Выбор роботизированного либо гибкого автоматизированного производства на основе расчета календарно-плановых нормативов
Введение
Цель данного курсового проекта: произвести выбор роботизированного (режим
работы 2-хсменный) либо гибкого автоматизированного производства (режим работы
3-хсменный) на основе расчёта календарно-плановых нормативов.
Задача курсовой работы: определение эффективности. Для этого в процессе
выполнения курсового проекта необходимо описать объекты производства и
технологического процесса, произвести расчет календарно-плановых нормативов,
расчет и планировку производственной площади участка, расчет мощности,
потребляемой оборудованием, расчет численности производственного персонала,
расчет капитальных вложений, расчет себестоимости продукции, а также расчет
годового экономического эффекта от внедрения гибкого автоматизированного
участка.
Особенность организации гибкого производства сводится к тому, что на
участке обрабатываются детали разных наименований или различных типоразмеров. А
формирование комплектов деталей производится в зависимости от технологии их
обработки. Желательно создавать комплекты деталей, которые возможно
обрабатывать по одной маршрутной технологии.
Все итоговые значения сводятся в таблицу «Основные технико-экономические
показатели работы участка», которая представлена в девятой главе.
1. Краткое
описание объектов производства и технологического процесса
Согласно заданию к курсовой работе номенклатура выпускаемых участком
деталей за плановый период состоит из двух наименований. Обозначение и
наименование детали, вид заготовки, марка материала, норма расхода, чистый вес
детали, оптовые цены за килограмм материала и килограмм отходов сведены в
таблицу 1.1.
Таблица 1.1 - Исходные данные
|
Обозначение детали
|
Наименование детали
|
Вид заготовки
|
Материал (марка)
|
Норма расхода, кг
|
Чистый вес детали, кг
|
Оптовая цена за килограмм
материала, у.е.
|
Оптовая цена за килограмм
отходов, у.е.
|
|
|
Шлицевый конец
|
Поковка
|
Ст. 45х
|
4,3
|
3,5
|
0,12
|
0,027
|
|
|
Шлицевый конец
|
Поковка
|
Ст. 45х
|
4,5
|
3,7
|
0,12
|
0,027
|
Описание технологического процесса изготовления каждого типоразмера
детали представлено в таблице 1.2. Для каждой операции указывается
технологическое оборудование, разряд работ по операциям и нормы времени по
вариантам (базовому и проектируемому). Причем в таблице 2 приводится структура
нормы времени на операцию - основное (машинное) время
, вспомогательное (ручное или
роботизированное) время
и время на переналадку оборудования
.
Таблица 1.2 - Технологические процессы изготовления деталей и модели
оборудования
|
Наименование операции
|
Разряд раб.
|
№ детали
|
Базовый вариант
|
Проектируемый вариант
|
|
|
|
Модель (марка)
|
Затраты времени, мин
|
Модель (марка)
|
Затраты времени, мин
|
|
|
|
|
|
|
|
|
|
|
|
|
|
|
1. Фрезерная
|
2
|
|
65А60Ф4-11
|
0,75
|
0,25
|
1,00
|
5,0
|
65А80ПМФ4
|
0,50
|
0,10
|
0,60
|
3,0
|
|
2
|
|
|
1,05
|
0,35
|
1,40
|
5,0
|
|
1,00
|
0,20
|
1,20
|
3,0
|
|
2. Токарная
|
3
|
|
1А751Ф3
|
1,80
|
0,60
|
2,40
|
5,0
|
16Б16Т1С1РМ1
|
1,40
|
0,20
|
1,60
|
3,0
|
|
1.
|
3
|
|
|
2,70
|
0,90
|
3,60
|
5,0
|
|
2,20
|
0,30
|
2,50
|
3,0
|
|
3. Кругло-шлифовальная
|
4
|
|
3У12ВФ11
|
2,10
|
0,70
|
2,80
|
5,0
|
3М152МФ2-01
|
1,60
|
0,30
|
1,90
|
3,0
|
|
4
|
|
|
3,40
|
1,10
|
4,50
|
5,0
|
|
3,00
|
0,30
|
3,30
|
3,0
|
|
4. Шлифовальная
|
4
|
|
345А-01
|
4,00
|
1,30
|
5,30
|
5,0
|
М345АР-01Б
|
3,45
|
0,55
|
4,00
|
3,0
|
|
4
|
|
|
4,50
|
1,50
|
6,00
|
5,0
|
|
4,00
|
0,60
|
4,60
|
3,0
|
2. Расчет
календарно-плановых нормативов
2.1 Расчет
эффективного фонда времени работы оборудования
Вначале определяем календарный фонд времени на 2013 год. Он составляет
дней. Затем определяем номинальный
фонд времени работы оборудования по следующей формуле
где
- количество выходных и праздничных дней.
Для определения
воспользуемся производственным календарем 2013 года.
Получаем, что в расчетном году число 8 праздничных дней и 104 выходной день,
что в итоге составляет 112 нерабочих дней.
Подставляя в формулу известные данные, получим
дней
В часах номинальный годовой фонд времени работы оборудования при работе в
одну смену равен
,
где
- количество полных рабочих дней (
;
- количество предпраздничных, сокращенных на один час дней (
;
- продолжительность рабочей смены, ч (
;
- продолжительность предпраздничной рабочей смены, ч (
.
Тогда
ч
Годовой эффективный фонд времени работы оборудования в часах определяем
по формуле:
,
где
- коэффициент, учитывающий время простоя оборудования в
плановом ремонте (для базового варианта
, для проектируемого варианта
.
Тогда:
ч;
ч.
Годовой эффективный фонд времени в днях с учётом простоев оборудования в
связи с плановыми ремонтами определяем по формуле
2.2 Расчёт
количества партий деталей и количества переналадок оборудования
Количество партий деталей зависит от номенклатуры обрабатываемых деталей
(Н) и от количества дней (смен) работы оборудования (
, если принять, что запуск (выпуск)
всех видов деталей будет осуществляться ежедневно (ежемесячно). Для базового
варианта
. В связи с тем, что организация
работы гибкого автоматизированного производства не требует большой численности
рабочих-операторов и участок оснащен весьма дорогостоящим оборудованием,
целесообразно осуществлять производственный процесс в три смены (
). При ежесменном запуске деталей
количество партий определяется по формуле
,
где
- число рабочих смен в сутки.
Тогда
,
.
Количество переналадок оборудования на каждой операции (
) будет равно количеству партий
деталей, т.е.:
,
.
2.3 Расчёт
годового фонда времени, затрачиваемого на переналадку оборудования
Расчет ведется по формуле
где
- время на переналадку оборудования на соответствующей
операции, устанавливаемое на партию деталей, мин;
- количество переналадок оборудования на соответствующей
операции в течение планового периода.
Расчет фонда времени, затрачиваемого на переналадку оборудования, запишем
в табличной форме (таблица 2.3.1).
Таблица 2.3.1 - Расчет фонда времени, затрачиваемого на переналадку
оборудования
|
Наименование операции
|
Базовый вариант
|
Проектируемый вариант
|
|
,мин
|
, шт
|
,ч
|
, мин
|
, шт
|
,ч
|
|
1.Фрезерная
|
5
|
911
|
75,9
|
3
|
1366
|
68,31
|
|
2.Токарная
|
5
|
911
|
75,9
|
3
|
1366
|
68,31
|
|
3.Кругло-шлифовальная
|
5
|
911
|
75,9
|
3
|
1366
|
68,31
|
|
4.Шлифовальная
|
5
|
911
|
75,9
|
3
|
1366
|
68,31
|
2.4 Расчет
производственной программы
Гибкие производственные участки обычно создаются для обработки деталей
различных типоразмеров, которые используются для изготовления изделия.
Следовательно, программы выпуска по каждому типоразмеру или равны или кратны
между собой.
Расчет производственной программы производим по ведущей группе
оборудования. За ведущую группу оборудования обычно принимают оборудование на
той операции, у которой суммарное оперативное время по всей номенклатуре
деталей наименьшее. В нашем случае за ведущую группу принимается оборудование
на первой операции в проектируемом варианте, т.к. на этой операции наименьшее
суммарное оперативное время по всем деталям.
Так как программы по типоразмерам равны, т.е.
, то их величину можно определить
исходя из следующего уравнения:
,
,
где
- программа j-ого
типоразмера деталей на плановый (годовой) период времени, шт;
- оперативное время по каждому типоразмеру деталей ведущей
группы оборудования проектируемого варианта, согласно которой определяется
мощность участка по отдельной операции технологического процесса, мин.
Расчёт производственной программы производим исходя из показателей
базового варианта.
Таким образом, получим
Расчет производственной программы производим исходя из показателей
проектируемого варианта.
Таким образом, получим
2.5 Расчет
размера партии обрабатываемых деталей
Размер партии деталей j-ого
наименования определяется по формуле
где
- количество партий деталей j-ого типоразмера.
Таким образом, для базового варианта получим
А для проектируемого варианта:
2.6 Расчет
периодичности (ритмичности) чередования партий деталей
Расчет периодичности чередования партий деталей производим по формуле
Подставив значения, получим
2.7 Расчет
необходимого количества единиц оборудования
Количество единиц оборудования определяется по формуле
где H - номенклатура обрабатываемых
деталей;
- программа j-го
наименования деталей, шт;
- оперативное время на i-ой операции j-ого наименования деталей, мин;
- величина времени, затрачиваемого на переналадку
оборудования на каждой i-ой
операции, ч;
- коэффициент выполнения норм времени.
Расчет количества единиц оборудования по операциям технологического
процесса произведем в табличной форме (таблица 2.7.1 и таблица 2.7.2).
Таблица 2.7.1 - Расчет необходимого количества единиц оборудования и
коэффициента его загрузки (базовый вариант)
|
Расчетные показатели
|
Программа выпуска, шт
|
Вид операций
|
|
|
1.Фрезерная
|
2.Токарная
|
3.Кругло-шлифовальная
|
4.Шлифовальная
|
|
|
Модели оборудования
|
|
|
65А60Ф4-11
|
1А751Ф3
|
3У12ВФ3
|
345А-01
|
|
|
Трудоемкость работ по операциям
|
|
Базовый вариант
|
|
|
109287
|
1821,45
|
75,9
|
4371,48
|
75,9
|
5100,06
|
75,9
|
9653,685
|
75,9
|
|
|
109287
|
2550,03
|
|
6557,22
|
|
8196,525
|
|
10928,7
|
|
|
Итого
|
4447,38
|
11004,6
|
13372,485
|
20658,285
|
|
|
3747,6
|
3747,6
|
3747,6
|
3747,6
|
|
|
1
|
1
|
1
|
1
|
|
|
1,18
|
2,95
|
3,59
|
5,55
|
|
|
2
|
3
|
4
|
6
|
|
|
0,59
|
0,98
|
0,89
|
0,92
|
|
|
|
|
|
|
|
|
|
|
|
Таблица 2.7.2 - Расчет необходимого количества единиц оборудования и
коэффициента его загрузки (проектируемый вариант)
|
Расчетные показатели
|
Программа выпуска, шт
|
Вид операций
|
|
|
1.Фрезерная
|
2.Токарная
|
3.Кругло-шлифовальная
|
4.Шлифовальная
|
|
|
Модели оборудования
|
|
|
65А80ПМФ4
|
16Б16Т1С1РМ1
|
3М152МФ2-01
|
М345АР-01Б
|
|
|
Трудоемкость работ по
операциям
|
|
Проектируемый вариант
|
|
|
275495
|
2754,945
|
68,31
|
7346,52
|
68,31
|
8723,9925
|
68,31
|
18366,3
|
68,31
|
|
|
275495
|
5509,89
|
|
11478,9
|
|
15152,197
|
|
21121,24
|
|
|
Итого
|
8333,145
|
18893,7675
|
23944,5
|
39555,855
|
|
|
5621,4
|
5621,4
|
5621,4
|
|
|
1
|
1
|
1
|
1
|
|
|
1,482396734
|
3,36104
|
4,259526
|
7,036655
|
|
|
2
|
4
|
5
|
8
|
|
|
0,741198367
|
0,8402607
|
0,851905219
|
0,879581932
|
где
- годовой эффективный фонд времени оборудования;
-коэффициент выполнения норм времени;
- расчетное количество единиц оборудования;
- принятое количество единиц оборудования;
- коэффициент загрузки оборудования.
2.8 Расчет
длительности производственного цикла
Организация производственного процесса партиями предусматривает
использование последовательного и последовательно-параллельного вида движений
предметов труда. В рассматриваемом случае применим последовательно-параллельный
вид движения, так как он обеспечивает такое частичное совмещение времени
выполнения смежных операций, что вся изготавливаемая партия деталей проходит
через каждую операцию без каких-либо перерывов. Детали с операции на операцию
передаются поштучно или небольшими транспортными партиями.
Расчет длительности производственного цикла при использовании
последовательно-параллельного вида движений партий деталей производится по
формуле
где
- величина партии деталейj-ого наименования, шт;
- оперативное время на i-ой операцииj-ого
типоразмера деталей, мин;
- минимальное оперативное время на
каждой паре смежных операций с учетом принятого количества единиц оборудования,
мин;
- количество операций технологического
процесса изготовления деталей.
В данной курсовой работе технологический процесс изготовления деталей
состоит из четырёх операций (
),номенклатура обрабатываемых деталей равна двум (
), размер партии деталей составляет
для базового варианта и
для проектируемого.
Продолжительности выполнения каждой операции по базовому варианту
приведены в таблице 2.8.1.
Таблица 2.8.1 - Затраты времени на выполнение каждой операции
технологического процесса по всей номенклатуре обрабатываемых деталей (базовый
вариант), мин
|
Наименование операции
|
Номенклатура деталей
|
|
|
|
|
1.Фрезерная
|
1
|
1,4
|
|
2.Токарная
|
2,4
|
3,6
|
|
3.Кругло-шлифовальная
|
2,8
|
4,5
|
|
4.Шлифовальная
|
5,3
|
6
|
Длительность производственного цикла по изготовлению деталей для базового
варианта составит:
Продолжительности выполнения каждой операции по проектируемому варианту
приведены в таблице 2.8.2.
Таблица 2.8.2 - Затраты времени на выполнение каждой операции
технологического процесса по всей номенклатуре обрабатываемых деталей
(проектируемый вариант), мин
|
Наименование операции
|
Номенклатура деталей
|
|
|
|
|
1. Отрезная
|
0,6
|
1,2
|
|
2. Токарная
|
1,6
|
2,5
|
|
3. Фрезерная
|
1,9
|
3,3
|
|
4. Кругло-шлифовальная
|
4
|
4,6
|
Длительность производственного цикла по изготовлению деталей для
проектируемого варианта составит:
Однако длительность производственного цикла всей номенклатуры изделий не
будет соответствовать сумме циклов изделий в отдельности. Поправку к расчету
вносит построение графика (приложение А) движения изделий по операциям и время
на переналадку оборудования (таблица 2.8.3).
Таблица 2.8.3-Затраты времени на выполнение каждой операции
технологического процесса по всей номенклатуре обрабатываемых деталей с учетом
станков и партий деталей, мин
|
Наименование операции
|
Номенклатура деталей
|
|
Базовый вариант
|
Проектируемый вариант
|
|
|
|
|
|
|
1.Фрезерная
|
119,9901186
|
167,986166
|
120,9901186
|
241,9802372
|
|
2.Токарная
|
191,9841897
|
287,9762846
|
161,3201581
|
252,062747
|
|
3.Кругло-шлифовальная
|
167,986166
|
269,9777668
|
153,2541502
|
266,1782609
|
|
4.Шлифовальная
|
211,9825428
|
239,9802372
|
201,6501976
|
231,8977273
|
.9 Расчет
незавершенного производства
Среднее количество деталей j-ого
типоразмера в незавершенном производстве определяется по формуле
где
- годовая программа запуска изделия j-ого наименования.
Тогда для базового варианта получаем
Для проектируемого варианта:
.10 Расчет
необходимого количества транспортных средств
Внутри цехов заготовки, детали, сборочные единицы в процессе изготовления
перевозятся между кладовыми (складами) и участками, с одного участка на другой,
а на участках - между рабочими местами (технологическим оборудованием).
В соответствии с этим широко используется транспортное оборудование
различного типа, в частности ручные тележки, электрокары, транспортёры
различных типов, робоэлектрокары, промышленные роботы, манипуляторы и другие
транспортные средства. Одним из основных факторов при выборе транспортного
средства является грузоподъёмность, для чего необходимо учитывать размеры
партий и вес обрабатываемых деталей. Число транспортных средств прерывного
(циклического) действия (электрокары, робоэлектрокары) определяется по формуле
где
- количество транспортных операций,
осуществляемых над каждой деталью (
);
- вес единицы j-ого
типоразмера детали (норма расхода материала на одно изделие), кг;
- грузоподъемность транспортных единиц, кг;
- коэффициент использования грузоподъемности транспортных
средств (
);
- среднее расстояние между двумя пунктами, м (
);
- средняя скорость движения транспортного средства, м/мин
(
);
- время на загрузку транспортного средства за каждую
операцию, мин (
);
- время на разгрузку транспортного средства за каждую
операцию, мин (
).
Для базового варианта выбираем электрокар ЭП201: напольный электрокар;
предназначен для перевозки заготовок и деталей в цехе и на склад. Основные
технико-экономические характеристики приведены в таблице 2.10.1.
Таблица 2.10.1 - Основные технико-экономические характеристики
транспортного средства
|
Наименование и модель
|
Грузо-подъемность, кг
|
Габариты, мм
|
Мощность, кВт
|
Оптовая цена, у. е.
|
Норма амортизации, %
|
Категория ремонтной
сложности
|
|
|
|
|
|
|
механ.
|
электр.
|
|
Электрокар СМТ 302
|
500
|
1500х2150
|
3,5
|
3800
|
15,2
|
5,0
|
4,5
|
Отсюда количество транспортных средств
Для проектируемого варианта выбираем робоэлектрокар С4057.26: напольный
транспортный робоэлектрокар; работает в прямоугольной системе координат;
выполняет транспортные и погрузочно-разгрузочные операции. Основные технико-экономические
характеристики приведены в таблице 2.10.2.
Таблица 2.10.2 - Основные технико-экономические характеристики
транспортного средства
|
Наименованиеи модель
|
Грузоподъемность, кг
|
Габариты, мм
|
Мощность, кВт
|
Оптовая цена, у. е.
|
Норма амортизации, %
|
Категория ремонтной
сложности
|
|
|
|
|
|
|
механ.
|
электр.
|
|
Робоэлектрокар С4057.26
|
500
|
1650х2350
|
5,0
|
44500
|
15,2
|
7,0
|
12,5
|
Отсюда количество транспортных средств
2.11
Расчет необходимого количества промышленных роботов
Расчет необходимого количества промышленных роботов для обслуживания
станков с ЧПУ проводится для всего оборудования проектируемого варианта,
исключая следующие виды: роботизированные комплексы, гибкие производственные
модули, обрабатывающие центры, а так же оборудование, конструктивно содержащее
в себе промышленные роботы.
Чтобы определить необходимое количество промышленных роботов для
обслуживания станков с ЧПУ, необходимо сначала определить, сколько таких
станков может обслужить один промышленный робот:
оборудование деталь промышленный робот
где Н - номенклатура обрабатываемых деталей на данном
оборудовании;
to.ij - основное (машинное) время,
затрачиваемое при обработке единицы
j-го
типоразмера детали, мин;
tв.ij - вспомогательное время,
затрачиваемое непосредственно
промышленным роботом при обслуживании оборудования, мин.
Для базового варианта:
Для проектируемого варианта:
После определения количества станков, обслуживаемых одним промышленным
роботом, и исходя из необходимого количества станков с ЧПУ для выполнения
производственной программы определяется необходимое количество промышленных
роботов для обеспечения гибкого автоматизированного производства. Расчёт
ведётся по формуле:
где m - количество операций
технологического процесса изготовления деталей на данном оборудовании;
Спр.i - принятое количество единиц
оборудования.
Выбираем модель промышленного робота , работающего в прямоугольной
системе координат, так как промышленный робот обслуживает 8 станков.
3.
Планировка и расчет производственной площади участка, выбор типа здания
3.1 Планировка
производственного участка
При планировке производственного участка была предусмотрена возможность
передачи деталей между станками по кратчайшему расстоянию с наименьшими
затратами времени и наименьшим использованием производственной площади; предусмотрены:
- удобные подходы к станкам (оборудованию) для
проведения ремонта и обслуживания;
- выделены необходимые площади для размещения
магазина-накопителя материалов (ММ) и магазина заготовок (МЗ), а также подходы
к ним;
- магазины хранения инструментов (МИ).
В приложении Б представлена планировка гибкого промышленно участка для
проектируемого варианта.
3.2 Расчет
производственной площади участка
После проведения планировки исходя из характеристики оборудования
произведем расчет производственной площади участка по базовому и проектируемому
вариантам. Расчет произведем в табличной форме (таблица 3.2.1).
Таблица 3.2.1 - Расчет производственной площади участка
|
Наименование оборудования
|
Марка (модель)
|
Габаритные размеры, мм
|
Кол-во единиц
|
|
Произв. площадь участка, м2
|
|
Базовый вариант
|
|
1.Полуавтоматы токарные
|
1А512МФ3
|
6500*4860
|
2
|
22,5
|
157,95
|
|
2.Станки
вертикально-фрезерные
|
65А60Ф4-11
|
3620*4785
|
3
|
22
|
103,9302
|
|
3.Полуавтомат
круглошлифовальный,универсальный
|
3У12ВФ11
|
3250*2850
|
4
|
22,5
|
92,625
|
|
4.Шлицешлифовальный станки
|
345А-01
|
1800*1200
|
6
|
33,5
|
45,36
|
|
5.Электрокар
|
ЭП201
|
1500*2150
|
1
|
-
|
74
|
|
Итого:
|
|
|
6
|
|
473,8652
|
|
Проектируемый вариант
|
|
1.Модуль гибкий
производственный токарный
|
16Б16Т1С1РМ1
|
2710*1870
|
2
|
33
|
30,4062
|
|
2.Станки
вертикально-фрезерные
|
65А80ПМФ4
|
3620*4785
|
4
|
22
|
138,5736
|
|
3.Полуавтоматы
кругло-шлифовальные
|
3М152МФ2-01
|
2780*1470
|
5
|
3
|
61,299
|
|
4.Шлицешлифовальный станок
|
М345АР-01Б
|
2150*1275
|
8
|
23,5
|
76,755
|
|
5.Промышленный робот
|
Циклон-5.01
|
1390*1040
|
3
|
-
|
186
|
|
6. Робоэлектрокар
|
С4057.26
|
1650*2350
|
3
|
-
|
|
|
Итого
|
|
|
25
|
|
493,0338
|
|
|
|
|
|
|
|
3.3
Обоснование выбора типа здания
Типы, конструкции и размеры зданий для механообрабатывающих цехов
выбираются в зависимости от следующих факторов:
- характера и размера объектов производства, объёмов
производственной программы, характера производственного процесса и применяемого
оборудования;
- типов, размеров и грузоподъёмности транспортных
средств;
- требований, предъявляемых в отношении освещения,
отопления и вентиляции;
- учёта возможности дальнейшего расширения здания;
- рода применяемого строительного материала.
Производственные здания для механической обработки деталей могут быть
одноэтажные и многоэтажные.
Преимущественно здания для цехов механической обработки строят
одноэтажные, так как при этом производстве применяется сравнительно тяжёлое
оборудование и сама продукция может быть тяжёлой и значительной по габаритам.
Производственные здания строятся из нескольких параллельных однотипных
пролётов, образуемых рядами колонн - металлических или железобетонных. Форма
здания должна быть простой, в виде прямоугольника (или квадрата).
Общие размеры и площади цехов определяют на основе планировки
оборудования.
Каждый пролёт цеха характеризуется основными размерами - шириной пролёта L
и шагом колонн t или, иначе, сеткой колонн L´t.
Ширина пролёта определяется на основании планировки оборудования в
зависимости от размеров обрабатываемых деталей, применяемого оборудования и
средств транспорта. Наиболее часто ширина пролёта механических цехов
принимается равной 9, 12, 15, 18, 24 м. Длина пролёта зависит от
производственной и вспомогательной площадей.
Шагом колонн называется расстояние между осями двух колонн в направлении
продольной оси пролёта. Как правило, шаг колонн принимается 6 м, может быть 12
м.
В данной курсовой работе выберем одноэтажное кирпичное здание. Ширина
пролета - 24м, шаг колон - 6м.
4. Расчет
мощности потребляемой оборудованием
Расчет установленной мощности (
), потребляемой всеми видами
оборудования, произведем в табличной форме (таблица 4.1).
Таблица 4.1 - Расчет установленной мощности, потребляемой оборудованием
|
Наименование оборудования
|
Модель (марка)
|
Кол-во единиц
|
Установленная мощность, кВт
|
|
|
|
единицы
|
принятого
|
|
Базовый вариант
|
|
1.Полуавтоматы токарные
|
1А512МФ3
|
2
|
45
|
90
|
|
2.Станки
вертикально-фрезерные
|
65А60Ф4-11
|
3
|
20
|
60
|
|
3.Полуавтомат
круглошлифовальный,универсальный
|
3У12ВФ11
|
4
|
12,5
|
50
|
|
4.Шлицешлифовальный станок
|
345А-01
|
6
|
4,5
|
27
|
|
5. Электрокар
|
ЭП201
|
1
|
3,5
|
3,5
|
|
Итого
|
|
16
|
|
230,5
|
|
Проектируемый вариант
|
|
1.Модуль гибкий
производственный токарный
|
16Б16Т1С1РМ1
|
2
|
11
|
22
|
|
2.Станки
вертикально-фрезерные
|
65А80ПМФ4
|
4
|
20
|
80
|
|
3.Полуавтоматы
кругло-шлифовальные
|
3М152МФ2-01
|
5
|
15
|
75
|
|
4. Шлицешлифовальный станок
|
М345АР-01Б
|
8
|
10
|
80
|
|
5.Промышленный робот
|
3
|
7
|
21
|
|
6. Робоэлектрокар
|
С4057.26
|
3
|
5
|
15
|
|
Итого
|
|
25
|
|
293
|
5. Расчет
численности производственного персонала
5.1 Расчет
численности операторов, осуществляющих наблюдение за работой технологического
оборудования
Расчет численности операторов производится исходя из трудоемкости
годового объема работы, эффективного фонда времени работы рабочего,
коэффициентов, учитывающих затраты времени рабочего на обслуживание рабочего
места и наблюдение за работой оборудования и многостаночного обслуживания.
Расчет численности операторов по базовому варианту ведется по формуле
где
- коэффициент, учитывающий затраты времени оператора на
обслуживание рабочего места (
);
- коэффициент, учитывающий затраты времени оператора на отдых
и личные надобности (
);
- номенклатура обрабатываемых деталей;
- норма обслуживания;
- коэффициент выполнения норм времени оператором (
);
- годовой эффективный фонд времени работы одного
рабочего-оператора; определяется по формуле
где
- коэффициент, учитывающий все плановые невыходы рабочего на
работу (
).
Отсюда
Для проверки правильности расчета
где
- принятое количество единиц
оборудования на i-ой операции;
- коэффициент, учитывающий списочную численность
рабочих-операторов (
).
Получим
В данном случае при расчете численности операторов по базовому варианту
при
, поэтому количество операторов
принимаем равным
.
Отсюда
Расчет списочной численности операторов по проектируемому варианту
ведется по формуле
где
- коэффициент, учитывающий затраты времени оператора на
наблюдение за работой оборудования (
);
-количество операций технологического процесса изготовления
деталей.
Получаем
5.2 Расчет
численности наладчиков оборудования
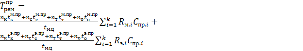
Затраты времени наладчиков оборудования складываются из затрат времени на
наладку оборудования, ежесуточного времени на проверку работы модуля по
тестопрограммам и профилактики. Следовательно, численность наладчиков
оборудования определяется по формуле
где
- фонд времени, затрачиваемый на переналадку оборудования на i-ой операции;
- время, затрачиваемое на тестопрограммы и профилактику (
;
- эффективный фонд времени работы наладчика.
Для базового варианта получим
Для проектируемого варианта имеем
5.3 Расчет
численности рабочих по настройке инструмента
Численность рабочих-настройщиков инструмента определяется по формуле
исходя из годового времени настройки инструмента вне станка
где
- среднее время настройки единицы инструмента (
);
- среднееколичество инструмента в наладке по операциям на
одну партию деталей (
);
- количество переналадок оборудования при переходе от
обработки одной порти деталей к другой.
Отсюда для базового варианта имеем
Для проектируемого варианта получим
5.4 Расчет
численности сборщиков приспособлений
Расчет численности сборщиков приспособлений производится исходя из затрат
времени на сборку приспособлений в течение планового периода.
где
- среднее время сборки-разборки одного приспособления (
).
Для базового варианта получим
Для проектируемого варианта получим
5.5 Расчет
численности транспортных рабочих
Численность транспортных рабочих определяется по формуле
где
- принятое количество единиц транспортного оборудования;
- коэффициент, учитывающий списочную численность транспортных
рабочих (
).
Для базового варианта получим
При роботизации транспортных операций при условии, что количество
робоэлектрокаров не превышает двух, целесообразно функции по обслуживанию
переложить на рабочих-операторов, не выделяя отдельно персонал по обслуживанию
электрокаров. Т.к. для проектируемого варианта есть 3 робоэлектрокара, поэтому
получим
5.6 Расчет
численности ремонтного персонала и персонала по межремонтному обслуживанию
Для установления численности ремонтных рабочих соответствующих профессий
(слесарей, станочников и прочих рабочих) необходимо определить трудоемкость по
видам работ согласно нормам времени на одну ремонтную единицу (таблица 5.6.1).
Таблица 5.6.1 - Нормы времени на ремонтную единицу для технологического и
подъемно-транспортного оборудования, нормо-ч
|
Осмотр и вид ремонта
|
Слесарные работы
|
Станочные работы
|
Прочие работы
|
Всего
|
|
мех.
|
эл.
|
мех.
|
эл.
|
мех.
|
эл.
|
мех.
|
эл.
|
|
О
|
0,75
|
-
|
0,1
|
-
|
-
|
-
|
0,85
|
-
|
|
Т
|
4,0
|
1,0
|
2,0
|
0,2
|
0,1
|
-
|
6,1
|
1,2
|
|
С
|
16,0
|
5,0
|
7,0
|
1,0
|
0,5
|
1,0
|
23,5
|
7,0
|
|
К
|
23,0
|
11,0
|
10,0
|
2,0
|
2,0
|
2,0
|
35,0
|
15,0
|
Расчет трудоемкости слесарных работ по вариантам производится по формуле
где
- соответственно число капитальных, средних, текущих ремонтов
и осмотров (для базового варианта принимаем
; для проектируемого -
);
- соответственно нормы времени на одну ремонтную единицу
слесарных работ по капитальному, среднему и текущему ремонтам, а также по
осмотрам, нормо-ч;
- длительность межремонтного цикла (для базового варианта
принимаем
, для проектируемого -
);
- категория ремонтной сложности i-ого вида оборудования (механической части), соответственно
по вариантам;
- принятое количество единиц оборудования i-ого наименования, соответственно по
варрантам;
- количество видов оборудования.
Для базового варианта получим
Для проектируемого варианта имеем
Расчет электрослесарных работ производится по формуле исходя из норм
времени и единиц ремонтной сложности по электрической части.
где
- категория ремонтной сложности i-ого вида оборудования (электрической части), соответственно
вариантам.
Для базового варианта получим
Для проектируемого варианта имеем
Расчет трудоемкости по станочным работам производится по формуле
Для базового варианта получим
Для проектируемого варианта имеем
Расчет трудоемкости прочих рабочих производится по формуле
Отсюда имеем для базового варианта
Для проектируемого варианта получим
Среднегодовая трудоемкость слесарных работ по межремонтному обслуживанию
определяется по формуле
где
- норма обслуживания ремонтных единиц при выполнении
слесарных работ на одного рабочего в смену (
).
Для базового варианта получим
Для проектируемого варианта имеем
Среднегодовая трудоемкость электрослесарных работ по межремонтному
обслуживанию определяется по формуле
где
- норма обслуживания ремонтных единиц при выполнении
слесарных работ по электрической части на одного рабочего в смену (
).
Для базового варианта получим
Для проектируемого варианта имеем
Среднегодовая трудоемкость станочных и прочих работ по межремонтному
обслуживанию определяется по формуле
где
- норма обслуживания ремонтных единиц при выполнении
станочных (
) и прочих (
)работ на одного рабочего в смену.
Для базового варианта имеем
Для проектируемого варианта имеем
Расчет численности слесарей, электрослесарей, станочников и прочих
рабочих, необходимых для выполнения ремонтных работ, производится по формулам
(округление до целого на данном этапе расчета не производится):
где
- трудоемкость слесарных, электрослесарных, станочных и
прочих работ, нормо-ч;
- коэффициент выполнения норм времени (
).
Для базового варианта получим
Для проектируемого варианта имеем
Расчет численности слесарей, электрослесарей, станочников и прочих
рабочих по обслуживанию оборудования производится по формулам (округление до
целого на данном этапе расчета не производится):
Для базового варианта получим
Для проектируемого варианта имеем
Общее количество слесарей, электрослесарей, станочников и прочих рабочих,
необходимых для выполнения ремонтных работ и межремонтного обслуживания по
вариантам определяется по формулам:
Для базового варианта получим
Для проектируемого варианта имеем
Общее количество ремонтных рабочих и рабочих, необходимых для
межремонтного обслуживания, по вариантам определяется по формуле
Для базового варианта получим
+
+
Для проектируемого варианта имеем
5.7 Расчет общей численности рабочих
Общая численность рабочих определяется по формуле
Для базового варианта получим
Для проектируемого варианта имеем
6. Расчет
капитальных вложений
6.1 Расчет
затрат на строительство здания, занимаемого производственным участком
Стоимость здания, занимаемого производственным участком
(производственного и вспомогательного назначения), определяется исходя из общей
площади, затрат на 1м2 и типа здания. Расчет произведем в табличной
форме (таблица 6.1.1).
Таблица 6.1.1 -Расчет стоимости здания, занимаемого участком, а также
амортизационных отчислений
|
Элементы расчета
|
Стоимость 1м2, у.е.
|
Площадь, м2
|
Стоимость здания, у.е.
|
Норма аморт., %
|
Сумма аморт., у.е.
|
|
Базовый вариант
|
|
1. Производственная площадь
|
170
|
473,8652
|
80557,084
|
2,7
|
2175,04
|
|
2. Вспомогательная площадь
(37% от производственной)
|
250
|
175,3301
|
43832,531
|
3,1
|
1358,808
|
|
Итого
|
|
649,1953
|
124389,615
|
|
3533,849
|
|
Проектируемый вариант
|
|
1. Производственная площадь
|
170
|
493,0338
|
83815,746
|
2,7
|
2263,025
|
|
2. Вспомогательная площадь
|
250
|
182,4225
|
45605,6265
|
3,1
|
1413,774
|
|
Итого
|
|
675,4563
|
129421,372
|
|
3676,799
|
6.2 Расчет
затрат на технологическое оборудование и транспортные средства
Расчет затрат на технологическое оборудование производится исходя из
оптовой цены единицы оборудования и количества единиц оборудования данной
модели.
Для определения затрат на технологическое оборудование составим
спецификацию (таблица 6.2.1).
6.3 Расчет
затрат на энергетическое оборудование
Затраты на силовое энергетическое оборудование, его монтаж, упаковку и
транспортировку при укрупненных расчетах определяются исходя из норматива 45
у.е. на 1 кВт установленной мощности технологического и транспортного
оборудования (см. таблицу 5.6.1).
Отсюда для базового варианта получим
Для проектируемого варианта имеем
6.4 Расчет
затрат на комплект дорогостоящей оснастки, УСПО и инструмента
Затраты на дорогостоящую оснастку, УСПО, инструмент (первоначальный фонд)
принимаются в размере 10% от балансовой стоимости технологического оборудования
(см. таблицу 6.2.1).
Для базового варианта получим
Для проектируемого варианта имеем
Таблица 6.2.1 - Расчет затрат на технологическое оборудование,
промышленные роботы и транспортные средства, а также амортизационных отчислений
|
Наименование оборудования
|
Модель (марка)
|
Кол-во единиц
|
Оптовая цена
|
Затраты на УТМ, у.е.
|
Балансовая стоимость, у.е
|
Норма амортизации, %
|
Сумма амортизации, у.е
|
|
|
|
единицы
|
принятого
|
|
|
|
|
|
Базовый вариант
|
|
1.Полуавтоматы токарные
|
1А512МФ3
|
2
|
83540
|
167080
|
25062
|
192142
|
13,2
|
25362,744
|
|
2.Станки
вертикально-фрезерные
|
65А60Ф4-11
|
3
|
86028
|
258084
|
38712,6
|
296796,6
|
12,2
|
36209,185
|
|
3.Полуавтомат
круглошлифовальный,универсальный
|
3У12ВФ11
|
4
|
210400
|
841600
|
126240
|
967840
|
16,1
|
155822,24
|
|
4.Шлицешлифовальный станки
|
345А-01
|
6
|
4250
|
25500
|
3825
|
29325
|
12,5
|
3665,625
|
|
5.Электрокар
|
ЭП201
|
1
|
3800
|
3800
|
570
|
4370
|
15,2
|
|
Итого:
|
|
16
|
|
1296064
|
194409,6
|
1490473,6
|
|
221724,03
|
|
Проектируемый вариант
|
|
1.Модуль гибкий
производственный токарный
|
16Б16Т1С1РМ1
|
2
|
54650
|
109300
|
16395
|
125695
|
14,2
|
17848,69
|
|
2.Станки
вертикально-фрезерные
|
65А80ПМФ4
|
4
|
104228
|
416912
|
62536,8
|
479448,8
|
12,2
|
58492,7536
|
|
3.Полуавтоматы
кругло-шлифовальные
|
3М152МФ2-01
|
5
|
27457
|
137285
|
20592,75
|
157877,75
|
16,1
|
25418,31775
|
|
4. Шлицешлифовальный станок
|
М345АР-01Б
|
8
|
9650
|
77200
|
11580
|
88780
|
12,5
|
11097,5
|
|
5.Промышленный робот
|
Циклон-5.01
|
3
|
22190
|
66570
|
9985,5
|
76555,5
|
15,2
|
11636,436
|
|
6. Робоэлектрокар
|
С4057.26
|
3
|
44500
|
133500
|
20025
|
153525
|
14,5
|
22261,125
|
|
Итого:
|
|
25
|
|
940767
|
141115,05
|
1081882,0
|
|
146754,82
|
6.5 Расчет
затрат на измерительные и регулирующие приборы
При организации механической обработки деталей применяется много
различной измерительной техники, регулирующих устройств и систем контроля за
состоянием режущего инструмента. В каждом отдельном случае выбирается
необходимая номенклатура и в соответствии с прейскурантом определяется ее
оптовая цена. В укрупненных расчетах затраты на эти виды оснащения принимаются
в размере 2% от оптовой цены оборудования.
Для базового варианта получим
Для проектируемого варианта имеем
6.6 Расчет
затрат на комплект программ управления
Затраты на разработку комплекта программ управления рассчитываются по
формуле
где
- среднечасовая тарифная ставка
оператора-программиста (
- номенклатура обрабатываемых деталей;
- затраты времени на составление программы на j-ую деталь на одной операции (
);
- количество операций технологического процесса изготовления
j-ой детали.
Отсюда
6.7 Расчет
затрат на производственный и хозяйственный инвентарь
Затраты на производственный инвентарь (стеллажи, магазины для деталей и
заготовок, магазины для инструмента и др.) принимаются в размере
% от балансовой стоимости технологического оборудования, а на
хозяйственный инвентарь - принимаются в размере 15,4 у.е. на одного
работающего.
Для базового варианта получим
Для проектируемого варианта имеем
6.8 Расчет
предпроизводственных затрат
Предпроизводственные затраты включают расходы на НИОКР и проектные работы
по привязке модуля к условиям заказчика. В данной курсовой работе их определить
сложно. Для укрупненных расчетов положим, что величина этих затрат составляет
3-5% от оптовой цены технологического оборудования.
Для базового варианта получим
Для проектируемого варианта имеем
.9 Расчет
величины оборотных средств в незавершенном производстве
Величина оборотных средств в незавершенном производстве определяется по
формуле
где
- цеховая себестоимость единицы j-ого изделия;
- величина незавершенного производства j-ого наименования деталей, шт;
- коэффициент нарастания затрат (
);
- коэффициент перевода рабочих дней в году в календарные дни
(
для двухсменной работы,
для трехсменной работы);
- номенклатура обрабатываемых деталей.
Для базового варианта получим
Для проектируемого варианта имеем
6.10
Расчет общей величины капитальных вложений
Все затраты, связанные с капитальными вложениями, сведем в таблицу
6.10.1.
Таблица 6.10.1 - Расчет капитальных вложений и амортизационных отчислений
|
Наименование статьи затрат
|
Усл. обозначение
|
Базовый вариант
|
Проектируемый вариант
|
|
|
сумма затрат, у.е.
|
норма аморт., %
|
сумма аморт., у.е
|
сумма затрат, у.е.
|
норма аморт., %
|
сумма аморт., у.е
|
|
1. Здание, занимаемое
участком
|
|
124389,615
|
Табл. 6.1.1
|
3533,849729
|
129421,3725
|
Табл. 6.1.1
|
3676,799
|
|
2. Технологическое
оборудование и транспортные средства
|
|
1490473,6
|
Табл. 6.2.1
|
221724,0342
|
1081882,05
|
Табл. 6.2.1
|
146754,82
|
|
3. Энергетическое
оборудование
|
|
10372,5
|
8,2
|
850,545
|
13185
|
8,2
|
1081,17
|
|
4. Дорогостоящая оснастка,
УСПО и инструмент
|
|
149047,36
|
4,5
|
6707,1312
|
108188,205
|
4,5
|
4868,469
|
|
5. Измерительные и
регулирующие приборы
|
|
25921,28
|
11,5
|
2980,9472
|
18815,34
|
11,5
|
2163,7641
|
|
6. Программы управления
|
|
140,288
|
-
|
|
175,36
|
-
|
|
|
7. Производственный и
хозяйственный инвентарь
|
|
30641,072
|
18,5
|
5668,59832
|
22222,841
|
18,5
|
4111,225
|
|
8. Предпроизводственные
затраты
|
|
38881,92
|
-
|
|
47038,35
|
-
|
|
|
9. Оборотные средства
|
|
807,2652064
|
-
|
|
175,2662763
|
-
|
|
|
Итого
|
|
1870674,9
|
|
241465,1056
|
1421103,785
|
|
162656,25
|
7. Расчет
себестоимости выпускаемой продукции
7.1 Расчет
затрат на основные материалы
Затраты на основные материалы за вычетом реализуемых отходов составляют
по базовому и проектируемому вариантам одинаковую сумму. Расчет затрат на
основные материалы (
) производится в табличной форме (таблица 7.1.1).
Таблица 7.1.1 - Расчет затрат на основные материалы
|
Расчетный показатель
|
Ед. измер.
|
Номенклатура деталей
|
|
|
|
|
|
1. Программа выпуска
|
шт.
|
109287
|
109287
|
|
2. Наименование материала
|
-
|
Ст.45х
|
Ст.45х
|
|
3. Норма расхода на деталь
|
кг
|
4,3
|
4,5
|
|
4. Чистый вес детали
|
кг
|
3,5
|
3,7
|
|
5. Отходы на деталь (стр.3-стр.4)
|
кг
|
0,8
|
0,8
|
|
6. Расход материала на
программу (стр.1*стр.5)
|
кг
|
469934,1
|
491791,5
|
|
7. Отходы на программу
(стр.1-стр.5)
|
кг
|
87429,6
|
87429,6
|
|
8. Оптовая цена кг
материала
|
у.е.
|
0,12
|
0,12
|
|
9. Оптовая цена килограмма
отходов
|
у.е.
|
0,027
|
0,027
|
|
10. Затраты на материалы
на программу с учетом транспортно-заготовительных расходов (стр.6*стр.8*1,05)
|
у.е.
|
59211,69
|
61965,729
|
|
11. Стоимость реализуемых
отходов (стр.7-стр.9)
|
у.е.
|
2360,59
|
2360,5992
|
|
12. Затраты на материалы
за вычетом реализуемых отходов (стр.10-стр.11)
|
у.е.
|
56851,0974
|
59605,1298
|
|
13. Затраты на 1 деталь
(стр.12/стр.1)
|
у.е.
|
0,5202
|
0,5454
|
Таблица 7.1.2 - Расчет затрат на основные материалы
|
Расчетный показатель
|
Ед. измер.
|
Номенклатура деталей
|
|
|
|
|
|
1.Программа выпуска
|
шт.
|
275494,5
|
275494,5
|
|
2.Наименование материала
|
-
|
Ст.45х
|
Ст.45х
|
|
3.Норма расхода на деталь
|
кг
|
4,3
|
4,5
|
|
4.Чистый вес детали
|
кг
|
3,5
|
3,7
|
|
5.Отходы на деталь (стр.3-стр.4)
|
кг
|
0,8
|
0,8
|
|
6.Расход материала на
программу (стр.1*стр.5)
|
кг
|
1184626,35
|
1239725,25
|
|
7.Отходы на программу
(стр.1-стр.5)
|
кг
|
220395,6
|
220395,6
|
|
8.Оптовая цена кг материала
|
у.е.
|
0,12
|
0,12
|
|
9.Оптовая цена килограмма
отходов
|
у.е.
|
0,027
|
0,027
|
|
10. Затраты на материалы на
программу с учетом транспортно-заготовительных расходов (стр.6*стр.8*1,05)
|
у.е.
|
149262,9201
|
156205,3815
|
|
11. Стоимость реализуемых
отходов (стр.7-стр.9)
|
у.е.
|
5950,6812
|
5950,6812
|
|
12. Затраты на материалы за
вычетом реализуемых отходов (стр.10-стр.11)
|
у.е.
|
143312,23
|
150254,70
|
|
13. Затраты на 1 деталь
(стр.12/стр.1)
|
у.е.
|
0,5202
|
0,5454
|
7.2 Расчет
основной заработной платы производственных рабочих
Расчет основной заработной платы основных производственных
рабочих-операторов по базовому варианту производится по формуле:
где
- программа j-ого
наименования деталей, шт;
- часовая тарифная ставка рабочего при обработке на i-й операции j-ого типоразмера деталей, у.е./чел.-ч;
- коэффициент, учитывающий премии по премиальным системам (
);
- номенклатура обрабатываемых деталей;
- количество операций технологического процесса изготовления
деталей;
- штучное время на i-ой операции j-ого типоразмера
деталей, мин, определяется по формуле
здесь
- оперативное время на i-ой операции j-ого
типоразмера деталей, мин;
- время обслуживания рабочего места на i-ой операции j-ого типоразмера деталей, мин (составляет 10% от оперативного
времени);
- время на отдых и личные надобности на i-ой операции j-ого типоразмера деталей, мин (составляет 2,5% от
оперативного времени).
Таблица 7.2.1 Расчет основной заработной платы производственных рабочих
по базовому варианту
|
Наименование операции
|
Разряд работы
|
Тарифная ставка
|
Расчет трудоемкости
|
Сумма зарплаты, у.е.
|
|
|
|
|
|
|
|
|
Шлицевый конец(20А)
|
|
|
|
|
|
|
|
1.Фрезерная
|
2
|
1,47
|
1,125
|
109287
|
2049,13125
|
3614,667525
|
|
2.Токарная
|
3
|
1,711
|
2,7
|
109287
|
4917,915
|
10097,46308
|
4
|
1,99
|
3,15
|
109287
|
5737,5675
|
13701,31119
|
|
4.Шлифовальная
|
4
|
1,99
|
5,9625
|
109287
|
10860,39563
|
25934,62475
|
|
Итого:
|
|
|
12,9375
|
|
23565,00938
|
53348,06655
|
|
Коэффициент, учитывающий
премии по премиальным системам
|
1,2
|
|
Итого:
|
|
|
|
|
|
31121,5497
|
|
Шлицевый конец(20Б)
|
|
|
|
|
|
|
|
1.Фрезерная
|
2
|
1,47
|
1,575
|
109287
|
2868,78375
|
5060,534535
|
|
2.Токарная
|
3
|
1,711
|
4,05
|
109287
|
7376,8725
|
15146,19462
|
|
3.Кругло-шлифовальная
|
4
|
1,99
|
5,0625
|
109287
|
9221,090625
|
22019,96441
|
|
4.Шлифовальная
|
4
|
1,99
|
6,75
|
109287
|
12294,7875
|
29359,95255
|
|
Итого
|
|
|
198,4
|
|
236504,628
|
71586,64611
|
|
Коэффициент, учитывающий
премии по премиальным системам
|
1,2
|
|
Итого
|
|
|
|
|
|
85903,97534
|
Расчет основной заработной платы других категорий производственных
рабочих по базовому варианту и всех производственных рабочих по проектируемому
варианту производится по формуле
где
- численность рабочих i-ого разряда, чел;
- часовая тарифная ставка рабочего i-ого разряда, у.е./чел.-ч;
- годовой эффективный фонд времени работы одного рабочего,
ч;
- коэффициент, учитывающий премии по премиальным системам (
);
- число разрядов рабочих.
Расчет основной заработной платы вспомогательных производственных рабочих
по базовому варианту, а также всех рабочих по проектируемому варианту
произведем в табличной форме (таблица 7.2.2).
Таблица 7.2.2 Расчет основной заработной платы производственных рабочих
|
Наименование
производственного персонала
|
Усл. обзн.
|
Численность рабочих, чел
|
Разряд работы
|
Тарифная ставка, у.е.
|
Сумма зарплаты, у.е.
|
|
Базовый вариант
|
|
1. Наладчики оборудования
|
|
1
|
5
|
2,06
|
2,06
|
|
2. Рабочие по настройке
инструмента
|
|
2
|
4
|
1,869
|
3,738
|
|
3. Сборщики приспособлений
|
|
3
|
4
|
1,869
|
5,607
|
|
4. Транспортные рабочие
|
|
2,2
|
5
|
2,06
|
4,532
|
|
5. Слесари по ремонту
|
|
2
|
5
|
2,06
|
4,12
|
|
6. Электрослесари
|
|
1
|
5
|
2,06
|
2,06
|
|
7. Станочники
|
|
1
|
6
|
2,262
|
2,262
|
|
8.Прочие ремонтные рабочие
|
Чпр
|
1
|
3
|
1,607
|
1,607
|
|
Итого:
|
|
13,2
|
|
|
25,986
|
|
Годовой эффективный фонд
времени одного рабочего, ч
|
1797,42
|
|
Коэффициент, учитывающий
премии по премиальным системам
|
1,2
|
|
Итого
|
|
|
|
|
56049,30734
|
|
Проектируемый вариант
|
|
1. Рабочие-операторы
|
|
3
|
4
|
1,869
|
5,607
|
|
2. Наладчики оборудования
|
|
1
|
5
|
2,06
|
2,06
|
|
3. Рабочие по настройке
инструмента
|
|
2
|
4
|
1,869
|
3,738
|
|
4. Сборщики приспособлений
|
|
4
|
4
|
1,869
|
7,476
|
|
5. Транспортные рабочие
|
|
-
|
-
|
-
|
-
|
|
6. Слесари по ремонту
|
|
3
|
5
|
2,06
|
6,18
|
|
7. Электрослесари
|
|
2
|
5
|
2,06
|
4,12
|
|
8. Станочники
|
|
2
|
6
|
2,262
|
4,524
|
|
9. Прочие ремонтные рабочие
|
|
1
|
3
|
1,607
|
1,607
|
|
Итого
|
|
18
|
|
|
35,312
|
|
Годовой эффективный фонд
времени одного рабочего, ч
|
1797,42
|
|
Коэффициент, учитывающий
премии по премиальным системам
|
1,2
|
|
Итого
|
|
|
|
|
76164,59405
|
|
|
|
|
|
|
|
Основная заработная плата всех производственных рабочих по базовому
варианту составляет сумму
7.3 Расчет
дополнительной заработной платы производственных рабочих
Дополнительная заработная плата включает выплаты, предусмотренные
законодательством о труде и положениями по оплате труда на предприятии. Сюда
входят выплаты за непроработанное на производстве время: оплата очередных и
дополнительных отпусков, оплата учебных отпусков, оплата льготных часов
подросткам, оплата перерывов в работе кормящим матерям, выполнение
государственных обязанностей, единовременные вознаграждения за выслугу лет и
пр.
Расчет дополнительной заработной платы определяется по формуле
где
- процент дополнительной заработной платы (
).
Для базового варианта получим
Для проектируемого варианта имеем
7.4 Расчет
обязательных страховых взносов в фонд социальной защиты населения Министерства
труда и социальной защиты Республики Беларусь
Расчет обязательных страховых взносов в фонд социальной защиты населения
Министерства труда и социальной защиты Республики Беларусь производится по
формуле
где
- процент обязательных страховых взносов в фонд социальной
защиты населения Министерства труда и социальной защиты Республики Беларусь (
).
Для базового варианта получим
Для проектируемого варианта имеем
7.5 Расчет
страховых взносов по обязательному страхованию от несчастных случаев на
производстве и профессиональных заболеваний
Расчет страховых взносов по обязательному страхованию от несчастных
случаев на производстве и профессиональных заболеваний производится по формуле
где
- страховых взносов по обязательному страхованию от
несчастных случаев на производстве и профессиональных заболеваний (
).
Для базового варианта получим
Для проектируемого варианта имеем
.6 Расчет
налога на недвижимость
Налогом на недвижимость облагается остаточная стоимость основных фондов.
С учетом особенностей данной работы расчет налога производится по формуле
где
- процент налога на недвижимость (
;
- стоимость здания, занимаемого участком;
-затраты на технологическое оборудование и транспортные
средства;
- затраты на энергетическое оборудование;
- затраты на дорогостоящую оснастку, УСПО и инструмент;
- затраты на измерительные и регулирующие приборы;
- затраты на производственный и хозяйственный инвентарь.
Для базового варианта имеем
Для проектируемого варианта получим
.7 Расчет
затрат на потребляемую силовую электроэнергию
Затраты на силовую энергию, потребляемую технологическим оборудованием и
транспортными средствами, определяется по формуле
где
- годовой эффективный фонд времени работы оборудования в
одну смену, ч;
- тариф за 1кВт*ч электроэнергии, у.е. (
);
-коэффициент, учитывающий использование энергии по времени (
;
- коэффициент, учитывающий использование энергии по мощности
(
;
- коэффициент, учитывающий потери электроэнергии в сети (
);
- коэффициент полезного действия оборудования (
);
- установленная мощность двигателей i-ого вида оборудования, кВт;
- число рабочих смен в сутки i-ого вида оборудования;
- коэффициент загрузки i-ого вида оборудования;
- количество видов оборудования.
Для базового варианта получим
Для проектируемого варианта имеем
7.8 Расчет
затрат на амортизацию основных фондов
Затраты на амортизацию основных фондов рассчитаны в таблице 6.10.1.
7.9 Расчет
затрат на ремонт и техническое обслуживание оборудования и транспортных средств
Годовые расходы на ремонт (включая капитальный) и техническое
обслуживание оборудования определяются по формуле
где
- процент затрат на ремонт и техническое обслуживание
энергетического оборудования, дорогостоящей оснастки, измерительного
инструмента и приборов (
);
- затрат на энергетическое оборудование;
- затраты на дорогостоящую оснастку, УСПО и инструмент;
- затраты на измерительные и регулирующие приборы;
- нормативы затрат на одну единицу ремонтной сложности
оборудования, соответственно механической, электрической (включая
гидравлическую) частей, у.е. (
);
- категория ремонтной сложности i-ого вида оборудования, соответственно механической,
электрической частей;
- коэффициент, характеризующий класс точности станков (
);
- принятое количество единиц i-ого вида оборудования;
- количество видов оборудования.
Для базового варианта получим
Для проектируемого варианта имеем
7.10
Расчет затрат на содержание площади, занимаемой участком
При укрупненных расчетах затраты на содержание производственной и
вспомогательной площади участка определяются исходя из норматива на содержание
1м2 площади (
. Для базового варианта получим
Для проектируемого варианта имеем
.11 Расчет
затрат на ремонт и обслуживание ЧПУ
Годовые затраты на ремонт и обслуживание ЧПУ определяется исходя из
средних статистических затрат на одно ЧПУ (ЧПУ «Электроника НЦ80-31» - 1080
у.е.).
Для базового варианта получим
Для проектируемого варианта получим
7.12
Расчет затрат на возмещение износа малоценного инструмента и инвентаря
Затраты на возмещение быстроизнашивающегося и малоценного инвентаря и
инструмента принимаются в размере 10% от балансовой стоимости оборудования (см.
таблицу 6.2.1)
Для базового варианта получим
Для проектируемого варианта имеем
.13 Расчет
себестоимости обработки деталей годового выпуска и калькуляция себестоимости
единицы продукции
Все затраты, связанные с обработкой деталей годового выпуска, сводятся в
таблицы 7.13.1 и 7.13.2 для базового и проектируемого вариантов соответственно,
графа 3. Калькуляция себестоимости единицы продукции по каждому j-ому наименованию изделия
производится в графах 4, 5 и 6.
Расчет затрат на основные материалы за вычетом реализуемых отходов
принимается из таблицы 7.1.1, строка 13. Все остальные статьи затрат
распределяются пропорционально трудоемкости изготовления продукции.
Общая трудоемкость изготовления продукции по вариантам определяется по
формулам
где
- программа j-ого
наименования деталей, шт;
- номенклатура обрабатываемых деталей;
- оперативное время на i-й операции j-ого наименования деталей, мин;
- количество операций технологического
процесса изготовления деталей;
- коэффициент, учитывающий время обслуживания рабочих мест и
время на отдых и личные надобности.
Расчет затрат по каждому j-му
изделию k-й статьи затрат производится по
формуле
где
- суммарные затраты по k-й статье затрат, у.е.
Для базового варианта получим
Для проектируемого варианта имеем
Таблица 7.13.1 - Калькуляция себестоимости выпускаемой продукции (базовый
вариант)
|
Наименование статьи затрат
|
Усл.обозн.
|
Сумма годовых затрат,у.е
|
В том числе по деталям, у.е
|
|
|
|
|
|
|
1. Основные материалы за
вычетом отходов
|
|
116456,2272
|
0,5202
|
0,5454
|
|
2. Основная заработная
плата производственных рабочих
|
|
117025,525
|
0,4560854
|
0,6147238
|
|
3. Дополнительная
заработная плата производственных рабочих
|
|
43268,7081
|
0,168631809
|
0,227286352
|
|
4. Обязательные страховые
взносы в ФСЗН Министерства труда и социальной защиты РБ
|
|
73556,80376
|
0,286674076
|
0,386386798
|
|
5. Страховые взносы по
обязательному страхованию от несчастных случаев на производстве и
профессиональных заболеваний
|
|
1298,061243
|
0,005058954
|
0,006818591
|
|
6. Налог на недвижимость
|
|
18308,45427
|
0,071353824
|
0,096172545
|
|
7. Затраты на потребляемую
электроэнергию
|
|
34582,45997
|
0,134778759
|
0,181658328
|
|
8. Амортизация основных
фондов
|
|
241465,1056
|
0,941065714
|
1,268392919
|
|
9. Затраты на ремонт и
техническое обслуживание оборудования
|

|
0,0809929
|
0,109164343
|
|
10. Затраты на содержание
площади участка
|
|
3459,21596
|
0,013481656
|
0,018170928
|
|
11. Затраты на ремонт ЧПУ
|
|
12960
|
0,05050921
|
0,06807763
|
|
12. Затраты на возмещение
износа малоценного инструмента и инвентаря
|
|
149047,36
|
0,580884596
|
0,782931412
|
|
Итого
|
|
832209,6358
|
3,309716
|
4,305183
|
Таблица 7.13.2 - Калькуляция себестоимости выпускаемой продукции
(проектируемый вариант)
|
Наименование статьи затрат
|
Усл.обозн.
|
Сумма годовых затрат,у.е
|
В том числе по деталям, у.е
|
|
|
|
|
|
|
|
1. Основные материалы за
вычетом отходов
|
|
293566,9392
|
0,5202
|
0,5454
|
|
2. Основная заработная
плата производственных рабочих
|
|
12093,76073
|
0,000445669
|
0,000445669
|
|
3. Дополнительная
заработная плата производственных рабочих
|
|
19041,14851
|
0,000701688
|
0,000701688
|
|
4. Обязательные страховые
взносы в ФСЗН Министерства труда и социальной защиты РБ
|
|
32369,95247
|
0,001192869
|
0,001192869
|
|
5. Страховые взносы по
обязательному страхованию от несчастных случаев на производстве и
профессиональных заболеваний
|
|
571,2344554
|
2,10506E-05
|
2,10506E-05
|
|
6. Налог на недвижимость
|
|
13737,14809
|
0,000506229
|
0,000506229
|
|
7. Затраты на потребляемую
электроэнергию
|
|
99077,31086
|
0,003651111
|
0,003651111
|
|
8. Амортизация основных
фондов
|
|
162656,2508
|
0,005994067
|
0,005994067
|
|
9. Затраты на ремонт и
техническое обслуживание оборудования
|
|
24028,5186
|
0,000885478
|
0,000885478
|
|
10. Затраты на содержание
площади участка
|
|
3599,14674
|
0,000132633
|
0,000132633
|
|
11. Затраты на ремонт ЧПУ
|
|
12960
|
0,000477591
|
0,000477591
|
|
12. Затраты на возмещение
износа малоценного инструмента и инвентаря
|
|
108188,205
|
0,003986858
|
0,003986858
|
|
Итого
|
|
781889,6155
|
0,538195
|
0,5633952
|
|
|
|
|
|
|
8. Расчет
величины годового экономического эффекта
8.1 Расчет
суммы приведенных затрат
Расчет суммы приведенных затрат производится по формуле
где С - себестоимость годового выпуска продукции, у.е.;
- нормативный коэффициент сравнительной экономической
эффективности капитальных вложений (
);
- капитальные вложения, у.е.
Для базового варианта получим
Для проектируемого варианта имеем
8.2 Расчет
величины годового экономического эффекта
Годовой экономический эффект при равных объемах выпуска продукции
определяется как разность сумм приведенных затрат:
где
- суммы приведенных затрат, соответственно по базовому и
проектируемому вариантам, у.е.
Получим
8.3 Расчет срока окупаемости дополнительных
капитальных вложений
Капитальные вложения по базовому варианту Кб =
1870674,9 у.е. больше, чем по проектируемому Кпр =
1421104,814 у.е., значит вместо срока окупаемости проводится расчет экономии по
капиталовложениям:
Эк = Кб - Кпр
Э = 1870674,9 - 1421104,814 = 449570,0863 у.е.
9.
Основные технико-экономические показатели работы участка
После всего расчёта календарно-плановых нормативов и
технико-экономического обоснования гибкого производственного участка
механической обработки деталей приводятся основные технико-экономические
показатели работы участка, которые сводятся в таблицу 9.1.
|
Показатели
|
Един. измер.
|
Источник (стр.)
|
Величина показателя
|
|
|
|
базовый вариант
|
проект. вариант
|
|
1. Объем выпуска продукции,
в том числе:
|
|
|
|
|
|
|
шт.
|
|
109287
|
275495
|
|
|
шт.
|
|
109287
|
275495
|
|
2. Размер партии деталей, в
том числе:
|
|
|
|
|
|
|
шт.
|
|
240
|
403
|
|
|
шт.
|
|
240
|
403
|
|
3. Длительность
производственного цикла, в том числе:
|
|
|
|
|
|
|
ч
|
|
3,96
|
3,51
|
|
|
ч
|
|
4,54
|
4,46
|
|
4. Численность работающих
|
чел.
|
|
54
|
38
|
|
5. Объем капитальных
вложений
|
у.е.
|
|
1870674,9
|
1421104,814
|
|
6. Себестоимость обработки
деталей
|
у.е.
|
|
832209,6358
|
781889,6155
|
|
7. Годовой экономический
эффект
|
у.е.
|
|
117755,5333
|
|
8. Экономия по
капиталовложениям
|
у.е.
|
|
449570
|
Заключение
Исходя из рассчитанных показателей, можно сделать вывод о том, что
внедрение гибкого автоматизированного участка целесообразно. Используем
роботизированное оборудование с числовым программным управлением, требуется
меньше рабочих в процессе производства, и как следствие получается более низкая
себестоимость. По результатам расчетов видно, что себестоимость деталей для
базового варианта в 1,1 раза больше, чем для проектируемого. Объем капитальных
вложений для проектируемого варианта ниже в 1,3 раза базового. В итоге получаем
экономию по капиталовложениям в размере 449570 у.е. Годовой экономический
эффект составляет 117755,5333 у.е.
Список
использованных источников
[1] «Организация производства и
управление предприятием. Комплексная автоматизация производства. Методическое
пособие по выполнению курсовой работы» А. А. Горюшкин, Л. Ч.Горностай, Н. И.
Новицкий; под ред. Н. И. Новицкого. - Мн.: БГУИР, 2011. - 83 с.
Приложение
1
График
движения изделий по операциям
Рисунок
А.1 - График движения изделий по операциям
Приложение
2
Планировка
гибкого производственного участка
Рисунок
Б.1 - Планировка гибкого производственного участка
Обозначения:
ЧПУ - числовое программное управление;
АС - автоматизированный склад;
МГПТ - модуль гибкий производственный токарный;
Фр - станок фрезерный широкоуниверсальный;
КШ - полуавтомат кругло-шлифовальный;
ПР - промышленный робот;
ШС - шлицешлифовальный станок
РЭК - робоэлектрокар;
МИ - магазин инструментов;
С - стол для деталей;
МГД - магазин готовых деталей.