наложение двух апериодических
и одного колебательного движения:
Если хотя бы один из вещественных
корней или вещественная часть комплексного корня имеет положительный знак, то
приращения ∆V, ∆ϑ, ∆θ и ∆α с течением
времени неограниченно возрастают.
В третьем случае свободное возмущенное
движение летательного аппарата представляет собой наложение двух колебательных
движений:
Если в этом случае у какого-либо
корня вещественная часть будет положительной, то с течением времени приращения ∆V, ∆ϑ, ∆θ
и
∆α
будут
неограниченно возрастать.
Как в случае вещественных, так и в
случае комплексных корней характеристического уравнения поведение приращений ∆V, ∆ϑ, ∆θ
и
∆α
при
t>t0
определяется показательной функцией вида еχt, где χ - вещественный
корень или вещественная часть корня характеристического уравнения. Эта функция
стремится к нулю при t→∞, если χ < 0, и
неограниченно возрастает при t→∞, если χ > 0.
Рассмотрим для начала полет
реактивного самолета на высоте 12000 м со скоростью 800 км/ч. В этом случае
динамические коэффициенты будут иметь следующие значения: a00=0.0134
1/сек; a02=9.35
м/сек2; а03=0; а04=9,81 м/сек; а10=0; а11=0,49 1/сек; а12=2,98 1/сек2;
а’12=0.22 1/сек; а13=2,32 1/сек2; а’13=0; а40=0,0007 1/м; а42=0,577 1/сек;
а43=0; а44=0. Подставляем коэффициенты в определитель и получаем
характеристическое уравнение (все математические вычисления производим с
помощью прикладной математической программы MathCad 11):
Приравнивая к нулю
характеристическое уравнение, получаем корни:
Как мы видим полученные корни
являются попарно комплексно сопряженными. Значит, свободное возмущенное
движение летательного аппарата представляет собой наложение двух колебательных
движений:
Рис 9. Продольное возмущенное
движение самолета, представленное наложением двух колебательных движений.
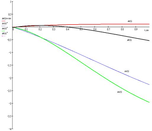
На рисунке 9 мы видим изменение
отклонений ∆V, ∆ϑ, ∆θ и ∆α при
внезапном отклонении руля высоты на 5,73°. Как видно, свободное возмущенное
движение можно разбить на два этапа. На первом этапе преобладает быстро
затухающее короткопериодическое движение. В течение этого этапа отклонения ∆ϑ, ∆θ
и
∆α
изменяются
резко, а отклонение ∆V - незначительно (рис 10). На втором
этапе имеет место только медленно затухающее длиннопериодическое движение. В
течение этого этапа изменяются в основном отклонения ∆V, ∆ϑ
и ∆θ,
а
колебания отклонения ∆α, имеющие незначительную амплитуду,
практически отсутствуют.
Рис 10. Продольное возмущенное
движение самолета, представленное наложением двух колебательных движений
(первые секунды движения).
Теперь меняем динамические
коэффициенты таким образом, что два корня полученного характеристического
уравнения будут вещественными, а два комплексно сопряженными:
В данном случае свободное движение
летательного аппарата представляет собой наложение двух апериодических и одного
колебательного движения (рис 11.):
Рис 11. Продольное возмущенное
движение самолета, представленное наложением двух апериодических и одного колебательного
движения.
Как и в предыдущем случае, здесь
также наблюдается в короткопериодическом движении резкие изменения отклонений ∆ϑ, ∆θ
и
∆α,
и
плавное изменение отклонения ∆V (рис 12.).
Рис 12. Продольное возмущенное
движение самолета, представленное наложением двух апериодических и одного
колебательного движения (первые секунды движения).
В случае, когда все корни
характеристического уравнения являются вещественными, свободное движение
летательного аппарата складывается из четырех апериодических движений (рис
13.). Как видно на данном примере, короткопериодическое движение
характеризуется резким изменением отклонений ∆α и ∆υ, так как при
резком отклонении руля высоты скорость и угол наклона траектории меняются не
сразу:
Система уравнений будет иметь вид:
Рис 13. Продольное возмущенное
движение самолета, представленное наложением четырех апериодических движений.
Теперь рассмотрим случай, когда в решении
характеристического уравнения присутствует хотя бы один положительный корень:
Рис 14. Продольное возмущенное
движение самолета, неустойчивого летательного аппарата.
На рисунке 14 видно, что при наличии
хотя бы одного положительного корня, летательный аппарат неустойчив и у
параметров ∆V, ∆ϑ, ∆θ и ∆α нет
установившегося значения.
2.2 Методическое
руководство к проведению практической работы по анализу движения воздушного
судна
Для проведения самостоятельной практической
работы студентами необходимо иметь персональный компьютер и ряд прикладных
программ для решения дифференциальных уравнений и непосредственного анализа
предполагаемого движения. В качестве программ подходят такие математические
программы как MathCad
11 версии и позднее, и MathLab.
Рассмотрим порядок выполнения действий в программе
MathCad:
· Задаемся определенными значениями
динамических коэффициентов aik.
· Вводим матрицу
· Подставляя коэффициенты aik, находим
определитель матрицы (характеристическое уравнение).
· Используя функцию solve
по переменной λ, получаем корни
характеристического уравнения.
· Исходя из данных о полученных
корнях, строим графики зависимости по уравнениям свободного возмущенного
движения, используя соответствующие корни характеристического уравнения и
коэффициенты.
· По характеру изменения параметров
проводим анализ движения воздушного судна.
3.
Экономическая часть
Целью экономического расчета является
определение основных экономических показателей по созданию и эксплуатации
рабочего места инженера - программиста.
3.1 Расчет
капитальных вложений на создание системы
Капитальные вложения Ксист состоят из стоимости
персонального компьютера (ПК), сетевого оборудования, и программного
обеспечения. Конфигурация ПК и расчёт её стоимости приведены в таблице 1.
Стоимость ПК определена по ценам ОАО
"НЭТА" по состоянию на 23.12.08.
Таблица 1 - Стоимость ПК
|
Наименование
|
Цена,
руб
|
|
Системная
плата ASUS
P5L-VM 1394, socket 775, DDR
ΙΙ
|
2125
|
|
Поцессор
Intel Pentium 4 CPU 2.80 GHz
|
2550
|
|
Память
2*DDRΙΙ
SDRAM 512Mb
PC5300 Hynix
|
750
|
2430
|
|
Привод
DVD-RW NEC AD7170A-01
|
875
|
|
Корпус
MIDITOWER ATX IW-S500 350 Wt
|
1875
|
|
Мышь
A4Tech Mouse Optical "BW 35" PS/2 USB (3 кнопки)
|
153
|
|
Клавиатура
BTC-5107-BL PS/2
|
183
|
|
Колонки
Genius SP-P110
|
118
|
|
ИБП
APC Back-UPS ES550
|
2400
|
|
Сетевой
фильтр Pilot
S
|
325
|
|
Монитор
19”LCD Samsung SynsMaster 740n
|
7225
|
|
Итого
|
21009
|
3.2
Расчёт стоимости программного обеспечения для ПК
Стоимость программного обеспечения приводится в
таблице 2. Стоимость операционной системы и программных продуктов включает их
установку и определена по ценам ОАО "НЭТА" по состоянию на 23.12.08.
Таблица 2 - Стоимость программного обеспечения
|
Наименование
|
Цена,
руб
|
|
Операционная
система Windows
XP
Rro
DOEM
|
3499
|
|
|
Пакет
программ Office
Home 2007 OEM
|
4556
|
|
|
Антивирусный
пакет Kaspersky
Anti-Virus
|
588
|
|
|
Пакет
программ MathCad
14
|
1564
|
|
|
Итого
|
10207
|
|
Таблица 3 Стоимость доставки ПК и его монтажа
|
Наименование
|
Ед.изм
|
Цена,
руб
|
|
Монтажные
работы
|
Чел.-час
|
500
|
|
Доставка
|
час
|
250
|
|
Итого
|
|
750
|
3.3 Расчет затрат на
решение уравнений в MathCad 11
Общие затраты на решение уравнений в прикладной
математической программме MathCad
11 состоят из затрат на потреблённую электроэнергию и оплаты труда инженеру -
программисту.
Эсозд = Ээл + Эзп
Определим стоимость потребляемой электроэнергии
как
Ээл = Pуст*t*kим*kив*Сэл
,
где Ээл - затраты на электроэнергию, руб.
Pуст -
установленная мощность системы, кВт
t - период за
который определяются затраты, час (t
= 160 ч.)
kим - коэффициент
использования по мощности (kим
= 0,7)
kив - коэффициент
использования по времени (kив
= 0,034)
Сэл - цена 1 кВтч электроэнергии, руб. (Сэл =
1,12 руб.)
Установленная мощность системы определим как
уст = Pпк*Nпк
где Pрс -
установленная мощность ПК, кВт (Pпк
= 0,4 кВт)
Nрс - количество
рабочих станций, шт (Nрс
= 1)
Pуст = 0,4*1= 0,4
кВт
тогда
Ээл = 0,4*160*0,7*0,034*1,12 = 1,71 руб.
Определим затраты на заработную плату инженеру -
программисту за решение уравнений. Затраты определяются по формуле:
Эзп = Ксоц*КР*Кнадб*Кпрем*М*tP
где Ксоц - коэффициент отчисления на
социальные нужды (Ксоц = 1.265)
КР - районный коэффициент (КР = 1.25)
Кнадб - коэффициент, учитывающий надбавки и
льготы (Кнадб = 1.12)
Кпрем - коэффициент премирования
сотрудника (Кпрем = 1.1)
М - должностной оклад сотрудника. Примем
должностной оклад в размере 3550 руб.
tP -
количество месяцев в расчётном периоде (tP
= 1)
Эзп = 1.265*1.25*1.12*1.1*3550*1 = 6915,7 руб
Эсозд =6915,7+1,71=6917,41 руб
Таблица 4 - Капитальные вложения на создание
рабочего места инженера - программиста.
|
Наименование
|
Ед.изм.
|
Кол.
|
Цена,
руб
|
Стоимость,
руб
|
|
Стоимость
ПК
|
шт.
|
1
|
21009
|
21009
|
|
Стоимость
программного обеспечения
|
копии
|
1
|
10207
|
10207
|
|
Стоимость
доставки
|
час
|
|
250
|
250
|
|
Стоимость
монтажных работ
|
чел.-час.
|
1
|
500
|
500
|
|
Стоимость
решения уравнений
|
шт
|
1
|
6917,4
|
6917,4
|
|
Итого
|
|
|
|
38883,4
|
4. Экологическая част
4.1 Загрязнение атмосферы
При расчете используется математическая программа
MathCad 14 версии на персональном компьютере. Никаких химических реакций с
образованием газов не происходит, следовательно, нет вредных выбросов в
атмосферу и её загрязнения.
4.2 Загрязнение
гидросферы
Во время работы ПК водные ресурсы не используются,
поэтому возможное загрязнение гидросферы не происходит.
4.3 Загрязнение
излучением
· Электромагнитные излучения.
Во время работы ПК имеют место электромагнитные
излучения, связанные с процессами преобразования электрической энергии питающей
сети в другие. Напряжение электрического поля в полосе нижних частот не
превышает 25 В/м, верхних - 2.5 В/м, напряженность электрического поля
соответственно 250 и 25.5 нТл. Влияние электромагнитного излучения на здоровье
человека также незначительно и имеет соответствующие требования при
эксплуатации компьютерной техники.
· Статическое электричество.
Статическое электричество образуется в основном
на лицевой поверхности кинескопа дисплея и на корпусе и шасси системного блока
ЭВМ. Другие периферийные устройства зачастую изготавливаются из пластмассы.
Заряды практически не ощущаются при прикосновении (если аппаратная часть
компьютера исправна).
4.4 Тепловое
излучение
В связи с использованием в компьютерной технике
элементов охлаждения (вентиляторы, радиаторы), сильного нагревания элементов
компьютера и отдачи энергии в окружающую среду не происходит. Тепловой выброс
составляет 15° С при объеме отводимого воздуха 15 см³.
Это
полностью компенсируется системой кондиционирования помещения.
4.5 Твёрдые отходы
Рассмотрим вопрос утилизации. Утилизации будет
подвергаться сам компьютер совместно с остальными периферийными устройствами.
К б/отход. оборудования - коэффициент
безотходности оборудования;
М утилиз. - масса утилизируемой части
оборудования;
М общ.уст. - общая масса всей установки;
4.6 Вывод
Коэффициент безотходности оборудования 0.9 …
0.933, следовательно, система - малоотходна и является почти экологически
чистым продуктом.
В настоящее время проблем с утилизацией
компьютерной техники нет, поэтому после истечения срока эксплуатации, данную
систему будет легко отправить на переработку.
5.
Охрана труда и окружающей среды
Безопасность производства - это создание таких
условий работы коллектива, при которых сведены к минимуму возможности
возникновения ситуаций, ведущих к физическому и моральному ущербу обслуживания
персонала. Значение безопасности производства велико, так как здесь изучаются
опасные и вредные производственные факторы, степень их воздействия на
работающих. Разрабатываются организационные и технические мероприятия,
направленные на профилактику производственного травматизма и профессиональных
заболеваний. Создаются технические средства защиты, устраняющие или уменьшающие
воздействие на работающих этих факторов. Предупреждаются несчастные случаи
путем анализа возможных аварийных ситуаций.
Решение дифференциальных
уравнений производится на вычислительной технике. Следовательно, целью данного
раздела диплома является выявление и наиболее эффективное противодействие
отрицательным воздействиям вычислительной техники на организм человека.
Операторы и пользователи
компьютеров подвергаются таким опасным и вредным производственным факторам,
как:
рентгеновское излучение;
ультрафиолетовое излучение;
электромагнитное излучение;
электростатические поля;
повышенное напряжение органа
зрения, и др.
Комфортные и безопасные условия
труда - один из основных факторов, влияющих на производительность людей
работающих с ПЭВМ. Для обеспечения этих условий необходимо знать ГОСТы,
стандарты, регламентирующие требования, рекомендации на совместимость,
экологическую безопасность и т.д.
На рисунке 15 показано
расположение рабочего места и необходимого оборудования, рассчитанного на
одного человека.
Рисунок 15. Схема расположения
оборудования.
Далее произведем расчет
производственного освещения, вентиляции, и пожаробезопасности помещения, в
котором установлены персональные компьютеры.
Безопасность и производительность
труда на рабочих местах зависит от состояния производственного освещения.
Качественные и количественные характеристики производственного освещения
регламентируются нормами и стандартами.
В соответствии с СНиП П 4-79 выдвигаются
следующие требования:
· освещенность должна соответствовать характеру
работы;
· необходимо равномерное распределение
яркости на рабочей поверхности;
· должны отсутствовать резкие тени,
прямая и отраженная блеклость;
· величина освещения должна быть
постоянной во времени;
· следует выбирать необходимый
спектральный состав света;
· элементы осветительных установок
должны быть долговечными, электробезопасными и пожаробезопасными;
· осветительные установки должны быть
удобными и простыми в эксплуатации.
Правильное освещение позволит снизить
нагрузку на зрение, создает благоприятные условия труда и повышает
работоспособность. Для освещения лаборатории выбираем лампы типа ОД (открытого
дневного света). Для этого типа ламп равномерное распределение освещенности
достигается в том случае, если отношение расстояния между центрами светильников
L к высоте их
подвеса над рабочей поверхностью h
составит 1,4.
Исходя из характера выполняемой
работы, нормируемая освещенность на рабочем месте составляет 200лк. Фон
средний. Контраст объекта с фоном средний.
5.1 Освещение
Рассчитаем производственное
освещение, учитывая: соответствие уровня освещенности рабочего места, характеру
выполняемой зрительной работы; равномерное распределение яркости на рабочую
поверхность и в окружающем пространстве; отсутствие резких теней; постоянство
освещенности во времени; оптимальную направленность излучаемого осветительными
приборами светового потока; долговечность, экономичность, эстетичность,
удобство и простоту в эксплуатации (см. рисунок 1 Схема расположения оборудования
в вычислительном центре).
Согласно СНиП П-4-79 норма
освещенности работы оператора ЭВМ с экраном и документацией составляет Е=400
лк. Высота плоскости нормирования освещенности от пола равна l
= 0.8 м. Помещение имеет размеры (рисунок 15):
А - длина = 5 м.
В - ширина = 4 м.
Н - высота = 3 м.
Для освещения используются
светильники типа УВЛН - лампы люминесцентные типа ЛБ-40 (четырехламповые).
Коэффициент отражения светового потока от потолка и стен соответственно равны:
Рп=B/A=80%;
Рс=H/B=75%.
Расстояние от светильников до
рабочей поверхности составляет:
= H
- l = 3 - 0.8 = 2.2 м.
У светильников УВЛН
наивыгоднейшее отношение g=1.4.
Тогда расстояние между рядами светильников будет равно:
=g*h=l,4*2,2=3,08
м.
Светильники располагаются вдоль
длинной стороны помещения.
При ширине помещения В=4 м,
получаем число рядов m=1.
С учетом заданных Рп и Рс, а также индекса помещения, равного:
=(A*B)/(h*(A+B))=(5*4)/(2,2*(5+4))=l,01
Определяем по справочнику
коэффициент использования излучаемого светильниками светового потока n=0,55.
Номинальный световой поток 1
лампы из 4-х в ЛБ-40 равен Ф=3120 лм. Следовательно для всей лампы Фc=4*3120=12480
лм. Определим необходимое число светильников в ряду по формуле:
N=(E*K3*S*z)/(m*Фс*n*y),где
Кз - коэффициент запаса, учитывающий
запыление и износ источников света, Кз=1.5;
S
- освещаемая площадь, S=20
м2;
z
- коэффициент неравномерности освещения, z=1,1Л;
у - коэффициент затенения,
у=0.9.=(400* 1,5*20*1,1)/(1*12480*0,55*0,9)=2
При длине одного светильника
1=1.3 м, общая длина Ni=1,3*2=2,6
м.
Расстояние между светильниками
определим по формуле:
=(A-Ni)/N+1)=(5-2,6)/(2+1)=0,8
м.
Итого:
Для получения нормы
освещенности Е=400 лк для помещения площадью 20 м2, используют 2 светильника
типа УВЛН с лампами ЛБ-40 расположенных в 1 ряд; расстояние от стен и между
рядами составляет 1.5 м., между светильниками - 0.8 м.
5.2 Пожаробезопасность
Для изготовления строительных
конструкций используются негорючие и трудно сгораемые материалы: кирпич,
железобетон, стекло, металл и др. Применение дерева должно быть ограниченным.
Для ликвидации пожаров в
начальной стадии применяются первичные средства пожаротушения: внутренние
пожарные водопроводы, огнетушители ручные и передвижные, сухой песок и др.
Особенностью современных ПЭВМ
является очень высокая плотность монтажа элементов электронных схем. При
прохождении электрического тока по проводникам и деталям выделяется тепло, что
может привести к перегреву. Надежная работа отдельных элементов обеспечивается
только в определенных интервалах температуры, влажности и при заданных
электрических параметрах, отклонение от которых может привести к возникновению
пожароопасных ситуаций.
Исходя из вышесказанного вот
несколько простых правил пожарной безопасности для ПЭВМ:
никогда не мыть корпус мокрой
тряпкой, т.к. вода может попасть внутрь и это может привести к замыканию;
нельзя ставить рядом рабочие
электронагревательные приборы;
убирать пыль с микросхем;
- соблюдение правил
электробезопасности;
- воздух в помещении не должен
быть влажным (температура 18-24°С при относительной влажности 40-80%) во
избежание статического разряда.
5.3 Организация
воздухообмена в помещении. Микроклимат и вентиляция
Необходимым условием здорового и
производительного труда является обеспечение чистоты воздуха и нормальных
метеорологических условий в рабочей зоне помещений. Вентиляция осуществляется
удалением загрязненного или нагретого воздуха из помещения и подачей свежего
(СН и П 2.04.05-86. Вентиляция и кондиционирование. Госстрой.)
Произведем расчет потребного воздухообмена при
общеобменной вентиляции. В помещении объемом 60 м3 нормальный микроклимат,
отсутствуют вредные пары и газы. Необходимый воздухообмен для всего помещения
определим по формуле: L=n*Li,
где Li
- нормируемый расход воздуха на одного работающего, м3/ч;
n - число работающих
в данном помещении.
В данном случае на одного работающего приходится
объем помещения, равный 20 м2, в этом случае принимают Li
≥
20 м3/ч. Данное нормирование производится при нормальном микроклимате и наличие
вредных веществ в воздухе рабочей зоны, не превышающем ПДК.
n = 1 человека.
L = 20*1=20 м3/ч
Таким образом, для нормального воздухообмена
данного помещения достаточно количество воздуха 20 м3/ч.
Рассчитаем кратность воздухообмена: k
В= L/Vn,
где Vn
- объем помещения.
kВ = 20 / 60 = 3
Это соответствует допустимым значениям
(кратность воздухообмена кв должна быть 1... 10).
Для эффективной вентиляции необходимо выполнение
следующих условий:
·
количество
приточного воздуха должно соответствовать количеству удаляемого;
·
свежий
воздух необходимо подавать в те части помещения, где количество вредных
выделений минимально, а удалять, где выделения максимальны;
·
система
вентиляции не должна создавать шума на рабочих местах;
·
система
вентиляции не должна вызывать переохлаждения или перегрева работника;
·
система
вентиляции должна быть электро- и пожаробезопасна, проста по устройству,
эффективна и надежна в эксплуатации.
Т.к. нет газовых выделений, в
помещении будет осуществляться общеобменная и неорганизованная естественная
вентиляция через щели, окна, двери и т.п., т.к. выделяющиеся вредные вещества
не значительны, и распределены равномерно по всему объему помещения.
Для обеспечения этих показаний
необходимо основательно подготавливаться к зиме и чаще проветривать помещение
летом. Проводить влажную уборку помещения в конце рабочего дня.
5.4 Вывод
Компьютерная технология
способна трансформировать практически любую из сфер нашей жизни, делая ее
проще, эффективнее, интереснее. Однако не вызывает сомнения тот факт, что
компьютеризация сопряжена с множеством неожиданных и нежелательных последствий.
Своевременная выработка правил
техники безопасности и охраны труда позволит сократить и предотвратить
нежелательные проблемы в области здравоохранения и организации труда на
промышленных предприятиях, где происходит модернизация технического
обеспечения.
6.
Заключение
Таким образом, для создания устойчивого
летательного аппарата, требуются определенные значения динамических
коэффициентов, исходными данными для определения которых служат конструктивные
и геометрические параметры летательного аппарата, его аэродинамические
характеристики и результаты расчетов траекторий полета. При этом, как уже
говорилось ранее, динамические коэффициенты могут претерпевать небольшие
изменения процессе полета. Метод “замораживания” коэффициентов лишь приводит к
определенной условности, он удобен для предварительного выбора параметров
летательного аппарата и системы управления с последующим исследованием системы
управления другими методами, например с помощью моделирующих устройств и
цифровых электронных машин.
При анализе движения летательного аппарата
используются уравнения свободного возмущенного движения, на основе которых
составляется характеристическое уравнение. Корни этого характеристического
уравнения определяют устойчивость или неустойчивость летательного аппарата.
Мною было проанализировано несколько примеров
поведения летательного аппарата при определенных динамических коэффициентах,
Построены графики зависимостей определяющих параметров устойчивости по времени и
сделаны соответствующие выводы.
.
Список используемой литературы
1. А.
А. Лебедев, Л. С. Чернобровкин - Динамика полета, Москва, Машиностроение, 1973
г.
. А.
Я. Жуков, В. И. Егоров, А. Л. Ермаков - Динамика полета транспортных
летательных аппаратов: учебник для вузов, Москва, Транспорт, 1996 г.
. А.
Н. Синяков, Ф. А. Шаймарданов - Системы автоматического управления ЛА и их
силовыми установками: учебник для студентов высших технических учебных
заведений, Москва, Машиностроение, 1991 г.
. СанПиН
2.2.2.542 - 96 / Госкомсанэпиднадзор России МОСКВА 1996.
. ГОСТ
12.1.033-81. Пожарная безопасность. Термины и определения.
. ГОСТ
23000-78. Система "человек-машина". Пульт управления. Общие
эргономические требования.
. ГОСТ
12.4.124-83. Средства защиты от статического электричества. Общетехнические
требования.
. ГОСТ
12.2.061-81. Оборудование производственное. Общие требования безопасности к
рабочим местам.
. ГОСТ
12.1.004-85. Пожарная безопасность. Общие требования.
. ГОСТ
12.1.005-88. Воздух рабочей зоны. Общие санитарно - гигиенические требования.
. ОСТ
12.1.009-76. Электробезопасность. Термины и определения.
. ГОСТ
12.1.003-74. Электробезопасность. Общие требования и номенклатура видов защиты.
. ГОСТ
12.1.030-81. Электробезопасность. Защитное заземление. Зануление.
. Правила
оформления и порядок защиты дипломных проектов: Метод. указания по дипломному
проектированию для студентов спец. 131000 / Сост.: В. М. Фомин, В.А.
Пожиленков; СИБГАУ. Красноярск. 2003. 20 с.