Визначення чисельності працюючих на підприємстві
ЗМІСТ
ВСТУП
РОЗДІЛ 1. ОСНОВНІ ПІДХОДИ ДО
РОЗРАХУНКУ ЧИСЕЛЬНОСТІ ПРАЦЮЮЧИХ НА ПІДПРИЄМСТВІ
.1 Методи розрахунку
чисельності працюючих на підприємстві
.2 Порівняльний аналіз
викладених методів до розрахунку чисельності працюючих на підприємстві
.3 Висновки
РОЗДІЛ 2. АНАЛІЗ ЕКОНОМІЧНИХ
ПОКАЗНИКІВ ДІЯЛЬНОСТІ ПІДПРИЄМСТВА
.1 Характеристика підприємства
та аналіз основних показників його діяльності
.2 Визначення чисельності
працюючих на підприємстві
.3 Вимірювання якості продукції
РОЗДІЛ 3 РЕКОМЕНДАЦІЇ І ПРОПОЗИЦІЇ
ВИСНОВКИ
ПЕРЕЛІК ВИКОРИСТАНИХ
ЛІТЕРАТУРНИХ ДЖЕРЕЛ
ДОДАТКИ
ВСТУП
Персонал підприємства - це
сукупність фізичних осіб, що перебувають з фірмою як юридичною особою у
відносинах, регульованих договором найму. Він являє собою колектив працівників
з певною структурою, відповідної науково-технічному рівню виробництва, умовами
забезпечення виробництва робочою силою та встановленим нормативно-правовим
вимогам.
Людські ресурси фірми є головним
ресурсом кожного підприємства, від якості й ефективності використання якого
багато в чому залежать результати діяльності підприємства і його
конкурентоспроможність. Людські ресурси надають руху матеріально-речові
елементи виробництва, створюють продукт, вартість і прибавочний продукт у формі
прибутку. Відмінність людських ресурсів від інших видів ресурсів підприємства
полягає в тому, що кожен найманий робітник може відмовитися від запропонованих
йому умов і зажадати зміни умов праці і модифікації неприйнятних з його точки
зору робіт, перенавчання іншим професіям і спеціальностям, може, нарешті,
звільнитися з фірми по власним бажанням. Організовані в профспілки працівники
виступають у якості суб'єкта переговорів з адміністрацією про умови праці та її
оплати при укладанні колективних договорів на підприємстві. Витрати на персонал,
що включають витрати на оплату праці, житло, соціальний захист працівників,
професійне навчання, культурно-побутове обслуговування і податки, пов'язані з
використанням робочої сили, міцно займають друге місце (після матеріальних) в
структурі витрат виробничого підприємства[4].
Актуальність даної теми пояснюється
важливістю фінансового аналізу в діяльності підприємства, яку неможливо
недооцінити. Проблема визначення фінансово-господарського стану підприємства
завжди характеризувалась актуальністю і посідала помітне місце серед напрямків
економічних досліджень. Важливого значення економічний аналіз набуває в умовах
здійснюваних ринкових реформ, коли на перший план виносяться економічні методи
управління, тобто сукупність способів впливу на підприємство, які забезпечують
гармонійне сполучення інтересів різноманітних ланок народного господарства та
учасників виробництва.
Основну мету даної роботи можна
сформулювати наступним чином: методичні рекомендації щодо розрахунку
чисельності працюючих на підприємстві.
При цьому буде вирішена наступна
задача - розрахунок працюючих на підприємстві, приблизна характеристика
показників, використовуваних при проведенні даного аналізу.
Об'єктом дослідження обрано ВАТ «КБ
Коксохіммаш», який здійснює створення коксових машин і забезпеченню їх
впровадження.
Багато вітчизняних та зарубіжних
вчених присвятили свої роботи удосконаленню методів організації виробництва на
підприємстві. Серед них можна відзначити: Скляренко В.К., Волков О.В., Ткачук
І.Г. [5], Грузинів В.П., Благун І.С. [9], Кібанов А.Я., Сметанін А.В. [10],
Соломонов Д.І.[4], Горфінкель В.Я. та інших дослідників.
персонал праця продуктивність робочий
РОЗДІЛ 1
ОСНОВНІ ПІДХОДИ ДО РОЗРАХУНКУ
ЧИСЕЛЬНОСТІ ПРАЦЮЮЧИХ НА ПІДПРИЄМСТВІ
1.1 Методи розрахунку чисельності
працюючих на підприємства
Персонал підприємства і його зміни
мають визначені кількісні, якісні і структурні характеристики, що можуть бути з
меншим чи більшим ступенем ймовірності обмірювані і відображені наступними
абсолютними і відносними показниками:
облікова і явочна чисельність
працівників підприємства і (чи) його внутрішніх підрозділів, окремих категорій
і груп на визначену дату;
середньоспикова чисельність
працівників підприємства і (чи) його внутрішніх підрозділів за визначений
період;
питома вага працівників окремих
підрозділів (груп, категорій) у загальній чисельності працівників підприємства;
темпи росту (приросту) чисельності
працівників підприємства за визначений період;
середній розряд робітників
підприємства;
питома вага службовців, що мають
вищу або середню спеціальну освіту в загальній чисельності службовців і (чи)
працівників підприємства;
середній стаж роботи зі
спеціальності керівників і фахівців підприємства;
плинність кадрів;
фондоозброєність праці працівників і
(чи) робітників на підприємстві та ін. Сукупність перерахованих і ряд інших
показників може дати уявлення про кількісний, якісний і структурний стан
персоналу підприємства та тенденції його зміни для цілей управління персоналом,
в тому числі планування, аналізу та розробки заходів щодо підвищення
ефективності використання трудових ресурсів підприємства. Кількісна
характеристика трудових ресурсів (персоналу) підприємства в першу чергу
виміряється такими показниками, як облікова явочна, і середньооблікова
чисельність працівників. Облікова чисельність працівників підприємства - це
чисельність працівників облікового складу на визначене число чи дату з обліком
прийнятих і вибулих за цей день працівників. Явочна чисельність - це кількість
працівників облікового складу, що з'явилися на роботу[10].
Для визначення чисельності
працівників за певний період використовується показник середньоспискової
чисельності. Він застосовується для обчислення продуктивності праці, середньої
заробітної плати, коефіцієнтів обороту, плинності кадрів і ряду інших показників.
Середньооблікова чисельність працівників за місяць визначається шляхом
підсумовування чисельності працівників облікового складу за кожний календарний
день місяця, включаючи святкові і вихідні дні, і розподілу отриманої суми на
кількість календарних днів місяця. Для правильного визначення середньооблікової
чисельності працівників необхідно вести щоденний облік працівників облікового
складу з урахуванням наказів про прийом, переведення працівників на іншу роботу
та припинення трудового договору.
Підвищення ефективності виробництва
і кінцеві результати праці безпосередньо залежать від трудових ресурсів.
Трудові ресурси - частина населення, яка володіє необхідним фізичним розвитком,
здоров'ям, освітою, культурою, здібностями, кваліфікацією, професійними
знаннями для роботи в сфері громадської діяльності
Чисельність працівників по галузях
виробництва на підприємствах визначається, виходячи з потреби робочому часу і
річного фонду робочого часу працівника.
Визначення потреби в персоналі.
Норма чисельності - це встановлена чисельність працівників певного
професійно-кваліфікаційного складу, необхідного для виконання конкретних
виробничих, управлінських функцій або обсягів робіт. За нормами чисельності
визначаються витрати праці за професіями, спеціальностями, групами або видами
робіт, окремими функціями, в цілому по підприємству, цеху або його структурному
підрозділу. Чисельність працівників є найважливішим кількісним показником, що
характеризує трудові ресурси підприємства. Вона виміряється такими показниками,
як спискова, явочна і середньоспискова чисельність працівників.
Спискова чисельність працівників
підприємства - це показник чисельності працівників облікового складу на
визначене число чи дату. Вона враховує чисельність всіх працівників
підприємства, прийнятих на постійну, сезонну і тимчасову роботу відповідно з
укладеними трудовими договорами (контрактами), а також працюючих власників
організації, які отримують в ній заробітну плату. Не включаються до облікового
складу особи, які працюють за договором підряду та іншими договорами
цивільно-правового характеру. У списковому складі працівників за кожний
календарний день враховуються як фактично з'явилися на роботу, так і відсутні
на роботі з будь-яких причин (відпустки, хвороби, відрядження і т. д.).
Явочна чисельність характеризує
кількість працівників облікового складу, що з'явилися на роботу в даний день,
включаючи перебувають у відрядженнях. Це необхідна чисельність робітників для
виконання виробничого змінного завдання по випуску продукції. Різниця між явочним
і обліковим складом характеризує кількість відсутніх з різних причин
(відпустки, хвороби тощо). Для приведення явочної чисельності до облікової
використовується коефіцієнт переведення явочної чисельності робітників у
спискову: У перериваних виробництвах визначається як відношення табельного
(номінального) фонду часу до планового (ефективного), а в безперервних - як
відношення календарного фонду часу до планового (ефективного). І, навпаки, для
приведення облікового складу до явочним.
При розрахунку необхідно пам'ятати,
що обліковий склад завжди більше явочного складу на кількість відсутніх
працівників з різних причин. Середньоспискова чисельність - чисельність
працівників в середньому за певний період (місяць, квартал, з початку року, за
рік). Середньооблікова чисельність працівників за місяць визначається шляхом
підсумовування чисельності працівників облікового складу за кожний календарний
день місяця. При цьому облікова чисельність працівників за вихідні та святкові
дні прирівнюється до облікової чисельності персоналу попереднього робочого дня.
Середньоспискова чисельність
показує, скільки в середньому працівників щодня значилося в списках
підприємства за розглянутий період. При визначенні середньооблікової
чисельності працівники, прийняті на неповний робочий день або неповний робочий
тиждень (сумісники) враховуються пропорційно фактично відпрацьованому ними
часу. Деякі працівники облікового складу не враховуються при визначенні
середньооблікової чисельності (жінки, які перебувають у відпустках по вагітності
та пологах, в додатковій відпустці по догляду за дитиною, працівники, які
перебувають у навчальному відпустці без збереження заробітної плати, та ін.)
Визначення потреби в персоналі на
підприємстві ведеться окремо за групами промислово-виробничого та непромислового
персоналу. Вихідними даними для розрахунку чисельності працівників є виробнича
програма, норми часу, виробітку та обслуговування; плановий (ефективний) фонд
робочого часу за рік, заходи щодо скорочення витрат праці і т. д. Основними
методами визначення чисельності працівників є розрахунки:
• по трудомісткості виробничої
програми;
де Тпл - планова технологічна
трудомісткість виробничої програми, нормо-годин; Фн - нормативний баланс
робочого часу одного робітника в рік, годин;
Квн - коефіцієнт виконання норм часу
(виробітку) робітниками.
• за нормами виробітку;
де ОПпл - плановий обсяг продукції
(виконуваних робіт) за певний період часу; Нвир - планова норма виробітку в тих
же одиницях виміру та за той же період часу.
• по нормах обслуговування;
де Ко - кількість одиниць
встановленого обладнання;
Но - норма обслуговування одиниці;
С - число робочих змін;
Ксп - коефіцієнт переведення явочної
чисельності робітників у спискову.
• по робочих місцях.
де М - число робочих місць.
Чисельність працівників
непромислового персоналу планується окремо (незалежно від чисельності
працівників промислово-виробничого персоналу) по кожному виду діяльності і
об'єкту з урахуванням їх особливостей. Відзначила Ткачук І.Г. [5], що якщо ми
використовуємо плановий (ефективний) фонд робочого часу одного робітника в рік,
то отримаємо облікову чисельність робітників. Якщо ми використовуємо табельний
(номінальний) фонд робочого часу одного робітника в рік, то отримаємо явочну
чисельність робітників. Ставлення табельного (номінального) фонду робочого часу
до планового (ефективного) є не що інше як коефіцієнт переведення явочної чисельності
робітників у спискову.
Планова технологічна трудомісткість
виробничої програми визначається по нормативу трудових витрат на одиницю
продукції, помноженому на плановий випуск продукції. Метод розрахунку
чисельності персоналу по трудомісткості виробничої програми є найбільш точним і
достовірним, оскільки вимагає застосування норм праці. Визначення чисельності
робітників за нормами виробітку є більш спрощеним і менш точним у зв'язку з
впливом цін і матеріаломісткості продукції на обсяг продукції у вартісному
вираженні. Відзначив Благун І.С. [9], що якщо ми застосовуємо вироблення на
одного виробничого робітника, на одного робітника, на одного працюючого в
установлених одиницях виміру за певний період часу, то отримуємо відповідно
чисельність виробничих робітників і працюючих за цей період.
Розрахунок чисельності основних
робітників у апаратурних процесах і допоміжних робітників, що виконують роботи,
на які є норми обслуговування, зводиться до визначення загальної кількості
об'єктів обслуговування з урахуванням змінності робіт. При обслуговуванні
кожного складного агрегату кількома робочими одночасно до розрахунку додається
ще число робітників, які одночасно обслуговують один агрегат, підкреслив
Соломонов Д. І. [4].
По робочих місцях визначається чисельність
як основних так і допоміжних працівників, для яких не можуть бути встановлені
ні обсяги робіт, ні норми обслуговування (наприклад, кранівники, стропальники і
т. д.). Чисельність обслуговуючого персоналу може бути визначена і за
укрупненими нормами обслуговування, наприклад, чисельність прибиральників можна
визначити за кількістю квадратних метрів площі приміщень, гардеробників - за
кількістю обслуговуваних людей та ін. відзначив Сметанін А.В. [10].
.2 Порівняльний аналіз
викладених методів розрахунку чисельності працюючих на підприємстві
Розрахунок чисельності доцільно
починати зі структурних підрозділів підприємства (дільниць, цехів, корпусів,
виробництв) і закінчувати підрозділами апарату управління. Загальна чисельність
працюючих на підприємстві в цілому визначається шляхом підсумовування
чисельності робітників, учнів, службовців та інших категорій по всіх
підрозділах підприємства. Забезпечення потреби в кадрах діючого підприємства
припускає не тільки визначення чисельності працівників підприємства, але і її
зіставлення з наявною робочою силою, оцінкою обороту, плинності кадрів,
визначення додаткової потреби або надлишку кадрів.
Метод розрахунку чисельності
персоналу по трудомісткості виробничої програми є найбільш точним і
достовірним, оскільки вимагає застосування норм праці.
Визначення чисельності робітників за
нормами виробітку є більш спрощеним і менш точним у зв'язку з впливом цін і
матеріаломісткості продукції на обсяг продукції у вартісному вираженні.
Метод розрахунку за нормами
обслуговування не вимагає яких-небудь істотних витрат, однак його недолік
полягає в тому, що ця оцінка досить суб'єктивна.
При використанні методу розстановки
персоналу по робочим місцям розглядають можливі варіанти скорочення витрат,
можливості перекладу деяких робочих місць на обслуговування основними
робітниками, суміщення інших функцій і робіт та об'єднання декількох робочих
місць в одне. Даний метод не застосовний для ремонтних робітників, так як вони
не прив'язані до конкретного устаткуванню. В основному цей метод
використовується для нормування чисельності кранівників, шоферів автомашин,
деяких інших професій.
В умовах нестабільності економіки
фактична потреба підприємства в персоналі певних категорій працівників
безперервно змінюється під впливом внутрішніх і зовнішніх факторів. У ринкових
відносинах на використання трудових ресурсів, робочої сили, персоналу
підприємства, як і на виробництво продукції, впливає закон попиту і пропозиції.
Попит на робочу силу, відповідно до теорії, визначається граничним доходом підприємця,
який отриманий від продажу товару, виробленого в зв'язку з залученням
додаткової робочої сили, на одиницю товару. Виходячи з теорії граничного
доходу, для кожного підприємства значно вигідніше забезпечувати приріст
промислової продукції за рахунок підвищення продуктивності праці, що вимагає
відносно все менше число працівників для збільшення випуску продукції. У
зв'язку з цим в умовах ринку гостро постає проблема соціальної захищеності
трудящих і безробітних, як з боку держави, так і з боку роботодавців.
1.3 Висновки
Персонал найбільш коштовна і важлива
частина продуктивних сил суспільства. У цілому ефективність виробництва
залежить від кваліфікації робітників, їхні розміщення і використання, що
впливає на обсяг і темпи приросту вироблюваної продукції, використання
матеріально-технічних засобів. Те чи інше використання персоналу прямим образом
зв'язано зі зміною показника продуктивності праці. Зростання цього показника є
найважливішою умовою розвитку продуктивних сил країни і головним джерелом росту
національного доходу. На ріст продуктивності праці впливає існуюча в кожен
момент часу система оплати праці, тому що оплата є стимулюючим чинником для
росту кваліфікації праці, підвищення технічного рівня виконаної роботи.
Підвищення ефективності праці є
важливим завданням в будь-якій суспільно - економічної формації. Основними
факторами, що впливають на підвищення продуктивності праці, є підвищення
технологічного рівня, вдосконалення управління на виробництві, різні галузеві
фактори.
На нашу думку, враховуючи наявність
великої кількості методів розрахунку чисельності працюючих на підприємстві та
необхідність обрання одного з них для визначення рівня персоналу підприємств,
необхідно з’ясувати, який з них найбільш придатний для цих цілей.
Управління персоналом - явище вельми
багатогранне і складне за своїм змістом і організаційно - структурним формам.
Але воно виступає не тільки в якості складного структурно - функціонального
явища, але і структурно - розчленованої цілісності, в якій кожен елемент має
певне призначення і функції. У зв'язку з цим управління персоналом є самостійно
функціонуючої системою зі своїми принципами, функціями і повноваженнями.
У результаті опрацювання нами
публікацій з цієї проблематики було зроблено висновок про доцільність приєднатися
до такої позиції: розрахунок чисельності персоналу по трудомісткості виробничої
програми. Оскільки він є найбільш точним і достовірним та вимагає застосування
норм праці.
Достатня забезпеченість підприємств
потрібними трудовими ресурсами, їх раціональне використання, високий рівень
продуктивності праці мають велике значення для збільшення обсягів продукції і
підвищення ефективності виробництва.
Зокрема, від забезпеченості
підприємства трудовими ресурсами та ефективності їх використання залежать обсяг
і своєчасність виконання всіх робіт, ефективність використання обладнання,
машин, механізмів і, як результат, обсяг виробництва продукції, її
собівартість, прибуток і ряд інших економічних показників.
РОЗДІЛ 2
АНАЛІЗ ЕКОНОМІЧНИХ ПОКАЗНИКІВ
ДІЯЛЬНОСТІ ПІДПРИЄМСТВА
.1 Характеристика підприємства та
аналіз основних показників його діяльності
У курсовій роботі розглянуте
відкрите акціонерне товариство "Конструкторське бюро коксохiмiчного
машинобудування".
Воно розміщується в живописному
місті Слов'янськ, Донецької обл.
Державне конструкторське бюро
коксохімічного машинобудування було засновано наказом Народного комісара чорної
металургії СРСР № 390 від 27 листопада 1945 року.
Основним напрямком його діяльності
визначено створення нових і модернізація діючих машин, устаткування, засобів
механізації і автоматизації коксохімічних виробництв.
За минулі роки колективом КБ
створено кілька поколінь коксових машин і забезпечено їх впровадження.
Виготовлені по проектах КБ машини та обладнання працюють на більшості об'єктів
коксохімії колишнього СРСР, а також в Індії, Туреччині, Іраку, Польщі, Румунії,
Болгарії, Єгипті, Алжирі і в інших країнах.
Накопичений за роки роботи творчий
досвід вивів КБ в ряд провідних науково-дослідних і проектно-конструкторських
організацій, таких як Гипрококс, УХІН, ВУХІН та ін, співпраця з якими стало
основою перспективних проектів технічного переоснащення коксохімічних
виробництв в умовах зростаючих вимог до захисту навколишнього середовища .
Сьогодні ПАТ «КБ Коксохіммаш» - це
ефективно працююча організація, що володіє досвідом створення всього комплексу
коксових машин з високим рівнем механізації й автоматизації, призначених для
роботи в системах АСУ ТП коксових батарей, підвищеними комфортними умовами
роботи операторів та обслуговуючого персоналу, а також всього комплексу
обладнання коксових батарей, включаючи всі переділи і всі типорозміри, у тому
числі обладнання установок сухого гасіння коксу, систем програмного управління
процесами на базі релейно-контактної апаратури і програмованих контролерів.
За результатами атестації
Міністерство промислової політики України визначило ПАТ «КБ Коксохіммаш»
головною організацією з науково-технічного забезпечення розробки машин і
устаткування для коксохімічного виробництва. У ПАТ «КБ Коксохіммаш» з 2004р.
діє сертифікована відомою німецькою фірмою TUV SERT система менеджменту якості
задовольняє вимогам міжнародного стандарту ІСО 9001:2000 і відповідних
гармонізованих стандартів України.
Система менеджменту якості
забезпечує здатність організації до виконання проектно-конструкторських робіт з
технічними характеристиками, що задовольняють вимоги замовника та відповідних
обов'язкових норм.
КБ активно використовує сучасні методи проектування на базі комп'ютерних
технологій, що дозволяють значно підвищити якість і скоротити терміни виконання
проектних робіт.
Завдяки вмілому керівництву,
грамотній маркетинговій політиці, якості та новизни виконуваних проектів КБ
здатне задовольнити потреби будь-якого замовника. Керівництво ПАТ «КБ
Коксохіммаш» реалізує концепцію подальшого активного впливу організації на
процеси технологічного та технічного вдосконалення коксохімічних виробництв,
активно співпрацює з коксохімічними підприємствами, проектними та науково
дослідними інститутами України, Росії, Індії, Ірану, Бразилії[2].
Таблиця 2.1 − Аналіз основних
економічних показників
|
№
|
Показник
|
Формула розрахунку
|
Первісний документ
|
Роки
|
Відхилення від базового (або попереднього)
року
|
|
|
|
|
2009
|
2010
|
2011
|
абсолютне
|
відносне
|
|
|
|
|
|
|
|
2
|
3
|
2
|
3
|
|
1
|
2
|
3
|
4
|
5
|
6
|
7
|
8
|
9
|
10
|
11
|
|
1
|
Прибуток, тис. грн.
|
−
|
Ф.№2, Р.050
|
2376
|
2754
|
315,4
|
378
|
-2060,6
|
15,9%
|
-86,72%
|
|
2
|
Собівартість, тис. грн.
|
−
|
Ф.№2, Р.040
|
6678
|
2119
|
256
|
-4559
|
-6422
|
-68,26%
|
-96,16%
|
|
3
|
Рентабельність, %
|
(ряд.1/ряд.2)*100%
|
−
|
35,57%
|
129,96%
|
123,2%
|
94,39%
|
87,63%
|
265,3%
|
246,3%
|
|
4
|
Фондовіддача
|
(Ф.№1 Р.010/ряд5)
|
−
|
5,06
|
2,46
|
0,09
|
-2,6
|
-4,97
|
-51,3%
|
-98,22%
|
|
5
|
Вартість основних засобів (залишкова), тис.
грн.
|
−
|
Ф.№1, Р.030
|
1810
|
1974
|
3158,4
|
164
|
1348,4
|
9,06%
|
74,49%
|
|
6
|
Продуктивність праці, тис.грн./чол.
|
(Ф.№1 Р.010/ряд7)
|
−
|
64,96
|
39,95
|
2,94
|
-25,01
|
-62,02
|
-38,1%
|
-95,47%
|
|
7
|
Середньоспискова чисельність працівників, чол.
|
−
|
|
141
|
122
|
107
|
-19
|
-34
|
-13,47%
|
-24,11%
|
8 Середньорічна
зарплата одного працівника, грн.
−31,96
тис.грн30,74
тис.грн35,58
|
тис.грн-1,223,62-3,81%11,32%
|
|
|
|
|
|
|
|
|
|
|
9
|
Дебіторська заборгованість, тис. грн.
|
-
|
Ф.№1, Рядки (050+ 160+170+180+190+200+210)
|
223
|
428
|
325
|
205
|
102
|
91,29%
|
45,73%
|
|
10
|
Кредиторська заборгованість, тис. грн.
|
-
|
Ф.№1, Рядки (480+ 620)
|
7505
|
6494
|
8794,6
|
-1011
|
1289,6
|
-13,47%
|
17,18%
|
|
11
|
Коефіцієнт автономії
|
Ф.1, ряд.380/ Ф.1, р.280
|
-
|
0,3833
|
0,4346
|
0,3972
|
0,05135
|
0,0166
|
13,39%
|
4,35%
|
При розрахунку абсолютного
відхилення використовують наступну формулу (5):
, (5)
q1 - показник року, який
порівнюється з базовим;- показник базового року.
Якщо показник зі знаком «плюс», то
даний показник зріс, якщо відповідь зі знаком «мінус», то даний показник
зменшився.
При розрахунку відносного відхилення
слід використовувати наступну формулу(6):
, (6)
Розрахунки по формулам 2.1 і 2.2 та
по кожному ряді, окремо, наведені нижче.
Для порівняння з базовим роком (2009
- базовий рік).
Ряд 1 - прибуток:
р. - Форма 2, рядок (050) = 2376
тис.грн.;
р. - Форма 2, рядок (050) = 2754
тис.грн.;
р. - Форма 2, рядок (050) = 315,4
тис.грн..
Абсолютне відхилення прибутку
підприємства:


Відносне відхилення прибутку
підприємства:
Аналізуючи показники діяльності
підприємства можна побачити, що
прибуток підприємства за 2010 рік
порівняно з 2009 збільшився на 378 тис.грн., що у відсотках становить 15,9 %. І
у 2011 році знизився на 2060,6 тис.грн., що у відсотках становить 86,72%.
Ряд 2 - собівартість:
р. - Форма 2, рядок (040) = 6678
тис.грн.;
р. - Форма 2, рядок (040) = 2119
тис.грн.;
р. - Форма 2, рядок (040) = 256
тис.грн..
Абсолютне відхилення собівартості
підприємства:
Відносне відхилення собівартості
підприємства:
Собівартість реалізованої продукції
в 2010 році зменшилась на 4559 тис. грн., порівняно з 2009 роком, що у
відсотках становить 68,26%. А у 2011 році зменшилась на 6422 тис.грн., що у
відсотках 96,16%.
Ряд 3 - рентабельність:
р. - (ряд 1/ряд 2)*100% =
(2376/6678)*100% = 35,57%;
р. - (ряд 1/ряд 2)*100% = (2754/2119)*100%
= 129,96%;
р. - (ряд 1/ряд 2)*100% =
(315,4/256)*100% = 123,2%.
Абсолютне відхилення рентабельності
підприємства:

Відносне відхилення рентабельності
підприємства:
Рентабельність підприємства за 2010
рік збільшилася на 265,36% порівняно з 2009 роком, який ми взяли за базовий. А
у 2011 збільшилась на 246,3%.
Ряд 4 - фондовіддача:
р. - (Ф.№1 Р.010/ряд5)=
(9160/1810) = 5,06 грн.;
р. - (Ф.№1 Р.010/ряд5)=
(4875/1974) = 2,46 грн.;
р. - (Ф.№1 Р.010/ряд5)=
(315,4/3158,4) = 0,09 грн..
Абсолютне відхилення фондовіддачі:
Відносне відхилення фондовіддачі:
Порівняно з базовим роком,
фондовіддача в 2010 році зменшилась - на 2,6 грн, що становить 51,3%, а в 2011
зменшилась на 4,97 грн(98,2%).
Ряд 5 - вартість основних засобів:
р. - Форма 1, рядок (030) = 1810
тис.грн.;
р. - Форма 1, рядок (030) = 1974
тис.грн..
р. - Форма 1, рядок (030) = 3158,4
тис.грн..
Абсолютне відхилення вартості основних
засобів підприємства:
Відносне відхилення вартості
основних засобів підприємства:
Вартість основних засобів у 2010
році в порівняні з 2009 збільшилась на 164 тис. грн. (9,06%). У 2011 році також
збільшилась, а саме на 1348,4 тис.грн. (74,49%) відносно базового року.
Ряд 6 - продуктивність праці:
р. - (Ф.№1 Р.010/ряд7)=
(9160/141) = 64,96 тис.грн./чол.;
р. -( Ф.№1 Р.010/ряд7)
= (4875/122) = 39,95 тис.грн./чол.;
р. - (Ф.№1 Р.010/ряд7)=
(315,4/107) = 2,94 тис.грн./чол..
Абсолютне відхилення продуктивності
праці:
Відносне відхилення продуктивності
праці:
Продуктивність праці в 2010 році
зменшилась на 25,01 тис.грн./чол. (38,5%), а в 2011 значно зменшилась на 62,06
тис.грн/чол. порівняно з базовим, що становить 95,47%
Ряд 7 - чисельність працівників:
р. =141 чол.;
р. =122 чол.;
р. =107 чол..
Абсолютне відхилення чисельності
працівників:
Відносне відхилення чисельності
працівників:
Як видно з розрахунків, що
чисельність працівників у 2010 році порівняно з базовим 2009 роком зменшилась
на 19 чол., тобто на 13,47%. А у 2011 році зменшилась на 34 працівники (24,11%)
до кількості працівників,яка була у 2009 році.
Ряд 8 - середньорічна зарплата:
2009 р. - 
=
= 31,96 тис.грн.;
р. - 
= 
= 30,74 тис.грн.;
р. - 
= 
= 35,58 тис.грн.;
Абсолютне відхилення
середньорічної зарплати одного працівника:
Відносне відхилення
середньорічної зарплати одного працівника:
Як видно з розрахунків, що
середньорічна заробітна плата одного працівника у 2010 зменшилась на 3,81%, а у
2011 році збільшилась відносно базового, що є хорошим показником.
Ряд 9 - дебіторська заборгованість:
р. - Форма 1,
рядки(050+160+170+180+190+200+210) = (0+26+0+0+0+0+197) = 223 тис.грн.;
р. - Форма 1,
рядки(050+160+170+180+190+200+210) = (0+26+0+0+0+0+402) = 428 тис.грн.;
р. - Форма 1,
рядки(050+160+170+180+190+200+210) = (0+26+3+0+0+0+296) = 325 тис.грн..
Абсолютне відхилення дебіторської
заборгованості підприємства:
Відносне відхилення дебіторської
заборгованості підприємства:
Як видно з розрахунків, що
дебіторська заборгованість у 20010 році збільшилась у порівнянні з 2009 роком
на 205 тис. грн. (91,29%), що являється не дуже хорошим показником. А у 2011
році збільшилися на 102 тис. грн. (45,73%)
Ряд 10 - кредиторська
заборгованість:
р. - Форма 1, рядки(480+620) =
(0+7505) = 7505 тис.грн.;
р. - Форма 1, рядки(480+620) =
(0+6494) = 6494 тис.грн.;
р. - Форма 1, рядки(480+620) =
(0+8794,6) = 8794,6 тис.грн..
Абсолютне відхилення кредиторської
заборгованості підприємства:
Відносне відхилення кредиторської
заборгованості підприємства:

Кредитна заборгованість 2010 року
зменшилась , порівняно з 2009 роком на 111 тис. грн. (13,74%), що позитивно
характеризує підприємство. А у 2010 році заборгованість збільшилась порівняно з
базовим на 1289,6 тис.грн. (17,18%).
Ряд 11 - коефіцієнт автономії:
р. - Форма 1, рядки(380/280) =
(4665/12170) = 0,38331;
р. - Форма 1, рядки(380/280) =
(4993/11487)= 0,43466;
р. - Форма 1, рядки(380/280) =
(5726/14521) = 0,39991.
Абсолютне відхилення коефіцієнта
автономії підприємства:
Відносне відхилення коефіцієнта
автономії підприємства:
Коефіцієнт автономності у 2010 році
покращився порівняно з базовим, а у 2010 році збільшився на 4,33%.
Проаналізуємо діяльність
підприємства на основі зроблених розрахунків.
. Прибуток,собівартість,
рентабельність.
Істотним фактором, що впливає на
величину прибутку від продажу товарної продукції, є зміна рівня собівартості
продукції. Собівартість складає частину вартості продукції і показує, в що
обходиться виробництво продукції для підприємства, тому собівартість є основним
ціноутворюючим чинником. Чим більша собівартість, тим вище буде ціна за інших
рівних умов. Різниця між ціною і собівартістю складає прибуток. Чим нижче
собівартість проданої продукції, обумовлена рівнем витрат на її виробництво і
продаж, тим вище прибуток, і навпаки[7].
За даними таблиці 2.1 видно,
що собівартість реалізованої продукції в 2010 році зменшилась на
4559 тис. грн., порівняно з 2009 роком, тобто на 
, а прибуток збільшився на 378
тис.грн., що у відсотках становить 15,9 %.
У 2011 році прибуток знизився
на 2060,6 тис.грн., та собівартість відповідно зменшилася на 6422 тис.грн. Якщо
взяти у відсотковому співвідношенні, то прибуток зменшився на 86,72%, а
собівартість зменшилася на 96,16%, що свідчить про те, що це не принесло
особливої вигоди підприємству.
Рентабельність - це відносний
показник інтенсивності виробництва, який характеризує рівень прибутковості
відповідних складових процесу виробництва або сукупних витрат підприємства[7].
Рентабельність прямопропорційна величині прибутку.
Для зниження собівартості
продукції та збільшення прибутку, що призведе до збільшення рентабельності,
підприємству необхідно насамперед збільшити обсяг виробництва. Це посприяє
зниженню витрат на виробництво 1 грн. продукції і збільшить прибуток
підприємства.
. Собівартість, заробітна плата.
Собівартість продукції - це
грошовий вираз величини ресурсів, використаних з конкретною метою. Не завжди
собівартість продукції є повним відображенням дійсних витрат на її виробництво:
одні з них мають відношення до процесу виробництва продукції, але відшкодовуються
за рахунок прибутку, а інші входять у собівартість, але не мають прямого
зв'язку з виробництвом.
Витрати підприємства на
робочу силу включають витрати на оплату праці виробничих робітників та суму
обов'язкових відрахувань на соціальні заходи. Витрати на оплату праці не є
однорідними, і тому з метою задоволення вимог управління їх класифікують, в
основу цієї класифікації повинні бути покладені принципи, які характеризують
однорідні явища[7].
Відповідно до класифікації
розподіляються кошти як на заробітну плату так і на інші види витрат. З таблиці
2.1 видно, що чим менша собівартість, тим менша заробітна плата. Так,
собівартість реалізованої продукції в 2010 році зменшилася на 68,26%, та
відповідно заробітна плата в 2010 році зменшилась на 1,22 тис.грн.
. Фондовіддача, вартість
основних засобів, дохід.
Збільшення фондовіддачі
збільшує випуск продукції на 1 грн вкладених грошей, це веде до росту прибутку,
а відповідно і до росту доходу також. Фондовіддача як відношення валового
доходу до вартості основних фондів наочно показує необхідність відповідного
зростання вартості й валового доходу. Зростання вартості фондів, не підкріплене
зростання валового доходу, призводить до зниження фондовіддачі[8].
За розрахунками чітко видно,
що в 2010 році фондовіддача зменшилась на 51,3%, а вартість основних фондів
збільшилась на 9,06%, відповідно прибуток збільшився на 15,9 %, що склало 378
тис.грн.
. Продуктивність праці,
заробітна плата, чисельність працівників.
В 2011 році продуктивності
праці зменшилась на 95,47% - прибуток зменшився на 2060,6 тис.грн.
Стосовно заробітної плати, то
вона зменшувалась: в 2010 році - на 
тис.грн., а в 2011 році збільшилась
на 3,62 тис.грн., це при тому, що продуктивність праці в 2010 році
збільшувалась на 33,76%,а в 2011 зменшилась на 82,55%, а кількість робітників
зменшилась на 19 людей і відповідно на 34 людини. Темпи зростання заробітної
плати не повинні перевищувати темпів зростання продуктивності праці. З цього
можна зробити висновок, що зменшення персоналу, яке відбулося в 2010 і 2011
роках пов’язане зі зменшенням виробничої діяльності підприємства. Для усунення
такої проблеми потрібно залучати більш ефективні методи стимулювання праці.
. Дебіторська заборгованість,
кредиторська заборгованість, коефіцієнт автономії.
Дебіторська заборгованість
має значну питому вагу в складі поточних активів і впливає на фінансовий стан
підприємства.
В 2010 році дебіторська
заборгованість зменшилась на 205 тис. грн.,а в 2011 році - збільшилася на 102
тис. грн., що не є досить хорошим показником.
В свою чергу кредиторська
заборгованість збільшилась. Якщо в 2010 вона зменшилась на 13,47% порівняно з
базовим роком, то 2011 вона збільшилась на 17,18%. З таким станом кредиторської
заборгованості говорить про те, що підприємство піддається потенційній загрозі
стягнення штрафів і пені або іншій формі розрахунку з кредиторами.
Коефіцієнт автономії
характеризує частку коштів, вкладених власниками підприємства в загальну
вартість майна. Нормальне мінімальне значення коефіцієнта автономії орієнтовано
оцінюється на рівні 0,5, що припускає забезпеченість позикових коштів власними,
тобто, реалізувавши майно, сформоване із власних джерел, підприємство зможе
погасити зобов’язання.
Збільшення коефіцієнта
автономії свідчить про більшу фінансову незалежність. З таблиці 2.1 видно, що
коефіцієнт автономії збільшився в 2010 році на 13,39%, що свідчить про
підвищення гарантії погашення підприємством своїх зобов’язань.
Вирішальною умовою зниження
собівартості є безперервний технічний прогрес. Впровадження нової техніки,
комплексна механізація й автоматизація виробничих процесів, удосконалювання
технології, впровадження прогресивних видів матеріалів дають змогу значно
знизити собівартість продукції.
.2 Визначення чисельності
працюючих на підприємстві
Персонал підприємства - це
сукупність фізичних осіб, що перебувають з фірмою як юридичною особою у
відносинах, регульованих договором найму. Він являє собою колектив працівників
з певною структурою, відповідної науково-технічному рівню виробництва, умовами
забезпечення виробництва робочою силою та встановленим нормативно-правовим
вимогам.
Визначення потреби в
персоналі на підприємстві ведеться окремо за групами промислово-виробничого та
непромислового персоналу. Вихідними даними для розрахунку чисельності
працівників є виробнича програма, норми часу, виробітку та обслуговування;
плановий (ефективний) фонд робочого часу за рік, заходи щодо скорочення витрат
праці і т. д.
Для того щоб розрахувати
кількість основних і допоміжних робітників на підприємстві у звітному році,
можна скористатися такими формулами 7 і 8:

(7)
Де 
- середньоспискова чисельність
основних робітників у звітному році, чол;

- середньоспискова чисельність всіх
робітників у звітному році, чол.;

відсоток основних робітників в
звітному році, %.

(8)
Чисельність працівників є
найважливішим кількісним показником, що характеризує трудові ресурси
підприємства. Вона виміряється такими показниками, як спискова, явочна і
середньоспискова чисельність працівників.
Спискова чисельність
працівників підприємства - це показник чисельності працівників облікового
складу на визначене число чи дату. Вона враховує чисельність всіх працівників
підприємства, прийнятих на постійну, сезонну і тимчасову роботу відповідно з
укладеними трудовими договорами (контрактами), а також працюючих власників
організації, які отримують в ній заробітну плату. Не включаються до облікового
складу особи, які працюють за договором підряду та іншими договорами цивільно-правового
характеру. У списковому складі працівників за кожний календарний день
враховуються як фактично з'явилися на роботу, так і відсутні на роботі з
будь-яких причин (відпустки, хвороби, відрядження і т. Д.).
Явочна чисельність
характеризує кількість працівників облікового складу, що з'явилися на роботу в
даний день, включаючи перебувають у відрядженнях. Це необхідна чисельність
робітників для виконання виробничого змінного завдання по випуску продукції.
Різниця між явочним і обліковим складом характеризує кількість відсутніх з
різних причин (відпустки, хвороби тощо). Для приведення явочної чисельності до
облікової використовується коефіцієнт переведення явочної чисельності
робітників у спискову: У перериваних виробництвах визначається як відношення табельного
(номінального) фонду часу до планового (ефективного), а в безперервних - як
відношення календарного фонду часу до планового (ефективного). І, навпаки, для
приведення облікового складу до явочним.
При розрахунку необхідно
пам'ятати, що обліковий склад завжди більше явочного складу на кількість
відсутніх працівників з різних причин. Середньоспискова чисельність -
чисельність працівників в середньому за певний період (місяць, квартал, з
початку року, за рік). Середньооблікова чисельність працівників за місяць
визначається шляхом підсумовування чисельності працівників облікового складу за
кожний календарний день місяця. При цьому облікова чисельність працівників за
вихідні та святкові дні прирівнюється до облікової чисельності персоналу
попереднього робочого дня.
Середньоспискова чисельність
показує, скільки в середньому працівників щодня значилося в списках
підприємства за розглянутий період. При визначенні середньооблікової
чисельності працівники, прийняті на неповний робочий день або неповний робочий
тиждень (сумісники) враховуються пропорційно фактично відпрацьованому ними
часу. Надомники, враховуються як цілі одиниці. Деякі працівники облікового
складу не враховуються при визначенні середньооблікової чисельності (жінки, які
перебувають у відпустках по вагітності та пологах, в додатковій відпустці по
догляду за дитиною, працівники, які перебувають у навчальному відпустці без
збереження заробітної плати, та ін.)
Для аналізу зміни чисельності
і складу персоналу використовують різні показники[11]. Рух кадрів
на підприємстві характеризується за допомогою таких коефіцієнтів, які
обраховуються за формулами (9,10,11):
1. Оборот робочої сили за
прийомом (Коп):

, (9)
де 
- чисельність прийнятих на роботу
за відповідний період, чол.;

- середеньоспискова чисельність працівників
у цьому ж періоді, чол..;
Тобто, за відповідний період на
підприємство не надійшло жодного нового співробітника.
. Оборот робочої сили за
звільненням (Коз):

(10)

=0,121
де 
- загальна численність звільнених
за відповідний період з будь-яких причин.
3. Коефіцієнт плинності (Кпл):

(11)

=0,121
де Чзв - чисельність звільнених за
власним бажанням, за порушення трудової дисципліни або з інших причин, не пов’язаних
з виробництвом, чол.
Високий рівень плинності кадрів
майже завжди вказує на серйозні недоліки в управлінні персоналом і управлінні
підприємством в цілому, це свого роду індикатор неблагополуччя, хоча в деяких
випадках рівень плинності високий через специфіки виробництва.
При регулюванні плинності персоналу
необхідно витримувати певні пропорції в рамках різних категорій персоналу,
прагнучи до формування раціонального кадрового складу організації.
Причинами звільнення робочі називають
важкі умови праці, строгий графік роботи, а також рівень заробітної плати не
відповідний трудовим зусиллям
.3 Вимірювання якості продукції
Під забезпеченням якості продукції
розуміється сукупність запланованих та систематично здійснюваних заходів, спрямованих
на забезпечення відповідної якості та конкурентоспроможності продукції.
Одиничними показниками, які
характеризують дану продукцію є показники «А», «Б», «В», «Г», «Д», «Е» та «Ж».
Фіксація думок 5-ти запрошених
експертів наведена в таблиці 2.2.
Як видно з таблиці 2.2 сума рангів,
виставлених кожним з експертів 7 показникам якості продукції, дорівнює 28.
Таблиця 2.2 - Фіксація думок
експертів щодо важливих показників якості продукції
Здійснюємо математичну обробку думок
експертів на предмет довіри чи недовіри до встановлених ними рангів.
Послідовність розрахунку така:
а) визначається сума рангів 
(12) для кожного показника якості
продукції:

, (12)
де 
- ранг,
встановлений кожним експертом для і-го показника якості продукції;
m -
кількість експертів;
Так, для показника якості «А»
маємо, що 
Так, для показника якості «Б»
маємо, що 
Так, для показника якості «В»
маємо, що 
Так, для показника якості «Г»
маємо, що 
Так, для показника якості «Д»
маємо, що 
Так, для показника якості «Е»
маємо, що 
Так, для показника якості «Ж»
маємо, що 
б) розраховується середня
сума рангів 
(13) для кожного показника якості
за формулою:

(13)
Для нашого випадку: 
;
в) визначається відхилення 
(14) суми рангів 
для кожного показника якості від
середньої суми рангів 
:

. (14)
Так, для показника якості «А»
маємо, що 
Так, для показника якості «Б»
маємо, що 
Так, для показника якості «В»
маємо, що 
Так, для показника якості «Г»
маємо, що 
Так, для показника якості «Д»
маємо, що 
Так, для показника якості «Е»
маємо, що 
Так, для показника якості «Ж»
маємо, що 
г) розраховується квадрат
відхилень 
для кожного показника якості та
загальна сума квадратів відхилень. Для нашого випадку 
.
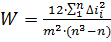
Розрахуємо коефіцієнт
узгодженості W думок
експертів за формулою(15):

(15)
У разі повної узгодженості
поглядів експертів коефіцієнт W=1. Чим більше
розбіжностей в думках експертів, тим меншою буде величина W.
Для нашого випадку:

= 0,36 (16)
Далі виявляються пріоритетні
показники якості із кожної пари порівнюваних показників. Для цього визначаються
всі пари показників якості і послідовно порівнюються ранги цих показників.
Оцінювання пріоритету
здійснюється у 2 етапи. Спочатку проводиться попереднє оцінювання, яке полягає
в тому, що підраховується кількість пріоритетів у кожного показника якості,
який входить до пари показників, взятих для порівняння. У випадку більшої
кількості пріоритетів у певного показника йому виставляється оцінка 0,75.
Гіршому показнику якості виставляється оцінка
- 0,75 = 0,25.
Після попереднього оцінювання
проводиться остаточне кількісне оцінювання пріоритету кожного із показників
якості. Для цього слід підрахувати, скільки саме експертів віддали перевагу
тому чи іншому показнику якості із кожної пари порівнюваних.
Якщо всі експерти віддали
перевагу одному із показників якості, то остаточна кількісна оцінка залишається
такою ж, як і попередня. Якщо ж один із експертів висловив протилежну думку, то
вищезазначені співвідношення коригуються на величину 0, 1(таблиця 2.3).
Таблиця 2.3 - Таблиця
пріоритетів показників якості
Наступним кроком є
розрахування коефіцієнтів важливості (питому вагу) 
кожного із одиничних показників
якості. Для цього складають спеціальну матрицю (таблиця 2.4), в яку вписується
кількісні оцінки пріоритетів показників, визначених в попередній таблиці 2.3.
Сума оцінок 
=0,45+0,45+0,45+0,45+0,55+0,75=3,1
Сума оцінок 
=0,55+0,65+0,55+0,45+0,55+0,75=3,5
Сума оцінок 
=0,55+0,35+0,45+0,55+0,65+0,75=3,3
Сума оцінок 
=0,55+0,45+0,55+0,55+0,65+0,75=3,5
Сума оцінок 
=0,55+0,55+0,45+0,45+0,65+0,65=3,3
Сума оцінок 
=0,45+0,45+0,35+0,35+0,35+0,55=2,5
Сума оцінок 
=0,25+0,25+0,25+0,25+0,35+0,45=1,8
Таблиця 2.4 - Розрахунок
важливості показників якості продукції
За формулою розраховують загальний
коефіцієнт якості продукції і роблять висновки щодо рівня її якості відносно
базової продукції [11] розрахуємо Кзаг.
Якщо Іі>1,
то
за даним одиничним показником якості дана продукція буде кращою за базову для
випадку, коли збільшення основаного показника призводить до покращення якості
продукції.
Якщо Іі<1,
то за даним одиничним показником якості дана продукція буде кращою за базову
для випадку, коли збільшення основаного показника призводить до погіршення
якості продукції.
Для цього довільно один вид
продукції вибрати за базовий еталон - Д, в такому випадку ми маємо: Кзаг = 1,19
РОЗДІЛ 3
РЕКОМЕНДАЦІЇ ТА ПРОПОЗИЦІЇ
Визначення потреби в людському
факторі по суті являє собою застосування методів і способів розрахунку для
комплектації штату організації оптимальним чином. Для зручності можна вважати,
що процес такого розрахунку включає в себе три етапи:
) Оцінка наявних ресурсів.
) Розрахунок майбутніх потреб.
) Програма задоволення потреб у
персоналі.
Етапи:
По-перше, керівництву потрібно
знати, скільки людей зайнято виконанням кожної операції, що вимагається для
реалізації конкретної мети, і знати наскільки якісно кожен з них її виконує.
Другий етап - прогнозування
чисельності персоналу, необхідного для реалізації цілей організації. Так,
наприклад, керівництво ВАТ «КБ Коксохімммаш» вирішило організувати та провести
широкомасштабну акцію, йому необхідно визначити, скільки для цього буде
потрібно додатково персоналу. Природно, що при великих організаційних змінах,
наприклад, при створенні нової філії оцінка майбутньої потреби в робочій силі
представляє собою складну і дуже важливу задачу. У цих випадках необхідно
оцінити зовнішній ринок праці і визначити наявну на ньому робочу силу.
Програма задоволення потреби в
персоналі. Програма повинна вже включати в себе конкретні, детально розроблені
заходи щодо залучення, відбору, найму, підготовки та просуванню працівників,
потрібних для реалізації цілей організації.
Конкретне визначення потреби в
персоналі являє собою розрахунок необхідного числа працівників по їхній
кількості, кваліфікації, часу, зайнятості та розстановці у відповідності з
поточними і перспективними завданнями розвитку підприємства. Розрахунок проводиться
на основі порівняння розрахункової потреби в робочій силі і фактичного стану
забезпеченості на певну дату і являє собою інформаційну основу для прийняття
управлінських рішень в області залучення персоналу, його підготовки і
перепідготовки.
План по трудових ресурсів
розробляється з метою провести розрахунки щодо числа службовців, які потрібні
організації, і професійної структури, яка буде необхідна в даний період. Слід
також прийняти рішення про джерела потенційного набору, встановити і
підтримувати контакти для забезпечення того, щоб потреби організації та
потенційне винагороду за працю, грошове чи моральне, були відомі майбутньому
складу службовців. Так як компанії беруть на роботу людей самого різного
професійного рівня і потребують самих різних спеціальностях, мережа набору
службовців повинна бути досить широкою і різноманітною. Для набору молодших
службовців хорошим джерелом є місцеві школи, і багато компаній підтримують
корисні контакти з ними, щоб брати участь у договорах про професійну підготовку
школярів. Більшість великих компаній беруть також участь у щорічних зустрічах з
випускниками вищих навчальних закладів з метою забезпечити їх інформацією про
можливості кар'єри. Джерела набору більш кваліфікованих службовців на керівні
посади різноманітні, серед них центри зайнятості, спеціальні агентства і
консультанти по набору кадрів, або консультанти з пошуку керівних
адміністративних працівників. Дуже важливо створити резерв для набору
висококваліфікованих кадрів з метою залучення на вільні вакансії фахівців
високого класу. Якщо це відбувається, то помилки при наборі кадрів стають менш
значними.
Мотивацію працівників можна поділити
на два види - фінансову і не фінансову, або ж непряму. Дуже важливо визначити
вже при прийомі працівника на роботу, який з видів мотивації для нього
пріоритетніший. Таку інформацію менеджер з персоналу чи інша відповідальна
особа повинна отримати під час співбесіди з потенційним працівником. Якщо
кандидата цікавить тільки можливість заробляти, очевидно, що основною для нього
є фінансова мотивація. Якщо ж кандидата більше цікавлять інші моменти такі, як
престиж, стабільність, соціальний захист, доступ до певних привілеїв чи
переваг, можливість навчатися, то основною для них є не фінансова мотивація.
Однозначно, що від працівника, якого цікавить тільки фінансова складова
мотивації слід очікувати меншої лояльності до компанії ніж від працівника,
якого цікавлять не тільки гроші. В обох випадках доцільно розвивати ті не
фінансові види мотивації, які є найбільш цікавими для працівника.
Фінансова мотивації включає:
· заробітню платню;
· регулярні грошові
премії з нагоди певних подій (ювілей фірми, різноманітні державні та релігійні
свята);
· нерегулярні грошові
премії з нагоди певних подій в житті працівника (ювілей, народження дитини, певні
досягнення у роботі);
· інші грошові
виплати (відсотки від підписаних контрактів, гонорари).
У питаннях фінансової мотивації
варто чітко враховувати зміни пов’язані із просуванням працівника по службовій
драбині. Скажімо у сфері продаж часто менеджеру-початківцю не дають певного
стабільного окладу, або дають занадто невисокий оклад. Основний заробіток
такого менеджера, на думку керівника, повинні становити відсотки від продажів.
Проте початківцю досить важко заробляти навіть на основні свої потреби, оскільки
він ще не має відповідного досвіду і напрацьованої клієнтської бази. Він
втрачає мотивацію і починає шукати нове місце роботи, або ж замість пошуку
нового клієнта витрачає значну частину робочого часу на пошук додаткових
заробітків. Такого працівника можна легко втратити, як тільки він здобуде
певний досвід.
Тому початківцю доцільно платити
середню зарплатню в період поки він напрацьовує клієнтську базу і невеликі
відсотки від продажу. Коли ж стане помітним його успіх у продажах варто
збільшити саме відсоток при невеликому зростанні фіксованої ставки. Зокрема по
такій схемі успішно працють деякі українські страхові компанії. Натомість деякі
навіть великі компанії з продаджу побутової техніки, мають високу плинність
кадрів через занадто жорстке ставлення до новачків.
При використанні фінансових видів
мотивації однозначно потрібно пам’ятати про те, що хорошому спеціалісту краще
платити найбільшу можливу фінансову винагороду і він віддячить своєю старанною
працею на благо Вашої фірми. Такого принципу варто дотримуватись навіть з
огляду на те, що виховати нового працівника часто вимагає більших затрат ніж
підвищення зарплати старому спеціалісту.
Не менш важливою є не фінансова, або
непряма мотивація. На думку багатьох бізнесменів та спеціалістів з управління
цей вид мотивації важливіший для успішного розвитку бізнесу за фінансову
мотивацію.
До видів непрямої мотивації
належать:
· мотиваційні
подарунки;
· соціальний пакет;
· мотиваційні
навчання;
· спільні
корпоративні святкування;
· відкритість і
постійний діалог керівництва з персоналом;
· інші види
мотивації.
Людині подобається відчувати повагу
до себе і свою значимість. Саме тому мотиваційні подарунки (годинники, ручки,
оргтехніка тощо), які продемонструють працівникові оцінку його досягнень з боку
керівництва, мають велике значення. Очевидно, що вартість такого подарунка
залежить від заслуги працівника, проте він не повинен бути зовсім банальним.
Скептикам, які вважають подібні подарунки непотрібною витратою коштів, варто
згадати, з якою гордістю носять нагороди військові при незначній реальній
вартості таких відзнак.
Інший вид мотивації - це соціальні
вигоди такі, як безкоштовні медичні огляди, безкоштовний відпочинок під час
відпустки, можливості для оздоровлення і заняття спортом. Такий вид мотивації
вимагає порівняно невисоких витрат протягом року на одного працівника, проте
підвищує статус компанії в очах персоналу, оскільки він бачить турботу про себе
з боку керівництва
ВИСНОВКИ
Дослідження трудових ресурсів на ВАТ
(БК Коксохіммаш) було проведено на основі динаміки чисельності персоналу,
використання робочого часу, продуктивності праці.
Детально проаналізувавши виконані
розрахунки, можна зробити наступні короткі висновки. На підприємстві
спостерігається сезонність використання трудових ресурсів. Обсяг і своєчасність
виконання робіт, ефективність використання техніки і як результат - об'єм
виробництва продукції, її собівартість прибуток і ряд інших економічних
показників, залежать від забезпеченості підприємства трудовими ресурсами та
ефективності їх використання. Діяльність, праця людей характеризується
показником продуктивності праці. Результат трудової діяльності оцінюється
виробленням продукції в одиницю часу.
Актуальність даної теми пояснюється
важливістю фінансового аналізу в діяльності підприємства, яку неможливо
недооцінити. Проблема визначення фінансово-господарського стану підприємства
завжди характеризувалась актуальністю і посідала помітне місце серед напрямків
економічних досліджень. Важливого значення економічний аналіз набуває в умовах здійснюваних
ринкових реформ, коли на перший план виносяться економічні методи управління,
тобто сукупність способів впливу на підприємство, які забезпечують гармонійне
сполучення інтересів різноманітних ланок народного господарства та учасників
виробництва.
Підвищення ефективності праці є
важливим завданням в будь-якій суспільно - економічної формації. Основними
факторами, що впливають на підвищення продуктивності праці, є підвищення
технологічного рівня, вдосконалення управління на виробництві, різні галузеві
фактори.
Високий рівень плинності кадрів
майже завжди вказує на серйозні недоліки в управлінні персоналом і управлінні
підприємством в цілому, Плинність кадрів погіршує багато виробничі показники.
Перш за все, це втрачений прибуток через повільне входження в курс справи
новачків, зниження продуктивності праці. Висококваліфіковані фахівці
відволікаються на навчання нових співробітників. Виникають складнощі з
мотивацією персоналу. Плинність кадрів погіршує моральний клімат в колективі,
що перешкоджає створенню команди. Звичайно, така ситуація - це серйозний сигнал
керівництву про необхідність розібратися в процесах відбуваються в компанії.
При контрольованій плинності кадрів,
відкриваються можливості для кадрових перестановок і кар'єрного зростання, що
залишилися кращих співробітників, що є для них додатковим стимулом.
Проаналізувавши причини відходу співробітників і внісши відповідні зміни в
діяльність фірми можна не тільки знизити плинність кадрів, але і збільшити
ефективність діяльності кожного співробітника і фірми в цілому це свого роду
індикатор неблагополуччя, хоча в деяких випадках рівень плинності високий через
специфіки виробництва.
ПЕРЕЛІК ВИКОРИСТАНИХ ЛІТЕРАТУРНИХ
ДЖЕРЕЛ
1) Положення
(стандарт) бухгалтерського обліку №25 «Фінансовий звіт суб’єкта малого
підприємництва» : Затверджено наказом № 39 Міністерства фінансів України від
25.02.2000 р
2) Офіційний сайт Держкомстату України : [Електронний
ресурс] -
режим доступу до ресурсу: <#"665655.files/image111.gif">
Рисунок Б.1 - Зміна
прибутку підприємства протягом 2009-2011 рр.
Рисунок Б.2
- Зміна собівартості виробництва протягом 2009-2011
рр.
Рисунок Б.3
-
Зміна рентабельності протягом 2009-2011 рр.
Рисунок
Б.4 - Зміна
фондовіддачі протягом 2009-2011 рр.
Рисунок Б.5
- Зміна залишкової вартості основних засобів
протягом 2009-2011 рр.
Рисунок
Б.6 - Зміна
продуктивності праці протягом 2009-2011 рр.
Рисунок Б.7
- Зміна середньоспискової чисельності працівників
протягом 2009-2011 рр.
Рисунок Б.8
- Зміна середньорічної зарплати одного працівника
протягом 2009-2011 рр.
Рисунок
Б.9 - Зміна
дебіторської заборгованості протягом 2009-2011 р.
Рисунок
Б.10 - Зміна
кредитної заборгованості протягом 2009-2011 рр
Рисунок Б.11 - Зміна коефіцієнту
автономії протягом 2009-2011 рр.