Экономическая модель выпуска и реализации основных сельхозпродуктов на примере Брестской области
СОДЕРЖАНИЕ
ВВЕДЕНИЕ
ГЛАВА 1. ОБЩЕЕ ПРЕДСТАВЛЕНИЕ О СЕЛЬСКОМ ХОЗЯЙСТВЕ
1.1 История возникновения и развития сельского хозяйства
1.2 Роль сельского хозяйства в экономике
1.3 Основные сведения о сельском хозяйстве
ГЛАВА 2. БЕЛОРУСКОЕ СЕЛЬСКОЕ ХОЗЯЙСТВО
2.1 Состояние сельского хозяйства Беларуси
2.2 Основные показатели и их динамика
2.3 Наиболее острые проблемы и пути их решения
ГЛАВА 3. ПОСТРОЕНИЕ ЭКОНОМЕТРИЧЕСКИХ МОДЕЛЕЙ
3.1 Эконометрические основы
3.2 Метод фиктивных переменных
3.3 Построение эконометрических моделей
ЗАКЛЮЧЕНИЕ
СПИСОК ИСПОЛЬЗОВАННЫХ ИСТОЧНИКОВ
Приложение 1
Приложение
2
ВВЕДЕНИЕ
Сельское хозяйство
- самая обширная жизненно важная отрасль народного хозяйства, определяющая
уровень жизни людей.
Актуальность темы исследования. Сельское
хозяйство традиционно занимает особое положение в экономике Беларуси. Это
вызвано тем, что аграрный сектор является одним из важнейших в белоруской
экономике, от его состояния во многом зависит экономическая, политическая и
социальная ситуация в стране. Сельское хозяйство является главной отраслью
агропромышленного комплекса, особенно в той его части, которая связана с
решением проблемы производства и реализации продовольствия. Поэтому вопросы
продовольственного обеспечения населения и продовольственная безопасность
страны находятся в непосредственной зависимости от рационального сочетания
различных форм собственности и хозяйствования, обеспечивающих эффективность
сельскохозяйственного производства.
Цель и задачи исследования
Цель дипломной работы - построить эконометрические
модели выпуска и реализации мяса, молока и яиц на примере Брестской области.
Для достижения данной цели необходимо было решить следующие задачи:
) Найти литературу по данной теме;
) Изучить основную информацию о сельском
хозяйстве;
) Собрать данные о выпуске, реализации мяса,
молока, яиц для дальнейшей их обработки;
) Провести анализ исходных данных с помощью
построения графиков автокорреляционных функций (коррелограмм);
) Построить эконометрические модели различных
видов и выбрать наилучшую.
) Спрогнозировать показатели выпуска и
реализации для первого квартала 2013 года и сравнить с реальными данными.
Объектом исследования
являются выпуск сельхозпродукции и реализация мяса, молока и яиц.
Предмет исследования
- эконометрические модели различных видов: линейные и нелинейные.
Теоретической и методологической
основой являются: экономическая литература,
методические и инструктивные материалы, теория и практика ведения сельского
хозяйства в области, стране и за рубежом. В работе использованы результаты
исследований белоруских и советских экономистов, посвященных предмету
исследования или связанных с ним.
Эмпирическая база исследования.
В качестве информации использованы материалы государственной статистики,
годовые отчеты НИЭИ по социально-экономическому развитию по Брестской области.
Практическая значимость
исследования. Теоретические выводы и практические
рекомендации могут быть применимы при прогнозировании будущих выпусков и
реализации мяса, молока и яиц.
Структура дипломной работы. Дипломная
работа состоит из введения, трёх глав, выводов и предложений, списка
использованной литературы и приложений. Она изложена на
40 страницах, содержит 6 таблиц, 11 рисунков.
Во введении
обоснована актуальность темы, определены цели и задачи исследования и практическая
значимость работы.
В первой главе
«Общее представление о сельском хозяйстве» рассмотрены история
возникновения и развития сельского хозяйства, его роль в экономике и сущность.
Во второй главе
«Белорусское сельское хозяйство» дан анализ развития сельского хозяйства
в РБ, а также рассмотрены основные показатели, проблемы и пути их разрешения.
В третьей главе
«Построение эконометрических моделей» проводиться построение
эконометрических моделей и выбираются наилучшие.
Результаты исследования обобщены в заключении.
В Приложении 1 приведена динамика
урожайности основных сельскохозяйственных культур, а в Приложении 2 -
динамика производства основных видов продукции животноводства в хозяйствах всех
категорий.
ГЛАВА
1. ОБЩЕЕ ПРЕДСТАВЛЕНИЕ О СЕЛЬСКОМ ХОЗЯЙСТВЕ
.1 ИСТОРИЯ ВОЗНИКНОВЕНИЯ И РАЗВИТИЯ СЕЛЬСКОГО
ХОЗЯЙСТВА
Возникновение сельского хозяйства
связано с так называемой «неолитической революцией
<#"665456.files/image001.gif">
Рисунок
2.1
- Продукция сельского хозяйства в РБ
Продукция растениеводства
включает стоимость готовых продуктов, полученных из урожая отчетного года
(зерновых, технических культур, картофеля, овощей и бахчевых продовольственных
культур, плодов и ягод, кормовых культур, семян и посадочного материала),
стоимость выращивания молодых многолетних насаждений и изменение стоимости
незавершенного производства продукции растениеводства (сева озимых культур,
вспашки почвы на зябь и другие работы, производимые в прошлом и отчетном году
под урожай будущего года) [9].
Продукция животноводства
включает стоимость готовых продуктов, полученных в результате выращивания и
хозяйственного использования сельскохозяйственных животных (молока, яиц, меда,
шерсти и других), стоимость выращивания (приплод, прирост, привес) скота, птицы
и прочих сельскохозяйственных животных, стоимость продукции кролиководства,
пушного звероводства, пчеловодства и других ее видов за отчетный год.
Индекс физического объема продукции
сельского хозяйства - относительный показатель, характеризующий
изменение объемов производства в сельском хозяйстве в сравниваемых периодах в
сопоставимых ценах. В качестве сопоставимых цен для отчетного года используются
фактически сложившиеся среднегодовые цены реализации сельскохозяйственной
продукции предыдущего года.
Хозяйства всех категорий
- все группы производителей сельскохозяйственной продукции. К ним относятся:
) сельскохозяйственные организации (кроме
крестьянских (фермерских) хозяйств) - юридические лица, осуществляющие
сельскохозяйственную деятельность (в соответствии с Общегосударственным
классификатором Республики Беларусь ОКРБ 2005-2006 «Виды экономической деятельности»,
утвержденным постановлением Государственного комитета по стандартизации
Республики Беларусь от 28 декабря 2006 г. № 65 «Об утверждении, введении в
действие, изменении и отмене технических нормативных правовых актов в области
технического нормирования и стандартизации и общегосударственного
классификатора Республики Беларусь», коды 011, 012, 013);
) крестьянские (фермерские) хозяйства;
) хозяйства населения
[9].
ПОКАЗАТЕЛИ РАСТЕНИЕВОДСТВА
Сельскохозяйственные земли
- земли, систематически используемые для получения сельскохозяйственной
продукции и включающие в себя пахотные земли, залежные земли, земли под
постоянными культурами и луговые земли. Общая площадь сельскохозяйственных
земель в республике составляла 8 874 тысяч гектаров на начало 2012 года.
Пахотные земли (пашня)
- это систематически обрабатываемые угодья и используемые под посев
сельскохозяйственных культур. Их площадь в стране равна 5 506,4 тысяч гектаров.
Посевные площади
- часть пахотных земель, занятых посевами сельскохозяйственных культур.
Валовой сбор
сельскохозяйственных культур - объем произведенной (реально собранной)
продукции (зерновых и зернобобовых культур, картофеля, овощей, льна, сахарной
свеклы, кормовых корнеплодов и других сельскохозяйственных культур) на всей
площади посева сельскохозяйственных культур, как с основных, так и с повторных
и междурядных посевов. По зерновым и зернобобовым культурам валовой сбор
показывается в весе после доработки, то есть за вычетом неиспользуемых отходов
и усушки при доработке.
Урожайность сельскохозяйственных
культур - это средний сбор сельскохозяйственной
продукции с единицы фактически убранной площади (с одного гектара). Динамику
урожайности основных сельскохозяйственных культур содержит Приложение 1 [9].
ПОКАЗАТЕЛИ ЖИВОТНОВОДСТВА
Поголовье скота
включает поголовье всех возрастных групп соответствующего вида скота.
Реализация скота и птицы на убой
- это реализация скота всех видов и птицы на убой (включая количество скота,
забитого непосредственно в организации) по различным каналам сбыта -
мясоперерабатывающим организациям и хладокомбинатам, подсобным производствам
организаций, организациям потребительской кооперации, через собственную
торговую сеть, в порядке рыночной торговли и по прочим каналам сбыта. В таблице
2.1 отображаются данные о реализации скота и птицы на убой (в живом весе),
тысяч тонн.
Таблица 2.1 - Реализация скота и птицы на убой
|
2012
г.
|
Удельный
вес в общем объеме производства, %
|
2012
г. в % к 2011 г.
|
Справочно
2011 г. в % к 2010 г.
|
|
Республика
Беларусь
|
1374,6
|
100
|
107,5
|
105,6
|
|
Области:
|
|
|
|
|
|
Брестская
|
248,8
|
18,1
|
105,5
|
105,0
|
|
Витебская
|
209,0
|
15,2
|
106,4
|
107,0
|
|
Гомельская
|
169,0
|
12,3
|
109,9
|
105,9
|
|
Гродненская
|
254,0
|
18,5
|
107,8
|
104,4
|
|
Минская
|
337,5
|
24,6
|
105,7
|
104,7
|
|
Могилевская
|
156,4
|
11,4
|
113,7
|
108,1
|
Производство молока
характеризуется фактически надоенным молоком (от коров и коз), независимо от
того, было ли оно реализовано или использовано на внутрихозяйственные нужды
(таблица 2.2).
Таблица 2.2 - Производство молока (тысяч тонн)
|
2012
г.
|
Удельный
вес в общем объеме производства, %
|
2012
г. в % к 2011 г.
|
Справочно
2011 г. в % к 2010 г.
|
|
Республика
Беларусь
|
6160,3
|
100
|
105,9
|
101,6
|
|
Области:
|
|
|
|
|
|
Брестская
|
1247,6
|
20,3
|
108,1
|
103,6
|
|
Витебская
|
824,3
|
13,4
|
103,3
|
103,7
|
|
Гомельская
|
870,0
|
14,1
|
106,4
|
100,6
|
|
Гродненская
|
990,6
|
16,1
|
108,2
|
103,3
|
|
Минская
|
1509,4
|
24,5
|
105,1
|
99,4
|
|
Могилевская
|
718,4
|
11,7
|
103,6
|
99,3
|
Средний удой молока от одной
коровы представляет собой частное от деления валового надоя молока за отчетный
период на среднее поголовье коров за этот период. В статистической практике
средний удой молока от коровы определяется отношением производства молока от
коров основного молочного стада на среднегодовое поголовье коров молочного
стада, независимо от того, доились ли они в отчетном периоде или нет.
Производство яиц
включает их сбор от всех видов домашней птицы, включая яйца, используемые на
воспроизводство птицы (инкубацию), а также на выработку яичного порошка и др.
(таблица 2.3).
Таблица 2.3 - Производство яиц (миллион штук)
|
2012
г.
|
Удельный
вес в общем объеме производства, %
|
2012
г. в % к 2011 г.
|
Справочно
2011 г. в % к 2010 г.
|
|
Республика
Беларусь
|
2
597,6
|
100
|
107,2
|
101,1
|
|
Области:
|
|
|
|
|
|
Брестская
|
417,9
|
16,1
|
113,9
|
97,2
|
|
Витебская
|
402,6
|
15,5
|
102,0
|
102,4
|
|
Гомельская
|
289,4
|
11,1
|
114,4
|
102,5
|
|
Гродненская
|
259,4
|
10,0
|
101,9
|
94,1
|
|
Минская
|
937,1
|
36,1
|
104,9
|
103,9
|
|
Могилевская
|
291,3
|
11,2
|
112,2
|
102,0
|
Динамику производства основных видов продукции
животноводства в хозяйствах всех категорий отображает Приложение 2 [9].
2.3
<file:///F:\Отчет%20по%20практике.docx>НАИБОЛЕЕ ОСТРЫЕ ПРОБЛЕМЫ И ПУТИ ИХ
РЕШЕНИЯ
Сельское хозяйство производит
большее воздействие на природную среду, чем любая другая отрасль народного
хозяйства. Причина этого в том, что сельское хозяйство требует огромных
площадей. В результате меняются ландшафты
<#"665456.files/image002.gif">
- объем потребления некоторого
продукта в месяц t, и есть все основания считать, что
потребление зависит от времени года. Введем три бинарные переменные 
:

, если месяц t является
зимним, 
в остальных случаях;

, если месяц t является
весенним, 
в остальных случаях;

, если месяц t является
летним, 
в остальных случаях;
и оцениваем уравнение:
В модель не вводиться четвертая
переменная 
относящаяся к осени, так как для
любого месяца t выполнялось бы тождество 
, что означало бы линейную
зависимость регрессов и как следствие невозможность получения МНК-оценок [2].
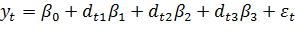
Одним из методов моделирования
временного ряда, содержащего сезонные колебания, является построение модели
регрессии с включением фактора времени и фиктивных переменных. При
моделировании поквартальных данных модель должна включать четыре независимые
переменные - фактор времени и три фиктивные переменные. Каждая фиктивная
переменная отражает сезонную (циклическую) компоненту временного ряда для
какого-либо одного периода. Она равна единице для данного периода и нулю для
всех остальных периодов.
Пусть имеется временной ряд,
содержащий циклические колебания периодичностью k. Модель
регрессии с фиктивными переменными для этого ряда будет иметь вид:
где
Например, при моделировании сезонных колебаний
на основе поквартальных данных за несколько лет число кварталов внутри одного
года k=4, а общий
вид модели следующий:
где
Уравнение тренда для каждого квартала будет
иметь следующий вид:
для I квартала 
для II квартала 
для III квартала 
для IV квартала 
Фиктивные переменные позволяют дифференцировать
величину свободного члена уравнения регрессии каждого квартала. Она составит:
для I квартала 
для II квартала 
для III квартала 
для IV квартала 
Параметр b
в этой модели характеризует среднее абсолютное изменение уровней ряда под воздействием
тенденции. В сущности, модель есть аналог аддитивной модели временного ряда,
поскольку фактический уровень временного ряда - это сумма трендовой, сезонной и
случайной компонент [12].
3.3 построение эконометрических моделей
Исходные данные для построения эконометрических
моделей были собраны мной при прохождении преддипломной практики в ГНУ
«Научно-исследовательский экономический институт Министерства экономики
Республики Беларусь». Они представляют собой для выпуска сельскохозяйственной
продукции поквартальную информацию об объеме выпуска в денежном измерении (в
миллиардах рублей) за период с 2009 года по 2012 год (таблица 3.2), а для
продукции животноводства - сведения о реализации мяса, молока и яиц в
натуральном выражении (тысяч тонн и миллион штук) за период с 2008 года по 2012
год поквартально (таблица 3.1).
Таблица 3.1 - Исходные данные для реализации
основных сельхозпродуктов
|
Период
|
Мясо, тыс. т
|
Молоко, тыс. т.
|
Яйца, млн. шт.
|
|
1 кв. 2008
|
46,1
|
186,2
|
82,4
|
|
2 кв. 2008
|
46,3
|
239,2
|
88,4
|
|
3 кв. 2008
|
46,1
|
227,6
|
84,9
|
|
4 кв. 2008
|
49,6
|
182,2
|
90,3
|
|
1 кв. 2009
|
51,4
|
206,2
|
83,7
|
|
2 кв. 2009
|
51,2
|
264,6
|
88,9
|
|
3 кв. 2009
|
51,1
|
250,4
|
86,8
|
|
4 кв. 2009
|
55,8
|
198,9
|
96,3
|
|
1 кв. 2010
|
56,9
|
216,9
|
91,2
|
|
2 кв. 2010
|
56,8
|
269,5
|
93,5
|
|
3 кв. 2010
|
54,1
|
250,7
|
94,2
|
|
4 кв. 2010
|
57
|
208,8
|
98,5
|
|
1 кв. 2011
|
58,8
|
232,4
|
98,3
|
|
2 кв. 2011
|
60,8
|
271,4
|
90,5
|
|
3 кв. 2011
|
57,2
|
258
|
82,8
|
|
4 кв. 2011
|
59,3
|
234,1
|
95,2
|
|
1 кв. 2012
|
59,6
|
264,4
|
107,5
|
|
2 кв. 2012
|
62,3
|
305,9
|
102,7
|
|
3 кв. 2012
|
60,9
|
287,5
|
99,4
|
|
4 кв. 2012
|
66
|
254,8
|
108,3
|
Таблица 3.2 - Исходные данные о выпуске
сельхозпродукции
|
Период
|
Выпуск, млрд. руб.
|
|
1 кв. 2009
|
654,569
|
|
2 кв. 2009
|
995,296
|
|
3 кв. 2009
|
2405,209
|
|
4 кв. 2009
|
832,111
|
|
1 кв. 2010
|
689,491
|
|
2 кв. 2010
|
1037,576
|
|
3 кв. 2010
|
2443,858
|
|
4 кв. 2010
|
971,242
|
|
1 кв. 2011
|
722,587
|
|
2 кв. 2011
|
1126,584
|
|
3 кв. 2011
|
2791,578
|
|
4 кв. 2011
|
1150,493
|
|
1 кв. 2012
|
1127,122
|
|
2 кв. 2012
|
1544,387
|
|
3 кв. 2012
|
2983,615
|
|
4 кв. 2012
|
1364,314
|
Для начала построим графики зависимости наших
показателей от времени, которые позволят провести дальнейший анализ исходных
данных. На рисунке 3.1 отображается кривая выпуска, на рисунках 3.2-3.4 -кривые
реализации мяса, молока и яиц соответственно.
Рисунок
3.1
- График выпуска с/х продукции (млрд. руб.)
Рисунок
3.2
- График реализации мяса (тыс. тонн)
Рисунок
3.3
- График реализации молока (тыс. тонн)

Превосходным способом проверки
хаотичности или напротив - взаимосвязанности измерений является построение
коррелограммы. Коррелограмма или график автокорреляции - график
зависимости автокорреляции
<#"665456.files/image031.gif">
Рисунок
3.5
- Коррелограмма выпуска
Рисунок
3.6
- Коррелограмма реализации мяса
Рисунок
3.6
- Коррелограмма реализации молока
Рисунок
3.6
- Коррелограмма реализации яиц
Можно сделать вывод, что для каждого показателя
характерно наличие сезонных колебаний. В этом случае для моделирования наших
временных рядов будем строить модели регрессии с включением фактора времени и
фиктивных переменных.
Введем переменную времени t
и три фиктивные переменные d1,
d2,
d3.
Все расчеты будем проводить в программе Matrixer,
которая предназначена для анализа и обработки данных, проведения эконометрических
и статистических расчетов. Сначала создадим новые матрицы для исходных данных.
На рисунке 3.7 отображается матрица для показателя выпуска сельскохозяйственной
продукции, созданная средствами Matrixer’а.
Рисунок
3.6
- Создание матриц в программе Matrixer
Регрессия - это зависимость между определёнными
переменными, с помощью которой можно спрогнозировать будущее поведение данных
переменных. Зачастую, регрессия подаётся в виде простого уравнения, которое
раскрывает зависимость и силу связи между двумя группами числовых переменных,
одна из которых называется зависимой (эндогенной), а вторая - независимой
(экзогенной или фактором). Уравнения бывают двух видов: линейные и нелинейные.
Линейное уравнение иллюстрирует строго линейную связь между переменными, то
есть в нём отсутствуют степени, дроби, тригонометрические функции. В нелинейный
класс уравнений входит всё то, что не вошло в линейный [12].
Для каждого показателя были построены несколько
уравнений регрессии и из них выбраны наилучшие. Рассмотрим эти уравнения для
каждого показателя. Выпуск описывается следующими эконометрическими моделями:
· Линейная (сумма
квадратов остатков: 108466,576):
· Экспоненциальная (сумма квадратов
остатков: 467338,114):
· Степенная (сумма квадратов остатков:
52764.738):
Выбор наилучшей модели производиться путем
выбора наименьшего показателя суммы квадратов остатков. Как видим, наилучшей
является степенная модель, поэтому построенные с помощью ее прогнозы будут
точнее, чем прогнозы, полученные при использовании других моделей.
Для показателей животноводства были построены
следующие виды регрессий: линейная, показательная, степенная, экспоненциальная
и гиперболическая. В таблице 3.3 приведены значения сумм квадратов остатков для
каждого показателя животноводства по построенным моделям.
Таблица 3.3 - Суммы квадратов остатков для
показателей животноводства
|
Вид
модели
|
Реализация
мяса
|
Реализация
молока
|
Реализация
яиц
|
|
Линейная
|
24,33425
|
962,49111
|
452,47202
|
|
Показательная
|
20,26109
|
1992,64871
|
448,19731
|
|
Степенная
|
24,30044
|
912,23520
|
441,65664
|
|
Экспоненциальная
|
24,32681
|
7181,09605
|
451,93576
|
|
Гиперболическая
|
21,29417
|
5889,36722
|
434,42181
|
Из анализа таблицы 3.3 следует, что наилучшей
для показателя реализации мяса будет показательная модель, для показателя
реализации молока - степенная, для показателя реализации яиц - гиперболическая.
Математических вид этих моделей будет следующим:

(показательная);

(степенная);

(гиперболическая).
ЗАКЛЮЧЕНИЕ
Сельское хозяйство является
важнейшим элементом мирового хозяйства, обеспечивая население земли
продовольственными товарами, а промышленность сырьем. Около одной трети
населения республики Беларусь занято в сельском хозяйстве. Оно является сферой
приложения труда
<#"665456.files/image042.gif">
Для показателей реализации наиболее
качественными моделями будут:
¾ реализация мяса

(показательная);
¾ реализация молока

(степенная);
¾ реализация яиц

(гиперболическая).
С помощью построенных эконометрических моделей
можно спрогнозировать объемы выпуска и реализации основный сельхозпродуктов для
будущих периодов.
Чтобы проверить эффективность
построенных моделей, нужно сравнить теоретические и фактические значения
показателей. Для этого я взяла на сайте Национального статистического комитета
Республики Беларусь (<http://belstat.gov.by/>) оперативные данные за
первый квартал 2013 года:
· выпуск - 1 168,82 млрд. руб.;
· реализация мяса - 67,17 тыс. тонн;
· реализация молока - 269,42 тыс.
тонн;
· реализация яиц - 111,81 млн. штук.
Затем подсчитала по нашим уравнениям
эмпирические значения показателей для этого периода. Получились следующие
результаты:
o выпуск - 1 117,03 млрд. руб.;
o реализация мяса - 67,25 тыс. тонн;
o реализация молока - 267,08 тыс.
тонн;
o реализация яиц - 107,91 млн. штук.
Как видим, результаты, полученные опытным путем,
мало отличаются от фактических данных, приведенных в Белстате. Поэтому можем
сделать вывод, что построенные модели являются весьма эффективными.
СПИСОК
ИСПОЛЬЗОВАННЫХ ИСТОЧНИКОВ
1) Айвазян,
С.А. Прикладная статистика и основы эконометрики / С.А. Айвазян, В.С. Мхитарян
- М. : ЮНИТИ, 2001. - 432 с.
) Бородич,
С.А. Вводный курс эконометрики: учеб. пособие / С.А. Бородич - Мн. : БГУ, 2000.
- 354 с.
) Доугерти,
Кр. Введение в эконометрику: Учебник для экон. спец. вузов / Кр. Доугерти, Пер.
с англ. Е.Н. Лукаш и др. - М.: ИНФРА-М, 1997. - 402 с.
) Дубров,
А.М. Многомерные статистические методы: учебник / А.М. Дубров, В.С. Мхитарян,
Л.И. Трошин - М. : Финансы и статистика, 2003. -
352
с.
) Коваленко,
Н.Я. Экономика сельского хозяйства / Н.Я. Коваленко - М. : ЮРКНИГА, 2007. - 218
с.
) Макарец,
Л.И. Экономика производства сельскохозяйственной продукции / Л.И. Макарец -
СПб. : Издательство ЛАНЬ, 2009. - 271 с.
) Национальный
статистический комитет Республики Беларусь [Электронный ресурс] / Copyright.
- Минск, 1998. - Режим доступа : http://belstat.gov.by/.
- Дата доступа : 25.04.2013.
) Практикум
по эконометрике: учеб. пособие / И.И. Елисеева, С.В. Курышева, Н.М. Гордеенко и
др.; под ред. И.И. Елисеевой. - 2-е изд., перераб. и доп. - М.: Финансы и
статистика, 2007. - 344 с.
) Статистический
сборник «Сельское хозяйство Республики Беларусь» / Национальный статистический
комитет Республики Беларусь; сост. И.А. Костевич.
- Минск : Лоранж-2, 2012. - 355 с.
) Чураков,
Е.П. Прогнозирование эконометрических временных рядов: учеб. пособие / Е.П.
Чураков. - М. : Финансы и статистика, 2008. - 208 с.
) Шайкин,
В.В. Сельскохозяйственные рынки / В.В. Шайкин, Н.Я. Коваленко - М. : Колос,
2000. - 196 с.
) Эконометрика.
Часть 2. Эконометрические модели временных рядов и методы их построения
[Электронный ресурс] : Электрон., текстовые дан. (3,6 Мб). - Брест : БрГУ имени
А.С. Пушкина, 2013. - 80 с. - электронный учебно-методический комплекс для
студентов математического факультета специальности экономическая кибернетика.
ПРИЛОЖЕНИЕ
1
Динамика
урожайности основных сельскохозяйственных культур
(в
хозяйствах всех категорий; центнеров с одного гектара)
|
Годы
|
Зерновые
и зернобобовые культуры
|
Картофель
|
Овощи
|
Льноволокно
|
Сахарная
свекла
|
Плоды и ягоды
|
|
1945
|
6,1
|
73
|
92
|
1,6
|
85
|
10,9
|
|
1950
|
7,9
|
109
|
116
|
1,6
|
149
|
29,9
|
|
1955
|
5,1
|
89
|
123
|
2,9
|
42
|
24,4
|
|
1960
|
8,3
|
104
|
170
|
3,1
|
132
|
39,2
|
|
1965
|
10,8
|
121
|
172
|
4,1
|
152
|
16,4
|
|
1970
|
15,2
|
138
|
176
|
3,9
|
221
|
34,1
|
|
1975
|
17,3
|
145
|
148
|
4,6
|
223
|
52,0
|
|
1980
|
13,1
|
119
|
140
|
2,6
|
229
|
30,6
|
|
1985
|
20,6
|
149
|
177
|
4,2
|
267
|
58,8
|
|
1990
|
27,2
|
138
|
188
|
4,6
|
321
|
31,9
|
|
1995
|
21,1
|
132
|
135
|
6,2
|
218
|
33,3
|
|
1996
|
22,0
|
152
|
138
|
6,5
|
225
|
37,5
|
|
1997
|
23,9
|
100
|
134
|
4,0
|
273
|
30,9
|
|
1998
|
19,1
|
114
|
135
|
5,1
|
292
|
22,0
|
|
1999
|
15,0
|
114
|
133
|
3,1
|
227
|
20,8
|
|
2000
|
19,4
|
134
|
134
|
4,8
|
292
|
32,9
|
|
2001
|
19,9
|
123
|
141
|
4,2
|
313
|
34,4
|
|
2002
|
24,7
|
137
|
157
|
4,4
|
228
|
52,3
|
|
2003
|
24,2
|
164
|
189
|
6,1
|
275
|
26,4
|
|
2004
|
29,6
|
195
|
203
|
7,3
|
368
|
39,4
|
|
2005
|
28,1
|
177
|
208
|
7,0
|
316
|
41,6
|
|
2006
|
24,9
|
192
|
212
|
4,4
|
376
|
77,3
|
|
2007
|
28,5
|
212
|
220
|
5,9
|
387
|
45,9
|
|
2008
|
35,2
|
221
|
234
|
7,8
|
439
|
64,5
|
|
2009
|
33,3
|
186
|
242
|
7,2
|
450
|
75,1
|
|
2010
|
27,7
|
214
|
247
|
7,7
|
395
|
86,3
|
|
2011
|
32,1
|
226
|
214
|
7,5
|
453
|
33,4
|
|
2012
|
34,5
|
235
|
190
|
9,0
|
486
|
41,2
|
Приложение
2
Динамика
производства основных видов продукции животноводства в хозяйствах всех
категорий
|
Годы
|
Реализация
скота и птицы на убой, тыс. т
|
Производство
|
|
в
живом весе
|
в
убойном весе
|
молока,
тыс.
т
|
яиц,
млн.
шт.
|
|
|
1940
|
424
|
275
|
2
005
|
612
|
|
|
1960
|
614
|
402
|
3
219
|
868
|
|
|
1965
|
751
|
508
|
4
125
|
1
106
|
|
|
1970
|
999
|
685
|
5
264
|
1
669
|
|
|
1975
|
1
259
|
842
|
6
109
|
2
631
|
|
|
1980
|
1
267
|
857
|
6
105
|
3
035
|
|
|
1985
|
1
534
|
1
032
|
6
759
|
3
363
|
|
|
1990
|
1
758
|
1
181
|
7
457
|
3
657
|
|
|
1995
|
995
|
657
|
5
070
|
3
373
|
|
|
1996
|
937
|
623
|
4
908
|
|
|
1997
|
941
|
632
|
5
133
|
3
459
|
|
|
1998
|
981
|
673
|
5
232
|
3
481
|
|
|
1999
|
949
|
652
|
4
741
|
3
395
|
|
|
2000
|
854
|
598
|
4
490
|
3
288
|
|
|
2001
|
898
|
627
|
4
834
|
3
144
|
|
|
2002
|
883
|
617
|
4
773
|
2
923
|
|
|
2003
|
878
|
605
|
4
683
|
2
824
|
|
|
2004
|
930
|
629
|
5
149
|
2
950
|
|
|
2005
|
1
024
|
697
|
5
676
|
3
103
|
|
|
2006
|
1
121
|
767
|
5
896
|
3
337
|
|
|
2007
|
1
176
|
816
|
5
904
|
3
228
|
|
|
2008
|
1
209
|
842
|
6
225
|
3
312
|
|
|
2009
|
1
335
|
921
|
6
577
|
3
430
|
|
|
2010
|
1
400
|
971
|
6
624
|
3
536
|
|
|
2011
|
1
464
|
1
020
|
6
504
|
3
752
|
|
|
2012
|
1
374
|
953
|
6
160
|
2
597
|
|