Демография 2012-2013 год
Демография 2012-2013 год
Охарактеризовать основную тенденцию развития
двух демографических событий Хабаровского края, используя средние показатели
ряда динамики. Оценить изучаемые ряды динамики на устойчивость, используя
коэффициент корреляции рангов Спирмена.
Решение: По таблице распределения задач по
учебным годам вариант 1 для 2012-2013 года предусматривает ряды динамики -
"родившиеся" и "родившиеся больными" в период с 1992 года
по 2008 год, т.е. за 17 лет.
|
№п/п
|
Годы
|
Родилось
всего, чел.
|
Родилось
больными, чел.
|
|
1
|
1992
|
17604
|
3028
|
|
2
|
1993
|
15526
|
3205
|
|
3
|
1994
|
15785
|
4277
|
|
4
|
1995
|
14625
|
3987
|
|
5
|
1996
|
13257
|
3627
|
|
6
|
1997
|
12486
|
4065
|
|
7
|
1998
|
13358
|
4401
|
|
8
|
1999
|
11979
|
4359
|
|
9
|
2000
|
12400
|
4180
|
|
10
|
2001
|
13715
|
5167
|
|
11
|
2002
|
14453
|
5023
|
|
12
|
2003
|
15392
|
5137
|
|
13
|
2004
|
16049
|
5818
|
|
14
|
2005
|
15410
|
5774
|
|
15
|
2006
|
15558
|
5448
|
|
16
|
2007
|
16303
|
5520
|
|
17
|
2008
|
17067
|
5996
|
|
Сумма
|
25096779012
|
|
Анализируя эти ряды динамики, определим средние
показатели, для чего просуммируем столбцы родившихся и родившихся больными.
Средний уровень ряда динамики:
Средний абсолютный прирост за год:
Средний темп роста и прироста:
Т.о. в Хабаровском крае в этот
период ежегодно рождалось в городе в среднем 14762 чел., из них рождалось
больными 4648 чел., т.е. каждый год в среднем рождалось на 34 человека меньше,
а число больных из них ежегодно увеличивалось на 185 чел.
Темп прироста числа больных при
рождении составил в среднем 4,36% в год, а темп снижения числа рождений - 0,19%
в год.
Из анализа рядов динамики видно, что
при снижении численности родившихся и росте числа больных от рождения в
исследуемых рядах в отдельные годы наблюдается обратные явления - число больных
снижается, а число родившихся возрастает.
Это означает, что исследуемые ряды
динамики характеризуются неполной устойчивостью изменений.
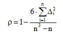
Оценим эту устойчивость, используя
коэффициент корреляции рангов Спирмена по формуле:
где
- разность рангов уровней изучаемого
демографического явления и номеров периодов времени; n = 17 - число уровней,
равное числу лет в рассматриваемом периоде времени.
Составим таблицу рангов для числа родившихся
больными. В первой строке размещены года с 1992 по 2008, которым присвоены
номера с 1 до 17. Т.к. тенденция в целом возрастающая, то рангам числа
присвоены номера с 1 по 17, начиная с меньшего числа родившихся больными. Так
наименьшее число больных (ранг 1) родилось в 1992 году (первый год ряда), а
наибольшее (ранг 17) - в 2008 году (17-ый год ряда).
|
годы
|
1
|
2
|
3
|
4
|
5
|
6
|
7
|
8
|
9
|
10
|
11
|
12
|
13
|
14
|
15
|
16
|
17
|
Сумма
|
|
ранг
(родившиеся больными)
|
1
|
2
|
7
|
4
|
3
|
5
|
9
|
8
|
6
|
12
|
10
|
11
|
16
|
15
|
13
|
14
|
17
|
-
|
|
разность
рангов
|
0
|
0
|
-4
|
0
|
2
|
1
|
-2
|
0
|
3
|
-2
|
1
|
1
|
-3
|
-1
|
2
|
2
|
0
|
|
|
квадрат
разности рангов
|
0
|
0
|
16
|
0
|
4
|
1
|
4
|
0
|
9
|
4
|
1
|
1
|
9
|
1
|
4
|
4
|
0
|
58
|
Аналогично для ряда "родившиеся".
|
годы
|
1
|
2
|
3
|
4
|
5
|
6
|
7
|
8
|
9
|
10
|
11
|
12
|
13
|
14
|
15
|
16
|
17
|
Сумма
|
|
ранг
(родилось)
|
17
|
11
|
13
|
8
|
4
|
3
|
5
|
1
|
2
|
6
|
7
|
9
|
14
|
10
|
12
|
15
|
16
|
-
|
|
разность
рангов
|
16
|
9
|
10
|
4
|
-1
|
-3
|
-2
|
-7
|
-7
|
-4
|
-4
|
-3
|
1
|
-4
|
-3
|
-1
|
-1
|
-
|
|
квадрат
разности рангов
|
256
|
81
|
100
|
16
|
1
|
9
|
4
|
49
|
49
|
16
|
16
|
9
|
1
|
16
|
9
|
1
|
1
|
634
|
Последовательность рангов для "родившихся
больными" не совпадает с такой же последовательностью для
"родившихся" поэтому разность рангов и квадраты этой разности
различны.
Т.о. устойчивость сравниваемых
динамических рядов отличается. Число родившихся больными имеет более устойчивую
динамику роста, чем динамика снижения численности, т.к. коэффициент ранговой
корреляции Спирмена для числа родившихся больными намного выше, чем для числа
родившихся всего.
Рассчитать среднегодовую численность
населения. Изучить структуру размещения населения. Рассчитать показатель
физической плотности, 50%-ной и 75%-ной значимой плотности населения. Сделать
выводы.
|
Муниципальное
образование, города, районы.
|
Площадь,
тыс. км2.
|
Численность
наличного населения края (на начало года, человек)
|
Среднегодовая
численность наличного населения края в 2004 году, чел.
|
|
|
2004
год
|
2005
год
|
|
|
Всего
по краю
|
787,6
|
1427200
|
1420230
|
1423715
|
|
г.
Хабаровск
|
0,4
|
580400
|
579047
|
579723,5
|
|
г.
Комсомольск-на-Амуре
|
0,3
|
277900
|
275908
|
276904
|
|
г.
Советская Гавань и Советско- Гаванский
|
15,6
|
46600
|
46282
|
46441
|
|
г.
Николаевск-на-Амуре и Николаевский
|
17,2
|
41400
|
40757
|
41078,5
|
|
г.
Амурск и Амурский
|
16,4
|
74100
|
73354
|
73727
|
|
г.
Бикин и Бикинский
|
2,5
|
28200
|
28220
|
28210
|
|
Аяно-Майский
|
167,2
|
3100
|
3109
|
3104,5
|
|
Ванинский
|
25,7
|
41800
|
41581
|
41690,5
|
|
Верхнебуреинский
|
63,5
|
32800
|
32394
|
32597
|
|
Вяземский
|
4,3
|
26000
|
25780
|
25890
|
|
Комсомольский
|
25,2
|
31800
|
31746
|
31773
|
|
им.
Лазо
|
31,8
|
51500
|
50902
|
51201
|
|
Нанайский
|
27,6
|
19500
|
19684
|
19592
|
|
Охотский
|
159,0
|
11700
|
11391
|
11545,5
|
|
им.
П. Осипенко
|
34,6
|
6500
|
6480
|
6490
|
|
Солнечный
|
31,1
|
36100
|
36049
|
36074,5
|
|
Тугуро-Чумиканский
|
96,1
|
2800
|
2708
|
2754
|
|
Ульчский
|
39,1
|
23800
|
23551
|
23675,5
|
30,0
|
91200
|
91287
|
91243,5
|
Решение: Для варианта 1 предлагается провести
изучение по 2004 году. В таблице условия приведены данные на начало года (для
2004 года численность "всего" в методичке дана с ошибкой в
суммировании).
Очевидно, чтобы получить среднегодовую
численность населения надо взять ещё данные на начало 2005 года и определить
среднее арифметическое между началом 2004 и 2005 годов.
Среднегодовая численность населения края
записана в правом столбце исходной таблицы.
Физическая плотность населения определяется
отношением численности населения к площади территории по формуле:
В таблице по этой формуле определена
физическая плотность населения по каждому региону и в целом по Хабаровскому
краю.
|
Муниципальное
образование, города, районы.
|
Площадь,
тыс. км2.
|
Среднегодовая
численность наличного населения края в 2004 году
|
Физическая
плотность населения, чел/км2.
|
|
Всего
по краю
|
787,6
|
1423715
|
1,81
|
|
г.
Хабаровск
|
0,4
|
579723,5
|
1449,31
|
|
г.
Комсомольск-на-Амуре
|
0,3
|
276904
|
923,01
|
|
г.
Советская Гавань и Советско - Гаванский
|
15,6
|
46441
|
2,98
|
|
г.
Николаевск-на-Амуре и Николаевский
|
17,2
|
41078,5
|
2,39
|
|
г.
Амурск и Амурский
|
16,4
|
73727
|
4,50
|
|
г.
Бикин и Бикинский
|
2,5
|
28210
|
11,28
|
|
Аяно-Майский
|
167,2
|
3104,5
|
0,02
|
|
Ванинский
|
25,7
|
41690,5
|
1,62
|
|
Верхнебуреинский
|
63,5
|
32597
|
0,51
|
|
Вяземский
|
4,3
|
25890
|
6,02
|
|
Комсомольский
|
25,2
|
31773
|
1,26
|
|
им.
Лазо
|
31,8
|
51201
|
1,61
|
|
Нанайский
|
27,6
|
19592
|
0,71
|
|
Охотский
|
159,0
|
11545,5
|
0,07
|
|
им.
П. Осипенко
|
34,6
|
6490
|
0,19
|
|
Солнечный
|
31,1
|
36074,5
|
1,16
|
|
Тугуро-Чумиканский
|
96,1
|
2754
|
0,03
|
|
Ульчский
|
39,1
|
23675,5
|
0,61
|
|
Хабаровский
|
30,0
|
91243,5
|
3,04
|
Для определения 50%-ной и 75%-ной значимой
плотности населения, ранжируем районы края по численности, начиная с самого
многонаселённого города Хабаровска.
|
Муниципальное
образование, города, районы.
|
Площадь,
тыс. км2.
|
Среднегодовая
численность наличного населения края в 2004 году, чел
|
Среднегодовая
численность населения нарастающим итогом, чел.
|
|
г.
Хабаровск
|
0,4
|
579723,5
|
579723,5
|
|
г.
Комсомольск-на-Амуре
|
0,3
|
276904
|
856627,5
|
|
Хабаровский
|
30
|
91243,5
|
947871
|
|
г.
Амурск и Амурский
|
16,4
|
73727
|
1021598
|
|
им.
Лазо
|
31,8
|
51201
|
1072799
|
|
г.
Советская Гавань и Советско-Гаванский
|
15,6
|
46441
|
1119240
|
|
Ванинский
|
25,7
|
41690,5
|
1160931
|
|
г.
Николаевск-на-Амуре и Николаевский
|
17,2
|
41078,5
|
1202009
|
|
Солнечный
|
31,1
|
36074,5
|
1238084
|
|
Верхнебуреинский
|
63,5
|
32597
|
1270681
|
|
Комсомольский
|
25,2
|
31773
|
1302454
|
|
г.
Бикин и Бикинский
|
2,5
|
28210
|
1330664
|
|
Вяземский
|
4,3
|
25890
|
1356554
|
|
Ульчский
|
39,1
|
23675,5
|
1380229
|
|
Нанайский
|
27,6
|
19592
|
1399821
|
|
Охотский
|
159
|
11545,5
|
1411367
|
|
им.
П. Осипенко
|
34,6
|
6490
|
1417857
|
|
Аяно-Майский
|
167,2
|
3104,5
|
1420961
|
|
Тугуро-Чумиканский
|
96,1
|
2754
|
1423715
|
50% численности всего населения края:
,5·1423715 = 711858 чел.
% численности всего населения края
,75·1423715 = 1067786 чел.
Т.о. 50%-ная значимая плотность будет определена
только городами Хабаровск и Комсомольск, имеющими в сумме 856628 чел, что
больше 50% населения края. Площадь территории этих городов:
,4 + 0,3 = 0,7 тыс. км2 = 700 км2.
Тогда 50%-ная плотность составит:
%-ная значимая плотность будет
определена только 5-ю районами ранжированной таблицы, суммарное население по
которым составляет 1072799 чел. Площадь территории этих районов:
,4+0,3+30+16,4+31,8 = 78,9 тыс. км2
= 78900 км2.
Тогда 75%-ная плотность составит:
Из расчётов следует, что после
городов Хабаровска и Комсомольска, наибольшая плотность населения имеется в
Бикинском и Вяземском районе.
Большинство районов края имеют очень
малую плотность населения, поэтому в целом по краю физическая плотность
населения составляет лишь 1,81 чел/км2.
При этом более 50% населения живёт в
городах Хабаровске и Комсомольске, поэтому 50%-ная плотность населения края
составила 1224 чел/км2.
% населения края проживает кроме
крупнейших городов в районах: Хабаровском, Амурском, им. Лазо, поэтому 75%-ная плотность
населения края составила 13,6 чел/км2.
Рассчитать средний возраст матери
при рождении ребёнка, общий коэффициент рождаемости, специальный коэффициент
рождаемости, возрастные коэффициенты рождаемости, кумулятивные коэффициенты
рождаемости и суммарный коэффициент рождаемости за два года в соответствии с
вариантом. Охарактеризовать уровень рождаемости, используя приложение А. Дать
приблизительную оценку воспроизводства населения, учитывая, что критическое
значение суммарного коэффициента рождаемости составляет 2,12 ребенка.
Охарактеризовать динамику специального коэффициента рождаемости и определить
роль демографических факторов в этой динамике (индексы переменного, постоянного
составов и структурных сдвигов).
За базисный год принять 1980 год.
Сделать выводы.
Решение: По таблице распределения
задач по учебным годам вариант 1 для 2012-2013 года предусматривает
рассмотрение данных за 2007 год.
|
Возраст,
лет
|
Число
родившихся у матерей в возрасте
|
Среднегодовая
численность женщин в возрасте, чел.
|
|
1980
год
|
2007
год
|
1980
год
|
2007
год
|
|
До
20
|
3351
|
1785
|
54236
|
52468
|
|
20
-
24
|
10663
|
5385
|
65615
|
64599
|
|
25
-
29
|
7488
|
5023
|
71683
|
60460
|
|
30
-
34
|
3637
|
2860
|
61633
|
56484
|
|
35
-
39
|
801
|
1082
|
38549
|
56484
|
|
40
-
44
|
291
|
151
|
55080
|
48889
|
|
45
-
49
|
8
|
16
|
36671
|
55799
|
|
Сумма
|
2623916302383467395183
|
|
|
|
Решение: Средний возраст матери при рождении
ребёнка можно определить по формуле средней арифметической взвешенной, если
перейти от интервального ряда возраста к дискретному по середине интервалов.
При этом для первого интервала, учитывая пятилетний шаг и начало фертильного
возраста с 15 лет, примем середину интервала равной 17 лет.
Тогда для 1980 года средний возраст матери при
рождении ребёнка составит:
Для 1995 года средний возраст матери
при рождении ребёнка составит:
Общий коэффициент рождаемости (ОКР),
который определяется отношением числа родившихся (N) к среднегодовой
численности всего населения (Т) по данным условия к задаче №3 определить
невозможно, т.к. нет данных по общей численности населения, а есть данные
только по среднегодовой численности женщин фертильного возраста.
Специальный коэффициент рождаемости
определяется числом родившихся у каждой 1000 женщин фертильного возраста в
среднегодовом исчислении:
, где
- среднегодовая численность женщин в
фертильном (репродуктивном) возрасте, т.е. в возрасте от 15 до 49 лет.
Для определения специального
коэффициента рождаемости просуммируем данные по столбцам таблицы. Тогда
специальный коэффициент рождаемости в 1980 и 1995 году составит:
Возрастные коэффициенты рождаемости
показывают среднее число рождений у женщин в возрасте х лет
, где
- число родившихся детей у женщин в
возрасте х лет;
-среднегодовая численность женщин в
возрасте х лет.возрастные коэффициенты рождаемости
Кумулятивные (накопленные) коэффициенты
рождаемости показывает число рождений у женщин гипотетического поколения
достигших z лет, за всю предшествующую жизнь;
,
где n = 5 - длина возрастного интервала; Fx-
возрастные коэффициенты рождаемости.
Суммарный коэффициент рождаемости показывает,
сколько детей рожает в среднем одна женщина за всю свою жизнь от 15 до 50 лет
при условии, что на всем протяжении репродуктивного периода жизни данного
поколения возрастные уровни рождаемости остаются неизменными на уровне
расчётного периода.
,
где n = 5 - длина возрастного
интервала.
Возрастные и кумулятивные
коэффициенты рождаемости определены в таблице:
|
Возраст,
лет
|
Число
родившихся у матерей в возрасте
|
Среднегодовая
численность женщин в возрасте, чел.
|
Коэффициенты
рождаемости
|
|
|
|
возрастной
|
кумулятивный
|
|
1980
год
|
2007
год
|
1980
год
|
2007
год
|
1980
|
2007
|
1980
|
2007
|
|
До
20
|
3351
|
1785
|
54236
|
52468
|
61,8
|
34,02
|
-
|
-
|
|
20
-
24
|
10663
|
5385
|
65615
|
64599
|
162,5
|
83,36
|
1,121
|
0,587
|
|
25
-
29
|
7488
|
5023
|
71683
|
60460
|
104,5
|
83,08
|
1,644
|
1,002
|
|
30
-
34
|
3637
|
2860
|
61633
|
56484
|
59
|
50,63
|
1,939
|
1,255
|
|
35
-
39
|
801
|
1082
|
38549
|
56484
|
20,8
|
19,16
|
2,043
|
1,351
|
|
40
-
44
|
291
|
151
|
55080
|
48889
|
5,3
|
3,09
|
2,069
|
1,367
|
|
45
-
49
|
8
|
16
|
36671
|
55799
|
0,2
|
0,29
|
2,07
|
1,368
|
|
Сумма
|
26239
|
16302
|
383467
|
395183
|
68,4
|
41,25
|
-
|
-
|
Для возраста 45 - 49 лет кумулятивный
коэффициент рождаемости является одновременно суммарным коэффициентом
рождаемостью. Например, для 2007 года:
Т.к. специальный коэффициент
рождаемости в 1980 году лежит в интервале 65 - 100 ‰, а в 2007 году менее 64 ‰
(см табл. А приложения), то уровень рождаемости в 1980 году следует оценить как
средний, а в 2007 году как низкий.
Т.о. не обеспечивается простое
воспроизводство населения, при этом уровень воспроизводства в 2007 году
снизился по сравнению с 1980 годом.
Динамика специального коэффициента
рождаемости отрицательна, т.е. в 2007году он оказался ниже, чем в 1980 году
(41,25 < 68,4).
Индекс специального коэффициента
рождаемости переменного состава определяется отношением средних специальных
коэффициентов рождаемости:
Индекс специального коэффициента
рождаемости постоянного состава определится отношением:
Индекс структурных сдвигов
определится отношением:
Расчёт этих индексов показал, что
специальный коэффициент рождаемости в 2007 году в общем снизился. Это снижение
произошло на 34,4% за счёт снижения возрастных коэффициентов рождаемости -
(индекс постоянного состава) и за счёт структурных сдвигов в возрастных группах,
вызвавших снижение коэффициента рождаемости на 8,2% (индекс структурных
сдвигов). Обе причины дали в итоге общее снижение на [(1-0,603)·100] = 39,7%.
Рассчитать общий коэффициент
смертности. Дать оценку уровня смертности, используя приложение А. Определить
возрастные коэффициенты смертности, стандартизованный прямым методом
коэффициент смертности, при этом за стандарт принять структуру населения в 1980
году.
|
Возраст,
лет
|
2007
год
|
|
Число
умерших, чел.
|
Среднегодовая
численность населения, чел
|
Возрастные
коэффициенты смертности
|
|
0
-
4
|
282
|
76
296
|
3,696
|
|
5
-
9
|
34
|
61
581
|
0,552
|
|
10
-
14
|
58
|
67
971
|
0,853
|
|
15
-
19
|
164
|
117
532
|
1,395
|
|
20
-
24
|
341
|
141
478
|
2,410
|
|
25
-
29
|
482
|
126
371
|
3,814
|
|
30
-
34
|
640
|
112
539
|
5,687
|
|
35
-
39
|
726
|
98
451
|
7,374
|
|
40
-
44
|
955
|
94
886
|
10,065
|
|
45
-
49
|
1
347
|
106
005
|
12,707
|
|
50
-
54
|
1
718
|
104
205
|
16,487
|
|
55
-
59
|
2
080
|
95
900
|
21,689
|
|
60
-
64
|
1
430
|
51
127
|
27,970
|
|
65
-
69
|
2
397
|
62
726
|
38,214
|
|
70
-
74
|
2
016
|
38
420
|
52,473
|
|
75
-
79
|
2
237
|
27
637
|
80,942
|
|
80
+
|
3
116
|
14
617
|
213,176
|
|
Сумма
|
20023
|
1397742
|
14,325
|
Решение: Общий коэффициент смертности (ОКС)
определяется отношением числа умерших к среднегодовой численности населения и
показывает среднее число смертей на 1000 человек населения. Для его определения
просуммируем столбцы таблицы:
, где
М - число умерших;
-
среднегодовая численность населения.
Возрастные коэффициенты смертности
определены в таблице по этой же формуле для каждого интервала возраста.
Для определения стандартизованного
коэффициента смертности используем структуру населения 1980 года, в котором
сумма весовых долей населения
|
1980
год
|
Произведение
возрастных коэффициентов смертности 2007 г на доли в населении 1980 года
|
|
Вораст,
лет
|
Число
умерших, чел.
|
Среднегодовая
численность населения, чел
|
Доля
в населении
|
|
|
0
-
4
|
337
|
125
413
|
0,08975
|
0,3317
|
|
5
-
9
|
76
|
115
736
|
0,08282
|
0,0457
|
|
10
-
14
|
78
|
97
298
|
0,06963
|
0,0594
|
|
15
-
19
|
241
|
11
2417
|
0,08045
|
0,1123
|
|
20
-
24
|
397
|
153
141
|
0,10959
|
0,2641
|
|
25
-
29
|
426
|
149
642
|
0,10709
|
0,4085
|
|
30
-
34
|
690
|
127
374
|
0,09115
|
0,5184
|
|
35
-
39
|
958
|
79
597
|
0,05696
|
0,4200
|
|
40
-
44
|
1
294
|
110
710
|
0,07923
|
0,7974
|
|
45
-
49
|
1
403
|
69
803
|
0,04995
|
0,6347
|
|
50
-
54
|
1
311
|
78
261
|
0,05601
|
0,9234
|
|
55
-
59
|
2
203
|
50
737
|
0,03631
|
0,7875
|
|
60
-
64
|
1
729
|
39
564
|
0,02831
|
0,7918
|
|
65
-
69
|
2
438
|
37
286
|
0,02668
|
1,0195
|
|
70
-
74
|
1
856
|
22
807
|
0,01632
|
0,8564
|
|
75
-
79
|
1
742
|
14
768
|
0,01057
|
0,8556
|
|
80
+
|
3
185
|
10
846
|
0,00776
|
1,6542
|
|
Сумма
|
20364
|
1397380
|
1,000
|
10,4807
|
Тогда стандартизованный коэффициент смертности
прямым методом определится произведением долей населения 1980 года на
возрастные коэффициенты смертности 2007 года по формуле:
Сравнивая данные приложения А с
рассчитанным стандартизованным коэффициентом смертности, можно сделать вывод о
среднем уровне смертности в регионе.
Определить коэффициент младенческой
смертности в Хабаровском крае в 2006 году. Численность родившихся в 1988 г. -
28 389 чел., 1994 г. - 15 785 чел., 1999 г. - 11 979 чел., 2005 г. - 15 410
чел., 2007 г. - 16 303 чел.
Сделать выводы о динамике данного
показателя по сравнению с 1989 годом.
Дать оценку уровня младенческой
смертности, используя приложение 1.
|
Годы
|
Родилось,
чел.
|
Умерло
детей в возрасте до 1 года
|
|
|
Всего
|
в
том числе из числа родившихся в предыдущем году
|
|
1989
|
26205
|
480
|
34
|
|
2006
|
15558
|
191
|
34
|
Решение: Коэффициент младенческой смертности
грубым методом определится по формуле:
где 
- число умерших детей в возрасте до
1 года в текущем году, т.е. в году, для которого определяется коэффициент
младенческой смертности;
- численность родившихся детей в
отчетном и предыдущем году соответственно.
Для использования метода Ратса
используем данные о числе родившихся в данном и предыдущем году.
Тогда коэффициент младенческой
смертности для 1989 года и для 2006 года по методу Ратса определится по
формуле:
Имеющаяся информация о числе умерших детей в
данном году, которые родились тоже в данном году и которые родились в
предыдущем году, позволяет использовать методику Государственного комитета по
статистике. По этой методике коэффициент младенческой смертности рассчитывается
как сумма двух независимых коэффициентов, первый из которых равен отношению
числа умерших в данном году из совокупности родившихся в прошлом, а второй -
отношению числа умерших в данном году из совокупности родившихся также в данном
году:
Т.о. коэффициент младенческой
смертности, определённый грубым методом оказался выше, чем методом Ратса для
1989 года, но ниже для 2006 года. Коэффициенты младенческой смертности по
методике Госкомстата имеют средние значения по сравнению с двумя предыдущими
методами.
Из расчётов следует, что
младенческая смертность в 2006 году существенно ниже, чем в 1989 году.
Полученные коэффициенты младенческой смертности (менее 20‰) следует считать
"весьма низкими".
По фрагментам таблицы смертности
Хабаровского края охарактеризовать динамику вымирания населения, рассчитав
медиану предстоящей продолжительности жизни (вероятную продолжительность жизни)
для новорождённых мальчиков и девочек, а также абсолютное изменение этого
показателя по сравнению с 1957 годом.
Определить долю мужчин, женщин,
доживающих до выхода на пенсию, через пять лет после выхода на пенсию. Сделать
выводы.
|
Число
доживающих женщин по таблицам смертности
|
|
Возраст,
лет
|
Мужчины
|
Возраст,
лет
|
Женщины
|
|
1957
год
|
2007
год
|
|
1957
год
|
2007
год
|
|
0
|
100
000
|
100
000
|
0
|
100
000
|
100
000
|
|
59
|
66
809
|
53
799
|
55
|
85
330
|
84
488
|
|
60
|
65
143
|
51
955
|
60
|
81
452
|
79
433
|
|
61
|
63
397
|
49
682
|
74
|
56
794
|
55
686
|
|
65
|
55
540
|
41
248
|
75
|
54
072
|
53
220
|
|
66
|
53
404
|
38
769
|
76
|
51
264
|
50
322
|
|
67
|
51
203
|
36
854
|
77
|
48
337
|
47
524
|
|
68
|
48
963
|
34
696
|
-
|
|
|
население прирост рождаемость
Решение: Медиана предстоящей продолжительности
жизни населения (вероятная продолжительность предстоящей жизни) показывает
число лет, которое проживет после возраста х лет ровно половина достигших этого
возраста:
, где
- медиана предстоящей
продолжительности жизни (вероятная продолжительность предстоящей жизни);
,
- соседние табличные числа
доживающих, из которых первое несколько больше, а второе несколько меньше
;- целая
часть
или
разность между возрастом а + b, и возрастом а = 50 лет для которого требуется
определить величину вероятной продолжительности жизни.
Медиану предстоящей
продолжительности жизни населения, дожившего до 50 лет в 1957 году, определим
из условия, что:
- половина новорождённых мальчиков;
величина несколько большая, чем
для мужчин
1957 года
- величина несколько меньшая, чем
для мужчин
1957 года= 67 - 0 = 67 лет - разность между расчётным возрастом (0 лет) и
возрастом, при котором число доживших окажется равно
:
Аналогично для женщин 1957 года:
Также для 2007 года
для мужчин:
для женщин:
Т.о. по сравнению с 1957 годом
продолжительность предстоящей жизни в 2007 году сократилась на 67,5 - 60,9 =
6,6 года для мужчин и не изменилась для женщин 76,4 - 76,4 = 0.
До выхода на пенсию в 1957 году
доживало 65,14% мужчин (до возраста 60 лет) и 85,3% женщин (до возраста 55
лет). Ещё пять лет жило 55,5% и 81,5% женщин.
В 2007 году доживало до пенсии лишь
51,96% мужчин и 84,49% женщин, а ещё пять лет жило 41,25% мужчин и 79,43%
женщин.
Т.о. расчёт показал, что медиана предстоящей
продолжительности жизни в 2007 году ниже, чем в 1957 году. В 1957 году до
пенсии доживало более 65,2% мужчин и более 85,3% женщин, а к 2007 году эти
показатели снизились до 52% для мужчин и 84,5% для женщин.
Рассчитать брутто-коэффициент,
нетто-коэффициент воспроизводства населения, показатель экономичности режима
воспроизводства.
|
Возраст,
лет
|
2007
год
|
|
По
таблицам смертности среднее число живущих женщин в возрасте, лет.
|
Возрастные
коэффициенты рождаемости, ‰
|
|
15
-
19
|
98
081
|
29,0
|
|
20
-
24
|
97
565
|
86,5
|
|
25
-
29
|
96
761
|
65,5
|
|
30
-
34
|
95
544
|
37,1
|
|
35
-
39
|
93
876
|
12,6
|
|
40
-
44
|
91
800
|
2,2
|
|
45
-
49
|
89
416
|
0,1
|
Доля девочек среди родившихся - 0,484.
Решение: Брутто-коэффициент воспроизводства
населения показывает число девочек, которое рожает в среднем одна женщина за
всю свою жизнь при условии, что никто из женщин и их дочерей не умирает до
конца репродуктивного периода жизни. Он определяется по формуле:
,
где δ - доля девочек
среди родившихся детей; СКР - суммарный коэффициент рождаемости:
где n = 5 лет - длина возрастного
интервала; Fx - возрастные коэффициенты рождаемости.
Нетто-коэффициент воспроизводства
населения показывает число девочек, которое рожает в среднем одна женщины за
всю свою жизнь при сложившемся уровне смертности женщин.
, где
- числа живущих женщин из таблиц
смертности, которые служат поправкой на смертность; l0 - корень таблицы
смертности, равный 100000.
Т.к. нетто-коэффициент меньше 1, то
поколение детей численно меньше, чем родительское, т.е. наблюдается суженное
воспроизводство населения, для которого характерно возобновление населения во
все уменьшающихся масштабах. Показатель экономичности режима воспроизводства
оценивает число девочек, которое надо родить одной женщине, чтобы обеспечить
хотя бы простое воспроизводство населения:
Литература
.
Борисов В.А. Демография. Учебник для вузов. - М.: Нота Бене Медиа Трейд
Компания, 2003.
.
Глушкова В.Г. Демография. Уч. пособие для ВУЗов: М. Омега-Л 2006.
.
Кумачева О.В. Демографическая статистика. Учебник для ВУЗов: М.: Кнорус, 2010.
.
Социальная статистика: Учебник/ Под ред. чл.-корр. РАН И.И. Елисеевой. - М.:
Финансы и статистика, 2003.
.
Харченко Л.П. Демография: Уч. пособие. - М. Омега-Л, 2007.