Биосинтез 2Н-меченого инозина высокого уровня дейтерированности

  • Вид работы:
    Статья
  • Предмет:
    Английский
  • Язык:
    Русский
    ,
    Формат файла:
    MS Word
    2,55 Mb
  • Опубликовано:
    2006-10-26
Вы можете узнать стоимость помощи в написании студенческой работы.
Помощь в написании работы, которую точно примут!

Биосинтез 2Н-меченого инозина высокого уровня дейтерированности

Биосинтез 2h-меченого инозина высокого уровня дейтерированности

О. В. МОСИН*

*Московская государственная академия тонкой химической технологии им. М. В. Ломоносова, 117571 Москва, просп. Вернадского, 86.

  

Осуществлен биосинтез 2Н-меченого пуринового рибонуклеозида инозина (выход 3.9 г c 1 л ростовой среды) с использованием адаптированного к дейтерию штамма Bacillus subtilis в тяжеловодородной среде высокого уровня дейтерированности (89-90 ат.% 2Н) с 2% гидролизатом биомассы метилотрофной бактерии Brevibacterium methylicum как источника 2Н-меченых ростовых субстратов (условия синтеза: синтетическая среда М9 с 98% 2Н2О и 2% [U-2H]метанолом, инкубационный период 5-6 сут при 370С). Исследование уровня дейтерированности биосинтетического инозина методом масс-спектрометрии FAB выявило полиморфизм включения дейтерия в молекулу (изотопный состав инозина: 4 ат. 2Н, 20%; 5 ат. 2Н, 38%; 6 ат. 2Н, 28%; 7 ат. 2Н, 14%) с включением дейтерия в рибозный и гипоксантиновый фрагменты молекулы.

Ключевые слова: Bacillus subtillis; 2Н-меченый инозин; биосинтез; масс-спектрометрия FAB.

ВВЕДЕНИЕ

 В настоящее время во всем мире растет интерес к получению природных биологически активных соединений (БАС), меченных стабильными изотопами (2Н, 13С, 15N, 18О и др), которые  необходимы для многочисленных биохимических и диагностических целей [1], структурно-функциональных исследований [2], а также для изучения клеточного метаболизма [3]. Тенденции к предпочтительному использованию стабильных изотопов по сравнению с радиоактивными аналогами обусловлены отсутствием радиационной опасности и возможностью определения локализации метки в молекуле спектроскопией 1Н ЯМР [4, 5], ИК- и лазерной спектроскопией [6], а также масс-спектрометрией [7]. Развитие технической и компъютерной оснащенности аналитических методов позволило существенно повысить эффективность проведения биологических исследований de novo, а также изучать структуру и механизм действия БАС на молекулярном уровне [8]. Большое научно-прикладное значение в этом аспекте имеют соединения нуклеиновой природы, содержащие дейтериевую метку в углеродном скелете молекулы [9]. В частности, 2Н-меченые рибонуклеозиды в ближайшем будущем смогут найти применение в матричных синтезах молекул дейтерированных РНК для изучения их пространственной структуры и конформационных изменений [10].

Важным моментом в исследованиях с применением изотопно меченых БАС является их доступность. Дейтериймеченые БАС могут быть синтезированы с использованием химических, ферментативных и биосинтетических методов [11, 12]. Однако химические синтезы часто многостадийны, требуют больших расходов ценных реагентов и меченых субстратов и приводят к конечному продукту, представляющему собой рацемическую смесь D- и L-форм, для разделения которых требуются специальные методы [13]. Более тонкие синтезы меченых БАС связаны с комбинацией химических [14] и ферментативных подходов [15, 16]. Стратегия синтеза изотопно-меченых БАС более подробно освещена в работе ЛеМастера [17]. 

              Для многих научно-практических целей биотехнология предлагает альтернативный химическому синтезу биосинтетический метод получения дейтериймеченых БАС, который приводит к высоким выходам синтезируемых продуктов, к эффективному включению дейтерия в молекулы и к сохранению природной конфигурации синтезируемых соединений [18]. Традиционным подходом при этом остается предложенный Креспи метод выращивания штаммов-продуцентов в средах с максимальными концентрациями дейтерия [19]. Однако основным препятствием является недостаток 2Н-меченых ростовых субстратов с высоким уровнем дейтерированности. Прежде всего это связано с ограниченной доступностью и дороговизной самого высокоочищенного дейтерия, выделяемого из природных источников. Природная распространенность дейтерия составляет лишь 0.015% (относительно общего количества элемента), однако несмотря на невысокое содержание дейтерия в пробах разработанные в последние годы методы обогащения и очистки позволяют получать 2Н-меченые субстраты высокого уровня изотопной чистоты [20].

              Начиная с первых экспериментов Даболла и Кокса по выращиванию природных объектов в тяжелой воде, разрабатываются подходы с использованием гидролизатов 2Н-меченой биомассы как ростовых субстратов для синтеза штаммов-продуцентов БАС [21, 22]. Однако эксперименты обнаружили бактериостатический эффект 2Н2О, заключающийся в ингибировании жизненно-важных функций клетки, оказываемой 40% 2Н2О на растительные клетки  [23] и  80-90% 2Н2О на клетки простейших и бактерий [24]. Попытки использовать для синтеза в 2Н2О природных объектов различной таксономической принадлежности, включая бактерии, микроводоросли [25] и дрожжи [26] предпринимались в течение длительного времени. Однако широкого распространения в биотехнологии они не получили ввиду трудности синтеза, использования сложных комплексных ростовых сред, сложности технологической схемы синтеза и т. п. Поэтому целый ряд практических вопросов биосинтеза 2Н-меченых БАС в 2Н2О остается не выясненным.

Более перспективны схемы синтеза с использованием в качестве 2Н-меченых ростовых субстратов биомассы метилотрофных бактерий, ассимилирующих метанол по рибулозо-5-монофосфатному (РМФ) и сериновому пути фиксации углерода, интерес к которым возрастает благодаря интенсивному развитию технологии химического синтеза метанола [27, 28]. Уровень ассимиляции биомассы метилотрофов клетками простейших организмов и эукариот составляет 85-98%, а их производительность, измеренная по уровню биоконверсии метанола в клеточные компоненты, достигает 50% [29]. Как было показано нами раннее, метилотрофные бактерии очень неприхотливые объекты, растут на минимальных средах с 2-4% метанолом, в которых другие контаминантные бактерии не размножаются и достаточно легко адаптируются к максимальным концентрациям 2Н2О, что существенно для синтеза 2Н-меченых БАС [30, 31]. Большой научно-практический интерес к использованию дейтерированной метилотрофной биомассы для синтеза продуцентов рибонуклеозидов определил цель настоящей работы, связанной с изучением принципиальной возможности биосинтеза 2Н-меченого инозина штаммом Bacillus subtilis за счет использования гидролизата факультативных метилотрофных бактерий Brevibacterium methylicum.

Таблица 1. Изотопный состав ростовых сред и биосинтетические характеристики B. methylicum

Номер опыта

Компоненты среды, об.%

          

H2O              2H2O      Метанол       [U-2H]

                                                         Метанол

Лаг-период, ч

Выход микробной биомассы, % от контроля

Время генерации, ч

1

98

0

2

0

20

100

2.2

2

98

0

0

2

30

92.3

2.4

3

73.5

24.5

2

0

32

90.6

2.4

4

73.5

24.5

0

2

34

85.9

2.6

5

49.0

49.0

2

0

40

70.1

3.0

6

49.0

49.0

0

2

44

60.5

3.2

7

24.5

2

0

45

56.4

3.5

8

24.5

73.5

0

2

49

47.2

3.8

9

0

98.0

2

0

58

32.9

4.4

10

0

98.0

0

2

60

30.1

4.9

10’

0

98.0

0

2

40

87.0

2.8


             

ОБСУЖДЕНИЕ РЕЗУЛЬТАТОВ

Для синтеза 2Н-меченого инозина использовали мутантный штамм грамположительных бактерий Bacillus subtilis (предварительно адаптированный к дейтерию скринингом до отдельных колоний), который из-за нарушения метаболических путей регуляции биосинтеза пуриновых рибонуклеозидов синтезирует в стандартных условиях выращивания (дрожжевая среда, поздний экспоненциальный рост, 32-340С) 17 г инозина на 1 л культуральной жидкости (КЖ) [32]. Максимальный выход инозина достигался при использовании природной протонированной среды, содержащей в  качестве в качестве источников ростовых факторов и аминного азота 2% БВК дрожжей, а в качестве источника углерода и энергии глюкозу (не менее 12 мас.%). При проведении синтеза требовалось заменить протонированные ростовые субстраты их дейтерированными аналогами, а также использовать 2Н2О высокого уровня изотопной чистоты. Для решения поставленной задачи использовали адаптированный к дейтерию штамм факультативных метилотрофных бактерий Brevibacterium methylicum с 50% уровнем биоконверсии метанола (при эффективности конверсии 15.5-17.3 г сух. биомассы на 1 г потребленного субстрата) [33]. Проведение адаптации для B. methylicum определялось необходимостью улучшить ростовые характеристики штамма в максимально дейтерированной среде, поэтому использовали ступенчато-увеличивающийся градиент концентрации 2Н2О в ростовых средах в присутствии 2% метанола (табл. 1). Для изучения влияния уровня дейтерированности источника углерода на ростовые параметры штамма в опытах (1, 3, 5, 7 и 9) использовали протонированный метанол, а в опытах (2, 4, 6, 8 и 10) [U-2Н]метанол. Согласно полученным данным замена протонированного метанола его дейтерированным аналогом в условиях одинаковой концентрации 2Н2О в среде приводила к небольшим уменьшениям ростовых характеристик штамма (табл. 1, опыты 2, 4, 6, 8 и 10). Поэтому в дальнейших опытах использовали среды с 2Н2О и [U-2Н]метанолом. На контрольной протонированной среде (1) с водой и метанолом продолжительность лаг-периода и времени клеточной генерации B. methylicum составили 20 и 2.2 ч, а выход микробной биомассы 200 г с 1 л КЖ (табл. 1, опыт 1). В промежуточных опытах (2-10) биосинтетические параметры изменялись пропорционально концентрации 2Н2О. Найденная закономерность заключалась в увеличении продолжительности лаг-периода и времени клеточной генерации при уменьшении выходов микробной биомассы с фиксированием самых низких значений этих параметров в  максимально дейтерированной среде с 98% 2Н2О и 2% [U-2H]метанолом (табл. 1, опыт 10). За ходом адаптации, условия которой показаны в опыте 10’ (табл. 1) наблюдали, снимая динамики роста исходного (б) и адаптированного к дейтерию (в) штамма в максимально дейтерированной среде М9 (рис. 1, контроль (а) получен в протонированной среде), а также по изменению продолжительности лаг-периода, времени генерации и выходов микробной биомассы (рис. 2). В отличие от адаптированного штамма (в), ростовые динамики исходного штамма (б) в максимальной дейтерированной среде ингибировались дейтерием (рис. 1).

 




Выход микробной биомассы у адаптированного штамма (в) уменьшался на 13% по сравнению с контрольными условиями (рис. 2, а) при увеличении времени генерации до 2.8, а продолжительности лаг-периода до 40 ч (рис. 2, в). Адаптированный штамм возвращался к нормальному росту при переносе в протонированную среду после пролонгированного лаг-периода, что доказывает фенотипическую природу феномена адаптации, хотя теоретически не исключается, что эффект реверсии стабильно сохраняется при росте в 2Н2О, но маскируется при переносе клеток в протонированную среду. Улучшенные ростовые характеристики адаптированного метилотрофа существено упрощают схему синтеза 2Н-меченой биомассы, оптимальным условиям которой удовлетворяет максимально дейтерированная среда М9 с 98% 2Н2О и 2% [U-2Н]метанолом с инкубационным периодом 5-6 сут при 370С.  

Схема синтеза 2Н-меченого инозина разрабатывалась с учетом способности метилотрофных бактерий синтезировать большое количество белка (выход 50% от веса сухого вещества), 15-17% полисахаридов, 10-12% липидов (в основном, фосфолипиды) и 18% зольных веществ [34]. Гидролиз биомассы проводили автоклавированием в 0.5 н. 2НCl (в 2Н2O), чтобы обеспечить высокие выходы этих соединений и минимизировать реакции обратного (1Н-2Н) обмена в аминокислотных остатках молекул белков. Качественный и количественный состав ароматических аминокислот метилотрофного гидролизата изучали в дейтерированной среде М9 на катионообменной колонке Biotronic LC-5001 (ФРГ) с сульфированной смолой UR-30, а уровни дейтерированности молекул масс-спектрометрией электронного удара метиловых эфиров N-диметиламинонафталин-5-сульфонильных производных аминокислот. Гидролизат представлен пятнадцатью идентифицированными аминокислотами (за исключением пролина, который детектировался при 440 нм) при выходах аминокислот, сопоставимом с потребностями штамма в источниках углерода и аминного азота (табл. 2). При этом индикатором, определяющим высокую эффективность включения дейтерия в синтезируемый продукт служит высокий уровень дейтерированности молекул аминокислот, который варьирует от 49% для лейцина/изолейцина до 97.5% для аланина (табл. 2).

Биосинтетические характеристики штамма B. subtilis снимали в протонированной дрожжевой среде с обычной водой и синтетической тяжеловодородной среде с 2Н2О и 2% 2Н-меченым метилотрофным гидролизатом B. methylicum (рис. 3). Отмечена корреляция в характере изменения ростовых динамик (рис. 3, , ), выхода инозина (рис. 3, 1б, 2б) и ассимиляции глюкозы (рис. 3, , ). Максимальный выход инозина (17 г/л) зафиксирован в опыте (рис. 3, ) на протонированной среде при уровне ассимилируемой глюкозы 10 г/л (рис. 3, ). На тяжеловодородной среде выход инозина снижался в 4.4 (3.9 г/л) (рис. 3, ), а уровень ассимиляции глюкозы в 4 раза, о чем свидетельствует 40 г/л неассимилируемой глюкозы в КЖ (рис. 3, ).

Таблица 2. Аминокислотный состав метилотрофного гидролизата и уровни дейтерированности молекул

Аминокислота

Выход, % от сухого веса 1 г биомассы

Величина молекулярного иона Мr

Количество включенных атомов дейтерия

в углеродный скелет молекулы

Уровень дейтерированности молекул, % от общего количества атомов водорода


Глицин

9.69

324

2

90.0


Аланин

13.98

340

4

97.5


Валин

3.74

369

4

50.0


Лейцин

7.33

5

49.0


Изолейцин

3.64

383

5

49.0


Фенилаланин

3.94

420

8

95.0


Тирозин

1.82

669

7

92.8


Серин

4.90

355

3

86.6


Треонин

5.51

не детектировался

-

-


Метионин

2.25

не детектировался

-

-


Аспарагин

9.59

396

2

66.6


Глутаминовая кислота

10.38

411

4

70.0


Лизин

3.98

632

5

58.9


Аргинин

5.27

не детектировался

-

-


Гистидин

3.72

не детектировался

-

-



Полученный результат требовал изучение содержания глюкозы в биомассе штамма после гидролиза, осуществленное методом обращенно-фазовой ВЭЖХ  (табл. 3). Смесь гидролизных сахаров в табл. 3 (нумерация приведена по последовательности их элюции с колонки) составляли моно-(глюкоза, фруктоза, рамноза, арабиноза), ди-сахариды (мальтоза, сахароза), а также четыре других неидентифицированных сахара с временами удерживания 3.08 (15.63%), 4.26 (7.46%), 7.23 (11.72%) и 9.14 (7.95%) мин (не показаны). Выход глюкозы в дейтерированном гидролизате составляет 21.4% от сух. веса, то есть выше, чем фруктозы (6.82%), рамнозы (3.47%), арабинозы (3.69%) и мальтозы (11.62%). Их выхода существенно не отличались от контроля на Н2О, за исключением сахарозы, не детектируемой в дейтерированном гидролизате.

Таблица 3. Состав сахаров гидролизата штамма-продуцента

Сахар                                                                     Выход, % от сухого веса 1 г биомассы

                                                                                                                                         

                                                       протонированная среда                        тяжеловодородная среда  

Глюкоза

20.01

21.4

Фруктоза

6.12

6.82

Рамноза

2.91

Арабиноза

3.26

3.69

Мальтоза

15.3

11.62

Сахароза

8.62

-





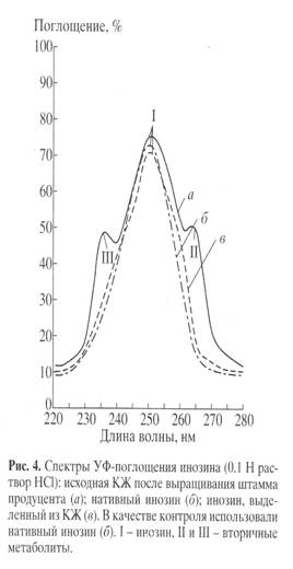
Применение сложных физико-химических методов для выделения биосинтетически 2Н-меченого инозина из КЖ диктовалось необходимостью получать инозин высокой степени хроматографической чистоты. Поскольку в КЖ наряду с синтезируемым продуктом присутствуют примеси неорганических солей, белков и полисахаридов, а также сопутствующие вторичные метаболиты нуклеиновой природы (аденозин, гуанозин) и непрореагировавшие субстраты (глюкоза, аминокислоты), проводили ступенчатое фракционирование КЖ. Повышенная чувствительность инозина к кислотам и щелочам и его нестабильность при выделении диктовали использование кислотных и щелочных растворов низкой концентрации, а также по-возможности проводить выделение при низких температурах, избегая длительного перегрева реакционной смеси. Фракционирование КЖ заключалось в низкотемпературном осаждении высокомолекулярных примесей органическими растворителями ацетоном и метанолом, твердофазной адсорбции/десорбции на поверхности активированного угля, экстрактивного извлечения продукта, перекристаллизации и ионообменной хроматографии. Белки и полисахариды удаляли низкотемператрным осаждением ацетоном при -40С, проводя последующую адсорбцию суммы рибонуклеозидов активированным углем на холоду. Десорбированные рибонуклеозиды извлекали из прореагировавшей твердой фазы элюцией этанольно-аммиачным раствором при 600С, а сам инозин экстракцией 0.3 М NH4-формиатным буфером (рН 8.9) с последующей перекристаллизацией в 80% этаноле. Окончательная стадия очистки заключалась в колоночной ионообменной хроматографии на катионообменнике AG50WX 4, уравновешенным 0.3 М NH4-формиатным буфером с 0.045 М NH4Cl с ТСХ контролем при Rf 0.5. Данные по выделению инозина из КЖ штамма-продуцента представлены в виде спектров УФ-поглощения на рис. 4, а-в. Наличие в синтетическом образце (в) основной полосы поглощения I, соответствующей нативному инозину (lmax 249 нм, e249 7100 М-1 см-1) и отсутствие вторичных метаболитов II и III неоспоримо доказывает его однородность и тем самым эффективность разработанного метода выделения со степенью хроматографической чистоты 92%.

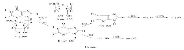
 Уровень дейтерированности инозина исследовали методом масс-спектрометрии FAB из за высокой чувствительности, позволяющей детектировать 10-8-10-10 моль вещества в пробе, что существенно выше чем при использовании 1Н ЯМР-спектроскопии [7]. Пути фрагментации молекулы методом FAB приводят к распаду инозина на фрагмент рибозы А с Мr при массовом соотношении m/z 133 и гипоксантиновый фрагмент Б c Мr m/z 136 (их распад сопровождался миграцией протона Н+), который в свою очередь расщепляется на ряд менее низкомолекулярных осколочных фрагментов В, Г, Д, Е и Ж при m/z 109, 108, 82, 81 и 54 за счет элиминирования НСN и СО из гипоксантина (схема).

Биосинтетический 2Н-меченый инозин (масс-спектр приведен на рис. 5, б относительно контроля (а)), представлен смесью изотопнозамещенных форм молекул с различным количеством атомов водорода, замещенных на дейтерий. Подсчет уровня дейтерированности молекулы инозина определяли, сравнивая величины пиков молекулярных ионов Мr инозина дейтерированного и протонированного образцов (формирование пика молекулярного иона инозина сопровождалось миграцией протона Н+). Пик (М+Н)+ полиморфно расщеплялся на отдельные кластеры с примесью молекул со статистическим набором массовых чисел m/z с различным вкладом в суммарный уровень дейтерированности с включением четырех (m/z 273, 20%),  пяти (m/z 274, 38%), шести (m/z 275, 28%) и семи атомов дейтерия  (m/z 276, 14%) (табл. 4).

Суммарный уровень дейтерированности молекулы (УД), вычесленный по приводимой ниже формуле составил 61% от общего количества атомов водорода в углеродном скелете молекулы. 

 

 

 

                  Mr1 C1 + Mr2 C2 + ....... + Mrn Cn

УД  =     ______________________________   

                                       S Cn     

               

(Mr - величины пиков молекулярных ионов инозина; Сn - вклад в уровень дейтерированности, мол.%).

Анализ масс-спектра FAB выявил включение атомов дейтерия в рибозный и гипоксантиновый фрагменты молекулы, что подтверждено присутствием двух “тяжелых” пиков фрагментов рибозы А m/z 136, 46% (вместо m/z 133, 41%)  и  гипоксантина Б m/z 138, 55% (вместо m/z 136, 48%), а также пиков низкомолекулярных фрагментов, продуктов распада гипоксантина В m/z 111, 49% (вместо m/z 109, 45%) и Г m/z 84, 43% (вместо m/z 82, 41%) (рис. 5).

Таблица 4. Величины пиков (М+Н)+ в масс-спектрах FAB и уровни дейтерированности инозина

Величина пика (М+Н)+  

 

Вклад в уровень дейтерированности, мол.%

Количество атомов дейтерия

Уровень дейтерированности, % от общего количества атомов водорода

273

20

4

20.0

274

38

5

62.5

275

28

6

72.5

276

14

7

87.5

Эффект множественного мечения определяется способом получения дейтерированных молекул и свидетельствует о недостаточно высокой селективности биосинтетической схемы, повысить которую возможно контролем изотопного состава синтетической ростовой среды и исключения источников дополнительных протонов.  

ЭКСПЕРИМЕНТАЛЬНАЯ ЧАСТЬ

Исследования проводили с генетически маркированным штаммом грамположительных бактерий Bacillus subtilis ВКПМ В-3157, продуцентом инозина, адаптированным к дейтерию рассевом до отдельных колоний на 2% агаре с 2Н2О и последующей селекции по признаку устойчивости к 2Н2О.

       В работе использовали 2Н2О (99.9 ат.% 2Н), 2НСl (95.5 ат.% 2Н) и [U-2H]метанол (97.5 ат.% 2Н) (ЗАО Изотоп, Санкт-Петербург, РФ). Неорганические соли и D, L- глюкозу (Reanal, Венгрия) предварительно перекристаллизовывали в 2Н2О, 2H2O дистиллировали над перманганатом калия с последующим контролем изотопной чистоты 1Н ЯМР-спектроскопией на приборе Brucker WM-250 (ФРГ) (Частота 70 МГц). Масс-спектры электронного удара ЭУ получены на приборе МB-80A (Hitachi, Япония) с двойным фокусированием (энергия ионизирующих электронов 70 эВ, ускоряющее напряжение 8 кВ, температура катодного источника 180-2000С) после модификации в метиловые эфиры N-диметиламинонафталин-5-сульфонильных производных аминокислот по разработанной раннее методике [7]. Масс-спектры FAB получены на импульсном масс-спектрометре VG-70 SEQ (Fisons, VG Analitical, США), снабженным цезиевым источником Cs+ на глицериновой матрице с ускоряющем напряжением 5 кВ и ионным током 0.6-0.8 мА. УФ-спектры регистрировали на программируемом спектрофотометре Beckman DU-6 (США) в диапазоне длин волн 220-280 нм. Центрифугирование осуществляли на центрифуге Т-24 (ФРГ) с охлаждением при -40С. Аналитическую обращенно-фазовую ВЭЖХ проводили на жидкостном хроматографе Knauer (ФРГ), снабженным насосом Gilson (ФРГ) и рефрактометром Waters K-401 (ФРГ) на колонке Separon С18 (250 x 10 мм), элюция смесью ацетонитрил : вода, 75 : 25, об.%, скорость элюирования 0.6 мл/мин. Ионообменную хроматографию осуществляли на катионообменной колонке Biotronic LC-5001 (ФРГ) (230 x 3.2) с сульфированной стирольной (7.25% сшивки) смолой UR-30 (Beckman-Spinco, США); рабочее давление 50-60 атм; скорость подачи Na+-цитратного буфера 18.5; нингидрина 9.25 мл/ч; детекция при 570 нм. Уровень биоконверсии углеродного субстрата определяли, используя глюкозооксидазу (КФ 1.1.3.4) как описано в работе [35].

Биосинтетический 2Н-меченый инозин. Получен с выходом 3.9 г/л на синтетической тяжеловодородной среде (89-90% ат. 2Н), используя в качестве источника 2Н-меченых ростовых субстратов гидролизат биомассы метанол-ассимилирующего штамма факультативных метилотрофных бактерий Brevibacterium methylicum ВКПМ B-5662 (условия получения: автоклавирование в 0.1 н. 2НСl 30-40 мин при 08 ати), выделенный скринингом в условиях многостадийной адаптации на твердой среде М9 (2% агар) с 2% [U-2Н]метанолом со ступенчато увеличивающимся градиентом концентрации тяжелой воды (от 0 до 98% 2Н2О). Состав синтетической тяжеловодородной среды (мас.%): глюкоза - 12; 2Н-меченый гидролизат B. methylicum - 2; NH4NO3 - 2; MgSO4 . 7H2O - 1; Са2СО3 - 2. Синтез проводили в колбах Эрленмейера вместимостью 500 мл (наполнение средой 100 мл) в течение 5-6 сут при 30-320С в условиях интенсивной аэрации реакционной смеси на орбитальном шейкере S-380 (Венгрия).

Очистка 2Н-меченого инозина. Пробы КЖ центрифугировали при 2000 g, 10 мин, концентрировали при 10 мм рт. ст., добавляли ацетон при 00С (3 x 5 мл). Смесь выдерживали 14-15 ч при -40С, осадок отделяли центрифугированием при 1200 g, 5 мин. К супернатанту добавляли 10 г активированного угля, выдерживали 2 сут при 40С. Водную фракцию отделяли фильтрованием, к твердой фазе добавляли 20 мл 50% этанола в 25% аммиаке (1 : 1, об.%), кипятили при 600С с обратным водяным холодильником. Через 2-3 ч смесь фильтровали и упаривали при 10 мм рт. ст. Продукт экстрагировали 0.3 М NH4-формиатным буфером (рН 8.9), промывали ацетоном (2 x 10 мл), сушили над безводным СaCl2. Инозин перекристаллизовывали из 80% этанола, очищали методом ионообменной хроматографии на откалиброванной колонке Biorad (150 x 10 мм) с катионообменной смолой АG50WX 4 (Pharmacia, США), уравновешенной 0.3 М NH4-формиатным буфером (рН 8.9) c 0.045 М NH4Cl в условиях изократической элюции (хроматографическая чистота 92%). Контроль чистоты проводили методом ТСХ с использованием стандартного набора рибонуклеозидов фирмы Beckman-Spinco (США) на хроматографических пластинках (150 x 150 мм) с закрепленным слоем флуоресцентного носителя Silufol UV-254 (Чехословакия) в системе растворителей: H-бутанол : уксусная кислота : вода, 2 : 1 : 1, об.%. Выход 2.5 г/л (64%). Т. пл. 68-700С. [a]D20 1.610 (с 1.5 этанол). Rf  0.5. рКa 1.2 (фосфатный буфер, рН 6.87). УФ-спектр (0.1 н. НСl) (lmax 249 нм, e249 7100 М-1 см-1); FAB-спектр (глицериновая матрица Cs+, ускоряющее напряжение 5 кВ, ионный ток 0.6-0.8 мА): (M+H)+ m/z (I,%): 273, 20% (4 ат. 2Н); 274, 38% (5 ат. 2Н); 275, 28% (6 ат. 2Н); 276, 14% (7 ат. 2Н), (А + H)+ 136, 46%; (Б + Н)+ 138, 55%; (Б - НCN)+  111, 49%; (В - HCN)+  84, 43%.  

СПИСОК ЛИТЕРАТУРЫ

1. Young V.R., Yu Y.M., Krempf M. Protein and amino acid turnover using the stable isotopes 15N, 13C, and 2H as probes. in: New techniques in nutritional research // Whitehead R. G. (ed). Acad. Press. N. Y. 1990. V. 9. Р. 17-72.

2. Hruby V.J. // Synth. and Appl. Isot. Label. Compounds. 1985. V. 4. ¹1. Р. 287-292. 

3. Nelson J.E., Ruo T.I. // Clinica Chemica Acta. 1988. V. 175. ¹ 3. Р. 59-65.

4. Stockman B.J., Reily M.D., Westler W.M., Ulrich E.L., Markley J.L. // Biochemistry. 1989. V. 28. ¹ 7. Р. 230-236.

5. McIntosh L.P., Dahlquist F.W. // Quart. Rev. Biophys. 1990. V. 23. ¹ 1. Р. 1-38.

6. Argade P.V., Rothschild K.J., Kawamoto A.H., Herzfeld J., Herlihy W. C. // Proc. Natl. Acad. Sci. USA. 1981. V. 78. 3. P. 1643-1646.

7. Мосин О.В., Складнев Д.А., Егорова Т.А., Швец В.И. // Биоорган. химия. 1996. Т. 22. ¹ 10-11. С. 856-869.

8. Darmaun D., Robert J. J., Bier D.M., Mathews D.E., Young V.R. // Annales-d’ Endocrinologie. 1985. V. 46. ¹ 4. Р. 355-356. 

9. Shvets V.I., Yurkevich A.M., Mosin O.V., Skladnev D.A. // Karadeniz Journal of Medical Sciences, 1995. V. 8. ¹ 4. P. 231.

10. Fesik S.W., Zuderweg E.R.P. // Quart. Rev. Biophys. 1990. V. 23. № 2. Р. 97-131.

11. Мосин О. В., Складнев Д. А., Егорова Т. А., Швец В. И. //Биотехнология. 1996. № 10. С. 24-40.

12. Пшеничникова А.Б., Карнаухова Е.Н., Звонкова Е.Н., Швец В.И. // Биоорган. химия. 1995. Т. 21. ¹ 3. С. 163-178.

13. Daub G. H. Syntheses with stable isotopes. in: Stable Isotopes, Proc. of the 3d Intern. Conference // Klein E. R. (ed). Academic Press. N. Y. 1979. Р. 3-10.

14. van der Berg E.M.M., van Liemt, Willem B.S // Recl. Trav. Chim. Pays-Bas. 1989. V. 108. ¹ 9. Р. 304-313.

15. Walker T. E., Matheny C. // J. Org. Chem. 1986. V. 51. Р. 1175-1179.

16. Фалеев Н.Г., Рувинов С. В., Сапоровская Н. В., Беликов В. М., Закомырдина Л.Н. // Изв. Ан. СССР. Сер. хим. 1989. Т. 10.  Вып. 3. С. 2341-2343.

18. Mosin O.V., Skladnev D.A., Shvets V.I. // Bioscience, biotechnology, and biochemistry. V. 62. ¹ 2. P. 225-229.

19. Crespi H.L., Marmur J., Katz J.J. // Nature. 1962. V. 84. ¹ 1. Р. 3489-3491.

20. Crespy H.L. Stable Isotopes in the Life Sciences. International atomic energy agency Press. Vienna. 1977. Р. 111-121.

21. Daboll H.F., Crespi H.L., Katz J.J. // Biotechnol. Bioengineer. 1962. V. 4. ¹ 5. Р. 281-297.

22. Cox J., Kyli D., Radmer R. // Trends Biotechnol. 1988. V. 6. № 12. Р. 279-282.

23. Мосин О.В., Складнев Д.А., Швец В.И. // Изв. РАН. Сер. биол. ¹ 3. С. 1-10. 

24. Thomson J. F. Biological effects of deuterium. Pergamon Press. N. Y. 1963. P. 1-133.

25. Еремин В.А., Чекулаева Л.Н., Харатьян Е.Ф., Островский Д.Н. // Микробиология. 1978. Т. 32. Вып. 4. С. 629-636.

26. Busujima U.K., Shimiba S., Narita K., Okada S. // Chem. Pharm. Bull. 1988. V. 36. ¹ 4. P. 1828-1832.

27. Colby J, Dalton H. // Ann. Rev. Microbiol. 1979. V.33. ¹ 6. P.481-517.

28. Karnaukhova E.N., Reshetova O.S., Semenov S.Y., Skladnev D.A., Tsygankov Y.D. // Amino Acids. 1994. V.6. ¹ 2. P.165-176.

29. Skladnev D.A., Tsygankov Y.D. Convertion of stable isotope labeled methanol to components of bacterial biomass, in: 6 th Eur. Conf. of Biomass for Energy. Athens. Greece, 1991. P. 234.

30. Мосин О.В., Складнев Д.А., Егорова Т.А., Швец В.И. // Биотехнология. 1996. № 3. С. 3-12.

31. Складнев Д.А., Мосин О.В., Егорова Т.А., Еремин С.В., Швец В.И. // Биотехнология. 1996. № 5. С. 25-34.

32. Мосин О.В., Казаринова Л.А., Преображенская К.А., Складнев Д.А., Чеботаев Д.В., Юркевич А.М., Швец В.И. // Биотехнология. 1996 г. № 4. C. 19-27.

33. Мосин О.В., Карнаухова Е.Н., Пшеничникова А.Б.,Складнев Д.А., Акимова О.Л. // Биотехнология. 1993. № 9. С. 16-20.

34. Зорина А.В, Бабусенко Е.С. Химический состав биомассы метилотрофных бактерий. Современные проблемы биотехнологии микроорганизмов. // Тезисы докл. молодых ученых. Рига. 1987. Т. 1. № 2. С.35-40.

35. Полюдек-Фабини Р., Бейрих Т. Органический анализ. Руководство по анализу органических соединений. Л.: Химия, 1981. 514 c.


THE BIOSYNTHESIS OF 2H-LABLED INOSINE WITH HIGH LEVEL OF DEUTERIUM ENRICHMENT

О. V. MOSIN

 

Мoscow State Academy of Fine Chemical Technology named after М.V. Lomonosov, 117571 Moscow, Vernadskogo Pr., 86;

            The biosynthesis of 2Н-labeled purine ribonucleoside inosine (yeald 3/9 g/l) with using an adapted to deuterium strain of Bacillus subtilis on heavy water medium with highly level of deuteration (89-90 at.% 2H2O), containing 2% hydrolyzate of biomass of methylotrophic bacterium Brevibacterium methylicum as a source of 2H-labeled growth substrates (the biosynthetic conditions: synthetic medim M9 with 98% 2Н2O and 2% [U-2Н]methanol, the incubation period 5-6 days at 370C) was carried out. The studyng of the level of deuterium enrichment of inosine by a method of FAB mass-spectrometry found out the polymorhysm of isotopic introduction into the molecule (isotopic composition of inosine: 4 at. 2H, 20%, 5 at. 2H, 38%, 6 at. 2H, 28%, 7 at. 2H, 14%) with deuterium introduction to ribose and hypoxantine fragments of the molecule.

Похожие работы на - Биосинтез 2Н-меченого инозина высокого уровня дейтерированности

 

Не нашли материал для своей работы?
Поможем написать уникальную работу
Без плагиата!
Без нейросетей!