Анализ лекарственных средств, влияющих на функцию щитовидной железы
Курсовая
работа
Анализ
лекарственных средств влияющих на функцию щитовидной железы (стимулирующих и
угнетающих)
Содержание
ПЕРЕЧЕНЬ
УСЛОВНЫХ ОБОЗНАЧЕНИЙ
ВВЕДЕНИЕ
1. Гипотиреоз
1.1 Этиология
заболевания
.2 Симптомы
гипотиреоза
.3 Диагностика
и лечение
2. Гипертиреоз (тиреотоксикоз)
2.1 Симптомы
тиреотоксикоза
.2
Диагностика
.3 Лечение
тиреотоксикоза
3. Лекарственные средства применяемые для лечения гипотиреоза
3.1 История
открытия
.2
Синтетические аналоги иодированных производных аминокислот
.2.1
Левотироксин натрия
.2.2
Лиотиронина гидрохлорид
4. Фармацевтический анализ субстанции и таблеток левотироксина
натрия
. Лекарственные средства применяемые для лечения гипертиреоза
(тиреостатики)
5.1 Тионамиды
.1.1 Тирозол
.1.2
Пропилтиоурацил
6. Фармацевтический анализ субстанции и таблеток пропилтиоурацила
Заключение
Список используемой литературы
ПЕРЕЧЕНЬ УСЛОВНЫХ ОБОЗНАЧЕНИЙ
ГФ РБ - Государственная Фармакопея
Республики Беларусь.
Br Ph - Британская Фармакопея 2009, I- II том.
Jap Ph - Японская Фармакопея 15.
ВВЕДЕНИЕ
Во всем мире число людей с заболеваниями эндокринной системы непрерывно
увеличивается. Данные заболевания очень трудно поддаются лечению. Причины их
возникновения весьма разнообразны, большую роль играет генетический фактор, но
в последнее время отмечается существенное влияние экологического фактора, и
возможно именно он является определяющим в развитии таких заболеваний как гипо-
и гипертиреоз. Особенно сильно возросло число заболеваний щитовидной железы
после аварии на Чернобыльской АЭС. Рак щитовидной железы начали диагностировать
даже у детей.
Проблема не только в нехватке йода, а в том,
что вследствие воздействия радиации и других неблагоприятных факторов
нарушается синтез тиреоидных гормонов фолликулами щитовидной железы, что в свою
очередь приводит к нарушению функции других эндокринных желез и в конечном
итоге к тяжелым нарушениям обмена веществ.
В данной курсовой работе рассматриваются методы фармацевтического анализа
ЛС применяемых при гипо- и гипертиреоидных состояниях, предложенные
отечественной и зарубежными фармакопеями (Британской, Японской).
1. Гипотиреоз
Гипотиреоз - заболевание, обусловленное недостаточным содержанием в
организме гормонов щитовидной железы. Обычно это происходит при снижении или
полном выпадении функции щитовидной железы.
Различают первичный и вторичный гипотиреоз: первичный гипотиреоз
обусловлен патологией самой щитовидной железы, вследствие которой снижается
продукция гормонов; вторичный гипотиреоз связан с нарушением работы гипофиза
или гипоталамуса, регулирующих выработку тиреоидных гормонов (гормонов
щитовидной железы).
По статистике, гипотиреоз - одно из самых распространенных заболеваний
эндокринной системы.
1.1 Этиология заболевания
Наиболее часто гипотиреоз возникает на фоне хронического аутоиммунного
тиреоидита - воспаления щитовидной железы, связанного с иммунными нарушениями
(образованием аутоантител). Другие причины развития первичного гипотиреоза:
врожденная гипоплазия (уменьшение) и аплазия щитовидной железы;
наследственно обусловленные дефекты биосинтеза тиреоидных гормонов;
перенесенная операция на щитовидной железе - струмэктомия;
лечение токсического зоба радиоактивным йодом и ионизирующее облучение
щитовидной железы (пострадиационный гипотиреоз);
недостаточное поступление йода в организм с пищей (эндемический зоб и
кретинизм); - воздействие некоторых лекарств;
опухоли, острые и хронические инфекции щитовидной железы (тиреоидит,
абсцесс, туберкулез, актиномикоз и др.).
Вторичный гипотиреоз может возникать при воспалении, опухоли,
кровоизлиянии, некрозе или травме гипофиза и/или гипоталамуса, а также при
удалении гипофиза (хирургическая и лучевая гипофизэктомия) - с недостаточным
выделением тиреотропного гормона гипофизом или тиреолиберина гипоталамусом.
1.2 Симптомы гипотиреоза
При уменьшении количества гормонов щитовидной железы нарушается обмен
веществ в организме, ухудшается работа сердечно-сосудистой системы,
желудочно-кишечного тракта, психическая и половая активность. Симптомы
гипотиреоза развиваются медленно, незаметно, поэтому пациенты долгое время не
обращаются к врачу.
При заболевании отмечаются:
вялость, сонливость;
ухудшение памяти, внимания, мыслительной деятельности;
непереносимость холода и жары;
сухость кожи, выпадение волос;
отечность;
прибавка в весе; запоры;
у женщин - нарушение менструаций, у мужчин - снижение потенции и
сексуального влечения.
Тяжелым, угрожающим жизни осложнением гипотиреоза является гипотиреоидная
кома, развивающаяся у больных пожилого возраста при отсутствии лечения. При
коме происходит потеря сознания и угнетение работы всех органов организма.
Гипотиреоидная кома может быть спровоцирована охлаждением, травмой,
инфарктом миокарда, острыми инфекционными и другими заболеваниями.
1.3 Диагностика и лечение
Диагноз «гипотиреоз» устанавливает врач-эндокринолог на основании жалоб и
осмотра пациента, а также данных исследований:
исследование крови на гормоны щитовидной железы (тироксин и
трийодтиронин) и тиреотропный гормон - при гипотиреозе отмечается пониженное
содержание гормонов щитовидной железы в крови, уровень тиреотропного гормона
может быть как повышен, так и понижен;
биохимический анализ крови - при гипотиреозе отмечается повышение уровня
холестерина и других липидов;
для определения размеров и структуры щитовидной железы показано выполнение
УЗИ;
в ряде случаев может потребоваться проведение сцинтиграфии щитовидной
железы или пункционной тонкоигольной биопсии.
Основа лечения - заместительная терапия гормонами щитовидной железы.
Эндокринолог подбирает необходимую дозу препарата в зависимости от тяжести и
длительности заболевания, возраста пациента и наличия сопутствующих
заболеваний.
Препараты хорошо переносятся и удобны в применении. Как правило,
лекарство следует принимать один раз в день. В большинстве случаев лечение
проводится пожизненно. Для контроля за лечением нужно посещать эндокринолога
регулярно (раз в год) для проверки уровня гормонов щитовидной железы и
тиреотропного гормона.
Если причина заболевания - снижение потребления йода с пищей, то больному
назначают йодсодержащие препараты, рекомендуют употреблять больше
морепродуктов, йодированную соль.
Соблюдение рекомендаций врача и правильный прием препаратов позволяет
полностью устранить симптомы гипотиреоза. Если же гипотиреоз не лечить,
состояние пациента постепенно ухудшается. Нелеченный гипотиреоз у детей
приводит к необратимой задержке роста, физического и психического развития. У
пожилых может развиваться тяжелое, нередко смертельное осложнение -
гипотиреоидная кома.
Профилактика гипотиреоза заключается в: соблюдении рациона питания,
обеспечивающего достаточное поступление йода в организм, своевременном лечении
заболеваний щитовидной железы.
2. Гипертиреоз (тиреотоксикоз)
Гипертиреоз (тиреотоксикоз) - состояние, вызванное стойким повышением
уровня гормонов щитовидной железы. Термин тиреотоксикоз (интоксикация
тиреоидными гормонами) более адекватно отражает суть заболевания, поскольку
гипертиреоз бывает и в нормальных условиях, например при беременности.
Заболевания, на фоне которых, чаще всего, развивается тиреотоксикоз:
диффузно-токсический зоб;
узловой (многоузловой) зоб;
тиреотоксическая фаза аутоиммунного тиреоидита.
Очень редко диагностируется вторичный тиреотоксикоз, когда на фоне ТТГ -
секретирующей аденомы гипофиза, происходит постоянная стимуляция щитовидной
железы.
Тиреотоксикоз - это состояние противоположное гипотиреозу: если при
гипотиреозе все процессы в организме замедляются, при тиреотоксикозе метаболизм
резко повышается.
сердцебиение; чувство жара в теле;
внутренняя дрожь;
плохая переносимость духоты и пребывания на солнце;
повышенная потливость; повышенная возбудимость и нервозность;
неусидчивость; дрожание рук.
По степени тяжести выделяют: тиреотоксикоз лёгкого течения, средней
степени тяжести и тяжёлой степени тяжести.
Симптомы заболеваний, при которых выявляется тиреотоксикоз:
собственно сам зоб - припухлость шеи;
боль и дискомфорт в шее; ознобы.
2.2 Диагностика
После сбора жалоб и осмотра, при подозрении на тиреотоксикоз, врач
порекомендует сдать анализ крови на гормоны. При тиреотоксикозе уровень ТТГ
снижен, а уровни Т3 и Т4 повышены.
Для уточнения заболевания, на фоне которого развился тиреотоксикоз, врач
может назначить следующие исследования: УЗИ щитовидной железы, сканирование
щитовидной железы с применением радиоактивного йода или технеция, тонкоигольную
аспирационную биопсию щитовидной железы, определение уровня антител к
структурам щитовидной железы и антител к рецепторам тиреотропного гормона,
компьютерную или магнитно-резонансную томографию при подозрении на аденому
гипофиза.
2.3 Лечение тиреотоксикоза
Существуют три основных метода лечения тиреотоксикоза:
медикаментозное; хирургическое;
лечение радиоактивным йодом.
При консервативном лечении назначаются тиреостатические препараты,
требуется регулярно и своевременно принимать препарат и регулярно посещать
врача эндокринолога.
Хирургическое лечение показано в случаях неэффективности консервативного
лечения, при симптомах сдавления органов средостенья (значительное увеличение
щитовидной железы, загрудинное расположение зоба), при развитии тяжелых
побочных эффектов при лечении тиреостатиками, при подозрении на злокачественное
образование в щитовидной железе.
3. Лекарственные средства
применяемые для лечения гипотиреоза
.1 История открытия
Левотироксин относится к числу наиболее часто используемых в клинической
практике лекарственных средств. Так, по данным Enrico L. Ocampo и Martin I.
Surks в США на него ежегодно заполняется более 15 миллионов рецептов.
Препараты синтетического L-тироксина впервые появились в мире в 50-х
годах прошлого столетия. Экскурс в историю позволяет выделить основные этапы
этого пути: 1915 год - Kendall посчастливилось получить тироксин в чистом виде;
1927 год - Harrington & Barger осуществили его синтез; 1949 год - Chalmers
et al. открыли физиологическую L-форму тироксина. В последующем, в 1951 году
Gross & Pitt-Rivers, Roche et al. был открыт второй гормон щитовидной
железы - трийодтиронин, а в 1970 году Braverman, Sterling et al. открыли
периферическое превращение тироксина в трийодтиронин. Последнее открытие
послужило основой к преимущественному использованию в последующем монотерапии
синтетическим L-тироксином.
Длительное время (более 100 лет) в клинической практике использовались
препараты высушенных щитовидных желёз крупного рогатого скота. Они состояли
преимущественно из тиреоглобулина, в котором L-T4 и L-T3 находились в
соотношении 2-3:1; а также йодтиронинов и йода в различных пропорциях. У нас в
стране аналогом подобных препаратов являлся тиреоидин. Его недостатками были
ненадёжная стандартизация, слишком высокое содержание йода, усиленный переход
Т4 в Т3 при длительном хранении, возможность образования антител к животному
белку. Также следует отметить, что препараты, полученные из органов убойного
скота, несут в себе опасность передачи вирусоподобных частиц - прионов
(подобных или идентичных возбудителям болезни Крейфельдс-Якоба, губчатой
энцефалопатии - "бешенства коров"). В связи с этим препараты
тиреоидных гормонов, полученные из высушенных щитовидных желез, ныне не используются.
3.2 Синтетические аналоги иодированных производных
аминокислот
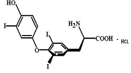
3.2.1 Левотироксин натрия
Физические свойства
Левотироксин натрия - натриевая соль синтетического аналога природного
гормона L- тироксина (L-3, 5, 3’, 5’- тетрайодтиронина) и лиотиронин гидрохлорид-
аналог L- 3, 5, 3’- трийодтиронина.

Рисунок 1- Структурная формула левотироксина натрия и
лиотиронина гидрохлорида
гипотиреоз
тиреотоксикоз йодированный фармацевтический
Левотироксин натрия очень мало растворим в воде, мало растворим в
этаноле, практически нерастворим в эфире, хлороформе, ацетоне. Растворим в
растворах щелочей. Лиотироксина гидрохлорид практически нерастворим в воде (в
т. ч. в горячей), растворим в этаноле.
Левотироксин натрия (Levothyroxine sodium)
Синонимы: L-Тироксин Берлин Хеми, L-Тироксин Хеннинг, Эутирокс, Эферокс.
Фармакологическое действие Синтетический левовращаюший изомер тироксина
(гормона щитовидной железы). В малых дозах обладает анаболическим (усиливающим
синтез белка) действием. В средних дозах стимулирует рост и развитие, повышает
потребность тканей в кислороде, стимулирует метаболизм (обмен в организме)
белков, жиров и углеводов, повышает функциональную активность
сердечно-сосудистой и центральной нервной системы. В больших дозах угнетает
выработку тиреотропин- рилизинг гормона гипоталамуса и тиреотропного гормона
гипофиза (гормонов, вырабатываемых железами внутренней секреции, расположенными
в мозге). Препарат медленно всасывается, терапевтический эффект наблюдается
через 7-12 дней, так же медленно выводится.
Показания к применению
Первичный и вторичный гипотиреоз (снижение функции щитовидной железы),
комплексное лечение болезни Грейвса (заболевания, характеризующегося диффузным
увеличением щитовидной железы и усилением ее функции), эутиреоидной гиперплазии
(патологического увеличения) щитовидной железы, профилактика рецидивов
(повторного развития) после оперативного лечения узловых и злокачественных
новообразований щитовидной железы, кретинизм (врожденная недостаточность
функции щитовидной железы, характеризующаяся резким снижением умственного и
физического развития). В дозе 1 мг используется для проведения
дифференциально-диагностического теста тиреоидной супрессии (подавления функции
щитовидной железы).
Способ применения и дозы Внутрь перед едой. Дозы побираются индивидуально
в зависимости от показаний. Лечение начинают с малых доз - 12,5-25 мкг в сутки.
Средняя суточная доза - 25-200 мкг. Кратность приема - 1 раз в сутки за 20-30
мин до еды. Поддерживающая доза - 25-200 мкг в сутки. При врожденном
гипотиреозе детям до 6 месяцев назначают 25-50 мкг, до 12 месяцев - до 60 мкг,
1-5 лет - до 100 мкг, 6-12 лет 1 до 150 мкг, старше 12 лет - до 200 мкг в
сутки. В период лечения препаратом требуется постоянный врачебный контроль.
Левотироксин натрий усиливает действие антидепрессантов, антикоагулянтов.
Побочное действие
При передозировке признаки гипертиреоза (повышения функции щитовидной
железы), ухудшение течения ишемической болезни сердца, сахарного диабета,
болезни Аддисона (недостаточной функции надпочечников), редко - нарушения ритма
сердца, понос, рвота, бессонница. В первые 2-3 дня после приема диагностической
дозы (3 мг) возможны потливость, сердцебиение, слабость.
Противопоказания
Абсолютными противопоказаниями для применения препарата для
дифференциально-диагностического теста являются острый инфаркт миокарда, острый
миокардит (воспаление мышц сердца), нелеченая болезнь Аддисона, тяжелые
нарушения ритма сердца, тяжелый гипертиреоз (заболевание характеризующееся
повышенной функцией щитовидной железы). Для проведения заместительной терапии
абсолютных противопоказаний нет. Относительными противопоказаниями являются
тяжелые формы ишемической болезни сердца, общий атеросклероз, выраженная
артериальная гипертензия (подъем артериального давления), недостаточность
кровообращения.
Форма выпуска. Условия хранения
Таблетки, содержащие по 25, 50, 75, 100, 125, 150, 175, 200 мкг
левотироксина натрия.
Список Б. В сухом, защищенном от света месте.
Анализ лекарственного средства приведен в таблицах 1-3.
3.2.2 Лиотиронина гидрохлорид
Лиотиронин (Liothyronine, Triiodothyronine). Представляет собой полученный
синтетическим путем Т3 (трийодтиронин). По механизму действия
аналогичен левотироксину. Он не требует периферического дейодирования и сразу
активирует цитозольные рецепторы клетки-мишени. По своей активности в 3-4 раза
превосходит левотироксин.
Фармакологические эффекты лиотиронина качественно полностью аналогичны
эффектам левотироксина и отличаются от последних только количественной
характеристикой. После введения лиотиронина эффект развивается уже через 4-8
часов, но сохраняется всего лишь 1 неделю, в отличие от эффектов левотироксина.
Применение и режимы дозирования
Лиотиронин применяют как средство заместительной терапии у лиц моложе 55
лет, не страдающих патологией сердечно-сосудистой системы. Применение его у
пожилых пациентов и людей с заболеваниями сердца часто сопряжено с
возникновением серьезных нежелательных эффектов, риск которых значительно
превышает ожидаемую пользу от применения лиотиронина.
Основным показанием для применения лиотиронина является оказание
неотложной помощи при микседематозной коме. Это связано с тем, что после
введения лиотиронина эффект развивается более быстро, чем при введении левотироксина.
Пациенту с комой вводят лиотиронин внутривенно по 10-25 мкг каждые 8 часов,
либо прибегают к внутрижелудочному введению через назогастральный зонд в тех же
дозах. Использовать более высокие дозы (>75 мкг/сут) для лечения
микседематозной комы не рекомендуется. В настоящее время четко установлено, что
при введении более 75 мкг/сут лиотиронина число благоприятных исходов не
увеличивается, а смертность достоверно повышается.
Для лечения гипотиреоза при кретинизме и микседеме лиотиронин применяют в
дозе 5-10 мкг/сут, разделенной на 2-3 приема. Крайне осторожно (риск развития
аритмий!) дозу лиотиронина постепенно увеличивают до оптимальной на 5-10 мкг
каждые 2-3 недели. Как правило поддерживающая доза составляет 50-75 мкг/сут.
Как средство супрессивной терапии при лечении узлового зоба, профилактики
рецидивов папиллярной карциномы щитовидной железы лиотиронин практически не
используют, т.к. разница между супрессивными и тиреотоксическими дозами
лиотиронина настолько мала, что практически невозможно вызвать подавление
продукции ТТГ без создания тиреотоксикоза.
Побочное действие: лиотиронин вызывает такие же осложнения, как и
левотироксин.
Противопоказания: аналогично левотироксину.
Форма выпуска Таблетки по 50 мкг.:
Условия хранения: Список Б. В сухом защищенном от света месте.
4. Фармацевтический анализ
субстанции и таблеток левотироксина натрия
Таблица 1. - Идентификация
|
Фармакопея
|
Лекарственная форма
|
Испытания
|
Растворитель; 2) подвижная и 3) неподвижная фаза; 4)
реактивы; 5) раствор; 6) индикатор; 7) титрант
|
|
ГФ РБ
|
Субстанция
|
Удельное оптическое вращение
|
Смесь: 1М раствор кислоты хлористоводородной- 96% спирт
этиловый
|
|
|
|
Абсорбционная спектрофотометрия в инфракрасной области
|
--------------------------------------
|
|
|
|
Тонкослойная хроматография
|
1) Раствор аммиака концентрированный и метанол; 2) Раствор
аммиака концентрированный - 2-пропанол - этилацетат; 3) силикагель
|
|
|
|
Нагревание
|
4) Серная кислота (разведенная)
|
|
|
|
Сжигание
|
4) серная кислота (разведенная)
|
|
Br Ph
|
Субстанция
|
Смесь: 1М раствор кислоты хлористоводородной- 96% спирт
этиловый
|
|
|
|
Абсорбционная спектрофотометрия в инфракрасной области
|
----------------------------------
|
|
|
|
Тонкослойная хроматография
|
1)Раствор аммиака концентрированный и метанол; 2)Раствор
аммиака концентрированный-2-пропанол - этилацетат; 3) Силикагель
|
|
|
|
Нагревание
|
4) Серная кислота (разведенная)
|
|
|
|
Сжигание
|
4) Серная кислота (разведенная)
|
|
|
Jap Ph
|
Субстанция
|
Сжигание
|
-------------------------
|
|
|
|
|
Реакция
|
4) вода, этанол (95), соляная кислота и гидроокись натрия,
нитрит натрия, нашатырный спирт (28)
|
|
|
|
|
Абсорбционная спектрофотометрия в ультрафиолетовой и
видимых областях
|
1) Раствор гидроксида натрия
|
|
|
|
|
Удельное оптическое вращение
|
1) Раствор гидросида натрия, этанол 95%
|
|
|
|
Таблетки
|
Реакция
|
4) вода, этанол (95), соляная кислота, гидроокись натрия,
нитрита натрия, нашатырного спирта (28)
|
|
|
|
|
Тонкослойная хроматография
|
1) Этанол; 2) бутанол, амиловый спирт, вода, нашатырный
спирт (28) и 2-бутанон; 3) силикагель
|
|
|
|
|
|
|
|
|
|
|
Таблица 2. - Чистота.
|
ГФ РБ
|
Субстанция
|
Сравнение с эталоном
|
1 М хлористоводородная кислота- 96% этанол; 5) эталон BY(КЖ)3
|
|
|
Потеря в массе при высушивании
|
--------------------------------------------
|
|
|
Остаточные количества органических растворителей
|
--------------------------------------------
|
|
|
Жидкостная хроматография
|
1) Раствор аммиака концентрированный, метанол; 2) Кислота
фосфорная- ацетонитрил- вода; 3) силикагель нитрильный
|
|
|
Микробиологическая чистота
|
-------------------------------------
|
|
Br Ph
|
Субстанция
|
Сравнение с эталоном
|
1) 1 М хлористоводородная кислота- 96% этанол; 5) эталон BY(КЖ)3
|
|
|
Потеря в массе при высушивании
|
--------------------------------------------
|
|
|
Жидкостная хроматография
|
1) Раствор аммиака концентрированный, метанол; 2) Кислота
фосфорная- ацетонитрил- вода; 3) силикагель нитрильный
|
|
Jap Ph
|
Субстанция
|
Растворение, определение цвета
|
1) Этанол, гидроксид натрия
|
|
|
Потеря в массе при высушивании
|
--------------------------------------------
|
|
|
Тонкослойная хроматография
|
1) Этанол; 2) t-бутанол, t-амиловый спирт, вода, нашатырный
спирт (28) и 2-бутанон; 3) силикагель
|
|
Таблетки
|
Сравнение с контролем (уровень аполесценции)
|
1) Вода, азотная кислота (разведенная), серебра нитрат; 4)
контроль: хлористоводородная кислота, вода, кислота азотная разведенная
|
|
|
Жидкостная хроматография
|
1) Раствор аммиака концентрированный, метанол; 2) Кислота
фосфорная- ацетонитрил- вода; 3) силикагель нитрильный
|
|
Таблетки
|
Жидкостная хроматография
|
1) Раствор аммиака концентрированный, метанол; 2) Кислота
фосфорная- ацетонитрил- вода; 3) силикагель нитрильный
|
Таблица 3. - Количественное определение.
|
ГФ РБ
|
Субстанция
|
Жидкостная хроматография
|
1) Раствор аммиака концентрированный, метанол; Кислота
фосфорная - ацетонитрил - вода; 3) силикагель нитрильный
|
|
Br Ph
|
Субстанция
|
Жидкостная хроматография
|
1) Раствор аммиака концентрированный, метанол; 2) Кислота
фосфорная - ацетонитрил - вода; 3) силикагель нитрильный
|
Субстанция
|
Иодометрическое титрование
|
5) Натрия гидроксид и сульфат натрия; 6) Крахмал
|
5. Лекарственные средства
применяемые для лечения гипертиреоза (тиреостатики)
5.1 Тионамиды
Ведущими тиреостатиками являются тионамиды, к которым относятся метимазол
(синонимы: тирозол, тиамазол, мерказолил), карбимазол (в оргнизме превращается
в тиамазол, поэтому далее не рассматривается) и пропилтиоурацил.
Рисунок 2-структурная формула тирозола (1-метил-2-меркаптоимидазол)
.1.1 Тирозол
Физические свойства
Физические свойства: белый или желтоватый кристаллический порошок со
слабым специфическим запахом и горьким вкусом. Легко растворим в воде (1: 7.5)
и спирте (1: 10).
Синонимы: Тиамазол, Antiroid, Basolan, Danantizol, Favistan, Mercazol, Methimazol, Methothyrin, Tapazole, Thycapzol, Thymidazol.
Фармакологическое действие
Является синтетическим антитиреоидным веществом. Вызывает уменьшение
синтеза тироксина в щитовидной железе (блокирует пероксидазу), благодаря чему
оказывает специфическое лечебное действие при ее гиперфункции, понижает
основной обмен. Ускоряет выведение из щитовидной железы йодидов, угнетает активность
ферментных систем, участвующих в окислении йодидов в йод, что приводит к
торможению йодирования тиреоглобулина и задержке превращения дийодтирозина в
тироксин.
Показания к применению
Тиреотоксикоз, подготовка к хирургическому лечению тиреотоксикоза, для
предварительного и промежуточного лечения дополнительно к радиойодтерапии,
послеоперационные рецидивы тиреотоксикоза, узловой зоб.
Способ применения и дозы
Внутрь. Суточную дозу назначают в один прием или делят на 2-3 разовые
дозы. В начале лечения разовые дозы применяются в течение дня в строго
определенное время. Поддерживающую дозу следует принимать в один прием после
завтрака. Режим дозирования устанавливают индивидуально. Обычная доза для
взрослых при лечении тиреотоксикоза - 20-40 мг/сут. С момента наступления
эутиреоидного состояния дозу постепенно (в среднем в течение 3-8 нед) снижают
до поддерживающей (5-20 мг/сут), прием которой продолжается до 1-1,5 лет.
Максимальные дозы для взрослых: разовая - 10 мг, суточная - 60 мг. Беременным:
в максимально низких дозах - 2,5-10 мг. Детям: 0,3-0,5 мг/кг; поддерживающие
дозы для детей - 0,2-0,3 мг/кг.
Побочное действие
Со стороны органов ЖКТ: тошнота, рвота, боль в эпигастрии, нарушение
функции печени, гепатит, холестатическая желтуха. Со стороны сердечно-сосудистой системы и крови (кроветворение, гемостаз):
подавление миелопоэза (агранулоцитоз, гранулоцитопения, тромбоцитопения),
апластическая анемия, гипопротромбинемия (петехии, кровотечения). Со стороны нервной системы и органов чувств: парестезии, выраженная
слабость, головная боль, головокружение, неврит, полиневрит, нарушение вкуса. Аллергические реакции: сыпь, крапивница, зуд кожи. Прочие: лихорадка, инсулиновый аутоиммунный синдром,
генерализованная лимфаденопатия, сиаладенопатия, алопеция, волчаночноподобный
синдром, периартериит, боль в суставах, мышцах, гиперпигментация кожи, отеки,
увеличение массы тела; редко - нефрит; субклинический и клинический гипотиреоз
(при приеме высоких доз).
Противопоказания
Гиперчувствительность к тиамазолу и производным тиомочевины,
агранулоцитоз во время ранее проводившейся терапии тиамазолом, выраженная
лейкопения или гранулоцитопения, в т.ч. лекарственно индуцированная; холестаз
перед началом лечения.
Форма выпуска
Таблетки по 0.005 г.
Хранение
Список Б. В сухом, защищенном от света месте.
Рисунок 3-структурная формула пропилтиоурацила (2,3 -
дигидро-6-пропил - 2 - тиоксо - 4 (14) - пиримидинон
.1.2 Пропилтиоурацил
Физические свойства
Физические свойства: белый или желтоватый кристаллический порошок со
слабым специфическим запахом и горьким вкусом. Растворим в воде и спирте.
Синонимы: пропицил, ПТУ.
Фармакологическое действие
Является производным тиомочевины. По своим свойствам пропилтиоурацил
(ПТУ) напоминает тиамазол, но, в то же время, имеет и несколько принципиальных
отличий.
Подобно тиамазолу ПТУ блокирует процесс органификации йода. В то же самое
время ПТУ нарушает работу дейодаз периферических тканей и предотвращает процесс
периферической конверсии Т4 в Т3. Поэтому ПТУ ослабляет
влияние тиреоидных гормонов на клетки-мишени.
Фармакологический эффект: подобно тиамазолу ПТУ оказывает
тиреостатический эффект, однако, он не влияет на иммунный статус и лишен
иммуномодулирующего действия, которым обладает тиамазол. В отличие от тиамазола
он интенсивно связывается с белками плазмы крови и поэтому плохо проникает
через гематоплацентарный и гематомаммарный барьеры.
ПТУ имеет очень короткий период полуэлиминации (1,0-1,5 часа) и его
эффект сохраняется в течение 7-8 часов после введения.
Способ применения и дозы
Обычно ПТУ вводят внутрь (или внутрижелудочно, ректально если пациент
находится без сознания). Нагрузочная доза составляет 600-800 мг, после чего
лекарство вводят по 200-400 мг каждые 4 часа.
Побочное действие:
аналогично тиамазолу.
Противопоказания: аналогично тиамазолу.
Форма выпуска: таблетки по 50 мг по 20 штук.
Хранение: список Б. В сухом, защищенном от света месте.
6. Фармацевтический анализ
субстанции и таблеток пропилтиоурацила
Таблица 4. - Идентификация
|
Фармакопея
|
Лекарственная форма
|
Испытания
|
Растворитель; 2) подвижная и 3) неподвижная фаза; 4)
реактивы; 5) раствор; 6)индикатор; 7)титрант
|
|
ГФ РБ
|
--------------------
|
--------------------------
|
-----------------------------
|
|
Br Ph
|
Субстанция
|
Абсорбционная спектрофотометрия в инфракрасной области
|
------------------------------
|
|
|
Тонкослойная хроматография
|
1) Метанол; 2) Ледяная уксусная кислота- 2- пропанол-
хлороформ; 3) Силикагель
|
|
|
Реакция
|
Бромная вода, бария хлорид, натрия гидроксид
|
|
Jap Ph
|
Субстанция
|
Реакция
|
4) Бромная вода; бария гидроксид
|
|
|
Реакция
|
4) Пентоцианоамино-феррат натрия (II) п- гидрат
|
|
Таблетки
|
Реакция
|
4) Аммиак, уксусная кислота
|
Таблица 5. - Чистота
|
Br ph
|
Субстанция
|
1) Метанол; 2) Ледяная уксусная кислота- 2- пропанол-
хлороформ; 3) Силикагель
|
|
|
Тяжелые металлы, сравнение с с эталоном
|
4) Раствор свинца
|
|
|
Потеря при высушивании
|
------------------------
|
|
|
Сульфатная зола
|
------------------------
|
|
Jap Ph
|
Субстанция
|
Сравнение с с контрольным раствором
|
4) Хлористоводородная кислота, серная кислота
|
|
|
Потеря при высушивании
|
------------------------
|
|
|
Сравнение с с контрольным раствором
|
4) Аммиак, серебра нитрат, тиомочевина
|
|
|
Сульфатная зола
|
------------------------
|
|
Таблетки
|
Растворимость
|
------------------------
|
Таблица 6. - Количественное определение
|
Br Ph
|
Субстанция
|
Потенциометрическое титрование
|
4) Натрия Гидроксид 0.1 М, . серебра нитрат 0.1 М ; 7)
натрия гидроксид 0.1 М
|
|
Jap Ph
|
Субстанция
|
Алкалиметрическое титрование
|
4) натрия гидроксид, серебра нитрат 0.1 М; 7) натрия
гидроксид 0.1 М; 6) бромтимоловый синий
|
|
Таблетки
|
Предварительная экстракция ацетоном в в экстракторе
Сокслета; Алкалиметрическое титрование
|
4) натрия гидроксид, серебра нитрат 0.1 М; 7) натрия
гидроксид 0.1 М; 6) бромтимоловый синий
|
Заключение
Для идентификации левотироксина натрия и пропилтиоурацила применяются
(рассматриваются перечисленными в данной работе фармакопеями) следующие методы:
Определение удельного оптического вращения (левотироксина натрия). Для проведения этого метода необходимы растворители: вода,
метанол, этанол - в зависимости от растворимости определяемых веществ.
Абсорбционная спектрофотометрия в ИК-области. Этот метод не требует
применения растворителей, в том числе токсических, но не может применяться для
количественного анализа из-за низкой чувствительности и воспроизводимости.
Абсорбционная спектроскопия в УФ и видимой области(левотироксина натрия).
Данный метод требует применения растворителей, обладающих токсическим действием
- хлороформа, метанола. Требует дорогостоящей аппаратуры.
Тонкослойная хроматография. Также требует использования токсичных растворителей.
Химические реакции (большее применение нашли в Японской Фармакопее).
Метод прост в исполнении, не требует сложной дорогостоящей аппаратуры, но не
все реакции применимы для идентификации.
Для определения чистоты левотироксина натрия и пропилтиоурацила
использовались следующие методы:
Сопутствующие примеси (определяют методом ТСХ, жидкостной хроматографии).
Потеря в массе при высушивании.
Определение прозрачности и цветности раствора (в большинстве случаев
применяются токсические растворители).
тяжелые металлы ( пропилтиоурацил).
микробиологическая чистота (по ГФ РБ).
Сульфатная зола.
ТСХ.
Для количественного определения левотироксина натрия и пропилтиоурацила
применяют:
Жидкостная хроматография.
Иодометрическое титрование (по Японской Фармакопее, на левотироксин
натрия).
Алкалиметрическое
титрование (по Японской Фармакопее на субстанцию и таблетки пропилтиоурацила).
Потенциометрическое титрование (по Британской Фармакопее на
пропилтиоурацил).
Список используемой литературы
1. Харкевич,
Д.А. Фармакология: Учебник. - 8-е издание, перераб., доп. и испр. - М.: ГЭОТАР-Медиа, 2005. -
736с.
. Машковский,
М.Д. Лекарственные средства: в 2-х томах. - 10-изд. стер. - М.: Медицина, 1986.
Т.1 - 624с., т.2 - 576с.
. Справочник
Видаль Лекарственные препараты в Беларуси: Справочник
М.:
АстраФармСервис, 2009. - 944с.
. Арзамасцев,
А.П. Фармацевтическая химия / А.П. Арзамасцев. - М.: ГОЭТАР-МЕД, 2004. - 635с.
5. Аметов А.С., Кониева М.Ю.,
Лукьянова И.В. статья «Комбинированное применение тирозола и конкора у больных
с тиреотоксическим сердцем» [Электронный ресурс]. - Режим доступа:
<http://endocrinology.mif-ua.com/archive/issue-423/article-451/>
. Шилин Д. Е. статья «Исследование
антитиреоидных антител и тиреоглобулина в диагностике и контроле терапии
заболеваний щитовидной железы» [Электронный ресурс]. - Режим доступа: http://ckb@telemednet.ru
<mailto:ckb@telemednet.ru>.
. Проф. Древаль А.В. статья
«Тирозол как препарат выбора в лечении диффузного токсического зоба»
[Электронный ресурс]. - Режим доступа: <http://lekmed.ru/>.
8. Государственная фармакопея Республики Беларусь. В 3 т. Т.
3. Контроль качества фармацевтических субстанций / М-во здравоохранения. Респ.
Беларусь, УП «Центр экспертиз и испытаний в здравоохранении» ; под общ. ред. А.
А. Шерякова. - Молодечно : Типография «Победа», 2009. - с. 367.
9. British Pharmacopoeia - 2009,
version 6.0 [Электронный ресурс] - Электрон.
текстовые дан. и прогр. (93,1 Мб). - Norwich, 2009. - 1 электрон. опт. диск (CD-ROM).