Трудовые процессы и их изменение под влиянием научно-технического прогресса

  • Вид работы:
    Курсовая работа (т)
  • Предмет:
    Менеджмент
  • Язык:
    Русский
    ,
    Формат файла:
    MS Word
    48,16 Кб
  • Опубликовано:
    2013-11-17
Вы можете узнать стоимость помощи в написании студенческой работы.
Помощь в написании работы, которую точно примут!

Трудовые процессы и их изменение под влиянием научно-технического прогресса















Курсовая работа

По дисциплине: "Организация труда персонала"

На тему: "Трудовые процессы и их изменение под влиянием научно-технического прогресса"










СОДЕРЖАНИЕ

ВВЕДЕНИЕ

. Трудовой и производственный процессы, их взаимосвязь и основные элементы

.1 Понятие трудового и производственного процесса, их взаимосвязь

.2 Виды трудовых процессов

.3 Трудовая операция, ее элементы и их характеристика

. Характеристика трудовых процессов и источники информации для их изучения

. Проектирование рационального метода труда на деревообрабатывающем станке

.1 Организационная характеристика предприятия

.2 Характеристика условий труда

ЗАКЛЮЧЕНИЕ

БИБЛИОГРАФИЧЕСКИЙ СПИСОК

ПРИЛОЖЕНИЯ

ВВЕДЕНИЕ

Процесс производства характеризуется единством орудий, предметов труда и собственно труда. Причем именно труду принадлежит наиболее активная, творческая функция. По образному выражению К. Маркса, материальные факторы производства лишь тогда потребляются целесообразно, когда они "охвачены пламенем труда".

Производственный процесс как процесс создания определенного вида продукции имеет технологическое и трудовое содержание.

Технологическое содержание, или технологический процесс заключается в изменении состояния предметов труда: формы, размеров, структуры, взаимного расположения, физико- химических и других свойств. Это набор технологических операций в их определенной последовательности.

Технологическая операция осуществляет сам рабочий (или одновременно группа рабочих) на одном рабочем месте над одним предметом труда. Признаком окончания операции является передача предмета труда с одного рабочего места на другое. Операция является основным объектом для нормирования труда и регламентируется в условиях цеха нарядом на работу.

Осуществление технологической операции предполагает участие исполнителя. Трудовой процесс - это совокупность действий исполнителя по осуществлению производственного процесса (технологической операции). Содержание трудового процесса определяется технологическим процессом и включает в себя:

действия исполнителя по непосредственному воздействию на предмет труда с помощью оборудования и инструмента (либо без них, например, при сборке), что требует затрат физической, нервной и умственной энергии;

наблюдение исполнителя за работой оборудования, контроль за ходом технологического процесса, переходы в пределах рабочего места либо с выходом за его пределы.

В некоторых случаях технологический процесс осуществляется без участия в нем человека, а под воздействием естественных природных условий (сушка, остывание). Такие процессы называются естественными.

Таким образом, технологический и трудовой процесс нельзя отрывать друг от друга, но все-таки они различны по содержанию и характеру. Более того, относятся к различным функциональным структурам управления производством на предприятии: к отделу главного технолога и отделу труда и заработной платы (или к службе управления персоналом) соответственно.

Главная задача разработки трудового процесса состоит в обеспечении экономии рабочего времени и на этой основе - роста производительности труда. Технологический процесс обеспечивает экономию времени в виде сокращения затрат времени на непосредственное изготовление продукции (снижение трудоемкости, станкоемкости), организация трудового процесса обеспечивает экономию времени и виде сокращения затрат времени на изготовление продукции и в форме рационального использования совокупного фонда рабочего времени.

Так, технолог решает проблему выбора заготовки (будет ли это литье, поковка, пруток и др.), материала, оборудования (какой тип, мощность), режимов резания, инструмента и т.д. Цель - учесть требования конструктора (в отношении чистоты обработки, точности размеров и др.) и экономические требования в отношении изготовления детали или выполнения операции за меньшее время и с меньшими издержками за счет минимизации припуска, устранения лишних операций.

Специалист по организации труда также решает экономическую задачу: как выполнить работу быстрее, как распределить работу (операции) между исполнителями, чтобы не было лишних перестановок, приемов, действий, движений, как ускорить темп работы, но до определенного предела, как организовать рабочее пространство, чтобы ликвидировать лишние движения, облегчить труд, снизить утомляемость рабочего и тем самым обеспечить экономию времени, затрачиваемого на выполнение порученной работы.

Трудовыми элементами производственной операции являются трудовые приемы. При выполнении работы рабочий может воспользоваться разной их совокупностью, расположить в любой последовательности, выполнить каждый элемент разным способом, т.е. выполнить работу различными методами труда. Научно-технический прогресс, затрагивающий все сферы жизни, заставляет пересматривать существующие приемы труда.

Задача совершенствования трудовых процессов состоит в разработке такого метода труда, который применительно к организационно-техническим характеристикам трудового процесса обеспечил бы экономию времени, т.е. минимизацию затрат труда и усилий на выполнение операции.

Трудовой процесс может быть рассмотрен с позиции одного работника как его исполнителя. Тогда он может носить название единичный трудовой процесс. Совокупность единичных трудовых процессов, участвующих в изготовлении данного изделия (вида продукции), рассматривается как коллективный трудовой процесс. Причем организуется и функционирует он по своим принципам (законам). Поэтому при организации единичного трудового процесса необходимо учитывать условия коллективного труда, кооперацию.

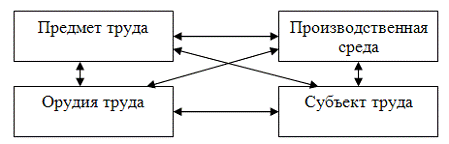
Структурно-функциональная система трудового процесса, предложенная М.А. Климовой, имеет следующий вид (рисунок 1).

Рис. 1 - Структурно-функциональная схема трудового процесса, по М.А. Климовой

Субъект труда - человек как биосоциальное существо, с его персональными психофизиологическими свойствами и социально-экономическими характеристиками.

Производственная среда - то, что окружает процесс труда, и воздействие этого окружения необходимо учитывать. Это не только санитарно-гигиенические условия, в которых протекает трудовой процесс, но и трудовое пространство, объединяющее многих работников в их взаимодействии друг с другом. Таким образом, характер и содержание трудового процесса, его организационное воплощение, построение (а упорядочение - это одна из целевых задач организации) определяются видом задания, которое должно быть выполнено рабочим, а способ реализации этого задания - организационно-техническими условиями, в которых будет осуществляться его выполнение.

Организационно-технические условия выступают как факторы, обусловливающие особенности трудового процесса. Такими факторами являются:

применяемые орудия труда, их технологическое назначение, уровень механизации и автоматизации;

применяемые предметы труда (размер, материал, вес, конфигурация);

тип производства и связанный с ним уровень специализации рабочих мест, степень детерминированности (строгой определенности по содержанию и продолжительности выполнения) процессов;

организация рабочего места;

применяемое разделение труда во всех его видах и формах;

квалификация, опыт работника;

требования НОТ к построению трудовых процессов и степень их практического применения и др.

Следовательно, в курсовой работе будет проведено исследование с целью определения резервов времени для увеличения производительности труда за счет разработки рационального метода труда. Объектом исследования является ООО "Зико", предметом исследования - организация работы рабочих по изготовлению изделий из дерева. В курсовой работе поставлены следующие задачи:

показать современную разработку проблемы изменения трудовых процессов под влиянием научно-технического прогресса;

исследовать организацию рабочего места станочника;

спроектировать трудовые процессы с учетом проведенного исследования;

предложить мероприятия по совершенствованию трудовых процессов.

Методами исследования будут анализ документов, фотография и хронометраж производственных операций, экономико-статистический.

1. Трудовой и производственный процессы, их взаимосвязь и основные элементы

.1 Понятие трудового и производственного процесса, их взаимосвязь

труд станок деревообрабатывающий

Основу процесса производства составляет труд. Труд как целесообразная деятельность людей рассматривается с 3-х сторон: биологической, как затраты энергии человека, экономической, как результаты труда, социальной, как взаимоотношения людей в процессе производства.

Эффективность этих сторон зависит от характера, содержания, содержательности труда. По характеру труд можно подразделить на физический и умственный. Содержание труда - это состав выполняемых работ и обязанностей, определяется типом применяемой техники, технологии и организации производства. Содержательность представляет насыщенность элементами умственной деятельности, творчества, позволяющая человеку в свободном ритме выполнять работу, самовыразиться, проявить себя.

Биологическая сторона зависит от подготовленности исполнителя. Труд может быть ремеслом, мастерством, творчеством. Ремесло - это выполнение функций и обязанностей в пределах предписанных правил. Мастерство сочетает ремесло и внесение собственных методов в работу, усовершенствований, выделяющих человека от других, выполняющих данные обязанности. Творчество сочетает мастерство и свое новое направление в работе.

В любом производственном процессе участвуют: орудия труда, предметы труда, сам труд.

Трудовой процесс - это процесс воздействия работника на предмет труда с целью изготовления продукции или выполнения работ, сопровождаемых затратами физической и нервной энергии человека.

Производственным процессом называется совокупность взаимосвязанных трудовых и естественных процессов, направленных на изготовление определенной продукции. Производственный процесс состоит из взаимосвязанных процессов: технологического процесса, транспортировки, контроля качества и испытания готовой продукции, осуществляемых при непосредственном участии человека, направленных на превращение сырья и материалов в готовую продукцию.

Технологический процесс - это процесс, в результате которого изменяются физико-химические свойства предмета труда, его форма, внешний вид и т.п.

В производственный процесс могут включаться естественные процессы, в которых человек не участвует: например, выдерживание пива, старение металла.

Трудовой процесс, являясь частью производственного процесса, объединяет различные по характеру и содержанию работы, которые можно рассматривать как отдельно взятые процессы труда.

Трудовой процесс связан с производственным процессом через технологический процесс. Технология служит основой трудового процесса и выполняется через трудовой процесс. В производственном процессе трудовые процессы занимают наибольший удельный вес.

По характеру предмета и продукта труда трудовые процессы разделяются на вещественно-энергетические (характерны для рабочих) и информационные (характерны для специалистов).

Производственный процесс состоит из совокупности технологических процессов, проходит определенные фазы, стадии - технологически однородные, законченные виды обработки.

Продолжительность трудового процесса:

ТП = Тц - (Тпас + Ттехн), (1)

где Тц - продолжительность технологического цикла в минутах, часах;

Тпас - время пассивного наблюдения в минутах, часах;

Ттехн - время технических перерывов в минутах, часах.

.2 Виды трудовых процессов

Трудовые процессы классифицируют для целей нормирования. В основе классификации лежат различные основания.

По типу организации производства: выделяют массовые, серийные, единичные трудовые процессы. Рабочие места и трудовые процессы делятся по числу операций: до 3 - в массовом производстве, до 10 - в серийном, свыше 10 - в единичном.

По функциональному признаку трудовые процессы подразделяются на: основные, вспомогательные, управленческие.

По характеру труда и уровню механизации выделяют трудовые процессы: ручные, машинно-ручные, машинные, автоматизированные, аппаратурные.

Ручные - трудовой процесс осуществляется рабочим полностью вручную (навертывание гаек, окраска кистью, опиловка напильником и др.).

Механизированные - технологический процесс осуществляется рабочим с применением механизированных орудий труда, питающихся от какого-либо источника энергии (сверление дрелью, завертывание гаек пневматическим гайковертом и др.).

Машинно-ручные - производятся с помощью машины, причем перемещение механизма или рабочего органа машины, инструмента или предмета труда осуществляется непосредственно самим рабочим с приложением физических усилий (обработка заготовки на металлорежущем станке с ручной подачей).

Машинные - требуемые изменения предмета труда осуществляются рабочим органом машины без непосредственного участия рабочего. Функции рабочего - управление работой машины, питание ее сырьем, снятие готовой продукции (например, металлорежущий станок с автоматической подачей).

Автоматизированные - трудовой процесс, осуществляемый при обслуживании автоматов, у которых движение рабочего органа (инструмента), а также управление им выполняется самим автоматом без участия рабочего (станки с числовым программным управлением, автоматы).

Аппаратурные - технологический процесс осуществляется под воздействием тепловой, электрической или химической энергии. Трудовой процесс по своему содержанию схож с обслуживанием автоматов.

По организационному признаку трудовые процессы подразделяют на: индивидуальные, групповые, предметно-замкнутые (все работы данной фазы обработки выполняются на одном рабочем месте).

На трудовой процесс оказывает влияние группировка рабочих мест по однородным технологическим группам (технологическая специализация производственных участков) и по ходу технологического процесса (предметная специализация производственных участков).

Технологическая специализация обеспечивает хорошее использование оборудования, но отрицательно сказывается на длительности производственного цикла, значительно увеличивая путь прохождения предмета труда по рабочим местам. Предметная - сокращает длительность производственного цикла, создает возможность создания, в зависимости от степени механизации, поточных или автоматических линий обработки.

С учетом видов рабочих мест, оборудования и производственной структуры цеха (предприятия) можно выделить следующие основные типы производственных систем, отличающихся своей особой организацией труда, в том числе и характером трудового процесса:

. Индивидуальные ручные или машинные рабочие места, не связанные между собой ни технически, ни организационно; характерны как единичные рабочие места на промышленных предприятиях.

. Индивидуальные, преимущественно машинные, рабочие места, объединенные в производственные участки или цехи по технологическому признаку; организация рабочих мест упорядочена; процессы труда на отдельных рабочих местах организационно не связаны между собой ни во времени, ни в пространстве.

. Производственные линии, т.е. ручные и машинные рабочие места, расставленные в порядке очередности выполнения операций; характерно непрерывное прохождение обрабатываемых предметов по рабочим местам.

. Поточные (конвейерные) производственные линии, на которых рабочие места связаны механическими транспортными устройствами, представляющие собой дальнейшую степень развития производственных линий.

. Автоматизированные линии обработки, образованные из автоматических станков, связанных между собой автоматически действующими транспортными устройствами; производство полностью автоматизировано; участие человека заключается в подготовке к работе, наблюдению за работой линии, а также в периодической замене инструментов и подналадке станков; эти линии представляют собой завершение технического развития производственных линий. Следующий этап - это создание гибких производственных систем.

. Производственные участки с рабочими местами по обслуживанию оборудования аппаратурного типа.

Каждой производственной системе свойственна определенная организация трудового процесса с учетом следующих признаков:

степени организационной и технической связи рабочих мест между собой;

степени непрерывности прохождения предмета труда и способа его перемещения;

степени синхронизации (гармонизации) продолжительности выполнения операций на отдельных рабочих местах;

величины межоперационных заделов;

степени участия и необходимой квалификации исполнителя;

степени подготовки производственного процесса.

По длительности трудовые процессы делятся на: прерывные (циклические и нециклические), непрерывные, периодические.

К циклическим относятся трудовые процессы, которые при выполнении данного производственного задания повторяются с равной периодичностью. К нециклическим относятся прерывные процессы, которые не повторяются или повторяются с различной последовательностью (в мелкосерийном, единичном производстве.)

По содержанию трудовые процессы подразделяются на: добывающие и обрабатывающие; по видоизменению предметов труда: физические, химические.

.3 Трудовая операция, ее элементы и их характеристика

Для анализа и нормирования трудовые процессы расчленяются на составные элементы. Основным элементом трудового процесса является производственная операция, под которой понимается законченная часть технологического процесса по обработке одного или нескольких предметов труда, выполняемая на одном рабочем месте одним или несколькими исполнителями, либо без их участия.

Производственная операция является объектом нормирования. В основе расчленения операции лежат два признака: технологический и трудовой. Технологическое деление на составные части определяется необходимостью соблюдения строгой последовательности процессов воздействия на предмет труда.

При технологическом делении производственную операцию подразделяют на: установку, переход, проход.

Установка - это часть операции, выполняемая над предметом труда при его креплении на обрабатывающем оборудовании. Включает установку и съем детали, технологическую подналадку. Данный термин введен ЦИТ (Центральным институтом труда) в 20-е годы.

Переход - это технологически однородная часть операции, выполняемая при одном режиме работы оборудования и неизменном инструменте.

Проход - это законченная часть технологического перехода, состоящая из однократного перемещения относительно заготовки, при котором происходит изменение предмета труда. Проход - повторяющаяся часть перехода.

Операции могут разделяться на ряд позиций - части операции, выполняемые при одном закреплении детали, но в разных положениях относительно обрабатывающих инструментов.

В трудовом отношении производственные операции расчленяются на приемы, трудовые действия, трудовые движения.

Трудовое движение - это однократное перемещение рабочих органов человека при выполнении трудового действия.

Трудовое действие - это совокупность трудовых движений, выполняемых непрерывно с одним и тем же предметом труда и имеющих частное целевое назначение.

Трудовой прием - совокупность трудовых действий, выполняемых непрерывно и имеющих общую цель.

Метод труда - способ осуществления процесса труда, определенная последовательность состава операций и приемов.

2. Характеристика трудовых процессов и источники информации для их изучения

Исследователями выделяются три группы факторов, которые влияют на продолжительность трудовых процессов: технические, организационные, психофизиологические.

Технические факторы включают технику, технологию, инструмент, приспособления, конструктивные особенности изготавливаемой продукции, свойства обрабатываемых материалов и др.

Организационные факторы определяются планировкой рабочего места, его оснащением и обслуживанием. Организационные и технические факторы влияют на состав трудовых процессов.

Психофизиологические факторы определяются санитарно-гигиеническими условиями (запыленностью, загазованностью и т.д.), физической тяжестью труда и нервно-психической напряженностью. Психофизиологические факторы влияют на продолжительность выполнения трудовых процессов.

Формирование метода труда работника (исполнителя) затрагивает изучение всех групп факторов, которые могут оказать сколь угодно существенное влияние на производственный процесс. Помимо всего прочего, метод труда должен быть составлен с рациональной точки зрения. Для анализа и проектирования более рационально построенных трудовых процессов могут быть использованы следующие качественные характеристики трудового процесса (таблица 1).

Таблица 1 - Характеристики трудового процесса

Комплексные характеристики

Факторы, влияющие на характеристику

Технологическое содержание

Тип используемого оборудования, инструмент, материал

Детерминированность

Степень механизации Доля умственного труда Характер взаимосвязи работников и технологического оборудования Однородность работ Повторяемость работ Производственная самостоятельность Характер производственной ответственности работника

Тип производства

Степень механизации Однородность работ Повторяемость работ Производственная самостоятельность

Квалификация

Однородность работ Характер производственной ответственности работника Ответственность процесса Сложность процесса

Характер воздействия на организм человека

Степень вредности условий труда Физическая тяжесть Уровень нервной напряженности


Более полная характеристика трудового процесса, используемая в процессе анализа его построения, выглядит следующим образом:

. Характеристика работника и коллектива (показатели: демографические, профессионально-квалификационные, антропометрические, физическое развитие, характеристики психики, психологический климат в коллективе).

. Характеристика условий и средств труда (применяемое оборудование и технологическая оснастка, технологические режимы и другие эксплуатационные характеристики, применяемая оргтехоснастка, эргономические, эстетические и санитарно-гигиенические характеристики, планировка рабочего места).

. Характеристика производственного процесса в целом и собственно процесса труда (его назначение, однородность, повторяемость, степень механизации, доля умственного труда, форма взаимосвязи работника и оборудования, производственная самостоятельность, ответственность процесса, технологическое содержание (состав и структура), сложность, точность, траектория и скорость движений, рабочая поза, способ и последовательность выполнения элементов трудового процесса, привлекательность труда, физическая тяжесть, нервная напряженность, режим труда и отдыха).

На применение различных видов трудовых процессов, на их характеристики большое влияние оказывает тип производства (таблица 2).

Таблица 2 - Взаимосвязь типов производства с характеристиками трудовых процессов

Характеристика трудовых процессов

Тип производства


массовое

серийное

единичное

1

2

3

4

Степень механизации труда

Преимущественно машинные, автоматизированные

Машинно-ручные, механизированные

Машинно-ручные, механизированные, ручные

Характер взаимосвязи работни ков и технологического оборудования

Многостаночные

Одностаночные, многостаночные

Одностаночные

Однородность (на уровне рабочего места)

Однородные

Однородные, разнородные

Разнородные

Повторяемость

Постоянно повторяются

Периодически повторяются и повторяются без строгой периодичности

Повторяющиеся без строгой периодичности, неповторяющиеся

Производственная самостоятельность

Жестко связанные

Связанные и обособленные

Обособленные (независимые)


Для изучения трудовых процессов может быть использованы следующие источники информации:

) производственная документация:

паспорт оборудования (техническая документация);

технологическая документация (технологические карты процесса);

схемы организации рабочих мест (карта организации труда на рабочем месте, типовой проект организации труда на рабочем месте);

данные табельного учета рабочего времени;

данные учета выработки и заработной платы (наряды, бухгалтерские документы);

распорядительная документация цеха, предприятия (использование практики совмещения профессий, многостаночной работы, уровень квалификации, состав кадров исполнителей и др.);

) результаты наблюдения, проведенного непосредственно на рабочих местах:

автоматизированная регистрация производственного (технологического) процесса;

измерение параметров условий труда и психофизиологических характеристик с помощью приборов;

анкетирование, интервью;

изучение затрат рабочего времени с помощью фотографии и самофотографии рабочего дня, фотохронометража, хронометража;

использование кино- и видеосъемки трудового процесса.

Для рационализации трудовых процессов побираются факторы, обеспечивающие минимальные затраты времени и энергии человека. Общими принципами рационализации трудовых процессов являются: непрерывность (последующий трудовой прием должен выполняться сразу же за предыдущим), параллельность выполнения работы (параллельное протекание технологического и трудового процесса), совмещение трудовых действий и приемов, оптимальная загрузка исполнителя и используемой им техники, синхронность (синхронность работы взаимосвязанных производственных цепочек и действий исполнителей), повышение содержательности труда, соответствие квалификации работника выполняемой им работе.

К принципам рациональных приемов труда относят:

одновременность движений (по возможности одновременная работа обеими руками);

принцип экономии энергии человека (естественность движений);

ритмичность движений (ритм задается техпроцессом или работником);

привычность движений (строгая последовательность их выполнения).

На практике возможна разработка нескольких вариантов рационализации трудовых процессов. Путем их сравнения выбирается наиболее оптимальный с учетом его экономичности и соответствия психофизиологии труда. Условием успешного внедрения рациональных трудовых приемов является составление инструкционных карт, которые служат нормативными документами для передовых приемов и методов труда.

Содержание инструкционных карт должно обязательно состоять из:

подробного описания рекомендуемых приемов труда при выполнении конкретных операций (их состав, последовательность, продолжительность выполнения движений, приемов и т.д.);

характеристики оснащения, планировки рабочего места, условий труда, системы обслуживания;

научно обоснованных норм времени и выработки с приложением необходимой технической документации.

3. Проектирование рационального метода труда на деревообрабатывающем станке

.1 Организационная характеристика предприятия

Объектом исследования является организация работы рабочих по изготовлению изделий из дерева, 4 человека, ООО "Зико".

Цель исследования: определить резервы времени для увеличения производительности труда за счет разработки рационального метода труда.

Методика: фотография и хронометраж производственных операций рабочего, система микроэлементных нормативов (МТМ), взята из журнала "Нормирование и оплата труда в промышленности" № 1 2011 год и учебно-методического комплекса Маслова Е.В. "Организация труда персонала".

Общество с ограниченной ответственностью "Зико" (сокращенно - ООО "Зико"), в дальнейшем именуемое Общество, создано по решению Президиума Кировской областной организации Всероссийского общества инвалидов в соответствии с Федеральным законом РФ "Об обществах с ограниченной ответственностью".

Место нахождения Общества: Российская Федерация, ст. Просница Кирово-Чепецкого района Кировской области, улица Свободы, 31.

Единственным участником Общества является Кировская областная организация Всероссийского общества инвалидов (в дальнейшем - КОО ВОИ), зарегистрированная 3 июня 1996 года Управлением юстиции администрации Кировской области, свидетельство № 205.

Виды деятельности, формы и способы управления определены в Уставе организации. Общество производит продукцию, выполняет работы, оказывает услуги с целью извлечения прибыли, удовлетворения общественных потребностей, и реализации на основе полученной прибыли уставных задач КОО ВОИ. Общество создает и содержит рабочие места для инвалидов по программе, утверждаемой учредителем КОО ВОИ. В штат предприятия могут приниматься инвалиды и лица, не имеющие инвалидности.

Общество осуществляет свою деятельность в разных направлениях, но основной вид деятельности связан с лесозаготовительной деятельностью. распиловкой леса, реализацией продукции лесопиления и деревообработки.

.2 Характеристика условий труда

Условия труда основных работников в Обществе относятся к вредным и тяжелым. В "Правилах по охране труда в лесозаготовительном, деревообрабатывающем производствах и проведении лесохозяйственных работ" (утвержденных Постановлением Министерства труда и социального развития от 21.03.1997 № 15) перечислены вредные и опасные производственные факторы в деревообрабатывающей промышленности:

движущиеся машины и механизмы; подвижные части производственного оборудования; передвигающиеся изделия, заготовки, материалы;

повышенная загазованность и запыленность воздуха рабочей зоны;

повышенная температура поверхностей оборудования;

повышенная и пониженная температура воздуха рабочей зоны;

повышенный уровень шума на рабочем месте;

повышенный уровень вибрации;

повышенная влажность воздуха;

повышенный уровень статического электричества;

острые кромки, заусенцы и шероховатости на поверхности заготовок, инструментов и оборудования;

токсичные и раздражающие химические вещества, воздействующие на организм человека;

химические вещества, проникающие в организм человека через органы дыхания, желудочно-кишечный тракт, кожные покровы и слизистые оболочки;

физические перегрузки;

нервно-психические перегрузки.

Профессии станочника и рамщика относятся ко 2 списку. Согласно трудовому законодательству работники данных профессий имеют сокращенную продолжительность рабочего времени (не более 36 часов в неделю) и продолжительностью рабочей смены - не более 8 часов, дополнительные дни к отпуску. Эти работники имеют право на получение бесплатно по установленным нормам молоко или другие равноценные пищевые продукты. Работодатель обязан за счет своих средств обеспечивать этих работников средствами индивидуальной защиты (СИЗ), а также - хранение СИЗ, стирку, сушку, ремонт и замену.

Инвалиды, работающие на предприятии, также имеют сокращенную рабочую неделю: I и II группы - не более 35 часов в неделю.

ООО "Зико" старается соответствовать экологическим стандартам российского законодательства.

Функции инспектора по охране труда и технике безопасности выполняет бригадир.

Уровень квалификации рабочих определяется с помощью тарифно-квалификационного справочника (ТКС), который описывает тарифно-квалификационные признаки профессий работников и применим к 6-разрядной тарифной сетке. Разряды каждой из работ зависят от их сложности без учета условий труда. Тарифно-квалификационные характеристики состоят из трех разделов:

характеристики (описания) работ, т. е. необходимых трудовых навыков, которыми должен владеть рабочий данного разряда;

требуемого уровня профессиональных знаний, которые должен иметь рабочий, т. е. что он должен знать;

примеров работ, наиболее характерных для рабочих данного разряда.

Конкретнее сами работы, их объем и порядок выполнения на конкретных рабочих местах устанавливаются для предприятия технологическими картами, рабочими инструкциями, картами организации труда и другими документами (характеристики работ основного рабочего персонала даны в приложении А).

Содержание трудовой операции рабочих состоит из следующих элементов:

настроить станок в размер;

включить станок: нажать на различные кнопки при запуске 7 раз;

дать станку прогреться на холостых оборотах 2 - 3 минуты;

взять заготовку;

установить заготовку в падающий механизм станка;

обойти станок слева; принять изделие из станка;

произвести визуальный контроль размеров, чистоты обработки;

положить обработанную доску в тележку;

обойти справа станок.

На основании действующих норм величина поднятия тяжести для мужчин составляет 10 кг при постоянной нагрузке, так как единица выпускаемой продукции весит 25 кг, то в производственном процессе при погрузке, разгрузке участвует не менее 3 человек. Каждые 2 часа нужно менять фрезу 30 минут. Схема планировки рабочего места дана в приложении Д, расстояния указаны в мм.

Чтобы уровень выручки составлял 3484 тысячи рублей нужно произвести 31 309 штук обработанной доски (евровагонки, размер 12,5 мм * * 135 мм * 6 000 мм) по цене за 1 м3 11 000 рублей. Соответственно, при 248 рабочих днях в 2012 году, в день нужно изготавливать минимум 126 штук 6-метровых досок, расчет затрат времени на производственную операцию составлен на 1 человека (таблица 3).

Таблица 3 - Разложение трудовой операции станочника на элементарные движения

Описание движений



Левая рука

Правая рука


Другие части тела

Описание движения

Шифр микроэлемента

Время в ТМU

Время в ТМU

Шифр микроэлемента

Описание движения

1

 

 

 

 

14,1

R30C

Протянуть руку

2

 

 

 

 

3,0

G5

Надавить на кнопки

3

 

 

 

 

5,8

M6C

Переместить руку

4

 

 

 

 

3,0

G5

Надавить на кнопки

5

 

 

 

 

5,8

M6C

Переместить руку

6

 

 

 

 

3,0

G5

Надавить на кнопки

7

 

 

 

 

5,8

M6C

Переместить руку

8

 

 

 

 

3,0

G5

Надавить на кнопки

9

 

 

 

 

5,8

M6C

Переместить руку

10

 

 

 

 

3,0

G5

Надавить на кнопки

11

 

 

 

 

5,8

M6C

Переместить руку

12

 

 

 

 

3,0

G5

Надавить на кнопки

13

 

 

 

5,8

M6C

Переместить руку

14

 

 

 

 

3,0

G5

Надавить на кнопки

15

переместиться вправо на 0,5 м

 

A3

30,0

 

 

 

16

наклониться

 

B3

3,0

 

 

 

17

 

взять заготовку

G1A

2,0

2,0

G1A

взять заготовку

18

выпрямиться

 

B3

3,0

 

 

 

19


переместить заготовку

M80C32

74,24

74,24

M80C32

переместить заготовку

20

переместиться влево

 

A1

10,00

 

 

 

21

 

установить

P2SE

16,20

 

 

 

22

переместиться влево до конца станка на 1,72 м

 

A6

60,00

 

 

 

23

 

протянуть руку

R30E

11,70

11,70

R30E

протянуть руку

24

 

взять изделие

G1A

2,00

2,00

G1A

взять изделие

25

всмотреться


EF

7,30




26


выпрямить руку

R80A

18,20

18,20

R80A

выпрямить руку

27

наклон и подъем 50 %


B3

6,00




28


убрать руку

R80E

23,90

23,90

R80E

убрать руку

29

переместиться вправо до конца станка на 1,72 м


A6

60,00





Итого



327,54

201,94




На обработку одной доски затрачивается (327,54 + 201,94) = 529,48 (TMU). Продолжительность сборочной операции составит 529,48 * 0,036 = 19,06 (с). Для выполнения производственной программы за день при обработке 126 штук потребуется 19,06 * 126 : 3600 = 0,67 (час.) или 40 минут.

В оперативное время входит настройка станка - 40 минут в начале смены, каждые 2 часа необходимо менять фрезу, на что требуется по 30 минут. На основании проведенного наблюдения был сформирован баланс рабочего времени (таблица 4).

Таблица 4 - Баланс затрат рабочего времени по данным фотографии рабочего времени

Фактические виды затрат времени, %

Непосредственное выполнение производственного задания

На получение производственного задания

Подвоз, отвоз заготовок

Выгрузка обработанных изделий на склад

Наладка станка на размеры производственного задания

На смену фрезы

На уборку РМ

На содержание рабочего инструмента в исправности

9,52

2,38

9,52

4,76

9,52

21,57

10,29

9,52

Виды затрат: потери рабочего времени, %

с ожиданием наладки

с необеспеченностью заготовками

с поздним началом и преждевременным окончанием работы

с отлучкой с рабочего места, перекурами, разговорами

2,15

1,67

9,1

10


Составленный баланс затрат рабочего времени позволяет выявить резервы времени. Во-первых, можно сократить затраты времени, связанные с отлучкой, перекурами, разговорами, с поздним началом и преждевременным окончанием работы. Во-вторых, производительность труда можно увеличить за счет увеличения нормы обработанных досок в день и сокращения времени на уборку рабочего места, содержание рабочего инструмента в исправности на 5 %. На основе предложенных рекомендаций составляется рациональный баланс рабочего времени, который принимается как нормативный. Фактический и нормативный балансы записываются в таблицу 5. Из полученной таблицы видно, что увеличение оперативного времени на 101,22 минуты происходит за счет уменьшения времени обслуживания рабочего места на 21 минуту и отсутствия перерывов в связи с нарушением трудовой дисциплины на 80,22 минуты.

Таблица 5 - Фактический и нормативный баланс рабочего времени

Название затрат рабочего времени

Индекс

Баланс рабочего времени

Затраты времени, подлежащие сокращению или увеличению



Фактический

Нормативный




Минут

В % к итогу

Минут

В % к итогу


Подготовительно-заключительное время

ПЗ

109,96

26,18

109,96

26,18

0,00

Оперативное время (основное)

ОПо

39,98

9,52

141,20

33,62

101,22

Оперативное время (вспомогательное)

ОПв

90,59

21,57

90,59

21,57

0,00

Время обслуживания РМ

ОБ

83,20

19,81

62,20

14,81

-21,00

Перерывы из-за нарушения производственного процесса

ПНТ

16,04

3,82

16,04

3,82

0,00

Перерывы из-за нарушения трудовой дисциплины

ПНД

80,22

19,1

0

0

-80,22

Итого


420

100

420

100

 


Анализ фактического баланса позволяет рассчитать ряд показателей:

коэффициент полезного использования рабочего времени.

;

коэффициент потерь рабочего времени по вине производства.

;

коэффициент потерь времени по вине исполнителя

;

потери рабочего времени составляют Пот = 19,1 + 5 = 24,1 (%);

возможный рост производительности труда

 (%).

Если исполнитель не будет нарушать трудовую дисциплину и сократит время обслуживания рабочего места за счет передачи этих работ другому рабочему, который в период работы станка не следит за ходом его работы, то производительность труда этого рабочего вырастет на 31,75 %.

ЗАКЛЮЧЕНИЕ

Поставленные в работе задачи решались двумя способами. Во-первых, анализировался современный уровень разработанности данной темы. В теоретической части работы даны основные понятия, используемые в научной и технической литературе. Охарактеризованы факторы, влияющие на существующие трудовые процессы и приводящие трудовые процессы к изменениям.

Во-вторых, в практической части работы описано исследование трудового процесса рабочего станочника в деревообрабатывающей промышленности. Был составлен баланс рабочего времени фактический и нормативный, на основании которых были выявлены потери рабочего времени. Рассчитаны коэффициенты потерь времени по различным причинам. С учетом результатов исследования в работе были предложены изменения трудового процесса станочника.

Были спроектированы некоторые мероприятия. Эффективность предложенных мероприятий рассчитывалась, исходя из увеличения производительности труда станочника, и составила 31,75 % по сравнению с производительностью труда, соответствующей существующей организации труда. Кроме этого, составлена планировка рабочего места с учетом рациональности и безопасности работы.

Таким образом, в работе доказано, что достижения научно-технического прогресса активно влияют на изменение трудовых процессов и элементов их составляющих. Специалисты постоянно ищут возможности упростить, обезопасить, сделать более эргономичными рабочие места, чтобы работнику было комфортно работать, и он мог увеличивать свою производительность труда, тем самым, принося прибыль предприятию.

БИБЛИОГРАФИЧЕСКИЙ СПИСОК

1.      Бычин, В.Б. Организация и нормирование труда [Текст]: учебник для вузов / В.Б. Бычин, С.В. Малинин, Е.В. Шубенкова, Ю.Г. Одегов. - 3-е изд., перераб. и доп. - М.: Экзамен, 2005. - 463 с.

.        Генкин, Б.М. Организация, нормирование и оплата труда на промышленных предприятиях [Текст]: учебник для вузов / Б. М. Генкин. - 2-е изд., испр. и доп. - М.: НОРМА, 2004. - 389 с.

.        Генкин, Б.М. Экономика и социология труда [Текст]: учебник / Б.М. Генкин. -5-е изд., доп. - М.: НОРМА, 2005. - 402 с.

.        Егоршин, А.П. Управление персоналом [Текст]: учебник для вузов / А.П. Егоршин. - 3-е изд. - Н. Новгород: НИМБ, 2001. - 720 с.

.        Егоршин, А.П., Зайцев А.К. Организация труда персонала [Текст] / А.П. Егоршин. - М.: ИНФРА-М, 2009. - 320 с.

.        Маслов, Е.В. Организация труда персонала [Текст]: учебно-методический комплекс / Е.В. Маслов. - Новосибирск: НГУЭУ, 2008. - 156 с.

.        Моргенстерн, Д. Тайм-менеджмент. Искусство планирования и управления своим временем и своей жизнью [Текст] / Д. Моргенстерн; пер. с англ. - М.: Добрая книга, 2006. - 255 с.

.        Организация, нормирование и оплата труда [Текст]: учебное пособие / под ред. А.С. Головачева. - 3-e изд., испр. - М.: Новое знание, 2007. - 602 с.

.        Пашуто, В.П. Организация, нормирование и оплата труда на предприятии [Текст]: учебно-практическое пособие / В.П. Пашуто. - 3-е изд. - М.: Кнорус, 2007. - 317 с.

.        Рофе, А.И. Организация и нормирование труда [Текст]: учебник для вузов / А.И. Рофе. - М.: МИК, 2001. - 368 с.

.        Теплякова, Т.Ю. Организация труда персонала [Текст]: учебно-методический комплекс / Т.Ю. Теплякова. - Ульяновск: УлГТУ, 2004. - 124 с.

.        Управление персоналом организации [Текст]: учебник / под ред. А.Я. Кибанова. - М.: ИНФРА-М, 2008. - 638с.        

.        Экономика и социология труда [Текст]: учебное пособие / под ред. А.Я. Кибанова. - Москва: ИНФРА-М, 2010. - 584 с.

.        Леженкина, Т.И. Научная организация труда персонала [Текст]: учебник / Т.И. Леженкина. - М.: Маркет ДС, 2010. - 232 с.

.        Николашин, В.Н. Организация труда персонала [Электронное издание]: учебный курс / В.Н. Николашин. - 2011. - Режим доступа: #"666519.files/image006.gif">

Похожие работы на - Трудовые процессы и их изменение под влиянием научно-технического прогресса

 

Не нашли материал для своей работы?
Поможем написать уникальную работу
Без плагиата!
Без нейросетей!