Организация празднования Нового года
Введение
Системный анализ - это научная дисциплина,
занимающаяся проблемами принятия решений в условиях анализа большого количества
информации различной природы. Это мощный инструмент, обобщающий методологию
исследования процессов в сложных природных и социально-экономических системах.
Системный анализ является методов повышения
степени обоснованности принимаемого решения, рассмотрения множества вариантов,
среди которых производится обоснованный выбор.
Основной особенностью методик системного анализа
является сочетание в них формальных методов и неформализованного (экспертного)
знания, исходя из этого системный анализ целесообразно применять для решения
таких проблем, которые не могут быть поставлены и решены отдельными методами
математики, т.е. проблем с неопределенностью ситуации принятия решения, когда
используют не только формальные методы, но и методы качественного анализа
(«формализованный здравый смысл»), интуицию и опыт лиц, принимающих решения.
Проблема, рассмотренная в данной курсовой
работе, может быть сформулирована как: «Организация празднования Нового года».
Применение системного анализа в отношении к теме
данной курсовой работы вполне оправданно, т.к. позволяет:
расчленить проблему празднования Нового года на
составные части (купить подарки, организовать праздничный стол и т.д.);
правильно поставить цели;
рассчитать коэффициенты относительной важности с
помощью метода экспертной оценки;
разработать расписание выполнения комплексов
работ и мероприятий для разрешения как составных частей, так и всей проблемы в
целом;
оптимизировать работу по проведению необходимых
мероприятий.
1. Описание предметной области
Новый год - праздник, отмечаемый многими
народами в соответствии с принятым календарем, наступающий в момент перехода с
последнего дня года в первый день следующего года. Начало года с 1 января было
установлено римским правителем Юлием Цезарем в 46 году до н. э.
До XV века (возможно, также и до принятия
христианства) на Руси новый год наступал 1 марта по юлианскому календарю. В
1348 году состоялся Собор в Москве, на котором положено начинать год с
сентября, а не с марта. С XV века новый год начинался 1 сентября, сведения о
праздновании Нового года появляются с конца XV века. «Парижский словарь
московитов» (XVI век) сохранил русское название новогоднего праздника: Первый
день во году. С 1700 года по указу Петра I Новый год в России празднуют, как и
в других странах Европы, 1 января, причем по-прежнему по юлианскому календарю.
Во времена Петра юлианский календарь был еще принят во многих протестантских
государствах Европы, и Россия тогда праздновала Новый год одновременно с ними,
но на 11 дней позже, чем в католических странах, где с 1582 действовал
григорианский календарь. По мере того, как в XVIII веке практически все
протестантские государства перешли на григорианский стиль (а в России до 1918
года сохранялся юлианский), Новый год в России вновь перестал совпадать с
западноевропейским.
Только начиная с 1919 года новогодний праздник в
России стали отмечать в соответствии с григорианским календарем. С 2005 года в
России с 1 по 5 января установлены новогодние каникулы (ранее - только 1 и 2),
и эти дни объявлены нерабочими, а с учетом выходных дней и Рождества -
официального праздничного дня, выходные длятся 10 дней.
Встреча Нового года является во многих странах
очень значимым праздником, в том числе и в России, и сопровождается
разнообразными эстрадными мероприятиями, застольем, народными гуляниями.
Согласно традиции в доме устанавливается Новогодняя елка.
Но при этом самое трудное - так справить Новый
год, чтобы этот праздник надолго запомнился, чтобы оставил приятные
воспоминания. Поэтому его необходимо встречать в хорошей компании - лучше всего
близких друзей.
В этом году почетная миссия организации
празднования Нового года возложена на меня, а друзья оказывают финансовую
помощь.
Рассмотрим основные элементы системы организации
празднования Нового года:
подарки;
праздничный стол;
меню и рецепты;
план проведения праздника;
другие атрибуты праздничных мероприятий
(нарядная елка и т.п.).
При этом следует учесть следующие характеристики
внешней системы:
обязательный предпраздничный рост цен;
большой ажиотаж;
и сделать все необходимое заранее (закупить
подарки и продукты для праздничного стола (разумеется, только те, которые
выдержат длительное хранение)).
2. Дерево целей
.1 Построение дерева целей
Построим дерево целей, на основе которого будет
построено дерево целей.
Рисунок 1 - Дерево проблем
По решению данной проблемы сформулируем цель
«Организовать празднование Нового года» (на рисунке 2 представлено искомое
дерево целей).
Рисунок 2 - Дерево целей
Далее сформулируем критерии оценки достижения
желаемого результата:
В качестве критерия оценки степени достижения
поставленной цели будут использоваться коэффициенты относительной важности,
которые необходимо рассчитать для всех подцелей первого уровня (правильно
выбрать подарки, хорошо организовать праздничный стол, хорошо организовать
праздничную программу) и затем для подцелей второго уровня (все остальные).
Также будет использоваться метод экспертной
оценки для того, чтобы проранжировать рассматриваемые свойства и взаимосвязи по
степени их важности и существенности.
Экспертные методы широко используются при
определении коэффициентов относительной важности.
Далее произведем расчет коэффициентов
относительной важности
2.2 Расчет коэффициентов
относительной важности
Произведем расчет КОВ дерева целей (1-й уровень)
Матрица опроса экспертов Rmax=3
|
Подцели
|
Эксперт
|
|
1
|
2
|
3
|
4
|
5
|
|
Правильно
выбрать подарки
|
1
|
1
|
2
|
2
|
1
|
|
Хорошо
организовать праздничный стол
|
2
|
2
|
1
|
3
|
3
|
|
Хорошо
организовать праздничную программу
|
3
|
3
|
3
|
1
|
2
|
Матрица преобразованных рангов
|
Подцели
|
Эксперт
|
Сумма
|
КОВ
|
|
1
|
2
|
3
|
4
|
5
|
|
|
|
Правильно
выбрать подарки
|
2
|
2
|
1
|
1
|
2
|
8
|
0,53
|
|
Хорошо
организовать праздничный стол
|
1
|
1
|
2
|
0
|
0
|
4
|
0,27
|
|
Хорошо
организовать праздничную программу
|
0
|
0
|
0
|
2
|
1
|
3
|
0,20
|
|
|
|
|
|
|
15
|
1
|
Произведем расчет КОВ дерева целей (2-й уровень,
часть 1)
Матрица опроса экспертов Rmax=3
|
Подцели
|
Эксперт
|
|
1
|
2
|
3
|
4
|
5
|
|
Узнать
пожелания всех друзей
|
1
|
2
|
1
|
2
|
2
|
|
Составить
список подарков с учетом пожеланий
|
2
|
3
|
2
|
1
|
3
|
|
Купить
подарки в соответствии со списком
|
3
|
1
|
3
|
3
|
1
|
Матрица преобразованных рангов
|
Подцели
|
Эксперт
|
Сумма
|
|
КОВ
|
|
1
|
2
|
3
|
4
|
5
|
|
|
|
|
Узнать
пожелания всех друзей
|
2
|
1
|
2
|
1
|
1
|
7
|
0,46
|
0,244
|
|
Составить
список подарков с учетом пожеланий
|
1
|
0
|
1
|
2
|
0
|
4
|
0,27
|
0,143
|
|
Купить
подарки в соответствии со списком
|
0
|
2
|
0
|
0
|
2
|
4
|
0,27
|
0,143
|
|
|
|
|
|
|
15
|
1
|
0,53
|
Произведем расчет КОВ дерева целей (2-й уровень,
часть 2)
Матрица опроса экспертов Rmax=3
|
Подцели
|
Эксперт
|
|
1
|
2
|
3
|
4
|
5
|
|
Узнать
пожелания всех друзей о праздничном меню
|
1
|
2
|
2
|
1
|
3
|
|
Составить
праздничное меню
|
3
|
1
|
1
|
3
|
2
|
|
Закупить
все для праздничного стола и приготовить все в соответствии с меню
|
2
|
3
|
3
|
2
|
1
|
Матрица преобразованных рангов
|
Подцели
|
Эксперт
|
Сумма
|
|
КОВ
|
|
1
|
2
|
3
|
4
|
5
|
|
|
|
|
Узнать
пожелания всех друзей о праздничном меню
|
2
|
1
|
1
|
2
|
0
|
6
|
0,40
|
0,108
|
|
Составить
праздничное меню
|
0
|
2
|
2
|
0
|
1
|
5
|
0,33
|
0,089
|
|
Закупить
все для праздничного стола и приготовить все в соответствии с меню
|
1
|
0
|
0
|
1
|
2
|
4
|
0,27
|
0,073
|
|
|
|
|
|
|
15
|
1
|
0,27
|
Произведем расчет КОВ дерева целей (2-й уровень,
часть 3)
Матрица опроса экспертов Rmax=3
|
Подцели
|
Эксперт
|
|
1
|
2
|
3
|
4
|
5
|
|
Посоветоваться
с друзьями
|
3
|
3
|
1
|
1
|
2
|
|
Составить
список с праздничными мероприятиями
|
2
|
2
|
2
|
2
|
1
|
|
Распланировать
праздничный вечер
|
1
|
1
|
3
|
3
|
3
|
Матрица преобразованных рангов
|
Подцели
|
Эксперт
|
Сумма
|
|
КОВ
|
|
1
|
2
|
3
|
4
|
5
|
|
|
|
|
Посоветоваться
с друзьями
|
0
|
0
|
2
|
2
|
1
|
5
|
0,33
|
0,066
|
|
Составить
список с праздничными мероприятиями
|
1
|
1
|
1
|
1
|
2
|
6
|
0,40
|
0,08
|
|
Распланировать
праздничный вечер
|
2
|
2
|
0
|
0
|
0
|
4
|
0,27
|
0,054
|
|
|
|
|
|
|
15
|
1
|
0,20
|
Нанесем полученные данные на исходное дерево
целей (рисунок 3).
Рисунок 3 - Дерево целей организации
празднования Нового года с обозначенными коэффициентами относительной важности
Как видно из расчетов, самое главное для хорошей
организации празднования Нового года - правильно выбрать подарки (0,53). На
втором месте - хорошая организация праздничного стола (0,27). На третьем месте
- хорошая организация праздничной программы (0,20) (главная цель разбивается на
3 подцели).
Для достижения первой цели - правильного выбора
подарков, необходимо:
во-первых - узнать пожелания всех друзей
(24,4%);
во-вторых - составить список подарков и купить
их - по 14,3% - это одинаково важно.
Для достижения второй подцели - хорошей
организации праздничного стола, необходимо:
во-первых - узнать пожелания всех друзей
относительно праздничного меню - 10,8%;
во-вторых - составить праздничное меню - 8,9%;
в-третьих - закупить все для праздничного стола
и приготовить все в соответствии с меню - 7,3%.
Для достижения третьей цели - хорошей
организации праздничной программы, необходимо:
во-первых - составить список с мероприятиями -
8%;
во-вторых - посоветоваться с друзьями - 6,6%;
в-третьих - распланировать праздничный вечер -
5,4%.
Очевидно, что для хорошего празднования года
необходимо осуществление всех целей и всех подцелей, поэтому необходимо
составить деревья мероприятий для осуществления всех подцелей.
3. Деревья мероприятий
3.1 Построение деревьев мероприятий
для всех подцелей нижнего уровня дерева целей
Рисунок 4 - Дерево мероприятий для подцели
«Узнать пожелания всех друзей (относительно подарков)»
3.2 Расчет коэффициентов оценки
вариантов мероприятий
Выбор критериев (факторов) оценки альтернатив
Для оценки альтернативных вариантов решения
будем использовать следующие критерии (факторы) важности:
эффективность варианта;
финансовые затраты на реализацию;
затраты времени проведение.
Произведем расчет коэффициентов важности
факторов.
Матрица опроса экспертов Rmax = 3
|
Критерии
|
Эксперт
|
|
1
|
2
|
3
|
4
|
5
|
|
Эффективность
варианта
|
1
|
2
|
3
|
1
|
1
|
|
Финансовые
затраты на реализацию
|
2
|
3
|
2
|
3
|
|
Затраты
времени на проведение
|
3
|
1
|
1
|
3
|
2
|
Матрица преобразованных рангов
|
Критерии
|
Эксперт
|
Сумма
|
КВ
|
|
1
|
2
|
3
|
4
|
5
|
|
|
|
Эффективность
варианта
|
2
|
1
|
0
|
2
|
2
|
7
|
0,47
|
|
Финансовые
затраты на реализацию
|
1
|
0
|
1
|
1
|
0
|
3
|
0,20
|
|
Затраты
времени на проведение
|
0
|
2
|
2
|
0
|
1
|
5
|
0,33
|
|
|
|
|
|
|
|
15
|
1
|
|
|
|
|
|
|
|
|
|
Согласно таблице, критерии оценки мероприятий
получили следующие весовые коэффициенты:
эффективность варианта - 0,47;
финансовые затраты на реализацию - 0,20;
затраты времени проведение - 0,33.
Расчетные таблицы семейств каждого дерева
мероприятий (для одного дерева приводится полный расчет со всеми таблицами, а
для остальных деревьев только результаты расчета).
Таблица расчета альтернатив семейства №1 (для
заполнения)
|
Факторы
|
КВ
|
Опросить самих друзей
|
Осведомиться у их близких
|
Итого
|
|
Эффективность варианта
|
0,47
|
|
|
|
|
Финансовые затраты на реализацию
|
0,20
|
|
|
|
|
Затраты времени на проведение
|
0,33
|
|
|
|
|
Эффективность варианта
|
|
|
|
|
Расчет весов альтернатив по фактору 1.
Фактор 1 - Эффективность варианта.
Матрица опроса экспертов Rmax = 2
|
Критерии
|
Эксперт
|
|
1
|
2
|
3
|
4
|
5
|
|
Опросить
самих друзей
|
2
|
2
|
1
|
1
|
2
|
|
Осведомиться
у их близких
|
1
|
1
|
2
|
2
|
1
|
Матрица преобразованных рангов
|
Критерии
|
Эксперт
|
Сумма
|
КВ
|
|
1
|
2
|
3
|
4
|
5
|
|
|
|
Опросить
самих друзей
|
0
|
0
|
1
|
1
|
0
|
2
|
0,40
|
|
Осведомиться
у их близких
|
1
|
1
|
0
|
0
|
1
|
3
|
0,60
|
|
|
|
|
|
|
|
5
|
1
|
|
|
|
|
|
|
|
|
|
Фактор 2 - Финансовые затраты на реализацию
Матрица опроса экспертов Rmax = 2
|
Критерии
|
Эксперт
|
|
1
|
2
|
3
|
4
|
5
|
|
Опросить
самих друзей
|
2
|
1
|
2
|
2
|
2
|
|
Осведомиться
у их близких
|
1
|
2
|
1
|
1
|
1
|
Матрица преобразованных рангов
|
Критерии
|
Эксперт
|
Сумма
|
КВ
|
|
1
|
2
|
3
|
4
|
5
|
|
|
|
Опросить
самих друзей
|
0
|
1
|
0
|
0
|
0
|
1
|
0,20
|
|
Осведомиться
у их близких
|
1
|
0
|
1
|
1
|
1
|
4
|
0,80
|
|
|
|
|
|
|
|
5
|
1
|
|
|
|
|
|
|
|
|
|
Фактор 3 - Затраты времени на проведение
Матрица опроса экспертов Rmax = 2.
|
Критерии
|
Эксперт
|
|
1
|
2
|
3
|
4
|
5
|
|
Опросить
самих друзей
|
1
|
1
|
1
|
1
|
2
|
|
Осведомиться
у их близких
|
2
|
2
|
2
|
2
|
1
|
Матрица преобразованных рангов
|
Критерии
|
Эксперт
|
Сумма
|
КВ
|
|
1
|
2
|
3
|
4
|
5
|
|
|
|
Опросить
самих друзей
|
1
|
1
|
1
|
1
|
0
|
4
|
0,80
|
|
Осведомиться
у их близких
|
0
|
0
|
0
|
0
|
1
|
1
|
0,20
|
|
|
|
|
|
|
|
5
|
1
|
|
|
|
|
|
|
|
|
|
Таблица расчета альтернатив семейства №1
(заполненная)
|
Факторы
|
КВ
|
Опросить самих друзей
|
Осведомиться у их близких
|
Итого
|
|
Эффективность варианта
|
0,47
|
0,4
|
0,6
|
1
|
|
Финансовые затраты на реализацию
|
0,20
|
0,2
|
0,8
|
1
|
|
Затраты времени на проведение
|
0,33
|
0,8
|
0,2
|
1
|
|
Эффективность варианта
|
|
0,49
|
0,51
|
|
Результат расчета первого семейства.
Рисунок 5 - Результат расчета первого семейства
(первого уровня)
Дерево мероприятий №1 (семейство 2 часть 1)
Матрица опроса экспертов Rmax = 2
|
Критерии
|
Эксперт
|
|
1
|
2
|
3
|
4
|
5
|
|
Эффективность
варианта
|
1
|
2
|
3
|
1
|
2
|
|
Финансовые
затраты на реализацию
|
2
|
3
|
1
|
2
|
3
|
|
Затраты
времени на проведение
|
3
|
1
|
2
|
3
|
1
|
Матрица преобразованных рангов
|
Критерии
|
Эксперт
|
Сумма
|
КВ
|
|
1
|
2
|
3
|
4
|
5
|
|
|
|
Эффективность
варианта
|
2
|
1
|
0
|
2
|
1
|
6
|
0,40
|
|
Финансовые
затраты на реализацию
|
1
|
0
|
2
|
1
|
0
|
4
|
0,27
|
|
Затраты
времени на проведение
|
0
|
2
|
1
|
0
|
2
|
5
|
0,33
|
|
|
|
|
|
|
|
15
|
1
|
|
|
|
|
|
|
|
|
|
Таблица расчета альтернатив семейства №2
(незаполненная)
|
Факторы
|
КВ
|
Составить анкету для опроса
|
Провести простой опрос
|
Итого
|
|
Эффективность варианта
|
0,40
|
|
|
|
|
Финансовые затраты на реализацию
|
0,33
|
|
|
|
|
Затраты времени на проведение
|
0,27
|
|
|
|
|
Итоговые оценки
|
|
|
|
|
Фактор 1 - Эффективность варианта
Матрица опроса экспертов Rmax = 2
|
Критерии
|
Эксперт
|
|
1
|
2
|
3
|
4
|
5
|
|
Составить
анкету для опроса
|
1
|
1
|
1
|
2
|
1
|
|
Провести
простой опрос
|
2
|
2
|
2
|
1
|
2
|
Матрица преобразованных рангов
|
Критерии
|
Эксперт
|
Сумма
|
КВ
|
|
1
|
2
|
3
|
4
|
5
|
|
|
|
Составить
анкету для опроса
|
1
|
1
|
1
|
0
|
1
|
0,80
|
|
Провести
простой опрос
|
0
|
0
|
0
|
1
|
0
|
1
|
0,20
|
|
|
|
|
|
|
|
5
|
1
|
|
|
|
|
|
|
|
|
|
Фактор 2 - Финансовые затраты на реализацию
Матрица опроса экспертов Rmax = 2
|
Критерии
|
Эксперт
|
|
1
|
2
|
3
|
4
|
5
|
|
Составить
анкету для опроса
|
1
|
2
|
2
|
2
|
2
|
|
Провести
простой опрос
|
2
|
1
|
1
|
1
|
1
|
Матрица преобразованных рангов
|
Критерии
|
Эксперт
|
Сумма
|
КВ
|
|
1
|
2
|
3
|
4
|
5
|
|
|
|
Составить
анкету для опроса
|
1
|
0
|
0
|
0
|
0
|
1
|
0,20
|
|
Провести
простой опрос
|
0
|
1
|
1
|
1
|
1
|
4
|
0,80
|
|
|
|
|
|
|
|
5
|
1
|
|
|
|
|
|
|
|
|
|
Фактор 3 - Затраты времени на проведение
Матрица опроса экспертов Rmax = 2
|
Критерии
|
Эксперт
|
|
1
|
2
|
3
|
4
|
5
|
|
Составить
анкету для опроса
|
1
|
1
|
2
|
1
|
2
|
|
Провести
простой опрос
|
2
|
2
|
1
|
2
|
1
|
Матрица преобразованных рангов
|
Критерии
|
Эксперт
|
Сумма
|
КВ
|
|
1
|
2
|
3
|
4
|
5
|
|
|
|
Составить
анкету для опроса
|
1
|
1
|
0
|
1
|
0
|
3
|
0,60
|
|
Провести
простой опрос
|
0
|
0
|
1
|
0
|
1
|
2
|
0,40
|
|
|
|
|
|
|
|
5
|
1
|
|
|
|
|
|
|
|
|
|
Таблица расчета альтернатив семейства №2
(заполненная)
|
Факторы
|
КВ
|
Составить анкету для опроса
|
Провести простой опрос
|
Итого
|
|
Эффективность варианта
|
0,40
|
0,8
|
0,2
|
1
|
|
Финансовые затраты на реализацию
|
0,33
|
0,2
|
0,8
|
1
|
|
Затраты времени на проведение
|
0,27
|
0,6
|
0,4
|
1
|
|
Итоговые оценки
|
|
0,55
|
0,45
|
|
Дерево мероприятий №1 (семейство 2 часть 2)
Матрица опроса экспертов Rmax = 2
|
Критерии
|
Эксперт
|
|
1
|
2
|
3
|
4
|
5
|
|
Эффективность
варианта
|
1
|
2
|
3
|
1
|
2
|
|
Финансовые
затраты на реализацию
|
3
|
1
|
2
|
2
|
3
|
|
Затраты
времени на проведение
|
2
|
3
|
1
|
3
|
1
|
Матрица преобразованных рангов
|
Критерии
|
Эксперт
|
Сумма
|
КОВ
|
|
1
|
2
|
3
|
4
|
5
|
|
|
|
Эффективность
варианта
|
2
|
1
|
0
|
2
|
1
|
6
|
0,40
|
|
Финансовые
затраты на реализацию
|
0
|
2
|
1
|
1
|
0
|
4
|
0,27
|
|
Затраты
времени на проведение
|
1
|
0
|
2
|
0
|
2
|
5
|
0,33
|
|
|
|
|
|
|
|
15
|
1
|
|
|
|
|
|
|
|
|
|
аблица расчета альтернатив семейства
(незаполненная)
|
Факторы
|
КВ
|
Опросить всех близких по телефону
|
Опросить по 1 родственнику каждого друга
|
Итого
|
|
Эффективность варианта
|
0,27
|
|
|
|
|
Финансовые затраты на реализацию
|
0,40
|
|
|
|
|
Затраты времени на проведение
|
0,33
|
|
|
|
|
Итоговые оценки
|
|
|
|
|
Фактор 1 - Эффективность варианта
Матрица опроса экспертов Rmax = 2
|
Критерии
|
Эксперт
|
|
1
|
2
|
3
|
4
|
5
|
|
Опросить
всех близких по телефону
|
1
|
1
|
1
|
2
|
1
|
|
Опросить
по 1 родственнику каждого друга
|
2
|
2
|
2
|
1
|
2
|
Матрица преобразованных рангов
|
Критерии
|
Эксперт
|
Сумма
|
КВ
|
|
1
|
2
|
3
|
4
|
5
|
|
|
|
Опросить
всех близких по телефону
|
1
|
1
|
1
|
0
|
1
|
4
|
0,80
|
|
Опросить
по 1 родственнику каждого друга
|
0
|
0
|
0
|
1
|
0
|
1
|
0,20
|
|
|
|
|
|
|
|
5
|
1
|
|
|
|
|
|
|
|
|
|
Фактор 2 - Финансовые затраты на реализацию
Матрица опроса экспертов Rmax = 2
|
Критерии
|
Эксперт
|
|
1
|
2
|
3
|
4
|
5
|
|
Опросить
всех близких по телефону
|
1
|
2
|
1
|
1
|
1
|
|
Опросить
по 1 родственнику каждого друга
|
2
|
1
|
2
|
2
|
2
|
Матрица преобразованных рангов
|
Критерии
|
Эксперт
|
Сумма
|
КВ
|
|
1
|
2
|
3
|
4
|
5
|
|
|
|
Опросить
всех близких по телефону
|
1
|
0
|
1
|
1
|
1
|
4
|
0,80
|
|
Опросить
по 1 родственнику каждого друга
|
0
|
1
|
0
|
0
|
0
|
1
|
0,20
|
|
|
|
|
|
|
|
5
|
1
|
|
|
|
|
|
|
|
|
|
Фактор 3 - Затраты времени на проведение
Матрица опроса экспертов Rmax = 2
|
Критерии
|
Эксперт
|
|
1
|
2
|
3
|
4
|
5
|
|
Опросить
всех близких по телефону
|
2
|
2
|
2
|
2
|
1
|
|
Опросить
по 1 родственнику каждого друга
|
1
|
1
|
1
|
1
|
2
|
Матрица преобразованных рангов
|
Критерии
|
Эксперт
|
Сумма
|
КВ
|
|
1
|
2
|
3
|
4
|
5
|
|
|
|
Опросить
всех близких по телефону
|
0
|
0
|
0
|
0
|
1
|
1
|
0,20
|
|
Опросить
по 1 родственнику каждого друга
|
1
|
1
|
1
|
0
|
4
|
0,80
|
|
|
|
|
|
|
|
5
|
1
|
|
|
|
|
|
|
|
|
|
Таблица расчета альтернатив семейства
(заполненная)
|
Факторы
|
КВ
|
Опросить всех близких по телефону
|
Опросить по 1 родственнику каждого друга
|
Итого
|
|
Эффективность варианта
|
0,27
|
0,8
|
0,2
|
1
|
|
Финансовые затраты на реализацию
|
0,40
|
0,8
|
0,2
|
1
|
|
Затраты времени на проведение
|
0,33
|
0,2
|
0,8
|
1
|
|
Итоговые оценки
|
|
0,60
|
0,40
|
|
Результаты расчета и выбора эффективного
варианта.
Рисунок 6 - Результаты расчета и выбора
эффективного варианта
Полученные значения весомости каждого варианта
получены с учетом не только тех критериев (факторов), которые были
сформулированы при расчете каждого семейства, но и с учетом коэффициента
важности (КВ) каждого критерия. По результатам расчетов с учетом выбранных
факторов и их весомости наиболее эффективным является вариант «узнать пожелания
друзей относительно подарков, опросив всех его близких по телефону».
3.3 Определение эффективных
мероприятий во всех деревьях мероприятий
Рисунок 7 - Дерево мероприятий для подцели
«Составить список подарков с учетом пожеланий»
Самая эффективная альтернатива - Составить
список подарков с учетом части пожеланий и ограничиться суммой в 500 руб. на
человека (0,432).
новый год сетевой график
Рисунок 8 - Дерево мероприятий для подцели
«Купить подарки по списку»
Самая эффективная альтернатива - Купить подарки
лично в соответствии со списком и оплатить наличными (0,548).
Рисунок 9 - Дерево мероприятий для подцели
«Узнать пожелания всех друзей относительно праздничного стола»
Самая эффективная альтернатива - Узнать пожелания
всех друзей относительно праздничного стола, обзвонив их по телефону и учитывая
все пожелания (0,653).
Рисунок 10 - Дерево мероприятий для подцели
«Составить праздничное меню»
Самая эффективная альтернатива - Составить
праздничное меню с учетом всех пожеланий и сосредоточившись на закусках
(0,523).
Рисунок 11 - Дерево мероприятий для подцели
«Закупить все для праздничного стола и приготовить все в соответствии с меню»
Самая эффективная альтернатива - Закупить и
приготовить все для праздничного стола, привлекая к этому друзей - специалистов
по закускам (0,512).
Рисунок 12 - Дерево мероприятий для подцели
«Посоветоваться с друзьями»
Самая эффективная альтернатива - Посоветоваться
со всеми друзьями относительно мероприятий по телефону (0,672).
Рисунок 13 - Дерево мероприятий для подцели
«Составить список мероприятий»
Самая эффективная альтернатива - Составить
список мероприятий с походом на елку в карнавальных костюмах (0,672).
Рисунок 14 - Дерево мероприятий для подцели
«Распланировать праздничный вечер»
Самая эффективная альтернатива - Распланировать
праздничный вечер, уделив больше внимания играм на ловкость (например, игра в
«бирюльки» (0,65).
Полученные выше при расчете и анализе деревьев
мероприятий наиболее эффективные варианты мероприятий (имеющие большие веса
среди альтернативных вариантов каждого дерева) позволят нам сформировать
развернутый список работ по реализации всех выбранных мероприятий. Выполнение
всего комплекса этих мероприятий обеспечит нам достижение всех локальных
подцелей нижнего уровня дерева целей и, следовательно, главной цели. Итак, мы
имеем следующий список мероприятий:
«узнать пожелания друзей относительно подарков,
опросив всех его близких по телефону»;
«составить список подарков с учетом части
пожеланий и ограничиться суммой в 500 руб. на человека»;
«купить подарки лично в соответствии со списком
и оплатить наличными»;
«узнать пожелания всех друзей относительно
праздничного стола, обзвонив их по телефону и учитывая все пожелания»;
«составить праздничное меню с учетом всех
пожеланий и сосредоточившись на закусках»;
«закупить и приготовить все для праздничного
стола, привлекая к этому друзей - специалистов по закускам»;
«посоветоваться со всеми друзьями относительно
мероприятий по телефону»;
«составить список мероприятий с походом на елку
в карнавальных костюмах»;
«распланировать праздничный вечер, уделив больше
внимания играм на ловкость».
4. Сетевой график реализации
мероприятий
.1 Построение сетевого графика
|
обозначение
работы
|
наименование
работы
|
предшествующие
работы
|
|
а1
|
узнать
пожелания друзей относительно подарков, опросив всех его близких по телефону
|
-
|
|
а2
|
составить
список подарков с учетом части пожеланий и ограничиться суммой в 500 руб. на
человека
|
а1
|
|
а3
|
купить
подарки лично в соответствии со списком и оплатить наличными
|
а2
|
|
а4
|
узнать
пожелания всех друзей относительно праздничного стола, обзвонив их по
телефону и учитывая все пожелания
|
-
|
|
а5
|
составить
праздничное меню с учетом всех пожеланий и сосредоточившись на закусках
|
а4
|
|
а6
|
закупить
и приготовить все для праздничного стола, привлекая к этому друзей -
специалистов по закускам
|
а5
|
|
а7
|
посоветоваться
со всеми друзьями относительно мероприятий по телефону
|
-
|
|
а8
|
составить
список мероприятий с походом на елку в карнавальных костюмах
|
а7
|
|
а9
|
распланировать
праздничный вечер, уделив больше внимания играм на ловкость
|
а8
|
определим
длительность работ.
|
обозначение
работы
|
наименование
(содержание) работы
|
длительность,
дней
|
|
а1
|
узнать
пожелания друзей относительно подарков, опросив всех его близких по телефону
|
5
|
|
а2
|
составить
список подарков с учетом части пожеланий и ограничиться суммой в 500 руб. на
человека
|
2
|
|
а3
|
купить
подарки лично в соответствии со списком и оплатить наличными
|
5
|
|
а4
|
узнать
пожелания всех друзей относительно праздничного стола, обзвонив их по
телефону и учитывая все пожелания
|
10
|
|
а5
|
составить
праздничное меню с учетом всех пожеланий и сосредоточившись на закусках
|
5
|
|
а6
|
закупить
и приготовить все для праздничного стола, привлекая к этому друзей -
специалистов по закускам
|
7
|
|
а7
|
посоветоваться
со всеми друзьями относительно мероприятий по телефону
|
6
|
|
а8
|
составить
список мероприятий с походом на елку в карнавальных костюмах
|
4
|
|
а9
|
распланировать
праздничный вечер, уделив больше внимания играм на ловкость
|
2
|
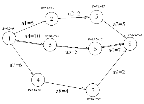
Составим сетевой график (рисунок 15).
Рисунок 15 - Сетевой график
Расчет численных характеристик сетевого графика,
оптимизация графика выполнения мероприятий
|
Работа
|
Длительность
|
Время
начала
|
Время
окончания
|
Резервы
|
Vнач
|
Vкон
|
|
|
Es
|
Ls
|
Ef
|
Lf
|
П
|
С
|
Н
|
E
|
L
|
E
|
L
|
|
а1
|
5
|
0
|
10
|
5
|
15
|
10
|
0
|
0
|
0
|
15
|
5
|
20
|
|
а2
|
2
|
5
|
15
|
7
|
17
|
10
|
0
|
0
|
5
|
15
|
7
|
17
|
|
а3
|
5
|
7
|
17
|
12
|
22
|
10
|
10
|
0
|
7
|
17
|
12
|
22
|
|
а4
|
10
|
0
|
0
|
10
|
10
|
0
|
0
|
0
|
0
|
0
|
10
|
10
|
|
а5
|
5
|
10
|
10
|
15
|
15
|
0
|
0
|
0
|
10
|
10
|
15
|
15
|
|
а6
|
7
|
15
|
15
|
22
|
22
|
0
|
0
|
0
|
15
|
15
|
22
|
22
|
|
а7
|
6
|
0
|
10
|
6
|
16
|
10
|
0
|
0
|
0
|
10
|
6
|
16
|
|
а8
|
4
|
6
|
16
|
10
|
20
|
10
|
0
|
0
|
6
|
16
|
10
|
20
|
|
а9
|
2
|
10
|
20
|
12
|
22
|
10
|
10
|
0
|
10
|
20
|
12
|
22
|
Критический путь: а4-а5-а6. Длина критического
пути равна 22 дням.
Рисунок 16 - Сетевой график с критическим путем
Критический путь найден. Выполнение работ одной
из работ а1, а2, а3 можно задержать на 10 дней без увеличения срока выполнения
всех работ.
Выполнение работ одной из работ а7, а8, а9 также
можно задержать на 10 дней без увеличения срока выполнения всех работ.
Заключение
Использование системного анализа для решения
разных проблем имеет очень большую важность. Он помогает выявить слабые места,
распределить приоритеты и избежать возможных ошибок.
В данной работе был разработан стратегический
план по достижению цели «Организация празднования Нового года».
Цель была детализирована (построено дерево
целей).
С помощью деревьев мероприятий были выявлены
эффективные мероприятия по достижению подцелей, достижение которых
автоматически ведет к достижению главной цели.
Для полученного набора эффективных мероприятий
был составлен сетевой график. Длина критического пути составила 22 дня.
Для сетевого графика были рассчитаны
количественные характеристики, позволяющие оптимизировать процесс выполнения
работ.
Список литературы
1.
Кричевский А.И. Системный анализ [Текст] / А.И. Кричевский. - Новосибирск,
НГУЭУ, 2005. - 124с.