Общее представление о пестицидах
Содержание
Введение
1. Литературный обзор
2. Технологическая часть
2.1 Пестициды
2.1.1 Общее представление о пестицидах
2.1.2 Токсикологическое значение пестицидов
2.1.3 Типы пестицидов
2.1.4 Химические классы пестицидов
2.2 Фосфорорганические соединения
2.2.1 Общие представления
2.2.2 Биохимическое действие фосфорорганических соединений
2.2.3 Производные фосфористой кислоты
2.2.4 Производные фосфорной кислоты
2.2.5 Производные тиофосфорной кислоты
2.2.6 Производные дитиофосфорной кислоты
2.2.7 Производные пирофосфорной кислоты
2.2.8 Производные фосфоновых и фосфиновых кислот
2.3 Рекомендации по снижению уровня химического загрязнения
биосферы пестицидами
Выводы
Список литературы
Введение
Пестициды (pestis - зараза, caedo - убивать) -
общепринятое собирательное название химических средств защиты растений.
Используются они для борьбы с сорняками, вредителями, грибковыми заболеваниями
и другими болезнями сельскохозяйственных растений, кустарников и деревьев.
По оценкам специалистов, в экономически слабых странах до 50%
урожая погибает от сорняков и вредителей, а в промышленно развитых - 15-25%.
Ежегодные потери урожая в мировом сельском хозяйстве составляют 30-40% от
потенциально возможного урожая, убытки оцениваются в 75 млрд. долл. в год.
Исходя из этих числовых оценок, сторонники глобальной
химизации сельского хозяйства ставят задачу расширения масштабов применения
пестицидов с целью снижения потерь сельскохозяйственной продукции. В то же
время, среди государственных задач по охране окружающей среды и здоровья
человека одной из важнейших является предупреждение загрязнения среды обитания
и пищевых продуктов пестицидами и токсичными продуктами их трансформации. [1]
Известно, что химические ингредиенты, попадая в окружающую
среду, в натурных условиях могут трансформироваться, образуя продукты,
обладающие иными, чем исходные вещества, органолептическими и токсическими
свойствами (часто отдаленными эффектами). Под трансформацией токсичных
химикатов в окружающей среде понимают совокупность абиотических и биотических
процессов, приводящих к образованию:
либо более токсичных продуктов, в том числе обладающих
отдаленными эффектами или новыми свойствами;
либо продуктов с более выраженными влиянием других критериев
опасности;
либо продуктов, токсичность которых близка к токсичности
исходных химикатов;
либо менее токсичных продуктов.
Актуальность выбора объекта данной работы обосновывается
приоритетностью по критериям опасности для здоровья населения, поскольку
фосфорорганические соединения (ФОС), согласно оценке ВОЗ, являются одними из
наиболее опасных ксенобиотиков окружающей среды.
Целью курсовой работы является моделирование процессов
трансформации фосфорорганических соединений в биосфере. Для достижения
поставленной цели необходимо решить следующие задачи: охарактеризовать особо
токсичные загрязняющие элементы, входящие в группу ФОС; рассмотреть процессы
метаболизма и трансформации данных элементов; описать их воздействие на
биосферу.
пестицид биосфера химическое загрязнение
1.
Литературный обзор
Ассортимент пестицидов, применяемых в нашей стране,
насчитывает более 400 наименований, тогда как нормы ПДК экспериментально
обоснованы и утверждены лишь для 30 препаратов. Это означает, что экологическое
и санитарно-гигиеническое нормирование пестицидов не отвечает темпам химизации
сельского хозяйства. Отсюда естественная озабоченность о возможных необратимых
экологических последствиях.
Пестициды могут поступать в организм человека при хранении,
транспортировке и применении, а также в случае загрязнения воздуха, воды и
пищевых продуктов. Некоторые препараты, например дефолиант применявшийся во
Вьетнаме, способны накапливаться в организме человека, вызывая повреждение
печени, сходное с раковой опухолью, либо оказывая влияние на наследственность,
подобное радиационному воздействию.
Особенностями использования пестицидов в сельском хозяйстве
являются их циркуляция в биосфере, высокая биологическая активность,
необходимость применения высоких локальных концентраций, вынужденный контакт
населения с пестицидными препаратами [1].
В первое время проникновению пестицидов в почву не
придавалось значения, однако позднее стали разрабатываться методы обнаружения
распада пестицидов и их адсорбцию в почвах Средней Европы. При изучении распада
этих веществ прежде всего оценивают уменьшение концентрации исходного вещества
и скорость его распада как время, необходимое для полного исчезновения
пестицида. Необходимо изучать также дальнейшее поведение продуктов распада в
почве и их токсичность.
Пестициды накапливаются в почве в результате диффузии в
кристаллические решетки минералов (глин), при отложении их в гумусах и при их
проникновении в полости частиц гумуса. Исследования по выяснению превращений
пестицидов в почвах и их взаимодействия с другими веществами, за исключением
отдельных случаев, систематически не проводились.
Прежде всего исходили из того, что несмотря на несовершенство
методов исследования, необходимо найти надежную защиту против накопления
слишком большого количества пестицидов в почве и возможности их вымывания в
грунтовые воды. При этом многократно сообщалось об обнаружении следов
пестицидов в грунтовых водах и водохранилищах, и вряд ли возможно предсказать,
что эти загрязнения связаны только с попаданием пестицидов из воздуха [2].
2.
Технологическая часть
2.1 Пестициды
2.1.1 Общее
представление о пестицидах
Название "пестициды" происходит
от двух латинских слов "pestis" - зараза и "cido" - убиваю.
Под пестицидами, или ядохимикатами, принято понимать химические вещества,
применяемые в народном хозяйстве в целях борьбы с различного рода вредителями
сельскохозяйственных культур и продуктов, а также в целях повышения урожайности
сельскохозяйственных культур.
Установлено, что вред
сельскохозяйственному производству и продуктам питания от различного рода
вредных насекомых, растений, фитопатогенных грибов и т.п. так велик, что за их
счет ежегодно теряется не менее 1/3 урожая (зерна).
Вредители и возбудители заболеваний
растений - это насекомые, клещи, моллюски, нематоды (круглые черви),
фитопатогенные грибы, бактерии, вирусы, растительные организмы и т, д.
Большой вред сельскому хозяйству причиняют
грызуны.
Громадный ущерб наносят человеку вредные
насекомые и клещи-переносчики заразных болезнен (малярия, энцефалит, сыпной и
возвратный тифы, сонная и слоновая болезнь и др.).
Отсюда понятно огромное значение для
сельского хозяйства, промышленности и здравоохранения борьбы с вредными
организмами.
Химия дала народному хозяйству много
сильных средств против вредных для сельского хозяйства и сельскохозяйственной
продукции насекомых, бактерий, грибов и др. Все эти средства и объединяются под
общим названием "пестициды", или, реже, "ядохимикаты" [3].
2.1.2
Токсикологическое значение пестицидов
Ранее используемые неорганические химические вещества были
почти повсеместно заменены синтетическими органическими соединениями,
большинство из которых было специально разработано в соответствии с заданными
токсикологическими свойствами. Первоначально широкое использование этих новых
пестицидов было встречено с большим энтузиазмом: они обладали быстротой воздействия
и высокой эффективностью против различных вредителей. Применение этих веществ
позволило полностью предотвратить такие заболевания, как тиф и малярия, и
способствовало увеличению производства пищевых продуктов. Однако через многие
годы выяснилось, что эффективность пестицидов сопровождалась появлением
некоторых отрицательных последствий [4].
Токсикологическое значение пестицидов
обусловлено тем, что они являются, как правило, биологически активными
веществами и могут действовать неблагоприятно не только на вредных насекомых,
сорные растения и т.п., но оказывают вредное действие и на полезных насекомых,
культурные растения, домашних животных, человека. Побочный эффект широкого
использования пестицидов сказывается и в загрязнении внешней среды, и в участии
их в создании "токсической" ситуации.
В зависимости от токсичности все пестициды
делятся на 4 группы:- высокотоксичные пестициды. ЛД50 составляет до
50 мг/кг живого веса животного;- токсичные сильнодействующие пестициды. ЛД50
составляет 50-200 мг/кг;- средней токсичности. ЛД50 составляет
200-1000 мг/кг;- малотоксичные. ЛД50 выше 1000 мг/кг.
Эта классификация носит условный характер.
При оценке токсичности того или иного вещества, в том числе и пестицида,
необходимо, кроме дозы вещества, учитывать его физико-химические свойства,
например способность вещества растворяться в жирах, летучесть и др.
физико-химические свойства веществ. С токсичностью тесно связана
персистентность (продолжительность сохранения во внешней среде) вещества, его
кумулятивные свойства, способность выделяться организмом (например, ДДТ с
молоком), метаболизм.
Причинами острых отравлений пестицидами
являются небрежное хранение и транспортировка их с нарушением инструкций,
неправильное разбрасывание химических средств борьбы с грызунами, несоблюдение
сроков обработки пестицидами и т.п.
Со специфическими особенностями химизации
сельского (народного) хозяйства связано возникновение хронических интоксикации
некоторыми пестицидами.
В целях предупреждения отравлений
пестицидами врачами-гигиенистами при участии врачей-токсикологов, химиков и
других специалистов разрабатываются инструкции по применению, хранению и
транспортировке пестицидов; устанавливаются допустимые нормы содержания
пестицидов в различных пищевых продуктах; регламентируются сроки обработки
пестицидами сельскохозяйственных культур. В профилактике отравлений пестицидами
большое значение приобретает разработка методов химико-токсикологического
анализа различного рода пищевых продуктов, различных других биологических
материалов (моча, кровь и др.) для обнаружения и определения в них пестицидов,
определения остаточных количеств пестицидов [3].
2.1.3 Типы
пестицидов
В настоящее время имеется около 10 000 различных пестицидов,
которые классифицируют в соответствии с их назначением в следующие категории:
инсектициды (для уничтожения насекомых);
гербициды (для уничтожения сорняков или других нежелательных
растений);
фунгициды (токсичны по отношению к грибковым организмам и
применяются для защиты растений от болезней);
другие специфические фунгициды: родентициды, эффективные
против крыс, мышей, сусликов; моллюсициды, используемые против улиток, и
нематоциды, используемые для ограничения количества микроскопических червей.
За последние годы особенно возросло применение гербицидов,
однако общее количество применяемых инсектицидов превышает количество
используемых гербицидов.
Причиняющие вред организмы составляют 0,1% общего числа,
около 3000 видов. Большинство из них сельскохозяйственные вредители или
переносчики болезней человека и животных, природную активность которых
необходимо устранять. На современной стадии синтетические органические
инсектициды являются наиболее мощным средством для решения этой задачи.
Уничтожение сорняков, подобно уничтожению вредных насекомых,
необходимо для эффективного ведения сельского хозяйства. Высокая стоимость
работ, связанная с использованием ручного труда на прополке и корчевании
кустарников, делает широкое использование гербицидов неизбежным. Кроме того,
гербициды также используются для уничтожения нежелательной растительности вдоль
шоссейных дорог, в полосах отчуждения и в лесах. В определенных условиях
гербициды могут применяться как дефолианты [4].
2.1.4
Химические классы пестицидов
Химические соединения обычно воздействуют на живые системы
или на другие соединения способом, который обусловлен их химическим составом и
молекулярной структурой. Исходя из этого, их удобно классифицировать на
хлорпроизводные углеводороды, фосфорорганические соединения, пестициды на
основе карбаматов и на основе хлорфенольных кислот.
Следует отметить, что хлорпроизводные углеводороды и
фосфорорганические соединения действуют в основном как инсектициды, карбаматы
имеют многоцелевое назначение и хлорфенольные кислоты используются в основном
как гербициды.
Хлорпроизводные углеводороды представляют собой такой
класс пестицидов, содержание которого в настоящее время в окружающей нас среде
довольно велико. Причины этого заключаются в том, что данные вещества
используются чаще, чем представители любого другого класса и они наиболее устойчивы
в окружающей среде. ДДТ - хорошо известный и широко используемый из всех
пестицидов. Начало его применения относится к 50-м годам, однако в начале 70-х
годов многие страны начали ограничивать производство ДДТ из-за его влияния на
различные живые организмы.
Механизм токсического воздействия хлорпроизводных
углеводородов на организмы еще неясен. Известно лишь, что они растворяются в
жировой оболочке, окружающей нервные волокна, и влияют на перенос ионов в
волокна и из них. Этот процесс очень важен для передачи нервных импульсов.
Нарушения в движении ионов выражаются в появлении содроганий и конвульсий,
приводя к смерти.
Фосфорорганические соединения начали широко
применяться как инсектициды в конце 50-х и начале 60-х годов. Увеличению их
производства способствовала частичная сопротивляемость насекомых к действию
хлорпроизводных углеводородов.
К фосфорорганическим производным общей формулы
(где X и Y - соответственно атом кислорода или серы; R - углеводородная или оксиуглеводородная
группа; Z
- комплексная органическая группа) относятся тиофос и метилтиофос - наиболее
широко используемые в практике. Эти вещества отличаются повышенной
токсичностью, что выражается в парализующем действии пестицидов на фермент
ацетилхолинестеразу (AChE). Обычно AChE разрушает ацетилхолин
после передачи нервного импульса от одного нервного волокна к другому (вдоль
синаптического промежутка), Результатом нарушения этой нормальной деятельности
фермента является накапливание ацетилхолина и образование посторонних нервных
импульсов, которые разрушают нормальную функцию. Следствием является
содрогание, конвульсии, паралич и смерть.
Карбаматы, или производные карбаминовой кислоты, общей структуры

Хлорфенольные кислоты являются производными
простых органических кислот: уксусной, масляной и пропионовой. Это эффективные
гербициды, токсичность которых основана на замене гормонов роста растений. В
результате ненормально быстрого роста происходит истощение запасов энергии
растения. Для облегчения применения гербицидов этого класса их переводят в соли
аминов и эфиры [4].
2.2
Фосфорорганические соединения
2.2.1 Общие
представления
Один из наиболее важных классов современных пестицидов
составляют органические соединения фосфора, в ряду которых найдены вещества с
различной физиологической активностью и избирательностью действия, в том числе
акарициды, инсектициды, гербициды, нематоциды, регуляторы роста растений [5].
Фосфорорганические пестициды (ФОС) представляют собой эфиры
различных кислот:
В сельском хозяйстве используются более 220
фосфорорганических соединений. Особенно широко органические соединения фосфора
применяются для борьбы с вредителями растений и экто - и эндопаразитами
домашних животных. По масштабам применения в сельском хозяйстве они занимают
первое место среди пестицидов различных классов и их мировое производство
приближается к 200 тыс. т. в год.
К важнейшим свойствам органических соединений фосфора как
пестицидов относятся следующие: а) высокая инсектицидная и акарицидная
активность и широкий спектр действия на вредных членистоногих; б) широкий
диапазон персистентности соединений, разложение которых в разных живых
организмах происходит в большинстве случаев с образованием практически
нетоксичных для человека и животных соединений; в) относительно быстрое
протекание метаболизма в организме позвоночных и отсутствие способности
накапливаться в их тканях, а также сравнительно небольшая хроническая
токсичность или полное ее отсутствие; г) быстрое разложение в почве; д)
системное и глубинное действие ряда инсектицидных препаратов; е) малый расход
препарата и быстрота действия на вредителей растений и паразитов животных; ж)
умеренная токсичность для рыб; з) уникальные гербицидные свойства некоторых
органических соединений фосфора; и) системное действие фосфорорганических
фунгицидов.
Недостатком многих фосфорорганических соединений как
пестицидов является высокая острая токсичность для млекопитающих, что требует
соблюдения соответствующих мер предосторожности при их использовании. Следует
отметить, что синтезировано большое число органических соединений фосфора с
умеренной и низкой токсичностью для млекопитающих, применение которых в
сельском хозяйстве вполне безопасно.
Кроме того, для токсичных соединений созданы специальные
препаративные формы, способствующие безопасному применению веществ.
2.2.2
Биохимическое действие фосфорорганических соединений
Изучение механизма действия фосфорорганических инсектицидов и
акарицидов по отношению к млекопитающим и членистоногим показало, что в
организме животных они фосфорилируют жизненно важные ферменты - эстеразы,
подавляя их нормальные функции.
В частности, фосфорорганические соединения действуют на
холинэстеразу - фермент, который катализирует гидролиз в нервных тканях
ацетилхолина, являющегося передатчиком нервного импульса (1).
Полагают, что действие этих соединений заключается главным
образом в ингибировании холинэстеразы. Фосфорорганические соединения связывают
холинэстеразу (2), в результате она теряет свою активность и не может вызывать
гидролиз ацетилхолина.
По-видимому, эстераза сначала образует с соединением фосфора
комплекс, который далее распадается на продукт фосфорилирования эстеразы и
соответствующее гидроксисоединение. Фосфорилированная эстераза может постепенно
гидролизоваться (3), при этом ферментативная активность восстанавливается.
Однако для некоторых соединений скорость дефосфорилирования настолько мала, что
практически полного восстановления активности фермента не достигается.
Например, дефосфорилирование холинэстеразы, ингибированной
тетраэтилпирофосфатом, в воде протекает настолько медленно, что за 28 дней восстанавливается
только 50 % исходной активности.
Активность фосфорорганических соединений сильно зависит от
строения эфирных групп, входящих в состав фосфорной части молекулы, причем не
безразлично строение каждого из радикалов. Так, О, О-диизопропил-О-4-
(нитрофенил) тиофосфат почти в 100 раз менее активен по отношению к
холинэстеразе, чем О- (4-нитрофенил) - О, О-диэтилтиофосфат. Для
получения максимального действия молекула фосфорорганического соединения должна
подходить к активным центрам эстеразы как "ключ к замку".
Совершенно очевидно, что активность одного и того же
соединения по отношению к разным видам насекомых и животных неодинакова, так
как различно строение холинэстеразы разных видов организмов, а также отличны
пути метаболизма фосфорорганических соединений. Например, карбофос в организме
комнатной мухи претерпевает превращения обычного типа, тогда как в организме
крыс образуется малотоксичная малатионовая кислота - S-
(1,2-дикарбоксиэтил) - 0,0-диэтилдитиофоcфат
.
В отличие от карбофоса октаметилтетрамид пирофосфорной
кислоты в организме теплокровных образует более токсичный продукт, чем
исходный.
Для правильного понимания причин токсикологического действия
того или иного органического соединения фосфора на отдельные виды животных
необходимо знание не только общего механизма действия, но и знание метаболизма
в организме данного вида.
Часто активность фосфорорганического соединения по отношению
к холинэстеразе связывают со скоростью его гидролиза, но это не всегда
справедливо: активность зависит также от стерических особенностей молекулы.
Наряду со скоростью гидролиза и стерическими особенностями молекулы большое
влияние на токсичность фосфорорганического соединения оказывает скорость
дезалкилирования эфиров кислот фосфора. Этот процесс является, по-видимому,
основной реакцией, конкурирующей с реакцией фосфорилирования холинэстеразы в
организме животного. Дезалкилированием эфиров кислот фосфора может быть
объяснена меньшая токсичность для млекопитающих метиловых эфиров этих кислот по
сравнению с их гомологами. По мнению автора данной книги, происходит быстрое
разложение метиловых эфиров за счет дезалкилирования, прежде чем они достигнут
активных центров холинэстеразы; эта точка зрения имеет существенные подтверждения.
Важным условием, определяющим токсикологическое действие
фосфорорганических соединений по отношению к насекомым, является скорость
проникновения препарата через внешнюю оболочку насекомого; этот фактор иногда
имеет решающее значение [5].
2.2.3
Производные фосфористой кислоты
Изучены пестицидные свойства большого числа производных
фосфористой кислоты. Практическое применение в сельском хозяйстве нашли лишь
немногие из них, наибольшее значение производные фосфористой кислоты имеют в
качестве полупродуктов для производства пестицидов и лекарственных препаратов.
Производные фосфористой кислоты нашли небольшое применение в
качестве гербицидов и дефолиантов.
Трибутилтритиофосфит (C4H9S)
3P (фолекс, мерфос) - жидкость, температура кипения 150-152°С при
266 Па. Практически нерастворим в воде, хорошо растворяется в органических
растворителях. Обладает неприятным запахом бутантиола. ЛД50 350
мг/кг.
Применяют в виде водной эмульсии в качестве дефолианта
хлопчатника, норма расхода 1-2 кг/га; служит также для производства другого
дефолианта хлопчатника - бутифоса.
При окислении кислородом воздуха трибутилтритиофосфит легко
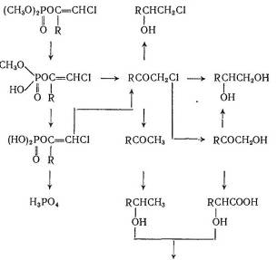
переходит в трибутилтритиофосфат (бутифос, ДЭФ):
Бутифос - жидкость, температура кипения 150оС при
44 Па. ЛД50 170-250 мг/кг. Широко применяют в качестве дефолианта
хлопчатника, норма расхода 1-2 кг/га.
Изучен метаболизм бутифоса в растениях и организме человека.
Процессы метаболизма его в организме человека представлены на схеме 1.
Кумуляции препарата в организме людей, работающих с ним в полевых условиях, не
отмечено.
Gln - остаток глюкуроновой кислоты
Схема 1.
2.2.4
Производные фосфорной кислоты
При переходе от фосфитов к фосфатам инсектицидная и
акарицидная активность соединений возрастает. Особенно активны смешанные эфиры
фосфорной кислоты, один из эфирных радикалов которых обнаруживает кислотность.
Чем выше константа диссоциации спирта или фенола, от которого произведен
эфирный радикал, тем более токсично соединение для членистоногих и теплокровных
животных. Например, в ряду О- (4-хлорфенил) - 0,0-диэтилфосфат, О-
(2,4-дихлорфенил) - 0,0-диэтилфосфат и О- (2,4,5-трихлорфенил) - 0,0-диэтилфосфат
наибольшей инсектицидной активностью обладает последний эфир (константа диссоциации
4-хлорфенола, 2,4-дихлорфенола и 2,4,5-трихлорфенола соответственно 4,110-10,
3,110-8 и 4,2610-8).
Высокотоксичны диалкилфторфосфаты, а также амиды
фторфосфорной кислоты. При увеличении длины алкильных радикалов в эфирах и
амидах фосфорной кислоты токсичность соединения для позвоночных уменьшается.
Максимальная токсичность многих производных фосфорной кислоты приходится на
диэтилфосфаты. Однако имеются исключения. Диметилфосфаты, как правило, намного
менее токсичны. Это, по-видимому, связано с их высокой алкилирующей
способностью по отношению к различным азотистым и сернистым соединениям,
присутствующим в биологических субстратах, а также большой скоростью гидролиза,
особенно под действием ферментов.
Существенное влияние на токсичность смешанных эфиров фосфорной
кислоты оказывает не только характер заместителя в ароматическом радикале, но и
его положение. Наиболее сильно повышается инсектицидность при введении в
ароматический радикал нитро - и метилтиогрупп. Инсектицидная активность 0,0-диалкил-0-арилфосфатов,
замещенных в положении 4, больше, чем активность соединений с заместителями в
положениях 2 и 3.
Систематическое изучение биологической активности смешанных
эфиров фосфорной кислоты показало, что среди них имеются вещества различного
характера действия, в том числе инсектициды, акарициды, фунгициды и гербициды,
которые могут представлять практический интерес. Высокой инсектицидной
активностью обладают некоторые фосфаты, производные оксимов ароматических и
алифатических альдегидов и кетонов. Значительную инсектицидную и акарицидную
активность проявляют многие эфиры фосфорной кислоты, содержащие в эфирном или
амидном радикале гетероциклические системы различных рядов. Активными
инсектицидами являются О, О-диалкил-О-полигалогенпиридилфосфаты,
примером которых может служить препарат Dowco-217 [0,0-диметил-0-
(3,5,6-трихлорпиридил) фосфат, ЛД50 869 мг/кг].
Из смешанных эфиров фосфорной кислоты наиболее широкое
применение получили различные енолфосфаты, содержащие заместители в этенильной
группе.
Дихлорфос - жидкость, хорошо растворимая в большинстве
органических растворителей. В воде 50 % дихлорфоса гидролизуется при 20°С в
течение 61,5 дня, при 70°С - в течение 25 мин. В кислой или щелочной средах
гидролиз протекает значительно быстрее:
Образующийся кислый эфир далее гидролизуется до фосфорной
кислоты. Аналогичная реакция протекает в различных животных и растительных
организмах.
Из производных 0,0-диалкил-0- (арилэтенил)
фосфатов практическое значение имеет тетрахлорвинфос. Он активен ко
многим вредителям растений и эктопаразитам животных, но используется в довольно
высоких концентрациях.
К недостаткам этого инсектицида следует отнести относительно
высокую стабильность хлорорганической части молекулы. При метаболизме в растениях
после гидролиза и отщепления остатка фосфорной кислоты хлорорганическая часть
молекулы образует стойкие конъюгаты с веществами растений, которые не
разрушаются и к моменту уборки урожая.
Метаболизм тетрахлорвинфоса в почве, растениях и организме
животных представлен на схеме 2:
Конъюгаты и глюкуронаты
R=C6H2Cl3-2,4,5
Схема 2.
2.2.5
Производные тиофосфорной кислоты
Замена одного из атомов кислорода в производных фосфорной
кислоты на серу приводит к значительному уменьшению токсичности соединений для
млекопитающих без существенного изменения инсектицидной и акарицидной
активности, хотя имеются и исключения. В связи с этим производные тиофосфорной
кислоты получили широкое применение в сельском хозяйстве и в системе
здравоохранения для борьбы с вредными членистоногими.
Как известно, производные тиофосфорной кислоты могут иметь
структуру тионов или тиолов:
.
Тионовые производные при нагревании или воздействии тех или
иных реагентов перегруппировываются в тиоловые изомеры. Эта реакция известна
под названием перегруппировки Пищемука. В зависимости от условий и реагентов
простейшие производные тиофосфорной кислоты, например соли, образуют или
тиоловые, или тионовые изомеры. Это обусловлено двойственной реакционной
способностью производных тиофосфорной кислоты вследствие таутомерии:
.
Большинство тиоловых производных более токсично для
млекопитающих, чем изомерные им тионовые соединения.
В качестве пестицидов применяются главным образом смешанные
эфиры тиофосфорной кислоты структур (1) - (5), где R - низший алифатический
радикал, Аr
- ароматический или гетероциклический радикалы, содержащие различные
заместители в ядре или гетероцикле, а также амидотиофосфаты структуры (6) и
(7). Соединения (1) и (8) используют в качестве фунгицидов, а соединения (6) -
как гербициды.
(1) (2) (3)
(4) (5)
(6) (7) (8)
Из химических свойств смешанных эфиров тиофосфорной кислоты
прежде всего следует указать их способность к гидролизу с отщеплением
алифатического или ароматического радикалов. Инсектицидные свойства их в
результате гидролиза практически полностью теряются.
Наряду с гидролизом тионовые эфиры тиофосфорной кислоты легко
окисляются. Окисление идет по атому серы и при действии сильных окислителей
получается серная кислота. Токсичность образующихся при окислении фосфатов
значительно выше. Тиоловые эфиры тиофосфорной кислоты также способны к
окислению и в этом случае окисление идет по атому серы, конечным продуктом
окисления является соответствующая сульфоновая кислота. Продукты окисления
тиоловых эфиров значительно менее токсичны, чем исходные вещества.
В организме животных и объектах окружающей среды производные
тиофосфорной кислоты подвергаются окислению и гидролизу. На первой стадии
окисления отщепляется тионовая сера и тиофосфаты переходят в соответствующие
производные фосфорной кислоты, большинство которых более высоко токсичны, чем
исходные соединения. Тиофосфаты подвергаются также гидролизу с образованием
кислых эфиров тиофосфорной и фосфорной кислот, большинство которых мало
токсичны для млекопитающих. Как правило, реакции окисления и гидролиза
протекают почти одновременно, вследствие чего образуются мало токсичные для
животных соединения.
В качестве примера на схеме 3 показаны основные пути
метаболизма тиофоса.
Схема 3.
Аналогично разлагаются и многие другие эфиры тиофосфорной
кислоты. В частности, по аналогичной схеме протекает метаболизм фенитротиона в
организме комнатных мух, резистентных к тиофосфатам. Однако в этом случае
наряду с гидролизом и окислением по атому серы окисляется метальная группа в
ароматическом ядре до гидроксиметильной. Имеются указания об адсорбции
фенитротиона почвой. При наличии в эфирном радикале сульфидных групп они
сначала окисляются до сульфоксидов и сульфонов, затем до сульфоновых кислот.
Последняя реакция протекает более медленно и приводит практически к полному
распаду соединения на простейшие продукты.
2.2.6
Производные дитиофосфорной кислоты
Наряду с производными тиофосфорной кислоты в качестве
пестицидов широкое применение нашли производные дитиофосфорной кислоты. В
меньшей степени используются производные три - и тетратиофосфорной кислот из-за
низкой инсектицидной активности.
В качестве пестицидов применяются дитиофосфаты структуры (9)
(9) (10)
(11) (12)
(13) (14)
(15) (16)
(17) (18)
В ряду соединений структуры (9) наблюдаются следующие общие закономерности
зависимости биологической активности от строения. Все соединения строения (9)
менее токсичны для позвоночных, чем соответствующие фосфаты и тиофосфаты.
Наименьшей токсичностью для позвоночных обладают смешанные эфиры, у которых два
углеводородных радикала, связанные с фосфором через кислород, метилы. С
увеличением числа атомов углерода в эфирных радикалах токсичность для
позвоночных повышается без существенного усиления инсектицидной активности.
Радикал R3 в меньшей степени влияет на токсичность смешанных
дитиофосфатов для позвоночных, но значительно сказывается на инсектицидной
активности. Наиболее высокую инсектицидную активность проявляют соединения, в
которых R3 - ароматический радикал.
Большое различие в токсичности соединений структуры (9) для
позвоночных и членистоногих объясняется неодинаковыми путями метаболизма
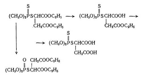
препаратов. Например, карбофос в организме насекомых переходит в более
токсичный тиофосфат - О, О-диметил-S - [1,2-ди (этоксикарбонил)]
тиофосфат, а в организме теплокровных происходит омыление эфирного
(алкоксикарбонильного) остатка и получается практически нетоксичный для
животных продукт (схема 4).
Схема 4.
Наиболее широко используются карбофос, фосфамид, фозалон,
фталофос.
Карбофос - один из наиболее распространенных
фосфорорганических инсектицидов. Производство этого препарата в США превышает
15 тыс. т в год, а в странах Западной Европы составляет около 20 тыс. т в год.
Его применяют для борьбы не только с сосущими вредителями растений, но и с
саранчовыми. Для этого используют препарат с содержанием действующего вещества
9,6% методом ультрамалообъемного опрыскивания.
Карбофос в присутствии некоторых минералов может
изомеризоваться в соответствующий тиоловый изомер, значительно более токсичный
для млекопитающих:
Гидролиз карбофоса в кислой и щелочной средах протекает
различно: в кислой среде образуется этиловый эфир тиолянтарной кислоты, в
щелочной - эфир фумаровой кислоты и соль диметилдитиофосфорной кислоты. Реакция
гидролиза карбофоса может быть использована для его полярографического
определения.
Схема 5
Выше приведена схема 5 химического превращения карбофоса под
действием кислот и щелочей, а также метаболизма в организме насекомых.
Другой практически важный препарат из производных
дитиофосфорной кислоты - фосфамид. Аналогично карбофосу при нагревании
он может перегруппировываться в соответствующий тиоловый изомер, обладающий
более высокой токсичностью. При окислении происходит отщепление тионовой серы и
образуется монотиофосфат. Фосфамид легко гидролизуется в растворах щелочей и
кислот. Метаболизм его в растениях и в организме животных может быть
представлен общей схемой 6.
Схема 6
Все продукты метаболизма фосфамида практически нетоксичны,
поэтому он не представляет опасности для объектов окружающей среды. В
зависимости от нормы расхода препарат практически полностью разрушается в
течение 16-20 дней.
Фосфамид относительно быстро разрушается при хранении в
условиях повышенной температуры. Примеси, содержащиеся в препарате, ускоряют
разложение. Особенно быстро происходит разложение препарата в присутствии
органических оснований, которые легко алкилируются фосфамидом. Растворы препарата
в органических растворителях более стабильны.
Ценным инсектицидом является препарат фозалон. Он
имеет широкий спектр действия и используется для борьбы с многими сосущими и
грызущими вредителями растений. Достаточно устойчив в кислой и нейтральной
среде. Основные продукты гидролиза - формальдегид, диэтилдитиофосфорная кислота
и 6-хлорбензоксазолон-2. При действии окислителей в первую очередь окисляется
тионовая сера и образуется соответствующий тиофосфат, который мало устойчив и
быстро разрушается.
Основные пути метаболизма фозалона представлены на схеме 7.
Схема 7.
Аналогично происходит метаболизм других гетероциклических
эфиров дитиофосфорной кислоты таких, как фталофос, азинфосметил и др. Следует
отметить, что метаболизм большинства других тио - и дитиофосфатов протекает по
окислительно-гидролитическому механизму.
2.2.7
Производные пирофосфорной кислоты
Первым фосфорорганическим инсектицидом, производство которого
было освоено в Германии в 1943 г., был тетраэтилпирофосфат (препарат
бладан, ТЭПФ). С появлением первых публикаций об инсектицидных свойствах
тетраэтилпирофосфата и родственных соединений началось систематическое изучение
пестицидных свойств органических соединений фосфора. Среди производных
пирофосфорной кислоты найдены соединения с весьма высокой инсектицидной
активностью, некоторые из них имеют практическое значение в настоящее время,
хотя и используются в незначительных масштабах.
Строение эфиров пирофосфорной кислоты:
Все пирофосфаты обладают сильным контактным инсектицидным
действием и практически не оказывают системного действия, что связано с их
малой гидролитической устойчивостью, поэтому они быстро разлагаются на растении
с образованием нетоксичных продуктов. Системная инсектицидная активность
появляется при переходе от эфиров к амидам пирофосфорной кислоты, при этом
контактная активность довольно заметно уменьшается.
2.2.8
Производные фосфоновых и фосфиновых кислот
Среди производных алкил - и арилфосфоновых, алкил - и арил -
тио - и дитиофосфоновых кислот, а также в ряду диалкил - и диарилфосфиновых
кислот найдены активные инсектициды, акарициды, нематоциды, фунгициды,
бактерициды, гербициды, регуляторы роста растений, антидоты гербицидов, многие
из которых нашли практическое применение в различных отраслях хозяйства, а
многие находятся на стадии исследования.
Токсичность большинства смешанных эфиров этил - и метил -
фосфоновых, - тиофосфоновых и - дитиофосфоновых кислот, а также амидоэфиров
указанных кислот для млекопитающих выше, чем аналогичных производных фосфорной,
тиофосфорной и дитиофосфорной кислот, хотя имеются и исключения. Она
уменьшается с увеличением углеводородного радикала, связанного с фосфором.
Токсичность свободных алкил - и арилфосфоновых кислот и соответствующих тио - и
дитиофосфоновых кислот сравнительно невелика и в большой степени зависит от
радикалов, связанных с фосфором.
Подробно изучен метаболизм некоторых препаратов в различных
объектах окружающей среды. Связь С-Р довольно прочна и разрыв ее происходит
медленно. Исключение составляют соединения, содержащие при α-углеродном атоме различные заместители (как галоген, гидроксил и
др.). Разложение подобного типа соединений протекает достаточно быстро и ведет
в конечном итоге к образованию фосфорной кислоты, которая полностью усваивается
растениями.
Хлорофос - белое кристаллическое вещество, хорошо
растворимое в воде. Существует в виде трех кристаллических форм с температурами
плавления 78, 83 и 120°С; последние две формы встречаются крайне редко.
Препарат широко применяется для борьбы с различными
вредителями растений и паразитами животных, в том числе с подкожным оводом
крупного рогатого скота. Для этой цели используется специальная форма,
содержащая раствор препарата в минеральном масле и изопропиловом спирте. Такой
раствор быстро проникает через кожные покровы животного, что позволяет резко
уменьшить дозу препарата для обработки животных.
Хлорофос устойчив в кислой среде и легко гидролизуется в
растворах щелочей. Гидролиз протекает по двум направлениям. При гидролизе в
кислой среде сначала образуется 1-гидрокси-2,2,2-трихлорэтил-0- (метил)
фосфоновая кислота
,
которая далее превращается в фосфорную кислоту. Особенно
быстро протекает разложение хлорофоса на свету в разбавленных водных растворах.
В щелочной среде хлорофос дегидрохлорируется с одновременной
перегруппировкой
Основным продуктом реакции является ДДВФ, который далее
гидролизуется до дихлорацетальдегида и фосфорной кислоты [5].
2.3
Рекомендации по снижению уровня химического загрязнения биосферы пестицидами
Накапливаясь в почвах, растениях, животных, пестициды могут
вызывать глубокие и необратимые нарушения нормальных циклов биологического
круговорота веществ и снижение продуктивности почвенных экосистем.
Увеличение масштабов использования пестицидов не дает
гарантии увеличения урожайности культур. Многократный рост поставок пестицидов
в сельское хозяйство в нашей стране, как и многократное увеличение масштабов
применения удобрений, совершенно не коррелирует с ростом урожайности.
Отсутствие выраженной корреляции урожайности зерновых с
применением пестицидов может быть связано либо с тем, что подавляемые
пестицидами виды не являются фактором, лимитирующим урожайность культур, либо с
тем, что применяемые пестициды недостаточно эффективно подавляют численность
регулируемых видов. И в том и в другом случае утверждение об исключительной
важности использования пестицидов для повышения продуктивности сельского
хозяйства необоснованно.
Подавляемые формы составляют в любом агроценозе не более доли
процента от общего числа видов. Поэтому при применении пестицидов поражаются в
основном не только объекты подавления, но и множество других видов, не
являющихся мишенями действия, в том числе естественные враги и паразиты
подавляемых форм.
Только около 3% применяемых фунгицидов и инсектицидов достигают
цели. Доля реально работающих гербицидов колеблется от 5 до 40% от применяемого
количества.
Пестициды всегда отрицательно влияют на живое население почв.
Подавляемые виды насекомых и других вредителей быстро вырабатывают
резистентность к используемым пестицидам, заставляя применять все более
токсичные препараты, все новые и новые пестициды.
Инсектициды влияют на насекомых-опылителей. Около 80%
цветковых растений опыляются насекомыми и около 20% всех насекомых являются
опылителями.
Зачастую практически невозможно соблюдение необходимых
требований их применения.
Использование пестицидов - это один из примеров получения
кратковременной прибыли отдельными лицами (ведомствами) за счет долговременного
ущерба для общества.
В Молдавии отмечается прямая зависимость между
территориальной нагрузкой пестицидов и поражаемостью населения туберкулезом,
детской смертностью, а также смертностью от цирроза печени и хронического
гепатита. Считается, что пестициды, как и радиация, не имеют нижнего порога
действия.
В свете этого необходимы переход к поликультуре и щадящей
почвообработке с оставлением на поле всех органических остатков, соблюдение
принципов экологического соответствия почв (точный подбор возделываемых культур
и сортов), разработка экологически обоснованных путей использования земельного
фонда с целью сохранения биоты почв и почвенного гумуса. Химические средства
защиты должны быть лишь инструментом экстренного вмешательства при критических
ситуациях, но не повседневной практикой.
Вредители возникают не от недостатка пестицидов в среде, так
же как головная боль - не от отсутствия в крови анальгина. Говоря словами
академика Прянишникова: "Недостаток знаний в области биологии выращиваемых
растений и особенностей среды их обитания на каждом конкретном поле невозможно
компенсировать избытком пестицидов, удобрений или мелиорацией".
Большие надежды возлагаются на применение различных феромонов
и атграктантов. Разрабатываются и чисто биологические методы защиты растений,
основанные на использовании энтомофагов (насекомых, поедающих вредителей),
вирусных препаратов и т.д.
Пути защиты почвенных экосистем и населения от загрязнения
пестицидами сводятся в основном к решению организационных вопросов. Это умелое
сочетание пестицидов с биологическими методами, более экономичное и
целенаправленное применение пестицидов за счет использования эмульгированных и
гранулированных препаратов, сокращение масштабов авиационного способа внесения,
отказ от применения стойких препаратов, соблюдение технологии хранения,
транспортировки и внесения пестицидов.
Чтобы грамотно применять пестициды в сельском хозяйстве,
необходимо представлять их судьбу в почвенных экосистемах. Эта
"судьба" тесно связана с внутрипочвенными микробиологическими
процессами и с процессами массопереноса почвенной влаги и воздуха.
До 80% пестицидов адсорбируется почвенным гумусом, вследствие
чего время жизни их в почвенном покрове значительно возрастает. В
адсорбированном состоянии большинство гербицидов практически не подвергается
биоразложению. Адсорбционные свойства почвы зависят от природы глинистых
минералов и от содержания почвенного гумуса. Повышение сорбционной емкости
почвенных пород по отношению к пестицидам за счет гумифицирования глинистого
слоя почвы позволяет сдерживать миграцию пестицидов и продуктов их трансформации
в водоемы. С этой целью применяют перегной, торф, бурый уголь, лигнины.
Подобные "экраны" особенно необходимы в районах орошаемого земледелия
с высокой водопроницаемостью почв [1].
Выводы
В ходе курсовой работы были рассмотрены общие вопросы применения
пестицидов и их значение для сельского хозяйства. Их применение необходимо с целью снижения потерь
сельскохозяйственной продукции, но существует и другая сторона их
использования: среда обитания загрязняется пестицидами и токсичными продуктами
их трансформации.
Выяснено, что фосфорорганические пестициды отличаются
повышенной токсичностью, что выражается в парализующем действии пестицидов на
фермент ацетилхолинестеразу. Таким образом, особенно широко органические
соединения фосфора применяются для борьбы с вредителями растений и экто - и
эндопаразитами домашних животных. По масштабам применения в сельском хозяйстве
они занимают первое место среди пестицидов различных классов.
Рассмотрены основные представители фосфорорганических
соединений, их свойства и метаболизм в организмах животных и объектах
окружающей среды.
Выяснено, что фосфорорганические пестициды в первую очередь и
легко вступают в реакции гидролиза, т. е во влажной среде они по большей части
разрушаются с образованием более простых продуктов и чаще всего
метаболизируются до фосфорной кислоты.
Предложены рекомендации по снижению уровня химического
загрязнения биосферы пестицидами.
Список
литературы
1.
Скурлатов Ю.И. и др. Введение в экологическую химию: Учеб. пособие для хим.
технолог. спец. вузов/Ю.И. Скурлатов, Г.Г. Дука, А. Мизити. - М.: Высш. шк.,
1994. - 400с.
.
Фелленберг Г. Загрязнение природной среды. Введение в экологическую химию. -
М.: Мир, 1997. - 232 с.
.
Швайкова М.Д. Токсикологическая химия. - М. Медицина, 1975. - 376 с.
.
Дж.О.М. Бокрис. Химия окружающей среды. - Под ред.А.П. Цыганкова. - М.: Химия,
1982.672 с.
.
Мельников Н.Н. Пестициды. Химия, технология и применение. М.: Химия, 1986.712
с.