Фискальная усталость, фискальное пространство и долговая устойчивость в развитых экономиках

  • Вид работы:
    Курсовая работа (т)
  • Предмет:
    Эктеория
  • Язык:
    Русский
    ,
    Формат файла:
    MS Word
    291,56 Кб
  • Опубликовано:
    2013-05-30
Вы можете узнать стоимость помощи в написании студенческой работы.
Помощь в написании работы, которую точно примут!

Фискальная усталость, фискальное пространство и долговая устойчивость в развитых экономиках














Фискальная усталость, фискальное пространство и долговая устойчивость в развитых экономиках

Атиш Р. Гош

Юн Ай. Ким

Энрике Г. Мендоса

Джонатан Д. Остри

Мэхвэш С. Куреши

Ι. Фискальная усталость, фискальное пространство и долговая устойчивость в развитых экономиках

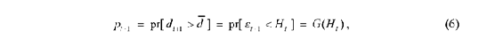
Ключевой вопрос, стоящий перед мировой экономикой сегодня, состоит в том, имеют ли развитые экономики пространство для финансового маневра - “финансового пространства” - или они нуждаются в срочной финансовой поправке на долговую устойчивость. Финансовая помощь, расходы на стимулирование и более низкие доходы в период Великой Рецессии привели к самому высокому показателю соотношения государственного долга к ВВП в странах с развитой экономикой за прошлые сорок лет. (рисунок 1). Кроме того, многие из этих стран, как ожидается, продолжат стоять перед большими потребностями финансирования в ближайшие годы, в то время как кредиторы уже сомневаются в платежеспособности некоторых из них (прежде всего Греция, Ирландия, Португалия и Испания), чтобы обслужить их долги. Есть ли у таких стран какое-либо “финансовое пространство”, - таков неотложный вопрос.

В этой статье мы предлагаем новые условия для того, чтобы оценить долговую устойчивость стран с развитой экономикой. Определенно, мы стремимся определить “долговой предел”, вне которого вызывает сомнение финансовая платежеспособность. Мы определяем финансовое пространство как расстояние между текущим долговым уровнем и этим долговым пределом. Наша модель включает суверенного заемщика, который следует за финансовой реакцией в ответ на изменения долга, и промежуточных кредиторов, которые специализируется на арбитражных операциях с ожидаемым доходом от правительственного долга с безопасной процентной ставкой, принимая во внимание возможность, что правительство может не выполнить своих обязательств, потому что будет неспособно возместить долг. В этом урегулировании возрастающего риска дефолта расширяется страхование риска, и большое страхование риска подразумевает более высокое бремя обслуживания долга и поэтому большую вероятность неплатежа.

Наш анализ начинается с предпосылки, что правительства в странах с развитой экономикой обычно ведут себя ответственно, увеличивая основной (то есть, беспроцентный) профицит в ответ на возрастающее обслуживание долга, чтобы стабилизировать отношение государственного долга к ВВП на разумном уровне. Эта опытным путем полученная предпосылка, соответствует результатам Бона (2008) для Соединенных Штатов, и Мендосы и Остри (2008) для других индустриальных стран. Большие потрясения - такие как войны или негативные последствия финансовых кризисов - могут вызвать временные отклонения от этого "правила" первичного сальдо. Пока последующее увеличение первичного сальдо достаточно, чтобы возместить долг по более высокой процентной ставке, однако, показатель дола будет снова сходиться к его долгосрочному значению.

Конечно, не может абсолютно быть верно, что первичное сальдо всегда увеличивалось бы достаточно, чтобы возместить текущий долг, потому что при достаточно высоких уровнях долга потребуется первичное сальдо, которое превышает ВВП. Если первичное сальдо не будет идти в ногу с платежами с более высокой процентной ставкой, то при увеличении долга - даже принятие постоянной процентной ставки для страхования риска правительственного долга, то будет такой уровень долга, выше которого долговые движущие силы становятся кризисными, и правительство обязательно не выполнит своих обязательств. Фактически неплатеж произойдет прежде, чем это случится, потому что возрастающее страхование риска - когда неплатеж становится неизбежным - усиливает долговую динамику. В частности когда растет вероятность неплатежа, то будет страхование риска, делая его менее вероятным, который удовлетворит основной профицит, чтобы оплатить долговой счет и далее возрастет вероятность дефолта. В конечном счете у проблемы "фискального пространства" более высока вероятность дефолта, приводящая к большему страхованию риска, в свою очередь приводя к более высокой вероятности дефолта, эту проблему не решить посредством конечной процентной ставки. В этом пункте (который мы называем долговым пределом) правительство теряет доступ к рынку, неспособно к погашению его долга и вынуждено не выполнять свои обязательства. Чтобы определить эту точку, мы решаем одновременно вероятность неплатежа, имеющего процентную ставку, и долговой предел.

Рисунок 1. Первичное сальдо и государственный долг стран с развитой экономикой


Наша теоретическая структура, обоснованная Боном (1998, 2008), таким образом, вытекает из существенно более ранней работы по снижению понятия долгового предела. В то время как Бон показывает, что достаточным условием для правительства состоит в удовлетворении его интертемпорального ограничения бюджета, что первичное сальдо всегда реагирует положительно на лаговый долг, это может считаться слабым критерием устойчивости, который, например, не исключает когда-либо увеличивающееся отношение долга ВВП (и таким образом потребность в основном профиците, который, в конечном счете, превышает ВВП). Более строгий критерий устойчивости, который мы принимаем здесь, то, что государственный долг, как следует ожидать, будет сходиться к некоторой конечной пропорцией с ВВП. Если первичное сальдо всегда - постоянная пропорция лагового долга, то достаточное условие для этого более строгого определения состоит в том, что живой отклик первичного сальдо больше, чем дифференциал темпа роста процентной ставки. Но как только мы учитываем возможность “финансовой усталости”, посредством чего первичное сальдо, в конечном счете, более медленно отвечает на возрастающий долг, чем дифференциал темпа роста процентной ставки, то будет достигнут конечный долговой предел.

Проверяем модель эмпирически на данных 23 развитых стран за период 1970-2007 гг., мы находим мощную поддержку существования нелинейных отношений между первичным сальдо и лаговым государственным долгом, который показывает особенность финансовой усталости. Определенно, отношения приближенно выражены кубической функцией: на низких уровнях долга есть обратная зависимость между первичным сальдо и долгом. Когда долг увеличивается, первичное сальдо также увеличивается, но способность к реагированию в конечном счете слабеет, и затем фактически уменьшается при очень высоких уровнях долга. Эти отношения верны при разных условиях и при множестве методов оценки.

Объединяя эмпирические оценки функции первичного сальдо с фактическими данными процентной ставки или с эндогенными процентными ставками, полученными из модели, мы измеряем долговой предел каждой страны и соответствующее фискальное пространство. Наши результаты указывают, что у Греции, Италии, Японии и Португалии есть меньшее финансовое пространство, а Исландия, Ирландия, Испания, Соединенные Штаты и Соединенное Королевство, также ограниченны в их пределах финансового маневра. В отличие от них, у Австралии, Кореи, Новой Зеландии и скандинавских стран, кажется, есть лучшее финансовое пространство, чтобы не зависеть от неожиданных шоков.

Наше исследование имеет, таким образом, тройное значение. Во-первых, мы обеспечиваем простое, интуитивное определение долгового предела (и соответствующего финансового пространства), у которого есть разумные свойства увеличения при среднем финансовом усилии страны и уменьшения в разнице темпов роста процентной ставки.

Во-вторых, наша модель может помочь объяснить, почему правительства могут внезапно потерять доступ финансирования и почему пересмотры при возможном потрясении рынка для первичного сальдо (даже если дефолт не состоялся) могут резко выдвинуть страну в ситуацию неплатежеспособной долговой динамики. В-третьих, мы обеспечиваем эмпирические оценки доступного фискального пространства для развитой экономики, и наш подход может определить степень, до которой политика и установленные изменения могли помочь увеличить свободное пространство для экономического маневра.

Затем, Раздел II развивает теоретическое исследование и обосновывает предел возможного долга. Раздел III представляет результаты оценки уравнения первичного сальдо и оценивает фискальные пространства на примере исследуемых стран. Раздел IV подводит итог исследованию.

. Теоретическая модель

.1 Независимые Дебиторы и Кредиторы

Мы рассматриваем кредитные взаимоотношения между отдельным заемщиком и большим количеством некоторых кредиторов. Ограничения государственного бюджета стандартны:

M-dt=(rt-g)dt-st+1     (1)

где d -долг за один период (как доля от ВВП) в конце периода, g -процент роста реального ВВП, который считается экзогенным и постоянным, s - первичное сальдо (в процентах от ВВП), и rt - реальная процентная ставка на долг, взятый в периоде t и актуальный в периоде t+1. Процентная ставка является эндогенной величиной и, следовательно, больше или равна безрисковой процентной ставке, r*, которую мы считаем экзогенной (в равновесном состоянии, процентная ставка будет возрастающей функцией от вероятности дефолта, как показано ниже).

Мы делаем три предположения касательно поведения отдельного дебитора и его кредиторов. В оставшейся части настоящего раздела, и в приложении I, мы показываем, что эти предположения являются достаточными, чтобы гарантировать существование нашей концепции предела долга.

Предположение I. Функция фискальной реакции при фискальной усталости

Считается, что правительство следует функции фискальной реакции:

M=μ + f(dt) + εM                                                                                  (2)

где м отражает все систематические отклонения первичного сальдо, кроме лагового долга, , f(d) является реакцией первичного сальдо на лаговый долг, являющийся непрерывной функцией со свойствами определенными ниже, и ε - независимая и равномерно распределенная величина реакции первичного сальдо на функцию распределения G(s), определенную в границах [-ε, ε] при s > 0 . Предположим, что G(s) удовлетворяет стандартным требованиям, таким, что G(e) = G(-e) < G'(0), G(e < 0) > 0, and G(s > 0) < 0.Допустим, что строгие границы правдоподобны, так как величина первичного дефицита или профицита не может превышать 100 процентов ВВП (а на практике редко превышает нескольких процентов ВВП).

Для учета идеи фискальной усталости предположим, что функция F (D) непрерывно дифференцируема и обладает тем свойством, что существует соотношение долга dm > ε такое, что:

μ + f(dm )-ε>(r* -g)dm and f(d) <r*-g \/d > dm                             (3)

Таким образом, при dm и с худшей величиной отклонения сальдо, размер задолженности не возрастает, и для любого большего коэффициента задолженности, реакция первичного сальдо ниже, чем рост скорректированной процентной ставки.

Предположение II Дефолт из-за неспособности платить.

Правительство переживает дефолт, тогда и только тогда, когда размер долга превышает лимит D, определяемый как максимальный уровень долга, при котором правительство может пролонгировать свой ​​будущий долг и финансировать первичный дефицит при конечной процентной ставке. Правило дефолта принимает вид:

(4)

где D - индикатор, равный единице при дефолте и нулю в другом случае

Предположение III Нейтральные к риску кредиторы

Кредиторы считаются атомистическими и нейтральными к риску, если дают займ правительству при следующих предположениях:

(1) Вероятность того, что государственный долг (как доля от ВВП) находится в опасности (т. е. увеличивается неограниченно, независимо от всех будущих реализаций), меньше единицы

(2) Существует конечная процентная ставка, которая компенсирует нейтральным к риску кредиторами риск дефолта (эндогенный):

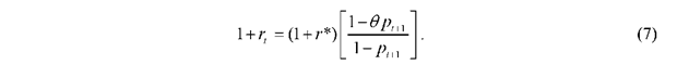
+ r* = (1-pM)(1 + rt) + pθ (1 + r*),                                                       (5)

где pt+1 возможность дефолта в следующем периоде (когда актуален текущий долг), а θ - предполагаемая стоимость восстановления в случае дефолта. Это условие арбитража предполагает стандартный результат модели дефолта, такой, что столь долго как присутствует вероятность дефолта, но она меньше единицы, надбавка за риск дефолта является величиной положительной, увеличивается, и функция вероятности дефолта - выпуклая.

(3) Если есть несколько процентных ставок, которые удовлетворяют условию арбитража, то предполагается, что кредиторы выберут самую низкую процентную ставку.

2.2 Рациональное Равновесие Ожиданий и Долговой Лимит

Рациональное равновесие ожиданий модели определено последовательностями процентных ставок и государственного долга, таким образом, что правительство удовлетворяет свое ограничение бюджета, свою функцию реакции и свое дефолтное правило, и кредиторы удовлетворяют свой арбитражные условия. Следующим ключевым понятием, которое мы стремимся установить и проанализировать, является долговой предел, который характеризует наибольший долг, в котором правительство может занять по конечной процентной ставке. Для этого мы сначала охарактеризуем равновесия модели вероятности дефолта, и устанавливаем существование четких границ, в пределах которых определен долговой лимит. Приложение I предоставляет полное происхождение долгового предела и его свойств. Вероятность того, что случится дефолт в следующем периоде являются просто вероятностью, что долг превышает предел задолженности, который вычисляется по формуле:


Кредиторское арбитражное условие может быть переписано как:

Используя рекурсивную временную структуру проблемы чтобы опустить подписи по времени, мы объединяем (6) и (7), чтобы получить вероятность дефолта (для данного ) как решение проблемы фиксированной точки (неподвижной точки?):


Возможно показать, что всегда существует по крайней мере одно угловое решение (8), который является p = 1. Могут быть многократные внутренние решения (8), но Предпосылка III (iii) гарантирует уникальное равновесие, данное самым низким внутренним решением.

Границы долгового предела

Затем, мы устанавливаем что  находится между четкими верхней и нижней границами. Верхняя граница,  задается самым большим корнем следующего уравнения (см. Приложение I):


Левая сторона этого выражения - лучший первичный профицит (то есть, профицит при лучшей реализации шока), которого правительство может достигнуть в долговом отношении  . Правая сторона является лучшей (то есть, самой низкой), эффективной выплатой процентов, которую должно было бы сделать правительство, который предполагает, что кредиторы взимают безрисковую процентную ставку (несмотря на риск неплатежа (дефолта)). В (3), поскольку долг увеличивается вне  первичный профицит увеличивается по более медленной ставке чем (r*-g). Следовательно, если долговое отношение когда-либо превышает  первичное сальдо не было бы достаточно (даже при наиболее благоприятных обстоятельствах), чтобы покрыть выплату процентов, и долговая динамика станет нестабильной, таким образом, нарушая Предпосылку III (i) и вызывая неплатеж (дефолт).

Нижняя граница,  получена как наибольший корень следующего уравнения:


который показывает это в , худший первичный профицит (то есть, профицит при худшей реализации шока) достаточен, чтобы покрыть эффективную выплату процентов, когда кредиторы взимают безрисковую процентную ставку. Так как долг не увеличивается в  для всей возможной реализации шока, нет никакого риска неплатежа (дефолта) и, поэтому, кредиторы взимали бы безрисковую процентную ставку. Так как  равно стоимости аннуитета худшей реализации первичного сальдо, оцененного по свободной от риска ставке, это соответствует “естественному долговому пределу”, определённой в макро-литературе по сбережениям под неполными рынками как самый большой долг, который мог взять государство, если оно хочет гарантировать, что оно всегда будет выполнять свои обязательств (в следующий период или в будущем), даже если первичное сальдо сохранит худшее значение. Приложение I показывает это  >

Определение Долгового Предела

Для определения , сначала отмечаем, что, для данного долгового лимита в пределах границ, определенных выше, есть пороговое отношение долга <  которое соответствует максимальному показателю долга, которое приводит к угловому решению p=0 (8) - то есть., самый большой корень z(0; d,  ). Таким образом,  гарантирует, что правительство будет в состоянии погасить следующий период, и диапазон долговых отношений ( ,  ] диапазон, в котором торгуется долг с риском неплатежа (дефолта). Вероятность дефолта в следующий период равна нулю для d <  следовательно процентная ставка, установленная рынком, будет безрисковой ставкой по Предпосылке III (iii). Легко проверить что  >  потому что  только гарантирует способность возместить один период вперед (следующий период), в то время как  гарантирует выплату для любой будущей последовательности реализации шоков (см. Приложение I для доказательства).

Как только долг поднимается выше  рынок устанавливает положительную премию за риск, и внутреннее решение для (8) определяет равновесный вероятность дефолта и процентные ставки. Мы обозначаем внутреннее решение (самый низкий в случае многократных решений) p* = p * (d,  ) ∈ (0, 1). Отметем, что p* и связанная конечная процентная ставка − законное решение равновесия только для d>  потому что иначе угловым решением p = 0 и безрисковая процентная ставка должно быть решение для равновесия Предпосылки III. Кроме того, долговой лимит должен быть больше чем  если p* существует, потому что он определен как максимальный уровень долга, которое правительство может пролонгировать по конечной процентной ставке. Предполагая, что p* существует, можно легко показать что:


Это имеет интуитивный смысл: вероятность дефолта растёт с фактическим долгом, но падает, если долговой предел растёт.

Учитывая правило правительства по дефолту, в рациональном равновесии ожиданий, долговой лимит должен удовлетворить следующим двум условиям равновесия одновременно:


Первое условие подразумевает, что, если долг остается равным или ниже долгового предела, всегда есть нейтральные к риску кредиторы, которые готовы предоставить займ правительству при положительной конечной премии за риск. Второе подразумевает, что p = 1 должен быть единственным решением, если долг превышает долговой предел. В этом случае, никакая конечная премия риска не может полностью компенсировать риск дефолта, и в результате правительство фактически сталкивается с бесконечной процентной ставкой (или полная потеря доступа к рынку). Так как первичное сальдо конечно, учитывая, что долговой предел и поддержка шока конечны, долговая динамика, становятся нестабильной и правительство оказывается в дефолте всякий раз, когда долг превышает долговой лимит - который совместим с принятым правилом дефолта. Эти два условия по существу приводят долговой предел в равновесие.

Обозначая внутреннее решение в  =  через * = p * ( ,  ), условие II, вместе с первым результатом в (11), следует, что p* должен быть максимальным внутренним решением. Рисунок 2 иллюстрирует этот тезис. Для данного долгового лимита и некоторого начального долгового отношения ниже лимита (и выше  ), вообще был бы два (или больше) внутренние решения для (8), самым низким из которых является p*. Если d увеличения, p* также увеличивается, в то время как другое (верхнее) внутреннее решение уменьшается. Поскольку d увеличивается далее, два внутренних решения сходятся друг другу прежде, чем разрушиться в единственное внутреннее решение, которое происходит в пункте касания между z(p; d,  ) и прямой под наклоном 45 градусов. Внутреннее решение в этом пункте касания -- максимальное внутреннее решение, которое может выдержать данный долговой предел: дальнейшее увеличение в долгах приведет к угловому решению p = 1, приводя к бесконечной процентной ставке. Но это само определение долгового предела. В пункте касания, поэтому, фактический долг должен совпасть с  или, эквивалентно, p* определен пунктом касания.


Долговой предел уникален, и полностью определен безрисковой процентной ставкой (приведенный в соответствие с ростом), стоимостью восстановления, и поддержкой шока для первичного сальдо. Процентная ставка конечна в  потому что связанная вероятность дефолта, *, строго меньше единицы. Если долг должен был увеличиться вне , вероятность равновесия по умолчанию (равновесного дефолта) подскакивает к единице, приводящему к бесконечной процентной ставке (или полная потеря доступа к рынку для правительства). В результате первичного сальдо недостаточно (даже с лучшей реализацией шока), чтобы возместить нестабильную автономную долговую динамику, и правительство обязательно не выполнит своих обязательств по причинам платежеспособности. Долговой предел, полученный здесь, подобен известному результату Eaton и Gersovitz (1981), показывающему, что нейтральные к риску кредиторы налагают лимит нормирования в долговом пороге в каждый период, выше которого, для всей возможной реализации дохода в следующий период, заемщик не выполнил бы своих обязательств. Различие в том, что в их установлении вероятности дефолта определена стратегическим правилом дефолтного решения, в то время как здесь это просто определено платежеспособностью "один период вперед".


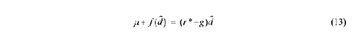
Поучительно решать детерминированный пример, где нет никаких шоков для первичного сальдо (то есть,  = 0). Обозначая через  долговой лимит, в детерминированном случае, z(p;d,) может взять только две дискретных величины 0 или 1 допуская, что решение фиксированной точки (неподвижной точки) (8) характеризуется двумя угловыми решениями: p = 0 или p = 1. Учитывая этот результат, долговой предел определен следующими двумя условиями равновесия: (i) p = 0 должно быть решением равновесия для d ≤  и (ii) p = 1 должен быть решением равновесия для d> . Как показано в Приложении I, эти условия приводят к долговому лимиту как к самому большому корню следующего уравнения:


Детерминированный пример полезен, потому что равновесный долг, долговой лимит, и график процентной ставки могут быть иллюстрированы посредством простой диаграммы. В рисунке 3 толстая черная кривая представляет нелинейную финансовую функцию реакции, которая удовлетворяет свойства, определенные в Предпосылке III, за исключением того, что нет никакого стохастического шока для первичного сальдо (такие шоки подразумевали бы восходящие или нисходящие изменения кривой). Вообще, будет два постоянных равновесия (игнорирующий пересечение, которое произошло бы в d <0). Первое дано более низким пересечением между μ + f (d) и (r * − g) d графиками. Это более низкое пересечение, обозначенное через d *, является долгосрочным показателем государственного долга, к которому экономика сходится условно (пока долг не пересекает лимит  ). Легко проверить, что это равновесие динамически устойчиво. Второе постоянное равновесие соответствует долговому пределу, подразумеваемому моделью, и дано более высоким пересечением между μ + f (d) и (r * −g)d графиками. Таким образом, конвергенция к d* только условна, потому что, если бы долг должен был когда-либо превышать более высокое равновесие, то это не возвратилось бы к d*. Если бы долг должен был превысить этот лимит, нет никакой конечной процентной ставки, которая компенсировала бы кредиторов вероятность дефолта (которая равна единице). Чтобы убедиться в этом, отметем, что вне долгового предела первичного сальдо недостаточно, чтобы покрыть выплату процентов даже по безрисковой процентной ставке, так что соотношение долга будет неограниченно возрастать. Поэтому, процентная ставка становится бесконечной вне долгового предела, с правительством, эффективно теряющим доступ к рынку и неспособным перевернуть его долг. Таким образом, в детерминированном случае, вероятность дефолта равна нулю до долгового предела,  растущая до единице после того. Следовательно, детерминированный случай ухудшается, с  = =  = .


В стохастической модели, графике процентной ставки равновесия, r = r (d,  ), может быть получен из (7) и (8), как только долговой предел был идентифицирован. График процентной ставки равняется безрисковой ставке до пункта , после которого он выпуклый и сгибается вверх, становясь вертикальным, поскольку долг превышает свой лимит  (как на рисунке 3). Выпуклый сегмент графика процентной ставки происходит в короткий интервал меньший чем поддержка шока  . Такой результат получается, потому что с долгом в один период вероятность дефолта равна нулю, пока долг не в пределах худшего полного дефицита от долгового предела. Если  находится в области, где итоговое сальдо находится в профиците, если не было никакого шока для первичного сальдо, худший полный дефицит меньше чем поддержка шока. В то время как отношения более осложнены долгом мультипериода, этот результат предполагает, что долговые уровни первоначально рассмотренные как безопасные могли внезапно стать нежизнеспособными, особенно если  является маленьким. В общем, точная форма графика процентной ставки зависит от распределения шока для первичного сальдо, скорости восстановления в случае дефолта, и искривления основной функции реакции сальдо.

.4 Свойства Долгового Лимита

финансовый пространство предел кредитор

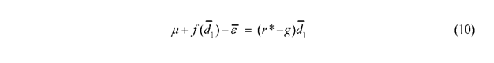
У долгового предела, полученного выше, есть четыре важных свойства (здесь, мы даем эвристическое обращение, основанное на рисунке 3; Приложение I обеспечивает более формальное обращение). Во-первых, из рисунка 3, уменьшение в темпе роста результата экономики или увеличение безрисковой процентной ставки вращают (r * − g) d график против часовой стрелки, сокращая  и  (поднимая долгосрочное долговое отношение, к которому экономика условно сходится, d *). Во-вторых, большая готовность предпринять финансовую корректировку (сдвиг вверх точки пересечения финансовой функции реакции или крутизны этого графика как функция изолированного долга) увеличивает долговой предел (одновременно сокращая d *). В-третьих, равновесие в долговом пределе динамически непостоянно: положительный (и даже умеренно отрицательный) шок для первичного сальдо в том пункте, вероятно, возвратил бы долг к долгосрочному показателю, d *; (большой) отрицательный шок толкнет правительство не выполнять своих обязательств (на дефолт). Четвертое свойство менее очевидно. В общем, переоценка поддержки шоков для первичного сальдо (например, симметрическое расширение поддержки  ) приводит к непосредственному скручиванию графика процентной ставки и понижению долгового предела, даже если шок не был реализован. Поскольку неопределенность предполагает как риск ухудшения, так и рост потенциала, возможно, не очевидно, почему неуверенность должна сократить долговой предел. Причина в том, учитывая природу долгового договора, что рост потенциала не может полностью возместить риск снижения. Большие положительные шоки для первичного сальдо не приносят дополнительного дохода кредиторам (потому что процентная ставка предопределена), тогда как большие отрицательные шоки могут вызвать неплатеж (дефолт). Таким образом, риск снижения имеет большее значение чем рост потенциала, даже если кредиторы нейтральны к риску (тем более, если они являются не склонными к риску). Если долг был близко к  , то это могло привести к тому, что прежде жизнеспособный уровень долга, становящегося нежизнеспособным, вызывая неплатеж (дефолт). Таким образом, в этой модели пересмотр данных, который приводит к более высокому долгу, о котором сообщают рынку, мог иметь два эффекта - в рисунке 3, скачок долгового уровня вправо, отражающий новый долг, который признается и, вращение графика процентной ставки против часовой стрелки, если это вызвало пересмотр в восприятии рынка о поддержке шоков для первичного сальдо. Оба эффекта приблизили бы правительство ближе к дефолту - феномену, который резонирует с недавним опытом некоторых южно-европейских стран.

. Эмпирический анализ

В данном разделе теоретическая модель, разработанная выше, проверяется на данных 23 развитых стран за период 1970-2007. Данные включают в себя валовый государственный долг и первичное сальдо в процентах от ВВП, а также набор контрольных переменных. (Данные сведения приводятся в приложении). Анализ проходит в три этапа: (I) оценить функцию реакции первичного сальдо, (II) определить соответствующие процентные ставки, дифференциал темпа роста и (III) вычислить долговой предел каждой страны, и связанное с ними фискальное пространство (определяется как разница между текущим показателем долга и рассчитанным пределом долга).

Функция реакции первичного сальдо

Первый вопрос, справедливо ли поведение "бюджетный усталости" в простых двумерных отношениях между первичным сальдо и лаговым долгом. Точечный график на рисунке 4 показывает, что нелинейные поведение финансовой усталости действительно правдоподобно: при очень низких показателях долга есть небольшая (или даже отрицательная) зависимость между лаговым долгом и первичным сальдо. Когда долг увеличивается, первичное сальдо растет, но реакция со временем начинает ослабевать, а затем фактически уменьшается при очень высоком уровне долга (хотя на нисходящей части сравнительно мало наблюдений). Линия на рисунке подтверждает, что фискальная усталость является надежной, статистически существенной особенностью данных, определяющая другие факторы фискальной функции реакции.

Результаты оценки фискальной функции реакции, касающиеся отношения первичного сальдо к лаговому долгу (с учетом кубической функции, чтобы захватить две точки перегиба) и различных контрольных переменных, а также конкретной страны с помощью фиксированных эффектов, представлены в таблице 1. Оценки приводятся для двух периодов выборки (1970-2007, 1985-2007), доступность данных за последний период позволяет включать богатый набор структурных переменных в качестве факторов, определяющих первичное сальдо.


Изучив литературу (Рубини и Сакс, 1988; Гали и Перотти, 2003; Абайд и Острый, 2005; Бон, 2008; и Мендоса и Остри, 2008), мы включили ряд переменных: разрыв в объемах производства для контроля эффектов бизнес-циклов, разрыв в государственных расходах для измерения влияния временных изменений государственных расходов (например, военные расходы), цены топлива и нетопливные цены на сырьевые товары, открытость торговли, средний уровень инфляции в предыдущие три года, чтобы изучить возможные последствия инфляции на финансовый баланс.

Институциональные переменные состоят из индекса политической стабильности, который является составным показателем институционального потенциала и государственной стабильности в стране (более высокие значения указывают на более низкий риск), индекс финансовых правил, которое указывает, имеет ли страна любой тип финансового правила (сбалансированный бюджет, расходы, доходы, или долг) в данном году, и фиктивной переменной для участия в программах МВФ, описывающей международное влияние на фискальное поведение. Мы также принимаем во внимание демографическую структуру и включаем текущие и прогнозируемые показатели возрастной зависимости.

Оценка фискальной функции реакции вызывает некоторые эконометрические вопросы, вытекающие из зависимости лаговой задолженности к прошлым значениям первичного сальдо. Из уравнения динамики долга, лаговый долг обязательно коррелирует с ненаблюдаемыми для конкретной страны детерминантами первичного сальдо, то есть страны, которые способны генерировать более высокое первичное сальдо из-за благоприятных фиксированных эффектов, как правило, имеют более низкий уровень государственного долга. Эта отрицательная связь между долгом и временной особенностью страны может создать нисходящий наклон в оценке ответа первичного сальдо на лаговый долг. По нашим оценкам, мы контролируем этот источник эндогенности смещения за счет включения страновых фиксированных эффектов в фискальную функцию реакции. Кроме того, при корреляции ошибок, динамика долга будет переводить лаговый долг в уравнении (2) в эндогенный, даже когда страновые фиксированные эффекты включены и занижают расчетный коэффициент. Для решения этой потенциальной предвзятости, мы проводим моделирование процесса AR (1) (

Результаты, представленные в таблице 1, показывают, что кубические коэффициенты являются статистически значимыми (учитывая увеличение, но снижая реакцию первичного сальдо на лаговый долг). В самом деле, на основе оценки коэффициентов, предельная реакция первичного сальдо на лаговый долг начинает снижаться при уровне долга около 90-100 % от ВВП, и становится отрицательной, когда долг приближается к 150 % от ВВП. Это отличается от результатов Bohn для Соединенных Штатов, которые показывают, что финансовые усилия увеличиваются с увеличением уровня долга, но поддерживает результаты Мендоса и Остри (2008), которые считают, что устойчивость менее уверенная в странах с развитой экономикой, когда государственный долг высокий, чем когда он умеренный. Ориентировочная реакция первичного сальдо на средний уровень долга (в диапазоне 0,02-0,06 процентного пункта) также согласуется с результатами последнего, но эмпирический подход здесь является предпочтительным, потому что вместо классификации стран на группы с высоком и низким долгом, кубическая спецификация позволяет более гибко оценивать и точно снизить оценки долга в странах, которые рискуют попасть в несостоятельную зону.

Оценки коэффициентов при других факторах, включенных в фискальную функцию реакции, также правдоподобны и в целом соответствуют предыдущим исследованиям. Например, первичное сальдо положительно реагирует на разрыв выпуска. Временное увеличение государственных расходов, как переменная, отражающая разрыв в государственных расходах, влияет на первичное сальдо отрицательно. Более открытые экономикой с точки зрения международной торговой деятельности демонстрируют лучшие финансовые показатели, как это делают страны с сильными институтами (переменной политической стабильности), и экспортеры топлива, когда цены на нефть повышаются. Нелинейности фискальной функции реакции и реакции первичного сальдо на другие структурные и экономические факторы являются устойчивыми к различным методам оценки и обсуждаются в Приложении II.

Наш эмпирический анализ, а в том числе с учетом фиксированных эффектов для отдельных стран для отражения различия в среднем первичном сальдо, основывается на панельных оценках функции реакции первичного сальдо к лаговому долгу. Как и при любой панельной оценке, это поднимает вопрос о проблеме гомогенности. Но проблема является более сложной, потому что здесь поведение "финансовый усталости" в кубе постулируется во всем диапазоне долга (от 0 до 180 процентов от ВВП), в то время как показатели долга отдельных стран могут наблюдаться только в части этого диапазона. Наш анализ для стран, в которых не наблюдаются высокие показатели долга, поэтому мы должны основываться на предположении, что эти страны, если их долги будут расти, будут вести себя подобным образом (с точки зрения финансового усталости) как страны, у которых наблюдаются высокие показатели долга.

Хотя это только гипотеза, три наблюдения показывают, что это разумная гипотеза. Во-первых, наша выборка состоит только из стран с развитой экономикой, которые имеют сходные характеристики и, следовательно, относительно однородная. Во-вторых, противоречащее предположение кажется неправдоподобным: что в некоторых странах никогда не будет проявляться финансовая усталость, и всегда будет увеличиваться первичное сальдо в соответствии с ростом долга. Это возможно только потому, что первичный профицит не может превышать ВВП. В-третьих, проблема однородности в разных странах не может быть отвергнута (почти в каждом случае) из-за диапазонов долга (от низкой до умеренной, от умеренной до высокой). В частности, когда наблюдаются страны с низким и умеренным долгом (в том числе те, которые в конечном итоге имеют высокий долг), то они реагируют аналогичным образом с положительным, линейным коэффициентом лагового долга (см. Приложение II подробные результаты). Аналогичным образом, страны с умеренным и высоким долгом демонстрируют схожую финансовую усталость как и при кубической спецификации. Иными словами, страны в выборке ведут себя аналогично в общих показателях долга, при которых они наблюдаются. Это придает нам уверенность, что они будут вести себя так же при показателях долга, при которых нет наблюдений.


Фискальное пространство

Для расчета фискального пространства мы также должны оценить соответствующие процентные ставки по государственному долгу. Рассмотрим два подхода для получения этих оценок. Первый подход, который мы называем "рыночный подход", заключается в использовании текущей (или прогнозируемой) рыночной процентной ставки по государственному долгу, основанный на предположении, что рыночная ставка отражает воспринимаемую вероятность дефолта. В таблице 2 представлены процентные ставки, полученные с использованием двух вариантов такого подхода. Первый вариант исторического среднего (за последние десять лет) подразумевает номинальную процентную ставку по государственному долгу (проценты выплат на конец периода долга) по отношению к темпам роста номинального ВВП. Второй вариант - прогнозы Международного валютного фонда с учетом долгосрочной доходности государственных облигаций и роста ВВП. С небольшими исключениями, прогнозируемые процентные ставки значительно менее благоприятны, чем исторические, отражающие ожидания высоких процентных ставок и снижения реальных темпов роста ВВП (табл. 2) .

Использование (исторических или прогнозируемых) рыночных процентных ставок может завышать истинный долговой лимит, вытекающий из модели, поскольку игнорируется тот факт, что процентная ставка будет расти резко, когда долг приближается к своему пределу и риски дефолта увеличиваются. Альтернативный подход - расчет процентных ставок эндогенно, который дает нам основу для оценки роста риска по умолчанию, так как долг приближается к своему пределу. Мы называем это "моделью сближения". Ее основным недостатком является то, что она требует различных предположений о безрисковой процентной ставке, распределение (и поддержку) шоков на первичное сальдо, и скорость восстановления в случае дефолта. Мы предполагаем треугольное распределение шоков первичного сальдо, калиброванное для каждой страны на основе остатков, получившихся из функцией реакции первичного сальдо, и предположим, показатель восстановления 90% в случае дефолта.


Точечные оценки

Таблица 3 представляет лимит долга, , а также долгосрочный показатель долга, к которому государственный долг каждой страны условно сходится, d*, рассчитанный используя страновое предсказанное первичное сальдо, полученный по результатам за последний период (1985-2007), представленный в таблице 1 (графа 4), и исторические, рыночные и оцененные моделью процентные ставки. Хотя есть значительные различия между странами, d* колеблется в диапазоне от 0 до 100 % от ВВП при среднем в 50 % от ВВП, с использованием исторических процентных ставок, и оценки  колеблются от 150 до 250 % от ВВП при среднем в 190 %. Так как прогнозируемые процентные ставки, как правило, менее благоприятны, чем исторические, d* составляет в среднем 57% от ВВП, а средний  составляет 185% от ВВП.

Оценки d* и , полученные из модели, похожи на оценки, основанные на рыночных процентных ставках, хотя в большинстве случаев несколько ниже (в соответствии с интуицией, особенно для стран с низким уровнем задолженности, рыночные процентные ставки, скорее всего, переоценивают имеющиеся фискальное пространство). В некоторых случаях (Греция, Исландия, Италия, Япония, Португалия) и в зависимости от процентной ставки не используется оценка d* (или ). Это потому, что для некоторых стран не существует максимального уровня долга, ниже которого сходимость происходит, так что не имеет смысла рассчитывать . Для Италии и Японии, d* не существует даже при использовании исторических процентных ставок: их показатели долга не сходились еще до кризиса (в Японии, государственный долг неуклонно растет на протяжении большей части периода выборки). Для Исландии долгосрочный показатель долгового лимита считается с использованием либо исторической модели или модели, генерирующей процентные ставки, но только не с помощью прогнозируемых рыночных процентных ставок. Для Греции и Португалии, d* существует только на основе исторических процентных ставок, но не на основе рыночных или модели, генерирующей процентные ставки.

Стоит отметить, однако, что эти оценки финансового пространства на основе прогнозируемых значений множества структурных переменных, включены в f(d). Любые изменения в этих значениях сдвигают предсказанную фискальную функцию реакции и, следовательно, влияет на лимит долга и соответствующую оценку финансового пространства. Это полезная особенность нашего подхода, поскольку она позволяет нам количественно оценить влияние структурных изменений на финансовую устойчивость. Так, например, используя оценки в колонке (4) из таблицы 1, и полагая, что институциональный потенциал (то есть, переменная политической стабильности) во всех странах максимален, мы обнаружили, что имеющееся финансовые пространство увеличивается, хотя и в разной степени, почти во всех странах. Среди стран, с недоступным финансовым пространством, наиболее заметно увеличение для Исландии, которая, по прогнозам, должна иметь положительное фискальное пространство с улучшением ее институциональной мощности.


Вероятность фискального пространства

Как упоминалось выше, фискального пространства - это разница между показателем долга, прогнозируемого на 2015 год и долговым пределом, . Но эта разница дает точечную оценку, которая представляет собой сложную функцию базовой оценки параметров фискальной функции реакции, и даже небольшая неопределенность в оценках первичного сальдо потенциально может перевести к существенным различиям в долговом пределе. Чтобы учесть эти неопределенности, стохастическая модель позволяет изменить оценки коэффициентов при функции реакции первичного сальдо. Таблица 4 показывает оценки финансового пространства (т. е. разница между 2015 прогнозируемых уровней задолженности и долговым лимитом) в терминах вероятностей, что в стране есть определенное количество (0, 50 или 100 % от ВВП) оставшегося фискального пространства, с клетками тени темного или светло-серого цвета, если вероятность меньше, чем 50%, или между 50 и 85 %, соответственно.

В соответствии со сказанным выше, вероятность того, что Греция, Исландия, Италия, Япония и Португалия имеют дополнительное фискальное пространство является низкой, хотя в некоторых случаях, в зависимости от процентной ставки, достигает 50%. Далее следуют Ирландия и Испания, где вероятность того, что эти страны имеют по крайней мере некоторые дополнительные фискального пространства составляет около 70% (при 80% для Испании с использованием модели прогнозируемой, а не текущей процентной ставки). Для Соединенных Штатов и Соединенного Королевства вероятность дополнительного фискального пространства составляет около 70-80%. Для других стран, по оценкам, вероятность по крайней мере некоторых дополнительных бюджетных пространство превышает 85%. Интуитивно понятно, что оценки фискального пространства зависит от уровня долга, прогнозируемого на 2015 год и долгового лимита, который зависит от исторического первичного сальдо. Таким образом, даже страны с относительно высоким долгом в настоящее время могут пользоваться дополнительными фискальном пространством (и, следовательно, возможностью для решения неожиданных шоков), если в прошлом, было приспособление первичного сальдо в ответ на шок.

При оценке этих результатов, следует иметь в виду несколько моментов. Во-первых, полученные оценки фискального пространства противоречат прогнозируемым уровням долга в 2015 году, и не принимают во внимание возможные условные обязательства. Условные обязательства, такие как необеспеченные пенсионные обязательства и потенциальное спасение банков за счет увеличения фактической задолженности, могут существенно ухудшить оценки фискального пространства. Кроме того, долговой лимит, на котором основаны оценки финансового пространства, отнюдь не «желательный» или «оптимальный» уровень долга. По целому ряду причин, в том числе возможному риску опрокидывания, правительства обычно хотят убедиться, что они не исчерпывают свое финансовое пространство, и что их долг остается значительно ниже расчетного лимита. Второе, о чем говорилось в теоретической части, что ключевой особенностью модели является то, что пересмотр рыночных оценок поддержки возможного шока на первичное сальдо, даже если удар не происходит, может вызвать рост рыночных процентных ставок, потенциально подрывая устойчивость долга. В-третьих, моделирование для расчета финансового пространства в рамках модели эндогенной процентной ставки предполагает, что повышение от менее рисковых к более искованным процентным ставкам, как правило, происходит довольно резко, как только долг достигает своего лимита. Таким образом, страна сможет занимать средства под низкие ("безрисковые") процентные ставки, даже когда долг увеличивается, а потом вдруг окажется перед гораздо более высокими процентными ставками или даже выйдет из рынков капитала. Последние два свойства резонируют с опытом некоторых стран Южной Европы в недавнем кризисе, и подчеркивают важность поддержания достаточного финансового пространства.


Заключение

Эта статья вносит свой вклад в литературу по финансовой устойчивости, предложив новую структуру, вводит концептуальное понятие финансового пространства, которое определяется как разница между текущим уровнем долга и долговым лимитом, причем последний - уровень долга, при котором платежеспособность удается. Наша концепция долгового лимита, которая учитывает финансовую усталость, интуитивно привлекательна и имеет несколько разумных свойств. В частности, улучшение структурных характеристик страны или темпы экономического роста повышают ее долговой лимит, в то время как появление негативного шока может привести к неустойчивому уровню долга.

Модель проверяется эмпирически по данным 23 развитых стран за 1970-2007, чтобы подтвердить фискальную усталость. В частности, мы видим, что предельная реакция первичного сальдо на лаговый долг является нелинейной, оставаясь положительной на среднем уровне долга, но начинает снижаться, когда долг достигает около 90-100 % от ВВП. Объединяя эти оценки, мы находим, что предполагаемый долговой лимит и соответствующее бюджетное пространство значительно различаются в разных странах. Например, долговой лимит, полученный для страны в выборке колеблется в пределах от 150 до 250 % от ВВП, в то время как оценки указывают на ограниченное фискальное пространство или его отсутствие для Греции, Исландии, Италии, Японии и Португалии, и достаточное фискальное пространство для Австралии, Кореи и стран Северной Европы.

Оценки вероятности положительного фискального пространства демонстрируют аналогичную картину: ряд стран, включая Австралию, Корею и Скандинавию, по прогнозам будут иметь наибольшую вероятность положительного фискального пространства, и ряд стран Южной Европы, а также Японии и Исландии самую низкую вероятность. Кроме того, Соединенное Королевство и Соединенные Штаты ограничены в возможностях финансового маневра. Эти оценки, однако, не учитывает ликвидность / опрокидывание рисков или возможности реализации условных обязательств. Кроме того, в то время как наша модель является по существу однопериодной моделью, которая включает в себя эндогенные процентные ставки, изучения последствий долгосрочного долга и / или стохастический эндогенный рост являются возможным направлением будущих исследований. С точки зрения политики, наши оценки вероятности могут быть использованы для случаев, когда фискальная консолидация может быть очень необходима для того, чтобы убедиться, что долг остается устойчивым и шоки, включая данные изменения, не подорвут устойчивость.

Похожие работы на - Фискальная усталость, фискальное пространство и долговая устойчивость в развитых экономиках

 

Не нашли материал для своей работы?
Поможем написать уникальную работу
Без плагиата!
Без нейросетей!