Форми і системи оплати праці. Загальна характеристика процесу реструктуризації підприємства

  • Вид работы:
    Контрольная работа
  • Предмет:
    Эктеория
  • Язык:
    Украинский
    ,
    Формат файла:
    MS Word
    124,79 Кб
  • Опубликовано:
    2013-08-14
Вы можете узнать стоимость помощи в написании студенческой работы.
Помощь в написании работы, которую точно примут!

Форми і системи оплати праці. Загальна характеристика процесу реструктуризації підприємства














КОНТРОЛЬНА РОБОТА

назва дисципліни: Економіка підприємства

студент 3 курсу, спеціальності: Фінанси і кредит

Зміст

1. Форми і системи оплати праці на підприємстві

. Загальна характеристика процесу реструктуризації підприємства

. Задача 1

. Задача 2

. Задача 3

. Задача 4

. Використана література

1.Форми і системи оплати праці на підприємстві

Відповідно до Закону України «О оплаті праці» від 24 березня 1995 року № 108/95-ВР із змінами і доповненнями заробітна плата - це винагорода, що обчислюється, як правило, в грошовому вираженні, яке згідно з трудовою угодою працедавець виплачує працівникові за виконану їм роботу.

Заробітна плата (оплата праці працівника) це винагорода за працю, залежно від кваліфікації працівника, складності, кількості, якості і умов виконуваної роботи, а також компенсаційні і стимулюючі виплати.

Інші визначення заробітної плати:

-          це частина національного доходу, призначена для задоволення особистих потреб працівника, що видається в грошовій формі відповідно до кількості та якості витраченої праці.

-          ціна трудових ресурсів, задіяних у виробничому процесі, виражена в грошовій формі

-          частина сукупного суспільного продукту, що поступає в особистий вжиток трудящих відповідно до кількості і якості витраченої праці

-          частина витрат на виробництво і реалізацію продукції, що направляється на оплату праці працівників підприємства.

Розрізняють номінальну і реальну заробітну плату. Номінальна заробітна плата - це нарахована і отримана працівником заробітна плата за його працю за певний період. Реальна заробітна плата - це кількість товарів і послуг, які можна придбати за номінальну заробітну плату; реальна заробітна плата - це «купівельна спроможність» номінальної заробітної плати.

Цілком очевидно, що реальна заробітна плата залежить від величини номінальної заробітної плати і цін на товари, що набувають, і послуги, Наприклад, при підвищенні номінальної заробітної плати на 15 % і інфляція за цей період на рівні 10 % реальна заробітна плата збільшиться лише на 5 %. Таким чином, перевищення інфляції в порівнянні із зростанням номінальної заробітної плати призводить до зниження реальної заробітної плати і навпаки. За відсутності інфляції зростання номінальної заробітної плати означає таке ж зростання і реальної заробітної плати.

Види заробітної плати.

Заробітна плата посідає одне із центральних місць в обліку на підприємстві.

Основою організації оплати праці на підприємстві є тарифна система, яка включає: тарифні сітки, тарифні ставки, схеми посадових окладів і тарифно-кваліфікаційні характеристики (довідники).

Тарифна система оплати праці використовується для розподілу робіт за їх складністю, а працівників - залежно від їх кваліфікації й відповідальності за розрядами тарифної сітки.

Вона служить підставою для формування і диференціації розмірів заробітної плати.

Підприємства й організації при складанні трудової угоди встановлюють кожному працівникові розмір тарифної ставки (посадового окладу), види доплат, компенсаційні і гарантовані виплати, передбачені чинним законодавством.

Основна заробітна плата - це винагорода за виконану роботу згідно з встановленими нормами (норми часу, виробітку, обслуговування, посадові оклади). Вона встановлюється у вигляді тарифних ставок і відрядних розцінок для робітників і посадових окладів для службовців.

До додаткової заробітної плати належать винагороди за працю понад встановлені норми, за трудові досягнення і винахідництво, а також особливі умови праці. Вона включає доплати і надбавки до тарифних ставок і посадових окладів у розмірах, передбачених чинним законодавством: премії працівникам, керівникам, спеціалістам за виробничі результати, включаючи премії за економію конкретних видів матеріальних ресурсів; винагороди за вислугу років і стаж роботи; оплату щорічних і додаткових відпусток згідно із законодавством, компенсацій за невикористану відпустку тощо.

До інших заохочувальних і компенсаційних виплат належать надбавки і доплати, не передбачені чинним законодавством і понад встановлені розміри; винагороди за підсумками роботи за рік; премії за винахідництво і раціоналізацію; за створення, освоєння і впровадження нової техніки; за своєчасну поставку продукції на експорт; одноразові заохочення окремих працівників за виконання особливо важливих виробничих завдань тощо.

Вичерпний перелік основної і додаткової заробітної плати та інших заохочувальних і компенсаційних виплат міститься в інструкції по статистиці заробітної плати, затвердженій наказом Мінстату України від 11.12.95 №323.

Усі державні, кооперативні підприємства і господарські товариства повинні вести окремий облік:

-          фонду заробітної плати робітників і службовців:

-          спискового складу

-          позаспискового (позаштатного) складу

-          разових та інших премій, які не включаються до фонду заробітної плати;

-          інших грошових і натуральних виплат робітникам і службовцям.

Джерелами коштів на оплату праці на підприємствах є кошти, одержані в результаті їх господарської діяльності; в бюджетних установах асигнування з бюджету, а також частка доходів, одержаних у результаті їх господарської діяльності.

У підприємствах недержавної форми власності й об'єднаннях громадян (кооперативах, спільних підприємствах з іноземними інвестиціями, акціонерних та інших господарських товариствах) оплата праці здійснюється відповідно до положень, передбачених установчими документами, з дотриманням норм і гарантій в оплаті праці відповідно до чинного законодавства.

Держава згідно з Законом України «Про оплату праці» здійснює регулювання оплати праці працівників підприємств усіх форм власності шляхом встановлення розміру мінімальної заробітної плати, інших державних норм і гарантій, а також шляхом прогресивного оподаткування доходів громадян.

Форми і системи оплати праці.

На підприємствах застосовують дві форми оплати праці - відрядну і погодинну. Кожна з цих форм має різновиди (системи).

Так, відрядна форма оплати праці має системи: пряма відрядна, відрядно-преміальна, відрядно-прогресивна, акордна. При прямій відрядній системі оплата праці здійснюється за кожну одиницю виготовленої продукції (виконаних робіт, послуг).

Відрядно-преміальна система передбачає, що робітникам, крім основного заробітку, нараховуються премії (за виконання норм виробітку, економію матеріалів, якість продукції тощо). Ця система стимулює покращення кількісних і якісних показників роботи, тому широко застосовується на підприємствах.

При відрядно-прогресивній системі виконані роботи оплачуються: в межах норми - за твердими розцінками, понад норми - за підвищеними прогресивно-зростаючими розцінками. Ця система має обмежене застосування (на найважливіших ділянках господарської діяльності), оскільки при її застосуванні темпи зростання заробітної плати можуть випереджати темпи росту продуктивності праці, що може призвести до перевитрати фонду оплати праці, підвищення собівартості продукції.

При акордній системі оплати праці норма і розцінка визначаються на весь комплекс виконуваних робіт (ремонтних, будівельних тощо).

Погодинна форма оплати праці має дві системи: проста погодинна і погодинно-преміальна.

При простій погодинній системі праця працівників оплачується виходячи тільки з кількості відпрацьованого часу і тарифної ставки (посадового окладу) відповідно до їх кваліфікації.

При погодинно-преміальній системі до погодинної ставки (посадового окладу) за досягнення визначних показників працівникам виплачується премія.

Економічна доцільність застосування тих або інших форм і систем оплати праці визначається їх стимулюючою роллю в підвищенні ефективності діяльності кожної ділянки і підприємства в цілому.

Підприємство самостійно обирає системи і форми оплати праці персоналу. Причому, якщо менеджери підприємств державної форми власності при встановленні конкретних розмірів оплати праці мають керуватися єдиною тарифною сіткою, то керівники підприємств інших форм власності, використовуючи традиційну тарифну систему, можуть застосовувати тарифні ставки як орієнтири, запроваджуючи власну модель оплати праці.

Форми та системи оплати праці зазначаються у колективному договорі підприємства з дотриманням норм і гарантій, передбачених законодавством, генеральною та галузевою (регіональною) угодами. Якщо колективний договір на підприємстві не укладено, власник або уповноважений ним орган зобов'язаний погодити питання оплати праці з профспілковим органом, а у разі його відсутності, - з іншим уповноваженим на представництво трудовим колективом органом.

Останніми роками досить значно поширилися система оплати з визначенням розміру оплати праці працівника, виходячи із заробітної плати керівника; у цьому випадку місячна заробітна плата керівника береться як 100 %, а для кожної посади (зважаючи на вагомість у структурі підприємства) встановлюється коефіцієнт.

Рейтингова система застосовується на багатьох підприємствах. За цією системою оплати праці рейтинг конкретного працівника визначає розмір його місячної заробітної плати.

В умовах становлення ринкових відносин на багатьох підприємствах знайшла використання безтарифна система оплати праці.

Фактична заробітна плата кожного працівника підприємства є часткою у фонді оплати праці всього колективу окремого підрозділу і залежить від кваліфікаційного рівня працівника.

Контрактна система оплати праці ґрунтується на заключенні договору між роботодавцем і виконавцем, в якому обумовлюються режим та умови праці, права й обов’язки сторін, рівень оплати праці та інше. Договір може оплачувати час знаходження виконавця на підприємстві, фірмі (погодинна оплата праці) або конкретне виконане завдання (відрядна оплата).

З метою узгодження інтересів найманого персоналу і власників підприємства та орієнтації роботи кожного члена трудового колективу на кінцевий результат діяльності підприємства, на зростання прибутковості та його ринкової вартості, можливе застосування системи участі у прибутках. Окрім економічних цілей система участі в прибутках має і психологічні цілі - створення єдиної команди, виховання корпоративного духу на підприємстві, що, у свою чергу, має призвести до поліпшення результатів діяльності підприємства в цілому.

Система участі у прибутках передбачає розподіл певної частини прибутку підприємства між його працівниками. Такий розподіл може проводитись у формі грошових виплат або розповсюдження акцій між працівниками підприємства. Впровадження такої системи викликане тим, що існуючі системи оплати праці не викликають у працівників реальної зацікавленості у значних загальних результатах роботи підприємства. А справедливий і зрозумілий для всіх розподіл частини прибутку між власником підприємства, адміністрацією, спеціалістами і робітниками створює умови для хорошого психологічного клімату в колективі й процвітання підприємства.

Виплати з прибутків залежать від рівня витрат на виробництво, цін, фінансового стану підприємства. Їх розміри визначаються окремою угодою між відповідними сторонами (при укладанні тарифних угод).

Системи участі у прибутках диференціюються на систему оцінки заслуг, систему преміальних виплат, систему колективного стимулювання, систему участі у прибутках в залежності від продуктивності та інше.

Крім описаних вище систем оплати праці, роботодавцем може застосовуватись будь-яка інша форма оплати праці, що не порушує інтересів працівника, з одного боку, а з іншого - не погіршує його становища порівняно з передбаченим у колективному договорі й у законодавстві.

У таблиці 2 наведено очікувані та прогнозні оцінки середньомісячної заробітної плати по економіці загалом і за видами економічної діяльності у 2010 - 2012 pp., що розраховані на основі застосування придатного для короткострокового прогнозування методу.

Таблиця 2 Прогноз середньомісячної заробітної плати у 2010-2012 рр., грн.

Рік

2010

2011

2012

Сценарій

1

1.4

2.1

2.2

1.4.1

2.1.1

2.2.1

Середньозважена мінімальна заробітна плата

430

528

517

538

636

600

613

Всього по економіці

1352

1658

1624

1690

2004

1886

1926

Всього по корпоративному сектору

1508

1850

1812

1885

2235

2104

2148

Всього по бюджетній сфері

1059

1299

1272

1323

1570

1477

1508

Державне управління

1846

2264

2218

2307

2737

2576

2629

Освіта

978

1199

1175

1222

1449

1364

1393

Охорона здоров’я та соціальна допомога

813

998

977

1017

1206

1135

1159

Колективні, громадські та особисті послуги

991

1216

1191

1239

1470

1383

1412

з них у сфері відпочинку і розваг, культури і спорту

974

1195

1171

1218

1445

1360

1388


2. Загальна характеристика процесу реструктуризації підприємства

Слово "реструктуризація" (restructuring) було введено у професійне вживання Джеком Велчем із General Electric на початку 80-х років минулого століття і з того часу його трактування набувало різного значення і кожний вкладав у нього різний зміст.

Так серед варіантів трактування реструктуризації можна виділити такі:

комплексні зміни із антикризовими заходами;

кардинальні зміни організаційно-правової структури суб'єкта господарювання;

комплекс заходів, пов'язаних із перетворенням усіх сфер діяльності підприємства, від структури фінансів, до технічного переозброєння і пошуку нових ніш на ринку;

комплексні та взаємопов'язані зміни структур, що забезпечують функціонування підприємства в цілому;

створення на базі підприємства кількох менших економічних одиниць;

комплекс реорганізаційних заходів, які мають на меті вихід підприємства із кризи і забезпечення його подальшого розвитку.

У Законі України “Про відновлення платоспроможності боржника або визнання його банкрутом” N 2343-XII, 14.05.1992 процес реструктуризації підприємства визначено як здійснення організаційно-господарських, фінансово-економічних, правових, технічних заходів, спрямованих на реорганізацію підприємства, що сприятиме його фінансовому оздоровленню, збільшенню обсягів випуску конкурентоспроможної продукції, підвищенню ефективності виробництва та задоволенню вимог кредиторів.

За всією різноманітністю наведених визначень, можна визначити головну ідею, якою є ствердження, що "реструктуризація - це зміни, а зміна - це саме життя". Реструктуризації властивий свій життєвий цикл, своя еволюція зародження, розвитку становлення і подальшої трансформації.

Метою проведення реструктуризації є створення таких господарюючих суб’єктів, які здатні виготовляти конкурентноспроможну продукцію, бути технічно забезпеченими і фінансово-дієздатними.

Процес реструктуризації може бути викликаний рядом зовнішніх і внутрішніх причин.

Залежно від об'єкту і характеру здійснюваних заходів по реформуванню підприємства, розрізняють наступні форми реструктуризації:

.Реструктуризацию виробництва;

.Реструктуризацию активів підприємства;

.Фінансову реструктуризацію;

.Реорганизацию, тобто зміна організаційної структури підприємства.

Кожна з наведених форм реструктуризації передбачає проведення великого комплексу заходів, які направлени на удосконалення і оптимізацію відповідної сфери підприємства. Ключовою та найбільш складною формою реструктуризації є реорганізація підприємства, що передбачає вдосконалення організаційно-господарської і управлінської структури підприємства.

Зазвичай розрізняють такі види реструктуризації підприємств:

.Направлену на укрупнення підприємства (злиття, приєднання, поглинання);

.Направлену на дроблення підприємства (розділення, виділення);

.Без зміни розмірів підприємства (перетворення).

Суть кожного з цих видів реорганізації полягає в наступному: злиття два і більше підприємств в одне означає перехід майна, прав і обов'язків кожного з них до знов виниклого підприємства.

Розрізняють: горизонтальне злиття - об'єднання підприємств, які виробляють однакового типа товарів або надають однакові послуги, і вертикальне злиття - об'єднання якого-небудь підприємства з його постачальником сировини або споживачем його продукції.

Приєднання одного підприємства до іншого означає, що до останнього переходять майно, права і обов'язки першого підприємства. Нове підприємство унаслідок такої реорганізації не виникає.

Поглинання - є придбання всіх або абсолютної більшості корпоративних прав одного підприємства іншим підприємством.

При цьому поглинене підприємство може зберегти свій статус юридичної особи і стати дочернім підприємством, або може виявитися приєднаним до нього і стати його структурним підрозділом, втративши при цьому свій юридичний статус.

Розділення підприємства є створення на основі того, що одного існує два і більше нових підприємств як самостійних юридичних осіб. При цьому вихідне підприємство припиняє своє існування, ліквідовується. Такий спосіб реорганізації ще не застосовувався в металургійному комплексі.

Виділення передбачає, що з підприємства, що діє, виділяється одне або декілька структурних підрозділів і на базі їх майна створюються нові підприємства. При виділенні з юридичної особи одного або декількох нових юридичних осіб до кожного з них переходить у відповідних частинах майнові права і обов'язки реорганізованої юридичної особи.

Перетворення підприємства це зміна існуючої форми власності, або організаційно-правової форми підприємства на інших без припинення його господарської діяльності. При перетворенні до знов виниклого підприємства переходять всі права і обов'язки раніше існуючого підприємства.

В даному випадку, поважно звернути увагу, що при здійсненні всіх перерахованих способів трансформації підприємств має місце правонаступництво, тобто заміна в раніше виниклих правовідносинах одних юридичних осіб іншими з переходом до останніх прав і обов'язків перших.

На практиці це означає, що до знов створеної юридичної особи від того, що припинив своє існування юридичної особи переходять всі (або частина) вимоги і борги, майно, незавершені розрахунки, права і обов'язки по договорах, тобто весь (або частина) його актив і пасив.

Найважливішим документом, який складається під час реорганізації підприємств є передавальний (розподільний) баланс.

Передавальний баланс складається в разі злиття чи приєднання підприємств, а розподільний - у разі поділу чи виокремлення.

Передавальний баланс - це баланс підприємства, що реорганізується, на день припинення його діяльності. Його підписують директори та головні бухгалтери обох підприємств - того, що реорганізується, та підприємства-правонаступника.

Розподільний баланс - це баланс підприємства, що реорганізується, на день припинення його діяльності, в якому окремими стовпцями відбиваються активи і пасиви, розподілені між ним і підприємствами-правонаступниками, тобто та частка майна, вимог і зобов'язань, яка передається підприємствам, що утворюються в результаті поділу чи виокремлення. Цей баланс має відбити баланси новостворених підприємств на момент початку їх господарської діяльності.

Процедура реструктуризації підприємств здійснюється з дотриманням вимог нормативно-правових актів, що діють на момент її проведення. Базовими документами, що регламентують порядок здійснення реструктуризації є (за станом на 1.06.2002г.): "Положення про порядок реструктуризації підприємств", затверджене Наказом Фонду державного майна України від 12 квітня 2002г., № 667 (Див.: Офіційній вісник Україні, 2002 №19, с.37-45), а також "Методичні вказівки по проведенню реструктуризації державних підприємств", затверджені Наказом Міністерства економіки України від 23 січня 1998г., №9 (Див.: Офіційній вісник Україні №12, 1998р., с.227-232), "Комплексна програма реструктуризації державних підприємств, затверджена Розпорядженням Кабінету Міністрів України від 29 серпня 2001р., №401-р.

Таким чином, зробимо висновок - реструктуризація за своєю суттю є складна процедура комплексної оптимізації структури і функціонування підприємства відповідно до вимог зовнішнього економічного середовища і виробленої стратегії його розвитку.

Задача 1

Розрахуйте величину амортизаційних відрахувань двома методами: лінійним та методом прискореного зменшення залишкової вартості.

Дані:

.        Первісна вартість одиниці обладнання - 4500,00 грн.

.        Ліквадаційна вартість обладнання - 10% від первісної вартості.

.        Амотризаційний період - 5 років.

Рішення

У процесі використання основні засоби підприємства зношуються і поступово частинами втрачають свою вартість у результаті фізичного чи морального зносу.

До основних методів нарахування амортизації відносять:

-          лінійний;

-          зменшуваного залишку;

-          подвійного зменшення залишку;

-          списання вартості за сумою років корисного використання;

-          списання вартості відповідно до обсягу виробленої продукції.

При лінійному методі об'єкти основних засобів або нематеріальні активи амортизуються рівними частками виходячи з їх первісної або відновної вартості з урахуванням індексації протягом строку корисного використання цих об'єктів. Сума щорічних амортизаційних відрахувань в цьому разі залишається незмінною (якщо індексація не проводиться). І визначають за формулою:

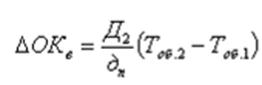
Розрахуемо ліквідаційну вартість:

Л=4500,00 грн /100%*10%=450,00грн.

Звідси річна величина амортизаційних відрахуваннь:

А=(4500,00 грн-450,00 грн)/5рік=810,00 грн/рік;

Відтак норма амортизації такої одиниці обладнання складе 20%.

Проілюструю процес перенесення вартості в табл. 1:

заробітний плата прибуток антикризовий

Таблиця 1

Розрахунок амортизаційних відрахувань прямолінійним методом

Рік

Норма амортизації, %

Вартість на

Амортизаційні відрахування, грн.

Вартість на кінець року, грн



початок року, грн



1

20

ОФп

4500

810

3690

2

20

3690

810

2880

3

20

2880

810

2070

4

20

2070

810

1260

5

20

1260

810

450 |ОФл

Усього

100


4050



Таким чином, при застосуванні прямолінійного методу вартість об’єкта, що амортизується, рівномірно списується (розподіляється) протягом терміну його корисного використання. Метод заснований на припущенні, що сума нарахованої амортизації залежить від терміну (тривалості) експлуатації об’єкта основних засобів.

При застосуванні цього методу:

-  річна сума амортизації однакова протягом усіх років експлуатації об’єкта;

-          сума зносу накопичується рівномірно;

-          залишкова вартість об’єкта основних засобів рівномірно зменшується до рівня ліквідаційної вартості.

Метод прискореного зменшення залишкової вартості є різновидом методу зменшення залишкової вартості.

При такому методі річна сума амортизації визначається виходячи з залишкової вартості об’єкту на початок звітного періоду або первісної вартості на дату початку нарахування амортизації по введеним протягом року об’єктам та подвоєння річної норми амортизації, що розраховується виходячи зі строку корисного використання об’єкту. І визначається за формулою:


, де

ОФз.і -залишкова вартість ОФ у і-му році, грн.

На-річна норма амортизації

Норма амортизації у наданому випадку розраховується аналогічно нормі амортизації при застосуванні прямолінійного методу нарахування амортизації, тобто використовується подвоєна ставка амортизаційних відрахувань, що розрахована методом прямолінійного списання.

На=1/5=0,2


Відповідно подвійна норма амортизації дорівнюватиме 0,4. Знайдемо амортизаційні відрахування за кожен рік корисного строку одиниці обладнання.

Амортизаційні відрахування за перший рік експлуатації:

Ар1 = 4500 х 0,4 = 1800,00 грн.

Амортизаційні відрахування за другий рік експлуатації:

АР2 = (4500-1800) х 0,4 = 1080,00 грн.

Амортизаційні відрахування за третій рік експлуатації:

Ар3 = (4500-1800-1080) х 0,4 =648,00 грн.

Амортизаційні відрахування за четвертий рік експлуатації:

Ар 4 = (4500-1800-1080-648)*0,4 = 388,80 грн.

У разі застосування методу прискореного зменшення залишкової вартості сума амортизації останнього року розраховується таким чином, щоб залишкова вартість об'єкта в кінці періоду його експлуатації була не менше його ліквідаційної вартості. Тому в останній рік експлуатації об’єкта річну суму амортизації слід розрахувати не за формулою, а як різницю між залишковою вартістю об’єкта на початок року і його ліквідаційною вартістю.

Амортизаційні відрахування за п`ятий рік експлуатації:

Ар 5 =(4500-450)-1800-1080-648-388,8 = 133,20 грн.

Сума всіх амортизаційних відрахувань становить:

Ар = Ар1 + Ар2 + Ар3 + Ар4 + Ар5= 1800+1080+648+388,8+133,2 = 4050,00 грн.

Проілюструю процес перенесення вартості в табл. 2

Таблиця 2

Розрахунок амортизаційних відрахувань методом прискореного зменшення залишкової вартості

Рік

Норма амортизації, %

Вартість на початок року, грн

Амортизаційні віддрахування,грн

Вартість на кінець року, грн

1

40

ОФп

4500

1800

2700

2

40

2700

1080

1620

3

40

1620

648

972

4

40

972

388,8

583,2

5

40

583,2

133,2

450

ОФл


Усього


4050



При цьому методі річна норма амортизації являє собою фіксовану (у відсотках) величиниу і застосовується до залишкової вартості об’єктів основних засобів. При цьому в перший рік експлуатації об’єкта основних засобів нараховується найбільша сума амортизації, потім вона зменшується щороку.

Задача 2

Визначити показникі оборотності оборотних коштів у звітному і плановому році, абсолютне і відносне вивільнення оборотних коштів, за наступними даними:

.        Залишки оборотних коштів, тис. грн:

-          На початок звітного року - 10,5;

-          На кінець 1 кв. - 9,5;

-          На кінець 2 кв. - 10,5;

-          На кінець 3 кв. - 11,2;

-          На кінець звітного року - 9,8.

.        Обсяг продаж в звітному році - 95 тис грн.

.        Обсяг продаж в плановому році зросте на 3,5%.

.        Тривалість обігу оборотних засобів скоротиться на 2 дні.

Рішення.

Коефіцієнт оборотності оборотних коштів розраховується як частне від ділення объему проізведеной продукції (П) на средньорічний залишок оборотних коштів підприємства і визначається за формулою:

РП

КОБ = ОБССР

де: РП - об'єм реалізації продукції за аналізований період, грн..;

ОБССР - середньорічна сума (залишок) оборотних коштів, грн.

Він показує, скільки коштів, що обернулися, доводиться на 1 грн. оборотних коштів, що беруть участь в оберті в даному періоді.

Коефіцієнт завантаження Кз оборотних коштів оборотний коефіцієнту оборотності, він характеризує величину оборотних коштів на 1 грн реалізованої продукції.

Чим менше оборотних коштів припадає на одну гривню реалізованої продукції, тим краще вони використовуються.

Кз=1/Коб=ОК/Д;

Цю величину можна трактувати так: на 1 гривню виручки від реалізації продукції в середньому за період, який розглядається, припадало Кз гривень вартості запасів обігових коштів.

Тривалість одного звороту ОБС (ТОБ) визначається за формулою:

ТОБ = КОБ

Середньорічний залишок оборотних коштів розраховується за формулою середньої хронологічної:

кількість даних дат

Звідси:

ОКзв=(10,5/2+9,5+10,5+11,2+9,8/2)/(5-1)=10,34 тис, грн.

КОБзв=95/10,34=9,19

ТОБзв=360/9,19=39, днів

ТОБпл=39-2=37, днів

Коб зв=360/39=9,23

Коб пл=360/37=9,73

РПпл=95+3,5%=98,32, тис. грн.

ОКпл=98,32/9,73=10,11, тис. грн.,

Або із формули:


ОКпл=37*98,32/360=10,11 тис. грн.

Кзф=1/9,23=0,11, грн

Кзпл=1/9,73=0,10, грн

Ефект прискорення оборотності оборотних коштів виражається у вивільненні, зменшенні потреби в них у зв'язку з поліпшенням їх використання. Чим вище оборотність, тим більше за той же проміжок часу буде випущено і продано продукції при незмінній кількості оборотних коштів. Розрізняють абсолютне і відносне вивільнення оборотних коштів.

Абсолютне вивільнення виникає тоді, коли фактична потреба менше планової, в цьому випадку зіставляється фактична сума середніх залишків оборотних коштів за попередній період з плановою потребою за даний період.

За результатами оборотності розраховується сума економії оборотних коштів (абсолютне або відносне вивільнення) або сума їх додаткового залучення.

Для визначення економії або перевитрати оборотних коштів в порівнянні з планованим їх об'ємом використовується наступна формула:

ОК ек=ОКф-(РПф*ОКп)/РПпл;

ОК ек=10,34-(95*10,11)/98,32=0,57 тис. грн.

Абсолютне вивільнення обігових коштів (ВОК) - це різниця між показниками:

ВОК абс = ОКпл-ОКф ,

де ОКпл - планова величина обігових коштів, грн;

ОКф - фактична величина обігових коштів, грн.

Звідси:

ВОК абс=10,11-10,34=-0,23 тис. грн..

В наслідок абсолютного вивільнення оборотних коштів, об`єм випуска продукта збільшується, або залишається на тому ж рівні, а залишки оборотних коштів зменшуються.

Прискорення оборотності обігових коштів завжди призводить до відносного вивільнення обігових коштів. Відносне вивільнення відбиває як зміна величини оборотних коштів, так і зміна обсягу реалізованої продукції. Відносне вивільнення обігових коштів відбувається в тих випадках, коли оборотність обігових коштів прискорюється за рахунок зростання обсягу виробництва на підприємстві. Щоб визначити його, потрібно обчислити потреба в оборотних коштах за звітний рік, виходячи з фактичного обороту з реалізації продукції за цей період і оборотності в днях за попередній рік.

Різниця дає суму вивільнення коштів.

Відносне вивільнення обігових коштів розраховується по формулах:


де, Д2- дохід від реалізації в аналізуємому періоді,

Коб2, Коб1-коефіцієнт оборотності в аналізуємому та попередньому періоді.

Або по формулі:


де Тоб2, Тоб1- тривалість оборотів аналізуємому та попередньому періоді,

Звідси:

ВОКвідн=(98,32/360)(37-39)=0,27*(-2)=-0,55 тис грн.

Перевірка: ВОКвід=98,32/9,73-98,32/9,23=-0,55 тис грн.

Приріст продукції за рахунок прискорення оборотності оборотних коштів визначається по формулі:

=(9,73-9,23)*10,11=5,06 тис грн.


В таблиці 3 наведен розрахунок показників оборотності:

Таблиця 3:

Тис. грн

Залишок оборотних коштів

Звітний рік

Плановий рік

На початок звітного року, тис. грн

10,5


На кінець 1 кв, тис. грн

9,5


На кінець 2 кв, тис. грн

10,4


На кінець 3 кв, тис. грн

11,2


На кінець звітного року, тис. грн

9,8


Обсяг продаж, тис. грн

95

98,32

Середньорічна сума оборотніх коштів, тис. грн.

10,34

10,11

Тривалість одного обороту, днів

39

37

Коефіцієнт оборотності, об/рік

9,23

9,73

Коефіцієнт завантаження, грн

0,11

0,10

Приріст продукції, тис. грн


5,06

Абсолютне вивільнення обор коштів, тис. грн.


-0,23

Відносне вивільнення обор коштів, тис грн


-0,55

Економія оборотних коштів, тис. грн


0,57


Одже на підприємстві у разі скорочення тривалості звороту на 2 дні, мало місце абсолютне вивільнення обігових коштів, збільшився обсяг продаж, підвишчилась оборотність оборотних коштів.

Задача 3

Розрахувати кошторис витрат на виробництво, витрато віддачу, витратоміцкість виробництва.


Рішення:

Кошторис витрат являє собою зведений план усіх витрат підприємства на майбутній період виробничо-фінансової діяльності. Вона визначає загальну суму витрат виробництва за видами використовуваних ресурсів, стадіям виробничої діяльності, рівнями управління підприємством та інших напрямах витрат.

До кошторису включаються витрати основного та допоміжного <#"664889.files/image009.jpg">

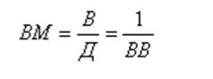
де: В-витрати підприємства (собівартість всієї продукції, товарної або реалізованої), грн.;

Д- дохід (виручка) від реалізації продукції, грн

Звідси:

ВВ=10190/9446,36=1,08 грн.

Витратоміцкість (ВМ) характеризує витрати підприємства, на одиницю товару і визначається за формулою:


Звідси:

ВМ=9446,36/10190=0,93 грн.

Відповідь: кошторис витрат на виробництво 9446,36 грн.; витрато віддача 1,08 грн; витратоміцкість 0,93 грн.

Задача 4

Визначити доцільність інвестиції за допомогою дисконтної вартосі та індексу доходності, за наступними даними:

.        Початкова сума інвестицій - 140 тис. грн.

.        Щорічні надходження грошових потоків по роках складають:

-ий рік - 20 тис. грн;

-ий рік - 30 тис. грн;

-ий рік - 30 тис. грн;

-ий рік - 40 тис. грн;

-ий рік - 70 тис. грн;

.        Ставка дисконту - 20%.

Рішення:

Економічний ефект від реалізації інвестицій являє собою різницю між загальною сумою дисконтованих чистих грошових припливів за всі періоди часу й величиною інвестиційних витрат. Проект можна прийняти, якщо в результаті його реалізації підприємство одержить позитивний економічний ефект.

Чистий дисконтований доход (ЧДД) визначають як суму потокових ефектів (тобто перевищення результатів над витратами) за весь розрахунковий період існування проекту, приведених до початкового періоду:


Де де Pt - грошові надходження за період t;- інвестиції (витрати), зроблені за період t;- ставка дисконту;- порядковий номер року

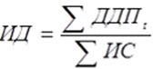
Індекс доходності (прибутковості), ИД - це співвідношення суми чистої приведеної вартості доходів за період життя проекту (дисконтованого чистого грошового потоку SДДПt) та обсягу капіталовкладень SИС:

Індекс доходності (прибутковості) показує відносну доходність (прибутковість) проекту, або дисконтовану вартість чистого грошового потоку (грошових надходжень) від проекту в розрахунку на одну одиницю капіталовкладень.

Проект можна вважати доцільним, якщо сума отриманого чистого прибутку на всі п'ять років перевищить витрачений капітал. Але для порівняння треба привести доходи від проекту за кожний майбутній рік до єдиних умов обліку (до сьогоднішнього еквівалента), тобто до року, коли здійснюється інвестування 140 тис. грн.

Одже (варіант 1):

Оцінка економічної ефективності капітальних вкладень

Період часу, років

Грошовий потік, тис.грн.

Фактор поточної вартості, коеф.

Поточна вартість, тис.грн. (р2*р3)

Кумулятивний дисконтова ний грошовий потік, тис. грн.

1

2

3

4

5

0

-140,00

1

-140,00

-140,00

1

20,00

0,833

16,66

-140,00+16,66= -123,34

2

30,00

0,694

20,82

-123,34+20,82= -102,52

3

30,00

0,579

17,37

-102,52+17,37= -85,15

5

40,00

0,482

19,28

-85,15+19,28= -65,87

4

70,00

0,402

28,14

-65,87+28,14= -37,73


Для розрахунку коефіцієнтів дисконтування (Кд) грошових потоків за роками періоду економічного життя інвестицій використовується формула:

де - дисконтна ставка, %;рік, на який розраховується коефіцієнт дисконтування.

Або (варіант 2):

ЧДД=

ЧДД менше нуля, тобто інвестиції не доцільні.

ИД=-37,73/140=-0,27

Відповідь:ЧДД =-37,73 тис. грн.; ИД=-0,27.

Список використаної літератури

1      Бланк І.О., Фінансовий менеджмент: Учебовий курс - 2-е вид., перераб. и доп. - К.: Эльга, Ника-Центр, 2004

        Вовчак О.Д., Рущишин Н.М. Самуга Ю.О.,Шмогай М.Б., Інвестиційний менеджмент: Навч. Посібник/Укркоопспілка; Львівська комерційна академія (2-ге вид) 2009

        Гнасюк С.М. УПРАВЛІННЯ ФІНАНСОВОЮ САНАЦІЄЮ ПІДПРИЄМСТВА / Конспект лекцій 2012р.

        Бойчук І.М. Економіка підприємства. Навчальний посібник. - К.: Атака, 2004

        Грабова Н.М. :Організація оплати праці на підприємстві; види, форми і системи оплати праці

        Терещенко О.О. Фінансова санація та банкрутство підприємств. - Київ: КНЕУ, 2000

        П’ять методів амортизації. //ГК, Дебет-Кредит, № 31/2000 с.28-35.

        Положення (стандарт) бухгалтерського обліку 7 «Основні засоби», затверджене наказом Мінфіну України від 27.04.2000 р. № 92, зареєстрований в Мінюсті України 18.05.2000 р. № 288/4509 (із мінами і доповненнями, внесеними наказом Мінфіну від 30.11.2000 р. № 304).

        "Законодавство України про банкрутство. Збірник нормативних актів." - Київ: Юрінком Інтер, 2002.

Похожие работы на - Форми і системи оплати праці. Загальна характеристика процесу реструктуризації підприємства

 

Не нашли материал для своей работы?
Поможем написать уникальную работу
Без плагиата!
Без нейросетей!