Василий Леонтьев и его вклад в экономическую науку

  • Вид работы:
    Реферат
  • Предмет:
    Эктеория
  • Язык:
    Русский
    ,
    Формат файла:
    MS Word
    59,91 Кб
  • Опубликовано:
    2013-11-03
Вы можете узнать стоимость помощи в написании студенческой работы.
Помощь в написании работы, которую точно примут!

Василий Леонтьев и его вклад в экономическую науку















Реферат

на тему

Василий Леонтьев и его вклад в экономическую науку

Выполнила:

Подплёта А.А.

Введение

В отличие от многих кабинетных экономистов-теоретиков Василий Леонтьев видит свою главную цель в том, чтобы его теоретические и методологические разработки служили экономической практике, открывая перед ней все новые возможности прогресса. Разработанная им методология межотраслевого анализа на основе принципа "затраты - выпуск" послужила основой составления межотраслевых балансов для многих стран, в том числе и для Советского Союза.

Леонтьевские принципы разработки межотраслевых балансов на основе широкого применения математики и ЭВМ вызвали большой интерес со стороны советских экономистов и политиков. Первый межотраслевой баланс был разработан ЦСУ СССР в 1959 г. С этого времени резко активизировались работы по их составлению на всех уровнях. В 1966 г. межотраслевые балансы появились во всех союзных республиках. Заметно выросло и количество научных исследований в области народнохозяйственного планирования и прогнозирования.

Советские экономисты, творчески используя леонтьевскую методологию анализа межотраслевых связей, внесли существенный вклад в разработку межотраслевых балансов, теорию и практику управления структурными сдвигами в экономике.

К большому сожалению, эйфория рынка, которая имела место в первые годы реформ, привела к потере управляемости экономикой и практически к полному уничтожению планирования. Именно это многие отечественные и зарубежные специалисты считают главной и самой страшной ошибкой реформаторов.

Мировая экономическая наука и практика давно доказали, что современная экономика находится на таком этапе развития, когда рынок не в состоянии обеспечить ее равновесие и пропорциональность. С другой стороны чисто плановая модель неизбежно приведет к коррупции, увеличению налогового бремени, и как следствие к регресу экономики и к инфляции. Важнейшим рычагом регулирования основных макропропорций, обеспечения структурной и инвестиционной политики служит государство. Учитывая фундаментальное значение дилеммы "план-рынок", Василий Леонтьев уделяет ей важное внимание. Хорошо известно его образное сравнение экономики с кораблем. Частная инициатива, рожденная рынком, - это ветер в парусах. А планирование - это руль, который направляет движение экономики для достижения поставленной цели. План и рынок - это не антиподы, а добрые союзники, партнеры, которые, помогая друг другу, успешнее достигают поставленной цели.

1.     
Василий Леонтьев. Биография

Американский экономист Василий Леонтьев родился 5 августа 1905 года в Санкт-Петербурге (Россия). Его родители - Василий Леонтьев, профессор экономики, и Евгения (в девичестве Беккер) Леонтьева. Годы его детства были временем великих социальных и политических потрясений. Ему было восемь лет, когда началась первая мировая война. Он был непосредственным свидетелем беспорядков русской революции и сохранил в памяти выступление Ленина на массовом митинге у Зимнего дворца в Петрограде, на котором присутствовал. Поступив в 1921 г. в Ленинградский университет, сначала изучал философию и социологию, а затем экономические науки. Им были разработаны Теоретические основы межотраслевого баланса в СССР <#"665612.files/image001.gif">

 

Валовой продукт

X1

X2

...

Xn

 


Структурная схема модели МОБ «З - В» включает в себя четыре раздела (квадранта).

В разделах (квадрантах) модели принято отражать следующие данные:- в первом квадранте - текущее производственное потребление («Промежуточный продукт»),- во втором - использование «Конечного продукта»,- в третьем - состав и объёмы производства «Условно чистой продукции» (амортизация, заработная плата, прибыль, налоги), - в четвёртом - распределение произведённой условно чистой продукции.

Для построения и расчёта модели МОБ «З - В» использованы следующие показатели: Xij - объём продукции отрасли i , расходуемой в отрасли j. В МОБ принято обозначать через i - номер строки, следовательно, номер производящей отрасли, а через j - номер столбца, следовательно, номер потребляющей отрасли. Xi - суммарный объём производства продукции отраслью i за данный промежуток времени, определяемый суммой потребностей в продукции данной отрасли:

                                            (1)

j - объём потребностей j-ой отрасли в продукции i-ых отраслей и других факторов производства, определяемый по формуле:

                                                              (2)

i - объём конечного использования продукта отрасли i на цели: потребления домашних хозяйств, органов государственного управления, коммерческих и некоммерческих организаций; капитальные вложения; изменение запасов и резервов; чистое накопление ценностей, формирование экспортно-импортного сальдо; j - условно чистая продукция, включающая в себя оплату труда, прибыль и амортизацию. Основу экономико-математической модели МОБ «З - В» составляет технологическая матрица коэффициентов прямых материальных затрат A(aij). Коэффициенты прямых материальных затрат aij принято рассчитывать по формуле:

, i, j = 1, 2,…, n.                                                          (3)

Расчет по ф. 3 позволяет с одной стороны оценить необходимый объём производства продукции отрасли i для обеспечения производства единицы продукции отрасли j, а с другой стороны показывает долю продукции отрасли j, которую необходимо произвести для приобретения продукции i - ой отрасли в объёме Xij.

С учётом (3) формула (1) примет вид:

                                                 (4)

или в матричной форме:

X = AX + Y.

В соответствии с действующей методологией с помощью модели (4) можно выполнять следующие виды расчётов:1. Задавая для каждой отрасли величины валовой продукции (Xi), можно определить объёмы конечной продукции каждой отрасли (Yi):

Y = (E - A)X;                                                                                (5)

. Задавая величины конечной продукции i - ых отраслей (Yi) можно определить величины валовой продукции каждой отрасли (Xi):

X =(E - A)-1Y =BY.                                                                      (6)

В формулах (5) и (6) символ Е обозначает единичную матрицу порядка n, а B=(E - A)-1 - матрицу, обратную матрице (E - A).

При этом элементы матрицы B принято называть коэффициентами полных материальных затрат. Воспользуемся примером из учебного пособия И.В. Орловой для иллюстрации основных положений действующей методологии построения и анализа МОБ «З - В». В этом примере приведены следующие коэффициенты прямых затрат aij и объёмы конечной продукции Yi отраслей для условной экономической системы:


Тогда в соответствии с экономико-математической моделью МОБ «З - В» матрица B коэффициентов полных затрат и вектор валового выпуска продукции X примут вид:


Зная параметры вектора Х определим значения межотраслевых поставок Хij, необходимые для заполнения таблицы межотраслевого баланса (таб. 1). Из ф. (3) имеем:


С учётом приведённых расчётов МОБ «З - В» примет вид, приведённый в таб. 2.

Таблица 2

Производящие отрасли

Потребляющие отрасли

Конечный продукт

Валовой продукт


1

2

3



1

232,7

 51,05

291,8

200

775,5

2

155,1

255,0

0

100

510,2

3

232,7

 51,05

145,9

729,6

Условно чистая продукция

155,0

153,1

291,9

600

 

Валовой продукт

775,5

510,2

729,6

 

2015,3


В теории МОБ отмечается, что балансовый характер таблицы выражается в выполнении равенств:

                      (7)

а также перечисляются широкие возможности использования экономико-математической модели МОБ «З - В» в анализе других экономических показателей, определяемых на основе построения балансовых моделей. В их числе балансовые модели внутрипроизводственного планирования, продуктово-трудовые модели, модели международной торговли (линейные модели обмена), динамические модели межотраслевого баланса. Однако перечисленные достоинства МОБ «З - В» и его основы - экономико-математической модели В. Леонтьева - с нашей точки зрения сильно преувеличены. Об этом свидетельствуют недостатки как самой экономико-математической модели, так и её информационного обеспечения. К недостаткам экономико-математической модели Леонтьева следует отнести:· искажение экономических понятий и значений оцениваемых по модели параметров;· неадекватность значений показателей, рассчитываемых по модели, их ожидаемым величинам;· непригодность модели для определения полных объёмов затрат и результатов производства в стране; · не сбалансированность рассчитанных по модели объёмов производства продукции с потребностями в объёмах её производства;· невозможность использования экономико-математической модели МОБ «З - В» для оценки результатов внедрения мероприятий научно-технического прогресса;· непригодность модели МОБ «З - В» для планирования и оценки ожидаемых объёмов условно чистой продукции. К недостаткам информационного обеспечения МОБ «З - В» следует отнести:· принятую систему оценочных показателей и принципов функционирования модели;· неопределённости, возникающие при формировании производственных отраслей МОБ «З - В», будь то отрасли «чистые» или «хозяйственные»;·ошибочность экономической интерпретации вычислительных процедур в модели.

. Пример расчета

Рассмотрим 2 отрасли промышленности: производство угля и стали. Уголь требуется для производства стали и некоторое количество стали в виде инструментов требуется для добычи угля. Предположим, что условия таковы: для производства 1 т. стали нужно 3 т. угля, а для 1 т. угля - 0,1 т. стали.

Отрасль

Уголь

Сталь

Уголь

0

3

Сталь

0.1

0


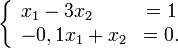
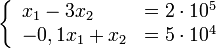
Мы хотим, чтобы чистый выпуск угольной промышленности был тонн угля, а стальной промышленность - тонн стали. Если каждая из них будет производить лишь и тонн, то часть продукции будет использоваться в другой отрасли. Для производства тонн стали требуется тонн угля, а для производства тонн угля нужно тонн стали. Чистый выход будет равен: тонн угля и тонн стали. Нам нужно дополнительно производить уголь и сталь, чтобы использовать их в другой отрасли. Обозначим x1 - количество угля, x2 - количество стали. Валовый выпуск каждой продукции найдем из системы уравнений:


Решение: (500000;100000). Для систематического решения задач расчета межотраслевого баланса находят, сколько угля и стали требуется для выпуска 1 т. каждого продукта.

x1 = 1,42857 и x2 = 0,14286.

Чтобы найти, сколько угля и стали нужно для чистого выпуска т. угля, нужно умножить эти цифры на . Получим: (285714;28571). Аналогично составляем уравнения для получения количества угля и стали для выпуска 1 т. стали

x1 = 4.28571 и x2 = 1.42857.

Для чистого выпуска т. стали нужно: (214286; 71429). Валовый выпуск для производства тонн угля и тонн стали: (285714 + 214286;28571 + 71429) = (500000;100000).

Выводы

Отмеченные недостатки модели МОБ «З-В» и экономико-математической модели В. Леонтьева свидетельствуют о необоснованности и неконструктивности их использования для выявления, оптимизации и поддержания плановых пропорций в экономике страны. Пути совершенствования системы государственного межотраслевого планирования должны предусматривать: Во-первых, сближение принципов формирования межотраслевых балансов (МОБ) с показателями и методами формирования системы национальных счетов (СНС). Решение этой проблемы потребует, возможно, не только изменения СНС (например, формирование их по отраслевому принципу), но и принципов формирования МОБ. Изменение принципов формирования МОБ прежде всего должно предусматривать отражение в МОБ деятельности всех категорий участников процесса общественного производства, а также замену «затратно-производительного» метода формирования МОБ на «потребительно-распределительный». При этом под «потребительно - распределительными» МОБ имеется ввиду МОБ, отражающие в полном объёме спрос на производство общественно-необходимой продукции. Такие МОБ названы межотраслевыми балансами «Производство - потребление» (МОБ «П - П») и представляют собой квадратную матрицу, по строкам которой отражены потребности отраслей-производителей в продукции других отраслей для реализации своей профессиональной деятельности, а по столбцам - потребности других отраслей в результатах производства данной отрасли-производителя. Во-вторых, разработку методов оптимизации системы взаимных потребностей в модели МОБ «П - П». Построение сбалансированных моделей МОБ «П - П» позволит не только снизить безработицу и инфляцию в стране, но и позволит повысить объективность народнохозяйственных оценок результатов внедрения мероприятий научно-технического прогресса, а также протекционистских решений руководителей страны. Однако к первоочередным задачам следует отнести широкое информирование экономистов о выявленных недостатках модели МОБ «З - В» и экономико-математической модели В. Леонтьева. Кроме того, во избежание бесполезных затрат времени и средств следует приостановить все попытки дальнейшего использования модели МОБ «З - В» и экономико-математической модели Василия Леонтьева при разработке:

балансовых моделей внутрипроизводственного планирования;

различного вида продуктово-трудовых моделей;

моделей международной торговли (линейных моделей обмена);

динамических моделей межотраслевого баланса.

Список использованной литературы

леонтьев экономический математический баланс

1.       Н.П. Федоренко «Экономика и математика». Изд-во «ЗНАНИЕ», Москва, 1967г. Стр. 43.

2.      Экономическая теория / Под ред. А.И. Добрынина, Л.С. Тарасевича : Учебник для вузов. - СПб: Изд. СПбГУЭФ. Изд. «Питер Паблишинг», 1997.Стр.256-257.

.        Национальное счетоводство: Учебник. - 3-е изд. / Под ред. Б.И. Башкатова. - М.: Финансы и статистика, 2005. Стр.486 - 493.

.        Учебное пособие Орловой И.В. Экономико-математическое моделирование: Практическое пособие по решению задач. - М.: Вузовский учебник, 2005.

.        Л.И. Лопатников Экономико-математический словарь. АН СССР, ЦЭМИ./Под ред. академика Н.П. Федоренко. - М.: Наука, 1987. Стр.444.

.        Бункина М.К., Семенов А.М., Семенов В.А. Макроэкономика: Учеб. - 3-е изд., перераб. и доп. - М.: Издательство «Дело и Сервис», 2000.

.        http://student.km.ru/

.        http://www.finman.ru/articles/2002/1/677.html

.        http://www.aup.ru/articles/economics/12.htm

.        http://ru.wikipedia.org/wiki/Модель_Леонтьева

Похожие работы на - Василий Леонтьев и его вклад в экономическую науку

 

Не нашли материал для своей работы?
Поможем написать уникальную работу
Без плагиата!
Без нейросетей!