Выбор и обоснование метода вычисления ставки дисконтирования при оценке эффективности инвестиционных проектов в нефтегазовой отрасли
Введение
Нефтегазовый комплекс (НГК) играет ключевую роль в экономике России и
формирует около 20 % ВВП, 50 % нефтегазовых доходов в структуре федерального
бюджета, 68 % валютных поступлений от экспорта нефти, газа и продуктов
переработки в общем объёме экспорта, около 30 % общего объема инвестиций.
В связи с этим для устойчивого развития экономики России, повышения
качества жизни населения страны, содействия укреплению ее внешнеэкономических
связей, эффективному использованию природных энергетических ресурсов актуальной
задачей является переход на инновационный путь развития, прежде всего,
нефтегазового комплекса России, как основного локомотива роста российской
экономики. Это потребует значительных инвестиций для модернизации нефтегазового
комплекса и создания новых объектов добычи, переработки, нефтегазохимии и
транспорта углеводородов.
За период с 2000 по 2010 гг. объем инвестиций в добывающий сектор возрос
в 12 раз, повышается необходимость совершенствования методов оценки
инвестиционных проектов с учётом отраслевой специфики проектов НГК, приближение
и обоснование параметров оценки на основе реальной хозяйственной практики.
Инвестиционные проекты НГК является крупномасштабными, со значительным
объёмом инвестиций на начальных стадиях реализации проекта и длительным сроком
реализации. Средний срок жизни инвестиционного проекта в нефтегазовой отрасли
25-35 лет, что обусловлено геологическими, технологическими и проектными
особенностями разработки месторождений. В этой связи высокое значение имеет
обоснованность выбора ставки дисконтирования, как одного из универсальных и
комплексных показателей учёта риска реализации проекта, а также учитывая
широкого распространения методов и критериев экономической эффективности и
инвестиционной привлекательности, основанных на временной стоимости денег.
Процесс дисконтирования доходов на таком значительном промежутке времени
становится очень чувствительным к начальным параметрам. Все официальные
методики по оценке эффективности инвестиционных проектов используют дисконтированные
величины и указывают на необходимость учитывать риски в ставке дисконтирования,
однако не достаточно обосновывают механизмы ее расчета и критерии выбора и
отраслевые особенности. Это обуславливает необходимость совершенствования
подходов к обоснованию ставки дисконтирования с учётом специфики нефтегазового
комплекса.
Целью данной работы является выбор и обоснование метода вычисления
ставки дисконтирования при оценке эффективности инвестиционных проектов в
нефтегазовой отрасли, разработка рекомендаций по расчету.
Процесс решения проблемы включал в себя ряд этапов на каждом из которых
были поставлены и решены соответствующие задачи:
· Обзор методических подходов к экономической оценке ресурсов в
российской практике;
· Анализ основных зарубежных методик по оценке эффективности
инвестиционных проектов;
· Анализ и сравнение методических подходов и используемых в них
критериев. Выделение основных блоков показателей сравнение различных методик;
· Классификация рисков в нефтяной отрасли;
· Анализ современных подходов к учету рисков при реализации
инвестиционных проектах. Обзор и классификация методик;
· Описание понятия ставка дисконтирования;
· Рассмотрение основных моделей расчета ставки дисконтирования;
· Описание механизма расчета и расчет ставки дисконтирования по
кумулятивной модели;
· Описание выбора значений параметров модели и расчет ставки
дисконтирования по методу оценки стоимости капитальных активов;
· Описание выбора значений параметров модели и расчет ставки
дисконтирования по методу оценки средневзвешенной стоимости капитала;
· Анализ результатов расчетов по методикам, выделение наиболее
приемлемой для использования на практике;
· Рекомендации по практическому применению методов.
Расчеты ставки дисконтирования проводились для 10 крупнейших российских
компаний, работающих в нефтегазовой отрасли (OAO «ГАЗПРОМ», «Роснефть», ОАО «ЛУКОЙЛ», «ТНК-ВР», ОАО
«Сургутнефтегаз», ОАО «Газпром нефть», ОАО НОВАТЭК, ОАО «Татнефть», ОАО АНК
«Башнефть», ОАО НК "РуссНефть", ОАО «НГК «Славнефть»).
Информационной базой служили - ежегодно публикуемая финансовая отчетность
компаний за 2011 и 2010 годы, официальная статистика ЦБ РФ по доходности
облигаций, официальная статистика РТС, данные рейтинговых агентств (Финмаркет,
Информационное агентство AK&M, интернет-проект «smartmarkets», ЗАО
«Коммерсантъ. Издательский дом»), данные с официальных сайтов компаний.
Глава 1 Принципиальные подходы и критерии оценки
инвестиционных проектов
1.1
Методические подходы к экономической оценке инвестиционных проектов в России
В условиях директивной экономики СССР понятия инвестиционного проекта не
существовало, однако, необходимость определения затрат на разработку
месторождения и выгоды от нее безусловно существовала. Для этих целей в
различных ведомствах и организациях разрабатывались методики проведения оценки.
Примером такой методики является "Методические рекомендации по
экономической оценке и классификации прогнозных ресурсов нефти и газа мирового
океана" выпущенные ВНИГРИ в 1979 г. Рекомендации были одной из первых
отраслевых работ по рассматриваемой проблеме, но не имели официального статуса.
Авторы исследовали особенности освоения морских месторождений нефти и газа и
построили общую схему расчетов применительно к отрасли (Ампилов Ю.П., Герт А.А…
2006 г).
Первой утвержденной Министерством нефтяной промышленности СССР была
"Временная методика экономической оценки нефтяных и нефтегазовых
месторождений", разработанная во ВНИИОЭНГ в 1983г. Экономическая оценка
месторождения определена как народнохозяйственный эффект (в денежном выражении)
от использования его запасов с учетом фактора времени. В данной методике четко
определены стоимостные критерии ценности углеводородов, представлены как
капитальные вложения, так и текущие издержки; исключены из расчетов вложенные
ранее средства и уже извлеченные запасы. В последующем данная работа
переиздавалась в 1986 и 1993 г (Ампилов Ю.П., Герт А.А… 2006 г).
С 1990-х годов начинают широко публиковаться и применяться методы оценки
ресурсов углеводородов с использованием в расчётах геологических вероятностных
показателей.
Одна из подобных методик разработана специалистами ВСЕГЕИ. Суть методики
заключается в приведении стоимости конечного продукта к стоимости прогнозных и
(или) перспективных ресурсов полезных ископаемых в недрах. Совокупный коэффициент
приведения представляет собой произведение коэффициентов приведения количества
ресурсов и запасов к количеству запасов промышленных категорий (К1)
и цены конечного продукта к цене ресурсов или запасов данной категории (К2).
Первый коэффициент отражает, вероятность перехода тех или иных ресурсов в
запасы промышленных категорий. Усредненные значения коэффициентов
рассчитываются для месторождений трёх основных типов, а на их основе
определяется товарная стоимость недр. Однако при определении экономических
показателей не используется фактор времени, что ограничивает область применения
данного метода.
Ещё одним примером использования вероятностных методов служит модель
предложенная В.В. Щербаковым в статье «Оперативная геолого-экономическая оценка
перспективных ресурсов нефти и газа в условиях лицензирования
недропользования», опубликованной в 1996 году (Щербаков В.В… 1996). Он
предлагал определять ценность месторождений на основании товарной стоимости:
Ст = Qrобщ, где
rобщ = r1r2r3 - вероятность перехода перспективных ресурсов в
запасы промышленных категорий;- приведённый валовой доход от освоения
перспективных ресурсов углеводородов, долл.
Q = bzN-1åen-1m-n, где
- величина перспективных ресурсов углеводородов, т;
e - коэффициент годовой инфляции американского доллара;- текущий год
освоения;
m - норма дисконта;- период разработки предполагаемого месторождения
углеводородов;- средневзвешенная стоимость единицы углеводородного сырья, долл.
= rнr + (1 - rн)g,
где
rн -
вероятность того, что предполагаемое месторождение будет нефтяным;- средняя
мировая цена сырой нефти, долл./т;- средняя мировая цена природного газа,
долл./1000 м3.
Критерием выбора лучшего месторождения в данном случае, как и в модели,
разработанной специалистами ВСЕГЕИ, служит товарная стоимость, но
скорректированная с учётом фактора времени. Проводить подобные расчёты
целесообразно только на ранних стадиях изученности территорий. Несмотря на то,
что в формулах учитываются вероятности экономических и конъюнктурных событий,
фактическое определение этих вероятностей представляется крайне
затруднительным, их числовое выражение чаще всего получается экспертно.
В 2000г было выпущено «Методическое руководство по количественной и
экономической оценке ресурсов нефти, газа и конденсата России», подготовленное
ведущими российскими институтами ВНИГНИ, ВНИГРИ, ВНИИГаз, ИГНГ СО РАН,
СНИИГГиМС и др. (председатель редакционной коллегии К.А.Клещев, зам.
председателя А.Э.Конторович, Н.А.Крылов, Ю.П.Миронычев) (Методическое
руководство… 2000 г).
Важнейшей особенностью данного методологического подхода является ориентировка
на вероятностные оценки ресурсов и включение в методику значительного круга
методов математического прогноза нефтегазоносности.
Основное преимущество данной методики в том, что комплексный подход
позволяет в процессе вычисления конечного результирующего показателя получать
значительно количество сопутствующих геологических, технических и экономических
показателей.
Однако методика имеет и ряд недостатков:
. слабо прослеживается связь с официальными нормативными документами,
которые широко применяются в современной практике экономической оценки ресурсов
. традиционные критерии экономической оценки ресурсов, такие как ЧДД
(NPV), внутренняя норма возврата капитальных вложений (IRR), индекс доходности
(IP), период окупаемости вложенных средств не используется. Вместо указанных
параметров предложено рассчитывать показатель экономической оценки Rл, который
по сути своей очень им близок
. при расчёте экономической оценки ресурсов не учитывается территориальная
специфика, то есть применяется единая методика для различных территорий.
. В методическом руководстве уделено недостаточно внимания учету фактора
времени при оценке месторождений как инвестиционных проектов, таким образом,
все проекты оцениваются единовременно, не рассматриваются особенности
формирования инфраструктуры для каждого из них.
. В методическом руководстве не разработана детальная модель
прогнозирования технико-экономических показателей освоения месторождения,
предлагается брать в качестве показателей капитальных затрат - удельные
стоимости строительства объектов, однако источник банка исходных данных не
приводится.
. Преимущество руководства в виде ориентировки на вероятностную модель
оценки ресурсов детально не проработано в геологической части руководства и
отсутствует в экономической, например, не оговаривается учет рисков -
технологических, экономических, экологических и т.д.
. В руководстве сказано, что методические положения реализованы в виде
компьютерной программы экономической оценки ресурсов нефти, рассматривается
алгоритм этой программы, в котором предусматриваются определение
технологических показателей разработки, капитальных вложений, эксплуатационных
затрат, кратко описаны виды налогов и платежей, затраты на инфраструктуру как по
нефти так и по газу, но не проработан вопрос описания критериев по которым
выбираются варианты разработки.
Таким образом данная методика обладает рядом важных недостатков, которые
затрудняют использование ее на практике.
Существуют
разработки в области программного обеспечения, создан ряд комплексов,
позволяющих упростить техническую сторону получения оценки ресурсов и
эффективности их освоения. Они позволяют рассчитать результат, однако не решают
проблему выбора исходных данных, получения полноценной базовой информации о
геологическом строении ресурсов, сырьевой базе, исходных стоимостных
характеристиках, которым присуща доля субъективности, нередко они получаются
экспертно, по аналогии. Наряду с зарубежными программными комплексами EPA
(Environmental Protection Agency), SCA (Subsurface Consultants &
Associates), USC (Ukrainian Software Consortium
<#"665794.files/image001.gif">
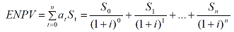
Суммарная финансовая выгода
от реализации проекта. FCFt - свободный денежный поток в периоде t; WACCt
- средневзвешенная требуемая доходность капитала на начало периода t в
годовом исчислении; Vt - оценка стоимости активов, созданных в ходе
осуществления; T - момент времени, ограничивающий срок прямого
прогнозирования свободных денежных потоков;
|
|
Внутренняя норма доходности (IRR)
|
|
Показывает предельную норму
доходности, при которой суммарная выгода от проекта обращается в 0.
|
|
Срок окупаемости (T’)
|
|
Время, за которое объем
выгод полученных от реализации проекта сравняется с затратами на
егореализацию
|
Удельная
финансовая эффективность (RFA)
Отношение
суммарных дисконтированных доходов к суммарным дисконтированным инвестициям в
проект. 
-
среднегодовой темп инфляции;
|
 -
суммарный объем инвестиций в проект в периоде t;
|
Бюджетная
эффективность Дисконтированный бюджетный денежный поток (
)
Суммарные
поступления в федеральный бюджет в процессе реализации проекта.

- прямой
налоговый денежный поток;

-
косвенный налоговый денежный поток;

-
экономия расходов федерельного бюджета от реализации проекта в периоде t;

- доходы
от использования федерального имущества в периоде t;
|
 -
требуемая доходность на вложение капитала из средств фонда;
|
|
|
|
|
Индекс бюджетной
эффективности
|
|
Отношение приведенных
суммарных поступлений в бюджет к затратам из государственного фонда.
|
Прямой
макроэкономический эффект (ПМЭ)
Непосредственный
вклад в ВВП от реализации проекта. 
- объем
ВВП в году t, прямо связанный с реализацией проекта;

- объем
инвестиций в основной капитал в периоде t;

-
стоимость товарной продукции;

- расходы
на закупки импортной продукции для реализации инвестиционной программы проекта;
|
 -
расходы на закупку импортных товаров для использования в производственной
программе проекта;
|
Экономическая
эффективность Косвенный макроэкономический эффект (КМЭ)
Дополнительный доход в экономике от реализации
проекта (за счет мультипликатора дохода). 
- объем
выплат иностранным кредиторам и инвесторам в период t;

-
коэффициенты, характеризующие распределение объемов КМЭ, связанного с ПМЭ
расчетного года во времени с учетом скорости оборота денег в экономике (
);
|
 -
оценки годовых значений мультипликатора дохода, формирующиеся на основе
данных прогноза
|
|
|
Совокупный
макроэкономический эффект(СМЭ)
|
|
Характеризует общий объем
ВВП, обусловленный реализацией проекта в периоде t;
|
Годовой
индекс экономической эффективности (
)
Интегральный
индикатор экономической эффективности (
)
Доля ВВП,
которая может быть обеспечена в результате реализации данного проекта.
t,j -
индексы рассматриваемых лет прогнозного периода;

- индекс
экономического роста в периоде t по данным прогноза;
|
 -
индекс экономического роста в периоде, в условиях отказа от реализации
проекта.
|
|
|
|
|
Показатель
макроэкономической эффективности инвестиций
|
|
Характеризует прирост ВВП
на единицу инвестиций, осуществленных в инвестиционный проект:
|
ü Что касается анализа рисков, то указано, что «все риски
должны быть учтены в параметрах модели» , однако не указано каким образом
(Методика расчета показателей… 2006).
ü В рамках методики предполагается выраженная в количественных
показателях оценка ряда социальных эффектов. Многие из них (такие как повышение
уровня и качества образования, повышение уровня здравоохранения, сохранение и
развитие научно - технического потенциала) слабо формализуемы, а механизм их
оценки не оговорен.
В итоге, являясь весьма обширной методикой, она имеет ряд недоработок.
Однако она является официально утвержденной и используемой правительством
методикой.
Вопрос оценки общественной эффективности инвестиционных проектов на
основе межотраслевой модели взаимодействия активно разрабатывается Новиковой
Т.С. (Баранов А.О. Новикова Т.С… 2005; Михеева Н.Н., Новикова Т.С. Суслов В.И…
2011г).
В настоящее время существует еще одна одобренная правительством методика
- методика Министерства регионального развития (Приказ N 117 от 31 июля 2008 г.
«Об утверждении Методики расчета показателей и применения критериев
эффективности региональных инвестиционных проектов»). Методика предназначена
для оценки региональных инвестиционных проектов (Методика расчета показателей…
2008).
Она во многом похожа и повторяет методику минэкономразвития, однако не
рассматривает часть показателей применяемых в методике 2006 г. Кроме того в
данной методике указываются механизмы расчёта максимального и минимального
объема инвестиций, уточняются источники информации о прогнозируемых значениях
инфляции. В целом документ является более проработанным.
Помимо официально принятых правительством методик существует много
отраслевых и частных методик оценки инвестиционных проектов, в частности одной
из известных является методика институтов РАН (Институт системного анализа,
Центральный экономико-математический институт и др.). Методика является
обширной и включает в себя помимо прикладных вопросов оценки, большое
количество теоретического материала. В методике детально описаны различные
аспекты эффективности проектов (финансовая эффективность, общественная
эффективность, эффективность для предприятия, эффективность для региона и
отрасли, бюджетная эффективность) (Методические рекомендации по оценке… 2004).
В методике значительное внимание уделено проблеме учета рисков, в
инвестиционных проектах. Учет основан на осуществлении сценарного подхода и
анализе чувствительности ключевых показателей проекта.
Основные показатели финансовой эффективности сходны, с общепринятыми,
однако их обозначения соответствуют отечественным сокращениям: ВНД - внутренняя
норма доходности (IRR), ЧДД - чистый
дисконтированный доход (NPV),
ИДД - индекс доходности инвестиций (PI). Однако наряду со стандартными упоминаются и дополнительные показатели
(модифицированная ВНД (MIRR),
ставка дохода финансового менеджмента (FMRR)) (Методические рекомендации по оценке… 2004).
В методике каждый пункт сопровождается теоретическими основами, набором
показателей применяемых для оценки, примерами расчетов, и, наконец, указаниями
по применению тех или иных показателей. Эта методика очень обширна и подробна и
может быть использована для разъяснения вопросов, возникающих при использовании
официальной методики. Она написана коллективом авторов методики Минэкономики
1999 года.
Эта методика хотя и является глубоко проработанной, однако не была
официально утверждена. И может быть использована только как вспомогательный
документ.
Существует так же «Методическое пособие по разработке бизнес-планов
Рекомендации для торгово-промышленных палат 2010 г.». Разработанное Комитетом
Торгово-промышленной палаты Российской Федерации по инвестиционной политике. В
нем, помимо рекомендаций по составлению бизнес - планов значительное внимание
уделено критериям финансовой эффективности и анализу рисков.
Методика создана для упорядочения подготовки бизнес - планов,
значительная часть документа посвящена финансовому анализу и оценке
эффективности проекта. Эффективность проекта оценивается по трем показателям:
чистая приведенная стоимость (NPV),
внутренняя норма рентабельности (IRR) и
дисконтированный срок окупаемости. При расчёте ставки дисконтирования
используется несколько вариантов расчета (Методическое пособие…2010):
· с точки зрения заемного капитала в качестве ставки
дисконтирования должна использоваться величина: rбанка = Rкр * (1-t), где: Rкр -
предполагаемая ставка процента по кредиту, t - ставка налога на прибыль
(Методическое пособие…2010).
· C точки зрения акционеров компании необходимо определить
доходность на вложения акционера, которую требуется заложить в проект, чтобы
участие в нем было для акционера привлекательным. Итоговая ставка
дисконтирования определяется по формуле: rакц = rбр + Rриска где: rбр - безрисковая ставка дисконтирования, Rриска
- премия за риск (Методическое пособие…2010).
· с точки зрения полных инвестиционных затрат должна
использоваться ставка дисконтирования, рассчитанная как средневзвешенная
ставка, учитывающая структуру капитала проекта. Расчет ставки ведется по
формуле: r = Rкр*(1-t)*wкр+dсобств*wсобств.
Где: r - ставка дисконтирования,
применяемая для оценки эффективности полных инвестиционных затрат, Rкр
- ожидаемая ставка процентов по кредиту, t - ставка налога на прибыль, dсобств.
- ставка дисконтирования, выбранная для собственного капитала, wкр -
доля заемных средств в источниках финансирования проекта, wсобств. -
доля акционерного капитала в источниках финансирования проекта (Методическое
пособие…2010).
Один из разделов методики посвящен оценке рисков проекта и их снижению.
При оценке рисков допускается применение сценарного подхода, построение
графиков чувствительности, и построения точки безубыточности. Методика
допускает использование методов статического и вероятностного анализа, но для
использования этих методик необходимо отказаться или свести к минимуму
экспертные оценки входных параметров.
1.2 Зарубежный
опыт оценки экономической эффективности инвестиционных проектов
Экономическая оценка ресурсов минерального сырья за рубежом применяется
весьма широко. Цели, критерии и объекты её проведения в различных странах
определяются характером формы собственности на землю и полезные ископаемые, а
также уровнем развития товарно-денежных отношений в нефтегазовом секторе
экономики.
Среди методов экономической оценки месторождений и прогнозных ресурсов
минерального сырья, применяемых за рубежом, наибольшее распространение имеют
методы, учитывающие фактор времени. Методы, не учитывающие фактор времени,
используются для решения вспомогательных задач деятельности компаний, чаще в
течение одного года или производственного цикла.
Экономическая оценка "минерального имущества" в таких странах,
как Австралия, США, Канада, ЮАР, Великобритания, играет важную роль как
необходимый элемент эффективных форм управления собственностью, в первую
очередь - государственным фондом недр. Экономическая оценка участков недр, при
решении большинства частных задач, рассматривается как одно из специфических направлений
оценочной деятельности. Функции регулирования деятельности по оценке участков
недр в большинстве стран полностью возложены на профессиональные организации
оценщиков, имеющие в своем составе отделения по оценке минерального сырья
(RICS, ASA, CICBV, и другие) либо непосредственно специализированные в области
оценки недр (CIMV, CIM, AusIMM, SaIMM, AIMA, SPEE и др.).
Большинство из упомянутых организаций имеют собственные стандарты оценки,
требованиям которых должны следовать члены этих организация в практической
деятельности. Однако существует наиболее распространённый набор критериев
оценки инвестиционных проектов, в частности, связанных с покупкой недр, который
широко применяется в практике оценки эффективности участия в том или ином
проекте.
Наиболее известными методиками оценки инвестиционных проектов в мировой
практике являются методика всемирного банка и Европейского совета.
Методика Европейского совета «Справочник по анализу инвестиционных
проектов». Методика опубликована в 2008 г (предшествующие редакции 2002, 1997
гг). методика разработана для оценки проектов Анализ инвестиционных проектов
разбит на несколько составляющих: финансовый анализ, экономический анализ,
анализ рисков, другие параметры проекта (Guide to cost-beneft… 2008).
Основная цель блока финансового анализа заключается в прогнозировании и
вычислении приведенных показателей эффективности. Основные показатели:
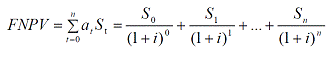
финансовая чистая приведенная стоимость (Financial Net Present Value (FNPV)),
финансовая внутренняя норма доходности (Financial Internal Rate of Return
(FRR)). Анализ экономической эффективности отражают экономическую выгодность
проекта региона или страны в целом, эффект оценивается с точки зрения общества,
а не владельцев активов. Экономический анализ включает в себя ряд последовательно
осуществляемых шагов: перевод рыночных цен в учетные, оценка влияние нерыночных
факторов, включение, при необходимости, дополнительных косвенных эффектов,
дисконтирование прогнозируемых финансовых притоков и инвестиций, Вычисление
показателей финансовой эффективности (экономический NPV, экономическая IRR, отношение выгоды /затраты (B/C ratio)) (Guide to
cost-beneft… 2008).
Таблица 1.2 Критерии оценки эффективности инвестиционных проектов,
используемые в методике Европейского совета.
|
Название показателя
|
Краткое описание
|
Расчётная формула
|
|
Финансовая чистая
приведенная стоимость (Financial net
presentvalue)
|
Сумма, которая остается
после вычитания суммарных дисконтированных затрат и инвестиций из суммарных
дисконтированных ожидаемых доходов
|
Где St
- суммарный денежный поток за период, at -
дисконтирующий коэффициент, n - количество периодов прогнозирования, i -
савка дисконтирования
|
|
Финансовая внутренняя норма
доходности инвестиций (Financial
rate of returnon investment)
|
Ставка дисконтированя, при
которой финансовый NPV проекта обращается в 0. Используется как ориентир
при анализе эффективности проекта.
|
|
|
Финансовая внутренняя норма
доходности капитала (Financial rate
of returnon capital)
|
Ставка дисконтирования, при
которой суммарные выгоды от проекта (общественные и частные) равняются нулю.
|
|
|
Экономическая чистая
приведенная стоимость (Economic net presentvalue)
|
Показатель отражает разницу
между дисконтированными суммарными общественными выгодами и затратами
|
|
|
Экономическая внутренняя
норма доходности (Economic rate ofreturn)
|
Ставка дисконтирования, при
которой Экономическая NPV обращается в 0.
|
|
|
Отношени выгоды - затраты
(Benefit-cost ratio)
|
Отношение приведенных
общественных выгод к приведенным общественным затратам за период времени.
|
|
Основные показатели эффективности используемые в данной методике показаны
в таблице 1.2.
Отдельный раздел в методике посвящен анализу рисков. В данной методике
анализ рисков включает в себя:
· Анализ чувствительности (Позволяет выделить критические
факторы («critical» variables) модели и изучить их влияние);
· Распределение вероятностей наиболее важных переменных;Анализ
рисков (основа анализа - использование метода Монте - Карло, в результате
осуществления которого строится вероятностное распределение ключевых
показателей эффективности (NPV, IIR) и кумулятивная кривая
распределения) ;
· Оценка допустимых уровней риска (на данном этапе оценивается
соотношение рисков и ожидаемых результатов от проекта);
· Снижение рисков (анализ основных источников рисков и поиск
возможностей по снижению их влияния).
Данная методика уникальна своим подходом к оценке общественной
эффективности проекта, в ней описаны прозрачные механизмы расчета показателей,
по которым она оценивается. Кроме того четко, постадийно описан механизм
анализа рисков, форма их представления, методы снижения.
Другой обширно используемой методикой является методика всемирного банка
«Руководство по экономическому анализу инвестиционной деятельности» («Handbook
on economic analysis of investment operations»). Руководство выпущено в январе
1998 г. Руководство состоит из следующих разделов (Handbook on economic… 1998):
. введение в экономический анализ;
. оптимизация государственных закупок;
. денежные единицы, уровень цен, реальные и номинальные цены;
. рассмотрение альтернатив;
. расчёт потоков: затраты и доходы;
. выбор цен: рыночные цены и экономические издержки;
. оценка экстерналий среды;
. стоимостная эффективность;
. экспертиза проектов в области образования;
. экономическая оценка проектов в области здравоохранения;
. экономическая оценка транспортных проектов;
. анализ рисков и устойчивости проекта;
Как видно, методика является весьма подробным и обширным документом. Он
охватывает максимальное число вопросов. Детально разбирая каждый из них, так,
например, глава, посвященная оценке внешних эффектов (экстерналий) встречается
только в данной методике. Так же отличительной чертой данной методики, является
отдельное рассмотрение социально эффективных проектов, которые обычно в
российской практике являются финансово не привлекательными (Handbook on
economic… 1998).
1.3 Сравнительный
анализ критериев оценки инвестиционных проектов
Прежде чем обсуждать показатели эффективности, применяемые в практике
инвестиционного анализа, необходимо прояснить сущность концепции временной
стоимости денег.
Как можно было видеть в предыдущих пунктах, в практике оценки
инвестиционных проектов существуют методики, которые учитывают фактор времени и
не учитывающие его. Учет фактора времени связан с положением о том, что со
временем стоимость денег меняется. Существует несколько причин данного
феномена: во-первых - это риск недополучения при инвестициях или других
операция, кроме того при инвестировании значительно снижается ликвидность
денег, за это инвестор тоже требует премию.
В развитие этой мысли И. Фишер в 1898г. в книге «Покупательная сила
денег» (Березкин Ю.М. 2012) предположил способ определения стоимости любого
действующего актива: стоимость денежного актива в любой настоящий момент
времени равняется сумме текущих стоимостей всех будущих поступлений денежного
потока, порождаемого данным активом. Это положение в дальнейшем было
развито до принципа «временной стоимости денег». Суть концепции можно изложить
в трех основных тезисах:
· Покупательная способность денежных номиналов зависит от
временного фактора «будущего» (1 рубль сегодня ≠ 1 рубль завтра);
· Если не предпринимать усилий по поддержанию покупательной
способности сегодняшних денежных номиналов они неизбежно будут обесцениваться в
будущем;
· Чтобы сегодняшние денежные номиналы не обесценивались,
необходимо инвестировать такую их часть, которая завтра дала бы прирост
материальных ценностей, компенсирующий потребленные блага.
Из данных положений вытекают следующие вывод: денежными потоками,
относящимся к разным периодам времени нельзя оперировать напрямую. Для
проведения операций с такими потоками их нужно сначала привести к единому
моменту времени и только после приведения их можно складывать вычитать и т.д.
Основываясь на данном принципе Дж. Уильямс в 1938 г. разработал
математический аппарат «дисконтированных денежных потоков» (Березкин Ю.М.
2012), который предназначен для пересчета денежных потоков в эквивалентные
денежные номиналы. Различают два вида стоимости будущая стоимость денег
(приведенная к будущему периоду времени) и настоящая стоимость (приведенная к
настоящему моменту времени). В зависимости от того, какая величина является
искомой, различают прямую и обратную задачи: прямая задача - пересчет текущих
номиналов в будущую стоимость (задача наращивания стоимости); обратная задача
заключается в пересчете ожидаемых номиналов в настоящие цены (задача
дисконтирования стоимости).
Мерой увеличения стоимости денег со временем является процентная ставка,
отражающая прирост денежных средств во взятом за основу промежутке времени для
прямой задачи и требуемый доход инвестора для обратной. При дисконтировании эта
ставка процента называется просто ставкой дисконтирования или дисконта. Для
определения привлекательности инвестиционного проекта принято определять
суммарный финансовый результат проекта в текущих ценах. Для достижения этой
цели проводится дисконтирование «денежных потоков» для всего проекта. Денежный
поток - последовательность денежных поступлений (платежей) в течение нескольких
периодов, осуществляемых через равные промежутки времени (например год).
Денежные потоки могут быть как положительными, так и отрицательными. В первом
случае денежный поток представляет собой поступление денег, во втором - это
выплаты или инвестиции.
В зависимости от специфики платежей различают два типа денежных потоков:
«пренумерандо» - денежный поток, платежи которого осуществляются в момент
начала каждого временного интервала; «постнумерандо», соответственно поток,
платежи которого осуществляются в конце периода (Старкова Н. А. 2007)
В практике оценки инвестиционных проектов принято использовать денежные
потоки постнумерадо, в качестве платежа обычно принимают разницу между
денежными поступлениями и инвестициями за период. При этом, изменением
стоимости внутри периода пренебрегают.
Для вычисления настоящей стоимости потока, получаемого в n-ом периоде.
Используется следующая формула:
Где

- (present value) настоящая стоимость платежа,
- (future value) ожидаемый номинальный
денежный поток n-го периода, r - ставка дисконтирования,
выраженная в долях от 1.
Для
расчета суммарного финансового результата длительного проекта производится
суммирование настоящих стоимостей всех ожидаемых потоков.
Где
N - количество рассматриваемых периодов.
В
данном разделе рассматриваются основные, наиболее часто используемые в практике
оценки инвестиционных проектов показатели.
Срок
окупаемости (Payback period)
Срок
окупаемости - это ожидаемый период возмещения первоначальных вложений из чистых
поступлений (где чистые поступления представляют собой денежные поступления за
вычетом расходов). Таким образом, определяется время, за которое поступления от
оперативной деятельности предприятия (cash inflows) покроют затраты на
инвестиции.
К
достоинствам этого метода следует отнести в первую очередь простоту расчетов. В
силу этого качества, отсекая наиболее сомнительные и рискованные проекты, в
которых основные денежные потоки приходятся на конец периода, метод иногда
используется как простой метод оценки риска инвестирования.
У
данного показателя есть и недостатки. Во-первых: выбор нормативного срока
окупаемости может быть субъективен. Во-вторых, метод не учитывает доходность
проекта за пределами срока окупаемости и, значит, не может применяться при
сравнении вариантов с одинаковыми периодами окупаемости, но различными сроками
жизни. Точность расчетов по такому методу в большей степени зависит от частоты
разбиения срока жизни проекта на интервалы планирования. И один из наиболее
серьезных недостатков этого показателя - отсутствие учета временной стоимости
денег (Филимонова И.В. 2006).
Простая норма прибыли (Simple rate of return)
Критерий
показывает, какая часть инвестиционных затрат возмещается в виде прибыли в
течение одного интервала планирования. Сравнивая рассчитанную величину нормы
прибыли с минимальным или средним уровнем доходности, инвестор может прийти к
заключению о целесообразности дальнейшего анализа данного инвестиционного
проекта:
Преимуществом
данного метода, как и первого, является простота расчетов. Кроме того,
оценивается прибыльность проекта. Однако норма прибыли обладает существенными
недостатками и также является достаточно грубым методом: не учитывается
ценность будущих поступлений (как и в первом случае), существует большая зависимость
от выбранной величины чистой прибыли, рассчитанная норма прибыли играет роль
средней за весь период (Филимонова И.В. 2006).
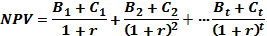
Чистая
текущая стоимость (Net present value)
Инвестору
следует отдавать предпочтение только тем проектам, для которых NPV (Net Present Value) имеет положительное
значение. Отрицательное же значение свидетельствует о неэффективности
использования денежных средств: норма доходности меньше необходимой.
Где
Bt - выгоды в год t; Ct - затраты в год t; r - норма дисконта; выраженная в
долях от единицы t - год осуществления проекта.
Из
приведенного выше выражения ясно, что абсолютная величина чистого приведенного
дохода зависит от двух видов параметров. Первый характеризует инвестиционный
процесс объективно и определяются производственным процессом. Ко второму виду
следует отнести ставку дисконтирования. При высоком уровне ставки отдельные
платежи оказывают малое влияние на NPV. В силу этого различные по
продолжительности периодов отдачи варианты могут оказаться практически
равноценными по конечному экономическому эффекту. В то же время ясно, что при
всех прочих равных условиях проект с более длительным периодом поступлений
доходов предпочтительней.
Одним
из основных факторов, определяющих величину чистой текущей стоимости проекта,
безусловно, является масштаб деятельности, проявляющийся в
"физических" объемах инвестиций. Отсюда вытекает естественное
ограничение на применение данного метода для сопоставления различающихся по
этой характеристике проектов: большее значение NPV не всегда будет
соответствовать более эффективному варианту капиталовложений. Таким образом,
при всех достоинствах этот критерий не позволяет сравнивать проекты с
одинаковой NPV, но разной капиталоемкостью. В таких случаях можно использовать
следующий критерий (Филимонова И.В. 2006).
Индекс
прибыльности (profitability index)
Индекс
прибыльности (profitability index, PI) показывает относительную прибыльность
проекта или дисконтированную стоимость денежных поступлений от проекта в расчете
на единицу вложений. Он рассчитывается путем деления чистых приведенных
поступлений от проекта на стоимость первоначальных вложений:
-
чистые приведенные денежные потоки проекта;
Со
- первоначальные затраты.
Критерий
принятия проекта PI>1, в отличие от NPV, PI показывает эффективность
вложений. Проекты с большим значением индекса прибыльности являются более
устойчивыми. Однако не следует забывать, что очень большие значения индекса
прибыльности не всегда соответствуют высокому значению NPV и наоборот. Дело в
том, что имеющие высокую чистую текущую стоимость проекты не обязательно
эффективны, а значит, имеют весьма небольшой индекс прибыльности (Филимонова
И.В. 2006).
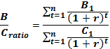
Отношение выгоды/затраты (Benefits to Costs Ratio)
Отношение
выгоды/затраты или прибыли/издержки (Benefits to Costs Ratio) рассчитывается по
следующей формуле и показывает частное от деления дисконтированного потока
выгод на дисконтированный поток затрат:
-
выгоды в год t; Ct - затраты в год t; r - норма дисконта; t - год осуществления
проекта.
Если
B/Cratio больше единицы, то доходность проекта выше, чем требуемая
инвесторами, и проект считается привлекательным.
Этот
показатель может быть использован для демонстрации того, насколько возможно
увеличение затрат без превращения проекта в экономически непривлекательное
предприятие.
При
выборе критерия инвесторы хотят быть уверенными в том, что он даст точную
оценку проекта и правильно ранжирует альтернативы.
Во
многих случаях NPV и B/Cratio одинаково “выбирают” наилучший из двух
проектов. Однако в некоторых ситуациях при выборе одной из нескольких
альтернатив данные методы дают противоречивые результаты. Данные два критерия
зачастую эквивалентны. Однако метод NPV предпочтителен при сравнении взаимно
исключающих проектов при неограниченном финансировании.
Очевидно,
что выбор ставки дисконтирования при подсчете NPV, B/C ratio и PI оказывает
значительное влияние на итоговый результат расчета, а следовательно, и на его
интерпретацию. Величина ставки дисконтирования зависит от темпа инфляции,
минимальной реальной нормы прибыли и степени инвестиционного риска. В качестве
приближенного значения ставки дисконтирования можно использовать существующие
усредненные процентные ставки по долгосрочным банковским кредитам (Филимонова
И.В. 2006).
Внутренняя
норма рентабельности (Internal Rate of Return)
Интересным
является значение процентной ставки r*, при котором NPV=0. В этой точке
дисконтированный поток затрат равен дисконтированному потоку выгод. Она имеет
конкретный экономический смысл дисконтированной "точки
безубыточности" и называется внутренней нормой рентабельности, или,
сокращенно, IRR. Этот критерий позволяет инвестору данного проекта оценить
целесообразность вложения средств. Если банковская учетная ставка больше IRR,
то, по-видимому, положив деньги в банк, инвестор сможет получить большую
выгоду.
Еще
один вариант интерпретации состоит в трактовке внутренней нормы прибыли как
предельного уровня доходности (окупаемости) инвестиций, что может быть
критерием целесообразности дополнительных капиталовложений в проект.
За
рубежом часто расчет IRR применяют в качестве первого шага количественного
анализа капиталовложений. Для дальнейшего анализа отбирают те инвестиционные проекты,
IRR которых оценивается величиной не ниже 10-20%.
Внутренняя
ставка дохода от проектов, принятых для финансирования, варьируется в
зависимости от отрасли экономики и от того, является проект частным или
государственным предприятием. Имеются две причины такого положения. Во-первых,
различны степени риска, поскольку разведка полезных ископаемых - более
рискованное предприятие, чем орошаемое земледелие, и поэтому потенциальные
недропользователи потребуют более высокую ставку дохода для компенсации большего
риска, которому они подвергаются по сравнению с инвесторами в
сельскохозяйственное предприятие. Во-вторых, частные инвесторы, как правило,
преследуют только свои интересы при выборе объекта для инвестирования и требуют
порой гораздо больший уровень нормы прибыли, нежели государство, осуществляющее
социальные задачи (Филимонова И.В. 2006).
Глава 2.
Методические подходы и модели учета рисков в инвестиционных проектах
нефтегазового комплекса
.1 Классификация
рисков при реализации инвестиционных проектов
инвестиционный риск дисконтирование нефтегазовый
Анализ инвестиционных рисков невозможен без их выявления,
систематизации, что осуществляется на основе классификаций. Риски в нефтяной отрасли принято
делить на две большие группы: технические и экономические. К группе технических
факторов относятся геологические, инжиниринговые, строительные,
эксплуатационные, экологические риски. К экономическим относятся: финансовые,
маркетинговые.
Остановимся несколько подробнее на рассмотрении технических рисков. В связи
со спецификой деятельности компаний в нефтедобывающей отрасли, геологический
риск является, пожалуй, важнейшим. Он связан в большей степени с риском не
открытия месторождения, это означает, что инвестиции, на геологоразведку не
оправдают себя и не приведут к открытию пригодного для разработки
месторождения. Геологические риски особенно высоки в новых, малоизученных
нефтегазоносных бассейнах, а так же в бассейнах с высокой изученностью, но
которые находятся на стадии значительного истощения запасов. В настоящее время
активно развиваются технологии разведки и оценки месторождений, что значительно
снижает геологические риски. Геологические риски обычно присущи проекту на
стадии разведки месторождения и начала разработки.
Геологические риски так же в значительной мере обусловлены с вероятностью
неверной оценки и прогнозирования параметров залежей. Эти ошибки в итоге могут
дать значительное снижение рентабельности проекта или вообще сделать его
убыточным.
Инжиниринговые риски. Этот вид рисков обусловлен прежде всего с ошибками на стадии
проектирования разведки и разработки месторождения. Они могут быть обусловлены
неправильным определением производственных характеристик, выбором оборудования,
прогнозированием процесса добычи УВ, неправильного составления плана разбуривания
и .т.д. Наличие этого типа рисков характерно на протяжении всего существования
проекта.
Строительные риски характерны на этапе разведки и создания инфраструктуры на
месторождении. Ввод месторождения в эксплуатацию - сложный и длительный процесс,
требующий значительных инвестиций и, не приносящий прибыли. Строительные риски
связаны с задержками сдачи объектов строительства, смещение сроков ввода в
эксплуатацию месторождения. Возникновение подобного риска охватывает всю
инвестиционную фазу, поскольку особенностью разработки месторождений
углеводородов является постепенное наращивание капитальных вложений, а,
следовательно, и связанного с ними строительного риска.
Эксплуатационные риски связаны с качеством оборудования и выполненными
строительными работами, совместимостью используемого оборудования. Эти риски
возникают после завершения строительства, они могут проявиться на протяжении
всего этапа разработки. Прогнозирование этих типов рисков является очень
сложной задачей вследствие случайности аварийных ситуаций.
Экологические риски обычно связываются с вероятностью наступления гражданской
ответственности за нанесение ущерба окружающей среде, жизни или здоровью людей
или нарушение законодательно установленных экологических норм. В нефтегазовой
отрасли риск прежде всего связан с технологией разработки и процессом
транспорта углеводородов.
Финансовые риски, относящиеся к группе экономических рисков, обусловлены
вероятностью потерь вследствие осуществления финансовой деятельности в условиях
общей рыночной неопределенности. Это крупная группа рисков, которая
подразделяется на более узкие группы: инфляционных, валютных, процентных и др.
Уровень финансовых рисков на протяжении всего проекта примерно одинаков, вне
зависимости от изменения технико - экономических показателей проекта. Этот риск
обусловлен, в основном, внешними рыночными факторами. Степень влияния
финансовых рисков на протяжении проекта меняется с изменением объемов денежных
потоков, т.е. в период размещения инвестиций, увеличения выручки и.т.д.
Маркетинговые риски связаны с возможными ошибками в оценках возможностей
рынка нефти и газа, ёмкости рынка, возможного изменения цен на углеводороды,
причинения ущерба окружающей среде. Негативные последствия от проявления
маркетинговых рисков напрямую связаны с реализацией продукции, поэтому степень
отрицательных последствий данных рисков повышается с увеличением объёмов добычи
и, соответственно, реализации углеводородного сырья.
Существует разделение рисков на систематический и несистематический.
Еще в 1964 г лауреат нобелевской премии У. Шарп выделил две составляющие общего
риска любого актива.
. Недиверсифицируемый (систематический или рыночный) риск. Он
возникает по независящим от агента причинам, и не является присущим только
данной конкретной компании. Компонентами этого риска являются риск
покупательной способности, процентный риск и др.
. Диверсифицируемый риск - несистематический, специфический риск,
связанный с финансовым положением компании, спецификой работы компании,
отраслевой принадлежностью компании.
Учет систематического риска является намного более легкой задачей, в
отличие от несистематического, так как систематический риск поддается анализу и
в настоящее время существуют математизированные модели оценки этой
составляющей. Оценка несистематического риска - требует индивидуального подхода
к каждому объекту, учет особенностей, как самой компании, так и отрасли, в
которой она работает. В условиях современного рынка, анализ и управление
рисками становится необходимостью для успешного существования компании на
рынке.
Управление рисками - это совокупность процессов, связанных с идентификацией,
анализом рисков и принятием решений, которые включают максимизацию
положительных и минимизацию отрицательных последствий наступления рисковых
ситуаций. Процесс управления рисками проекта обычно включает выполнение
следующих процедур:
планирование управления рисками - выбор подходов и планирование
деятельности по управлению рисками проекта;
идентификация рисков - определение рисков, способных повлиять на проект,
и документирование их характеристик;
качественная оценка рисков - качественный анализ рисков и условий их
возникновения с целью определения их влияния на успех проекта;
количественная оценка - количественный анализ вероятности возникновения и
влияния последствий рисков на проект;
планирование реагирования на риски - определение процедур и методов по
ослаблению отрицательных последствий рисковых событий и использованию возможных
преимуществ;
мониторинг и контроль рисков - мониторинг рисков, определение остающихся
рисков, выполнение плана управления рисками проекта и оценка эффективности
действий по минимизации рисков.
Все эти процедуры взаимодействуют друг с другом, а также с другими
процедурами. Каждая процедура выполняется, по крайней мере, один раз в каждом
проекте. Несмотря на то, что процедуры, представленные здесь, рассматриваются
как дискретные элементы с четко определенными характеристиками, на практике они
могут частично совпадать и взаимодействовать.
В качестве мер по снижению рисков применяется четыре основные
мероприятия: компенсация, локализация, диверсификация и страхование рисков.
Каждая из мер имеет свою оценку в денежном выражении: в случае со страхованием
- это страховые взносы, в случае диверсификации - отказ от части прибыли,
приносимой активами с большим доходом, но и высоким риском и т.д. Заложив
будущие расходы на программы по снижению рисков на стадии проектирования и
прогнозирования, мы тем самым ограждаем себя от неопределённости в будущем при
реализации проекта.
2.2 Обзор
и сравнительный анализ методических подходов к учёту рисков при оценке
нефтегазовых проектов
Существует большое количество подходов к оценке риска в общем их можно
разделить на группы: статистические, аналитические методы, отдельно выделяются
метод аналогий и экспертной оценки.
В практике оценки проектов в нефтегазовой геологии большое
распространение получили такие методы как, построение дерева решений,
имитационное моделирование (метод Монте-Карло), анализ чувствительности, метод
корректировки нормы дисконта. Иногда, в условиях ограниченности информации или
при необходимости экспресс оценки могут использоваться методы экспертной оценки
и метод аналогий. Их классификация представлена в табл. 2.1
Таблица 2.1 Классификация подходов к учету рисков
|
Группа методов
|
Методы
|
|
Статистические методы
|
· Построение дерева решений · Имитационное моделирование (Монте-Карло) · Метод опционов
|
|
Аналитические методы
|
· Анализ чувствительности · Метод корректировки ставки дисконтирования a) Кумулятивный метод b)
Модель оценки финансовых активов (CAPM) с) Метод оценки средневзвешенной
стоимости капитала (WACC) · Метод сценариев
|
|
Метод экспертных оценок
|
Строго говоря, наиболее точным и уместным для решения задачи
количественной оценки рисков в нефтяной геологии является метод имитационного
моделирования. Этот метод основан на замене имеющейся реальной системы моделью,
которая с достаточной точностью описывают систему. Модель строится на основании
результатов анализа наиболее существенных взаимосвязей между элементами
системы. С данной моделью проводятся эксперименты, с целью получения информации
о системе (О.О. Белякова и др. 2011). метод Монте-Карло получил достаточно
широкое распространение с 1980-х годов вместе с увеличившимся доступом к
компьютерам.
Одним из распространенных методов имитационного моделирования является
метод Монте-Карло (метод стохастического моделирования, основан на
моделировании случайных процессов с заданными характеристиками). Результат
моделирования представляется не в виде одного ключевого результирующего показателя,
а в виде вероятностного распределения всех возможных значений. Метод
Монте-Карло можно определить как метод моделирования случайных величин с целью
вычисления характеристик их распределений. Изменения величин генерируются
псевдослучайным образом в соответствии с заданными параметрами распределения,
например, с математическим ожиданием и среднеквадратическим отклонением.
Имитируемое распределение может быть, в принципе, любым, а количество
сценариев - весьма большим (до нескольких десятков тысяч), что обеспечивает
получение более точных и достоверных результатов. Таким образом, потенциальный
инвестор с помощью метода Монте-Карло будет обеспечен полным набором данных,
характеризующих риск проекта (О.О. Белякова и др. 2011).
Обычно проведение имитационного моделирования включает в себя ряд шагов:
ü Выбор ключевых показателей проекта, наиболее сильно влияющих
на конечный результат;
ü Определение закона распределения ключевых параметров;
ü Установление взаимосвязи между исходными и выходными
показателями в виде математического уравнения или неравенства;
ü Проведение компьютерной имитации значений ключевых параметров
модели, т.е. генерирование случайных сценариев, основанных на выборе допущений;
ü Расчет основных параметров распределения исходных и выходных
показателей;
ü Анализ полученных результатов и принятие решения.
Наиболее удобным для анализа рисков показателем является NPV, поскольку
пределы его изменения могут быть в пределах от минус бесконечности до плюс
бесконечности при вероятности от 0 до 1. Это позволяет считать распределение
данного показателя нормальным. Для NPV в качестве ключевых параметров можно выделить мировую цену на нефть,
объемы добычи нефти в каждом году, ставку налога на прибыль. Как отмечалось
ранее, имитируемое распределение может быть любым. Нормальное распределение
встречается наиболее часто, поэтому можно предположить, что все ключевые
переменные имеют нормальное распределение вероятностей. При этом сумма
вероятностей всех значений для каждого показателя должна быть равна 1 (О.О.
Белякова и др. 2011).
Результатом построения множества вероятностных сценариев является
интервальная оценка показателя эффективности инвестиционного проекта в
зависимости от заданных диапазонов колебания макроэкономических параметров.
Гистограмма частот позволяет определить наиболее вероятный интервал значений
показателя чистого дисконтированного дохода.
Таким образом, оценка инвестиционного проекта разработки нефтяного
месторождения методом Монте-Карло происходит по следующему плану:
) генерация случайных будущих объемов добычи нефти в каждом году, налога
на прибыль и мировой цены на нефть (с заданными значениями математического
ожидания и среднеквадратического отклонения);
) расчет чистого дисконтированного дохода при сгенерированных значениях.
Шаги 1 и 2 образуют одну итерацию. Результатом итерации является значение
величины эффективности;
) шаги 1 и 2 повторяются большое количество раз (несколько тысяч);
) расчет минимального, среднего и максимального значений эффективности по
результатам совершенных итераций;
) построение гистограммы распределения частот.
Результаты имитации могут быть дополнены вероятностным и статистическим
анализом и в целом обеспечивают наиболее полную информацию о степени влияния
ключевых факторов на ожидаемые результаты значения показателя чистого
дисконтированного дохода недропользователя (Белякова).
В заключении, говоря о достоинствах данного подхода, следует отметить,
что метод Монте-Карло позволяет (О.О. Белякова и др. 2011):
• учесть максимально возможное число факторов внешней среды;
• является достаточно универсальным;
• не слишком сложен в реализации;
• работает в условиях неопределенности и риска.
К недостаткам рассмотренного подхода следует отнести:
• трудность понимания и восприятия менеджерами имитационных моделей, учитывающих
большое число внешних и внутренних факторов вследствие их математической
сложности и объемности;
• при разработке реальных моделей может возникнуть необходимость
привлечения специалистов или научных консультантов со стороны;
• для достижения высокой точности требуется совершить большое количество
итераций, что требует больше времени по сравнению с традиционным методом.
В отличие от моделирования Монте Карло, которое оценивает
предопределенные проектные сценарии, Дерево решений сосредотачивается на
управленческих решениях например, бурить ли дополнительные скважины, или
использовать дополнительные методы воздействия на пласт, или нет. Оно также
принимает во внимание неопределённость важных параметров, но использует более
простой способ, к примеру, определяя вероятности того, что запасы попадут в
широкие классы типа "крупные", "мелкие" или
"нулевого".
Самый простой способ представить Дерево решений - через пример.
Предположим, что геологоразведочные работы привели к открытию месторождения,
которое может иметь как большие, так и маленькие запасы. В первом случае было
бы оптимальным выявить крупную залежь, тогда как во втором - маленькую. Подбор
неправильного размера залежи был бы дорогой ошибкой. Так что инженер,
отвечающий за проект, предпочел бы получить больше информации относительно
запасов перед принятием решения, но это будет дорогостояще. Какое решение
лучше? Рисунок 2.1 показывает Дерево решений, соответствующее этой ситуации.
Решения представлены квадратами. Ветви, происходящие от них, соответствуют
возможным решениям. Круги представляют события: либо большие запасы (с
вероятностью 60%), либо маленькие (с 40%-й вероятностью). В конце каждой ветви
отмечен окончательный NPV. Так выявление крупной залежи, когда доказанные
запасы оказываются большими, позволяет получить NPV, равный 170, если получена
дополнительная информация о сравнении с NPV, равным 165. Точно так же, если
запасы являются действительно маленькими, выявление маленькой залежи приводит к
NPV, равному 130, если прямо сравнить со 125.
Чтобы можно было бы сравнивать решения, ожидаемая прибыль рассчитана в
каждом круглом узле. Для главной ветви - это 170 x 0.4 + 110 x 0.6 =134.
Поскольку ожидаемая прибыль в других двух узлах - 138 и 141 соответственно,
лучшее решение состояло бы в том, чтобы пробурить дополнительную скважину перед
выбором размера залежи.
Рис. 2.1 Дерево решений.
Есть два момента, которые следует отметить в этих вычислениях; во-первых,
то, что мы вычислили максимум ожидаемого NPV, а не только сам ожидаемый NPV и,
во-вторых, что вычисления выполнены по последней ветке и "отложены"
на стволе. Эти комментарии также применяются, когда структура дерева
используется для того, чтобы оценить варианты.
Динамическое программирование также может использоваться, чтобы оценить
очень гибкие модели решений. Преимущество состоит в том, что это может
совершаться с очень короткими шагами времени. К сожалению, это означает, что
функция аддитивна, что неверно из-за налогов и лицензионных платежей. Поскольку
результаты чувствительны к числовым значениям, используемых для расчёта NPV в
крайних узлах, и поскольку эти значения трудно оценить, некоторые авторы
предлагают заменять NPV функцией полезности. Другой интересный момент - то, что
Дерево решений использует априорные и апостериорные вероятности Байеса, чтобы
смоделировать вероятности выявления больших, маленьких или нулевых запасов,
зависящих от результатов дополнительного бурения. Например, в начале
вероятность больших запасов была оценена в 20%. Вероятность увеличилась бы до
52%, если дополнительное бурение дало положительные результаты, но и упала бы
до 5%, если скважина оказалась сухой. Структура дерева заменяет непрерывные
распределения значений параметров дискретными (например, возможный размер запасов
выражен как крупный, маленький или нулевой). Эффект этой дискретизации может
быть важен, особенно в случае нелинейности допустимых значений. Этот эффект
увеличивается для сложных деревьев.
Сопоставление моделирования Монте-Карло и Дерева решений. С математической
точки зрения, Дерево решений - способ оценить максимум ожидаемого NPV, тогда
как моделирования Монте-Карло вычисляют ожидаемый NPV для стационарных
сценариев. В отличие от моделирования Монте-Карло, Дерево решений не
обеспечивает гистограмму возможного NPV. Предполагается, что цена отвечает за
выбор решения. Оба подхода используют традиционную ставку дисконтирования,
чтобы принять во внимание временную стоимость денег.
Помимо метода имитационного моделирования и дерева решений существует
метод реальных опционов. С начала 1970-х годов начинает активно развиваться
рынок контрактов, называемых put и call, которые дают своему владельцу
право, но не обязательство продать или купить указанное количество товара
(нефть, золото…), по истечению определенного срока. Если дата сделки
зафиксирована, то контракты называются европейскими, иначе их называют
американскими.
Основной вопрос, который задает себе игрок на таком рынке: какую цену я
готов заплатить за право осуществления контракта. Именно с этой целью была
создана модель оценки опционов. Позднее был создан метод реальных опционов
(МРО). Один из наиболее распространенных направлений использования этого метода
является оценка инвестиционных проектов разработки месторождений полезных
ископаемых. К примеру предполагаемый проект разработки нефтяного месторождения
в настоящее время может быть финансов не эффективным. Однако при росте цены н
нефть осуществление данного проекта станет выгодным. Таким образом, приняв
решение не инвестировать в проект, оцененный по настоящим данным, мы упускаем
возможность получения прибыли завтра при возможном росте цен. Реальные опционы
позволяют рассматривать риск не в качестве угрозы, которую необходимо избегать,
а в качестве некоторой возможности (Зиятдинов).
Существую два основных метода оценки опционов:
· Модель Блэка - Шоулза. Она основана на предположении что
динамика цен подобна броуновскому движению. Это предположение сделано в начале
1970-х годов. Исследования показали, что модель хорошо описывает колебания цен
в краткосрочном периоде. Если следовать стандартной модели Блэка - Шоулза, то
начальная цена опциона S
может быть рассчитана из дифференциального уравнения
dSt = σStdWt
+ μStdt или dln(St) = σdWt+ μdt,
где:t - курс акций; t - броуновское движение;
μ - отклонение курса акций;
σ - дисперсия курса акций.
· Другим распространенным методом решения вопроса об оценке
опциона является построение бинарного дерева. Жизнь опциона делится на
интервалы, которые являются достаточно короткими так, чтобы рассматривалось только
два ценовых изменения: скачок от S до Su или скачок вниз к Sd. Величина скачков
зависит от дисперсии и размера временного интервала. Рисунок 2.2 показывает
бинарное дерево для американского опциона с ценой исполнения 50 $ более чем на
5 месяцев. Каждое число показано в своём узле. Вверху узла показан курс акций,
ниже - цена опциона. В каждом шаге значение ожидаемой прибыли для следующего
узла рассчитывается и сравнивается со значением прибыли в предыдущем, если
контракт исполнился в данном узле (т.е. преждевременно). Этот подход для оценки
американских опционов очень похож на Дерево решений. Проблема только в том, что
используется ограниченное число шагов времени, меньше чем 50. Это может быть
проблемой, когда варианты применены к нефтяным проектам, которые имеют жизнь
20-30 лет.
·
Рис. 2.2. Бинарное дерево для американского опциона, долл.
Данные методы в настоящее время активно и успешно используются, однако
для их осуществления требуются значительные затраты, ресурсов. Кроме того,
зачатую результаты этих методов не являются прозрачными и понятными для
менеджмента. Кроме того, как говорилось выше, оба метода используют для расчета
NPV ставку дисконтирования. Учет риска
при помощи корректировки нормы дисконта является наиболее быстрым и простым
методом учета риска. Ставку дисконтирования можно рассматривать как
универсальный, интегральный показатель учета рисков в инвестиционных проектах.
2.3 Модели расчёта ставки дисконтирования при реализации
инвестиционных проектов
Ставка
дисконтирования - процентная ставка, которая используется для расчета
дисконтированной стоимости будущих доходов и расходов. То есть служит для
приведения всех денежных потоков проекта к единым ценам. Соответственно при
вычислении суммарной стоимости проекта (NPV) через
ставку можно включить в проект риски. Проекты очень чувствительны к изменению
ставки дисконтирования. При увеличении ставки дисконтирования суммарная
стоимость проекта, особенно это характерно для нефтяной отрасли, значительно
снижается так как основные инвестиции приходятся на начальный период реализации
проекта, в то время как основные доходы - на более поздние. Итак, в структуре
ставки дисконтирования обычно выделяют две составляющие: безрисковую ставку (
)
процента и компенсацию рисков (
).
Безрисковую
часть рассчитать достаточно просто -
она приравнивается к ставке безрисковых вложений, например, ставке по
облигациям государственного займа, так как они считаются наиболее надежными и
ликвидными активами на рынке ценных бумаг, хотя даже госзайму присуща
определенная степень риска.
Компенсацию
за риск (премию за риск) можно
оценить как ставку, по которой предложат кредит в банке. Но это не обязательно
так, поскольку в банке оценивают не только риск неудачи проекта, но и
финансовую устойчивость и способность самой компании погасить кредит.
Кумулятивный метод применяется в основном для стран со слабо развитым
фондовым рынком, или если акции компании не обращаются на открытом рынке, а
предприятие-аналог сложно найти. Метод подразумевает оценку определенных
факторов, порождающих риск недополучения запланированных доходов. При
использовании метода в структуре ставки дисконта за основу берется безрисковая
норма доходности, а затем к ней добавляется норма доходности за каждый
рисконесущий фактор при инвестировании в данную компанию. Для определения
дополнительной премии за риск инвестирования в определенную компанию
учитывается несколько наиболее важных факторов (Оценка рисков нефтегазовых…
2002 г):
Размер
компании. Чем меньше предприятие, тем
больше риск инвестиций в него. Уменьшение величины данного вида риска имеет
место при осуществлении инвестиции в более крупные предприятия. Данный фактор
риска оценивается в пределах 0 - 3 %.
Финансовая
структура. Данный фактор риска
оценивается в пределах 0 - 5 %. Показатель зависит от коэффициента концентрации
собственного капитала и от показателя текущей ликвидности.
Диверсификация
клиентуры. Чем выше степень
диверсифицированности клиентуры и больше период эффективной связи с ними, тем
меньше риск инвестиций в данное предприятие. Риск потери клиентуры характерен
для всех компаний. Однако потеря клиента в различной степени отражается на
объемах сбыта разных предприятий. Чем меньше зависимость доходов компании от
одного или нескольких крупнейших клиентов, тем при прочих равных условиях она
стабильнее. Данный фактор риска оценивается в пределах 0 - 4 %.
Рентабельность
предприятия и прогнозируемость его доходов. Величина данного вида риска зависит от результатов анализа природы
прибыли оцениваемого предприятия. Если предприятие доказало свою способность
приносить высокую прибыль в течение ряда последних лет - это меньшая величина,
если наоборот, то большая. Данный фактор риска оценивается в пределах 0
- 4 %.
Качество
управления рассматривается с точки
зрения: наличия или отсутствия квалифицированных управляющих; отсутствия или
наличия команды квалифицированных управляющих на оцениваемом предприятии;
наличие или отсутствие квалифицированного «первого лица» - ключевой фигуры, ее
недобросовестности, непредсказуемости.
Прочие
собственные риски. Данный фактор
риска оценивается в пределах 0 - 5 % и учитывает вероятность влияния на
получение прогнозируемых доходов других специфических рисков, присущих
оцениваемой компании.
Суммирование
влияния всех вышеперечисленных факторов дает нам ожидаемую ставку
дисконтирования. Этот метод является одним из наиболее простых и быстрых
методов. Его крупным недостатком является большое количество слабо
формализуемых показателей, оценка которых обычно осуществляется экспертно.
Выделение
в структуре рисконесущих факторов группы прочих. Дает простор для введения в
модель дополнительных факторов риска, присущих проектам в нефтегазовой отрасли.
Для
определения нормы доходности за риск инвестирования в отрасль учитываются
следующие наиболее важные факторы:
1. Изученность месторождения. Величина данного риска будет
определяться в зависимости от категории запасов (ресурсов). Риск будет меньше,
если предполагается разработка запасов промышленных категорий, для прогнозных
ресурсов, соответственно, риск будет больше. Величина премии за данный вид
риска будет определяться путем суммирования премий за каждую имеющуюся
категорию, запасы (ресурсы) которой предстоит осваивать (табл 2.2).
. Сложность геологического строения. Премии по данному виду риска
для каждого вида залежи принимаются: для простого строения - 1%; для сложного
строения - 2%; для очень сложного строения - 3%.
. Средняя глубина залегания продуктивного пласта. Данный вид риска
может быть сопряжен с такими ситуациями, как отказ оборудования при повышении
температуры, время простоя и т.д.
Таблица 2.2 Сопоставление премий за риск по категориям извлекаемых
запасов/ресурсов
|
Группа
|
Категория запасов/ресурсов
|
Премия за риск (%)
|
|
1
|
ABC1
|
1
|
|
C2
|
2
|
|
2
|
C3
|
3
|
|
D1L
|
4
|
|
3
|
D1
|
5
|
|
D2
|
6
|
В зависимости от глубины залегания продуктивного пласта премия за риск
составит: до 3 000 м - 0,5 - 1%; от 3 000 м - 5 000 м - 2%; от 5 000 м - 3%.
. Географо-экономическое расположение. На данный фактор риска
оказывает влияние географическое расположение региона, наличие развитой
транспортной и магистральной инфраструктуры.
Метод оценки финансовых активов САРМ основан на теоретической модели У.
Шарпа. (Плотникова Е.В… 2011) Формула, по которой рассчитывается ставка
дисконтирования в данной модели выглядит следующим образом:
где:

-
доходность безрисковых активов ценных бумаг,

-
средняя доходность всех обращающихся на рынке ценных бумаг (среднерыночная
норма прибыли).
β - коэффициент (измеритель) систематического риска вложений.
Применение
этого метода требует наличия в стране развитого рынка ценных бумаг со
значительным количеством представленных на нем компаний. А акции этих компаний
можно сопоставить друг с другом. При этом, для использования метода необходимо
наличие на рынке безрисковых ценных бумаг для оценки безрисковой ставки. Кроме
того, необходимо наличие статистики о динамике рынка в целом. Это
дополнительное условие так же снижает область применения данного метода. К
недостаткам этого метода можно отнести то, что он не учитывает дополнительный
специфический геологический и технологический риск. Этот метод
сосредотачивается на анализе исключительно рыночного риска.
Модель арбитражного ценообразования является
логическим развитием идей, заложенных в модель CAPM, и
появилась как реакция на последнюю (Плотникова Е.В… 2011). Модель арбитражного
ценообразования основывается на допущении, что доходность каждой акции зависит
частично от внешних, всеобщих макроэкономических условий или «факторов», а
частично от внутренних факторов - событий, касающихся только данной компании.
Тогда доходность равна следующему выражению :
Где

-
безрисковая ставка доходности, т.е ставка доходности портфеля с нулевым
коэффициентом бета;

-
ожидаемая ставка доходности портфеля с коэффициентом бета, равным 1 для фактора
j и равным 0 для всех прочих факторов;

-
«бета»-коэффициент чувствительности доходности актива к непредвиденным
изменениям в факторе j;

-
непредвиденные изменения в факторе j, премии за риск по факторам.
При
этом теория не указывает, какие факторы являются наиболее важными, и какие
нужно выбирать для включения их в модель. Это зависит от специфики деятельности
фирмы. Таким образом, для использования теории арбитражного ценообразования
необходимо, во-первых определить приемлемо короткий перечень макроэкономических
факторов, которые имеют наибольшее влияние на флуктуации ставки дисконтирования
, во-вторых оценить премии за ожидаемый риск по каждому из этих факторов.
Основатель теории - Росс пришел к выводу, что существует четыре основных
общеэкономических фактора:
· уровень промышленного развития;
· темп инфляции;
· разница между краткосрочными и долгосрочными процентными
ставками;
· разница в доходности высокорисковых и низкорисковых
корпоративных облигаций.
У каждого из вышеперечисленных методов есть своя область, когда его
применение целесообразно, однако у каждого из них есть свои недостатки.
Существует относительно простая методика вычисления ставки
дисконтирования, которая активно применяется в методике быстрой оценки
стоимости компании по дисконтированным денежным потокам. Она основывается на методе
оценки средневзвешенной стоимости капитала (Weighted Average Cost of Capital - WACC)
(Плотникова Е.В… 2011). Суть метода WACC заключается в вычислении средневзвешенной стоимости капитала, который
использует фирма в процессе своей деятельности
Где

-
стоимость i -го источника капитала,

- доля i
-го источника капитала в общем привлеченном капитале.
В
нашей методике ограничимся разделением капитала компании на собственный и
заемный, тогда формула будет выглядеть:
Где
E (Equity)-
оценка текущей рыночной стоимости акционерного капитала компании (собственный
капитал);
D (debts)
- краткосрочные и долгосрочные обязательства компании (заемный капитал);

-
стоимость собственного капитала;
rd -стоимость привлеченного, заемного капитала;
α - налог на прибыль.
Для
оценки 
используется
модель CAPM:
Где

-
безрисковая ставка; 
-
ожидаемая средняя доходность рынка; β - бета фактор, рассчитывается для ценной бумаги, показывает изменчивость
доходности ценной бумаги, по отношению к доходности рынка в целом.
Далее
рассмотрим методы определения основных параметров:

-
доходность государственной облигации сроком на 3 года

-
среднегодовая скорость роста индекса РТС с момента начала его расчета
Аналогично
предыдущим методам оценки данный метод не учитывает недиверсифицируемый риск,
характерный для компаний, работающих в нефтяной отрасли.
Как
было показано выше, кумулятивный метод определения ставки дисконтирования
является наиболее полным с позиции учета специфического риска компании. В то же
время, подходов к оценке рыночной составляющей риска существует много,
рассмотрим некоторые аспекты применения этих механизмов при расчете ставки
дисконтирования.
Вопрос
о применении ставок дисконтирования полученных по методам оценки капитальных
активов и средневзвешенной стоимости капитала для анализа эффективности
инвестиционных проектов в реальном секторе экономики остается открытым. На
практике эти методы часто применяются, однако, с теоретической точки зрения это
не совсем правомерно. Методики создавались с целью вычисления ставки
дисконтирования, применяемой для оценки финансовых активов. Некоторые
исследователи не советуют применение этих методов для оценки эффективности
инвестиционных проектов. Стандарты оценки ограничиваются более обтекаемой формулировкой,
относительно, например метода WACC: «Использование в качестве ставки дисконта
средневзвешенной стоимости привлечённого капитала в отечественных условиях
практически пока мало применимо, в связи с крайне ограниченным использованием
основной массой российских предприятий схем привлечения финансовых ресурсов,
аналогичных западным». Некоторые исследователи допускают применение этого
метода, но при наличии жестких ограничений модели, зачастую не реалистичных.
Однако методика вычисления ставки дисконтирования по методу WACC
описана в литературе только в общем виде, не указаны конкретные механизмы
определения параметров. Это с одной стороны оставляет большой простор для
исследователя, с другой стороны порождает огромное количество вариантов данного
метода.
По
мнению автора применение данных методов уместно при инвестиционном анализе,
однако в качестве вспомогательных методов оценки рыночного риска. На самом
деле, наблюдается высокая корреляция между финансовыми и реальными показателями
работы компании. Достаточно рассмотреть корреляцию между рыночной
капитализацией и объемами добычи (выручки как эквивалента) компаний
нефтегазового профиля России (рис 2.1, табл 2.3).
Высокая
корреляция этих параметров указывает на возможность применения ставки
дисконтирования полученной по методам оценки капитальных активов и
средневзвешенной стоимости капитала. Для оценки эффективности инвестиционных
проектов.
Таблица
2.3 Рыночная капитализация и выручка крупнейших компаний нефтегазового
профиля на 2011г (по данным рейтингового агентства «Эксперт 400»)
|
Компания
|
Капитализация на 01.01.2012
г. (млн долл.)
|
Объем выручки за 2011 г.
(млн долл.)
|
|
"Газпром"
|
114 991
|
157 778
|
|
"Роснефть"
|
63 670
|
63 220
|
|
ЛУКОЙЛ
|
48 310
|
111 433
|
|
ТНК-ВР
|
39 198
|
41 615
|
|
НОВАТЭК
|
34 171
|
5 991
|
|
"Сургутнефтегаз"
|
30 933
|
26 807
|
|
"Татнефть"
|
13 218
|
20 955
|
Рис 2.3 График зависимости рыночной капитализации компаний от их выручки
Глава 3.
Обоснование выбора ставки дисконтирования для нефтегазовых проектов
В данной главе рассмотрены практические аспекты применения описанных выше
методик определения ставки дисконтирования. Приведены расчеты, и результат
оценки ставки дисконтирования для десяти крупнейших компаний России, работающих
в нефтегазовой отрасли по всем этим методам. Кроме того, оговорены условия
применения методик к конкретным объектам.
3.1 Обоснование
выбора безрисковой составляющей ставки дисконтирования
Определение безрисковой составляющей, является основополагающим этапом в
определении ставки дисконтирования, так как она используется во всех методах,
однако затруднения возникают и на этом этапе. Как уже было сказано выше,
традиционно определяется как ставки по облигациям федерального займа.
Основная проблема - это выбор конкретного значения, так как диапазон
доходности колеблется в значительных пределах: от 5% до 10% показатель зависит
от срока до погашения облигации (табл 3.1). Естественно, что облигации с
поздним сроком погашения обладают более высокой процентной ставкой,
обеспечивающей покрытие возможных рисков. К тому же ставка значительно
изменяется во времени (рис 3.1) В настоящий момент ставка дисконтирования
колеблется около 7 - 8 %. По самым последним размещенным облигациям
федерального займа (ОФЗ), со cроком
погашения 27.02.2019 года (срок обращения 2380 дней) доходность составляет 7,8%
(по данным ЦБ РФ).
Так как для определения ставки дисконтирования была рассмотрена
финансовая отчетность компаний за 2011 г, то правомернее в основу расчетов в
качестве безрисковой ставки положить среднюю доходность за 2011 год. Согласно
официальной статистике Центрального Банка РФ средняя доходность на рынке
государственных ценных бумаг составила 7.68%. Однако эта доходность не подходит
для использования в качестве безрисковой составляющей ставки дисконтирования.
Срок до погашения этих ценных бумаг в основном не превышает 7 лет. В данной
работе, в качестве безрисковой ставки принята доходность по облигациям
федерального займа сроком погашения 25 лет. Выбор такого уровня ставки
дисконтирования можно объяснить спецификой инвестиционных проектов в нефтяной
отрасли. Срок жизни таких проектов в среднем составляет 20 - 30 лет, именно
поэтому для корректного сравнения альтернативной стоимости вложений нужно брать
доходность облигаций с длительным сроком погашения. Доходность на уровне 9,09%
принята за безрисковую составляющую ставки дисконтирования.
Таблица 3.1 Изменение доходности облигаций в зависимости от срока
погашения (по данным ЦБ РФ)
|
Срок до погашения, лет
|
1
|
2
|
3
|
5
|
10
|
15
|
20
|
25
|
|
Доходность, % в год
|
5,12
|
6,60
|
7,27
|
7,68
|
8,49
|
8,82
|
8,99
|
9,09
|
Рис.3.1 Ставки рынка ГКО-ОФЗ с 14.01.2004 по 28.08.2012 (по данным ЦБ РФ)
3.2 Применение кумулятивного метода расчёта ставки
дисконтирования
Данный метод во многом основан на экспертной оценке каждого из
параметров, которые несут в себе элементы риска. Для придания модели большей
объективности для некоторых параметров модели введены характеризующие
показатели, по которым компании были ранжированы. Этот процесс перехода от
качественных показателей к количественным является сложной и неоднозначной
процедурой. В зависимости от значения характеризующего показателя,
пропорционально вычислено значение премии за риск. Однако в модели есть
показатели, объективная оценка которых является невозможной. Их оценка
проводилась экспертным методом. Кроме того, надбавка за прочие риски зависит от
конкретного объекта, поэтому оценка этой составляющей не имеет смысла в рамках
решаемой задачи.
Оценка фактора Размер компании.
Существует несколько критериев, по которым оценивается размер компании:
· Балансовая стоимость акционерного капитала
· Число сотрудников компании
· Рыночная стоимость акционерного капитала.
В исследованиях можно применять как каждый из этих параметром по
отдельности, так и совместно. Для определения надбавки за данный фактор
необходимо решить задачу отображения двух множеств друг в друга. Мощность
множества надбавок за риск бесконечно и непрерывно, в то время как
классификация компаний по числу сотрудников ограничено и дискретно,
соответственно число работников менее удачный критерий по сравнению с другими
для использования отдельно. При выборе между Балансовой стоимостью и рыночной
стоимостью акционерного капитала, целесообразнее выбрать балансовую стоимость,
вследствие большей объективности этой стоимости.
Критерием для оценки размера компании была выбрана балансовая стоимость
активов компании - официальная и легко доступная информация вполне подходящая
для поставленной задачи. Значения балансовых стоимостей представлены и
соответствующих надбавок за риск представлены в таблице 3.2:
Таблица 3.2 Балансовая стоимость активов и размер надбавки за риск за
фактор «Размер компании» для российских компаний нефтегазового профиля.
|
Компания
|
Активы компании, (млн руб).
|
Размер надбавки (%)
|
|
"ГАЗПРОМ"
|
10 900 696
|
0.00%
|
|
"РОСНЕФТЬ"
|
3 377 000
|
2.07%
|
|
"ЛУКОЙЛ"
|
2 936 382
|
2.19%
|
|
"ТНК-ВР Холдинг"
|
1 193 718
|
2.67%
|
|
"Сургутнефтегаз"
|
1 120 178
|
2.69%
|
|
"Газпром нефть"
|
1 181 193
|
2.67%
|
|
"НОВАТЭК"
|
383 432
|
2.89%
|
|
"Татнефть"
|
135 914
|
2.96%
|
|
"Башнефть"
|
437 051
|
2.88%
|
|
"РуссНефть"
|
194 025
|
2.95%
|
|
"СЛАВНЕФТЬ"
|
261 556
|
2.93%
|
Крупнейшей российской компанией является ОАО «Газпром» размер активов
компании составляет 10 900 696 млн руб. Значению 10 000 руб (0.01 млн. руб)
сопоставлен уровень ставки дисконтирования равный 3% , 10 900 696 млн руб - 0%.
Все компании ранжированы по размеру активов по формуле:
Где А - величина активов компании.
Результаты расчетов представлены в табл. 3.2.
3.2.1 Оценка фактора Финансовая структура
Для оценки данного фактора в качестве индикаторного показателя было
выбрано соотношение собственного и заемного капитала, точнее доля собственного
капитала в структуре капитала. Вопрос к какой базе соотносить долю собственного
капитала. Официального ограничения по доле заемных средств не существует. В данном
случае принято соотносить долю собственного капитала к 100%. Итоговая формула
расчета выглядит следующим образом:
Где φ - доля собственного капитала в общем.
Результаты расчетов представлены в таблице 3.3:
Таблица 3.3 Доля собственного капитала в структуре капитала и размер
надбавки за риск за фактор «Финансовая структура» для российских
компаний нефтегазового профиля
|
Компания
|
Доля собственного капитала
(%)
|
Размер надбавки (%)
|
|
"ГАЗПРОМ"
|
71.2%
|
1.44%
|
|
"РОСНЕФТЬ"
|
69.8%
|
1.51%
|
|
"ЛУКОЙЛ"
|
74.0%
|
1.30%
|
|
"ТНК-ВР Холдинг"
|
56.0%
|
2.20%
|
|
"Сургутнефтегаз"
|
93.2%
|
0.34%
|
|
"Газпром нефть"
|
64.7%
|
1.77%
|
|
"НОВАТЭК"
|
63.0%
|
1.85%
|
|
"Татнефть"
|
64.3%
|
1.79%
|
|
"Башнефть"
|
46.2%
|
2.69%
|
|
"РуссНефть"
|
34.0%
|
3.30%
|
|
"СЛАВНЕФТЬ"
|
54.0%
|
2.30%
|
3.2.2 Оценка фактора Диверсификация клиентуры
Оценка данного фактора при помощи индикаторного показателя довольно
затруднительно, оценка надбавки за риск оценивалась экспертно. Для нефтегазовой
отрасли этот риск довольно низкий, так как обычно потребители крупные и стабильные,
в настоящее время мировая экономика энергодефицитна, поэтому риск потери
клиентов у этих компаний минимален. Однако существует небольшой риск для мелких
компаний, он оценен в 1 %.
Таблица 3.4 азмер надбавки за риск за фактор «Диверсификация клиентуры»
для российских компаний нефтегазового профиля
|
Компания
|
Размер надбавки (%)
|
|
"ГАЗПРОМ"
|
0%
|
|
"РОСНЕФТЬ"
|
0%
|
|
"ЛУКОЙЛ"
|
0%
|
|
"ТНК-ВР Холдинг"
|
0%
|
|
"Сургутнефтегаз"
|
0%
|
|
"Газпром нефть"
|
0%
|
|
"НОВАТЭК"
|
0%
|
|
"Татнефть"
|
1%
|
|
"Башнефть"
|
0%
|
|
"РуссНефть"
|
1%
|
|
"СЛАВНЕФТЬ"
|
1%
|
3.2.3 Оценка фактора рентабельность предприятия и
прогнозируемость его доходов
Прогнозируемость доходов компаний весьма низка для всей нефтегазовой
отрасли. Вследствие того, что она сильно привязана к колебаниям мировой цены на
нефть. А этот показатель слабо предсказуем. Ориентировочным показателем принята
рентабельность активов за 2011 г., однако стоит отдавать себе отчет в том, что
рентабельность зависит от прибыли компании. Следовательно испытывает
аналогичные колебания. Это значительный минус в методике. Он может быть
устранен учетом статистики за значительный промежуток времени. В рамках данной
методики взят единичный показатель. Определение надбавки за риск по данному
фактору происходило аналогично предыдущим показателям. Результат представлен в
таблице 3.5
Таблица 3.5 Показатель рентабельности активов и размер надбавки за
риск за фактор «рентабельность предприятия и прогнозируемость его доходов» для
российских компаний нефтегазового профиля
|
Компания
|
Рентабельность (%)
|
Размер надбавки (%)
|
|
"ГАЗПРОМ"
|
26.7%
|
0.80%
|
|
"РОСНЕФТЬ"
|
13.5%
|
2.40%
|
|
"ЛУКОЙЛ"
|
7.7%
|
3.10%
|
|
"ТНК-ВР Холдинг"
|
14.8%
|
2.24%
|
|
"Сургутнефтегаз"
|
30.9%
|
0.29%
|
|
"Газпром нефть"
|
12.0%
|
2.58%
|
|
"НОВАТЭК"
|
33.3%
|
0.00%
|
|
"Татнефть"
|
10.0%
|
2.82%
|
|
"Башнефть"
|
7.1%
|
3.18%
|
|
"РуссНефть"
|
1.1%
|
3.90%
|
|
"СЛАВНЕФТЬ"
|
0.3%
|
4.00%
|
3.2.4 Оценка фактора качество управления
Для оценки данного фактора сложно подобрать соответствующий показатель, в
данной работе в качестве индикатора работы менеджмента взята динамика прибыли
компании по отношению к предыдущему году. Динамика прибыли и надбавки за риск
представлены в таблице 3.6
Таблица 3.6 Динамика прибыли и размер надбавки за риск за фактор
«качество управления» для российских компаний нефтегазового профиля
|
Компания
|
Динамика прибыли (%)
|
Размер надбавки (%)
|
|
"ГАЗПРОМ"
|
131.95%
|
0.77%
|
|
"РОСНЕФТЬ"
|
107.05%
|
1.45%
|
|
"ЛУКОЙЛ"
|
114.06%
|
1.26%
|
|
"ТНК-ВР Холдинг"
|
132.48%
|
0.76%
|
|
"Сургутнефтегаз"
|
144.16%
|
0.44%
|
|
"Газпром нефть"
|
131.71%
|
0.78%
|
|
"НОВАТЭК"
|
160.28%
|
0.00%
|
|
"Татнефть"
|
145.28%
|
0.41%
|
|
"Башнефть"
|
150.95%
|
0.25%
|
|
"РуссНефть"
|
155.14%
|
0.14%
|
|
"СЛАВНЕФТЬ"
|
13.81%
|
4.00%
|
3.2.5 Оценка фактора прочие собственные риск
Как уже говорилось выше, оценка фактора должна проводиться индивидуально
для каждого проекта. Основные параметры, по которым оценивается надбавка за
риск, описаны в пункте 2.3 главы 2. Обозначим эту надбавку как Δ.
Тогда итоговая ставка
дисконтирования по кумулятивному методу будет выглядеть следующим образом:
Таблица 3.7 Сумма надбавок за риск и итог ставки дисконтирования по
кумулятивному методу оценки
|
Компания
|
Безрисковая ставка (%)
|
Сумма надбавок за риск (без
учета прочих рисков)
|
Итог ставки дисконтирования
|
|
"ГАЗПРОМ"
|
9,09%
|
3.01%
|
12,10 + Δ %
|
|
"РОСНЕФТЬ"
|
9,09%
|
7.43%
|
16,52 + Δ %
|
|
"ЛУКОЙЛ"
|
9,09%
|
7.86%
|
16,95 + Δ %
|
|
"ТНК-ВР Холдинг"
|
9,09%
|
7.87%
|
16,96 + Δ %
|
|
"Сургутнефтегаз"
|
9,09%
|
3.76%
|
12,85 + Δ %
|
|
"Газпром нефть"
|
9,09%
|
7.80%
|
16,89 + Δ %
|
|
"НОВАТЭК"
|
9,09%
|
4.74%
|
13,83 + Δ %
|
|
"Татнефть"
|
9,09%
|
7.98%
|
17,07 + Δ %
|
|
"Башнефть"
|
9,09%
|
9.00%
|
18,09 + Δ %
|
|
"РуссНефть"
|
9,09%
|
11.29%
|
20,38 + Δ %
|
|
"СЛАВНЕФТЬ"
|
9,09%
|
14.23%
|
23,32 + Δ %
|
3.3 Расчёт
ставки дисконтирования на основе модели оценки финансовых активов
Напомним что расчеты ставки дисконтирования в данной модели производится
по формуле:
обсудим методику вычисления параметров модели:

-
безрисковая ставка для данного исследования принята за 7,68%

- средняя доходность всех обращающихся на рынке ценных
бумаг (среднерыночная норма прибыли). данный показатель является
статистическим. В формуле расчета участвует индекс РТС принятый на следующие
даты: 1.01.2005 г. и 30.12.2011 г. По данным Российской торговой системы на
30.12.2011 г. индекс составил 1381,87.
Расчет
производится по следующей формуле:
Полученное
значение среднерыночной доходности используется и в других методиках расчета
ставки дисконтирования, является важным показателем.
Значение
коэффициента β
который является мерой систематического
риска, по сути данный показатель определяет взаимосвязь между изменением
доходности конкретной ценной бумаги и изменением доходности рынка в целом. Бета
есть отношение ковариации оцениваемой величины и эталонной к дисперсии
эталонной. В данной работе значения коэффициента β не рассчитывались, взяты значения по данным
рейтингового агентства AK&M, аналитического интернет - проекта
«smartmarkets», а так же издательского агентства «Коммерсантъ. Издательский
дом».
Данные
по коэффициентам представлены в следующей таблице:
Таблица
3.8 Значения коэффициента β (источники информации) для российских компаний
нефтегазового профиля
|
Компания
|
Значение коэффициента β
|
Источник
|
|
"Газпром"
|
1.167373
|
«smartmarkets»
|
|
"Роснефть"
|
1.195358
|
«smartmarkets»
|
|
"Лукойл"
|
1.042952
|
«smartmarkets»
|
|
"ТНК-ВР Холдинг"
|
«Коммерсантъ. Издательский
дом»
|
|
"Сургутнефтегаз"
|
1.10577
|
«smartmarkets»
|
|
"Газпром нефть"
|
1.25
|
«Коммерсантъ. Издательский
дом»
|
|
"Новатэк"
|
0.893198
|
«smartmarkets»
|
|
"Татнефть"
|
1.193956
|
«smartmarkets»
|
|
"Башнефть"
|
0.67
|
«Коммерсантъ. Издательский
дом»
|
|
"РуссНефть" (*)
|
0.67
|
|
|
"Славнефть"
|
0.656
|
AK&M
|
(*) Не найдена информация взято по аналогии
с"Башнефть" из-за сходства по размеру компаний, структуре капитала.
После определения всех параметров модели было проведено вычисление ставки
дисконтирования, результат представлен в таблице:
Таблица 3.9 Оценка ставки дисконтирования по модели оценки финансовых
активов (CAPM)
|
Компания
|
Безрисковая ставка (rf)
|
Ожидаемая рыночная
доходность(rm)
|
Коэффициент β
|
Ставка дисконтирования по
модели САРМ
|
|
"Газпром"
|
9,09%
|
12%
|
1.16
|
12,82%
|
|
"Роснефть"
|
9,09%
|
12%
|
1.19
|
12,91%
|
|
"Лукойл"
|
9,09%
|
12%
|
1.04
|
12,42%
|
|
"ТНК-ВР Холдинг"
|
9,09%
|
12%
|
0.68
|
11,26%
|
|
"Сургутнефтегаз"
|
9,09%
|
12%
|
1.10
|
12,63%
|
|
"Газпром нефть"
|
9,09%
|
12%
|
1.25
|
13,09%
|
|
"Новатэк"
|
9,09%
|
12%
|
0.89
|
11,95%
|
|
"Татнефть"
|
9,09%
|
12%
|
1.19
|
12,91%
|
|
"Башнефть"
|
9,09%
|
12%
|
0.67
|
11,23%
|
|
"РуссНефть" (*)
|
9,09%
|
12%
|
0.67
|
11,23%
|
|
"Славнефть"
|
9,09%
|
12%
|
0.656
|
11,19%
|
Наибольшее значение ставки дисконтирования получено для компании «Газпром
нефть» наименьшее у «Славнефть». Итоговое значение ставки дисконтирования
зависит исключительно от значения рыночного коэффициента бета. Так как
остальные показатели являются постоянными для всех компаний. Соответственно
ставка дисконтирования прямо пропорциональна ковариации между доходностью акций
компании и рынка в целом. То обстоятельство, что метод опирается на
единственный показатель - поведение акций компаний на рынке ценных бумаг,
является его крупным недостатком. При этом это довольно простой и часто
используемый метод.
Стоит отметить, что рыночный коэффициент бета характеризует связь между
поведением акций компании на рынке и поведением рынка в целом, однако специфика
российского рынка ценных бумаг такова, что вопрос возможности применения
данного метода остается открытым. Проблема заключается в том, что российский
рынок очень сильно концентрирован, 5 компаний (10% по наименованиям) с
наибольшим весом (Газпром - 14.78%, Сбербанк - 14,37%, Лукойл - 13,51%,
Роснефть - 5,78%, Норильский никель - 5,55%) (по данным ММВБ статистика) в
сумме определяют индекс на 53,99%.
К примеру максимальный вес компании в индексе Доу Джонса (The Dow Jones
Industrial Average) составляет 7.14%. При этом, первые 3 компании (10% по
наименованиям) занимают в весе индекса 19,98 %.
Закономерно, что коэффициент бета будет высоким для компаний, вклад
которых в индекс высок. Именно по этой причине ставки дисконтирования,
полученные по методу оценки капитальных активов высоки у таких компаний как
Газпром, Роснефть, Лукойл, Татнефть, Сургутнефтегаз и т.д.
3.4 Расчёт ставки дисконтирования на основе модели оценки
средневзвешенной стоимости капитал
Как уже говорилось выше, метод основан на оценке стоимости капитала.
Формула расчета ставки дисконтирования выглядит следующим образом:
Определим значения параметров модели.

-
стоимость собственного капитала, для вычисления этого значения можно принять
результаты вычислений по модели CAPM. Так как, по своей сути, ставка полученная по этому
методу является приростом капитала, который ожидают его владельцы при
сложившейся ситуации на рынке.
Стоимостью
заемного капитала (
)
принимается эффективная доходность к погашению по выпущенным облигациям
компании. Однако "Сургутнефтегаз" никогда не выпускала облигаций. Для
этой компании стоимость заемного капитала примем как среднее значение
доходности по облигациям других компаний как усредненное значение по отрасли.
Таблица
3.10 Значения эффективной доходности к погашению для российских компаний
нефтегазового профиля
|
Компания
|
Эффективная доходность к
погашению облигаций компаний ( ) (%)
|
|
"Газпром"
|
7%
|
|
"Роснефть"
|
8.3%
|
|
"Лукойл"
|
7%
|
|
"ТНК-ВР Холдинг"
|
7.25%
|
|
"Сургутнефтегаз"
|
8%
|
|
"Газпром нефть"
|
9%
|
|
"Новатэк"
|
7%
|
|
"Татнефть"
|
8%
|
|
"Башнефть"
|
8%
|
|
"РуссНефть"
|
9%
|
|
"Славнефть"
|
9%
|
E и D - собственный и заемный капитал,
соответственно. Информация об этих показателях взята из годовых
консолидированных финансовых отчетов компаний, публикуемых на официальных
сайтах компаний. Большинство компаний представляют отчетность согласно
международным стандартам бухгалтерской отчетности. Однако не все компании
представляют отчетность в едином формате (МСФО, USGAAP, РСБУ). Информация о размерах собственного капитала и
обязательств компаний представлена в следующей таблице:
Таблица 3.11 Структура капитала российских компаний нефтегазового
профиля
|
Компания
|
Система отчетности
|
Собственный капитал (E)
(млн руб)
|
Обязательства (D) (млн руб)
|
доля СК
|
|
"Газпром"
|
МСФО
|
7 760 991
|
3 139 705
|
71.20%
|
|
"Роснефть"
|
МСФО
|
2 069 000
|
894 000
|
69.83%
|
|
"Лукойл"
|
US GAAP
|
2 177 946
|
763 977.2
|
74.03%
|
|
"ТНК-ВР Холдинг"
|
US GAAP
|
668 311
|
525 407.4
|
55.99%
|
|
"Сургутнефтегаз"
|
РСБУ
|
1 592 807
|
115 577
|
93.23%
|
|
"Газпром нефть"
|
МСФО
|
781 302
|
426 542
|
64.69%
|
|
"Новатэк"
|
МСФО
|
241 682
|
141 750
|
63.03%
|
|
"Татнефть"
|
US GAAP
|
403 411
|
224 412
|
64.26%
|
|
"Башнефть"
|
МСФО
|
180 642
|
210 105
|
46.23%
|
|
"РуссНефть"
|
РСБУ
|
30 936
|
60 133
|
33.97%
|
|
"Славнефть"
|
МСФО
|
133 534
|
113 688
|
54.01%
|
Как видно из представленной таблицы, по доле собственных средств в
структуре капитала компании значительно разнятся. Наиболее выделяются компании,
у которых собственные средства составляют менее 50%, это "Башнефть" и
"РуссНефть", кроме того выделяется "Сургутнефтегаз", доля
СК которого составляет 93,2%. Это соотношение значительно влияет на итоговую
ставку дисконтирования, так как отвечающее за собственный капитал первое
слагаемое в формуле вносит наибольший вклад, так как входит с большим
коэффициентом (табл 3.12).
Из приведенной ниже таблицы видно, что значения ставки дисконтирования
варьируют значительно, они зависят от многих факторов, например, высокая ставка
дисконтирования у "Сургутнефтегаза" обусловлено высокой долей собственных
средств в структуре капитала в сочетании с высокой ставкой по модели CAPM. При этом ставки дисконтирования
"Газпром нефти", которая обладает самой высокой ставкой по модели CAPM заметно ниже, чем у
"Сургутнефтегаза", вследствие более высокой доли заемных средств в
структуре капитала.
Таблица 3.12 Результаты расчетов по методу оценки средневзвешенной
стоимости капитала (WACC)
|
Компания
|
|
|
Cтавка дисконтирования по модели WACC
|
|
"Газпром"
|
9,13%
|
1.61%
|
10,74%
|
|
"Роснефть"
|
9,02%
|
2.00%
|
10,71%
|
|
"Лукойл"
|
9,20%
|
1.54%
|
11,04%
|
|
"ТНК-ВР Холдинг"
|
6,31%
|
2.55%
|
8,86%
|
|
"Сургутнефтегаз"
|
11,77%
|
0.44%
|
12,21%
|
|
"Газпром нефть"
|
8,47%
|
2.51%
|
10,97%
|
|
"Новатэк"
|
7,53%
|
2.19%
|
9,72%
|
|
"Татнефть"
|
8,29%
|
2.37%
|
10,66%
|
|
"Башнефть"
|
5,19%
|
3.42%
|
8,61%
|
|
"РуссНефть"
|
3,82%
|
4.90%
|
8,71%
|
|
"Славнефть"
|
6,04%
|
3.27%
|
9,31%
|
На низкие ставки дисконтирования для "Башнефти",
"РуссНефти", "Славнефти", "ТНК-ВР" повлияло
несколько факторов: во - первых это низкая ставка по модели CAPM.
3.5 Анализ результатов
Кумулятивный метод часто опирается на экспертные оценки, и слабо
математизирован. К тому же, метод имеет широкий диапазон надбавок за риск -
максимальное значение >25%. Таким образом, при использовании экспертных
оценок результаты могут значительно отличаться. Однако у данного подхода есть
крупный плюс, он позволяет оценить геологические риски.
Для придания модели большей строгости в данной работе для некоторых
факторов были выбраны вспомогательные показатели, так, например, для оценки
качества управления компании проанализирована динамика чистой прибыли компаний.
В соответствии с этим показателем компании были распределены и выбрана премия
за риск для каждой из них.
Более субъективный подход этой методики обуславливает более плавное
относительное распределение ставок для разных компаний. Большое количество
параметров модели обуславливает высокие значения ставок в целом и значительный
разброс значений. Значения ставок варьируют от 12,10% у Газпрома до 23,32% у
Татнефти. И характерную направленность увеличения ставки от крупных компаний, к
более мелким. Это распределение закономерно, так как при фиксированной
безрисковой ставке премия за риск должна быть больше у компании, которая
является менее надежной.
В модели оценки финансовых активов САРМ определяющим фактором,
влияющим на уровень ставки дисконтирования, является коэффициент β,
определяемый
статистически и отражающий взаимосвязь доходности акций компаний и доходности
рынка в целом. Остальные параметры модели являются постоянными величинами для
всех компаний.
Наибольшее значение ставки наблюдается у компании Газпром Нефть, для
которой коэффициент β составляет 1,25.
Высокими значениями ставки дисконтирования обладают так же такие компании
как Татнефть (12,91%), Роснефть (12,91%), Газпром (12,82%) и Сургутнефтегаз
(12,63%). Значения коэффициента β у всех этих компаний превышает 1.1 .
Наиболее низкая оценка ставки дисконтирования получена для компании
Славнефть , она составляет 11,19% при значении коэффициента β=0.65.
Фактором, влияющим на общее смещение распределения ставок, является
ожидаемая рыночная доходность, так как разница между рыночной доходностью и
безрисковой ставкой является базой для премии за риск, а корректирующий
коэффициент β лишь определяет относительное распределение ставок для разных
компаний. В данной работе взята в рассмотрение доходность, показанная в период
с 01.01.2005 по 31.12.2011, такой выбор обусловлен высокой нестабильностью
индекса (рис 3.2). Кроме того, за 2011 год средняя доходность рынка составила
отрицательную величину, что делает невозможным применение ее в подобного рода
моделях. Так же стоит заметить, что общее распределение ставок дисконтирования
CAPM выше чем по модели WACC.
При сравнении результатов метода CAPM и кумулятивного можно выделить два ключевых момента:
· Результаты методов для одних и тех же компаний могут
значительно отличатся при использовании различных методов (Для компании
«Славнефть» отличаются в 2 раза). Это обстоятельство объясняется с позиции
методики построения ставки дисконтирования по кумулятивному методу и влиянием
уровня ожидаемой рыночной доходности на результаты метода CAPM.
· Разнонаправленная тенденция изменения ставок среди компаний:
Для кумулятивного увеличение ставок от крупных компаний к мелким и обратная
тенденция для метода оценки капитальных активов. Эта тенденция характерна и для
распределения по модели WACC.
Уровень ставки дисконтирования по методу оценки средневзвешенной
стоимости капитала (WACC)
определяется, преимущественно, долей собственного капитала в структуре активов
компании.
Ставка тем выше, чем больше доля собственных средств в общей структуре
капитала компании.
Рис
3.2 Динамика значения индекса РТС с начала работы до настоящего времени
Наибольшая ставка наблюдается у компании Сургутнефтегаз (12.21%). Это
закономерно, так как доля собственного капитала составляет (93.23%)
Высокие ставки так же наблюдаются у Газпром нефти (10.97%), Роснефти
(10.71%) и Газпрома (10.74%) у которых собственный капитал так же преобладает -
64.69%, 69.83%, 71.20%, соответственно.
Наименьшая ставка у наблюдается у компании Русснефть - 8.71% при самой низкой
доле собственного капитала - 33.97%.
Дополнительным
фактором, влияющим на оценку ставки является стоимость собственного капитала
компании (
) которые
в совокупности со значением доли собственного капитала дают основной вклад в
ставку дисконтирования (от 51% до 90% в разных компаниях). Степень корреляции
между оценками по модели CAPM и WACC высока (R²
= 0.75) (рис 3.3).В свою очередь 
зависит
от значения коэффициента β.
Рис 3.3 Зависимость между оценками ставки дисконта по модели CAPM и WACC
Таким образом, можно подвести итог о применении каждого из методов:
Для начала следует прояснить, на каком аспекте риска фокусируется каждый
из методов.
|
Метод
|
Охватываемые риски
|
|
Кумулятивный
|
Финансовый, отраслевой,
технологический, собственный риск компании, геологический.
|
|
Модель CAPM
|
Финансовый, собственный
риск компании.
|
|
Модель WACC
|
Собственный риск компании,
финансовый
|
Существует подход, предложенный Пелымской И.С. (Совершенствование…1999),
в котором автор предлагает разделить все риски на «инвестиционные риски» (риски
связанные с реализацией данного конкретного проекта) и «риски предприятия» -
риски, которые не относятся к конкретному проекту (они обычно связаны с
финансовым положением компании, ее структурой и другими внутренними и внешними
факторами). В рамках данного подхода можно заключить, что кумулятивная модель
построения ставки дисконтирования охватывает обе группы рисков, в то время как
модели CAPM и WACC учитывают только риски компании. Это обстоятельство
является первым препятствием для использования этих методов, однако сейчас
существуют попытки адаптировать модели CAPM или WACC
для целей оценки инвестиционных проектов. Некоторые исследователи предлагают
использовать ставку, полученную по модели WACC с некоторой надбавкой, как
премией за инвестирование в конкретный проект (Капустин…). Однако сравнительный
анализ применения метода для нескольких компаний позволил выявить более крупное
принципиальное препятствие для применения этих методов в условиях «существенно
деформированного» российского рынка. К тому же в настоящее время не приходится
ожидать тенденции по снижению концентрации, наоборот наблюдается тенденция на
укрупнение компаний (в качестве примера можно привести сделку о покупке
компанией «Роснефть» активов компании «ТНК - BP»).
В сложившейся ситуации наиболее приемлемым для применения на практике
методом оказывается кумулятивный метод, однако для получения корректных
значений необходимо проанализировать структуру надбавок за риск, так как сумма
надбавок составляет большую величину, кроме того, целесообразным будет изменить
не только абсолютное значение надбавок, но и относительно их распределение.
Сделать наиболее значимыми специфические отраслевые факторы риска, и снизить
влияние некоторых других факторов.
Заключение
В результате выполненной работы были решены поставленные в рамках
исследования задачи и достигнута поставленная цель. Данное исследование
позволяет сделать следующие выводы:
· Большинство методических подходов к оценке эффективности
инвестиционных проектов используют сходный набор критериев. Все эти критерии
рассчитываются с учетом фактора времени и при их расчете используется ставка
дисконтирования.
· Ставка дисконтирования является наиболее универсальным и
часто используемым методом учета рисков при оценке инвестиционных проектов.
· Анализ методов оценки ставки дисконтирования (кумулятивный,
модель оценки капитальных активов, модель оценки средневзвешенной стоимости
капитала) показал принципиальную возможность применения этих методов для
инвестиционных проектов в реальном секторе экономики.
· Расчет ставки дисконтирования по всем методикам позволил
выявить следующие особенности:
. Среднее значение, границы распределения и разброс значений
ставок дисконтирования по разным методам отличается;
. Кумулятивный метод позволяет более равномерно построить
распределение ставок дисконтирования для компаний;
. Однофакторная модель оценки капитальных активов дает
противоположную тенденцию распределения ставок дисконтирования по сравнению с
кумулятивным методом. Высокая концентрация Российского рынка создает
дополнительное препятствие для использования этого метода на практике.
. Результаты оценок ставки дисконтирования, полученные по методу
оценки средневзвешенной стоимости капитала связаны со ставками полученными по
модели оценки капитальных активов функциональной зависимостью. Что также
затрудняет использование метода при расчетах.
· Для реальных расчетов может быть предложен гибридный ,
комплексный метод расчета основанный на кумулятивном методе для которого
надбавку за риск можно будет разбить на три составляющих по группам риска:
рыночный, риск компании, и специфический риск проекта. Надбавку за рыночный
риск можно оценивать по мели оценки капитальных активов, она в большей степени
опирается на поведение рынка. Оценка риска характерного для компании и
специфического для данного проекта риска может быть проведена по кумулятивному
методу, с использованием вспомогательных критериев. Однако интервалы надбавок
для каждого из факторов требуют корректировки для получения результатов
пригодных для использования в реальных проектах.
Литература
1. Ампилов Ю.П., Герт А.А. Экономическая геология. - М.,
Геоинформмарк, 2006. - 400с.
. Баранов А.О., Новикова Т.С. Как определить коммерческую
и общественную эффективность проекта? // ЭКО. - 2005. - № 6. - С. 162-175.
. Берёзкин Ю.М. ФИНАНСОВЫЙ МЕНЕДЖМЕНТ : учеб. пособие
/Ю.М. Берёзкин, Д.А. Алексеев. - Иркутск : Изд-во БГУЭП, 2012. - 301 с.
. Временная методика экономической оценки нефтяных и
нефтегазовых месторождений. - М.: ВНИИОЭНГ, 1983. - 56 с.
. Конопляник А.А Основные виды и условия финансирования
инвестиционных проектов в нефтегазодобывающей промышленности. Учебное пособие.
- М.: РГУ нефти и газа им.И.М. Губкина, 2009. - 62 с
. Коржубаев А.Г., Филимонова И.В., .Эдер Л.В, Роль
иностранных инвестиций в нефтегазовом комплексе России // Минеральные ресурсы
России. Экономика и управление, 4-2007
. Методика расчета показателей и применения критериев
эффективности инвестиционных проектов, претендующих на получение
государственной поддержки за счет средств Инвестиционного фонда Российской
Федерации (утв. приказом Минэкономразвития РФ и Минфина РФ от 23 мая 2006 г. N
139/82н)
. Методика расчета показателей и применения критериев
эффективности региональных инвестиционных проектов (Утверждена Приказом
Министерства регионального развития Российской Федерации от 31 июля 2008 г. N
117)
. Методические рекомендации по оценке эффективности
инвестиционных проектов. Авторский коллектив академических институтов (Институт
системного анализа РАН, Центральный экономико-математический институт РАН и
др.). - Москва - 2004
. Методические рекомендации по оценке эффективности
инвестиционных проектов (Вторая редакция, исправленная и дополненная) (утв.
Минэкономики РФ, Минфином РФ и Госстроем РФ от 21 июня 1999 г. N ВК 477)
. Методические рекомендации по разработке инвестиционной
политики предприятия (Приложение к приказу Минэкономики России от 1 октября
1997 г. N 118)
. Методические рекомендации по экономической оценке
месторождений нефти и газа шельфовых зон и континентального склона мирового
океана /Сост.: В.И.Назаров, П.Б.Никитин. -Л.: ВНИГРИ,-1979.-87с
. Методическое пособие по разработке бизнес-планов.
Рекомендации для торгово-промышленных палат (Комитет ТПП РФ по инвестиционной
политике) - 2010 г
. Методическое руководство по количественной оценке
ресурсов нефти, газа и конденсата России. М., МПР, 2000г.
. Михеева Н.Н., Новикова Т.С., Суслов В.И.Оценка
инвестиционных проектов на основе комплекса межотраслевых межрегиональных
моделей // Проблемы прогнозирования. - 2011. - № 4. - С. 78-90.
. Мкртчян Г.М. Модель управления подготовленными запасами
нефти (газа) // Экология. Экономика. Информатика : материалы XL конф.
"Математическое моделирование в проблемах рационального
природопользования" (3-8 сент. 2012 г.) / [ред. кол.: А.В. Белоконь и др.]
; НИИ механики и приклад. матем. им. Воровича И.И. Южного федеральн. ун-та. -
Ростов-на-Дону, 2012. - С. 407-409.
. Мкртчян Г.М., Гайнутдинова О.Г.Экономика
природопользования : учеб.-метод. пособие / НГУ. - 2-е изд. - Новосибирск,
2005. - 42 с.
. Мкртчян Г.М., Скопина Л.В., Шубников Н.Е. Методические
вопросы оценки эффективности разработки нефтяного лицензионного участка (на
примере Сибирской платформы) // Интерэкспо ГЕО-Сибирь-2012 : VIII Междунар.
науч. конгресс и выставка [10-20 апреля 2012 г., Новосибирск] : Междунар. науч.
конф. "Экономическое развитие Сибири и Дальнего востока. Экономика
природопользования, землеустройство, лесоустройство, управление
недвижимостью" : сб. материалов в 4 т. Т. 2 / Сиб. гос. геодезич. акад. -
Новосибирск : СГГА, 2012. - С. 164-174.
. Нефтяная и нефтеперерабатывающая промышленность России.
Итоги 2009 - 2012гг. Прогноз до 2015 года информационное агентство «Инфолайн»
2010 г.
. О.О. Белякова, Н.Н Захаренко, С.А Филатов //Учет
факторов риска при реализации инвестиционных проектов в сфере
недропользования// Вестник недропользователя Ханты - Мансийского Автономного
Округа №22 2011г
. Оценка рисков нефтегазовых проектов/ А.Ф. Андреев, В.Д.
Зубарева, В.Г. Курпитко, А.С. Саркисов: Учебное пособие. - М.: ГПУ Изд-во
«Нефть и газ» РГУ нефти и газа им. М.И. Губкина, 2002. - 212 с., ил.
. Плотникова Е.В. Современные методы определения ставки
дисконта //..// - 2011 г
. Совершенствование методики оценки эффективности
инвестиционных проектов :На материалах предприятий молочной промышленности
Северо-Западного региона России/ Автореферат диссертации на соискание степени
кандидата экономических наук Пелымской И.С. - Санкт-Петербург 1999.
. Старкова Н. А. Финансовый менеджмент: Учебное пособие
/РГАТА имени П. А. Соловьева.- Рыбинск, 2007. - 174 с.
. Филимонова И.В. Методика прогноза экономической
эффективности лицензионных участков малоизученной территории // Анализ и
прогнозирование экономических процессов : сб. науч. тр. / под ред. В.Н.
Павлова, Л.К. Казанцевой. - Новосибирск : ИЭОПП СО РАН, 2006. - С. 172-185.
. Щербаков В.В. Оперативная геолого-экономическая оценка перспективных
ресурсов нефти и газа в условиях лицензирования недропользования// Геология
нефти и газа, 1996, №8.- с. 25-31.
27. Guide to cost-benefit analysis of investment
projects/ European Commission Directorate General Regional Policy - 2008. 257c.
. Handbook on economic analysis of investment
operations/ Pedro Belli, Jock Anderson, Howard Barnum, John Dixon, Jee-Peng Tan
- 1998. 209 c.