Проект инвентаризации выбросов загрязняющих веществ ЗАО 'Кубаньтехгаз'
Выпускная квалификационная
(дипломная) работа
Проект инвентаризации выбросов
загрязняющих веществ ЗАО “Кубаньтехгаз”
Работу
выполнил
Е.А. Панфилов
Реферат
атмосфера выброс загрязняющий охрана
Дипломная работа с., рис., источников
Инвентаризация выбросов загрязняющих веществ,
расчет и нормирование пдк
Объектом исследования является предприятие по производству, хранению и
транспортировке газа.
Цель работы - оценка влияния деятельности предприятия на состояние
атмосферного воздуха и негативного воздействия на здоровье людей, находящихся в
зоне риска.
В процессе работы проводилось нормирование выбросов загрязняющих веществ
в атмосферу в соответствии с действующим законодательством в области охраны
окружающей среды.
В результате исследования были получены данные, определяющие загрязняющие
вещества, выбрасываемые в атмосферу в ходе деятельности предприятия.
Введение
Длительное время локальные загрязнения атмосферы сравнительно быстро
разбавлялись массами чистого воздуха. Пыль, дым, газы рассеивались воздушными
потоками и выпадали на землю с дождем и снегом, нейтрализовались, вступая в
реакции с природными соединениями.
Для обеспечения высоких гигиенических требований к составу воздуха
необходимо использовать последние достижения науки и практики в области аэрации
промышленных площадок и примыкающим к ним жилых застроек, рассеяния выделяемых
промышленными предприятиями вредных веществ на застроенных территориях, анализа
климатических данных, рельефа местности и фоновых загрязнений атмосферы в районе
предлагаемого строительства предприятия. При проектировании каждого предприятия
устанавливались величины ожидаемых концентраций примесей и на основе их
сопоставления с предельно допустимыми концентрациями (ПДК) разрабатывался
комплекс мероприятий, обеспечивающий надлежащую чистоту атмосферы. В результате
такого прогноза можно выбрать место строительства предприятий; определить
максимально допустимые размеры санитарно - защитной зоны, обеспечивающие
безопасный уровень загрязнения воздуха жилых районов и сельскохозяйственных
угодий; обосновать рациональное расположение производственных корпусов на
промышленной площадке, при котором максимально используются возможности
естественного проветривания; установить требования к технологическим процессам
и оборудованию в отношении сокращения выбросов; оценить требуемую эффективность
очистных устройств; определить оптимальное расположение источников примесей и
высоты их выбросов, а так же зоны с наиболее чистым воздухом, в которых следует
размещать воздухозаборные устройства приточной вентиляции, и решать ряд других
практических задач.
1. Инвентаризация выбросов загрязняющих веществ
Инвентаризация выбросов - это систематизация сведений о распределении
источников на территории предприятия, количестве и составе выбросов загрязняющих
веществ в атмосферу.
Проведение работ по инвентаризации выбросов в соответствии с
утвержденными методами и методиками включает следующие этапы:
− определение содержания вредных компонентов в отходящем от
технологического оборудования газе или воздухе инструментальным или расчетным
методом;
− расчет валовых выбросов и выделений с учетом нестандартности
процессов;
− оценка экологических характеристик используемых на предприятии
технологий и эффективности использования сырьевых ресурсов, утилизации отходов;
− выявление исходных данных для разработки и установления предельно
допустимых выбросов (ПДВ) и предельно допустимых концентраций (ПДК)
загрязняющих веществ как в целом по предприятию, так и по отдельным источникам
загрязнения;
− заполнение форм статистической отчетности полученными
характеристиками выбросов;
− составление технического отчета по инвентаризационному
обследованию с представлением расчетно−пояснительной записки,
результатами обследования, выводами и рекомендациями.
− согласование технического отчета по инвентаризации выбросов с
Управлением по технологическому и экологическому надзору Ростехнадзора.
2. Предельно
допустимый выброс
Предельно допустимый выброс − это норматив выброса вредного
(загрязняющего) вещества в атмосферный воздух, который устанавливается для
стационарного источника загрязнения атмосферного воздуха с учетом технических
нормативов выбросов и фонового загрязнения атмосферного воздуха, при условии не
превышения данным источником гигиенических и экологических нормативов качества
атмосферного воздуха, предельно допустимых (критических) нагрузок на
экологические системы. Каждое предприятие, которое имеет один или несколько
источников загрязнения атмосферы, должно разрабатывать проект нормативов ПДВ -
проект нормативов предельно допустимых выбросов.
Разработкой ПДВ решаются конкретные практические задачи, выполнение
которых крайне важно как для государства, так и для предприятия:
− на основе исследований рассчитываются нормативы предельных
выбросов и составляется проект нормативов ПДВ, в котором, кроме обоснования
допустимых выбросов, содержатся разработки по периодичности контроля выбросов и
предложения по их оптимизации;
− исследуются состав и количество загрязняющих выбросов
предприятия, состояние атмосферы в прилегающем к предприятию районе и
разрабатываются меры по сокращению выбросов и снижению уровня вредных веществ,
а также особые меры на период неблагоприятной метеорологической обстановки;
− разработка проекта ПДВ и его согласование дают предприятию
законное право на атмосферные выбросы и правовую защиту перед контролирующими
органами, в полномочия которых при отсутствии проекта входит наложение штрафов
и приостановление процесса производства.
3. Предельно допустимая концентрация
Предельно допустимая концентрация (ПДК) вредных веществ - это
максимальная концентрация вредного вещества, которая за определенное время
воздействия не влияет на здоровье человека и его потомство, а также на
компоненты экосистемы и природное сообщество в целом.
В атмосферу поступает множество примесей от различных промышленных
производств и автотранспорта. Для контроля их содержания в воздухе нужны вполне
определенные стандартизированные экологические нормативы, поэтому и было
введено понятие о предельно допустимой концентрации. Величины ПДК для воздуха
измеряются в мг/м3. Разработаны ПДК не только для воздуха, но и для
пищевых продуктов, воды (питьевая вода, вода водоемов, сточные воды), почвы.
В зависимости от значения ПДК химические вещества в воздухе
классифицируют по степени опасности − лимитирующий признак вредности
вещества в атмосферном воздухе.
В нашей стране нормативы предельно допустимой концентрации
разрабатываются и утверждаются органами санитарно− эпидемиологической
службы и государственными органами в области охраны окружающей среды. Нормативы
качества окружающей среды являются едиными для всей территории РФ. С учетом
природноклиматических особенностей, а также повышенной социальной ценности
отдельных территорий для них могут быть установлены нормативы предельно
допустимой концентрации, отражающие особые условия.
Химические методы оценки качества окружающей среды очень важны, однако
они не дают прямой информации о биологической опасности загрязняющих веществ -
это задача биологических методов. Предельно допустимые концентрации являются
определенными нормами щадящего воздействия загрязняющих веществ на здоровье
человека и природную среду.
ПДКМР - предельно допустимая максимальная разовая концентрация
химического вещества в воздухе населенных мест. Концентрация загрязняющего
вещества, не вызывающая при вдыхании в течение 20−30 минут рефлекторных
реакций в организме человека.
ПДКСС - предельно допустимая среднесуточная концентрация
химического вещества в воздухе населенных мест, мг/м3. Эта концентрация, не
оказывающая на человека прямого или косвенного вредного воздействия при
неопределенно долгом (годы) вдыхании.
ПДКРЗ - предельно допустимая концентрация химического вещества
в воздухе рабочей зоны. Это концентрация, которая при ежедневной (кроме
выходных дней) работе в течение 8 ч и не более 40 ч в неделю, в течение всего
рабочего стажа не должна вызывать заболеваний или отклонений в состоянии
здоровья, обнаруживаемых современными методами исследований в процессе работы
или в отдаленные сроки жизни настоящего и последующих поколений.
4. Общие сведения об объекте ЗАО “Кубаньтехгаз”
Рисунок 4.1 - Филиалы ЗАО “Кубаньтехгаз” в г.Краснодар
ЗАО Кубаньтехгаз является одним из старейших предприятий на юге России по
производству продуктов разделения воздуха. История предприятия насчитывает
более 65 лет деятельности. Построенный в 1946 году, в настоящее время завод
занимает лидирующие позиции в своем регионе на рынке технических газов.
Предприятие производится и реализуется полный спектр промышленных газов.
Обладая достаточно крупным парком собственных железнодорожных цистерн и
специализированного автотранспорта, завод осуществляет доставку продукции не
только в Краснодарском крае, но и во многие другие регионы.
Грамотно проведя маркетинговую политику, ЗАО «Кубаньтехгаз» ведет свою
деятельность через 50 обособленных подразделений, расположенных в четырех
субъектах РФ - Ростовская и Астраханская области, Краснодарский и
Ставропольский края.
Бурное развитие в последнее время получили сопутствующие виды деятельности
- продажа газоэлектросварочного оборудования, продажа и обслуживание
криогенного оборудования, оказание услуг по пусконаладочным работам, ремонту,
обслуживанию и техническому освидетельствованию криогенного оборудования. ЗАО
«Кубаньтехгаз» − одно из немногих предприятий Краснодарского края,
имеющее лицензию на поверку и освидетельствование сосудов, работающих под
давлением, и криогенного оборудования.
В настоящее время ведется модернизация завода. В 2012 году, в дополнение
к двум действующим воздухоразделительным установкам АЖ−2, эксплуатируемым
уже более 30 лет и морально устаревшим, планируется ввести в эксплуатацию еще
одну, производительностью до 6 тонн жидкого кислорода в час. Уже полностью
завершены общестроительные работы, и ведется монтаж основного технологического
оборудования.
5. Технические газы, производимые предприятием
Азот
Азот − инертный, при нормальных условиях двухатомный газ без цвета,
вкуса и запаха.
При нормальных условиях азот это бесцветный газ, не имеет запаха, мало
растворим в воде (2,3 мл/100г при 0 °C, 0,8 мл/100г при 80 °C).
В жидком состоянии (темп. кипения −195,8 °C) - бесцветная,
подвижная, как вода, жидкость. При контакте с воздухом поглощает из него
кислород.
При −209,86 °C азот переходит в твердое состояние в виде снегоподобной
массы или больших белоснежных кристаллов. При контакте с воздухом поглощает из
него кислород, при этом плавится, образуя раствор кислорода в азоте.
В настоящее время азот находит широкое применение.
Благодаря низкой температуре кипения (−196 °C) жидкий азот
применяется как хладагент. Промышленные применения газообразного азота
обусловлены его инертными свойствами. Если в процессе, традиционно проходящем с
использованием воздуха, окисление или гниение являются негативными факторами −
азот может успешно заместить воздух.
В горнодобывающем деле азот может использоваться для создания в шахтах
взрывобезопасной среды, для распирания пластов породы.
В металлургии при криообжиге и криозакаливании металлов, для вакуумной
дегазации расплавов, в качестве инертной среды для непрерывной разливки стали,
для травления холодом. Большие количества азота используются в коксовом
производстве («сухое тушение кокса») при выгрузке кокса из коксовых батарей.
В нефтедобыче как безопасный рабочий агент при газлифтном способе добычи
нефти и при запуске скважин (заменитель сжатого воздуха), при авариях на
нефтепроводах (замораживание порыва), для тушения пожаров на нефтяных и газовых
скважинах, создание криоледяных платформ в открытом море или на слабых грунтах
для ведения бурения.
В химической и нефтехимической промышленности как инертная среда в
химических процессах, для криогенного разделения продуктов химических реакций,
в криохимии для получения полимеров высокого качества - при производстве
этилена, полиэтилена, пропилена, полиформальдегида и т. д., для очистки
взрывчатых смесей, регенеративных катализаторов, для хранения и перевозки
легковоспламеняющихся жидкостей. Важной областью применения азота является его
использование для дальнейшего синтеза самых разнообразных соединений,
содержащих азот, таких, как аммиак, азотные удобрения, взрывчатые вещества,
красители и т. п.
В машиностроении и строительстве − упрочнение стальных деталей и
инструментов методом низкотемпературной закалки, запрессовка и выпрессовка
сопрягаемых деталей холодом, замораживание грунтов при строительстве метро и
трубопроводов, вымораживание и снятие плиток, глубокое охлаждение минерального
сырья для его последующего тонкого размола (например при производстве цемента
высшего качества), при изготовлении туфового покрытия.
В производстве электроники азот применяется для продувки областей, не
допускающих наличия окисляющего кислорода.
В сельском хозяйстве как инертная среда для хранения пищевых продуктов,
для хранения спермы племенных животных, заморозка продуктов в полевых условиях.
В пищевой промышленности азот зарегистрирован в качестве пищевой добавки
E941, как газовая среда для упаковки и хранения, хладагент, а жидкий азот
применяется при розливе масел и негазированных напитков для создания избыточного
давления и инертной среды в мягкой таре.
В пожаротушении литр жидкого азота, испаряясь и нагреваясь до 20°C,
образует примерно 700 литров газа. На этом факте основан принцип тушения
пожаров жидким азотом. Испаряясь, азот вытесняет кислород, необходимый для
горения, и пожар прекращается. Так как азот, в отличие от воды, пены или
порошка, просто испаряется и выветривается, азотное пожаротушение − самый
эффективный с точки зрения сохранности ценностей механизм тушения пожаров.
В медицине для сохранения крови и кровесодержащих препаратов, для
быстрого замораживания и хранения тканей и различных органов, в технологиях
получения полноценных порошковых лекарственных препаратов, в криотерапии.
Азот применяется также для «передавливания» топлива в ракетах из баков в
насосы или двигатели.
Сам по себе атмосферный азот достаточно инертен, чтобы оказывать
непосредственное влияние на организм человека и млекопитающих, не оказывает
вредного воздействия на окружающую среду, не токсичен, не горюч и не
взрывоопасен. Тем не менее, при повышенном давлении он вызывает наркоз,
опьянение или удушье (при недостатке кислорода); при быстром снижении давления
азот вызывает кессонную болезнь.
Аргон
Аргон − инертный одноатомный газ без цвета, вкуса и запаха.
Аргон − одноатомный газ с температурой кипения (при нормальном
давлении) −185,9 °C (немного ниже, чем у кислорода, но немного выше, чем
у азота). Температура плавления −189,4°С. В 100 мл воды при 20 °C
растворяется 3,3 мл аргона, в некоторых органических растворителях аргон растворяется
значительно лучше, чем в воде.
Аргон находит широкое применение благодаря своему основному свойству −
химической неактивности.
Первоначально главным потребителем аргона была электровакуумная техника.
И сейчас подавляющее большинство ламп накаливания (миллиарды штук в год)
заполняют смесью аргона (86%) и азота (14%). Переход с чистого азота на эту
смесь повысил светоотдачу ламп. Поскольку в аргоне удачно сочетаются
значительная плотность с малой теплопроводностью, металл нити накаливания
испаряется в таких лампах медленнее, передача тепла от нити к колбе в них
меньше. Используется аргон и в современных люминесцентных лампах для облегчения
зажигания, лучшей передачи тока и предохранения катодов от разрушения.
Однако в последние десятилетия наибольшая часть получаемого аргона идет
не в лампочки, а в металлургию.
Уже существуют металлургические цеха объемом в несколько тысяч кубометров
с атмосферой, состоящей из аргона высокой чистоты. В этих цехах работают в
изолирующих костюмах, а дышат подаваемым через шланги воздухом (выдыхаемый
воздух отводится также через шланги); запасные дыхательные аппараты закреплены
на спинах работающих.
В среде аргона ведут процессы, при которых нужно исключить контакт
расплавленного металла с кислородом, азотом, углекислотой и влагой воздуха.
Аргонная среда используется при горячей обработке титана, тантала, ниобия,
бериллия, циркония, гафния, вольфрама, урана, тория, а также щелочных металлов.
В атмосфере аргона обрабатывают плутоний, получают некоторые соединения хрома,
титана, ванадия и других элементов.
Все шире применяется дуговая электросварка в среде аргона. В аргонной
струе можно сваривать тонкостенные изделия и металлы, которые прежде считались
трудносвариваемыми. При сварке в аргонной струе нет надобности во флюсах и
электродных покрытиях, а стало быть, и в зачистке шва от шлака и остатков
флюса. Аргон относится к инертным газам, которые химически не взаимодействуют с
металлом и не растворяются в нем. Инертные газы применяют для сварки химически
активных металлов (титан, алюминий, магний и др.), а также во всех случаях,
когда необходимо получать сварные швы, однородные по составу с основным и
присадочным металлом (высоколегированные стали и др.). Инертные газы
обеспечивают защиту дуги и свариваемого металла, не оказывая на него
металлургического воздействия.
Аргон используется в плазменной сварке и резке металлов как
плазмообразующий газ. При микроплазменной сварке большинство металлов сваривают
в непрерывном или импульсном режимах дугой прямой полярности, горящей между
вольфрамовым электродом плазмотрона и изделием в струе плазмообразующего
инертного газа - (чаще всего) аргона.
Электрическая дуга в аргонной атмосфере внесла переворот в технику резки
металлов. Процесс намного ускорился, появилась возможность резать толстые листы
самых тугоплавких металлов. Продуваемый вдоль столба дуги аргон (в смеси с
водородом) предохраняет кромки разреза и вольфрамовый электрод от образования
окисных, нитридных и иных пленок. Одновременно он сжимает и концентрирует дугу
на малой поверхности, отчего температура в зоне резки достигает 4000−6000°С.
К тому же, эта газовая струя выдувает продукты резки.
Поскольку аргон обладает низкой теплопроводностью его используют при
заполнении внутреннего пространства стеклопакетов.
Защитные функции выполняет аргон и при выращивании монокристаллов
(полупроводников, сегнетоэлектриков).
Стремление использовать свойства и возможности сверхчистых материалов −
одна из тенденций современной техники. Для сверхчистоты нужны инертные защитные
среды, разумеется, тоже чистые; аргон − самый дешевый и доступный из
благородных газов.
Аргон высокой чистоты применяют в спектроскопических установках для
анализа чистоты материалов и в аргоновых лазерах.
В пищевой промышленности аргон зарегистрирован в качестве пищевой добавки
E938, в качестве пропеллента и упаковочного газа.
Используется аргон и в качестве огнетушащего вещества в газовых
установках пожаротушения.
Инертные газы обладают физиологическим действием, которое проявляется в
их наркотическом воздействии на организм. Наркотический эффект от вдыхания
аргона проявляется только при барометрическом давлении свыше 0,2 МПа.
Содержание аргона в высоких концентрациях во вдыхаемом воздухе может
вызвать головокружение, тошноту, рвоту, потерю сознания и смерть от асфиксии (в
результате кислородного голодания).
Гелий
Гелий является вторым по лёгкости (после водорода) химическим элементом.
Простое вещество гелий − нетоксично, не имеет цвета, запаха и вкуса. При
нормальных условиях представляет собой одноатомный газ.
Жидкий гелий - бесцветная жидкость без запаха с температурой кипения при
нормальном атмосферном давлении 101,3 кПа (760 мм.рт.ст.) 4,215 К (минус
268,9°С) наименьшей среди всех простых веществ и плотностью 124,9 кг/м3.
Твёрдый гелий получен лишь при давлениях выше 25 атмосфер − при
атмосферном давлении он не переходит в твёрдую фазу даже при крайне близких к
абсолютному нулю температурах.
При нормальных условиях гелий ведёт себя практически как идеальный газ.
Фактически при всех условиях гелий моноатомный. Плотность 0,17847 кг/м3.
Он обладает теплопроводностью (0,1437 Вт/(м·К) при н.у.) большей, чем у других
газов, кроме водорода, и его удельная теплоёмкость чрезвычайно высока (ср =
5,23 кДж/(кг·К) при н.у., для сравнения − 14,23 кДж/(кг·К) для Н2).
При пропускании тока через заполненную гелием трубку наблюдаются разряды
различных цветов, зависящих главным образом от давления газа в трубке. Обычно
видимый свет спектра гелия имеет жёлтую окраску. По мере уменьшения давления
происходит смена цветов − розового, оранжевого, жёлтого, ярко−жёлтого,
жёлто−зелёного и зелёного.
Гелий менее растворим в воде, чем любой другой известный газ. В 1 л воды
при 20 °C растворяется около 8,8 мл (9,78 при 0 °C, 10,10 при 80 °C), в этаноле
− 2,8 (15 °C), 3,2 (25 °C). Скорость его диффузии сквозь твёрдые
материалы в три раза выше, чем у воздуха, и приблизительно на 65 % выше, чем у
водорода.
В настоящее время гелий находит широкое применение.
Является инертной средой для дуговой сварки особенно магния и его
сплавов. Многие технологические процессы и операции нельзя вести в воздушной
среде. Чтобы избежать взаимодействия получаемого вещества (или исходного сырья)
с газами воздуха, создают специальные защитные среды, и нет для этих целей
более подходящего газа, чем гелий.
В медицине смеси He−O2 применяют, благодаря их низкой вязкости, для
снятия приступов астмы и при различных заболеваниях дыхательных путей.
В химии при получении Si, Ge, Ti и Zr.
В дыхательных смесях для работ под давлением, так как гелий хуже
растворим в крови, чем азот, например при морских погружениях, при создании
подводных тоннелей и сооружений. При использовании гелия декомпрессия
(выделение растворенного газа из крови) у водолаза протекает менее болезненно,
менее вероятна кессонная болезнь, исключается такое явление, как азотный
наркоз, − постоянный и опасный спутник работы водолаза.
В военно−промышленных комплексах инертный, легкий, подвижный,
хорошо проводящий тепло гелий − идеальное средство для передавливания из
одной емкости в другую легковоспламеняемых жидкостей и порошков; именно эти
функции выполняет он в ракетах и управляемых снарядах.
В ядерной промышленности в гелиевой защитной среде проходят отдельные
стадии получения ядерного горючего. В контейнерах, заполненных гелием, хранят и
транспортируют тепловыделяющие элементы ядерных реакторов. С помощью особых
течеискателей, действие которых основано на исключительной диффузионной
способности гелия, выявляют малейшие возможности утечки в атомных реакторах и
других системах, находящихся под давлением или вакуумом. В качестве
теплоносителя в некоторых типах ядерных реакторов.
В пищевой промышленности зарегистрирован в качестве пищевой добавки E939,
в качестве пропеллента и упаковочного газа.
При консервировании в среде гелия пищевые продукты сохраняют свой
первоначальный вкус и аромат.
В наружной рекламе для заполнения газоразрядных трубок в смеси с другими
благородными газами.
В точных приборах для газовой смазки подшипников в различных приборах и
оборудовании систем навигации (гироскопы), в счетчиках нейтронов (гелий−3),
в газовых термометрах, в рентгеновской спектроскопии, в течеискателях.
Как компонент рабочего тела в гелий−неоновых лазерах.
В переключателях высокого напряжения в качестве изолирующего газа.
Используется в качестве хладагента для получения сверхнизких температур
(в частности, для перевода металлов в сверхпроводящее состояние).
Поскольку гелий негорюч, его добавляют к водороду для заполнения оболочки
дирижаблей.
И наконец всем известное применение гелия как легкого газа для наполнения
воздушных шаров и оболочек метеорологических зондов.
Гелий не токсичен, не горюч, не взрывоопасен. Оказывает вредное
воздействие лишь в той мере, в какой своим присутствием будет снижать
концентрацию кислорода в организме, что может создать условия невозможные для
дыхания. При высоких концентрациях в воздухе вызывает состояние кислородной
недостаточности и удушье. Жидкий гелий - низкокипящая жидкость, которая может
вызвать обморожение кожи и поражение слизистой оболочки глаз.
Двуокись углерода
Диоксид углерода − CO2 бесцветный газ со слегка
кисловатым запахом и вкусом.
Плотность при нормальных условиях 1,98 г/л. При атмосферном давлении
диоксид углерода не существует в жидком состоянии, переходя непосредственно из
твёрдого состояния в газообразное. Твёрдый диоксид углерода называют сухим
льдом. При повышенном давлении и обычных температурах углекислый газ переходит
в жидкость, что используется для его хранения.
Углекислый газ легко пропускает ультрафиолетовые лучи и лучи видимой
части спектра, которые поступают на Землю от Солнца и обогревают её. В то же
время он поглощает испускаемые Землёй инфракрасные лучи и является одним из
парниковых газов, вследствие чего принимает участие в процессе глобального
потепления. Постоянный рост уровня содержания этого газа в атмосфере
наблюдается с начала индустриальной эпохи.
Двуокись углерода нашла применение в различных отраслях.
В машиностроении и строительстве для холодной посадки частей машин, в
процессах тонкой заточки, для электросварки, основанной на принципе защиты
расплавленного металла от вредного воздействия атмосферного воздуха
Электросварка в защитной среде углекислоты повышает производительность
труда по сравнению с ручной сваркой, снижает более чем в два раза себестоимость
наплавленных металлов, обеспечивает отличное качество сварных швов.
В металлургии продувка углекислым газом литейных форм, при производстве
алюминия и других легкоокисляющихся металлов
В сельском хозяйстве для создания искусственного дождя
В экологии заменяет сильнодействующие минеральные кислоты для
нейтрализации щелочной отбросной воды
В изготовлении противопожарных средств применяется в углекислотных
огнетушителях в качестве огнетушащего вещества, эффективно останавливает
процесс горения
В парфюмерии при изготовлении духов
В горнодобывающей промышленности при методе беспламенного взрыва горных
пород.
В пищевой промышленности диоксид углерода используется как консервант и
обозначается на упаковке под кодом Е290, в качестве разрыхлителя теста, для
производства газированных напитков.
Углекислота в баллончиках применяется в пневматическом оружии и в
качестве источника энергии для двигателей в авиамоделировании.
Двуокись углерода нетоксична и невзрывоопасна. При концентрациях более 5%
(92 г/ м3) двуокись углерода оказывает вредное влияние на здоровье
человека, так как она тяжелее воздуха и может накапливаться в слабо
проветриваемых помещениях у пола. При этом снижается объемная доля кислорода в
воздухе, что может вызвать явление кислородной недостаточности и удушья.
Кислород
Кислород − это газ без цвета, вкуса и запаха.
При нормальных условиях кислород это газ без цвета, вкуса и запаха. 1л
его весит 1,429 г. Немного тяжелее воздуха. Слабо растворяется в воде (4,9
мл/100г при 0 °C, 2,09 мл/100г при 50 °C) и спирте (2,78 мл/100г при 25 °C).
Хорошо растворяется в расплавленном серебре (22 объёма O2 в 1 объёме
Ag при 961 °C). Является парамагнетиком.
При нагревании газообразного кислорода происходит его обратимая
диссоциация на атомы: при 2000 °C − 0,03 %, при 2600 °C − 1 %, 4000
°C − 59 %, 6000 °C − 99,5 %.
Жидкий кислород (темп. кипения −182,98 °C) это бледно−голубая
жидкость.
Твердый кислород (темп. плавления −218,79 °C) − синие
кристаллы.
Широкое промышленное применение кислорода началось в середине XX века,
после изобретения турбодетандеров − устройств для сжижения воздуха и его
разделения.
В машиностроении и строительстве для напыления и наплавки металлов, для
кислородно−ацетиленовой газосварки и газорезки металлов, для плазменного
высокоточного раскроя металлов.
В нефтедобыче закачка в пласт для повышения энергии вытеснения (создание
эффективного движущегося внутрипластового очага горения ВПОГ).
В горнодобывающей промышленности и металлургии при конвертерном
производстве стали, кислородном дутье в доменных печах, извлечении золота из
руд, производстве ферросплавов, выплавке никеля, цинка, свинца, циркония и
других цветных металлов, прямое восстановление железа, огневая зачистка слябов
в литейном производстве, огневое бурение твердых пород.
При сварка и резке металлов кислород в баллонах широко используется для
газопламенной резки и сварки металлов.
В медицине кислород применяется в лечебной практике для обогащения
дыхательных газовых смесей при легочных, сердечных и других заболеваниях, когда
затруднено дыхание. Подкожное введение кислорода является эффективным средством
лечения таких тяжелых заболеваний, как гангрена, тромбофлебит, слоновость,
трофические язвы.
В экологии применяется для очистки питьевой воды, вторичной переработки
металлов, продувки сточных вод кислородом, обезвреживания химически активных
отходов в очистных установках.
В химической промышленности применяется при изготовлении взрывчатых
веществ, производстве химических веществ (ацетилен, целлюлоза, метиловый спирт,
аммиак, азотная и серная кислот), производстве синтетического аммиака,
высокотемпературной конверсии метана. В энергетике при газификации твердого
топлива, обогащение воздуха для бытовых и промышленных котлов, для сжатия водно−угольной
смеси. В военной технике в барокамерах, для работы дизельных двигателей под
водой, в качестве окислителя для ракетного топлива
В сельском хозяйстве при изготовление кислородных коктейлей для прибавки
животных в весе и обогащении кислородом водной среды в рыболовстве. В пищевой
промышленности кислород зарегистрирован в качестве пищевой добавки E948, как
пропеллент и упаковочный газ. Кислород не оказывает вредного воздействия на
окружающую среду. Кислород не токсичен, не горюч и не взрывоопасен, однако,
являясь сильным окислителем, резко увеличивает способность других материалов к
горению. Поэтому для работы в контакте с кислородом могут использоваться только
разрешенные для этого материалы. Накопление кислорода в воздухе помещений
создает опасность возникновения пожаров. Объемная доля кислорода в рабочих
помещениях не должна превышать 23 %. В помещениях, где возможно увеличение
объемной доли кислорода, должно быть ограничено пребывание людей и не должны
находиться легковоспламеняющиеся материалы. Эти помещения должны быть
оборудованы средствами контроля воздушной среды и вытяжной вентиляцией для
проветривания. Длительная ингаляция газообразного кислорода вызывает поражение
органов дыхания и легких.
После пребывания в среде, обогащенной кислородом, не разрешается курить,
использовать открытый огонь и приближаться к огню. Одежда должна быть
проветрена в течение 30 мин.
При контакте кислорода со смазочными материалами происходит взрыв,
поэтому загрязнение баллонов маслом недопустимо.
6. Технологический процесс разделения воздуха
Различные газы, входящие в состав атмосферного воздуха, можно
преобразовать в жидкое и даже твердое состояние, если соответственно повысить
давление и понизить температуру. Люди нашли для воздуха многочисленные и
разнообразные применения. Масштабы применения газовых компонентов атмосферного
воздуха в науке и технике, промышленности и быту во много раз расширились после
того, как был разработан способ разделения воздушной смеси на отдельные
компоненты. Этот способ состоит в том, что воздух сначала преобразуется в
жидкое состояние, а затем подвергается дистилляции или ректификации
(фракционированию) точно так же, как нефть−сырец разделяется на различные
нефтепродукты. Для промышленного применения ректификационного разделения
воздуха важны два обстоятельства. Во−первых, газы, входящие в состав
воздуха, образуют физическую смесь, а не химическое соединение, и, во −вторых,
точки кипения разных компонентов воздуха существенно различаются. Технические
средства, созданные с учетом того и другого, обеспечивают практически полное
разделение основных компонентов воздуха, причем с высокой степенью чистоты
каждого компонента.
Процесс разделения воздуха протекает в три этапа:
− подготовка, или очистка, воздуха;
− преобразование очищенного воздуха в жидкую фазу (ожижение);
− ректификационное разделение жидкой смеси на отдельные газы.
Рисунок 6.1 - Схема воздухоразделительной установки
Прежде чем воздух поступит на вход ожижительной и ректификационной секций
воздухоразделительной установки, из него удаляются все примеси, которые либо
взвешены в атмосферном воздухе в виде твердых частиц, либо легко могут
превратиться в твердые при понижении температуры. В противном случае неизбежна
быстрая закупорка узких каналов оборудования. К таким посторонним примесям
относятся водяной пар, пыль, дым и пары других веществ, а также углекислый газ.
Основная часть этих примесей задерживается масло− и влагоуловителями, как
правило, после компрессорного сжатия. Осушка воздуха после сжатия более
предпочтительна, так как в этом случае меньше воды приходится удалять в виде
пара, поскольку при сжатии он большей частью превращается в жидкость.
Дальнейшая сушка воздуха производится пропусканием его через адсорберы с
активированным оксидом алюминия или силикагелем (частично дегидратированным
диоксидом кремния). Углекислый газ можно удалять химическим путем за счет
реакции с гидроксидом калия или натрия. Однако эти химикаты быстро расходуются
и требуют частого пополнения. На крупных воздухоразделительных установках используются
теплообменные аппараты, в которых удаляются одновременно углекислый газ и
водяной пар, а также охлаждается воздух, поступающий на вход системы.
Легкозамораживаемые газы оседают в твердом виде на металлических поверхностях
теплообменников, которые поддерживаются при очень низких температурах потоком
отделенных газов, проходящим по их внутренним каналам. Систему периодически
очищают от накопившихся примесей, обращая поток газов в теплообменнике.
Очищенный воздух поступает в секцию ожижения и охлаждается в системе
механической рефрижерации, пока основная его часть не превратится в жидкость. В
зависимости от давления, до которого воздух был сжат первоначально, его
температура здесь снижается до примерно 100 К. Давления цикла находятся в
пределах от 0,6 до 20 МПа. При охлаждении используется холод отделенных ранее
газов, поступающих из ректификационной секции. В оптимально сконструированном
теплообменнике холод отделенных газов практически полностью передается
входящему воздуху. На некоторых установках, в частности таких, где часть
отделенных газов отбирается в жидком виде, для предварительного охлаждения до
примерно −40° С (230 К) предусматриваются теплообменники с фреоном или
метилхлоридом. При более низких температурах, необходимых для ожижения воздуха,
охлаждающей средой служит либо входящий воздух, либо отделенный азот. Этот газ,
сжатый до определенного давления, приводит в движение расширительную машину,
или детандер (обращенный компрессор). Расширяясь, газ перемещает поршень,
который через коленчатый вал приводит во вращение электрогенератор, выполняющий
функцию "тормоза". Поскольку газ при расширении в детандере совершает
работу, его теплосодержание и температура понижаются. При первом пуске
установки необходимо сначала охладить ее до рабочей температуры, а для этого
требуется больше холода, чем в установившемся рабочем режиме (захолаживание
установки). Охлаждение можно также осуществлять за счет расширения сжатых газов
в газообразной или жидкой фазе при истечении через дроссельный клапан. В этом
случае понижение температуры обусловлено эффектом Джоуля − Томсона
(дроссель−эффектом). Указанные методы охлаждения основаны на разных
термодинамических эффектах, и если ввести их в цикл в правильной
последовательности, то можно использовать преимущества каждого из них
Секции ожижения и ректификации, работающие при криогенных температурах,
требуют хорошей наружной теплоизоляции. Поэтому аппараты названных секций
снабжаются кожухами, заполненными такими теплоизолирующими материалами, как
минеральная вата, стекловата и пористый вулканический пепел. Конструкционные
материалы теплообменников, ректификационных колонн и соединительных
трубопроводов выбираются очень тщательно. Углеродистые стали при криогенных
температурах становятся хрупкими. Поэтому предпочтение отдается таким
материалам, как медь, бронза, латунь, нержавеющая сталь и алюминий,
обнаруживающим в криогенных условиях превосходные прочностные характеристики.
Разделение ожиженного воздуха на составляющие производится в вертикальных
цилиндрических аппаратах, называемых ректификационными колоннами. Внутри такой
колонны имеется вертикальный ряд горизонтальных "тарелок" с
отверстиями, через которые вниз стекает жидкость, а из нижней части колонны
поднимается газ, вступая в контакт с жидкостью на тарелках. В установках для
выделения с высокой степенью чистоты всех компонентов воздуха предусматривается
целый ряд таких колонн. В верхнюю часть каждой колонны вводится жидкость
соответствующего состава, а в нижней создаются условия, необходимые для
достаточно интенсивного парообразования, так что в колонне происходит
постепенное разделение смеси. В условиях нормального атмосферного давления
воздух ожижается при температуре около 80 К (−190° C); состав смеси
изменяется по сравнению с первоначальным. Если исходный воздух содержит
приблизительно 79% азота и 21% кислорода, то в результате естественного
кинетического перераспределения в жидкости будет 65% азота и 35% кислорода, а в
газе над жидкостью − 87% азота и 13% кислорода. Другие составляющие газы
ведут себя точно так же, независимо от соотношения между кислородом и азотом.
Как правило, пар над жидкостью обогащен компонентом с более низкой температурой
кипения. Соотношение между фазами зависит, конечно, от давления. По мере того
как жидкость опускается, а пары поднимаются по ректификационной колонне,
концентрации выделяемых компонентов в них повышаются; в конце концов, в нижней
части колонны отбирается кислород "товарной" чистоты, в ее верхней
части − высококачественный азот, в других точках − аргон и смесь
"более редких" газов. Поскольку на воздухоразделительных установках
температура, как правило, не опускается ниже точки кипения азота, неон и гелий
остаются неожиженными, и их можно несконденсированными выводить в виде смеси с
азотом из основной ректификационной колонны. Смеси кислорода с аргоном
разделять труднее, чем смеси газов с большой разницей в температурах кипения.
На крупных воздухоразделительных установках конденсационно−испарительный
процесс для увеличения выхода аргона высокой чистоты дополняется химическим процессом.
К смеси кислорода, азота и аргона, отбираемой из криогенной секции системы,
добавляется дозированное количество газообразного водорода. Кислород вступает в
реакцию с водородом в присутствии палладиевого катализатора, и образуется вода,
которая удаляется в осушителях. Остающаяся газообразная смесь аргона и азота
вновь охлаждается и направляется на повторную ректификацию. Редкие газы (гелий,
неон, криптон и ксенон) окончательно разделяются на комбинированных установках,
где конденсационно −испарительный метод сочетается с методом селективной
адсорбции. В качестве адсорбента часто применяется активированный уголь,
охлажденный до температуры жидкого азота.
7.Правила безопасности при производстве и потреблении
продуктов разделения воздуха
Площадки, на которых размещены сосуды и сливоналивные устройства жидких
ПРВ, а также места наполнения и опорожнения транспортных сосудов с жидкими ПРВ
должны иметь сплошное покрытие из бетона или других негорючих материалов. Не
допускается применение асфальта, органических покрытий и деревянных шпал на
железнодорожных путях, в местах перелива жидких ПРВ.
В границах площадок не допускается устройство каналов, траншей, приямков,
колодцев, трапов ливневой канализации и других подземных сооружений.
Все металлические конструкции (опоры сосудов и коммуникаций, площадки,
лестницы и др.), расположенные в пределах площадок, а также на расстоянии от
сосудов с жидкими ПРВ, определяемом нормами по проектированию производств ПРВ,
устанавливаются на бетонные фундаменты с отметкой верха, превышающей отметку
площадки, не менее чем на 0,2 м.
Трапы ливневой канализации, приямки и подвалы, расположенные за пределами
площадок с сосудами и сливоналивными устройствами жидких ПРВ на расстоянии
менее 10,0 м, должны иметь бетонное ограждение (порог) высотой не менее 0,2 м
со стороны, обращенной к площадке, и выступать за габариты ограждаемых объектов
не менее чем на 1,0 м.
Не допускается размещать какие−либо технические устройства и
материалы или изделия, не связанные с процессом производства, приема, хранения
и выдачи жидких ПРВ, в границах площадок с аппаратами ВРУ, сосудами жидких ПРВ
и сливоналивными устройствами.
Площадки с техническими устройствами (стационарные сосуды, сливоналивные
устройства и газификаторы жидких ПРВ, газгольдеры, реципиенты и наполнительные
(разрядные) коллекторы и др.), размещенные вне здания на объектах потребления
ПРВ, должны иметь ограждения из негорючих материалов. Высота ограждений при
размещении площадок на территории, имеющей общее ограждение, должна быть не
менее 1,2 м, при расположении площадок вне ограждаемой территории − не
менее 2,0 м.
Для устройства ограждения разрешается применять металлическую сетку.
Допускается не включать в пределы ограждения места стоянки автомобильных
и железнодорожных транспортных сосудов при переливе или газификации жидких ПРВ
при условии, что на время выполнения операций эти места будут закрыты для
проезда транспорта другого назначения.
В помещениях, предназначенных для стоянки автомобилей с сосудами жидких
ПРВ, устройство смотровых канав и других приямков не допускается.
Дороги, проезды, тротуары, наружные лестницы, эстакады и переходы
необходимо содержать в исправности, своевременно ремонтировать и освещать в
ночное время.
Проезды и подходы к пожарному оборудованию, гидрантам, водоемам и
бассейнам градирен должны быть всегда свободными, оборудованы указателями,
освещаемыми в темное время суток.
На территории организаций габариты приближения зданий и сооружений и
подвижного состава железных дорог колеи 1520 (1524) мм и колеи 750 мм принимаются
по действующим стандартам и нормам проектирования.
Места пересечения железнодорожных путей автодорогами и пешеходными
переходами должны соответствовать проекту и требованиям.
В обоснованных случаях допускается пересечение с железнодорожными путями на
разных уровнях.
Организацией разрабатываются схемы движения транспортных средств и
пешеходов по территории производства, объекта. Схемы движения вывешиваются на
территории организации и во всех производственных помещениях (цехах, отделениях
и др.).
Конструкция элементов зданий, в которых размещены производства,
использующие водород и другие горючие газы, должна исключать образование
застойных зон и невентилируемых участков.
Устройство полов должно соответствовать проекту и требованиям.
Полы в помещениях должны быть устойчивы к механическим, температурным,
химическим и другим воздействиям, производимым в процессе производства.
Во взрывоопасных и пожароопасных зонах помещений полы выполняются в
безыскровом исполнении.
Все строительные конструкции зданий и сооружений, находящиеся под
воздействием агрессивной среды, защищаются от коррозии в соответствии с
проектом и требованиями.
Эксплуатация (содержание, надзор и ремонт) строительных конструкций
производственных зданий и сооружений и контроль над их состоянием должны
соответствовать проекту и требованиям.
Границы проездов и проходов в производственных помещениях должны иметь
ограждения или специальную разметку.
Производственные помещения следует содержать в чистоте. В зависимости от
категории помещения устанавливается порядок уборки полов и других строительных
конструкций.
Загромождение рабочих мест, проходов, выходов из помещений, проходов к
средствам пожаротушения, обеспечения безопасности и связи не допускается.
Накопление пыли на строительных конструкциях внутри помещений, на
площадках обслуживания и на технических устройствах не допускается.
Крыши зданий должны очищаться от пыли, снега и льда. Работы по очистке
крыш выполняются согласно инструкции, утвержденной техническим руководителем
организации.
Устройство защиты зданий, сооружений и наружных установок от прямых
ударов молнии и вторичных ее проявлений определяется проектом.
Технические устройства (технологическое оборудование, аппараты, агрегаты,
машины, компрессоры, технические системы и комплексы, приборы и др.), в том
числе и иностранного производства, применяемые на объектах производства и
потребления ПРВ, должны соответствовать требованиям ОППБ.
Непосредственно у технических устройств или мест их обслуживания и
управления должны помещаться схемы расположения оборудования и аппаратов,
технологических связей и коммуникаций.
К эксплуатации технических устройств допускается только эксплуатационный
и ремонтный персонал, подготовленный в соответствии с требованиями ОППБ.
Инструменты и приспособления, используемые для обслуживания технических
устройств, должны соответствовать требованиям безопасности и выполняемой
работы.
Инструменты и приспособления, используемые во взрывопожароопасных зонах и
помещениях, не должны давать искры при работе с ними.
На рабочих местах инструменты и приспособления хранятся в специально
отведенных для этого местах или инструментальных шкафах.
При использовании механизированных инструментов и приспособлений должны
соблюдаться требования эксплуатационной документации завода−изготовителя.
Не допускается работа на неисправных технических устройствах, а также
использование неисправных приспособлений и инструментов.
Система смазки механизмов должна быть герметичной. Для смазки
труднодоступных, а также часто смазываемых узлов механизмов при их значительном
количестве предусматривается централизованная автоматизированная система
смазки.
Ручная смазка механизмов разрешается только при их полной остановке.
При работе с радиоактивными ПРВ (радиоактивный радон при получении
криптоноксеноновой смеси и криптона) должны соблюдаться требования проекта.
Работы с радиоактивными ПРВ должны выполняться согласно инструкции,
утвержденной в установленном порядке.
В местах, где имеются источники повышенной опасности, должны быть
вывешены предупредительные плакаты, установлены знаки безопасности или устроена
звуковая (световая) сигнализация.
Прием и сдача смены сопровождаются осмотром и проверкой эксплуатируемых
технических устройств и коммуникаций в соответствии с технологической
инструкцией, включая проверку:
− исправности технических устройств;
− наличия и состояния ограждений, защитных блокировок,
сигнализации, контрольно−измерительных приборов, заземления, средств
пожаротушения;
− исправности систем освещения и вентиляции.
Результаты осмотра заносятся в журнал приема и сдачи смены.
Обнаруженные неисправности устраняются.
Технические устройства подлежат обследованию (диагностированию) и
ремонтам в сроки, предусмотренные графиками, утвержденными техническим
руководителем организации.
Капитальные и текущие ремонты основного технологического оборудования
производятся по разработанным и утвержденным проектам организации работ (ПОР).
В ПОР должны быть предусмотрены меры, обеспечивающие безопасность проведения
ремонтных работ, а также указаны лица, ответственные за соблюдение требований
безопасности.
В каждой организации должен быть составлен перечень технических
устройств, ремонт которых должен производиться с применением бирочной системы,
нарядов−допусков и разработкой ПОР. Перечень утверждает технический
руководитель организации.
Ремонтные, строительные и монтажные работы, выполняемые в действующих
цехах силами ремонтного (производственного) персонала других цехов или
подрядных организаций, производятся по нарядам−допускам.
Перед началом работ все специалисты и рабочие, занятые в ремонте, должны
изучить ПОР и пройти инструктаж по безопасности труда.
При изменении условий труда в период ремонта оформляется новый наряд−допуск
и проводится повторный инструктаж.
Допуск персонала к работе производится только с разрешения лица,
ответственного за проведение ремонта.
Передача технических устройств в ремонт и приемка их из ремонта должны
производиться в соответствии с требованиями отраслевых правил и положений.
Остановка всех видов технических устройств для осмотра, чистки или
ремонта, а также их пуск в работу после ремонта производится с соблюдением
требований технологических инструкций, утвержденных техническим руководителем
организации.
Технические устройства, остановленные для внутреннего осмотра, чистки или
ремонта, отключаются от энергоисточников и технологических коммуникаций. На
трубопроводах устанавливаются отключающие заглушки.
Технические устройства должны быть освобождены от технологических
материалов, а устройства, содержащие вредные или взрывоопасные газы, пары или
пыль, кроме того, продуты. Должен быть выполнен анализ воздушной среды на
содержание кислорода, вредных и взрывоопасных веществ. Контрольные анализы
воздуха производятся периодически в процессе выполнения работы.
Действия по установке и снятию заглушек фиксируются в специальном журнале
за подписью лица, ответственного за эту работу.
Электрические схемы приводов разбираются, на пусковых устройствах или на
рукоятках рубильников вывешиваются плакаты "Не включать − работают
люди", а также принимаются меры, исключающие ошибочное или
самопроизвольное включение устройств.
Проведение ремонтных работ внутри нагретых технических устройств
разрешается после снижения температуры воздуха в них до 40 °С и проветривания,
а внутри низкотемпературных технических устройств − после отогрева до
положительных температур (20 °С) и проветривания. На месте выполнения работ
выполняется проверка состава воздуха.
При выполнении ремонтных работ на двух ярусах и более (вертикальных
отметках), расположенных один над другим, между ними должны быть устроены
прочные перекрытия или установлены сетчатые ограждения, исключающие падение
материалов или предметов на работающих.
Сбрасывание с высоты материалов, элементов строительных конструкций,
деталей технических устройств и других предметов не допускается. Бой кирпича и
мусор допускается спускать по трубам или лоткам, нижний конец которых должен
находиться не выше 1,0 м над уровнем земли (пола помещения).
Все работы по перемещению грузов производятся в соответствии с ПОР.
Перемещение крупногабаритных грузов производится в присутствии лица,
ответственного за проведение ремонта.
В случае невозможности устройства лесов и подмостей при выполнении работ
с лестниц на высоте более 2,0 м рабочие должны пользоваться предохранительными
поясами со страховочными канатами. Место закрепления каната определяется
ответственным за проведение ремонта до начала производства работ.
Предохранительные пояса, поясные карабины и страховочные канаты подлежат
испытаниям после получения со склада и не реже двух раз в год в период
использования. Результаты испытания оформляются актом. Каждый пояс и канат
должны иметь инвентарный номер с указанием следующего срока испытания.
Ремонтные работы прекращаются, если:
− обнаружено несоответствие фактического состояния производства
работ требованиям безопасности;
− выявлено нарушение условий отключения технических устройств;
− характер и объемы работ изменены в такой степени, что требуется
изменение схемы отключения технических устройств и порядка выполнения работ;
− появилась угроза жизни и здоровью работающих;
− в производственном помещении подан аварийный сигнал.
Перенос сроков проведения текущих ремонтов основного технологического
оборудования допускается только при наличии положительного заключения комиссии,
проводившей освидетельствование технического устройства, и письменного
разрешения технического руководителя организации.
Перенос сроков проведения капитальных ремонтов основного технологического
оборудования допускается только при наличии положительного заключения
экспертизы промышленной безопасности (экспертного обследования).
Основное технологическое оборудование после капитального ремонта или
реконструкции может быть введено в эксплуатацию только после его приемки
комиссией с участием представителей территориальных органов Госгортехнадзора
России. Результаты приемки оформляются актом.
Не допускается попеременное использование технических устройств и
коммуникаций, работающих с кислородом, для работы с воздухом, азотом, аргоном и
другими газами, за исключением случаев, предусмотренных технологическим
процессом (отогрев, регенерация, продувка и т.п.).
При эксплуатации кислородных технических устройств не допускается
перетекание кислорода в потоки других газов.
Смешение кислорода с другими газами допускается в случаях и с
использованием устройств, предусмотренных проектом.
Технические устройства, используемые для работы с одним из продуктов
разделения воздуха, допускается применять для работы с другими ПРВ при
соблюдении следующих условий:
− если техническими условиями предусмотрена работа устройства с
воздухом, другими ПРВ и продуктами (газами);
− техническое устройство при необходимости отогрева полностью
отогревается до положительных температур, продувается, после чего заполняется
новым продуктом;
− перед использованием технического устройства для работ с
кислородом его внутренняя поверхность (проточная часть) проверена на наличие
следов масла и при необходимости обезжирена;
− знаки безопасности, отличительная окраска и надписи на
техническом устройстве и коммуникациях, а также контрольно−измерительные
приборы и технологические схемы коммуникаций должны быть приведены в
соответствие с новыми условиями работы устройства;
− после первого заполнения технического устройства новым продуктом
проводятся контрольные анализы продукта, подтверждающие его чистоту;
− перевод технического устройства на работу с другим продуктом
оформляется актом, подтверждающим выполнение всех требований настоящего пункта,
и утверждается техническим руководителем организации.
Не допускается эксплуатация технических устройств с неисправными
системами управления и контроля технологических процессов, системами
противоаварийной защиты, сигнализации, связи и оповещения, а также приборов и
устройств с истекшим сроком эксплуатации.
При эксплуатации технических устройств и коммуникаций необходимо
контролировать их герметичность.
При обнаружении утечки газообразных или жидких продуктов работа
технического устройства должна быть приостановлена, а утечки ликвидированы.
При небольших утечках, когда исключается опасность для обслуживающего
персонала или возможность возникновения инцидентов и аварий, временная работа
технического устройства может быть продолжена с разрешения технического
руководителя производства (цеха) при условии разработки мероприятий,
обеспечивающих безопасность персонала, контроля за содержанием кислорода в
воздухе рабочей зоны и наличии в местах повышенной опасности знаков
безопасности.
При обнаружении утечки газообразных или жидких ПРВ во внутриблочном
пространстве воздухоразделительной установки (ВРУ) с перлитовой изоляцией
работа ВРУ немедленно останавливается для устранения утечки.
Не допускается использование открытого пламени или тлеющих предметов для
определения мест утечек газообразных продуктов.
В помещениях, связанных с производством, хранением и потреблением ПРВ,
осуществляется контроль за состоянием воздушной среды. Объемная доля кислорода
в воздухе этих помещений должна составлять не менее 19 и не более 23 %.
Порядок контроля воздушной среды − применение автоматических
газоанализаторов с устройством сигнализации, периодичность отбора проб воздуха
в помещении и на рабочих местах − определяется проектной организацией с
учетом конкретных условий эксплуатации, видов технических устройств и норм
проектирования.
В каждой организации составляется перечень помещений и мест, в которых
содержание кислорода по объемной доли может быть менее 19 или более 23 % (в
аварийной ситуации), с указанием видов и периодичности контроля и мер по
нормализации состава воздуха. Перечень утверждается техническим руководителем
организации.
Все работы в помещениях, включенных в вышеуказанный перечень, выполняются
только по наряду−допуску, кроме периодически повторяющихся работ при
условии выполнения требований.
При непрерывном автоматическом контроле содержания кислорода в воздухе
сигнализирующие устройства выдают сигналы при снижении или повышении объемной
доли кислорода менее 19 или более 23 %.
При достижении предельных концентраций кислорода в воздухе контролируемых
помещений немедленно осуществляются меры по нормализации состава воздуха за
счет автоматического или ручного (обслуживающим персоналом) включения аварийных
вентсистем.
В производственных помещениях объектов производства и потребления ПРВ
могут находиться только лица, непосредственно занятые эксплуатацией или
ремонтом технических устройств, а также лица, имеющие специальное разрешение
руководителя производства (цеха) или его заместителя, после инструктажа по
технике безопасности и в сопровождении специалиста данного производства.
При эксплуатации низкотемпературных технических устройств необходимо
обеспечить контроль за осадкой фундаментов под ними в соответствии с
требованиями проекта.
Не допускается скопление воды в подвальных помещениях таких фундаментов и
в примыкающих к ним приямках.
Не допускается использование подвальных помещений под низкотемпературными
техническими устройствами, а также приямков газгольдеров ПРВ для складских или
других нужд.
Во внутриблочном пространстве ВРУ, криогенных комплексов и хранилищах
жидких ПРВ не допускается применение конструктивных элементов из материалов,
взрывоопасных в жидком кислороде (органические материалы, древесина и др.).
К работам повышенной опасности относятся работы в следующих помещениях и
местах:
− подвальные помещения низкотемпературных технических устройств
(ВРУ, криогенные комплексы, хранилища жидких ПРВ);
− внутриблочное пространство и отсеки низкотемпературных
технических устройств;
− трубопроводы, клапаны, колодцы, закрытые траншеи, приямки
газгольдеров, площадки с оборудованием, расположенным вне здания, и сооружения
вблизи сбросных трубопроводов или на расстоянии менее 10,0 м от систем азотно−водяного
охлаждения (АВО).
Ремонтные работы в этих местах необходимо выполнять по наряду−допуску,
в котором указывается периодичность контроля объемной доли кислорода в воздухе
во время выполнения работ.
Предохранительные клапаны и другие защитные устройства, установленные на
технических устройствах и коммуникациях, необходимо отрегулировать на давление
открывания и опломбировать. Регулировка и проверка исправности действия
предохранительных клапанов и других защитных устройств производится согласно
проекту и требованиям промышленной безопасности к устройству и безопасной
эксплуатации сосудов, работающих под давлением. При этом проверку исправности и
регулировку клапанов и других защитных устройств, установленных на
низкотемпературных технических устройствах, необходимо производить при каждом
плановом полном отогреве низкотемпературного оборудования.
При разработке технических устройств и их эксплуатации необходимо
предусматривать меры, исключающие обмерзание предохранительных клапанов в
закрытом положении.
Трубопроводы сброса ПРВ от предохранительных клапанов и других защитных
устройств с пропускной способностью более 100 м
/ч необходимо выводить за пределы
здания. Допускается объединять трубопроводы сбросов от защитных устройств,
установленных на одном и том же техническом устройстве или участке
трубопровода, при условии, что общий коллектор сбросов будет рассчитан на
количество газа, поступающего от всех одновременно сработавших защитных
устройств.
Конструкция и размещение устройств сброса в атмосферу азота и кислорода
должны обеспечить объемную долю кислорода в воздухе в пределах от 19 до 23 % в
местах возможного нахождения обслуживающего персонала и забора воздуха для
вентиляции и технологических нужд.
При открытии или закрытии трубопроводной арматуры в необходимых случаях допускается
использование специальных вспомогательных приспособлений. Не допускается
закрывать арматуру посредством ударов.
Арматуру необходимо открывать и закрывать плавно, без рывков.
При открытии и закрытии арматуры не допускается находиться напротив оси
шпинделя.
На технологической трубопроводной арматуре должны быть нанесены
обозначения в соответствии с технологическими схемами, должно быть указано
направление вращения маховика и крайних положений затвора "Открыто" −
"Закрыто".
Отогрев трубопроводной арматуры производится снаружи горячим воздухом,
паром или горячей водой. Использование открытого пламени для отогрева арматуры
не допускается.
Перед отсоединением импульсных и других трубок систем КИПиА от арматуры и
коммуникаций, расположенных на кожухе низкотемпературного технического
устройства, необходимо убедиться, что отключающая их арматура закрыта.
Тепло− и звукоизоляция технических устройств и коммуникаций
выполняется из негорючих материалов (основные изоляционные материалы) в
соответствии с проектом.
Защита от статического электричества технических устройств (ВРУ,
установки получения редких газов, кислородные компрессоры и газгольдеры, сосуды
стационарных хранилищ жидкого кислорода и др.) и коммуникаций (трубопроводы и
арматура газообразного кислорода и жидких ПРВ) выполняется в соответствии с
проектом.
Эксплуатация переносных сосудов жидких ПРВ производится согласно
требованиям технологической инструкции, учитывающей требования заводов −
изготовителей сосудов.
На каждом производстве ПРВ предусматривается устройство (площадка вне
здания) для безопасного слива и испарения небольшого количества жидких ПРВ,
сливаемых из переносных сосудов при отогревах ВРУ малой производительности,
после выполнения анализов жидких продуктов и других работах. При размещении
устройства следует обеспечить условия для его естественного проветривания.
Место слива должно иметь ограждение.
Около устройства устанавливаются соответствующие знаки безопасности с
поясняющей надписью "Место для слива жидких криогенных продуктов разделения
воздуха. Опасно!".
Слив жидких ПРВ на пол в производственном помещении, на грунт или на
асфальтовое покрытие не допускается.
Трубопроводы слива жидких ПРВ из аппаратов технических устройств в
испаритель необходимо отогревать до положительных температур, до и после
каждого слива.
Спецодежда, спецобувь персонала, обслуживающего кислородные технические
устройства, должны быть чистыми и не содержать следов масла.
Наполнение и опорожнение сосудов с жидкими ПРВ необходимо выполнять в
заправленных под рукава брезентовых или кожаных рукавицах и защитных очках с
боковыми щитками. Брюки должны быть надеты поверх обуви. Верхняя одежда −
застегнута.
8. Методика расчета загрязнения атмосферы в случае выброса
газа
Максимальное значение приземной концентрации вредного вещества см
(мг/м3) при выбросе газа определяется по формуле:

, (8.1)
где
А - коэффициент, зависящий от температурной стратификации атмосферы;
M - масса
вредного вещества, выбрасываемого в единицу времени, г/с;
F - безразмерный
коэффициент, учитывающий скорость оседания вредных веществ в атмосферном
воздухе;
т
и n - коэффициенты. учитывающие условия выхода газа из
источника выброса;
з
- безразмерный коэффициент, учитывающий влияние рельефа местности;
H - высота
источника выброса над уровнем земли, м;
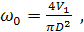
V1 - расход газа, м3/с.

(8.2)
где
D - диаметр источника выброса, м;
w0 - средняя скорость выхода газа из источника выброса,
м/с.
Значения
коэффициентов m и n определяются в зависимости от параметров f, vм:

(8.3)

(8.4)
Коэффициент
m определяется в зависимости от f по
формулам:

(8.5)

(8.6)
Коэффициент
n при f < 100 определяется в зависимости от vм по формулам:

(8.7)

(8.8)

(8.9)
Расстояние
xм (м) от
источника выбросов, на котором приземная концентрация см (мг/м3)
при неблагоприятных метеорологических условиях достигает максимального
значения, определяется по формуле:

(8.10)
где
d −
безразмерный коэффициент d, определяемый по формулам:

(8.11)

(8.12)

(8.13)
Значение
опасной скорости uм (м/с) на
уровне 10 м от земли, при которой достигается наибольшее значение приземной
концентрации вредных веществ см, определяется по формулам:

(8.14)

(8.15)

(8.16)
Максимальное
значение приземной концентрации вредного вещества сu
(мг/м3) при неблагоприятных метеорологических условиях и скорости
ветра u (м/с), отличающейся от опасной скорости ветра uм (м/с), определяется по формуле:

(8.17)
где
r - безразмерная величина, определяемая в зависимости
от отношения u/uм по
формулам:

(8.18)

(8.19)
Расстояние
от источника выброса xu (м), на котором при скорости ветра u и
неблагоприятных метеорологических условиях приземная концентрация вредных
веществ достигает максимального значения сu (мг/м3),
определяется по формуле:

(8.20)
где
р - безразмерный коэффициент, определяемый в зависимости от отношения u/uм по формулам:

(8.21)

(8.22)

(8.23)
9. Расчет загрязнения атмосферы в случае выброса азота
Расход газа V1=0,017 м3/с, диаметр
источника выброса D=0,15 м.
Определяем среднюю скорость выхода газа из источника выброса w0:

м/с
Высота
источника выброса над уровнем земли H=2 м, разность между
температурой выбрасываемого газа и температурой окружающего атмосферного
воздуха ДT=12,1.
Значения
коэффициентов m и n
определяются в зависимости от параметров f, vм:
Коэффициент
m определяется в зависимости от f:
Коэффициент
n при f < 100 определяется в зависимости от vм:

(8.9)
Коэффициент,
зависящий от температурной стратификации атмосферы А=140, масса вредного
вещества, выбрасываемого в единицу времени, M=0,022 г/с,
безразмерный коэффициент, учитывающий скорость оседания вредных веществ в
атмосферном воздухе F=2, безразмерный коэффициент, учитывающий влияние
рельефа местности з=1.
Определяем
максимальное значение приземной концентрации вредного вещества см
при выбросе газа:

мг/м3
Определяем
безразмерный коэффициент d:
Определяем
расстояние xм от
источника выбросов, на котором приземная концентрация см при
неблагоприятных метеорологических условиях достигает максимального значения:

м
Определяем
значение опасной скорости uм на
уровне 10 м от земли, при которой достигается наибольшее значение приземной
концентрации вредных веществ см:
Безразмерная
величина r определяется в зависимости от отношения u/uм:
Определяем
максимальное значение приземной концентрации вредного вещества сu
при неблагоприятных метеорологических условиях и скорости ветра u,
отличающейся от опасной скорости ветра uм:

мг/м3
Безразмерный
коэффициент р определяется в зависимости от отношения u/uм:

(8.23)
Определяем
расстояние от источника выброса xu, на котором при скорости ветра u и
неблагоприятных метеорологических условиях приземная концентрация вредных
веществ достигает максимального значения сu:

м
Заключение
В проекте инвентаризации приведены общие сведения о предприятии,
установке разделения воздуха и описание технологического процесса, а также использованы
методы расчета загрязнения атмосферы в случае выброса газа.
Предприятие по производству, хранению и транспортировке продуктов
разделения воздуха может представлять собой опасность для рабочего персонала и
управляющего состава, находящихся в зоне возможной аварийной ситуации.
При выбросе в атмосферу азота концентрация превысила ПДК в 13 раз, то
есть в случае аварии последствия имеют летальный исход.
Прежде всего это наступает при нарушении правил безопасности,
несоблюдении технологического процесса, отказа или неисправности оборудования,
ошибках хранения и транспортировки технических газов.
Во избежание необходимы меры по защите рабочего персонала и руководящего
состава в случае аварийной ситуации, а также усовершенствование оборудования и
процесса производства, а также ужесточение мер наказания при нарушении правил
безопасности.
2. «Методика расчета выбросов от неорганизованных
источников». - Новороссийск, 1989. - С. 3.
3. «Методика расчета концентраций в
атмосферном воздухе вредных веществ, содержащихся в выбросах предприятий. ОНД−86».
- Ленинград, Гидрометеоиздат, 1986.
. «Перечень и коды веществ,
загрязняющих атмосферный воздух». - Санкт−Петербург, «Интеграл», 2005.
. «Сборник методик по расчету
выбросов в атмосферу загрязняющих веществ различными производствами». -
Ленинград, Гидрометиздат, 1986. - 161 с.
6. ГОСТ 17.2.3.02−78. Охрана природы. Атмосфера.
Правила установления допустимых выбросов вредных веществ промышленными
предприятиями. - Москва, Из−во стандартов, 1979.
. ГОСТ 17.2.1.04−77. Охрана природы. Атмосфера.
Источники и метеорологические факторы загрязнения, промышленные выбросы.
Основные термины и определения. - Москва, Из−во стандартов, 1977.
. СН 245−17. Санитарные нормы проектирования
промышленных предприятий. - Москва, Из−во литературы по
строительству,1972.