Нетрадиционные источники энергии
Введение
Возобновляемая энергия признана
важной составляющей энергетики в XXI веке, и ее активное использование- один из основных путей
достижения успехов в будущем.
Возобновляемая энергетика может
стать основой для региональных и локальных систем энергосбережения.
Возобновляемые источники энергии используют с целью экономии истощаемых
традиционных энергоресурсов, защиты окружающей среды и улучшения условий жизни,
особенно в сельской местности. Разработка и развитие технологий по их
использованию - необходимое условие для возобновляемой энергетики.
Расширение масштабов использования
возобновляемых источников энергии невозможно без специалистов, которые могли бы
не только разрабатывать специальные устройства и технологии, но и
эксплуатировать их на практике.
В данной контрольной работе
рассматривается возможность применения энергии солнца и ветра как совместно с
традиционным источником энергии так и автономного энергоснабжения совместного
использования энергии солнца и ветра. Проводится сравнение по наиболее
экономному использованию энергии ветра и солнца.
1. Использование
солнечной энергии
энергия автономный экономный
Исходные данные
Период: 15V-IX
Qп=400 МДж
Район: октябрьский
Кскуд=3000 р/м2
КВЭУуд=6000
р/м2
Βтут=32*0,7=25000 руб/тут
Выбрать необходимую площадь
солнечных коллекторов для эффективного горячего водоснабжения совместно с
традиционным источником.
Расчет гелиоустановки выполнен для
летней душевой полевого бригадного стана, расположенного в Октябрьском районе
Челябинской области. Гелиоустановка рассчитана на работу в мае-сентябре,
горячей водой пользуются 15 человек один раз в день по окончании смены. Норма
расхода воды на одного человека в день 50 л, температура воды 323 К (50°С).
Гелиоустановка выполняется по схеме с естественной циркуляцией и
параллельно-последовательным соединением солнечных коллекторов. Каждый
параллельный контур имеет два последовательно соединенных коллектора.
. Суммарная солнечная радиация
поступающая на горизонтальную и наклонную поверхности
а. величина солнечной энергии
поступающей на горизонтальную поверхность, в среднем за день данного месяца
б. уровень солнечной энергии
поступающей на наклонную поверхность в среднем за день данного месяца:
Поскольку R зависит от угла наклона поверхности
гелиоустановки к горизонтальной плоскости, расчет следует провести для всехны
возможных углов наклона. Однако анализ табличных данных показывает что для
определения оптимального угла наклона от 10° до 30°, когда ожидается максимум
солнечной энергии в рассматриваемые месяцы.
Таблица 1
|
Угол наклона,°
|
Интенсивность солнечной энергии на наклонной поверхности в
среднем за день месяца Нт, МДж/м2
|
|
Май
|
июнь
|
июль
|
Август
|
сентябрь
|
|
10
|
19,6
|
22,5
|
22,3
|
18,8
|
12,9
|
|
15
|
19,6
|
22,5
|
22,3
|
19,2
|
13,4
|
|
20
|
19,6
|
22,3
|
22,1
|
19,4
|
13,9
|
|
25
|
19,6
|
22,0
|
22,1
|
19,5
|
14,3
|
|
30
|
19,4
|
21,6
|
21,6
|
19,5
|
14,6
|
Предварительно оптимальный угол
наклона можно определить уже по этим данным, но так как в рассматриваемом
периоде времени (май-сентябрь) разное количество дней в месяце и разная
обеспеченность продолжительности солнечного сияния, то для более точного
расчета величины оптимального угла следует просуммировать
теплопроизводительность гелиоустановки за все месяцы.
. Дневная удельная
теплопроизводительность гелиоустановки в i-м месяце:
Принимаем: Fr=0.89; (τα)=0.7; UL=6 Вт/(м2∙°К);
температуру окружающего воздуха То для мая и сентября принимаем 288°К(15°С),
для июня-августа 293°К (20°С)
Тогда дневная выработка тепловой
энергии гелиоустановкой с углом ее наклона φ=10°
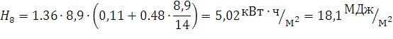
Q5уд=0,89[19,6∙0,7-6∙9,2∙(323-288)∙3,6∙10-3]=6
МДж/м2
Q6уд=0,89[22,5∙0,7-6∙10,3∙(323-293)∙3,6∙10-3]=8МДж/м2
Q7уд=0,89[22,3∙0,7-6∙10,3∙(323-293)∙3,6∙10-3]=7МДж/м2
Q8уд=0,89[18,8∙0,7-6∙8,9∙(323-293)∙3,6∙10-3]=6МДж/м2
Q9уд=0,89[12,9∙0,7-6∙6,4∙(323-288)∙3,6∙10-3]=3МДж/м2
Аналогичный расчет выполняем для
углов 15,20,25,30 градусов, результаты сводим в таблицу 2
Таблица 2
|
Угол наклона
|
Дневная удельная теплопроизводительность гелиоустановки, МДж/м2
|
|
Май
|
июнь
|
июль
|
Август
|
сентябрь
|
За сезон
|
|
10
|
6
|
8
|
7
|
6
|
3
|
501,2
|
|
15
|
6
|
8
|
7
|
6
|
4
|
519,2
|
|
20
|
6
|
8
|
7
|
6
|
4
|
519,2
|
|
25
|
6
|
8
|
7
|
7
|
4
|
536,25
|
|
30
|
5
|
7
|
7
|
7
|
4
|
502,05
|
Для выбора оптимального угла наклона
гелиоустановки сравниваем ее теплопроизводительность за сезон при различных
углах наклона и определяем ее максимальное значение. Анализ полученных данных
показывает, что для рассматриваемой задачи оптимальным углом наклона, следует
считать 25°С. При этом удельная суммарная за сезон теплопроизводительность
гелиоустановки составляет 536,25 МДж/м2.
. Потребное количество энергии для
нагрева воды за месяц
Где N - число дней в месяце; n1-количество людей в бригаде; m1-суточная норма расхода воды на одного человека, кг; С=4.19 кДж/кг0∙К - теплоемкость воды; Т2- температура нагретой
воды; Т0-температура окружающего воздуха.
Общее потребное количество энергии
за сезон составляет 15380 МДж.
. Необходимая площадь гелиоустановки
в i-м
месяце:
По потребной площади гелиоустановки
определяем количество солнечных коллекторов, принимая во внимание, что один
коллектор Братского завода отопительного оборудования имеет площадь 0.8 м2.
Желательно принимать четное количество коллекторов для соединения их по
параллельно-последовательной схеме. Результат расчета
сводим в таблицу 3
Таблица 3
|
Показатели
|
Месяцы
|
|
май
|
июнь
|
июль
|
август
|
сентябрь
|
За сезон
|
|
Потребное количество энергии за месяц Qп, Мдж
|
3409
|
2828
|
2922
|
2922
|
3299
|
15380
|
|
Дневная потребность в энергии , МДж
|
110
|
94
|
94
|
94
|
110
|
-
|
|
Дневная удельная теплопроизводительность гелиоустановки, , МДж/м2
|
6
|
8
|
7
|
7
|
4
|
-
|
|
Потребная площадь гелиоустановки, м2
|
18
|
11.7
|
13
|
13
|
27
|
-
|
|
Выбранное количество коллекторов, шт
|
20
|
12
|
14
|
14
|
30
|
-
|
|
Площадь коллекторов, м2
|
16
|
9.6
|
11.2
|
11.2
|
24
|
-
|
Анализ результатов показывает, что
для каждого месяца требуется своя площадь гелиоустановки: например: в июне
требуется 9.6 м2 площади гелиоустановки, или 12 солнечных
коллекторов, в сентябре - 24 м2 площади или 30 коллекторов. При
площади 9.6 м2 можно обеспечить потребность в тепловой энергии только
в июне и за сезон замещения органического топлива за счет гелиоустановки будет
минимальным. Если выбрать приведенную площадь 24 м2, в отдельные
месяцы будут вырабатываться излишки энергии и эффективность гелиоустановки
будет снижаться.
. Оценка энергетических показателей
системы горячего водоснабжения
Для выбора оптимальной площади
производится оценка энергетических показателей каждого варианта, т.е.
необходимо рассмотреть энергетические показатели для каждой площади,
рекомендуемой в таблице 3.
.1 Коэффициент использования
потенциальной энергии
Данный коэффициент служит для выбора
оптимального угла наклона гелиоустановки. Поскольку угол наклона принят из
условия максимальной выработки тепловой энергии, то при оптимизации площади
гелиоустановки использование потенциальной энергии не исследуется. Однако
оценим долю потенциальной энергии, используемой гелиоустановкой, при принятых
25° угла наклона
Угол наклона 25° действительно
обеспечивает наилучшее использование потенциальной энергии, и потери
потенциальной солнечной энергии вследствие постоянства угла наклона
гелиоустановки составляют 7%. Изменение угла наклона приведет к снижению
коэффициента использования потенциальной энергии.
.2. Коэффициент использования энергии,
вырабатываемой гелиоустановкой.
Данный коэффициент рассчитывается
для каждого месяца при различной площади гелиоустановки. Так в мае при площади
А=16 м2, вырабатываемой энергии Qв=96 МДж, и потребной Qп = 110 МДж, полезно-используемая
энергия Qпол=96 МДж. Тогда согласно
В июне при этой же площади вырабатываемой энергии Qв=128 МДж, и потребной Qп = 94 МДж, полезно-используемая
энергия Qпол=94 МДж; коэффициент использован ия гелиоустановки
Подобным образом рассчитываются все варианты. Результаты
заносятся в таблицу
.3 Коэффициент обеспеченности
потребителя солнечной энергией
Расчеты также ведутся каждого месяца
при различной площади гелиоустановки. Рассмотрим пример расчета коэффициента
обеспеченности для площади А=16 м2. В мае при Qпол=94 МДж и Qп = 110 МДж коэффициент
обеспеченности
В июне Qпол=Qп=94 МДж, коэффициент обеспеченности
Все результаты заносим в таблицу4
Таблица 4
|
Площадь м2
|
май
|
июнь
|
июль
|
август
|
сентябрь
|
За сезон
|
|
|
|
|
|
|
|
|
|
|
|
|
|
|
9.6
|
1
|
0.52
|
1
|
0.82
|
1
|
0.71
|
1
|
0.71
|
1
|
0.35
|
1
|
0.62
|
|
11.2
|
1
|
0.61
|
1
|
0.95
|
1
|
0.83
|
1
|
0.83
|
1
|
0.41
|
1
|
0.73
|
|
16
|
1
|
0.87
|
0.73
|
1
|
0.84
|
0.58
|
0.84
|
0.58
|
1
|
0.58
|
0,99
|
0.92
|
|
24
|
0,76
|
1
|
0.5
|
1
|
0.56
|
1
|
0.56
|
1
|
1
|
0.87
|
0,68
|
0.97
|
Полученные результаты показывают,
что с ростом площади установки и вырабатываемой энергии в отдельные месяцы
рассматриваемого сезона появляются избытки энергии и снижается коэффициент
использования гелиоустановки, а обеспеченность энергией - увеличивается. В
целом за сезон снижение коэффициента использования гелиоустановки и рост
обеспеченности происходят не линейно, так как в отдельные месяцы наблюдается
избыток, а в другие - недостаток энергии от гелиоустановки.
.4 Коэффициент замещения потребной
энергии
Использование солнечной энергии не
позволяет полностью заменить традиционный источник энергии и отказаться от
органического топлива из за непостоянного количества поступающей энергии.
Коэффициент замещения для каждого месяца при различной площади гелиоустановки
рассчитывается с учетом вероятности солнечного сияния.
В мае, например, продолжительность
солнечного сияния
часов
ожидается с вероятностью р(S)=0.6 и коэффициент замещения согласно с
, при площади гелиоустановки А=9.6 м2 составляет 0.52∙0.6=0.31
а при площади А=24 м2 f=0.6. Результаты расчетов всех вариантов заносим в таблицу 5
Таблица 5
|
Площадь, м2
|
Май р(S)=0.6
|
июнь р(S)=0.52
|
июль р(S)=0.5
|
август р(S)=0.55
|
сентябрь р(S)=0.6
|
За сезон
|
|
9.6
|
0,31
|
0,43
|
0,35
|
0,39
|
0,21
|
0,34
|
|
11.2
|
0,37
|
0,49
|
0,41
|
0,46
|
0,25
|
0,40
|
|
16
|
0,52
|
0,52
|
0,5
|
0,32
|
0,35
|
0,44
|
|
24
|
0,6
|
0,52
|
0,5
|
0,55
|
0,52
|
0,54
|
Из анализа данных видно что
гелиоустановка при потребной максимальной площади сможет замещать традиционный
источник энергии за сезон на 54% причем вырабатываемая энергия используется на
87%. При минимальной площади А=9,6 м2, когда вырабатываемая энергия
используется полностью, доля замещения потребной энергии 34%.
Таким образом, энергетические
показатели гелиоустановки позволяют объективно оценить возможности
использования солнечной энергии с учетом ее режимов поступления и требований,
предъявляемых потребителем. Эти показатели - основные, но не достаточные
факторы для оптимизации параметров системы солнечного теплоснабжения. Окончательное
техническое решение принимается на основе сравнительного анализа экономических
показателей различных вариантов использования гелиоустановки.
. Оценка экономической эффективности
использования гелиоустановки и определение оптимальной ее площади.
Для определения оптимальной площади
гелиоустановки сравниваются экономические показатели и ее эффективность за
сезон при различной площади установки.
) Определяется количество полезно
вырабатываемой энергии и сэкономленного топлива при различной площади гелиоустановки.
Так при площади А=9,6 м2
полезно используемая энергия за сезон
Количество сэкономленного топлива
Расчеты для остальной площади
установки проводятся аналогично.
Таблица 6
|
Площадь,м2
|
Полезно используемая энергия, МДж
|
Количество сэкономленного топлива, т.у.т.
|
|
9,6
|
5229
|
0,40
|
|
11,2
|
6152
|
0,47
|
|
16
|
6767
|
0,51
|
|
24
|
8305
|
0,63
|
В целом за сезон увеличение площади
гелиоустановки в 1,5 раза позволяет повысить величину полезно используемой
энергии и количество сэкономленного топлива в 1,15 раза. Такое соотношение
объясняется несоответствием режимов поступления солнечной энергии и потребления
преобразованной энергии;
. Оценивается эффективность
гелиоустановки по энергетическим затратам.
Затраченное количество энергии на
создание гелиоустановки определенной площади
Эффективность энергозатрат
Например, при площади А=9,6 м2
Срок окупаемости гелиоустановки

Полученные результаты показывают что
с уменьшением площади гелиоустановки коэффициент эффективности растет и при
минимальной потребной площади r=0,095. Дальнейшее снижение площади не влияет на энергетическую
эффективность установки, так как вся вырабатываемая энергия используется
полностью, а полезно используемая энергия и энергозатраты прямо пропорционально
зависят от площади гелиоустановки
Таблица 7
|
Показатели
|
9,6 м2
|
11,2 м2
|
16 м2
|
24 м2
|
|
Энергозатраты, МДж
|
54720
|
63840
|
91200
|
136800
|
|
Полезно используемая энергия, МДж
|
5229
|
6152
|
6767
|
8305
|
|
Эффективность энергозатрат
|
0,096
|
0,095
|
0,07
|
0,06
|
|
Срок окупаемости, лет
|
10,4
|
10,3
|
13,4
|
16,4
|
По энергозатратам наиболее
эффективной является гелиоустановка площадью 9,6 м2. По сроку
окупаемости гелиоустановка площадью 9,6м2 и 11,2м2, отличаются не более чем на 5%. Тогда по количеству сэкономленного
топлива есть смысл принять вариант гелиоустановки с площадью 11,2м2.
. Оценка эффективности
гелиоустановки по стоимостным показателям
Для каждой рассматриваемой площади
гелиоустановки определяются годовые издержки при различных капиталовложениях на
удельную площадь и экономия затрат от покупки органического топлива при
различной стоимости топлива. Гелиоустановка будет эффективной если годовые
затраты на установку будут меньше, чем ожидаемая выручка от экономии топлива.
Сравнительную эффективность можно
определить по выражению
например, при площади 9,6м2 сравнительная
эффективность составит
Результаты расчетов сводим в таблицу
8
Таблица 8
|
Площадь, м2.
|
Годовые издержки, руб (Куд=3000 руб/ м2)
|
Выручка от экономии топлива, руб (βт=25000 руб/т.у.т)
|
Сравнительная эффективность, руб
|
|
9,6
|
2880
|
10000
|
7120
|
|
11,2
|
3360
|
11750
|
8390
|
|
16
|
4800
|
12750
|
7950
|
|
24
|
7200
|
15750
|
8550
|
Полученные данные показывают что при
принятых условиях все рассматриваемые площади гелиоустановки являются
эффективными, ежегодные затраты на установку не превышают выручку, получаемую
от экономии органического топлива. Наиболее эффективна гелиоустановка площадью
11,2 м2, здесь максимальная сравнительная эффективность составляет
8390 руб.
При этой площади ожидается
наименьшая себестоимость энергии, получаемой от гелиоустановки. Себестоимость
тепловой энергии при данных затратах определяется по формуле

Оценка экономической эффективности
позволила определить наиболее выгодный вариант использования гелиоустановки.
При площади 11,2 м2 ожидается наименьшая себестоимость тепловой
энергии, доля замещения составляет 40%, а сама гелиоустановка используется на
100%. Гелиоустановка площадью также эффективна по отношению затрат на ее
создание и сравнительной эффективности и экономии топлива, а себестоимость
энергии при этом составляет 0,87
2. Использование энергии
ветра
Исходные данные:
Период: 15V-IX
Qп=400 МДж
Район: октябрьский
Кскуд=3000 р/м2
КВЭУуд=6000
р/м2
Βтут=32*0,7=25000 руб/тут
Выбрать необходимое количество
ветроустановок АВЭУ6-М и BWC-3 для эффективного горячего водоснабжения совместно с
традиционным источником.
Рассмотрим расчет ветроустановки для
горячего водоснабжения сельскохозяйственного потребителя. Данные для расчета те
же что и для гелиоустановки. Выбор данного потребителя обусловлен возможностью
сравнить эти два источника возобновляемой энергии. Расчет ведется на примере
двух ветроустановок АВЭУ6-М и BWC-3, которые эксплуатируются на Южном Урале.
. Определение количества
вырабатываемой энергии.
.1. Выписываем необходимые
технические данные ветроустановок
для АВЭУ6-4М Рн=4 кВт, D=6 м; vmin= 4 м/с; vp=9 м/с.
для BWC-3 Рн=9кВт, D=7 м; vmin=3 м/с; vp=12 м/с.
.2 Выписываем данные о повторяемости
скорости ветра для Октябрьского района и заносим в таблицу 1
Таблица 1
|
Месяц
|
Повторяемость скорости ветра по градациям в относительных
единицах
|
|
2-3
|
4-5
|
6-7
|
8-9
|
10-11
|
12 и больше
|
|
Май
|
0,29
|
0,27
|
0,14
|
0,07
|
0,03
|
0,01
|
|
Июнь
|
0,33
|
0,27
|
0,13
|
0,06
|
0,03
|
0,01
|
|
Июль
|
0,41
|
0,25
|
0,09
|
0,03
|
0,01
|
0
|
|
Август
|
0,37
|
0,26
|
0,1
|
0,05
|
0,01
|
0
|
|
Сентябрь
|
0,34
|
0,26
|
0,13
|
0,05
|
0,03
|
0,01
|
.3 Определяем количество удельной
вырабатываемой энергии для каждого месяца по выражению
Например, в мае ожидаемая удельная
выработка энергии от ветроустановки АВЭУ6-4М
МДж/м2
полная выработка
от ветроустановки BWC-3
полная выработка
Расчеты для остальных месяцев
проводится аналогично. Результаты расчетов сводим в таблицу 2
Таблица 2
|
ВЭУ
|
май
|
июнь
|
июль
|
август
|
сентябрь
|
За сезон
|
|
АВЭУ6-4М
|
2472
|
2311
|
2499
|
3046
|
2182
|
12516
|
|
BWC-3
|
3411
|
3254
|
3400
|
2127
|
3111
|
15303
|
2. Определение количества
ветроустановок для удовлетворения потребности в энергии
.1 Потребное количество энергии
определяется из норм потребления горячей воды; данные принимаем из предыдущего
раздела.
2.2 Предварительно оценим
обеспеченность потребной энергии от одной установки:
где
- КПД электрического нагревателя (ТЭНы), принимается равным
единице;
- потребное количество энергии.
В мае ветроустановка АВЭУ6-4М может
обеспечить 73% потребной энергии, установка BWC-3 100%
Таблица 3
|
Показатели
|
Май
|
июнь
|
июль
|
август
|
сентябрь
|
За сезон
|
|
Потребная энергия
|
3409
|
2828
|
2922
|
2922
|
3299
|
15380
|
|
|
АВЭУ6-4М
|
2472
|
2311
|
2499
|
3046
|
2182
|
12510
|
|
BWC-3
|
3411
|
3254
|
3400
|
2127
|
3111
|
15303
|
|
П,%
|
АВЭУ6-4М
|
73
|
81
|
85
|
100
|
66
|
81
|
|
BWC-3
|
100
|
100
|
100
|
73
|
94
|
99
|
|
Количество
|
АВЭУ6-4М
|
2
|
2
|
1
|
1
|
2
|
2
|
|
BWC-3
|
1
|
1
|
1
|
2
|
1
|
1
|
Анализ полученных результатов
показывает что установка АВЭУ6-4М обеспечивает потребность в энергии в среднем
на 81%и для полного обеспечения в зависимости от месяца их потребуется одна.
Установка BWC-3 в среднем обеспечивает потребность в энергии в среднем 99%.
Таких установок требуется одна.
. определение энергетических
показателей ВЭУ
.1 Коэффициент использования
вырабатываемой энергии определяется для каждого месяца и рассматриваемого
варианта. Например, в мае при использовании двух установок АВЭУ6-4М количество
энергии Wвэу=2472*2=4944 МДж. При потребной энергии Qп=3409 МДж полезно используемая
энергия принимается равной потребной (Qпол=Qп) так как тепловая энергия получаемая от ВЭУ больше потребной
энергии.
Коэффициент использования вырабатываемой
энергии
При использовании BWC-3
Результаты расчетов сводим в таблицу
4
Таблица 4
|
Кол-во ВЭУ
|
май
|
июнь
|
июль
|
август
|
сентябрь
|
За сезон
|
|
Кисп
|
Коб
|
Кисп
|
Коб
|
Кисп
|
Коб
|
Кисп
|
Коб
|
Кисп
|
Коб
|
Кисп
|
Коб
|
|
АВЭУ6-4М
|
|
1
|
1
|
0,73
|
1
|
0,82
|
1
|
0,86
|
0,95
|
1
|
1
|
0,66
|
0,99
|
0,81
|
|
2
|
0,68
|
1
|
0,61
|
1
|
0,58
|
1
|
0,47
|
1
|
0,76
|
1
|
0,62
|
1
|
|
BWC-3
|
|
1
|
0,99
|
1
|
0,87
|
1
|
0,86
|
1
|
1
|
0,73
|
1
|
0,941
|
0,78
|
0,93
|
|
2
|
0,49
|
1
|
0,43
|
1
|
0,43
|
1
|
0,67
|
1
|
0,53
|
1
|
0,51
|
1
|
|
|
|
|
|
|
|
|
|
|
|
|
|
|
|
Значит для полного удовлетворения
потребности в энергии нужны 2 ветроустановки либо АВЭУ6-4М либо типа BWC-3. Коэффициент
использования их составляет 0,62 и 0,51.
Согласно режиму повторяемости
скорости ветра рабочий режим наступает с соответствующей вероятностью.
Обеспеченность рабочей скорости ветра р(v), v>vmin, и средняя
продолжительность работы ВЭУ (N дней) в течение месяца приведены в таблице 5
Таблица 5
|
ВЭУ
|
май
|
июнь
|
июль
|
август
|
сентябрь
|
За сезон
|
|
p(v)
|
N
|
p(v)
|
N
|
p(v)
|
N
|
p(v)
|
N
|
p(v)
|
N
|
p(v)
|
N
|
|
АВЭУ6-4М
|
0.52
|
16
|
0.5
|
15
|
0.38
|
12
|
0.42
|
13
|
0.48
|
14
|
0.46
|
70
|
|
BWC-3
|
0.81
|
25
|
0.83
|
24
|
0.79
|
24
|
0.79
|
24
|
0.82
|
25
|
0.81
|
122
. Определение экономической
эффективности ветроустановки
.1 Рассчитываем количество полезно
используемой энергии за сезон и количество сэкономленного топлива:
или
При использовании двух установок BWC-3:
Результаты расчетов занесены в
таблицу 6
Таблица 6
|
Вариант энергоснабжения
|
Полезная энергия
|
Экономия топлива
|
|
АВЭУ6-4М
|
1
|
7550
|
0,57
|
|
2
|
15100
|
1,14
|
|
BWC-3
|
1
|
14368
|
1,08
|
|
2
|
15210
|
1,15
|
4.2 Оцениваем эффективность
ветроустановки по энергетическим затратам и определяем срок окупаемости.
Энергозатраты на установку АВЭУ6-4М
составляют 39564 МДж, на единицу площади, ометаемой ветроколесом - 1400 МДж/м2.
Эффективность энергозатрат при
использовании двух установок АВЭУ6-4М
Срок окупаемости
Энергозатраты на одну установку BWC-3
Эффективность энергозатрат
Срок окупаемости
Результаты расчетов занесены в
таблицу 7
Таблица 7
|
Показатели
|
АВЭУ6-4М
|
BWC-3
|
|
1
|
2
|
1
|
2
|
|
Энергозатраты, МДж
|
39564
|
79128
|
53851
|
107702
|
|
Полезная энергия, МДж
|
7550
|
15100
|
14368
|
15210
|
|
Эффективность энергозатрат
|
0,15
|
0,16
|
0,26
|
0,14
|
|
Срок окупаемости, лет
|
6,3
|
6,3
|
3,7
|
7
|
Таким образом, наиболее эффективным
является вариант с использованием одной установки типа BWC-3. При этом потребитель
обеспечивается энергией на 93%.
.3 Оценка сравнительной
эффективности ветроустановки по стоимостным показателям
Для каждого рассматриваемого
варианта определяются годовые издержки и экономия органического топлива.
Условие эффективного использования ветроустановки:
При использовании одной установки BWC-3 годовые издержки
составят 11550 рублей, если Куд=6000 руб/м2 и а=0,05; выручка от
экономии топлива - 27000 рублей, если =25000 руб/т.у.т. Выбранная установка работает эффективно.
Результаты расчетов сведены в таблицу. Полученные данные
показывают что для рассматриваемого потребителя при принятых условиях выгодно
отличается установка BWC-3. Сравнительная эффективность ее составляет 15450 рублей.
Таблица 8
|
Вариант
|
Годовые издержки, руб
|
Экономия топлива
|
Сравнительная эффективность, руб
|
|
АВЭУ6-4М
|
1
|
10350
|
14250
|
3900
|
|
2
|
20700
|
28500
|
7800
|
|
BWC-3
|
1
|
11550
|
27000
|
15450
|
|
2
|
23100
|
28750
|
5650
|
Себестоимость энергии от
ветроустановки
При изменении первоначальных условий
т.е. удельных капиталовложений, стоимости топлива следует ожидать изменение
сравнительной эффективности и себестоимости вырабатываемой энергии. однако
ясно, что вариант использования ветроустановки BWC-3 предпочтительнее чем
АВЭУ6-4М.
Оценка экономической эффективности
ВЭУ по энергозатратам и стоимостным показателям также говорит в пользу
ветроустановки BWC-3, причем вырабатываемая энергия должна идти только на нагрев
воды.
Предлагаемый вариант горячего
водоснабжения требует наличия дублирующего источника. При выборе
гелиоветроустановки необходимо учитывать изменчивость поступающей энергии:
среднемесячные значения суммарной солнечной радиации ожидаются с вероятностью p(S)=0.6 и в течение месяца
гелиоустановка вырабатывает тепловую энергию 18 дней. Средняя продолжительность
работы ВЭУ за месяц при скорости ветра v≥5 м/с составляет 10-12 дней.
Таким образом если гелио- и
ветроустановки будут работать изолировано друг от друга, то возможно наиболее
эффективное использование возобновляемых источников энергии и полное
обеспечение потребителя необходимой энергией.
3. Определение
возможности использования гелиоветроэнергетического комплекса
При совместной работе гелиоустановки
площадью А=11,2 м2 и ветроустановки BWC-3 можно получить 6152
МДж и 14368 МДж соответственно,т.е. потребность в
тепловой энергии будет обеспечена полностью.
Эффективность энергетических затрат
Срок окупаемости комплекса
Т=( )/15380=7 лет
Сравнительную эффективность по
стоимостным показателям также оцениваем через годовые издержки на гелио-
ветроэнергетический комплекс и количество сэкономленного топлива, так как
необходимо предусматривать резервный источник энергии работающий на
органическом топливе.
Гелио- ветроэнергетический комплекс
будет эффективным при
Количество сэкономленного топлива в
год
Сравнительная эффективность
комплекса:
руб/год
Положительная величина эффективности
показывает что гелиоветроэнергетический комплекс с предлагаемыми параметрами
при принятых условиях является эффективным. Обобщающие результаты оценки
эффективности по энергетическим затратам и по стоимостным показателям приведены
в таблице 1 и 2
Таблица 1
|
Вариант
|
Энергозатраты, МДж
|
Полезная энергия МДж
|
Эффективность
|
Срок окупаемости лет
|
Экономия топлива т.у.т
|
Обеспеченность от ВИЭ,%
|
|
ГЭУ, А=11,2 м2
|
63840
|
6152
|
0,095
|
10,3
|
0,47
|
73
|
|
BWC-3
|
53851
|
14368
|
0,26
|
3,7
|
1,08
|
93
|
|
ГВЭУ
|
47740
|
15380
|
0,12
|
7
|
1,2
|
100
|
Таблица 2
|
Вариант
|
Годовые издержки Руб/год
|
Экономия Руб/год
|
Эффективность Эср, руб/год
|
Экономия топлива т.у.т
|
Обеспеченность от ВИЭ,%
|
|
ГЭУ, А=11,2 м2
|
3360
|
11750
|
8390
|
0,47
|
73
|
|
BWC-3
|
11550
|
27000
|
15450
|
1,08
|
93
|
|
ГВЭУ
|
14910
|
30000
|
15090
|
1,2
|
100
|
По энергетическим затратам наиболее
эффективным оказался вариант с использованием ветроустановки BWC-3, а по стоимостным
показателям - вариант энергоснабжения с использованием гелиоустановки площадью
А=11,2 м2.
При совместном использовании гелио-
и ветроустановок можно обеспечить максимальную экономию топлива. Себестоимость тепловой энергии в этом варианте.
Заключение
В данной контрольной работе было
рассмотрена возможность использования возобновляемых источников. Для этого были
проведены расчеты. результаты расчетов показали что использование
возобновляемых источников энергии может быть эффективным. Для обеспечения
требуемой надежности энергоснабжения необходимо предусмотреть резервный
источник работающий на органическом топливе.
Похожие работы на - Нетрадиционные источники энергии
|