Анализ эффективности использования оборотного капитала в ООО Агрофирма 'Разгуляй'
Введение
Оборотный капитал являются
одной из составных частей имущества предприятия. Состояние и эффективность их
использования - одно из главных условий успешной его деятельности. Развитие
рыночных отношений определяет новые условия их организации. Высокая инфляция,
неплатежи и другие кризисные явления вынуждают предприятия изменять свою
политику по отношению к оборотным активам, искать новые источники пополнения,
изучать проблему эффективности их использования.
В системе мероприятий по
повышению эффективности общественного производства важное место занимают
вопросы рационального использования оборотных средств во всех сферах
деятельности человека, особенно в промышленности.
Назначением анализа
бухгалтерской (финансовой) отчетности с позиции пользователя является
рассмотрение и оценка информации, имеющейся в отчетности, для того, чтобы
получить достоверные выводы о прошлом состоянии предприятия с целью предвидения
его жизнеспособности в будущем.
В результате анализа
бухгалтерской (финансовой) отчетности определяются также важнейшие
характеристики предприятия, которые свидетельствуют, в частности, о его успехе
или угрозе банкротства.
Для разных пользователей анализ
бухгалтерской (финансовой) отчетности с точки зрения масштаба его проведения
зависит от конкретно поставленной цели. В то же время характер анализа и
направления работы при анализе бухгалтерской (финансовой) отчетности могут быть
разными.
Проведение анализа оборотного
каптала является наиболее важным направлением анализа бухгалтерской отчётности,
так как по изменению динамики и структуры оборотных активов определяется
платёжеспособность предприятия, его производственные возможности,
востребованность данного предприятия на рынке.
Оборачиваемость оборотного
капитала является одним из важнейших показателей, характеризующих интенсивность
использования оборотных средств предприятия и его деловую активность. От того
насколько быстро средства, вложенные в оборотные активы, превращаются в
реальные деньги, непосредственно зависит финансовое состояние организации. Так,
рост неплатежей затрудняет ритмичность деятельности организации и ведет к
увеличению дебиторской задолженности; излишнее отвлечение средств в
производственные запасы, незавершенное производство, готовую продукцию приводит
к «омертвлению» ресурсов и неэффективному использованию оборотных средств.
Целью написания курсовой работы
является проведение анализа оборотных активов ООО Агрофирмы «Разгуляй» и
выработка рекомендаций по их оптимизации, определение уровня эффективности
использования предприятием оборотных активов, имеющихся в его распоряжении.
В задачи курсовой работы
входит:
изучение теоретических и
организационных основ оборачиваемости оборотного капитала;
изучение методологических основ
и подходов к анализу оборачиваемости оборотного капитала;
непосредственно анализ
оборотного капитала исследуемой организации с выводами о его результатах и
рекомендациями по оптимизации.
В первой главе данной курсовой
работы освещаются теоретические и организационные аспекты оборачиваемости
оборотного капитала. Дано понятие оборотного капитала, его состав и
классификация, методика анализа эффективности использования оборотного
капитала.
Во второй главе рассмотрена
общая характеристика рассматриваемого предприятия и проанализированы основные
показатели финансово-хозяйственной деятельности, проведен анализ состояния и
эффективности использования оборотного капитала.
Третья глава содержит расчеты
мероприятий по повышению эффективности использования оборотного капитала.
Объектом анализа курсовой
работы стало ООО Агрофирма «Разгуляй».
Информационная база при
написании курсовой работы состоит из Постановлений правительства РФ,
Федеральных законов. Инструкций государственной службы РФ, литературы
экономистов - теоретиков, статей периодической печати, а так же данных годовых
отчетов и учетной политики анализируемого предприятия.
Глава 1.
Теоретические и организационные основы оборачиваемости оборотного капитала
.1 Понятие, состав
и классификация оборотного капитала
Любая коммерческая организация,
ведущая производственную или иную коммерческую деятельность должна обладать
реальным, т.е. функциональным имуществом или активным капиталом в виде
основного или оборотного капитала.
Оборотные активы (в практике
стран с рыночной экономикой их называют оборотным капиталом) являются важнейшим
ресурсом в обеспечении текущего функционирования предприятия. Оборотные
средства - это денежные средства или другие активы, которые могут быть обращены
в деньги в течение одного производственного цикла.
Оборотные средства являются
составной частью имущества предприятия. Состояние и эффективность их
использования - одно из основных условий успешной деятельности предприятия.
Оборотные средства - это часть
средств производства, целиком потребляемая в течение производственного цикла
включают обычно материалы, сырье, топливо, энергию полуфабрикаты, запчасти,
незавершенное производство, расходы будущих периодов, исчисленные в денежном
выражении. Стоимость оборотных средств определяется суммированием стоимостей их
отдельных видов».
Оборотные активы - это наиболее
подвижная часть капитала предприятия, которая в отличие от основного капитала
является более текучей и легко трансформируемой в денежные средства. К
оборотном активам принято относить денежную наличность, легко реализуемые
ценные бумаги материально-производственные запасы, нереализуемую готовую
продукцию, краткосрочную задолженность других предприятий данному предприятию.
Оборотный капитал иногда именуют оборотным фондом предприятия. С точки зрения
бухгалтерского баланса оборотный капитал представляет собой превышение текущих
активов компании над ее краткосрочными обязательствами.
Характерной особенностью
оборотных средств является скорость их оборота. Функциональная роль оборотных
средств в процессе производства в корне отличается от основного капитала.
Оборотные средства обеспечивают непрерывность процесса производства.
Кругооборот капитала охватывает
три стадии: заготовительную, производственную и сбытовую.
Любой бизнес начинается с
некоторой суммы наличных денег, которые развертываются в определенное
количество ресурсов для производства.
Элементы оборотного капитала
являются частью непрерывного потока хозяйственных операций. Покупка приводит к
увеличению производственных запасов и кредиторской задолженности; производство
ведет к росту готовой продукции; реализация ведет к росту дебиторской
задолженности и денежных средств в кассе и на расчетном счете. Этот цикл
операций многократно повторяется и в итоге сводится к денежным поступлениям и
денежным платежам.
Элементы оборотного капитала
непрерывно переходят из сферы производства в сферу обращения и вновь
возвращаются в производство. Часть оборотного капитала постоянно находится в
сфере производства (производственные запасы, незавершенное производство,
готовая продукция на складе и т.д.), а другая часть - в сфере обращения
(отгруженная продукция, денежные средства, ценные бумаги и т. д.).
В практике планирования, учета
и анализа оборотный капитал группируется по следующим признакам:
) в зависимости от
функциональной роли в процессе производства - оборотные производственные фонды
и фонды обращения;
) в зависимости от практики
контроля, планирования и управления - нормируемые и ненормируемые оборотные
средства;
) в зависимости от источников
формирования оборотного капитала - собственный и заемный оборотный капитал;
) в зависимости от ликвидности
- абсолютно ликвидные средства, быстрореализуемые средства, медленно
реализуемые средства;
) в зависимости от степени
риска вложения капитала - оборотный капитал с минимальным, малым, средним,
высоким риском вложений;
) в зависимости от стандартов
учета и отражения в балансе фирмы - оборотные средства в запасах, денежные
средства, расчеты и прочие активы;
) в зависимости от
материально-вещественного содержания - предметы труда, готовая продукция и
товары, денежные средства и средства в расчетах.
Источники формирования
оборотного капитала. Вопрос об источниках формирования оборотного капитала
очень важен. Конъюнктура рынка постоянно меняется, поэтому потребности фирмы в
оборотных средствах не стабильны. Покрыть эти потребности только за счет
собственных источников становится практически невозможно. Привлекательность
работы за счет собственных источников уходит на второй план. Опыт показывает,
что в большинстве случаев эффективность использования заемных средств оказывается
более высокой, чем собственных.
Структура источников
формирования оборотного капитала охватывает:
собственные источники;
заемные источники;
дополнительно привлеченные
источники.
Как правило, минимальная
потребность фирмы в оборотном капитале покрывается за счет собственных
источников: прибыли, уставного капитала, резервного капитала, фонда накопления
и целевого финансирования. Однако в силу ряда причин у фирмы возникают
временные дополнительные потребности в оборотном капитале. В этом случае финансовое
обеспечение сопровождается привлечением заемных источников: банковских и
коммерческих кредитов, займов, инвестиционного вклада работников фирмы,
облигационных займов.
Механизм формирования и
использования оборотного капитала оказывает активное влияние на ход
производства и выполнение текущих производственных и финансовых планов.
Оборотные средства должны
обеспечивать непрерывность процесса производства. Поэтому состав и размер
потребности фирмы в оборотных средствах определяется не только потребностями производства,
но и потребностями обращения. Для этого необходимо вести точный расчет
потребности фирмы в оборотном капитале из расчета времени пребывания оборотных
средств в сфере производства и в сфере обращения.
В основе управления оборотным
капиталом лежит определение оптимального объема и структуры текущих активов,
источников их покрытия и соотношения между ними, обеспечивающих стабильную и
эффективную деятельность предприятия.
Целевой установкой управления
оборотным капиталом является определение объема и структуры оборотного
капитала, источников их покрытия и соотношения между ними, достаточного для
обеспечения долгосрочной производственной и эффективной финансовой деятельности
предприятия.
Большое влияние на состояние
оборотных активов оказывает их оборачиваемость. От этого зависит не только
размер минимально необходимых для хозяйственной деятельности оборотных средств,
но и размер затрат, связанных с владением и хранением запасов. Это отражается
на себестоимости продукции и соответственно на финансовых результатах
предприятия.
Интенсивность использования в
обороте капитала измеряется либо его оборачиваемостью, то есть числом оборотов
за отчетный период, либо его нагрузкой, то есть выпуском и продажей продукции,
приходящейся на единицу капитала. В связи с этим большое значение приобретает
расчет оборачиваемости средств, вложенных в материальные запасы. Также
необходимо проанализировать, насколько интенсивно используется вся сумма
капиталов, авансированных в предприятие в сопоставлении с общим оборотом по продажам.
Эти величины рассчитываются в
виде относительных показателей. Однако показателям оборачиваемости оборотных
средств свойственно и присвоение натуральных измерителей. Их можно измерить
числом оборотов за определенный период времени или продолжительностью одного
оборота. И это объяснимо, так как по окончании срока оборота вся сумма
участвовавших в нем средств возвращается предприятию.
1.2 Методика
анализа состояния и эффективности использования оборотного капитала
Вложение капитала должно быть
эффективным. Под эффективностью использования капитала понимается величина
прибыли, приходящаяся на один рубль вложенного капитала. Эффективность капитала
- комплексное понятие, включающее в себя использование оборотных средств,
основных фондов, нематериальных активов. Поэтому анализ эффективности капитала
проводится по отдельным частям его, затем делается сводный анализ.
Эффективность использования
оборотных средств характеризуется, прежде всего, их оборачиваемостью, под
которой понимается продолжительность прохождения средствами отдельных стадий
производства и обращения. Время, в течение которого оборотные средства
находятся в обороте, т.е. последовательно переходят из одной стадии в другую,
составляет период оборота оборотных средств. Оборачиваемость оборотных средств
исчисляется продолжительностью одного оборота в днях (оборачиваемость оборотных
средств в днях) или количеством оборотов за отчетный период (коэффициент
оборачиваемости). Продолжительность одного оборота в днях представляет собой
отношение суммы среднего остатка оборотных средств к сумме однодневной выручки
за анализируемый период:
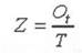
(1)
где, Z
- оборачиваемость оборотных средств, дни;
О - средний остаток оборотных
средств, руб.;
t
- число дней анализируемого периода (90, 360);
Т - выручка от реализации
продукции за анализируемый период, руб.
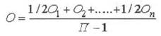
Средний остаток оборотных
средств определяется как средняя хронологического моментного ряда, исчисляемая
по совокупности значения показателя в разные моменты времени:
(2)
где, О1; О2; On
- остаток оборотных средств на первое число каждого месяца, руб.;
П - число месяцев.
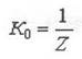
Коэффициент оборачиваемости
средств характеризует размер объема выручки от реализации в расчете на один
рубль оборотных средств. Он определяется как отношение суммы выручки от
реализации продукции к среднему остатку оборотных средств по формуле:
(3)
Ко - коэффициент
оборачиваемости, обороты;
Т - выручка от реализации
продукции за анализируемый период, руб.; О - средний остаток оборотных средств,
руб.
Коэффициент оборачиваемости
средств - это их фондоотдача. Рост его свидетельствует о более эффективном
использовании оборотных средств.
Коэффициент оборачиваемости
одновременно показывает число оборотов оборотных средств за анализируемый
период и может быть рассчитан делением количества дней анализируемого периода на
продолжительность одного оборота в днях (оборачиваемость в днях):
(4)
где, Ко - коэффициент
оборачиваемости, обороты;
- число дней анализируемого
периода (90, 360);
Z
- оборачиваемость оборотных средств в днях.
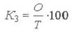
Важным показателем
эффективности использования оборотных средств является также коэффициент
загрузки средств в обороте. Коэффициент загрузки средств в обороте
характеризует сумму оборотных средств, авансируемых на один рубль выручки от
реализации продукции. Иными словами, он представляет собой оборотную
фондоемкость, т.е. затраты оборотных средств (в копейках) для получения I
руб. реализованной продукции (работ, услуг). Коэффициент загрузки средств в
обороте -отношение среднего остатка оборотных средств к сумме выручки от
реализации продукции:
(5)
где, КЗ - коэффициент загрузки
средств в обороте, коп.;
О - средний остаток оборотных
средств, руб.;
Т - выручка от реализации
продукции за анализируемый период, руб.;
- перевод рублей в копейки.
Коэффициент загрузки средств в
обороте (Кд) есть величина, обратная коэффициенту оборачиваемости средств (Кц).
Чем меньше коэффициент загрузки средств, тем эффективнее используются оборотные
средства.
Сравнение коэффициентов
оборачиваемости и загрузки в динамике позволяет выявить тенденции в изменении
этих показателей и определить, насколько рационально и эффективно используются
оборотные средства организации.
Показатели оборачиваемости
могут быть исчислены по всем оборотным средствам и по отдельным их элементам:
производственным запасам, незавершенному производству, готовой (реализованной)
продукции, средствам в расчетах и дебиторской задолженности.
Оборачиваемость рассчитывается
по-разному:
по запасам - как отношение
затрат на производство к среднему объему запасов;
по незавершенному производству
- как отношение поступивших на склад товаров к среднегодовому объему
незавершенного производства;
по готовой продукции - как
отношение отгруженной (реализованной) продукции к среднему количеству готовой
продукции;
по средствам в расчетах - как
отношение выручки от реализации к средней дебиторской задолженности.
Перечисленные показатели дают
возможность провести углубленный анализ использования собственных оборотных
средств; их называют частными показателями оборачиваемости.
Оборачиваемость оборотных
средств может ускоряться и замедляться. При замедлении оборачиваемости в оборот
необходимо вовлекать дополнительные средства. Эффект ускорения оборачиваемости
выражается в сокращении потребности в оборотных средствах в связи с улучшением
их использования, их экономии, что влияет на прирост объемов производства и,
как следствие, - на финансовые результаты. Ускорение оборачиваемости ведет к
высвобождению части оборотных средств (материальных ресурсов, денежных
средств), которые используются либо для нужд производства, либо для накопления
на расчетном счете. В конечном итоге улучшается платежеспособность и финансовое
состояние организации (предприятия).
Высвобождение оборотных средств
в результате ускорения их оборачиваемости может быть абсолютным и
относительным. Абсолютное высвобождение - это прямое уменьшение потребности в
оборотных средствах для выполнения планового объема производства продукции.
Относительное высвобождение оборотных средств происходит в тех случаях, когда
при наличии оборотных средств в пределах плановой потребности обеспечивается
перевыполнение плана производства продукции. При этом темп роста объема
производства опережает темп роста остатков оборотных средств.
Обобщающим показателем эффективности
использования оборотного капитала является показатель его рентабельности (Рок),
рассчитываемый как отношение прибыли от реализации продукции (Прп ) или иного
финансового результата к средней величине оборотного капитала (Сок ):
(6)
Этот показатель характеризует
прибыль, получаемую на каждый рубль оборотного капитала, и отражает финансовую
эффективность работы организации, так как именно оборотный капитал обеспечивает
оборот всех ресурсов.
Ускорение оборота оборотных
средств позволяет высвободить значительные суммы и, таким образом, увеличить
объем производства без дополнительных финансовых ресурсов, а высвободившиеся
средства использовать в соответствии с потребностями предприятия.
Для определения величины относительной
экономии (перерасхода) оборотного капитала может быть использовано два подхода.
При первом подходе эта величина
находится как разница между фактически имевшей место в отчетном периоде
величиной оборотного капитала и его величиной за период, предшествующий
отчетному, приведенному к объемам производства, имевшим место в отчетном
периоде:
Е = El
- Ео * Kn (7)
где, El
- величина оборотных средств предприятия на конец первого года работы;
Ео - величина оборотных средств
предприятия на конец второго года работы;
KN
- коэффициент роста продукции.
В этом выражении Ео - значение
величины оборотного капитала пересчитывается с помощью Kn
-
коэффициента роста продукции. В результате получается значение величины
оборотных средств, которые были бы необходимы предприятию при сохранении
неизменными объемов производства. Полученное значение сопоставляется с
фактическим значением этого показателя в отчетном периоде.
При втором подходе расчета
величины относительной экономии оборотных активов исходят из сравнения оборачиваемости
оборотных средств в различные отчетные периоды.
Эффективность использования
оборотных средств зависит от многих факторов, которые можно разделить на
внешние, оказывающие влияние вне зависимости от интересов предприятия, и
внутренние, на которые предприятие может и должно активно влиять.
Управление оборотными
средствами важно в решении ключевой проблемы финансового состояния: достижения
оптимального соотношения между ростом рентабельности производства
(максимизацией прибыли на вложенный капитал) и обеспечения устойчивой
платежеспособности, служащей внешним проявлением финансовой устойчивости
организации. Исключительно важны также обеспеченность запасов и затрат
организации (предприятия) источниками их формирования и поддержание
рационального соотношения между собственным оборотным капиталом и заемными
ресурсами, направляемыми на пополнение оборотных средств.
.3 Цели, задачи и
информационные источники анализа оборотного капитала
Основная цель анализа -
своевременное выявление и устранение недостатков управления оборотным капиталом
и нахождение резервов повышения интенсивности и эффективности его
использования. А также: выявление факторов, влияющих на показатели
оборачиваемости и длительности одного периода, количественное измерение их
влияния; определение влияния оборачиваемости оборотных средств на финансовое
состояние предприятия
Основные задачи анализа
оборотного капитала: (8, стр. 201)
• изучение изменения состава и
структуры оборотного капитала;
• группировка оборотного
капитала по основным признакам;
определение основных источников
формирования оборотного капитала;
определение основных
показателей эффективности использования оборотного капитала;
обоснование эффективности
использования оборотных средств за счёт ускорения их оборачиваемости и условного
высвобождения из оборота;
обоснование оптимальной
потребности в материальных ресурсах;
выявление резервов повышения
эффективности использования оборотных средств.
Источники информации для
анализа оборачиваемости оборотных средств носят учетный характер, т.е. это
данные, которые содержат документы бухгалтерского учета.
Основной источник данных для
анализа оборотного капитала предприятия - бухгалтерский баланс (форма №1) и
Отчёт о прибылях и убытках (форма №2).
Бухгалтерский баланс
характеризует состав, размещение и назначение средств предприятия на
определенную дату. Баланс имеет форму таблицы, состоит из двух частей - актива
и пассива. В активе показывают состав,
размещение и использование
средств, сгруппированных в зависимости от их функциональной роли в хозяйстве.
Отчёт о прибылях и убытках
содержит информацию о финансовых результатах предприятия (прибыль), как эффект
от использования оборотного капитала.
Состав, содержание и качество
информации, которая привлекается к анализу, имеют определяющую роль в
обеспечении действенности анализа хозяйственной деятельности.
Рассмотрим подробнее источники
информации для анализа оборачиваемости оборотных активов.
Форма №1 - бухгалтерский баланс
- характеризует финансовое положение организации по состоянию на отчетную дату.
Данные для целей нашего анализа, т.е. информация о состоянии оборотных средств,
а также их элементов: материально-производственных запасов, расчетов с
дебиторами, краткосрочных финансовых вложений и денежных средств отражаются во II
разделе баланса.
Форма №2 - отчет о прибылях
убытках - содержит сравнение сумм всех доходов предприятия от продажи товаров,
оказания услуг, а также доходов и поступлений по другим видам деятельности с
суммой всех расходов, понесенных предприятием для поддержания его деятельности
за период с начала года. В части анализа оборачиваемости оборотных средств
используется информация отчета о прибылях и убытках о выручке (нетто) от
продажи товаров, продукции, работ, услуг (за минусом НДС, акцизов и аналогичных
обязательных платежей).
Кроме названных форм внешней
отчетности для анализа оборачиваемости дебиторской задолженности используют
также информацию из аналитического учета: данные журналов-ордеров или
заменяющих их ведомостей учет расчетов с покупателями и заказчиками, с поставщиками
по авансам выданным, подотчетными лицами, с прочими дебиторами.
Совокупность исследуемых в
процессе анализа состояния и эффективности использования оборотных средств даёт
комплексную характеристику состояния и эффективности их использования.
Исходя из вышеизложенного можно
сделать вывод, что оборотные активы (в практике стран с рыночной экономикой их
называют оборотным капиталом) являются важнейшим ресурсом в обеспечении
текущего функционирования предприятия. Оборотные средства - это денежные средства
или другие активы, которые могут быть обращены в деньги в течение одного
производственного цикла. Характерной особенностью оборотных средств является
скорость их оборота.
Состояние и эффективность их
использования - одно из основных условий успешной деятельности предприятия.
финансовый
экономический оборотный капитал
Глава 2. Оценка
основных финансово-экономических показателей деятельности предприятия и анализ
эффективности использования оборотного капитала в ООО «Агрофирма Разгуляй»
.1 Общая характеристика
и оценка финансово-хозяйственной деятельности предприятия
Общество с ограниченной
ответственностью Агрофирма «Разгуляй», именуемое в дальнейшем «Общество»,
является юридическим лицом и осуществляет свою деятельность на основании
Устава, и действующего законодательства РФ. Общество является коммерческой
организацией.
Общество является собственником
принадлежащего ему имущества и денежных средств и отвечает по своим
обязательствам собственным имуществом. Участники имеют предусмотренные законом
и учредительными документами Общества обязательственные права по отношению к
Обществу.
Целью деятельности Общества
является извлечение прибыли, а также расширение рынка товаров и услуг. Общество
вправе осуществлять любые виды деятельности, не запрещенные законом. Предметом
деятельности Общества являются:
производство, переработка и
сбыт производственной продукции;
передача в аренду земельных
участков;
осуществление других работ,
услуг и прочих видов деятельность, не запрещенных и не противоречащих
действующему законодательству РФ.
Все выше перечисленные виды
деятельности осуществляются в соответствии с действующим законодательством РФ.
Отдельными видами деятельности, перечень которых определяется специальными
федеральными законами, Общество может заниматься только при получении
соответствующей лицензии.
Общество считается созданным
как юридическое лицо с момента его государственной регистрации.
Общество самостоятельно
планирует свою хозяйственную деятельность, а также социальное развитие
коллектива. Основу планов составляют договоры, заключаемые с потребителями
коммунальных услуг, предоставляемых Обществом, а также поставщики
товарно-материальных и иных ресурсов.
Выполнение работ и
предоставление услуг осуществляется Обществом самостоятельно по ценам и тарифам
в условиях рыночной экономики. Цены и тарифы Обществом устанавливаются
самостоятельно на основе экономически обоснованных расходов и необходимой
прибыли для производственного и социального развития. Если предоставляемые
Обществом товары и услуги относятся к категории монопольных товаров и услуг,
цены и тарифы согласовываются с органами местного самоуправления и регулируются
законодательством РФ.
Высшим органом управления
Общества является общее собрание участников. Один раз в год участники Общества
проходят годовое общее собрание, которое является очередным общим собранием.
Все другие общие собрания, собираемые по воли генерального директора, либо
участника
Единоличным исполнительным
органом Общества является Директор. Срок полномочия Директора составляет три года.
Директор может переизбираться неограниченное число раз. Директор обязан в своей
деятельности соблюдать требования действующего законодательства РФ, требования
Устава Общества, органов управления Обществом, принятых в рамках его
компетенции, а также заключенного договора или соглашения между Директором и
Обществом. Директор обязан действовать в интересах
Учет финансово-хозяйственной
деятельности Общества выполняется на основе ПБУ (Правила бухгалтерского учета),
утвержденными Министерством финансов Правительства РФ, закрепленным локальным
нормативным актом Общества в лице Директора Общества. Ответственность за учет
финансово-хозяйственной деятельности Общества несет лицо, нанятое Директором
Общества.
Для проверки и подтверждения
правильности годовых отчетов и бухгалтерских балансов Общество вправе по
решению Общего собрания участников привлекать профессионального аудитора
(аудиторскую фирму), имеющего (щей) государственную лицензию на право
деятельности, и не имеющего (щей.) имущественные интересы в Обществе.
Общество осуществляет учет
результатов своей работы, ведет оперативный, бухгалтерский и статистический
учет в соответствии с действующим законодательством РФ. Никто ни вправе
навязывать Обществу другие формы учета и отчетности, противоречащие законодательству
РФ.
Директор и главный бухгалтер
Общества несут персональную ответственность за соблюдением порядка ведения,
достоверность учета и отчетности.
Экономические показатели
деятельности предприятия являются неотъемлемой частью экономической характеристики
деятельности каждого предприятия, с помощью этих показателей можно проследить
тенденцию к улучшению или ухудшению экономического состояния предприятия.
Таблица 1
Основные экономические
показатели ООО Агрофирмы «Разгуляй»
|
Показатели
|
Ед.
изм.
|
2007
год
|
2008
год
|
2009
год
|
Отклонения
2009 г. по сравнению к 2008 г.
|
|
Выручка
от реализации работ и услуг
|
тыс.
руб.
|
81345
|
78006
|
77439
|
-567
|
|
Себестоимость
продукции, работ
|
тыс.
руб.
|
(76350)
|
(65664)
|
(70793)
|
5129
|
|
Стоимость
имущества
|
тыс.
руб.
|
330424
|
416298
|
440733
|
24435
|
|
Стоимость
оборотных средств
|
тыс.
руб.
|
239381
|
318870
|
345264
|
26394
|
|
Стоимость
основных средств
|
тыс.
руб.
|
91043
|
97428
|
95469
|
-1959
|
|
Среднесписочная
численность работников
|
чел.
|
218
|
215
|
220
|
5
|
|
Уставный
капитал
|
тыс.
руб.
|
10
|
329704
|
329704
|
-
|
|
Валовая
прибыль (убыток)
|
тыс.
руб.
|
4995
|
12342
|
6646
|
-5696
|
|
Прибыль
(убыток) от продаж
|
тыс.
руб.
|
4995
|
12342
|
6646
|
-5696
|
|
Чистая
прибыль (убыток)
|
тыс.
руб.
|
1117
|
18635
|
10283
|
-8352
|
|
Производительность
труда одного работника
|
тыс.
руб. / чел.
|
373,1
|
362,8
|
352
|
-10,8
|
Анализируя данные таблицы 1
можно сделать вывод, что предприятие в 2009 году сработало с прибылью. Чистая
прибыль 2009 года равна 10283 тыс. руб., но при этом она меньше 2008 года на
8352 тыс. руб. Это произошло в результате повышения себестоимости продукции
(работ, услуг) по сравнению с 2008 годом на 5129 тыс. руб. и снижении выручки
от реализации работ, услуг по сравнению с 2008 годом на 567 тыс. рублей. В 2009
году произошло повышение численности персонала в сравнении с 2008 годом на 5
человек, но производительность труда одного работника в 2009 году по сравнению
с 2008 годом снизилась на 10,8 тыс. рублей.
Произошло увеличение стоимости
имущества предприятия в 2009 году по сравнению с 2008 годом на 24435 тыс.
рублей. На конец 2009 года стоимость имущества предприятия составила 440773
тыс. рублей. При этом стоимость основных средств уменьшилась и составила в 2009
году 95469 тыс. рублей, что меньше 2008 года на 1959 тыс. рублей. Стоимость
оборотных средств в 2009 году равняется 345264 тыс. руб., это на 26394 тыс.
руб. больше по сравнению с 2008 годом.
Анализируя финансовый результат
деятельности ООО Агрофирма «Разгуляй» за 2007, 2008, 2009 года, можно увидеть,
что предприятие прибыльное, выручка от реализации работ и услуг покрывает
затраты на их производство.
Под финансовым положением или
состоянием организации понимают ее способность обеспечить процесс хозяйственной
деятельности финансовыми ресурсами и возможность соблюдения нормальных
финансовых взаимоотношений с работниками организации и другими организациями,
банками, бюджетом и т.д.
Непосредственно из
аналитического баланса можно получить ряд важнейших характеристик финансового
состояния предприятия. Такой анализ представлен соответственно в таблицах 2 и
3. Приведенные в таблицах показатели сравнивают в динамике, оценивают их
изменения.
Таблица 2
Аналитическая группировка и
анализ статей актива баланса
|
Актив
баланса
|
2007
|
год
|
2008
|
год
|
2009
|
год
|
Абсолют,
откл., тыс. руб., 2009 г. к
|
|
тыс.
руб.
|
%
|
тыс.
руб.
|
%
|
тыс.
руб.
|
%
|
2007
|
2008
|
|
1.
источники имущества всего:
|
330424
|
100
|
416298
|
100
|
440733
|
100
|
110309
|
24435
|
|
1.1
иммобилизованные активы
|
91043
|
27,6
|
97428
|
23,4
|
95469
|
21,7
|
4426
|
-1959
|
|
1.2
оборотные активы
|
239381
|
72,4
|
318870
|
76,6
|
345264
|
78,3
|
105883
|
26394
|
|
1.2.1
запасы
|
201575
|
61
|
290057
|
69,7
|
304028
|
69
|
102453
|
13971
|
|
1.2.2
дебиторская задолженность
|
33796
|
10,2
|
23274
|
5.6
|
34428
|
7,8
|
632
|
11154
|
|
1.2.3
денежные средства
|
4010
|
1,2
|
5539
|
1,3
|
6808
|
1,5
|
2798
|
1269
|
По данным таблицы 2 мы видим,
что в целом имущество предприятия увеличилось в 2009 году по сравнению с 2007
годом на 110309 тыс. руб. и на 24235 тыс. руб. в сравнении с 2008 годом. В
составе всего имущества мы видим снижение удельных весов иммобилизованных
активов с 27,6% в 2007 году до 21,7% в 2009 году. Повышение стоимости оборотных
активов наблюдается по всем разделам агрегированного баланса. Наибольший
удельный вес составляют оборотные активы, их доля в 2009 году равна 78,3% - это
на 5,9% больше чем в 2007 году и на 1,7% больше по сравнению с 2008 годом.
Удельный вес запасов на конец 2009 года составил 69%, это на 8% больше чем в
2007 году.
Наименьший удельный вес
составляют денежные средства, в 2009 году их процент равен 1,5 - это на 0,3%
больше чем в 2007 году и на 0,2% больше чем в 2008 году.
Снижение удельного веса
дебиторской задолженности с 10,2% до 7,8% свидетельствует об относительном
уменьшении предоставляемого предприятием кредита. Этот факт отражает сокращение
сроков оплаты отгруженных предприятием товаров, снижение размеров денежных
средств, отвлеченных из оборота дебиторами.
Однако при уменьшении суммы
проданных товаров сокращение задолженности очевидно связано со снижением
объемов реализации. Уменьшение объемов продаж само по себе сокращает размеры
оплаты за проданный товар и соответственно размер задолженности за него
дебиторов. Поэтому в данной ситуации недостаточно оснований для положительной
оценки факта снижения дебиторской задолженности, так как снижение задолженности
предприятию, вероятно, не связано с более рациональным проведением расчетов за
проданный товар, а вызвано уменьшением объемов реализации товаров, что отрицательно
влияет на финансовый результат.
Анализ статей пассива баланса
представлен в таблице 3.
Таблица 3
Аналитическая группировка и
анализ статей пассива баланса
|
Пассив
баланса
|
2007
год
|
2008
год
|
2009
год
|
Абсолют,
откл., тыс. руб. 2009 г. к
|
|
тыс,
руб.
|
%
|
тыс.
руб.
|
%
|
тыс.
руб.
|
%
|
2007
|
2008
|
|
1.
источники имущества - всего:
|
330424
|
100
|
416298
|
100
|
440733
|
100
|
110309
|
24435
|
|
1.1
собственный капитал
|
3419
|
1
|
351748
|
84,5
|
352272
|
80
|
348853
|
524
|
|
1.2
заемный капитал
|
327005
|
99
|
64550
|
15,5
|
88461
|
20
|
-238544
|
23911
|
|
1.2.1
долгосрочные обязательства
|
270864
|
82
|
4971
|
1,2
|
1,4
|
-264783
|
1110
|
|
1.2.2
краткосрочные кредиты и займы
|
52100
|
15,8
|
52410
|
12,6
|
64704
|
14,7
|
12604
|
12294
|
|
1.2.3
кредиторская задолженность
|
4041
|
1,2
|
7169
|
1,7
|
17676
|
4
|
13635
|
10507
|
Исходя из таблицы 3 видно, что
у предприятия значительно увеличился собственный капитал. Его доля в 2007 году
составляла 1%, а 2009 году уже 80%. Соответственно доля заемного капитала в
2007 году равняется 99%, а в 2009 году 20%. Доля долгосрочных обязательств в
2007 году равнялась 82%, а в 2009 году снизилась до 1,4%.
Имеющее место повышение
размеров капитала при снижении товарооборота свидетельствует о том, что
увеличение стоимости активов не способствует улучшению результатов работы
организации.
Общий уровень финансовой
устойчивости предприятия характеризуют следующие показатели, рассчитываемые по
данным баланса:
коэффициент автономии
(финансовой независимости; концентрации собственного капитала или коэффициент
собственности);
коэффициент концентрации
заемного капитала (финансовой зависимости);
коэффициент соотношения заемных
и собственных средств (плечо финансового рычага или коэффициент финансового
риска). [30, стр. 215]
Анализ финансовых коэффициентов
заключается в изучении их в динамике за отчетный год и сравнении их значений с
базисными или нормативными величинами. Исходя из данных бухгалтерского баланса,
оценка коэффициентов, характеризующих общий уровень финансовой устойчивости
предприятия, дана в таблице 4.
Таблица 4
Анализ коэффициентов,
характеризующих общий уровень финансовой устойчивости предприятия
|
Показатели
|
2007
год
|
2008
год
|
2009
год
|
Абсол.
откл., тыс. руб. 2009 г. к
|
|
|
|
|
2007
г.
|
2008
г.
|
|
Капитал
и резервы (3 раздел баланса)
|
3419
|
351748
|
352272
|
348853
|
524
|
|
Долгосрочные
обязательства (4 раздел)
|
270864
|
4971
|
6081
|
-264783
|
1110
|
|
Краткосрочные
обязательства (5 раздел)
|
56141
|
59579
|
82380
|
26239
|
22801
|
|
Валюта
предприятия
|
330424
|
416298
|
440733
|
110309
|
24435
|
|
Расчетные
коэффициенты
|
|
|
|
|
|
|
Коэффициент
автономии
|
0,01
|
0,85
|
0.8
|
0,79
|
-0,05
|
|
Коэффициент
концентрации заемного капитала
|
0,99
|
0.15
|
0,2
|
-0.79
|
0,05
|
|
Коэффициент
соотношения заемных и собственных средств
|
95.6
|
0,2
|
0,25
|
-95,35
|
0.05
|
Как показывают данные таблицы
4, коэффициент автономии в 2009 году значительно повысился, его значение
показывает, что имущество предприятия на 80% сформировано за счет собственных
средств.
Коэффициент концентрации
заемного капитала показывает, что доля заемных средств в 2009 году (20%)
меньше, чем собственных (80%), т.е. предприятие имеет общую финансовую
устойчивость. Коэффициент соотношения заемных и собственных средств показывает,
что в 2009 году на 1 рубль вложенных в активы собственных источников
приходилось 25 копеек заемных.
Ликвидность баланса
определяется как степень покрытия обязательств предприятия его активами, срок
превращения которых в денежную форму соответствует сроку погашения
обязательств.
Уровень ликвидности зависит от
сферы деятельности, соотношения оборотных и внеоборотных активов, величины и
срочности оплаты обязательств.
Информационной базой для оценки
платежеспособности и ликвидности предприятия является бухгалтерский баланс.
Баланс является абсолютно
ликвидным, если имеет место, следующее отношение: А 1 >,= П 1 А 2 >.= П 2
A3 >,= П. 3 А 4 <,= П 4
Для анализа ликвидности баланса
ООО Агрофирмы «Разгуляй» составляется таблица 5.
Таблица 5
Анализ ликвидности баланса,
тыс. руб.
|
Актив
|
2008
г
|
2009
г
|
Пассив
|
2008
г
|
2009
г
|
Платежный
излишек или недостаток
|
|
|
|
|
|
|
2008
г
|
2009
г
|
|
Наиболее
ликвидные активы
|
5539
|
6808
|
Наиболее
срочные обязательства
|
7169
|
17676
|
-1630
|
-10868
|
|
Быстрорелизуемые
активы
|
23274
|
34428
|
Краткосрочные
пассивы
|
52410
|
64704
|
-29136
|
-30276
|
|
Медленно
реализуемые активы
|
290057
|
304028
|
Долгосрочные
пассивы
|
4971
|
6081
|
+285086
|
+297947
|
|
Труднореализуемые
активы
|
97428
|
95469
|
Постоянные
пассивы
|
351748
|
352272
|
+254320
|
+256803
|
|
БАЛАНС
|
416298
|
440733
|
БАЛАНС
|
416298
|
440733
|
-
|
-
|
Данные таблицы 5
свидетельствуют о том, что в анализируемые периоды предприятие не обладало
абсолютной ликвидностью. Наиболее ликвидные активы меньше суммы кредиторской
задолженности, платежный недостаток в 2009 году составил 10868 тыс. руб.
В 2008 и 2009 годах выявлено
превышение краткосрочных пассивов над суммой быстрореализуемых активов, т. е.
платежный недостаток составил в 2008 году - 29136 тыс. руб. и 30276 тыс. руб. в
2009 году. Это говорит о том, что краткосрочные пассивы не могут быть погашены
средствами в расчетах на конец отчетного года.
Медленно реализуемые активы
превышали долгосрочные пассивы, как в 2008 году, так и в 2009 году,
соответственно, на 285086 тыс. руб. и 297947 тыс. руб. Однако платежный излишек
по причине его низкой ликвидности не может быть направлен на покрытие
краткосрочных обязательств. Выполнение данного неравенства говорит о том, что
предприятие имеет перспективную ликвидность.
Превышение постоянных пассивов
над труднореализуемыми активами на 254320 тыс. руб. в 2008 году, и в 2009 году
на 256803 тыс. руб. свидетельствует о том, что предприятие обладает
собственными оборотными средствами.
Показатели деловой активности
предприятия характеризуют результат и эффективность текущей основной
производственной деятельности. Деловая активность в финансовом аспекте
проявляется в скорости оборота средств. Анализ деловой активности заключается в
исследовании показателей оборачиваемости. Для анализа построим таблицу 6.
Таблица 6
Анализ деловой активности ООО
Агрофирмы «Разгуляй», тыс. руб.
|
Показатель
|
2007
год
|
2008
год
|
2009
год
|
Отклонение,
тыс. руб. 2009 г. от
|
|
|
|
|
2007
г.
|
2008
г.
|
|
Выручка
от реализации
|
81345
|
78006
|
77439
|
-3906
|
-567
|
|
Внеоборотные
активы
|
91043
|
97428
|
95469
|
4426
|
-1959
|
|
Оборотные
активы
|
239381
|
318870
|
345264
|
105883
|
26394
|
|
Стоимость
запасов
|
201575
|
290057
|
304028
|
102453
|
13971
|
|
Дебиторская
задолженность
|
33796
|
23274
|
34428
|
632
|
11154
|
|
Денежные
средства
|
4010
|
5539
|
6808
|
2798
|
1269
|
|
Собственный
капитал
|
3419
|
351748
|
352272
|
348853
|
524
|
|
Расчетные
коэффициенты
|
|
|
|
|
|
|
Общая
капиталоотдача
|
0,25
|
0,19
|
0,18
|
-0.07
|
-0.01
|
|
Отдача
основных и нематериальных активов
|
0,89
|
0.8
|
0,81
|
-0,08
|
0,01
|
|
Оборачиваемость
оборотных средств
|
0,34
|
0,24
|
0,22
|
-0,12
|
-0,02
|
|
Оборачиваемость
запасов
|
0,4
|
0,27
|
0,25
|
-0,15
|
-0,02
|
|
Оборачиваемость
дебиторской задолженности
|
2,4
|
3,35
|
2,25
|
-0,15
|
-1,1
|
|
Оборачиваемость
банковских активов
|
20,3
|
14.1
|
11,4
|
-8,9
|
-2,7
|
|
Оборачиваемость
собственного капитала
|
23.8
|
0.22
|
0,22
|
-23,58
|
-
|
|
|
|
|
|
|
|
|
В течение анализируемого
периода (2007 г.-2009 г.) произошел спад всех показателей деловой активности
ООО Агрофирмы «Разгуляй». Снижение коэффициентов оборачиваемости
свидетельствует о менее эффективном использовании оборотных средств.
Платежеспособность предприятия
является внешним признаком его финансовой устойчивости.
Под платежеспособностью
понимается способность предприятия рассчитываться по своим обязательствам в
долгосрочной и краткосрочной перспективе.
Для этого необходимо рассчитать
коэффициент абсолютной ликвидности, коэффициент критической ликвидности и
коэффициент текущей ликвидности. Эти показатели представленны в таблице 7.
Таблица 7
Анализ коэффициентов
ликвидности предприятия
|
Показатель
|
2007
год 2008 год 2009 год 2009
|
Отклонение.
тыс.руб. г. от
|
|
|
|
|
2007
г.
|
2008
г.
|
|
Наиболее
ликвидные активы
|
4010
|
5539
|
6808
|
2798
|
1269
|
|
Быстрореализуемые
активы
|
26180
|
23274
|
34428
|
8248
|
11154
|
|
Наиболее
срочные обязательства
|
4041
|
7169
|
17676
|
13635
|
10507
|
|
Краткосрочные
пассивы
|
52100
|
52410
|
64704
|
12604
|
12294
|
|
Оборотные
активы
|
239381
|
318870
|
345264
|
105883
|
26394
|
|
Краткосрочные
обязательства
|
56141
|
59579
|
82380
|
26239
|
22801
|
|
Расчетные
коэффициенты
|
|
|
|
|
|
|
Коэффициент
абсолютной ликвидности А1/(П1 +П2) > 0.2-0,5
|
0,07
|
0.09
|
0,08
|
0.01
|
-0,01
|
|
Коэффициент
критической ликвидности А1 +Л2 /(Ш +П2) > 0,7 - 0,8
|
0.54
|
0.48
|
0,5
|
-0,04
|
0,02
|
|
Коэффициент
текущей ликвидности оборот, акт/ кратк. обяз. > 2
|
4,26
|
5,35
|
4.19
|
-0,07
|
-1,16
|
Коэффициент абсолютной
ликвидности увеличился с 0,07 на 0,01 пункта по сравнению с 2007 годом и
уменьшился на 0,01 пункта по сравнению с 2008 годом, и показывает, что к концу
2009 года 8% краткосрочных обязательств может быть погашено за счет денежных
средств и ценных бумаг предприятия. Если сравнить значение показателя с
рекомендуемым уровнем, можно отметить, что предприятие имеет дефицит наличных
денежных средств для покрытия текущих обязательств.
Коэффициент критической
ликвидности показывает, что краткосрочные обязательства в 2009 году на 50%
покрывались денежными средствами, ценными бумагами и средствами в расчетах. В
нашем случае уровень коэффициента критической ликвидности ниже рекомендуемого
значения и указывает на то, что сумма ликвидных активов предприятия не
соответствует требованиям текущей платежеспособности.
Коэффициент текущей ликвидности
за 2009 год снизился на 0,07 пункта по сравнению с 2007 годом и на 1,16 пункта
в сравнении с 2008 годом, достигнув к концу года 4,19 пункта. Предприятие
полностью покрывает краткосрочные обязательства ликвидными активами.
Структура баланса предприятия
удовлетворительна, коэффициент текущей ликвидности в 2009 году хотя и снизился
в сравнении с 2008 годом на 1,16 пункта, но остается выше нормы. Предприятие на
данный момент платежеспособно, так как коэффициент текущей ликвидности больше
2.
2.2 Анализ
состояния и эффективности использования оборотного капитала
.2.1 Анализ
структуры и динамики оборотных средств
В основе управления оборотным
капиталом лежит определение оптимального объема и структуры текущих активов,
источников их покрытия и соотношения между ними, обеспечивающих стабильную и
эффективную деятельность предприятия. Это требует поддержания величины
оборотных средств в размерах, оптимизирующих производственно-хозяйственную
деятельность предприятия. Данная задача может быть решена путем проведения
регулярного анализа структуры текущих активов (табл. 8).
Анализируя структуру оборотных
активов, следует иметь в виду, что устойчивость финансового состояния в
значительной мере зависит от оптимального размещения средств по стадиям
процесса кругооборота: снабжения, производства и сбыта продукции.
В процессе анализа, прежде
всего, необходимо изучить изменения в наличии и структуре оборотных активов.
Структура оборотных средств - это доля каждой из групп в их общей стоимости.
При этом следует иметь в виду, что стабильная структура оборотного капитала
свидетельствует о стабильном, хорошо отлаженном процессе производства и сбыта продукции.
Существенные ее изменения говорят о нестабильной работе предприятия.
Структура с высокой долей
задолженности и низким уровнем денежных средств может свидетельствовать о
проблемах, связанных с оплатой услуг предприятия, а также о преимущественно не
денежном характере расчетов и наоборот структура с низкой долей задолженности и
высоким уровнем денежных средств может свидетельствовать о благополучном
состоянии расчетов предприятия с потребителями.
Для анализа состава и структуры
оборотного капитала ООО Агрофирмы «Разгуляй» составим таблицу 8.
Таблица 8
Анализ состава и структуры
оборотных активов ООО Агрофирмы «Разгуляй»
|
Показатель
|
2007
г.
|
2008
г.
|
2009
г.
|
Отклон.,
тыс. руб. 2009 г. к
|
|
тыс.
руб.
|
%
|
тыс.
руб.
|
%
|
тыс.
руб.
|
%
|
2007
г.
|
2008
г.
|
|
Оборотные
средства - всего
|
239381
|
100
|
318870
|
100
|
345264
|
100
|
105883
|
26394
|
|
В
том числе: - производственные запасы
|
39709
|
16,6
|
265268
|
83,2
|
244822
|
70,9
|
205113
|
-20446
|
|
-
незавершенное производство
|
151041
|
63,1
|
2,6
|
22494
|
6,5
|
-128547
|
14318
|
|
-
НДС по приобретенным ценностям
|
-
|
-
|
-
|
-
|
-
|
-
|
-
|
-
|
|
-
готовая продукция
|
10825
|
4,5
|
16613
|
5,2
|
36712
|
10,6
|
25887
|
20099
|
|
-
товары
|
-
|
-
|
-
|
-
|
-
|
-
|
-
|
-
|
|
-
дебиторская задолженность
|
33796
|
14,1
|
23274
|
7,3
|
34428
|
10
|
632
|
11
1 54
|
|
-
денежные средства
|
4010
|
1,7
|
5539
|
1.7
|
6808
|
2
|
2798
|
-1269
|
|
-
прочие оборотные активы
|
-
|
-
|
-
|
-
|
-
|
-
|
-
|
-
|
|
|
|
|
|
|
|
|
|
|
По данным таблицы 8 видно, что
в ООО Агрофирме «Разгуляй» за последние два года наибольший удельный вес в
оборотных активах занимают производственные запасы. В 2009 году
производственные запасы равны 244822 тыс. руб. - это 70,9%.
Незначительно, но увеличился
удельный вес денежных средств - с 1,7% в 2007 году до 2% в 2009 году.
В 2009 году по сравнению с 2007
годом увеличилась стоимость готовой продукции: с 10825 тыс. руб. (2007 год) до
36712 тыс. руб. (2009 год). Доля дебиторской задолженности на конец 2009 года
составила 10%.
В 2009 году значительно
снизилась доля незавершенного производства с 63,1% в 2007 году до 6,5% в 2009
году.
Рациональной является такая
структура оборотных средств, когда наибольшая их часть вложена в товарно-материальные
ценности, а наименьшая в денежные средства и дебиторскую задолженность. Из
таблицы 8 видно, что структура оборотных средств ООО Агрофирмы «Разгуляй»
соответствует данному правилу.
2.2.2 Анализ
показателей эффективности использования оборотных средств
Финансовое положение
предприятия, его платежеспособность и ликвидность находятся в непосредственной
зависимости от того, насколько быстро средства, вложенные в активы,
превращаются в реальные деньги. Рост неплатежей затрудняет ритмичную деятельность
предприятия и ведет к увеличению дебиторской задолженности. В тоже время
излишнее отвлечение средств в производственные запасы, незавершенное
производство, готовую продукцию приводит к омертвлению ресурсов и
неэффективному использованию оборотного капитала.
От скорости оборота средств
зависят: размер годового оборота, потребность в дополнительных источниках
финансирования и плата за них, сумма затрат, связанных с владением
товарно-материальными ценностями и их хранением и др.
Длительность нахождения средств
в обороте определяется совокупным влиянием внешних и внутренних факторов. К
внешним факторам относятся сфера и масштаб деятельности предприятия, отраслевая
принадлежность, характер хозяйственных связей с партнерами, влияние
инфляционных процессов и т.п. К внутренним факторам следует отнести ценовую
политику предприятия, структуру активов и стратегию управления ими, методы
оценки товарно-материальных запасов и т.п.
Оценка эффективности
использования оборотного капитала осуществляется через показатели его
оборачиваемости. Поскольку критерием оценки эффективности управления оборотными
средствами является фактор времени, используются показатели, отражающие,
во-первых, общее время оборота, или длительность одного оборота в днях;
во-вторых, скорость одного оборота.
Для оценки оборачиваемости
оборотных средств используются следующие показатели;
продолжительность одного
оборота:
коэффициент оборачиваемости
средств;
коэффициент закрепления
средств;
экономический эффект.
В таблице 9 обобщим
рассчитанные показатели эффективности использования оборотных активов ООО
Агрофирмы «Разгуляй».
Таблица 9
Анализ оборачиваемости
оборотных средств
|
Показатели
|
Годы
|
Отклонения
(+. -) 2009 г. к
|
Темп
роста. % 2009 г. к
|
|
2007
|
2008
|
2009
|
2007
г.
|
2008
г.
|
2007
г.
|
2008
г.
|
|
1
|
|
3
|
4
|
5
|
6
|
7
|
8
|
|
Выручка
от реализации, тыс. руб.
|
81345
|
78006
|
77439
|
-3906
|
-4473
|
95,2
|
99,3
|
|
Дебиторская
задолженность, тыс. руб.
|
33796
|
23274
|
34428
|
632
|
11154
|
101,9
|
148
|
|
Производственные
запасы, тыс. руб.
|
39709
|
265268
|
244822
|
205113
|
-20446
|
616,5
|
92,3
|
|
Оборотных
средств всего, тыс. руб.
|
239381
|
318870
|
345264
|
105883
|
26394
|
144,2
|
108,3
|
|
Количество
дней анализируемого периода
|
360
|
360
|
360
|
-
|
-
|
-
|
-
|
|
Расчетные
коэффициенты
|
|
|
|
|
|
|
|
|
Коэффициент
оборачиваемости дебиторской задолженности, раз
|
2,4
|
3,4
|
2,2
|
-0,2
|
-1.2
|
91,7
|
64,7
|
|
Продолжительность
оборота дебиторской задолженности, дней
|
150
|
106
|
164
|
14
|
58
|
109,3
|
154,7
|
|
Коэффициент
оборачиваемости производственных запасов, раз
|
2,05
|
0,29
|
0,32
|
-17.3
|
0,03
|
15.6
|
110,3
|
|
Продолжительность
оборота производственных запасов, дней
|
176
|
1241
|
1125
|
949,4
|
-116
|
640,6
|
90,6
|
|
Коэффициент
оборачиваемости оборотных средств, раз
|
0,34
|
0,24
|
0,22
|
-0,12
|
-0,02
|
64,7
|
91,7
|
|
Продолжительность
оборота оборотных средств, дней
|
1059
|
1500
|
1636
|
577
|
136
|
154,5
|
109,1
|
|
Коэффициент
загрузки (закрепления) оборотных средств, руб./руб.
|
2,9
|
4,1
|
4,5
|
1,6
|
0.4
|
155,2
|
109,8
|
Как следует из данных таблицы
9, в 2009 году продолжительность оборота оборотных средств составила 1636 дней,
по сравнению с 2008 годом она увеличилась на 136 дней, а в сравнении с 2007
годом на 577 дней. Это привело к изменению коэффициентов оборачиваемости
(снизился с 0,34 в 2007 году до 0,22 в 2009 году) и закрепления оборотных
средств (увеличился с 2,9 в 2007 году до 4,5 в 2009 году). Но при этом
наблюдается незначительное повышение коэффициента оборачиваемости производственных
запасов с 0,29 в 2008 году до 0,32 в 2009 году, что привело к уменьшению
продолжительности оборота производственных запасов с 1241 дней в 2008 году до
1125 дней в 2009 году.
В 2009 году коэффициент
закрепления средств в обороте составил 4 рубля 50 копеек на один рубль выручки
от продажи продукции.
Основной причиной замедления
явился рост средних остатков оборотных средств и снижение выручки от
реализации.
В результате замедления
оборачиваемости оборотных средств, сумма дополнительно привлеченных средств в
оборот, составила 29254,7 тыс. руб. (136 * 77439 / 360). Оборачиваемость
оборотных средств в отчетном году составила 0,22 раза, следовательно, за весь
год сумма дополнительно привлеченных средств в оборот равна 6436 тыс. руб.
(29254,7 * 0,22).
Сумма прибыли вследствие
замедления оборачиваемости оборотных средств уменьшилась на 1028,5 тыс. руб.
(12342 * [(0,22 - 0,24) / 0,24]).
Для выяснения причин изменения
оборачиваемости оборотных средств используется факторный анализ. На основе
приема цепных подстановок изучают влияние на изменение продолжительности одного
оборота следующих факторов:
изменение средних остатков;
изменение объема реализации.
Для выявления влияния факторов
на изменение оборачиваемости оборотных средств выполним следующие расчеты:
Тоб0 - ОА0
х Д / В,, = 318870 * 360 / 78006 =1471,6 дн.
Тобусл = ОАо х Д / В, = 318870
х 360 / 77439 = 1482,4 дн.
Тоб, = ОА, х Д / В,
= 345264 * 360 / 77439 = 1605 дн.
Влияние изменения выручки от
продажи продукции (Тобв) на величину периода оборота составило:
Т„бВ = Тобусл х Тоб0=
1482,4 - 1471,6 = 10,8 дн.
Влияние изменения средней
стоимости оборотных активов (Т) на величину периода оборота составило:
Т = Тоб1 - Тобусл
= 1605 - 1482,4 = 122,6 дн.
Сумма факторных отклонений дает
общее изменение продолжительности одного оборота за анализируемый период:
Тоб = ТобВ + Т _ =
10,8 + 122,6 = 133,4 дн.
Результаты факторного анализа
показали, что снижение объема продажи продукции и увеличение суммы средних
остатков оборотных средств привело к замедлению периода оборачиваемости,
соответственно на 10,8 и 122,6 дней. Замедление оборачиваемости, в конечном
итоге, привело к оттоку денежных средств и отразилось на дополнительном
привлечении средств в оборот.
2.2.3 Анализ
рентабельности оборотных средств
Обобщающим показателем
эффективности использования оборотного капитала является показатель
рентабельности, рассчитываемый как соотношение прибыли от реализации продукции
или иного финансового результата к средней величине оборотного капитала.
Этот показатель характеризует
величину прибыли, получаемой на каждый рубль оборотного капитала, и отражает
финансовую эффективность работы предприятия, так как именно оборотный капитал
обеспечивает оборот всех ресурсов на предприятии.
В. таблице 10 рассчитаем чистую
рентабельность оборотных активов, которая показывает, какую чистую прибыль
получает ООО Агрофирма «Разгуляй» с каждого рубля, вложенного в активы.
Таблица 10
Рентабельность оборотных
активов ООО Агрофирмы «Разгуляй»
|
Показатели
|
Годы
|
Отклонения
(+, -) 2009 г. к
|
Темп
роста, % 2009 г. к
|
|
2007
|
2008
|
2009
|
2007
г.
|
2008
г.
|
2007
г.
|
2008
г.
|
|
Оборотных
средств всего, тыс. руб.
|
239381
|
318870
|
345264
|
105883
|
26394
|
144,2
|
108,3
|
|
Чистая
прибыль, тыс. руб.
|
1117
|
18635
|
10283
|
9166
|
-8352
|
920,6
|
55,2
|
|
Чистая
рентабельность оборотных активов. %
|
0,5
|
5,8
|
3
|
2,5
|
-2.8
|
600
|
51,7
|
Из данных таблицы 10 видно, что
рентабельность оборотных активов в 2009 году значительно увеличилась по
сравнению с 2007 годом на 2,5%, но уменьшилась по сравнению с 2008 годом на
2,8%. Чистая рентабельность оборотных активов в 2009 году составила 3%, это
означает, что на 1 рубль оборотных активов приходится 3 копейки чистой прибыли.
Исходя
из выше изложенного, можно сделать вывод, что в 2009 году продолжительность
оборота оборотных средств составила 1636 дней, по сравнению с 2008 годом она
увеличилась на 136 дней, а в сравнении с 2007 годом на 577 дней. Это привело к
изменению коэффициентов оборачиваемости (снизился с 0,34 в 2007 году до 0,22 в
2009 году) и закрепления оборотных средств (увеличился с 2,9 в 2007 году до 4,5
в 2009 году). Но при этом наблюдается незначительное повышение коэффициента
оборачиваемости производственных запасов с 0,29 в 2008 году до 0,32 в 2009
году, что привело к уменьшению продолжительности оборота производственных
запасов с 1241 дней в 2008 году до 1125 дней в 2009 году.
В результате замедления
оборачиваемости оборотных средств, сумма дополнительно привлеченных средств в
оборот, составила 29254,7 тыс. руб. За весь год сумма дополнительно
привлеченных средств в оборот равна 6436 тыс. руб. Сумма прибыли вследствие
замедления оборачиваемости оборотных средств уменьшилась на 1028,5 тыс. руб.
Глава 3.
Мероприятия по повышению эффективности использования оборотных средств в ООО
Агрофирмы «Разгуляй»
Очень важным для предприятия
является использование оборотных средств, поддержание их в размере,
оптимизирующем управление текущей деятельностью. Анализ эффективности
использования средств является важнейшим инструментом деятельности предприятия.
Насколько глубоко и детально в предприятии проводится такой анализ, настолько и
эффективной, успешной будет финансово-хозяйственная деятельность предприятия.
Финансовое положение
предприятия, его платежеспособность и ликвидность находятся в непосредственной
зависимости от того, насколько быстро средства, вложенные в активы,
превращаются в реальные деньги. Рост неплатежей затрудняет ритмичную
деятельность предприятия и ведет к увеличению дебиторской задолженности. В тоже
время излишнее отвлечение средств в производственные запасы, незавершенное
производство, готовую продукцию приводит к омертвлению ресурсов и
неэффективному использованию оборотного капитала.
От скорости оборота средств
зависят: размер годового оборота, потребность в дополнительных источниках
финансирования и плата за них, сумма затрат, связанных с владением
товарно-материальными ценностями и их хранением и др.
Эффективность использование
оборотных средств характеризуется:
ростом оборачиваемости
оборотного капитала;
снижение потребности в
оборотных средствах на 1 руб. объема выпуска продукции
Рост оборачиваемости оборотного
капитала способствует:
экономии оборотного капитала
(сокращению потребности в оборотном капитале);
приросту объемов продукции;
увеличению получаемой прибыли.
В результате ускорения оборота
высвобождаются вещественные элементы оборотных средств, меньше требуется
запасов сырья, материалов, топлива, заделов незавершенного производства и пр.,
а следовательно, высвобождаются и денежные ресурсы, ранее вложенные в эти
запасы и заделы. Высвобожденные денежные ресурсы откладываются на расчетном счете
организации, укрепляется платежеспособность.
Эффективность использования
оборотных средств заключается не только в ускорении их оборачиваемости, но и в
снижении себестоимости продукции за счет экономии натурально-вещественных
элементов оборотных производственных фондов.
Резервами ускорения
оборачиваемости оборотных средств являются:
оптимизация производственных
запасов;
эффективное использование
материальных, трудовых и денежных ресурсов;
сокращение длительности
производственного цикла;
сокращение сроков пребывания
оборотных средств в остатках готовой продукции и в расчетах.
Допустим, предполагается
сократить средний срок погашения дебиторской задолженности на 10 дней за счет
предоставления покупателям льготных условий при досрочной оплате. Тогда средние
остатки дебиторской задолженности составят:
(164 - 10) * 77439 / 360 =
33126,7 тыс. руб.
Сокращение срока расчетов
покупателей на 10 дней позволит предприятию свободно использовать в обороте
дополнительные средства в размере:
(34428 - 33126,7) = 1301,3 тыс.
руб.,
которые получены в результате
притока денежных средств за счет ускорения оборачиваемости дебиторской
задолженности.
Таким образом, ускорение
оборачиваемости оборотных средств означает высвобождение средств из оборота,
что позволяет предприятию обходиться меньшей суммой средств для обеспечения
выпуска и реализации продукции или при том же объеме оборотных средств
увеличить объем производимой продукции. Приток денежных средств вследствие
ускорения оборачиваемости текущих активов способствует увеличению объема
финансирования.
Расчёт высвобождения оборотных средств
|
Показатели
|
2008
г.
|
После
проведения мероприятия
|
|
Длительность
оборота оборотных средств, дни
|
41
|
40
|
|
Коэффициент
оборачиваемости, обороты
|
8,77
|
8,87
|
|
Средний
остаток оборотных средств, тыс. руб.
|
1393
|
1377
|
|
Высвобождение
оборотных средств составило, руб.
|
-
|
16000
|
Ускорение оборота оборотных средств позволяет
высвободить значительные суммы. За счёт чего можно увеличить объем производства
без дополнительных финансовых ресурсов, а высвободившиеся средства использовать
в соответствии с потребностями предприятия.
Предложение скидок оправдано в трёх основных
ситуациях.
. Снижение цены приводит к расширению продаж, а
структура затрат такова, что это отражается на увеличении общей прибыли от
реализации данной продукции.
. Система скидок интенсифицирует приток денежных
средств в условиях дефицита на предприятии. При этом возможно краткосрочное
снижение цен вплоть до отрицательного финансового результата от проведения
конкретных сделок.
. Система скидок за ускорение оплаты более
эффективна, чем система штрафных санкций за просроченную оплату.
Предлагаем предприятию принять ряд мер по
ускорению оборачиваемости оборотных средств (таблица 12)
Таблица
12
Резервы ускорения оборачиваемости оборотных
средств
|
Резервы
|
Объект
воздействия
|
Мероприятия
|
Получаемый
результат
|
|
1.
Уменьшение материалоемкости выпускаемой продукции
|
Произведенная
продукция
|
Совершенствование
конструкции изделий; сокращение отходов при обработке; ликвидация брака
|
Уменьшение
потребности в материалах, сырье, комплектующих изделиях, сокращение доли
оборотных средств в производственных запасах
|
|
2.
Совершенствование порядка планирования и формирования оборотных средств
|
Технико-организационный
уровень производства
|
Определение
потребности в ресурсах Расчет нормативов оборотных средств
|
Повышение
точности расчета нормативов оборотных средств и усиление контроля за их
величиной
|
|
3.
Совершенствование системы материально - технического снабжения
|
Технико-организационный
уровень производства
|
Снижение
удельного веса готовой продукции на складе
|
Сокращение
норматива оборотных средств в готовой продукции на складе предприятия
|
|
4.
Совершенствование системы сбыта продукции
|
Система
маркетинга
|
Реклама
Изучение рынка
|
Сокращение
норматива оборотных средств в готовой продукции
|
Руководители предприятия с целью повышения
эффективности его деятельности должны организовать постоянный мониторинг
соблюдения нормативов в динамики во времени фактических удельных расходов и
оборачиваемости оборотных средств. Дело в том, что материальные затраты имеют
значительный удельный вес в общих производственных затратах, которые, в свою
очередь, существенно влияют на объем получаемой прибыли.
На основе приведенного анализа финансового
состояния предприятия, разработаем ряд рекомендаций по улучшению использования
оборотных средств предприятия.
В таблице 13 представлен перечень предложенных
мероприятий с указанием экономического эффекта и ответственного за выполнение
данного мероприятия.
Таблица
13
Экономический эффект от предложенных направлений
|
Перечень
мероприятий
|
Экономический
эффект
|
Ответственный
|
Стоимость
мероприятий, руб.
|
|
1.
Сокращение торговых и материальных запасов: уменьшение складских помещений
для их хранения, сокращение затрат электроэнергии
|
Снижение
себестоимости на 2% 66467*0,02 = 1329,34 тыс. руб.
|
Склад
|
15000
|
|
2.
Налаживание связей между отделом продаж и складом: информирование о наличии
товаров на складе, по графику проводить инвентаризацию
|
Снижение
себестоимости на 3% 66467*0,03=1994,01 тыс. руб.
|
Заведующая
складом
|
25000
|
|
3.
Разработать маркетинговую стратегию работы на рынке: оценить на сколько
выгодной является позиция организации на рынке того или иного товара;
информация о спросе на рынке данного товара; анализ конкурентной позиции
предприятия
|
Увеличение
выручки на 1,5% 61940 * 0,015 = 929,1 тыс. руб.
|
Отдел
маркетинга
|
98000
|
|
4.
Снижение цен поставщиков и транспортных расходов за счет увеличения партий
закупок: не нужно лишний раз пользоваться услугами транспортных организаций;
можно получить скидку при заказе крупной партии
|
Увеличение
выручки на 2,5% 61940 * 0,025 = 1548,5 тыс.руб.
|
Бухгалтерия
|
12000
|
Очевидно, что с ростом среднего
размера запасов увеличиваются и затраты по хранению. Кроме того любой актив не
может существовать сам по себе ему соответствует несколько источников
финансирования, чаще всего не бесплатный. Поэтому увеличение активов
предприятия, обычно сопровождается и ростом затрат на поддержание
соответствующих источников финансирования. В результате предложенных
мероприятий: себестоимость снизится на 5%, а прибыль возрастёт на 4%.
Выводы и
предложения
К фондам обращения относятся:
готовая продукция на складе, отгруженная продукция, денежные средства в
расчетах.
По источникам формирования
оборотные средства делятся на собственные (средства, постоянно находящиеся в
распоряжении предприятия и формируемые за счет собственных ресурсов) и заемные
(кредиты банка, кредиторская задолженность и прочие пассивы).
По охвату нормирования
оборотные средства делятся на нормируемые (по которым устанавливаются нормативы
запасов: оборотные производственные фонды и готовая продукция на складе) и
ненормируемые, Нормирование оборотных средств представляет собой процесс
разработки экономически обоснованных величин оборотных средств, необходимых для
организации нормальной работы предприятия. Оно является необходимой
предпосылкой эффективного использования оборотных средств. Обычно предприятием
определяются нормативы оборотных средств по материалам, запасам, находящимся в
процессе производства, и по запасам готовой продукции.
Рациональной является такая
структура оборотных средств, когда наибольшая их часть вложена в
товарно-материальные ценности, а наименьшая в денежные средства и дебиторскую
задолженность. Структура оборотных средств данного предприятия не соответствует
данному правилу.
В 2009 году продолжительность
оборота оборотных средств составила 1636 дней, по сравнению с 2008 годом она
увеличилась на 136 дней, а в сравнении с 2007 годом на 577 дней. Это привело к
изменению коэффициентов оборачиваемости (снизился с 0,34 в 2007 году до 0,22 в
2009 году) и закрепления оборотных средств (увеличился с 2,9 в 2007 году до 4,5
в 2009 году). Но при этом наблюдается незначительное повышение коэффициента
оборачиваемости производственных запасов с 0,29 в 2008 году до 0,32 в 2009
году, что привело к уменьшению продолжительности оборота производственных
запасов с 1241 дней в 2008 году до 1125 дней в 2009 году.
В результате замедления
оборачиваемости оборотных средств, сумма дополнительно привлеченных средств в
оборот, составила 29254,7 тыс. руб. За весь год сумма дополнительно
привлеченных средств в оборот равна 6436 тыс. руб.
Сумма прибыли вследствие
замедления оборачиваемости оборотных средств уменьшилась на 1028,5 тыс. руб.
Замедление оборачиваемости
капитала ООО Агрофирмы «Разгуляй» в 2009 году способствовало перерасходу этого
капитала; снижению объемов продукции и, в конечном счете, снижению получаемой
прибыли.
Резервами ускорения
оборачиваемости оборотных средств являются:
оптимизация производственных
запасов;
эффективное использование
материальных, трудовых и денежных ресурсов;
сокращение длительности
производственного цикла;
сокращение сроков пребывания
оборотных средств в остатках готовой продукции и в расчетах.
Сокращение срока расчетов
покупателей на 10 дней позволит предприятию свободно использовать в обороте
дополнительные средства в размере 1301,3 тыс. руб., которые получены в результате
притока денежных средств за счет ускорения оборачиваемости дебиторской
задолженности.
Список литературы
1. Анализ хозяйственной деятельности: учеб. для
вузов / В.А. Белобородова. - М.: Финансы и статистика, 2007. - 352 с.
. Баканов, М.И. Теория экономического анализа /
М.И. Баканов, А.Д. Шеремет. - М.: Финансы и статистика, 2009. - 567 с.
. Балабанов, И.Т. Анализ и планирование финансов
хозяйствующего субъекта / И.Т. Балабанов. - М.: Финансы и статистика, 2006. -
1.1.2 с.
. Бланк, И.А. Основы финансового менеджмента /
И.А. Бланк. - К.: «Ника центр», 2007. - 426 с.
. Бланк, И.А. Управление активами и капиталом
предприятия / И.А. Бланк.- К.: Ника-Центр, Эльга, 2007.- 448 с.
. Грузинов, В.П. Экономика предприятия: учеб.
пособие / В.П. Грузинов, В.Д. Грибов. - М: 2005. - 208 с.
. Зайцев, Н.Л. Экономика промышленного
предприятия / Н.Л. Зайцев. - М.: Инфра-М, 2008. - 389 с.
. Ковалев, А.И. Анализ финансового состояния
предприятия / А.И. Ковалев, В.П. Привалов. - изд. 2-е, доп. и перераб. - М.:
Центр экономики и маркетинга, 2005. - с. 192.
. Ковалев, В.В. Финансовый анализ. Управление
капиталом. Выбор инвестиций. Анализ отчетности / В.В. Ковалев. - М.: Финансы и
статистика, 2008. - 432 с,
. Кондраков, Н.П. Бухгалтерский учет, анализ
хозяйственной деятельности и аудит / Н.П. Кондраков. - М.: Перспектива, 2007. -
345 с.
. Крейнина, МИ. Финансовый менеджмент: учеб.
пособие / М.И. Крей-нина. - М.: «Дело и сервис», 2008. - 304 с.
. Крейнина, М.Н. Финансовое состояние: методы
оценки / М.Н. Крейнина. - М.: ИКЦ «ДИС», 2006. - 224 с.
. Овсийчук, М.Ф. Финансовый менеджмент. Методы
инвестирования капитала / М.Ф. Овсийчук, Л.Б. Сидельникова. - М.: ЮРАЙТ:
Буквица, 2007. -103 с.
. Павлова, Л.Н. Финансовый менеджмент.
Управление денежным оборотом предприятия: учебник для вузов / Л.Н. Павлова. -
М: Банки и биржи, ЮНИТИ, 2009. - 400 с.
. Практикум по финансовому менеджменту:
Учебно-деловые ситуации, задачи и решения / Е.С. Стоянова. - М: Перспектива,
2006.- 160 с.
. Райсберг, Б.А. Учебный экономический словарь /
Б.А. Байсберг, Л.Ш. Лозовский, Е.Б. Стародубцева. - М.: Рольф Айрис-пресс,
2008. - 416 с.
. Савицкая, Г.В. Анализ хозяйственной
деятельности / Г.В. Савицкая. - 5-е издание, доп. и перераб. - Мн.: ИП
«Экоперспектива», 2007. -с. 498.
. Селезнева, Н.Н. Финансовый анализ: учеб.
пособие / Н.Н. Селезнева, А.Ф. Ионова. - М: ЮНИТИ-ДАНА, 2006. - 479 с.
. Экономико-статистический анализ: учеб. пособие
для вузов/ С.Д. Ильенкова. - М: ЮНИТИ-ДАНА, 2005. - 215 с.
. Ефимова, О.В. Анализ оборачиваемости средств
коммерческого предприятия // Бухгалтерский учет. - 2006. - №10. - С. 35-41.
. Ефимова, О.В. Анализ оборачиваемости текущих
активов // Бухгалтерский учет. - 2005. - №11. - С. 9-14.
. Лесициан, Н.Н. Оборотные средства, процесс
обращения стоимости капитала, неплатежи // Вопросы экономики. - 2008. - №9. -
С. 37-44.
. Маслов, Б.Г. Повышение эффективности
использования оборотного капитала: материально-производственные запасы //
Управленческий учет. -2007. -JNM.-
С. 30-35.
. Никольская, Э.С. Анализ оборотных (текущих)
активов и их оборачиваемости // Полиграфия. - 2008. - №5. - С. 22-25.