Коммерческое и свободно распространяемое корпоративное программное обеспечение: структура, направленность, специфика, тенденции развития

  • Вид работы:
    Контрольная работа
  • Предмет:
    Менеджмент
  • Язык:
    Русский
    ,
    Формат файла:
    MS Word
    169,32 Кб
  • Опубликовано:
    2013-11-16
Вы можете узнать стоимость помощи в написании студенческой работы.
Помощь в написании работы, которую точно примут!

Коммерческое и свободно распространяемое корпоративное программное обеспечение: структура, направленность, специфика, тенденции развития

Министерство образования и науки Российской Федерации

ФГАОУ ВПО «УрФУ имени первого Президента России Б.Н. Ельцина»

Факультет дистанционного образования

Кафедра экономики и организации предприятий машиностроения







ДОМАШНЯЯ РАБОТА

ПО ДИСЦИПЛИНЕ «ОПЕРАТИВНОЕ УПРАВЛЕНИЕ ПРОИЗВОДСТВОМ»

КОММЕРЧЕСКОЕ И СВОБОДНО РАСПРОСТРАНЯЕМОЕ КОРПОРАТИВНОЕ ПРОГРАММНОЕ ОБЕСПЕЧЕНИЕ: СТРУКТУРА, НАПРАВЛЕННОСТЬ, СПЕЦИФИКА, ТЕНДЕНЦИИ РАЗВИТИЯ



Преподаватель:

А. С. Липатников

Студент гр. МЗ600311с

О.И. Загитова



Невьянск 2013

ВВЕДЕНИЕ

Для принятия эффективных управленческих решений в условиях развития рыночной экономики предприятию требуется система информационного обеспечения, объективно отражающая сложившуюся экономическую ситуацию.

Информационное обеспечение управления - это связь информации с системами управления предприятием и управленческим процессом в целом. В современных условиях важной областью стало информационное обеспечение, которое состоит в сборе и переработке информации, необходимой для принятия обоснованных управленческих решений. Передача информации о положении и деятельности фирмы на высший уровень управления и взаимный обмен информацией между всеми взаимосвязанными подразделениями фирмы осуществляются на базе современной электронно-вычислительной техники и других технических средств связи. Для выполнения всего этого предприятию требуется программное обеспечение, которое обеспечивало бы бесперебойную работу всех подразделений.

Наметившийся в России переход к рыночной экономике требует новых подходов к управлению: на первый план выходят экономические, рыночные критерии эффективности, повышаются требования к гибкости. Научно-технический прогресс и динамика внешней среды заставляют современные предприятия превращаться во все более сложные системы, для которых необходимы новые методы для обеспечения управляемости. Поэтому можно утверждать, что эффективная деятельность современного предприятия возможна только при наличии единой корпоративной (комплексной) системы, объединяющей управление финансами, персоналом, снабжением, сбытом и процесс управления производством. Такие системы стали рассматриваться как средство достижения основных целей бизнеса - улучшения качества выпускаемых товаров и услуг, увеличения объема производства, занятия устойчивых позиций на рынке и победы в конкурентной борьбе. Требования, предъявляемые к корпоративной информационной системе, не зависят от формы собственности и сферы деятельности предприятия, а её программные модули должны соответствовать бизнес-процессам, функции автоматизированных рабочих мест - должностным обязанностям сотрудников.

Информация нужна всем: управляющим структурам, коллективам предприятий, общественным организациям, всем работающим. Невозможно опираться только на интуицию, на свой жизненный и практический опыт, необходимо получать и осваивать все расширяющуюся информацию, помогающую решать возникающие вопросы. Обработка информации выступает сегодня как один из первостепенных ресурсов, значение которого не меньше, чем значение материальных, сырьевых и других ресурсов. Кстати, использование последних в значительной степени зависит именно от состояния и использования информации. В отличие от большинства ресурсов, которые способны истощаться, информационный потенциал может использоваться многократно как коллективами, так и индивидуальными работниками. При этом он постоянно увеличивается и обогащается.

Выбранная мною тема работы является актуальной на сегодняшний день, так как хорошее программное обеспечение фирмы - это не только залог успеха и конкурентоспособности предприятия, но и порой выступает как средство выживания в условиях конкуренции. Повышение требований мобильности управления, географическая и диверсификационная глобализация сбыта и поставок, значительное увеличение количества и роли заказных производств, резкое увеличение интереса к управлению издержками на фоне роста конкуренции, необходимость решения задач сбыта и логистики мелкими и средними производителями привели к существенному росту роли использования информационных ресурсов в управлении и планировании деятельности.

Данная работа состоит из введения, основной части, практической части (решение предложенных задач), заключения и списка использованных источников.

1. КОММЕРЧЕСКОЕ И СВОБОДНО РАСПРОСТРАНЯЕМОЕ КОРПОРАТИВНОЕ ПРОГРАММНОЕ ОБЕСПЕЧЕНИЕ. СТРУКТУРА, НАПРАВЛЕННОСТЬ, СПЕЦИФИКА, ТЕНДЕНЦИИ РАЗВИТИЯ

корпоративный программный свободный коммерческий

Установившееся в практике управления производством понятие «оперативное управление» имеет отношение к завершающей стадии этого процесса. Оперативное управление производством характеризуется принятием управленческим персоналом решений в реально складывающейся или сложившейся производственной ситуации.

В этих условиях разработанные плановые здания или решения руководителей производственных подразделений должны обеспечить строгий и четкий во времени порядок выполнения запланированных работ. На межцеховом уровне оперативное управление осуществляется для решения принципиальных вопросов снятия, замены запущенных в производство изделий, включения в программу выпуска новых изделий, обеспечения внешних поставок комплектующих изделий, использования внутренних материальных, трудовых и финансовых ресурсов.

Для оперативного управления производством в цехах характерна строгая регламентация выполнения работ во времени по каждой позиции производственной программы и номенклатурно-календарного плана в зависимости от фактически складывающейся производственной ситуации. Работы по оперативному управлению производством выполняются в реальном масштабе времени, не допускающем перерывов в процессе изготовления деталей и сборки изделий.

В настоящее время процедуры оперативного управления все больше переплетаются с технологией и регулированием (диспетчеризацией) производства. Повседневно выполняемые управленческим персоналом функции по оперативному учету, контролю и анализу хода производства являются основой для выработки вариантов регулирующих воздействий на ход производства.

Таким образом, оперативное управление производством осуществляется на основе непрерывного (повседневного) слежения за ходом производства, оказывая целенаправленное воздействие на коллективы цехов, участков (бригад), рабочих для обеспечения безусловного выполнения утвержденных производственных программ.

Это достигается:

строгим распределением работ на короткие периоды времени (декада, неделя, сутки, смена) в цехах, на производственных участках (бригадах) -- в подетальном и узловом разрезах, а для рабочих мест в подетально-пооперационном виде;

четкой организацией сбора и обработки информации о ходе производства;

комплексным использованием средств вычислительной техники для подготовки вариантов управленческих решений;

повседневным анализом и владением управленческим персоналом производственной ситуацией в каждом звене предприятия;

своевременным принятием решений и организацией работы по предупреждению нарушений в ходе производства или для быстрого его восстановления в случае отклонений от запланированной траектории управления.

В настоящее время увеличение используемых предприятиями персональных электронно-вычислительных машин и широкого спектра программ, предлагаемых на рынке программных продуктов, создало предпосылки улучшения процесса организации информационного обеспечения планирования предприятия. Решающую роль здесь играет правильный выбор программного обеспечения.

На предприятии используется программное обеспечение для различных целей. Основное, имеющееся почти на всех предприятиях программное обеспечение и цели его использования приведены в таблице 1.

Таблица 1. Программное обеспечение для разных целей

Цель использования

Категория

Имеющийся образец ПО

Текстовой процессор

Вводит, запоминает, редактирует, переставляет, стирает, формирует и печатает (заменяет машинопись)

Word Star, Easy Writer Word Master

Широкие электронные таблицы

Позволяют пользователю разрабатывать большие финансовые рабочие ведомости, рассматривать вопросы типа “что, если”

VisiCals, Multiplan Exсel

Управление базой данных

Содержит списки наименований, счетов, предметов хранения, и т.д. Сортирует в любой последовательности имеющуюся информацию

dBASE, Paradox Oracle, Informic

Составление графиков

Представляет цифровую информацию в виде линейных графиков, секторных диаграмм и специальных графиков

Auto-Graph Masterplot Graph&Calc

Бухгалтерский учет

С помощью электроники ведет финансовый учет, например, счетов дебиторов, амортизации, налогов, заработной платы и т.д.

Accounting General Leader

Управление запасами

Прослеживает уровни запасов, их размещение, издержки, объем продаж, доходы, окупаемость и резервы

INFOTORY The Store Manager

Коммуникации

Передает и принимает информацию из других компьютеров, коммерческих баз данных и электронной почты

Data Link Visi Term Data Comp

Управление проектами

Разрабатывает календарные планы, координирует ресурсы и контролирует программы

Estimacs Job Cost PERT


После того, как программы были признаны объектом авторского права (в том числе, исключительных имущественных прав) - в семидесятых-девяностых годов XX века оформились два подхода к реализации этих прав, следование которым кардинальным образом влияет на организационную модель разработки (и, как следствие, на качество и технические параметры программ) и на структуру издержек на разных шагах жизненного цикла ПО (и, как следствие, на модель рынка). В настоящее время различают свободное программное обеспечение и коммерческое распространяемое программное обеспечение.

Свободное программное обеспечение - это модель, при которой базовый набор имущественных прав передается («лицензируется») владельцу каждого экземпляра произведения. Таким образом, создание и ввод в хозяйственный и гражданский оборот как дополнительных экземпляров произведения, так и экземпляров модифицированного произведения, или составного произведения, включающего оригинальное, возможны без получения дополнительного согласия автора (или иного правообладателя), обязательных денежных отчислений или т.п.

Свободное программное обеспечение формирует публичный рынок, любая услуга на котором (будь то копирование, размножение, модификация (исправление ошибки, добавление функциональности и т.п.) может продаваться и покупаться на конкурентном рынке свободной контрактацией двух сторон - поставщика и приобретателя услуги, без апелляции к третьей стороне (автору или иному правообладателю произведения).

Технологически возможность оказания таких услуг обеспечивается доступностью исходного кода программ (для многих программ отличающегося от исполняемого). Юридически свобода программного обеспечения обеспечивается передачей с каждым экземпляром программы авторского договора («свободной лицензии»), вступающего в силу при совершении конкретных действий.

Следует заметить, что для континентальной системы права (каковой, в своей основе, является и российская) некоторые аспекты свободы программного обеспечения являются избыточными (например, часто упоминаемая «свобода пользоваться программой в любых целях»), поскольку рынок ПО является глобальным, и ограничение свободы тех или иных программ отдельными юрисдикциями, вытекающее из исключения из лицензий «избыточных» прав, повлекло бы за собой ограничение пользовательского и разработческого контингента.

Интересной особенностью свободного программного обеспечения является относительная легкость, с которой при свободном лицензировании вовлекаются в оборот (хозяйственный и коммерческий) программы, изначально созданные вне контрактных рамок (коммерческими организациями для собственных нужд, индивидуумами для собственного удовольствия, университетами в качестве «побочного продукта» исследований и т.д.).

Свободные программы получили широкое распространение в сфере профессионального использования - это, прежде всего, инструментальные средства (программы, используемые в самом процессе программного обеспечения, включая написание, отладку, модификацию программ), затем серверные программы и, особенно, как частный случай последних, сетевые (Интернет) сервисы, в которых свободные ОС (такие, как ГНУ/Линукс и FreeBSD) и прикладные программы (такие, как Web-сервер Apache или почтовая программа Postfix) сегодня лидируют с большим отрывом. Сети Интернет, разворачивание и развитие которых стало возможным прежде всего благодаря свободному программному обеспечению, сами выступают мощнейшим инструментом снижения издержек коммуникации и координации разработок.

Несвободное программное обеспечение. Альтернативой свободному программному обеспечению является несвободное или коммерческое, при котором автор (или иной правообладатель) удерживает ряд прав за собой. Типичная модель несвободного лицензирования предусматривает обязательные отчисления (в форме приобретения дополнительных экземпляров или «лицензий» на их изготовление) за ввод в оборот дополнительных экземпляров.

Поскольку компания осуществляет не только маркетинг своих продуктов и услуг, но и управление процессом их создания или оказания, многие компании называют себя «производителями» программ, хотя программирование, конечно, не становится от этого процессом промышленного производства, а остается творческой деятельностью отдельных личностей, пусть и объединенных в коллектив.

Несвободная модель позволяет частным образом монополизировать рынок услуг программного обеспечения по отношению к каждой программе или системе (хотя конкуренция между различными «частными рынками» теоретически ограничивает эти локальные монополии, и на практике случаи устойчивых конкурентных сегментов имеют место быть).

Несвободные программы получили широкое распространение в сегментах домашнего и «офисного» использования (например, более 90% персональных компьютеров сегодня работает под полностью (как MS-DOS, Microsoft Windows, Microsoft Windows NT, MacOS 9) или частично (как MacOS X) несвободными ОС; близка к этой цифре и доля несвободных прикладных программ для ПК).

С ростом и развитием отрасли информационно-компьютерных технологий значительное развитие получил феномен массового коммерческого программного обеспечения. Коммерческое программное обеспечение - это программное обеспечение, выполняемое, как правило, в рамках соответствующей профессиональной деятельности и специализации бизнеса:

на заказ конкретного конечного пользователя;

с расчетом на заранее не определенный круг конечных пользователей.

Коммерческое программное обеспечение отличается от так называемой «домашней» разработки программ (разработки силой самой организации конечного пользователя).

Одним из негативных следствий несвободы ПО является феномен так называемого «пиратского» продвижения тех или иных программ. «Пиратство» связано с:

) установлением заведомо завышенного (для рынка в целом) тарифа на те или иные товары;

) влекомым таким завышением массовым контрафактным использованием (включая нелицензионное промышленное тиражирование) программ;

) извлечением доходов путем:

.1) «юридического предпринимательства» (преследования нарушителей исключительных имущественных прав (а зачастую и добросовестных конечных пользователей) в судах или административным порядком),

.2) построения бизнеса на «легализации» контрафактно введенных в оборот экземпляров программ.

«Пиратство», неотъемлемо связанное с феноменом несвободного ПО, является одним из серьезнейших разрушительных факторов функционирования рынка ПО в целом.

Доля некоммерческого программного обеспечения постоянно снижается и все более ограничивается программами, создаваемыми в процессе научных исследований или для собственного удовольствия.

При разработке коммерческих программ основной задачей фирм-разработчиков является, естественно, обеспечение их успеха на рынке. Для этого необходимо, чтобы программы обладали следующими качествами:

функциональность программы, т.е. полнота удовлетворения ею потребностей пользователя;

наглядный, удобный, интуитивно понятный и привычный пользователю интерфейс (т.е. способ взаимодействия программы с пользователем);

простота освоения программы даже начинающими пользователями, для чего используются информативные подсказки, встроенные справочники и подробная документация;

надежность программы, т.е. устойчивость ее к ошибкам пользователя,

отказам оборудования и т.д., и разумные ее действия в этих ситуациях.

Программное обеспечение, как и большинство сфер массовой деятельности, имеет реальную экономическую основу - рынок услуг и рынок рабочей силы. Фиктивный рынок «прав интеллектуальной собственности» - несвободных лицензий - играет роль «зеркала» рынков реальных, но отражает их с весьма существенными искажениями.

Создание программного обеспечения в последнее время превратилось в важную и мощную сферу промышленности. Его развитие предназначено для широкого круга пользователей, происходит в процессе конкурентной борьбы между фирмами-производителями. При разработке программ, основной задачей фирм-разработчиков является обеспечение их успеха на рынке.

Совместная работа многих производителей программного обеспечения должна вести к стандартизации отдельных элементов интерфейса программ, форматов данных и т.д., что удобно для пользователей. Это реально происходит, т.к. разработчики программ перенимают друг у друга удачные находки и приемы и стремятся обеспечить совместимость с другими наиболее популярными программами. В результате использование ниспадающих меню или вид таблицы в табличном процессоре приблизительно одинаковы во всех программах, хотя и созданы различными разработчиками. Удобство пользовательского интерфейса программ является важнейшим фактором, определяющим их приемлемость для пользователей, а значит, и успеха на рынке. Большинство выпускаемых на рынок программ используют достаточно стандартные методы организации интерфейса; ниспадающие меню; панели для выбора, ответа; встроенные диалоговые справочники и т.п. Все большее количество программ используют графический пользовательский интерфейс, в котором, для упрощения работы пользователя, вместо надписей на экране используются рисунки.

Преобладающими в развитии программного обеспечения являются следующие тенденции:

.Объединение противоречивых свойств, таких как универсализация и специализация. Такой подход позволяет разработчикам удовлетворить потребности большого количества потребителей. Упрощение работы пользователя достигается за счет ужесточения требований к ресурсам ПЭВМ. Интерфейс пользователя обеспечивается аппаратурными и программными средствами и основан на следующих принципах: Общий интерфейс пользователя определяет: стандартный путь подачи команд компьютеру, одинаковую структуру приложений и инструментарий (выпадающее меню, система подсказок и пр.). Он принят на вооружение компьютерными гигантами Apple, Microsoft и IBM.

. Наличие битовой карты, высокая разрешающая способность, цветной дисплей. Каждый объект, отображаемый на экране, имеет, по крайней мере, два представления: внутреннее и внешнее. Внутреннее представление (не видимое) основано на некоторой модели мира, а внешнее (видимое) выводится на экран и состоит из пикселей. Это пассивное изображение называют битовой картой, так как оно создано из отдельных битов. What You See Is What You Get (WYSIWYG) - что видишь (на экране), то и получаешь (при печати на бумаге). Прямая манипуляция. Пользователь должен манипулировать «созданным миром» без посредника (прямая манипуляция), не задумываясь о проблемах манипуляции. Например, вставляемая в текст картинка должна ложиться именно в то место, которое для нее определено пользователем. При этом текст должен подвинуться без искажений. Все это уже реализовано, в частности, графический интерфейс пользователя интуитивно понятен.

В планах Microsoft и IBM В исследовательской лаборатории Microsoft, разрабатывающей программные решения, которые появятся только через несколько лет, ведётся работа над проектом операционных систем будущего, таких как Farsite. Возможно, что идеи, разрабатывающиеся в Microsoft сегодня, будут внедрены в операционных системах будущего. Основные характеристики Farsite как операционной системы - это устойчивость к сбоям, самонастраиваемость и безопасность. Реализацию своих идей на практике специалисты Microsoft видят так: несколько компьютеров, объединенных в сеть, совместно предоставляющих ресурсы пользователям, но работающих без центрального сервера управления. Система обеспечивает должную безопасность данных благодаря резервному копированию и технологии защиты от взломщиков. Даже если хакер получит контроль над одним из компьютеров кластера, он не сможет контролировать всю сеть. Конечная цепь проекта Farsite - это создание кластера из 100 тысяч компьютеров, с общим объемом дисковой памяти в 10 терабайт (10 тысяч гигабайт). В то же время, компания IBM работает над расширением возможностей существующих операционных систем. В настоящий момент в исследовательском центре IBM ведется работа по расширению возможностей операционной системы Linux для управления компьютером с 65 тысячами процессоров. Такая система будет управлять суперкомпьютером Blue Gene с заявленной производительностью в 1 квадриллион операций с плавающей точкой в секунду. Исследование IBM направлено на создание «самооптимизирующейся, самонастраиваемой, самовосстанавливающейся» системы, сходной по устройству с автономной нервной системой человека. Главной чертой операционной системы будущего в IBM считают ориентацию на решение конкретных задач.

Все эти достижения в области программного обеспечения глобальным образом расширят возможности в оперативном управлении производством на всех его уровнях.

2. ПРАКТИЧЕСКАЯ ЧАСТЬ

Задача №1

Определить программу запуска и загрузку комплектов формовочных машин (формовка верхней и нижней опок), если программа выпуска по литейному цеху составляет 13 000 шт. в месяц, брак по литейному цеху составляет 1,5%, норма штучного времени 2,13 мин.; время, необходимое на подналадку, составляет 10%; потери времени на ремонт оборудования 6,5%; коэффициент выполнения норм 1,2. Цех работает в 2 смены, 21 рабочий день в месяц.

Решение:

1.   Определим номинальный фонд работы формовочных машин в литейном цехе:

21 день x 2 смены x 8 часов = 336 часов в месяц

. Определим действительный фонд работы машин:

Он будет равен номинальному фонду за минусом простоя в ремонте:

- 336*6,5% = 314 часов

.Определим программу выпуска с учетом брака :

+ 13000*1,5% = 13195 штук

.Определим штучное время с учетом подналадки:

,13 мин * 1,1 = 2,343 мин

.Определим программу запуска формовочных машин (количество машин в литейном цехе):

 

Количество машин = Выпуск * время шт.

Фонд дейст * 60 * к-т выпол норм

Количество машин = 13195*2,343 / (314 * 60 * 1,2) = 1,37 или 2 машины

6. Коэффициент загрузки машин будет равен

,37 / 2 = 68%

Ответ: в литейном цехе должно быть установлено 2 формовочные машины; загрузка их составит 68%.

Задача №2

Определить сменность работы оборудования участка обработки тракторной шестерни карданного вала при следующих условиях: квартальная программа запуска 38 500шт., планируемые потери времени в работе оборудования 5%.

Парк оборудования на участке и нормы штучного времени следующие:

№ операции

1

2

3

4

5

6

Число станков

4

2

2

2

2

5

Норма штучного времени, мин

5,3

2,2

2,4

3,2

7,0


Решение:

1.   Определим фактический такт обработки тракторной шестерни карданного вала:

№ операции

Длительность обработки

Количество станков

Фактический такт

1

5,3

4

1,325

2

2,2

2

1,1

3

3

2

1,5

4

2,4

2

1,2

5

3,2

2

1,6

6

7

5

1,4


Самый длительный такт на 5 операции и равен 1,6 мин.

2.   Фактический такт с учетом потерь времени будет равен:

1,6 + 5% = 1,68 мин.

. Количество станков на участке - 17 единиц

.Примем, что участок работает 21 смену в месяц и смена продолжается 8 часов. Тогда сменность работы оборудования будет равна:

Сменность работы оборудования = Такт * выпуск в квартал

Продол-ть смены * 60 * кол-во раб

дней в м-ц * кол-во месяцев в

квартал

1,68*38500 / (8*60*21*3) = 64680/30240 = 2,1

или коэффициент сменности равен 2.

Ответ: участок должен работать в 2 смены.

Задача №3

Рассматривается изготовление партий деталей при различных видах движения предметов труда. Исходные данные представлены в таблице:

Параметр

значение

Длительность операции №1, мин

1

Длительность операции №2, мин

2

Длительность операции №3, мин

0,5

Длительность операции №4, мин

2

Длительность операции №5, мин

1

Партия загрузки, шт.

45

Транспортная партия, шт.

9

Межоперационное пролеживание, мин на операцию

3

Время естественных процессов, мин

60


Определить:

1.      Продолжительность технологического и производственного циклов при последовательном, параллельном и последовательно-параллельном видах движения предметов труда.

2.      Построить графики технологических циклов при всех видах движения.

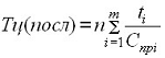
1. Продолжительность технологического цикла обработки партии деталей при последовательном виде движения (в мин.) определяется по формуле:

,

где n - число деталей в обрабатываемой партии, в шт.;- штучное время (продолжительность обработки) на i-той операции, мин.;прi - число рабочих мест, на которых ведется обработка деталей на i-той операции;- число операций в технологическом процессе (число выполняемых операций при обработке данных деталей).

Примем число мест равным 1.

Длительность технологического цикла при последовательной обработке:

(1 + 2 + 0,5 +2 + 1) = 45*6,5 = 292,5 мин.

. Расчет длительности технологического цикла при параллельном виде движения партии деталей:

,

где - tmax - операция с наибольшей продолжительностью;

С пр - число рабочих мест на операции с наибольшей продолжительностью.

Отсюда длительность технологического цикла при параллельной обработке:

(45 - 9) * 2 + 9 * 6,5 = 72 + 58,5 = 130,5 мин

3.Продолжительность технологического цикла при параллельно-последовательном виде движения партий деталей определяется по формуле:

,

где p - размер транспортной партии (шт.), которой передаются детали с предыдущей операции на последующую;крi - штучное время операции с наименьшим временем выполнения, т.е. кратчайшей операции из каждой пары смежных операций (первой и второй операции, второй и третьей и т.д.);

Спрi - число рабочих мест на кратчайшей i-той операции tкрi.

Отсюда длительность технологического цикла при последовательно - параллельной обработке:

* 6,5 - (45-9) * 0,5 = 292,5 - 18 = 274,5 мин.

.В продолжительность производственного необходимо включить время межоперационного пролеживания и время естественных процессов. Продолжительность производственного цикла при последовательном, параллельном и последовательно-параллельном видах движения предметов труда составит соответственно:

,5 + 60 + 3*5 = 367,5 мин

,5 + 60 + 15 = 205,5 мин

,5 + 60 +15 = 349,5 мин.

. Графики технологических циклов при всех видах движения.

Длительность цикла

Рис.2.1 Длительность цикла при последовательном виде движения

Рис.2.2 Длительность цикла при параллельном виде движения

Рис.2.3 Длительность цикла при последовательно - параллельном виде движения

ЗАКЛЮЧЕНИЕ

В данной работе мною рассмотрен вопрос роли программного обеспечения при оперативном управлении предприятием. Даны характеристики коммерческого и свободно распространяемого корпоративного программного обеспечения. Кроме того указаны тенденции дальнейшего развития программного обеспечения в целом.

В практической части работы мною решены три задачи по определению длительности технологического и производственного циклов при разных видах движения предметов труда, по определению сменности, загрузки оборудования в различных цехах.

Похожие работы на - Коммерческое и свободно распространяемое корпоративное программное обеспечение: структура, направленность, специфика, тенденции развития

 

Не нашли материал для своей работы?
Поможем написать уникальную работу
Без плагиата!
Без нейросетей!