Операционные системы, разновидности ОС, краткие характеристики
АННОТАЦИЯ
В данной курсовой работе будет рассматриваться
основное понятие операционной системы, две разновидности ОС (DOS
и Windows), их краткие характеристики.
ЗАДАНИЕ К КУРСОВОЙ РАБОТЕ.
1. В теоретической
части курсовой работы будет рассмотрено понятие операционной системы,
рассмотрены ее основные характеристики.
2.
В практической части будут рассмотрены
и решены задачи с
использованием
таблицы идентификаторов, тестов и с помощью блок-схемы.
Задачи
Задача №1. Вычислить
значение функции y(a,x).
|
if
–2pl<x<=2
if 2<=x<=10
if 10<0
|
|

Sinx - Cos x
a = x
Задача №2Вар.№2. Вычислить
значение функции с помощью разложения ее в степенной ряд , учитывая члены ряда
, которые больше Е.
Y= x-(x2/2!)+x4/4!+…+(-1)n
*x2x/(2n)! /x/<10 y= cosx.
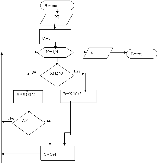
Задача №3. Вар.№11. В
заданном массиве Х1,Х2…Хn изменить значение всех положительных
элементов, умножив их значение на 5, а отрицательные элементы уменьшить вдвое,
при этом подсчитать количество элементов, абсолютная величина которых не превышает
1.
Задача №4.Вар.№15. При
заданных абсциссах Х1,Х2…Хn и ординатах Y1,Y2…Yn N точек плоскости XOY подсчитать
количество точек , ординаты которых больше абсцисс и суммы расстояний от начала
координат для всех заданных точек.
Задача №5. Вар.№7. Составить
блок – схему алгоритма , формирующего массивы по условиям конкретных вариантов.
Исходные данные служат переменным К ( К<=10) и
значением одномерного массива А ( состоящего из К элементов А [k])
и двумерного массива А [i,j], а так же переменным В, С,
D.
A/M3+P3*a2i
if M3 ≠ 0
Xi=
∑ij=1 aj+P3*i2
if M3=0
M3 – кол-во
положительных элементов вектора A[k]
P3 -
∑ элементов вектора A[k], больших заданного числа С.
Задача №6. Вар.№7. Если
max элемент исходного массива не >
заданного числа , то найти значение ф-ии для каждого из элементов последней строки
матрицы , в противном случае вывести на экран " Условие не выполнено ".
F(x)=(3x)2/3!+(4x)2/4!+ (5x)2/5!+…+(-1)k-1*(kx)2/k!
СОДЕРЖАНИЕ
1. Основное
понятие………………………………………………
2. Операционная
система DOS……………………………………
3. Операционная
система Windows ………………………………
4. Заключение ……………………………………………………...
5. Литература
………………………………………………………
6. Постановка
к Задаче №1 ……………………………………….
7. Задача №1
………………………………………………………
8. Постановка
к Задаче №2 ……………………………………….
9. Задача № 2
………………………………………………………
10. Постановка к Задаче №3
……………………………………….
11. Задача № 3 ………………………………………………………
12. Постановка к Задаче №4
……………………………………….
13. Задача № 4 ………………………………………………………
14. Постановка к Задаче №5
……………………………………….
15. Задача № 5………………………………………………………
16. Постановка к Задаче №6
……………………………………….
17. Задача № 6 ………………………………………………………
1. Понятие
операционной системы (ОС).
Основные задачи.
Операционная система — это программа,
которая загружается при включении компьютера. Она производит диалог с
пользователем, осуществляет управление компьютером, его ресурсами (оперативной
памятью, местом .на дисках и т.д.), запускает другие (прикладные) программы на
выполнение. Операционная система обеспечивает пользователю и прикладным
программам удобный способ общения (интерфейс) с устройствами компьютера.
Основная
причина необходимости операционной системы состоит в том, что элементарные
операции для работы с устройствами компьютера и управления ресурсами
компьютера — это операции очень низкого уровня, поэтому действия, которые
необходимы пользователю и прикладным программам, состоят из нескольких сотен
или тысяч таких элементарных операций.
Например,
накопитель на магнитных дисках “понимает” только такие элементарные операции,
как включить/выключить двигатель дисковода, установить читающие головки на
определенный цилиндр, выбрать определенную читающую головку, прочесть
информацию с дорожки диска в компьютер и т.д. И даже для выполнения такого несложного
действия, как копирование файла с одной дискеты на другую (файл — это
поименованный набор информации на диске или другом машинном носителе),
необходимо выполнить тысячи операций по запуску команд дисководов, проверке их
выполнения, поиску и обработке информации в таблицах размещения файлов на
дисках и т.д. Задача еще усложняется следующим:
-
имеется около десятка форматов
дискет, и операционная система должна уметь работать со всеми этими форматами.
Для пользователя работа с дискетами различного формата должна осуществляться
абсолютно одинаково;
-
файл на дискетах занимает
определенные участки, причем пользователь не должен ничего знать о том, какие
именно. Все функции по обслуживанию таблиц размещения файлов,
поиску информации в них, выделению места для файлов на дискетах выполняются
операционной системой, и пользователь может ничего не знать о них;
-
во время работы программы
копирования может возникать несколько десятков различных особых ситуаций,
например сбой при чтении или записи информации, неготовность дисководов к
чтению или записи, отсутствие места на дискете для копируемого файла и т.д.
Для всех этих ситуаций необходимо предусмотреть соответствующие сообщения и
корректирующие действия.
Операционная
система скрывает от пользователя эти сложные и ненужные подробности и
предоставляет ему удобный интерфейс для работы. Она выполняет также различные
вспомогательные действия, например копирование или печать файлов. Операционная
система осуществляет загрузку в оперативную память всех программ, передает им
управление в начале их работы, выполняет различные действия по запросу
выполняемых программ и освобождает занимаемую программами оперативную память
при их завершении.
Существует
несколько видов операционных систем: DOS, Windows, UNIX
разных версий и др. Наиболее распространенной является операционная система Windows.
Существует несколько версий
Windows: Windows-3.1, Windows-95, Windows-98, Windows-2000, Windows NT. Все они близки между собой по содержанию, поэтому в
дальнейшем рассмотрим операционные системы DOS и Windows-9х
Операционная система DOS состоит из следующих частей:
Базовая
система ввода-вывода (ВIOS), находящаяся в постоянной
памяти (постоянном запоминающем устройстве, ПЗУ) компьютера. Эта часть
операционной системы является «встроенной» в компьютер. Ее назначение состоит в
выполнении наиболее простых и универсальных услуг
операционной системы, связанных с осуществлением ввода-вывода. Базовая система
ввода-вывода содержит также тест функционирования
компьютера, проверяющий работу памяти и устройств
компьютера при включении его электропитания. Кроме того, базовая система
ввода-вывода содержит программу вызова загрузчика
операционной системы.
Загрузчик операционной системы - это очень короткая
программа, находящаяся в первом секторе каждой дискеты с операционной системой DOS. Функция этой программы заключается
в считывании в память еще двух модулей операционной
системы, которые и завершают процесс загрузки DOS.
Командный процессор DOS обрабатывает
команды, вводимые пользователем. Командный процессор находится в дисковом файле! COMMAND.COM на диске,
с которого загружается операционная система. Некоторые команды пользователя,
например Туре, Dir или Сор) командный процессор выполняет
сам. Такие команды называются внутренними. Для выполнения остальных
(внешних) команд пользователя командный процессор ищет на дисках программу с
соответствующим именем и если находит ее, то загружает в память и передает ей
управление. По окончании работы программы командный
процессор удаляет программу из памяти и выводит сообщение о готовности к выполнению команд (приглашение DOS).
Внешние команды DOS - это программы, поставляемые вместе с операционной системой
в виде отдельных файлов. Эти программы выполняют действия обслуживающего
характера, например форматирование дискет, проверку дисков
и т.д. Драйверы устройств - это специальные программы, которые дополняют
систему ввода-вывода DOS и обеспечивают обслуживание новых
или нестандартное использование имеющихся
Операционная
оболочка Windows - это разработанная фирмой Microsoft надстройка над
операционной системой DOS, обеспечивающая большое количество удобств для
программистов и пользователей. Большинство пользователей компьютеров используют
Windows и разнообразные прикладные программы под Windows
в своей работе. Широчайшее распространение Microsoft Windows сделало ее
фактическим стандартом для IBM.
В
ОС Windows гораздо лучше, по сравнению с другими ОС, налажено взаимодействие
между пользователем и компьютером. Большинство повседневных задач выполняется с
меньшими, чем когда-либо затратами времени. Решено также большинство проблем с
распределением памяти. Встроенная сетевая поддержка делает тривиальной задачей
надежный обмен информацией по сети. В Windows предусмотрена возможность давать
файлам длинные имена, что значительно облегчает работу пользователя. Поддержка
в Windows стандарта "plug-and-play" упрощает модернизацию оборудования. Ярлыки
помогают быстро обращаться к часто используемым файлам, программам и папкам.
Большая часть всего этого достигнута без ущерба для производительности. А
многие процессы, например печать, идут теперь гораздо быстрее благодаря
32-битному режиму и другим усовершенствованиям.
В отличие от оболочек типа Norton Commander,
Windows не только обеспечивает удобный и наглядный интерфейс для операций с
файлами, дисками и т.д., но и предоставляет новые возможности для запускаемых
в "родной" среде программ. Одна из основных целей разработчиков Windows – создание документированного
интерфейса, резкое снижение требований к подготовке пользователя, упрощение
работы. Следует также признать, что интерфейс Windows обладает массой
достоинств. Предусмотрено все или почти все для удобной и безопасной работы,
почти любую операцию можно выполнить множеством способов, а продуманная система
подсказок, сообщений и предупреждений поддерживает пользователя в течение всего
сеанса работы.
Интерфейс,
разработанный корпорацией Microsoft является одним из лучших и стал
своеобразным эталоном для подражания. В Microsoft Windows программисту доступна
вся мощь этого интерфейса - он избавляется от необходимости организовывать
меню, работу с клавиатурой и мышью (достаточно воспользоваться стандартными
средствами). Интерфейс с пользователем Windows является полным и цельным. В
нем решены не только проблемы организации меню, но и все общение
с пользователем организовано стандартными средствами.
Основная идея создания Windows была высказана главой
фирмы Microsoft, Биллом Гейтсом. Он
рассматривает Windows как электронный
письменный стол, где должно быть все, что есть на рабочем месте: книга для
записей, блокнот, калькулятор, часы и т.д. и т.п. И точно так же на
"письменном столе" Windows могут одновременно вводиться в действие
несколько программ. Первая версия системы была выпущена фирмой Microsoft в 1985
г., а сейчас рынки программного обеспечения во всем мире завоевывает последняя
версия - Windows-2000.
ЗАКЛЮЧЕНИЕ
На данный момент мировая
компьютерная индустрия развивается очень стремительно .Производительность
систем возрастает, а следовательно возрастают возможности обработки больших
объёмов данных . Операционные системы класса MS-DOS уже не справляются с таким
потоком данных и не могут целиком использовать ресурсы современных компьютеров
.Поэтому она больше нигде широко не используется. Все стараются перейти на
более совершенные ОС, какими являются UNIX и Windows. Но из-за ² непопулярности ² , UNIX мало кто пользуется этой ОС. Во
всем мире все, начиная от домохозяек и заканчивая корпоративными
пользователями, пользуются Windows 9x.
В данной Курсовой
работе мы расмотрели основное понятие ОС, какие бывают разновидности ОС, в
кратце прошлись по их основным характеристикам.
ЛИТЕРАТУРА
1.«IВМ РС для пользователей» В. Э.
Фигурнов
2. Windows 95 для занятых» Рои Мэнсфилд
3. «Операционная система Windows 95» А.В
.Потапкин
4. «Курс молодого бойца» К.Ахметов
Задание №1. Вычислить значение функции y(a,x)
|
|
|
|
|
|
|
if
–2pl<x<=2
if 2<=x<=10
if 10<0
|
|
|
 |
|
Sinx - Cos x
a = x
Задача №2. Вар.№2. Вычислить значение функции с
помощью разложения ее в степенной ряд , учитывая члены ряда , которые больше Е>0.
Задача №4. Вариант № 15.
При заданных абсциссах Х1,Х2…Хn и ординатах Y1,Y2…Yn N точек
плоскости XOY подсчитать количество точек , ординаты
которых больше абсцисс и суммы расстояний от начала координат для всех заданных
точек.





|
M3 – кол-во положительных элементов вектора A[k]
P3 - ∑ элементов вектора A[k], больших заданного числа С.
|
|
Задача №5. Вар.№7. Составить блок – схему алгоритма ,
формирующего массивы по условиям конкретных вариантов. Исходные данные служат
переменным К ( К<=10) и значением одномерного
массива А ( состоящего из К элементов А [k]) и
двумерного массива А [i,j], а так же переменным В, С, D.
A/M3+P3*a2i if M3 ≠ 0
Xi=
∑ij=1
aj+P3*i2 if M3=0
Задача №6. Вар.№7. Если
max элемент исходного массива не >
заданного числа , то найти значение ф-ии для каждого из элементов последней
строки матрицы , в противном случае вывести на экран " Условие не
выполнено ".
F(x)=(3x)2/3!+(4x)2/4!+
(5x)2/5!+…+(-1)k-1*(kx)2/k!




Задача №3. Вариант №11
В заданном массиве Х1,Х2…Хn изменить значение всех положительных элементов, умножив их
значение на 5, а отрицательные элементы уменьшить вдвое, при этом подсчитать
количество элементов, абсолютная величина которых не превышает 1.