Технология охраны и воспроизводства природных ресурсов

  • Вид работы:
    Контрольная работа
  • Предмет:
    Экология
  • Язык:
    Русский
    ,
    Формат файла:
    MS Word
    546,19 Кб
  • Опубликовано:
    2013-06-21
Вы можете узнать стоимость помощи в написании студенческой работы.
Помощь в написании работы, которую точно примут!

Технология охраны и воспроизводства природных ресурсов

Минобрнауки России

Федеральное государственное бюджетное образовательное учреждение

высшего профессионального образования

«Санкт-Петербургский государственный

инженерно-экономический университет»

Кафедра экологического менеджмента





Контрольная работа по дисциплине

Технология охраны и воспроизводства природных ресурсов и обустройства природной среды

Вариант № 25










Санкт-Петербург

Содержание

1.Стадии протекания химико-технологических процессов, используемых при проведении природоохранных мероприятий

. Качество воды водоёмов и его нормирование

. Влияние недоброкачественной воды на здоровье человека

. Очистка сточных вод предприятий цветной металлургии

. Технологические операции, машины и оборудование, используемые при рекультивации земель

. Сравнительная характеристика бензиновых и дизельных автомобильных двигателей с точки зрения воздействия на окружающую среду

. Материальный баланс реактора для окисления диоксида серы на часовую производительность

Список литературы

сточный вода рекультивация водоем

1. Стадии протекания химико-технологических процессов, используемых при проведении природоохранных мероприятий.

Химические процессы в технологии - такие производственные процессы, при осуществлении которых изменяют химический состав перерабатываемого продукта с целью получения вещества с другими химическими свойствами. Изменение химического состава продукта происходит при проведении одной или нескольких химических реакций.

Химико-технологические процессы лежат в основе производства многих неорганических и органических соединений, занимают основное место в производстве черных, цветных и редких металлов, стекла, цемента и других силикатных материалов, целлюлозы, бумаги и пластмасс.

Химические процессы проходят ряд взаимосвязанных стадий:

. подвод реагирующих компонентов в зону реакции;

. химическое взаимодействие компонентов;

. разделение продуктов реакции и выделение целевого продукта из смеси.

На стадии подвода реагентов в зону реакции исходные вещества приводятся в соприкосновение друг с другом. Контактирование молекул достигается диффузией молекул одного вещества в другое либо конвективным переносом массы.

В результате химического превращения, или взаимодействия, образуется основной, или целевой, продукт и иногда ряд побочных продуктов. Стадия выделения целевого продукта осуществляется с применением процессов отстаивания, выпаривания, абсорбции, кристаллизации и др.

При необходимости в технологический процесс входит стадия подготовки сырья, включающая следующие операции: измельчение, концентрирование, сушку, очистку газа от пыли и др.

Химические превращения веществ в технологическом процессе осуществляются в специальных аппаратах, называемых реакторами. В этих аппаратах химические реакции сочетаются с массопереносом (диффузией). Например, в печном отделении сернокислотного цеха реактором является печь обжига серы или колчедана; в контактном отделении - контактный аппарат и т.д.

Протекание химических реакций, в результате которых получается целевой продукт, происходит при определенных параметрах процесса: температуре, давлении, активности катализатора, концентрации взаимодействующих веществ, интенсивности перемешивания.

. Качество воды водоёмов и его нормирование

Качество воды - это характеристика состава и свойств воды, определяющая ее пригодность для конкретных видов водопользования.

Под водопользованием понимают порядок, условия и формы использования водных ресурсов. Нормирование качества воды водоемов проводят в соответствии с “Правилами охраны вод”, (1991 г), которые устанавливают нормы качества воды водоемов для условий: хозяйственно-питьевого, коммунально-бытового и рыбохозяйственного водопользования.

К хозяйственно-питьевому водопользованию относится использование водных объектов или их участков в качестве источников хозяйственно-питьевого водоснабжения, а также для водоснабжения предприятий пищевой промышленности.

К коммунально-бытовому водопользованию относится использование водных объектов для купания, занятия спортом и отдыха населения. Требования к качеству воды, установленные для коммунально-бытового водопользования, распространяются на все участки водных объектов, находящихся в черте населенных мест, независимо от вида их использования.

К рыбохозяйственному водопользованию относится использование водных объектов для обитания, размножения и миграции рыб и других водных организмов.

Рыбохозяйственные водные объекты или их участки могут относиться к одной из трех категорий:

· к высшей категории относятся места расположения нерестилищ, массового нагула особо ценных и ценных видов рыб и других промысловых водных организмов, а также охранные зоны хозяйств для их искусственного разведения;

· к первой категории относятся водные объекты, используемые для сохранения и воспроизводства ценных видов рыб, обладающих высокой чувствительностью к содержанию кислорода;

· ко второй категории относятся водные объекты, используемые для других рыбохозяйственных целей.

Нормы качества водных объектов включают:

· общие требования к составу и свойствам воды водоемов для различных видов водопользования, которые включают такие показатели как: наличие взвешенных веществ, плавающих примесей, запаха и вкуса, окраски, растворенного кислорода, возбудителей заболеваний, ядовитых веществ, а также температура воды, водородный показатель рН, минерализация воды.

· перечень предельно допустимых концентраций (ПДК) нормированных веществ в воде водных объектов, используемых для хозяйственно-питьевых и коммунально-бытовых нужд населения, которые утверждаются Минздравом РФ);

· перечень предельно допустимых концентраций (ПДК) нормированных веществ в воде водных объектов, используемых в рыбохозяйственных целях, которые утверждаются Минрыбхозом РФ.

Для воды установлены ПДК более чем 960 химических соединений, которые объединены в три группы по следующим лимитирующим показателям вредности (ЛПВ): санитарно-токсикологическому (с.-т.); общесанитарному (общ.); органолептическому (орг.). В перечнях ПДК должны быть указаны ЛПВ, класс опасности, нормативное числовое значение с указанием единицы измерения.

Под органолептическими показателями понимаются те, которые определяют внешний вид воды и воспринимаются органами чувств (зрением, обонянием). Описание и определение органолептических свойств имеет значение для санитарной характеристики воды: наличие постороннего запаха и цвета указывает на загрязнение воды; мутная вода неприятна по внешнему виду и подозрительна в бактериальном отношении; гуминовые кислоты, обусловливающие цветность воды, могут неблагоприятно влиять на минеральный обмен в организме и т. п.

Для всех нормированных веществ при рыбохозяйственном водопользовании и для веществ, относящихся к 1 и 2 классам опасности при хозяйственно-питьевом и коммунально-бытовом водопользовании, при поступлении в водные объекты нескольких веществ с одинаковым ЛПВ и с учетом примесей, поступающих в водный объект от вышерасположенных источников, должно выполнятся условие:

 <=1,

где C1 , C2 , C n- концентрация каждого из веществ в контрольном створе, мг/дм3 ;

ПДК1, ПДК2,...ПДК n - предельно допустимые концентрации тех же веществ, мг/дм3.

Примечание: Контрольный створ - поперечное сечение потока, в котором контролируется качество воды.

Для уникальных водных объектов, имеющих экологическую, научную, историческую или культурную ценность, могут устанавливаться особые требования к качеству воды. Таким водным объектам может быть придан статус заповедника или заказника в установленном законом порядке.

Самые высокие требования предъявляются к питьевой воде. Санитарные нормы на воду, используемую для питья и в пищевой промышленности, определяют благоприятные для человека органолептические показатели воды: вкус, запах, цвет, прозрачность, а также безвредность ее химического состава и эпидемиологическую безопасность. Одни и те же требования предъявляются к воде из любого источника водоснабжения независимо от способа ее обработки и конструкции водозабора и водопровода. Для питьевой воды ГОСТ 2874-82 устанавливает следующие нормативы органолептических показателей:

· запах при 20 oС и при 60 oС не более 2 баллов (слабый, не привлекающий внимания, но такой, который можно заметить);

· привкус при 20 oС - не более 2 баллов;

· цветность - не более 20 градусов; мутность по стандартной шкале - не более 1,5 мг/дм 3.

· наличие минеральных примесей (мг/дм 3) не должно превышать: хлоридов (Cl-)-350; сульфатов (SO2- 4 )-500; железа (Fe 3+ + Fe 2+ )- 0, 3; марганца ( Mn 2+)- 0,1; меди (Cu 2+)-1,0; сухого остатка-1000;

· реакция среды рН 6, 5- 8, 5.

Таким образом, вода пригодна для питья, если ее минерализованность не превышает 1000 мг/дм 3 .Очень малая минерализованность воды (ниже 100 мг/дм 3) тоже ухудшает ее вкус, а вода, вообще лишенная солей (дистиллированная), вредна для здоровья, так как ее употребление нарушает пищеварение и деятельность желез внутренней секреции. Вопрос доброкачественности питьевой воды решают путем определения количества кишечных палочек в 1 дм 3 воды. Кишечная палочка- это микроб, постоянно обитающий в кишечнике человека и животных и, следовательно, безвредный. Однако ее присутствие в воде свидетельствует о наличии в ней выделений людей или животных и о возможности загрязнения воды болезнетворными бактериями. Согласно ГОСТу, в 1 дм 3 питьевой воды может содержаться не более трех бактерий группы кишечных палочек (БГКП).

К общесанитарным показателям воды водоемов относятся : взвешенные вещества (грубодисперсные примеси), сухой остаток, водородный показатель (рН), жесткость, содержание кальция, магния, хлоридов, сульфатов, солей аммония, нитратов, нитритов, растворенного кислорода, сероводорода и некоторых других неорганических и органических веществ.

К вредным веществам, имеющим санитарно-токсикологический ЛПВ, относятся неорганические вещества: бериллий, мышьяк, ртуть, роданиды, селен, цианиды, свинец, молибден, фториды и другие, органические вещества: бензол, бенз (а) пирен, анилин, ДДТ, формальдегид, метанол, полиакриламид и другие.

3. Влияние недоброкачественной воды на здоровье человека

Влияние недоброкачественной воды на здоровье населения может проявляться по-разному:

) в виде инфекционных заболеваний и инвазий;

) неинфекционных заболеваний химической этиологии, в том числе эндемических;

) неприятных психических ощущений, вызванных плохими органолептическими свойствами воды, иногда достигающих такой силы, что люди отказываются ее пить.

Именно в предупреждении таких отрицательных последствий для здоровья населения состоит гигиеническое, в том числе эпидемическое и эндемическое значение воды.

Эпидемическое значение воды. Роль воды в механизме передачи возбудителей кишечных инфекций, развития эпидемий и пандемий человечество осознало за долго до открытия патогенных микроорганизмов. Тем не менее, се- годня эта проблема остается весьма актуальной, несмотря на распространение централизованного водоснабжения населенных пунктов и усовершенствование методов обеззараживания. Поэтому при решении вопросов по обеспечению населения водой прежде всего необходимо предотвратить появление и распространение возбудителей инфекционных болезней, способных передаваться через воду. Это достигается постоянным обеспечением населения доброкачественной водой в достаточном количестве. При нарушении тех или иных гигиенических требований и санитарных правил как во время организации водоснабжения населенного пункта, так и при дальнейшей эксплуатации водопровода, может возникнуть чрезвычайно опасная, даже катастрофическая, ситуация - вспышка водной эпидемии, когда инфекционное заболевание одновременно передается сотням и тысячам людей.

. Кишечные инфекции (ведущий механизм передачи - фекально-оральный):

а) бактериальной природы: холера, брюшной тиф, паратифы А и В, дизентерия, колиэнтерит, сальмонеллез;

б) вирусной этиологии: вирусный эпидемический гепатит А, или болезнь Боткина, вирусный гепатит Е, полиомиелит и другие энтеровирусные инфекции, в частности Коксаки и ECHO (эпидемическая миалгия, ангина, гриппоподобные и диспепсические расстройства, серозный менингоэнце- фалит), ротавирусные болезни (гастроэнтерит, инфекционный понос);

в) протозойной этиологии: амебная дизентерия (амебиаз), лямблиоз.

. Инфекции дыхательных путей, возбудители которых иногда могут распространяться фекально-оральным путем:

а) бактериальной природы (туберкулез);

б) вирусной этиологии (аденовирусные инфекции, в частности ринофарингит, фарингоконъюнктивальная лихорадка, конъюнктивит, ринофаринготонзиллит, ринит).

. Инфекции колеи и слизистых оболочек, которые могут иметь фекально-оральный механизм передачи (сибирская язва).

. Кровяные инфекции, для которых возможен фекально-оральный механизм передачи (Ку-лихорадка).

. Зооантропонозы, которые могут распространяться фекалъно-оральным путем (туляремия, лептоспироз и бруцеллез).

. Гельминтозы:

а) геогельминтозы (трихоцефалез, аскаридоз, анкилостомидоз);

б) биогельминтозы (эхинококкоз, гименолепидоз).. Болезни кожи и слизистых оболочек, возникающие вследствие контакта с загрязненной водой: трахома, проказа, сибирская язва, контагиозный моллюск, грибковые заболевания (эпидермофития, микозы и др.).. Заболевания, которые вызывают гельминты, живущие в воде (шистосомоз, дракункулез, или ришта).. Трансмиссивные инфекции, возбудителей которых распространяют насекомые-переносчики, размножающиеся в воде (малярия, желтая лихорадка).

. Очистка сточных вод предприятий цветной металлургии

Цветная металлургия включает в себя следующие заводы:

) Цинковые. Вода используется в цехах: тушения клинкера, кадмиевого и электролитного выщелачивания. Она загрязняется взвесями, медью, цинком, хлоридами, сульфатами.

) Свинцовые. Сточные воды образуются от охлаждения кессонов, газоочистки. Они содержат грубодисперсные примеси, сульфаты, хлориды, железо, медь, свинец.

) Медеплавильные. Вода загрязняется во время грануляции шлаков, охлаждения кессонов, грануляции меди. Загрязнители: взвеси, железо, медь, свинец, цинк, сульфаты, хлориды.

Ежесуточная потребность в воде предприятиями цветной металлургии

часто составляет 10-12 млн. м 3. Основными потребителями воды являются обогатительные фабрики и гидрометаллургические заводы и цехи. Сточные воды являются отходами производства. В настоящее время во многих случаях сточные воды сбрасываются в специальные хранилища. При наличие в них вредных веществ они могут служить источником загрязнения почвенного покрова, грунтовых и подземных вод и различных водоемов.

Сточные воды предприятий цветной металлургии отличаются исключительно большим разнообразием загрязняющих веществ, состав и вид которых зависит главным образом от характера перерабатываемого сырья и применяемых технологических реагентов а также от качества очистки сточных вод.

Сточные воды предприятий цветной металлургии могут содержать: грубодисперсные примеси в виде взвеси твердых частиц хвостов обогатительных фабрик и гидрометаллургических переделов; кислоты, применяемые в технологическом процессе в качестве регуляторов среды и растворителей; ионы железа меди, никеля, свинца, цинка, кобальта, кадмия, сурьмы, ртути, титана и других элементов, которые попадают в сточные воды из растворов выщелачивания; различные новые органические реагенты, находящие все большее применение в гидрометаллургических и обогатительных процессах.

Приведенный перечень возможных загрязнений сточных вод предприятий цветной металлургии убедительно указывает на обязательность и необходимость их обезвреживания и на недопустимость сброса загрязненных вод в природные «хранилища». Наилучшим вариантом предотвращения вредного влияния сточных вод на окружающую среду следует считать организацию частичного или полного водооборота и повторное использование сточных вод в производственном цикле. При введении водооборота хранилища сточных вод должны использоваться в качестве очистных сооружений. В случае сброса сточных вод в водоемы их очистка должна приводить к снижению содержания каждой из загрязняющих примесей ниже предельно допустимых концентраций вредных веществ в воде водоемов санитарно-бытового использования.

Выбор той или иной схемы очистки сточных вод зависит от многих факторов. Важнейшими из них являются: объем образующихся сточных вод , вид и концентрация загрязняющих веществ и особенно вредных для окружающей среды примесей, физико-химические свойства примесей или их химических соединений, которые могут быть положены в основу методов очистки. При выборе схемы очистки должны учитываться возможности использования таких эффективных мероприятий, как сокращение объема сбрасываемых сточных вод, экономия технологической воды, устранение переливов и аварийных сбросов и т.д.

В основе наиболее часто встречающихся методов очистки сточных вод предприятий цветной металлургии лежат три основных принципа:

. Механическое отстаивание грубодисперсной взвеси;

. Осаждение примесей в виде труднорастворимых солей;

. Окисление до безвредных соединений.

В свою очередь возможны два варианты организации схемы очистки сточных вод: путем последовательного выделения отдельных примесей с помощью соответствующих реагентов и комплексным выделением большинства примесей.

Наиболее дешевыми, доступными и распространенными реагентами являются известь, осадителя и химического реагента, а также хлорная известь, гипохлориды кальция и натрия, жидкий хлор, используемые в качестве окислителей. Кроме того, возможно применение таких методов очистки, как озонирование, ионный обмен, адсорбция, электрохимия и др.

. Технологические операции, машины и оборудование, используемые при рекультивации земель

Рекультивация земель - комплекс работ по восстановлению продуктивности земель, улучшению условий окружающей среды. Нарушение земель идет при разработке месторождений полезных ископаемых, выполнение геологоразведочных, строительных и других работ. При этом нарушается или уничтожается почвенный покров, изменяется гидрологический режим. В результате рекультивации на нарушенных землях создаются сельскохозяйственные и лесные угодья, водоемы различного назначения, рекреационные зоны, площади для застройки.

Рекультивации земель обычно осуществляется в два этапа:

Технический

Биологический

В соответствии с требованием ГОСТ 17.5.3.04 - 83 «Охрана природы земли. Общие требования к рекультивации земель» в проекте рекультивации нарушенных земель предусматривается выполнение следующих работ:

В техническом этапе рекультивации:

мероприятия по снятию, складированию, хранению плодородного слоя почвы, определение объема земляных работ, технологии снятия, используемой техники, а также формы и площади отвалов и карьеров;

грубая и чистая планировка поверхности рекультивируемого участка, засыпка водоотводящих и водоподводящих коммуникаций;

выполнение бортов и откосов: проектное заложения, объем земляных работ и применяемая технология;

террасирование откосов, засыпка и планировка провалов и выработок;

освобождение рекультивируемой поверхности от крупногабаритных обломков пород, производственных конструкций, строительного мусора и промышленных отходов с последующим их захоронением или организованным складированием или переработкой;

вертикальная и горизонтальная планировка рекультивируемой поверхности, устройство дна бортов карьеров и планировка освобождаемой от отходов территории;

строительство подъездных путей и дорог с учетом прохода сельскохозяйственной, лесохозяйственной и другой техники;

устройство, при необходимости, дренажной, водоотводящей и оросительной сети и ликвидация или использование плотин, дамб, насыпей и т.д.;

противоэрозионные и водоотводящие мероприятия;

мелиорация токсичных пород и загрязненных почв, если невозможна их засыпка слоем потенциально плодородных пород;

нанесение плодородного слоя почвы, потенциально плодородных пород, последующая вспашка или рыхление территории;

В биологическом этапе рекультивации:

комплекс агротехнических и фитомелиоративных мероприятий, направленных на улучшение агрофизических, агрохимических, биохимических и других свойств почвы;

агротехнические мероприятия: подбор состава травосмеси, пород лесных культур (или кустарников), нормы высева или посадки с учетом почвенно-грунтовых условий рекультивируемой территории;

определение нормы и периодичности внесения удобрений;

обоснование мероприятий технологических карт по обработке территории со сроками их выполнения;

определение продолжительности мелиоративного периода;

разработка рекомендаций по использованию рекультивируемого участка.

В настоящее время на угольных карьерах США при снятии почвенного слоя и потенциально плодородных пород наибольшее распространение получили гусеничные и колесные бульдозеры. Этот тип оборудования, по мнению американских специалистов, является экономичным при транспортировании пород на расстояние 30-35 м. Широко применяются одноковшовые погрузчики на колесном ходу с ковшом вместимостью 7,6 м3 и более, а также колесные скреперы повышенной проходимости.

Отмечая высокую производительность их машин на ре-культивационных работах, американские специалисты признают необходимость создания специального оборудования для различных видов работ, в том числе и для планировки поверхности отвалов.

Одним из перспективных конструкторских решений планировочного оборудования считается система Winch-dozer, состоящая из трех элементов: двух ковшей, навешенных последовательно на рабочую ветвь каната; концевого передвижного блока, устанавливаемого на специальной опоре; двух подвижных тяговых канатных лебедок барабанного типа, устанавливаемых на ходовой тележке трактора. Для работы системы на гребне отвала устанавливается неподвижный блок. Отмечается, что возможна установка неподвижного блока на тележке другого трактора для сокращения времени между двумя перемещениями блока и непроизводительных простоев системы. Тяговые лебедки располагаются у подножья гребневого отвала. Наклон ветвей канатов задается стрелой, угол наклона которой регулируется двумя гидроцилиндрами.

Использование системы Winch-dozer уменьшает расстояние ее транспортирования и повышает производительность труда. Так как масса передвигаемых частей системы в 10 раз меньше, чем у бульдозеров, расход топлива и энергии на выполнение одинаковых объемов работ значительно ниже. При необходимости могут применяться драглайны, роторных экскаваторов.

. Сравнительная характеристика бензиновых и дизельных автомобильных двигателей с точки зрения воздействия на окружающую среду

В выбросах двигателя внутреннего сгорания содержатся три основных вещества/группы веществ, причиняющих ущерб окружающей среде: углеводороды (УВ), окись углерода (CO) и оксиды азота (NOx). Кроме того, дизельные двигатели выбрасывают в атмосферу особо вредные мелкие и мельчайшие частички.

Отработавшие газы дизельных двигателей содержат в 100 раз больше частичек сажи, чем газы бензиновых двигателей. На европейском рынке за последние годы спрос на автомобили с дизельными двигателями значительно возрос.

Были измерены выбросы отработавших газов в автомобилях с бензиновыми и дизельными двигателями при холодном пуске с подогревателем двигателя и без него. Измерения проводились в холодильной камере при -20 °C в испытательном центре Тилиля Ой в Финляндии. 13 тестовых автомобилей были охлаждены до -20 °C; измерения проводились в двух сериях: с подогревателем двигателя и без него. При холодном пуске с подогревателем последний включался за 3 часа до теста. Этим методом проверялись как дизельные, так и бензиновые двигатели.

Кроме того, описанным выше методом проводились тесты при -10°C

Диаграмма D1 показывает расход топлива с подогревателем двигателя и без него при -20 °C

Выброс отработанных газов и расход топлива (D2) измерялись на испытательном стенде, который моделировал движение в городских условиях в 4 идентичных последовательностях (C1-C4) в непрерывном режиме (4 цикла по 1 км) и междугороднее движение (C5) (1 цикл по 7 км). Выброс отработавших газов и расход топлива измерялись после выполнения 5 отдельных последовательностей.


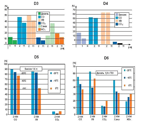
Испытания на автомобилях с бензиновыми двигателями с подогревателем показали значительное уменьшение выбросов CO и УВ (от 50 до 80 %) на первых километрах. В отличие от этого, подогреватель двигателя не повлиял значительно на выбросы NOx и CO2. При использовании подогревателя расход топлива на первых километрах также уменьшается на 15 - 30 %. В автомобилях с дизельными двигателями с подогревателем уменьшение выбросов CO и УВ на первых километрах составило 40 - 50 %. Кроме того, выбросы CO2 сократились на 8 - 12 %, выбросы NOx - на 12 - 18 %, а выбросы сажи - на 15 - 35 %. Расход топлива уменьшился на 8 - 12 %. Таким образом, больше всего уменьшались выбросы и расход топлива на первых километрах. Во время тестов встречался разброс результатов измерений, что связано с выполнением испытаний на различных автомобилях с двигателями различной мощности и типов. Но испытания показали, что на всех автомобилях с подогревателями двигателя различных типов пусковые характеристики холодного двигателя значительно улучшились по сравнению с автомобилями без подогревателя двигателя. Конечный результат испытаний показывает, что в бензиновых и дизельных двигателях благодаря подогревателю можно достичь значительного сокращения выбросов CO и УВ. В бензиновых двигателях подогреватель не оказывает такого значительного влияния на выброс CO2. В дизельных двигателях подогревателей оказывает относительно большое влияние на уменьшение выброса NOx и сажи. Диаграмма D3 показывает среднее сокращение расхода топлива и выброса CO, CO2, УВ, NOx и сажи в автомобилях с дизельными двигателями благодаря подогревателю двигателя при -20 °C на определенном отрезке пути. Диаграмма D4 показывает среднее сокращение расхода топлива и выброса CO, CO2 и УВ в автомобилях с бензиновыми двигателями благодаря подогревателю двигателя при -20 °C на определенном отрезке пути. Диаграммы D5 и D6 показывают сокращение выбросов CO, УВ, CO2, сажи и NOx и эффективность подогревателей двигателя при 0 °C в бензиновом двигателе с рабочим объемом 1,6 л и дизельном двигателе с рабочим объемом 1,9 л.


Диаграмма D7 показывает пример температурной кривой двигателя при нагреве охлаждающей жидкости (шланговый нагреватель серии 700).

Исследования показывают, что подогреватели двигателя ведут к значительному уменьшению износа двигателя.

Диаграмма D9 показывает содержание Cu (меди), Fe (железа) и Mo (молибдена) в масле через 30 холодных пусков при -20 °C с подогревателем двигателя и без него.

Тесты проводились на сравнительно новом автомобиле со свежим моторным маслом. Всего было проведено 30 ци- клов пуска холодного двигателя. При этом автомобиль был охлажден до -20 °C. Затем двигатель запускали и оставляли работать в течение одной минуты на холостых оборотах. После повторного охлаждения двигателя до -20 °C его повторно запускали.

До и после теста отбирались пробы моторного масла, которые анализировались в лаборатории. Затем испытания проводились с подогревателями двигателя.


. Составить материальный баланс реактора для окисления диоксида серы на часовую производительность по следующим исходным данным

Все газы считать идеальными;

Расход исходной газовой смеси 17000 м3/ч;

Состав исходной смеси (объёмные доли):

Диоксид серы - 0,1

Кислород - 0,12

Остальное - азот;

Степень превращения диоксида серы - 0,86.

Решение:

. Рассчитываем объёмную долю азота на входе в реактор

(N2) = 1 - 0.1-0,12 = 0,78

. Рассчитываем суммарный объёмный поток исходной смеси согласно формуле (4):

= 17000 / 0,1= 170000м3/ч.

Рассчитываем объёмные потоки кислорода и азота на входе в реактор согласно формуле (4):

(O2) = 170000 · 0,12=20400 м3/ч,(N2) = 170000 · 0,78=132600м3/ч.

Рассчитываем мольные потоки веществ на входе в реактор согласно формуле (3):

(SO2) = 17000 / 22.4 = 758.9кмоль/ч,(O2) = 20400 / 22.4 = 910.7кмоль/ч,(N2) = 132600 / 22,4 = 5919.6кмоль/ч,= 758.9+910.7+5919.6 = 7589.2кмоль/ч.

Рассчитываем массовые потоки веществ на входе в реактор согласно формуле (2):

GN(SO2) = 758.9*64 = 48569.6кг/ч,(O2) = 910.7* 32 = 29142.4кг/ч,(N2) = 5919.6*28 = 165748,8кг/ч,= 48569.6+29142.4+165748.8= 243460.8кг/ч,

где 64, 32 и 28 кг/кмоль - молярные массы диоксида серы, кислорода и азота соответственно.

Рассчитываем производительность по диоксиду серы согласно формуле (8):

(SO2) = -17000· 0,86= -14620м3/ч.

.Рассчитываем производительности по кислороду и триоксиду серы согласно стехиометрическому уравнению реакции:

SO2 + O2 = 2SO3

Таким образом на каждые два моля диоксида серы расходуется один моль кислорода и образуется два моля триоксида серы.

VR(O2) = -14620 · 1 / 2= - 7310м3/ч,(SO3) = -(-14620) · 2/2=14620м3/ч.

Суммарное изменение объёма реакционной смеси:

= -14620 - 7310+14620= -7310м3/ч.

.Рассчитываем конечные объёмные потоки компонентов согласно формуле (6):

VК(SO2) = 17000- 14620=2380 м3/ч,К(O2) = 20400 - 7310= 13090 м3/ч,

VК(SO3) = 0 + 14620= 14620м3/ч (Триоксид серы в исходной смеси отсутствовал, поэтому его начальный поток принят равным нулю),К(N2) = 132600+ 0 = 132600 м3/ч, (Азот в реакции участия не принимает, поэтому его производительность равна нулю),

КS = 2380+14620+132600+13090= 162690м3/ч.

.Рассчитываем мольные потоки веществ на выходе из реактора согласно формуле (3):

К(SO2) = 2380 / 22.4 = 106.25кмоль/ч,К(O2) = 13090/ 22.4 = 584.3кмоль/ч,К(SO3) = 14620 / 22.4 = 652.6кмоль/ч,КN(N2) = 132600 / 22,4 = 5919.6кмоль/ч,КS = 106.25+652.6+5919.6+584.3= 7262.7кмоль/ч.

.Рассчитываем массовые потоки веществ на входе в реактор согласно формуле (2):

К(SO2) = 106.25 · 64 = 6800кг/ч,К(O2) = 584.3 · 32 = 18697.6кг/ч,К(SO3) = 652.6 · 80 = 52208кг/ч,К(N2) = 5919.6 · 28 = 165748.8кг/ч,К S = 243454.4кг/ч,

где 64, 32, 80 и 28 кг/кмоль - молярные массы диоксида серы, кислорода , триоксида серы и азота соответственно.

Сравнивая конечные и начальные суммарные массовые потоки определяем, что их величины различаются на 1,6 кг/ч, что объясняется округлением величин при расчёте мольных и массовых потоков.

.Рассчитываем состав конечной смеси по формуле (4)

ZK(SO2) = 2380/ 162690= 0,01(O2) = 13090/ 162690= 0,08(SO3) = 14620/ 162690= 0,08

ZK(N2) = 132600 / 162690= 0,81

Сумма объёмных долей компонентов в конечной смеси= 1

Результаты расчёта сведём в таблицу.

Материальный баланс реактора окисления диоксида серы на часовую производительность

Вещество

Исходная смесь

Конечная смесь

Пр-ть, м3


кг

м3

кмоль

доля

кг

м3

кмоль

доля


SO2

48569,6

17000

758,9

0,1

6800

2380

106,25

0,01

O2

29142,4

20400

910,7

0,12

18697,6

13090

584,3

0,08

-7310

SO3

0

0

0

0

52208

14620

652,67

0,08

14620

N2

165748,8

132600

5919,6

0,78

165748,8

132600

5919,6

0,81

0

сумма

243460,8

170000

7589,2

1

243454,4

162690

7262,7

1

-29240



Список литературы:

Учебное пособие. - Барнаул: Изд-во АлтГТУ, 2002. - 178 с.

Милованов Л.В. Очистка и использование сточных вод предприятий цветной металлургии. - М.: Металлургия, 1971. - 384 с.

С.А.Корнев, Н.Р.Гадаев. Сборник вспомогательных материалов для разработки пособия по рекультивации земель. - М., 2005.

Похожие работы на - Технология охраны и воспроизводства природных ресурсов

 

Не нашли материал для своей работы?
Поможем написать уникальную работу
Без плагиата!
Без нейросетей!