Приобретение и обустройство дачного участка
Оглавление
Введение
.
Описание предметной области
.
Дерево целей
.1
Построение дерева целей
.2
Расчёт коэффициентов относительной важности
.3
Выводы по результатам расчетов
.
Деревья мероприятий
.1
Построение деревьев мероприятий для всех подцелей второго уровня дерева целей
.2
Расчёт коэффициентов оценки вариантов мероприятий
.2.1
Выбор критериев оценки альтернатив
.2.2
Расчетные таблицы семейств каждого дерева мероприятий
.3
Определение эффективных мероприятий во всех деревьях мероприятий
.4
Выводы, включающие формирование полного перечня мероприятий по достижению цели
.
Сетевой график реализации мероприятий
.1
Построение сетевого графика
.2
Расчёт численных характеристик сетевого графика, оптимизация графика выполнения
мероприятий
Заключение
Список
литературы
Введение
В своей курсовой работе с помощью методов
системного анализа я рассмотрю такую проблему, как «Приобретение и обустройство
дачного участка».
В данный момент у моей семьи нет дачного участка
- поэтому лето мы проводим либо в душном городе, либо на Томи или карьерах, что
тоже не намного лучше. Приобретение и обустройство дачного участка позволило бы
нам отдыхать более плодотворно.
Целью написания данной работы является овладение
практическими навыками системного анализа.
Исходя из цели, были определены следующие задачи
исследования:
построить дерево проблем, дерево целей и дерево
мероприятий;
провести расчет коэффициентов относительной
важности;
разработать сетевой график реализации
мероприятия.
Методы, используемые в данной курсовой работе:
дерево проблем, дерево целей, матрица опроса экспертов, матрица преобразованных
рангов, сетевой график реализации мероприятия.
1. Описание предметной области
Сегодня многие горожане часто задумываются над
приобретением дачного участка, и перед ними может предстать на самом деле
ответственный выбор. Для начала, следует определиться с суммой, которую можно
потратить на дачный участок, затем необходимо его купить, отобрав при этом
наиболее оптимальный вариант в пределах уже определенной суммы. Кроме того,
необходимо будет задуматься и об устройстве дачного участка. Так же, просчитав
свои возможности, стоит возвести дачный домик, на который хватит денежных
средств, а, кроме того, добиться, чтобы он был при том предельно продуманным.
Конечно же, к постройке дачного домика просто
должна быть подключена вся семья - вместе получится справиться значительно
быстрее, а также собрать целиком нужную сумму денег.
При этом следует помнить - загородный дом - это
постоянная возможность отойти от городской суеты, побыть на природе.
Превосходная фауна и флора некоторых областей, удаленных от дороги, может
сделать пригородные жилища весьма востребованными.
Элементы системы включают:
пути покупки дачного участка;
критерии выбора дачного
участка;
денежные ресурсы.
Подсистемы: составление
оптимального плана покупки и обустройства дачного участка.
Входные параметры: данные о
рынке дачных участков, о способах благоустройства.
Выходные параметры:
благоустроенный дачный участок в собственности нашей семьи.
Признаки проблемной ситуации:
необходимо оптимизировать процесс покупки и благоустройства дачного участка.
2. Дерево целей
.1 Построение дерева целей
На рисунке 1 изображено дерево проблем.
Рис. 1 - Дерево проблем
На рисунке 2 представлено дерево целей покупки и
благоустройства дачного участка.
Рис. 2 - Дерево целей
Очевидно, что достижение главной цели потребует
достижение следующих подцелей (назовем их подцелями первого уровня):
приобрести дачный участок;
обустроить жилье на дачном участке;
обустроить огород и сад на дачном участке.
Достигнуть подцели первого уровня «приобрести
дачный участок» можно за счет достижения подцелей второго уровня:
изучить рынок;
собрать необходимые средства;
оформить покупку дачного участка.
Достигнуть подцели первого уровня «обустроить
жилье на дачном участке» можно за счет достижения подцелей второго уровня:
собрать необходимые средства;
приобрести материалы;
построить временный домик на дачном участке.
Достигнуть подцели первого уровня «обустроить
жилье на дачном участке» можно за счет достижения подцелей второго уровня:
посадить саженцы ягодных кустарников и плодовых
деревьев;
посадить однолетние культуры.
В качестве критериев оценки степени достижения
поставленной цели будут использоваться коэффициенты относительной важности,
которые необходимо рассчитать для всех подцелей.
Для проведения оценки будут привлечены 5
экспертов.
Далее произведем расчет коэффициентов
относительной важности подцелей.
.2. Расчёт коэффициентов относительной важности
Произведем расчет КОВ дерева целей (1-й уровень)
Матрица опроса (Rmax=3)
|
Подцели
1 уровня
|
Эксперт
|
|
1
|
2
|
3
|
4
|
5
|
|
Приобрести
дачный участок
|
1
|
2
|
3
|
1
|
2
|
|
Обустроить
жилье на дачном участке
|
2
|
1
|
2
|
2
|
1
|
|
Обустроить
огород и сад на дачном участке
|
3
|
3
|
1
|
3
|
3
|
Матрица преобразованных рангов
|
Подцели
1 уровня
|
Эксперт
|
Сумма
|
КОВ
|
|
1
|
2
|
3
|
4
|
5
|
|
|
|
Приобрести
дачный участок
|
2
|
1
|
0
|
2
|
1
|
6
|
0,40
|
|
Обустроить
жилье на дачном участке
|
1
|
2
|
1
|
1
|
2
|
7
|
0,47
|
|
Обустроить
огород и сад на дачном участке
|
0
|
0
|
2
|
0
|
0
|
2
|
0,13
|
|
|
|
|
|
|
15
|
1
|
Произведем расчет КОВ дерева целей второго
уровня
Матрица опроса экспертов (Rmax=3)
|
Подцели
2 уровня
|
Эксперт
|
|
1
|
2
|
3
|
4
|
5
|
|
Изучить
рынок дачных участков
|
3
|
1
|
1
|
3
|
2
|
|
Собрать
необходимые средства
|
2
|
3
|
3
|
2
|
3
|
|
Оформить
покупку дачного участка
|
1
|
2
|
2
|
1
|
1
|
Матрица преобразованных рангов
|
Подцели
2 уровня
|
Эксперт
|
Сумма
|
|
КОВ
|
|
1
|
2
|
3
|
4
|
5
|
|
|
|
|
Изучить
рынок дачных участков
|
0
|
2
|
2
|
0
|
1
|
5
|
0,33
|
0,132
|
|
Собрать
необходимые средства
|
1
|
0
|
0
|
1
|
0
|
2
|
0,14
|
0,056
|
|
Оформить
покупку дачного участка
|
2
|
1
|
1
|
2
|
2
|
8
|
0,53
|
0,212
|
|
|
|
|
|
|
15
|
1
|
0,40
|
Произведем расчет КОВ дерева целей второго
уровня
Матрица опроса экспертов Rmax=3
|
Подцели
2 уровня
|
Эксперт
|
|
1
|
2
|
3
|
4
|
5
|
|
Собрать
необходимые средства
|
1
|
2
|
1
|
2
|
3
|
|
Приобрести
материалы
|
3
|
1
|
2
|
3
|
1
|
|
Построить
временный домик на дачном участке
|
2
|
3
|
3
|
1
|
2
|
Матрица преобразованных рангов
|
Подцели
2 уровня
|
Эксперт
|
Сумма
|
|
КОВ
|
|
1
|
2
|
3
|
4
|
5
|
|
|
|
|
Собрать
необходимые средства
|
2
|
1
|
2
|
1
|
0
|
6
|
0,40
|
0,188
|
|
Приобрести
материалы
|
0
|
2
|
1
|
0
|
2
|
5
|
0,33
|
0,155
|
|
Построить
временный домик на дачном участке
|
1
|
0
|
0
|
2
|
1
|
4
|
0,27
|
0,127
|
|
|
|
|
|
|
15
|
|
0,47
|
Произведем расчет КОВ дерева целей второго
уровня
Матрица опроса экспертов (Rmax=2)
|
Подцели
2 уровня
|
Эксперт
|
|
1
|
2
|
3
|
4
|
5
|
|
Посадить
саженцы ягодных кустарников и плодовых деревьев
|
1
|
1
|
1
|
2
|
1
|
|
Посадить
однолетние культуры
|
2
|
2
|
2
|
1
|
2
|
Матрица преобразованных рангов
|
Подцели
2 уровня
|
Эксперт
|
Сумма
|
|
КОВ
|
|
1
|
2
|
3
|
4
|
5
|
|
|
|
|
Посадить
саженцы ягодных кустарников и плодовых деревьев
|
1
|
1
|
1
|
0
|
1
|
4
|
0,8
|
0,104
|
|
Посадить
однолетние культуры
|
0
|
0
|
0
|
1
|
0
|
1
|
0,2
|
0,026
|
|
|
|
|
|
|
5
|
|
0,13
|
Полученные данные отразим на исходном дереве
целей (рисунок 3).
Рис. 3 - Дерево целей с учетом КОВ
.3 Выводы по результатам расчетов
Таким образом, самое главное для приобретения и
обустройства данного участка - обустройство жилья на дачном участке - 47%, на
втором месте - приобретение дачного участка - 40%, на третьем - обустройство
огорода и сада на участке - 13%.
Разумеется, при достижении главной цели нужно
добиться достижения всех подцелей, поэтому необходимо составить деревья
мероприятий для достижения всех 8 подцелей второго уровня.
. Деревья мероприятий
.1 Построение деревьев мероприятий для всех
подцелей второго уровня дерева целей
Рис. 4 - Дерево мероприятий для подцели «Изучить
рынок дачных участков»
Далее произведем расчёт коэффициентов оценки
вариантов мероприятий дерева подцели «Изучить рынок дачных участков». Остальные
деревья мероприятий будут рассчитываться аналогично.
.2 Расчёт коэффициентов оценки вариантов
мероприятий
.2.1 Выбор критериев оценки альтернатив
Для оценки альтернативных вариантов решения
будут использованы следующие критерии:
эффективность варианта;
денежные затраты;
затраты времени.
Произведем расчет коэффициентов важности
факторов.
Матрица опроса экспертов (Rmax=3)
|
Критерии
|
Эксперт
|
|
1
|
2
|
3
|
4
|
5
|
|
Эффективность
варианта
|
1
|
2
|
3
|
1
|
1
|
|
Денежные
затраты
|
2
|
1
|
2
|
2
|
|
Затраты
времени
|
3
|
3
|
1
|
3
|
3
|
Матрица преобразованных рангов
|
Критерии
|
Эксперт
|
Сумма
|
КВ
|
|
1
|
2
|
3
|
4
|
5
|
|
|
|
Эффективность
варианта
|
2
|
1
|
0
|
2
|
2
|
7
|
0,47
|
|
Денежные
затраты
|
1
|
2
|
1
|
1
|
1
|
6
|
0,40
|
|
Затраты
времени
|
0
|
0
|
2
|
0
|
0
|
2
|
0,13
|
|
|
|
|
|
|
|
15
|
1
|
|
|
|
|
|
|
|
|
|
Согласно таблице, критерии оценки мероприятий
получили следующие веса:
эффективность варианта - 0,47;
денежные затраты - 0,40;
затраты времени - 0,13.
Произведем расчет коэффициентов важности
факторов.
.2.2 Расчетные таблицы семейств каждого дерева
мероприятий
Таблица расчета альтернатив семейства №1
(пустая)
|
Критерии
|
КВ
|
Самостоятельно
|
Поручить
это риэлтору
|
Итого
|
|
Эффективность
варианта
|
0,47
|
|
|
|
|
Денежные
затраты
|
0,40
|
|
|
|
|
Затраты
времени
|
0,13
|
|
|
|
|
Итоговые
оценки
|
1
|
|
|
|
Расчет весов альтернатив по фактору 1
Фактор 1 - эффективность варианта
Матрица опроса экспертов Rmax=2
|
Альтернативы
|
Эксперт
|
|
1
|
2
|
3
|
4
|
5
|
|
Самостоятельно
|
1
|
2
|
1
|
1
|
1
|
|
Поручить
это риэлтору
|
2
|
1
|
2
|
2
|
2
|
Матрица преобразованных рангов
|
Альтернативы
|
Эксперт
|
Сумма
|
КВ
|
|
1
|
2
|
3
|
4
|
5
|
|
|
|
Самостоятельно
|
1
|
0
|
1
|
1
|
1
|
4
|
0,8
|
|
Поручить
это риэлтору
|
0
|
1
|
0
|
0
|
0
|
1
|
0,2
|
|
|
|
|
|
|
|
5
|
1
|
|
|
|
|
|
|
|
|
|
Фактор 2 - денежные затраты
Матрица опроса экспертов
|
Альтернативы
|
Эксперт
|
|
1
|
2
|
3
|
4
|
5
|
|
Самостоятельно
|
2
|
1
|
1
|
2
|
2
|
|
Поручить
это риэлтору
|
1
|
2
|
2
|
1
|
1
|
Матрица преобразованных рангов
|
Альтернативы
|
Эксперт
|
Сумма
|
КВ
|
|
1
|
2
|
3
|
4
|
5
|
|
|
|
Самостоятельно
|
0
|
1
|
1
|
0
|
0
|
2
|
0,40
|
|
Поручить
это риэлтору
|
1
|
0
|
0
|
1
|
1
|
3
|
0,60
|
|
|
|
|
|
|
|
5
|
1
|
|
|
|
|
|
|
|
|
|
Фактор 3 - затраты времени
Матрица опроса экспертов
|
Альтернативы
|
Эксперт
|
|
1
|
2
|
3
|
4
|
5
|
|
Самостоятельно
|
1
|
1
|
1
|
2
|
2
|
|
Поручить
это риэлтору
|
2
|
2
|
2
|
1
|
1
|
Матрица преобразованных рангов
|
Альтернативы
|
Эксперт
|
Сумма
|
КВ
|
|
1
|
2
|
3
|
4
|
5
|
|
|
|
Самостоятельно
|
1
|
1
|
1
|
0
|
0
|
3
|
0,6
|
|
Поручить
это риэлтору
|
0
|
0
|
0
|
1
|
1
|
2
|
0,4
|
|
|
|
|
|
|
|
5
|
1
|
|
|
|
|
|
|
|
|
|
Таблица расчета альтернатив семейства №1
(заполненная)
|
Критерии
|
КВ
|
Самостоятельно
|
Поручить
это риэлтору
|
Итого
|
|
Эффективность
варианта
|
0,47
|
0,8
|
0,2
|
1
|
|
Денежные
затраты
|
0,40
|
0,4
|
0,6
|
1
|
|
Затраты
времени
|
0,13
|
0,6
|
0,4
|
1
|
|
Итоговые
оценки
|
1
|
0,61
|
0,39
|
|
Результат расчета первого семейства выносим на
дерево мероприятий.
Рис. 5 - Результат расчета первого семейства
Дерево мероприятий №1 (семейство 2)
Матрица опроса экспертов Rmax=3
|
Критерии
|
Эксперт
|
|
1
|
2
|
3
|
4
|
5
|
|
Эффективность
варианта
|
1
|
2
|
1
|
1
|
1
|
|
Денежные
затраты
|
2
|
3
|
3
|
2
|
2
|
|
Затраты
времени
|
3
|
1
|
2
|
3
|
3
|
Матрица преобразованных рангов
|
Критерии
|
Эксперт
|
Сумма
|
КВ
|
|
1
|
2
|
3
|
4
|
5
|
|
|
|
Эффективность
варианта
|
2
|
1
|
2
|
2
|
2
|
9
|
0,60
|
|
Денежные
затраты
|
1
|
0
|
0
|
1
|
1
|
3
|
0,20
|
|
Затраты
времени
|
0
|
2
|
1
|
0
|
0
|
3
|
0,20
|
|
|
|
|
|
|
|
15
|
1
|
|
|
|
|
|
|
|
|
|
Таблица расчета альтернатив семейства №2
(пустая)
|
Критерии
|
КВ
|
По
объявлениям в газете
|
По
объявлениям и в газете, в сети Интернет
|
Итого
|
|
Эффективность
варианта
|
0,60
|
|
|
|
|
Денежные
затраты
|
0,20
|
|
|
|
|
Затраты
времени
|
0,20
|
|
|
|
|
Итоговые
оценки
|
1
|
|
|
|
Фактор 1 - эффективность варианта
Матрица опроса экспертов Rmax=2
|
Альтернативы
|
Эксперт
|
|
1
|
2
|
3
|
4
|
5
|
|
По
объявлениям в газете
|
1
|
1
|
1
|
2
|
1
|
|
По
объявлениям и в газете, в сети Интернет
|
2
|
2
|
2
|
1
|
2
|
Матрица преобразованных рангов
|
Альтернативы
|
Эксперт
|
Сумма
|
КВ
|
|
1
|
2
|
3
|
4
|
5
|
|
|
|
По
объявлениям в газете
|
1
|
1
|
0
|
1
|
4
|
0,8
|
|
По
объявлениям и в газете, в сети Интернет
|
0
|
0
|
0
|
1
|
0
|
1
|
0,2
|
|
|
|
|
|
|
|
5
|
|
|
|
|
|
|
|
|
|
|
Фактор 2 - денежные затраты
Матрица опроса экспертов Rmax=2
|
Альтернативы
|
Эксперт
|
|
1
|
2
|
3
|
4
|
5
|
|
По
объявлениям в газете
|
1
|
2
|
1
|
1
|
1
|
|
По
объявлениям и в газете, в сети Интернет
|
2
|
1
|
2
|
2
|
2
|
Матрица преобразованных рангов
|
Альтернативы
|
Эксперт
|
Сумма
|
КВ
|
|
1
|
2
|
3
|
4
|
5
|
|
|
|
По
объявлениям в газете
|
1
|
0
|
1
|
1
|
1
|
4
|
0,80
|
|
По
объявлениям и в газете, в сети Интернет
|
0
|
1
|
0
|
0
|
0
|
1
|
0,20
|
|
|
|
|
|
|
|
5
|
1
|
|
|
|
|
|
|
|
|
|
Фактор 3 - затраты времени
Матрица опроса экспертов Rmax=2
|
Альтернативы
|
Эксперт
|
|
1
|
2
|
3
|
4
|
5
|
|
По
объявлениям в газете
|
1
|
1
|
2
|
2
|
1
|
|
По
объявлениям и в газете, в сети Интернет
|
2
|
2
|
1
|
1
|
2
|
Матрица преобразованных рангов
|
Альтернативы
|
Эксперт
|
Сумма
|
КВ
|
|
1
|
2
|
3
|
4
|
5
|
|
|
|
По
объявлениям в газете
|
1
|
1
|
0
|
0
|
1
|
3
|
0,60
|
|
По
объявлениям и в газете, в сети Интернет
|
0
|
0
|
1
|
1
|
0
|
2
|
0,40
|
|
|
|
|
|
|
|
5
|
1
|
|
|
|
|
|
|
|
|
|
Таблица расчета альтернатив семейства №2
(заполненная)
|
Критерии
|
КВ
|
По
объявлениям в газете
|
По
объявлениям и в газете, в сети Интернет
|
Итого
|
|
Эффективность
варианта
|
0,60
|
0,8
|
0,2
|
1
|
|
Денежные
затраты
|
0,20
|
0,8
|
0,2
|
1
|
|
Затраты
времени
|
0,20
|
0,6
|
0,4
|
1
|
|
Итоговые
оценки
|
1
|
0,76
|
0,24
|
|
Дерево мероприятий №1 (семейство 3)
Матрица опроса экспертов Rmax=3
|
Критерии
|
Эксперт
|
|
1
|
2
|
3
|
4
|
5
|
|
Эффективность
варианта
|
2
|
3
|
1
|
2
|
3
|
|
Денежные
затраты
|
1
|
2
|
2
|
3
|
1
|
|
Затраты
времени
|
3
|
1
|
3
|
1
|
2
|
Матрица преобразованных рангов
|
Критерии
|
Эксперт
|
Сумма
|
КОВ
|
|
1
|
2
|
3
|
4
|
5
|
|
|
|
Эффективность
варианта
|
1
|
0
|
2
|
1
|
0
|
4
|
0,27
|
|
Денежные
затраты
|
2
|
1
|
1
|
0
|
2
|
6
|
0,40
|
|
Затраты
времени
|
0
|
2
|
0
|
2
|
1
|
5
|
0,33
|
|
|
|
|
|
|
|
15
|
1
|
|
|
|
|
|
|
|
|
|
Таблица расчета альтернатив семейства №3
(незаполненная)
|
Критерии
|
КВ
|
Риэлтор
агентства «Виктор»
|
Независимый
риэлтор
|
Итого
|
|
Эффективность
варианта
|
0,27
|
|
|
|
|
Денежные
затраты
|
0,40
|
|
|
|
|
Затраты
времени
|
0,33
|
|
|
|
|
Итоговые
оценки
|
1
|
|
|
|
Фактор 1 - эффективность варианта
Матрица опроса экспертов
|
Альтернативы
|
Эксперт
|
|
1
|
2
|
3
|
4
|
5
|
|
Риэлтор
агентства «Виктор»
|
1
|
1
|
1
|
2
|
1
|
|
Независимый
риэлтор
|
2
|
2
|
2
|
1
|
2
|
Матрица преобразованных рангов
|
Альтернативы
|
Эксперт
|
Сумма
|
КВ
|
|
1
|
2
|
3
|
4
|
5
|
|
|
|
Риэлтор
агентства «Виктор»
|
1
|
1
|
1
|
0
|
1
|
4
|
0,80
|
|
Независимый
риэлтор
|
0
|
0
|
0
|
1
|
0
|
1
|
0,20
|
|
|
|
|
|
|
|
5
|
1
|
|
|
|
|
|
|
|
|
|
Фактор 2 - денежные затраты
Матрица опроса экспертов
|
Альтернативы
|
Эксперт
|
|
1
|
2
|
3
|
4
|
5
|
|
Риэлтор
агентства «Виктор»
|
2
|
2
|
1
|
1
|
2
|
|
Независимый
риэлтор
|
1
|
1
|
2
|
2
|
1
|
Матрица преобразованных рангов
|
Альтернативы
|
Эксперт
|
Сумма
|
КВ
|
|
1
|
2
|
3
|
4
|
5
|
|
|
|
Риэлтор
агентства «Виктор»
|
0
|
0
|
1
|
1
|
0
|
2
|
0,40
|
|
Независимый
риэлтор
|
1
|
1
|
0
|
0
|
1
|
3
|
0,60
|
|
|
|
|
|
|
|
5
|
1
|
|
|
|
|
|
|
|
|
|
Фактор 3 - затраты времени
Матрица опроса экспертов
|
Альтернативы
|
Эксперт
|
|
1
|
2
|
3
|
4
|
5
|
|
Риэлтор
агентства «Виктор»
|
1
|
1
|
2
|
1
|
2
|
|
Независимый
риэлтор
|
2
|
2
|
1
|
2
|
1
|
Матрица преобразованных рангов
|
Альтернативы
|
Эксперт
|
Сумма
|
КВ
|
|
1
|
2
|
3
|
4
|
5
|
|
|
|
Риэлтор
агентства «Виктор»
|
1
|
1
|
0
|
1
|
0
|
3
|
0,60
|
0
|
0
|
1
|
0
|
1
|
2
|
0,40
|
|
|
|
|
|
|
|
5
|
1
|
|
|
|
|
|
|
|
|
|
Таблица расчета альтернатив семейства №2
(заполненная)
|
Критерии
|
КВ
|
Риэлтор
агентства «Виктор»
|
Независимый
риэлтор
|
Итого
|
|
Эффективность
варианта
|
0,27
|
0,8
|
0,2
|
1
|
|
Денежные
затраты
|
0,40
|
0,4
|
0,6
|
1
|
|
Затраты
времени
|
0,33
|
0,6
|
0,4
|
1
|
|
Итоговые
оценки
|
|
0,57
|
0,43
|
|
Пересчет на дерево мероприятий:
использовать модель Шарпа (доходность) -
использовать модель Марковица (доходность) -
Результаты расчета и выбора оптимального вариант
представлены на рисунке 6.
Рис. 6 - Результаты расчета и выбора
эффективного варианта
Полученные значения весомости каждого варианта
были получены с учетом критериев (факторов), которые были сформулированы при
расчете каждого семейства и с учетом коэффициента важности (КВ) каждого
критерия. Для каждого семейства проводился отдельный расчет коэффициентов
важности факторов.
По результатам расчетов с учетом выбранных
факторов и их весомости наиболее эффективным является вариант «Изучить рынок
дачных участков по объявлениям в газете» с весом в 46,4%.
Далее проводится аналогичный расчет во всех
деревьях мероприятий, но будут приведены только результаты расчетов.
3.3 Определение эффективных мероприятий во всех
деревьях мероприятий
Рис. 7 - Дерево мероприятий для подцели «Собрать
необходимые средства»
Оптимальный вариант - Собрать необходимые
средства, привлекая родственников (37%).
Рис. 8 - Дерево мероприятий для подцели «Оформить
покупку дачного участка»
Оптимальный вариант - Оформить покупку дачного
участка, пригласив независимого юриста (43%).
Рис. 9 - Дерево мероприятий для подцели «Собрать
необходимые средства на материалы для строительства»
Оптимальный вариант - Собрать необходимые
средства на материалы для строительства, привлекая родственников (39%).
Рис. 10 - Дерево мероприятий для подцели
«Приобрести материалы»
Оптимальный вариант - Приобрести материалы в
одном магазине, выбирая товары по качеству (31%).
Рис. 11 - Дерево мероприятий для подцели
«Построить временный домик»
Оптимальный вариант - Построить временный домик
собственными силами, привлекая членов семьи (55%).
Рис. 12 - Дерево мероприятий для подцели
«Посадить саженцы»
Оптимальный вариант - Посадить саженцы,
привлекая всех членов семьи и отведя под сад 30% площади (42%).
Рис. 13 - Дерево мероприятий для подцели
«Посадить однолетние культуры»
Оптимальный вариант - Посадить однолетние
культуры, отведя под огород 50% площади (35%).
.4 Выводы, включающие формирование полного
перечня мероприятий по достижению цели
Полученные при расчете и анализе деревьев
мероприятий наиболее эффективные варианты мероприятий, то есть обладающие
наибольшими весами среди альтернативных вариантов каждого дерева, позволяют
сформировать список работ по реализации всех выбранных мероприятий.
Выполнение всего комплекса этих мероприятий
обеспечит достижение подцелей и позволит приобрести и обустроить дачный участок
с минимальными затратами и максимальным эффектом.
Итак, формируем следующий список из восьми
мероприятий (по количеству деревьев мероприятий):
изучить рынок дачных участков по объявлениям в
газете;
собрать необходимые средства на покупку дачного
участка, привлекая родственников;
оформить покупку дачного участка, пригласив
независимого юриста;
собрать необходимые средства на материалы для строительства,
привлекая родственников;
приобрести материалы в одном магазине, выбирая
товары по качеству;
построить временный домик собственными силами,
привлекая членов семьи;
посадить саженцы, привлекая всех членов семьи и
отведя под сад 30% площади;
посадить однолетние культуры, отведя под огород
50% площади.
4. Сетевой график реализации мероприятий
.1 Построение сетевого графика
|
Обозначение
работы
|
Наименование
работы
|
Предшествующие
работы
|
|
а1
|
изучить
рынок дачных участков по объявлениям в газете
|
-
|
|
а2
|
собрать
необходимые средства на покупку дачного участка, привлекая родственников
|
а1
|
|
а3
|
оформить
покупку дачного участка, пригласив независимого юриста
|
а2
|
|
а4
|
собрать
необходимые средства на материалы для строительства, привлекая родственников
|
-
|
|
а5
|
приобрести
материалы в одном магазине, выбирая товары по качеству
|
а4
|
|
а6
|
построить
временный домик собственными силами, привлекая членов семьи
|
а5
|
|
а7
|
посадить
саженцы, привлекая всех членов семьи и отведя под сад 30% площади
|
-
|
|
а8
|
посадить
однолетние культуры, отведя под огород 50% площади
|
а7
|
Определим длительность работ
|
Обозначение
работы
|
Наименование
работы
|
Длительность,
дней
|
|
а1
|
изучить
рынок дачных участков по объявлениям в газете
|
15
|
|
а2
|
собрать
необходимые средства на покупку дачного участка, привлекая родственников
|
15
|
|
а3
|
оформить
покупку дачного участка, пригласив независимого юриста
|
10
|
|
а4
|
собрать
необходимые средства на материалы для строительства, привлекая родственников
|
20
|
|
а5
|
приобрести
материалы в одном магазине, выбирая товары по качеству
|
5
|
|
а6
|
построить
временный домик собственными силами, привлекая членов семьи
|
40
|
|
а7
|
посадить
саженцы, привлекая всех членов семьи и отведя под сад 30% площади
|
5
|
|
а8
|
посадить
однолетние культуры, отведя под огород 50% площади
|
15
|
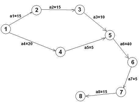
Построим сетевой график и обозначим на нем
работы.
Рис. 14 - Сетевой график с указанием
длительности работ
.2 Расчёт численных характеристик сетевого
графика, оптимизация графика выполнения мероприятий
Выполним расчет сетевого графика.
Рис. 15 - Сетевой график с расчетами
|
Работа
|
Длительность
|
Время
начала
|
Время
окончания
|
Резервы
|
Vнач
|
Vкон
|
|
|
Es
|
Ls
|
Ef
|
Lf
|
Полный
|
Свободный
|
Независ
|
E
|
L
|
E
|
L
|
|
а1
|
15
|
0
|
0
|
15
|
15
|
0
|
0
|
0
|
0
|
0
|
15
|
15
|
|
а2
|
15
|
15
|
15
|
30
|
30
|
0
|
0
|
0
|
15
|
15
|
30
|
30
|
|
а3
|
10
|
30
|
30
|
40
|
40
|
0
|
0
|
0
|
30
|
30
|
40
|
40
|
|
а4
|
20
|
0
|
15
|
20
|
35
|
15
|
0
|
0
|
0
|
15
|
20
|
35
|
|
а5
|
5
|
20
|
35
|
25
|
40
|
15
|
15
|
0
|
20
|
35
|
25
|
40
|
|
а6
|
40
|
40
|
40
|
80
|
80
|
0
|
0
|
0
|
40
|
40
|
80
|
80
|
|
а7
|
5
|
80
|
80
|
85
|
85
|
0
|
0
|
0
|
80
|
80
|
85
|
85
|
|
а8
|
15
|
85
|
85
|
100
|
100
|
0
|
0
|
0
|
85
|
85
|
100
|
100
|
Критический путь: а1-а2-а3-а6-а7-а8 длиной 100
дней.
Заключение
В курсовой работе был проведен системный анализ
проблемы приобретения и обустройства дачного участка.
Для достижения цели были составлены деревья
мероприятий и выбраны следующие наиболее оптимальные мероприятия:
изучить рынок дачных участков по объявлениям в
газете;
собрать необходимые средства на покупку дачного
участка, привлекая родственников;
оформить покупку дачного участка, пригласив
независимого юриста;
собрать необходимые средства на материалы для
строительства, привлекая родственников;
приобрести материалы в одном магазине, выбирая
товары по качеству;
построить временный домик собственными силами,
привлекая членов семьи;
посадить саженцы, привлекая всех членов семьи и
отведя под сад 30% площади;
посадить однолетние культуры, отведя под огород
50% площади.
Общая продолжительность работ составит 100 дней.
Резерв на задержку работ а4 и а5 составляет 15 дней.
дерево график цель сетевой
Список литературы
1. Кричевский
А.И. Системный анализ. - Новосибирск: НГУЭУ, 2005. - 124с.