Технико-экономический расчет системы электроснабжения радиозавода
Задание
Исходные данные на проектирование:
. Схема генерального плана завода (рис. 1).
. Сведения об электрических нагрузках по цехам завода (6, стр.
18).
. Питание может быть осуществлено от подстанции энергосистемы, на
которой установлены два трансформатора мощностью по 25 МВ∙А, напряжением
37/10,5 кВ. Трансформаторы работают раздельно. Мощность системы 400 МВ∙А,
мощность КЗ на стороне 37 кВ равна 480 МВ∙А.
. Стоимость электроэнергии за 1 кВт×ч задает преподаватель.
. Расстояние от подстанции энергосистемы до завода 5,0 км.
. Завод работает в две смены.
Таблица 1-Электрические нагрузки электроаппаратного завода
|
Наименование
|
Количество
электроприемников
|
Установленная Мощность
электроприемников, кВт
|
|
|
Одного
|
Суммарная
|
|
1. Литейный цех
|
60
|
10-80
|
1900
|
|
2. Инструментальный цех
|
50
|
1-40
|
550
|
|
3. Цех пресс-порошков
|
40
|
10-30
|
570
|
|
4. Механический цех № 1
|
70
|
1-40
|
1500
|
|
5. Механический цех № 2
|
60
|
1-50
|
1800
|
|
6. Цех электролиза
|
40
|
10-30
|
680
|
|
7. Компресорная Столярный
цех
|
6
|
120
|
720
|
|
8. Литейный цех
|
30
|
1-30
|
280
|
|
9. Ремонтно-механический
цех
|
|
|
10. Цех сборки приемников
|
100
|
1-10
|
950
|
|
11. Заводоуправление, ЦЗЛ
|
30
|
1-20
|
380
|
|
12. Насосная
|
10
|
40-80
|
320
|
|
13. Котельная
|
40
|
10-50
|
850
|
|
14. Цех сборки шасси
|
100
|
1-10
|
750
|
|
15. Цех спецзаказов
|
80
|
1-150
|
2500
|
Рисунок
1 - Генеральный план радиозавода
1.
Технико-экономическое сравнение вариантов схем внешнего электроснабжения
В зависимости от установленной мощности приемников электроэнергии
различают объекты большой, средней и малой мощности. Рассматриваемое
предприятие относится к объектам средней мощности, для которых, как правило,
применяют схемы электроснабжения с одним приёмным пунктом электроэнергии (ГПП).
Если имеются потребители I категории, то предусматривают секционирование шин
приемного пункта и питание каждой секции по отдельной линии. Согласно заданию
питание может быть осуществлено от подстанции энергосистемы с трансформаторами
37/10,5 кВ. Следовательно для технико-экономического сравнения-два варианта
электроснабжения: от шин подстанции энергосистемы 35 кВ воздушной линией (1-й
вариант) и кабельной линией 10 кВ (2-ой вариант). Схемы электроснабжения
согласно вариантам представлены на рисунке. Итогом технико-экономического
сравнения двух вариантов электроснабжения является сравнение приведенных затрат
двух вариантов.
Приведенные затраты
,
где
- суммарные капвложения в схему электроснабжения, тыс.
р.;
Суммарные
издержки
,
где
- суммарные издержки на амортизационные отчисления,
тыс. руб.;
- суммарные издержки на обслуживание объекта, тыс.
руб.;
-
суммарные издержки на потери электроэнергии, тыс. руб.
Рисунок
2 - Варианты схем электроснабжения
Результатом технико-экономических расчетов является сравнение приведенных
затрат двух вариантов, представленное в таблице
Таблица 1 - Сравнение вариантов внешнего электроснабжения
|
№.
|
КΣ, тыс. р./год
|
Ежегодные издержки, р./год
|
ЗΣ, р./год
|
|
|
ИΣАМ
|
ИΣО
|
ИПЭ
|
|
|
1(35)
|
250
|
11624
|
4412
|
6343
|
52379
|
|
2 (10)
|
242,3
|
12920
|
4910
|
5533
|
53648
|
Вывод: предпочтение отдаем второму варианту, в котором питание ГПП
предприятия осуществляется по ВЛ от шин 35 кВ подстанции энергосистемы. Разница
приведенных затрат сравниваемых вариантов менее 5% варианты являются
равноценными.
. Смета капитальных затрат (сметно-финансовый расчет)
При использовании справочных данных вводим повышающий коэффициент,
учитывающий темпы инфляции в экономике страны за прошедшие годы
где Ц - цена оборудования на текущий год;
- базовая цена (взятая из справочной
литературы); I - индекс инфляции, учитывающий изменение цен на оборудование за
прошедший период.
В смете определяем стоимость оборудования, стоимость монтажа и
строительных работ с учетом единиц установленного оборудования
где
- сметная стоимость оборудования, тыс. руб.;
− стоимость единицы
оборудования, тыс. руб.; n - число единиц устанавливаемого оборудования.
Аналогично производим расчет сметной стоимости монтажных и строительных
работ.
Полученные результаты корректируем с учетом территориального коэффициента
по строительным работам
по монтажным работам
по оборудованию
где
,
,
− стоимость строительных монтажных работ и
оборудования с учетом территориальных коэффициентов;
− территориальный коэффициент.
Территориальные коэффициенты к сметной стоимости (по Красноярскому краю)
- для строительных работ - 1,41;
- для монтажных работ - 1,21;
- для оборудования - 1,07;
- к полной стоимости (строительно-монтажных работ и прочих) - 1,19 (если
расчёт ведётся по общей сметной стоимости оборудования).
Расчет прочих затрат в составе общей сметной стоимости оборудования
производим от суммарной стоимости строительно-монтажных работ по формуле
где
- прочие затраты.
Значения
(в процентах) в зависимости от уровня напряжения принимаем
- для 0,4 кВ составляет 30%;
- для 6-10 кВ составляет 27%;
- для 35 кВ составляет 25,8%.
По каждому уровню напряжения находим общую сметную стоимость
где
− общая сметная стоимость оборудования i-го
напряжения.
Определяем общую сметную стоимость установленного оборудования всех
уровней напряжения по формуле
Во втором разделе сметы проводим расчет стоимость кабельных линий
где 
− сметная стоимость КЛ, тыс. руб.;
− стоимость 1 км кабельных
линий, тыс. руб./км; L - длина кабельных линий, км.
Также рассчитываем стоимость прокладки КЛ. Расчеты проводим для каждой
марки КЛ. Затем суммарную сметную стоимость КЛ и стоимость ее прокладки
корректируем с учетом территориально коэффициента для КЛ
где
− стоимость КЛ с учетом территориального коэффициента;
− суммарная стоимость КЛ;
− территориальный коэффициент;
стоимость прокладки в траншеях КЛ
где
− стоимость прокладки с учетом территориального
коэффициента;
− суммарная стоимость прокладки.
Территориальный коэффициент к сметной стоимости (по Красноярскому краю):
- для прокладки линий - 1,09;
- для линий - 1,07;
- к полной стоимости - 1,08 (если расчёт ведётся по общей сметной
стоимости КЛ в графе 8).
Непредвиденные затраты принимаем в размере 5 % от стоимости КЛ и её
прокладки.
Находим общую сметную стоимость КЛ
Сметная стоимость всей схемы электроснабжения
Для определения стоимости системы электроснабжения завода тяжелого
машиностроения в таблице 2.1 составлена смета, включающей в себя затраты на
приобретение оборудования и приспособлений, на строительные и монтажные работы
с учетом территориальных коэффициентов.
Смета на строительство схемы электроснабжения Электроаппаратного завода
Сметная стоимость 46492,06 тыс. руб.
Смета составлена в ценах 2010 года.
капитальный
затрата электроэнергия себестоимость
. Издержки по эксплуатации общезаводской части
электрохозяйства
Годовые издержки по эксплуатации общезаводской части электрохозяйства
включают затраты на обслуживание электроаппаратуры главной понизительной
подстанции предприятия, внутризаводских электрических сетей, распределительных
устройств 6-10 кВ с высоковольтными потребителями и цеховых трансформаторных
подстанций. Рассчитываем издержки по эксплуатации по упрощенной форме сметы.
3.1 Определение основной и дополнительной (с начислениями на
социальные нужды) заработной платы
Для определения зарплаты необходимо в первую очередь рассчитать списочный
состав эксплуатационных рабочих мест с учетом режима работы предприятия и
коэффициента приведения явочного состава к списочному (
), а также, используя укрупненные
нормативы численности персонала для обслуживания элементов систем
электроснабжения.
Таблица 2 -
Расчет суммарной трудоемкости всех видов ремонтных работ
Определим численность эксплуатационного и оперативного персонала,
персонала по межремонтному (техническому) обслуживанию
где
− суммарная годовая трудоемкость капитальных, средних
и текущих ремонтов; К - коэффициент сменности работы оборудования;
− норма межремонтного
(технического) обслуживания на одного рабочего в смену.
Списочный состав эксплуатационных рабочих составит
где
- коэффициент приведения явочного состава рабочих к
списочному.
Тарифный фонд заработной платы
где
-
тарифная ставка эксплуатационных рабочих при повременной оплате (принимаем ее
равной 39,4 руб./час); 1880 - действительный годовой фонд рабочего времени
одного рабочего.
Для получения годового фонда заработной платы необходимо тарифный фонд
увеличить, учитывая доплаты, относящиеся к часовому, дневному и годовому
фондам.
- премии (25 %)
- районный коэффициент с северной надбавкой (50 %)
- ночные часы (4,7 %)
- праздничные дни (оплата производится в двойном размере, количество
праздничных дней в году составляет около 3 %, а количество персонала,
работающего в эти дни, принимаем 30-50 %)
Дневной фонд заработной платы будет составлять
Средства на отпуска и выполнение государственных обязанностей (7,5 % от
дневного фонда заработной платы)
Начисления на социальные нужды (26 % от основной дополнительной
заработной платы)
Таким образом, годовой фонд заработной платы эксплуатационных рабочих
составит
Полученные результаты сводим в таблицу 3.
Таблица 3 -
Фонд заработной платы эксплуатационных рабочих
|
Статьи расходов
|
Сумма, тыс. руб.
|
|
1 Тарифный фонд
|
|
|
2 Премии
|
|
|
3 Районный коэффициент,
северные надбавки
|
|
|
4 Ночные часы
|
|
|
5 Праздничные дни
|
|
|
6 Отпуска
|
|
|
7 Начисления на социальные
нужды
|
|
|
8 Годовой фонд заработной
платы
|
|
.2 Затраты на ремонт
Затраты на ремонт включают основную и дополнительную заработную плату
ремонтного персонала ГФЗПр, стоимость материальных ресурсов на ремонтные нужды
ЗМ и цеховые расходы ЦР.
Тарифный фонд заработной платы ремонтных рабочих
где
- тарифная ставка ремонтных рабочих (принимаем ее равной 45,2
руб./час);
Для получения годового фонда заработной платы необходимо тарифный фонд
увеличить, учитывая доплаты, относящиеся к часовому, дневному и годовому
фондам.
- премии (25 %)
- районный коэффициент с северной надбавкой (50 %)
- ночные часы (4,7 %)
- праздничные дни (оплата производится в двойном размере, количество праздничных
дней в году составляет около 3 %, а количество персонала, работающего в эти
дни, принимаем 30-50 %)
Дневной фонд заработной платы будет составлять
Средства на отпуска и выполнение государственных обязанностей (7,5 % от
дневного фонда заработной платы)
Начисления на социальные нужды (26 % от основной дополнительной
заработной платы)
Таким образом, годовой фонд заработной платы эксплуатационных рабочих
составит
Расходы на материалы, полуфабрикаты, запасные части (примем 300 % к
основной заработной плате ремонтных рабочих)
Цеховые расходы планируем в размере 100-120 % от основной заработной
платы ремонтных рабочих
Таким образом затраты на ремонт составят
Полученные результаты сводим в таблицу 4
Таблица 4 -
Затраты на ремонт
|
Статьи расходов
|
Сумма тыс. руб.
|
|
1 Заработная плата
|
|
|
2 Материалы
|
|
|
3 Цеховые расходы
|
|
|
Итого
|
|
.3 Амортизационные отчисления
Амортизационные отчисления определяют исходя из годовых норм амортизации
и капитальных вложений
дифференцированно по каждой группе основных фондов.
Годовая норма амортизации, в процентах определяется как
где
-
срок полезного использования оборудования, год.
Данные расчета сводим в таблицу 5.
Таблица 5 - Амортизационные отчисления
|
Элементы основных фондов
|
Нормы амортизации
|
Капитальные вложения,
|
Годовые амортизационные
отчисления,
|
|
|
тыс. руб.
|
тыс. руб.
|
|
Трансформаторы собственных
нужд
|
20
|
986
|
197,2
|
|
Высоковольтная
электрическая аппаратура: (выключатели, разъединители, трансформаторы
напряжения, предохранители, ОПН, КРУ)
|
6,67
|
41927,78
|
2796,58
|
|
Кабельные линии
|
4
|
3578,28
|
143,13
|
|
Итого
|
46492,06
|
3136,91
|
.4 Прочие расходы
Прочие расходы в смете годовых издержек можно принимать в размере 1 % от
основной заработной платы эксплуатационного персонала
Годовые издержки по эксплуатации общезаводской части электрохозяйства
сводим в таблицу 6
Таблица 6 - Издержки по эксплуатации общезаводской части электрохозяйства
|
Наименование статей
расходов
|
Сумма
|
|
тыс. руб.
|
в % к итогу
|
|
Заработная плата основная и
дополнительная с начислениями на социальные нужды
|
|
49,92
|
|
Затраты на ремонт
|
|
37,31
|
|
Амортизационные отчисления
|
3136,91
|
12,56
|
|
Прочие расходы
|
|
0,2
|
|
Итого
|
24968,45
|
100
|
. Калькуляция себестоимости электроэнергии на
электроаппаратном заводе
Себестоимость единицы электроэнергии складывается из стоимости 1 кВт·ч
электроэнергии и издержек по эксплуатации общезаводской части электрохозяйства,
приходящихся на 1 кВт·ч потребляемой электроэнергии.
Проведем расчет по одноставочному, двухставочному и дифференциальному
тарифу для сравнения.
.1 Калькуляция себестоимости по одноставочному тарифу
Таблица 7 -
Калькуляция себестоимости 1 кВт∙ч потребляемой электроэнергии по
одноставочному тарифу
|
Показатели и статьи
расходов
|
Единицы измерения
|
Абсолютная величина
|
|
Потребленная энергия
|
тыс. кВт·ч
|
74583,28
|
|
Годовой максимум нагрузки
|
кВт
|
17426
|
|
Ставка по тарифу за
потребленную электроэнергию (с учетом НДС - 18%)
|
коп./кВт·ч
|
124,49
|
|
Плата за потребленную
электроэнергию
|
тыс. руб.
|
92848,725
|
|
Годовые издержки по
эксплуатации общезаводской
|
тыс. руб.
|
24968,45
|
|
части электрохозяйства
|
|
|
|
Всего расходов
|
тыс. руб.
|
117817,175
|
|
Потери электроэнергии
|
тыс. кВт·ч
|
782,61
|
|
Полезно используемая
электроэнергия
|
тыс. кВт·ч
|
73800,67
|
|
Себестоимость 1 кВт·ч
потребляемой электроэнергии
|
руб./кВт·ч
|
1,596
|
Потребляемая электроэнергия, тыс. кВт·ч

Ставка по
одноставочному тарифу для 35 кВ
.
С учетом НДС

Плата за
потребленную электроэнергию
Потери электроэнергии в трансформаторе
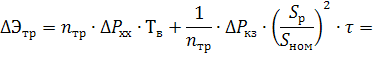
где
число трансформаторов на подстанции;
потери холостого хода, кВт;
потери короткого замыкания, кВт;
время работы
трансформатора, часов;
время максимальных потерь;
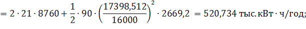
Потери электроэнергии в ЛЭП
Полные потери
Полезно используемая электроэнергия
Себестоимость определяется из отношения расходов к полезно используемой
электроэнергии
4.2 Калькуляция себестоимости по двухставочному тарифу
Таблица 8 -
Калькуляция себестоимости 1 кВт∙ч потребляемой электроэнергии по
двухставочному тарифу
|
Показатели и статьи
расходов
|
Единицы измерения
|
Абсолютная величина
|
|
Потребленная энергия
|
тыс. кВт·ч
|
74583,28
|
|
Годовой максимум нагрузки
|
кВт
|
17426
|
|
Основная ставка по тарифу
за потребляемую
|
руб./кВт/мес.
|
441,63
|
|
мощность (с учетом НДС -
18%)
|
|
|
|
Тариф на электроэнергию (с
учетом НДС - 18%)
|
коп./кВт·ч
|
33,74
|
|
Плата за электрическую
мощность
|
тыс. руб.
|
92349,66
|
|
Плата за электроэнергию
|
тыс. руб.
|
25167,73
|
|
Итого: плата за
электроэнергию для технологических целей
|
тыс. руб.
|
117517,39
|
|
Годовые издержки по
эксплуатации общезаводской части электрохозяйства
|
тыс. руб.
|
24968,45
|
|
Всего расходов
|
тыс. руб.
|
142485,84
|
|
Потери электроэнергии
|
тыс. кВт·ч
|
782,61
|
|
Полезно используемая
электроэнергия
|
тыс. кВт·ч
|
73800,67
|
|
Себестоимость 1 кВт·ч
потребляемой электроэнергии
|
руб./кВт·ч
|
1,93
|
При двухставочном тарифе годовая плата за потребленную электрическую
энергию
составит, тыс.руб.
где
-
ставка за 1 кВт максимума нагрузки, руб./кВт×мес.;
-
заявленная нагрузка потребителя, кВт;
- ставка за 1 кВт∙ч потребленной активной энергии коп./кВт∙ч;
- количество потребленной активной энергии, учтенной по
счетчику кВт∙ч.
Основная ставка по двухставочному тарифу для 35 кВ
С учетом
Дополнительная
ставка по двухставочному тарифу для 35 кВ

С учетом 

Плата за
электрическую мощность
Плата за
электроэнергию
Итого плата за потребление электроэнергии составляет
Определим себестоимость 1 кВт∙ч потребляемой электроэнергии
где
-
годовая плата за электроэнергию, тыс. руб.;
- годовые издержки по эксплуатации общезаводской части
электрохозяйства, тыс. руб.
4.3 Калькуляция себестоимости по дифференцированному тарифу
Таблица 9 - Калькуляция себестоимости 1 кВт∙ч потребляемой
электроэнергии по дифференцированному тарифу
|
Показатели и статьи
расходов
|
Единицы измерения
|
Абсолютная величина
|
|
Потребленная энергия
|
тыс. кВт·ч
|
74583,28
|
|
Годовой максимум нагрузки
|
кВт
|
17426
|
|
Тариф за электроэнергию (с
учетом НДС - 18%)
|
коп./кВт·ч
|
|
|
- Ночная зона
|
|
33,74
|
|
- Полупиковая зона
|
|
117,29
|
|
- Пиковая зона
|
|
175,93
|
|
Плата за электроэнергию
|
тыс. руб.
|
|
|
- Ночная зона
|
|
6721,351
|
|
- Полупиковая зона
|
|
42150,39
|
|
- Пиковая зона
|
|
32947,95
|
|
Итого: плата за
электроэнергию для технологических целей
|
тыс. руб.
|
81819,69
|
|
Годовые издержки по
эксплуатации общезаводской части электрохозяйства
|
тыс. руб.
|
24968,45
|
|
Всего расходов
|
тыс. руб.
|
106788,14
|
|
Потери электроэнергии
|
тыс. кВт·ч
|
782,61
|
|
Полезно используемая
электроэнергия
|
тыс. кВт·ч
|
73800,67
|
|
Себестоимость 1 кВт·ч
потребляемой электроэнергии
|
руб./кВт·ч
|
1,45
|
Рисунок
3 - Суточный график активной нагрузки предприятия
Ставка
по дифференцированному тарифу для 35 кВ
Ночная
зона -
Пиковая
зона -
Полупиковая
зона -
С
учетом НДС
Ночная
зона -
Пиковая
зона -
Полупиковая
зона -
Таблица 10 - Расчет дифференцированного тарифа
|
Месяц
|
Количество дней
|
Потребление электроэнергии
в месяц, тыс. кВт·ч
|
Потребление электроэнергии
по зонам, тыс. кВт·ч
|
|
|
|
Пиковая
|
Ночная
|
Полупиковая
|
|
январь
|
31
|
6334,47
|
2293,19
|
1691,70
|
2349,58
|
|
февраль
|
28
|
5721,46
|
2071,27
|
1527,99
|
2122,2
|
|
март
|
31
|
6334,47
|
1691,7
|
1691,7
|
2951,07
|
|
апрель
|
30
|
6130,13
|
1527,99
|
1637,13
|
2965,02
|
|
май
|
31
|
6334,47
|
1353,36
|
1691,7
|
3289,41
|
|
июнь
|
30
|
6130,13
|
1273,32
|
1637,13
|
3219,68
|
|
июль
|
31
|
6334,47
|
1315,77
|
1691,7
|
3327,01
|
|
август
|
31
|
6334,47
|
1165,39
|
1691,7
|
3477,38
|
|
сентябрь
|
30
|
6130,13
|
1164,18
|
1637,13
|
3328,83
|
|
октябрь
|
31
|
6334,47
|
1616,51
|
1691,7
|
3026,26
|
|
ноябрь
|
30
|
6130,13
|
1600,75
|
1637,13
|
2892,26
|
|
декабрь
|
31
|
6334,47
|
1654,11
|
1691,7
|
2988,67
|
|
итого
|
365
|
74583,28
|
18727,87
|
19921,02
|
35934,39
|
Расчет покажем на примере месяца января:
По графику нагрузки потребление составляет
Потребление
электроэнергии по тарифным зонам в январе
Аналогично
рассчитываем потребление электроэнергии для других месяцев и заносим данные в
таблицу 10.
Плата
за электроэнергию за год составит
Себестоимость
определяется из отношения расходов к полезно используемой электроэнергии
Наиболее выгодным для расчета потребления электроэнергии данным
предприятием является дифференциальный тариф, так как он обеспечивает
минимальную плату за электроэнергию и снижает себестоимость 1
потребляемой электроэнергии.
. Мероприятия по экономии электроэнергии
Для обеспечения рационального и экономного использования энергии в
производстве на предприятиях ежегодно разрабатываются планы
организационно-технических мероприятий по среднему снижению удельных норм
расхода электроэнергии. В этих планах предусматриваются конкретные мероприятия
по снижению расхода электроэнергии за счет совершенствования технологических
процессов производства, внедрения новой техники, повышения производительности
действующего оборудования, снижения непроизводительных потерь электроэнергии и
энергоносителей.
Таблица 11 -
Структура потребления электроэнергии
|
Потребители электроэнергии
|
Объем потребляемой
электроэнергии,
|
Удельный вес (%) в общем
объеме потребления электроэнергии.
|
|
тыс. кВт×ч
|
|
|
1 Компрессорная
|
1440*4280=6163,2
|
8,26
|
|
2 Освещение
|
715,9*4280=3064,05
|
4,11
|
|
3 Заготовительно- сварочный
цех
|
3467*4280=14838,76
|
19,9
|
|
4 Штамповочный цех
|
2359,8*4280=10099,94
|
13,54
|
|
По предприятию в целом
|
74583,28
|
100
|
5.1 Замена компрессорной турбины
Децентрализация системы производства и подачи сжатого воздуха с заменой
компрессорной турбины К-250.
Предлагается установить шесть компрессоров 1ВВ-40/9В вместо
турбокомпрессора К-250, который вынужденно работает в холостом режиме в ночное
время и в выходные дни, т. к. имеет конструктивное ограничение до пяти циклов
включения / выключения в год. Реализация данного мероприятия позволяет
эксплуатировать один компрессор в дежурном режиме и остальные пять
исключительно в рабочую смену, что обеспечивает значительное сокращение затрат
предприятия на электрическую энергию. Ежегодный экономический эффект превысит
инвестиции в два раза.
Экономия при установке компрессоров 1ВВ-40/9В
.2 Использование светодиодных технологий
Использование светодиодные технологии имеют ряд существенных преимуществ:
. Срок службы светодиодных светильников значительно превышает
существующие аналоги (срок непрерывной работы светильника не менее 100 000
реальных часов, что эквивалентно 25 годам эксплуатации, при 10 часовой работе в
день).
. Экономичность энергопотребления. На 70% снижается энергопотребление по
сравнению со светильниками, где применяются традиционные газоразрядные лампы
ДРЛ и ДНАТ.
. Полная экологическая безопасность позволяет сохранять окружающую среду,
не требуя специальных условия по утилизации.
. Высокая надежность, механическая прочность, виброустойчивость
светодиодных светильников Ledel. Это достигается тем, что конструкция
светильника состоит из литого монолитного корпуса, выполненного из алюминиевого
сплава позволяет добиться степени защиты IP67, отсутствие нити накаливания дает
высокую виброустойчивость.
. Отсутствие необходимости замены светодиодов и обслуживания светильников
в течение всего срока эксплуатации позволяет значительно экономить на
обслуживающих мероприятиях и персонале.
. В светодиодных светильниках достигается высокая контрастность, что
обеспечивает лучшую четкость освещаемых объектов (зданий, строений, подъездов,
дворов, рекламных щитов, складов, охраняемых территорий, парков) и
цветопередачу (индекс цветопередачи 80-90).
.В ночное время, для дополнительной экономии электроэнергии, допускается
снижение освещенности территории на 30-50% (пункт 7.44 СНиП 23-05-95).
Светодиодные светильники позволяют регулировать освещенность снижением
питающего напряжения. Наличие переключателя потребляемой мощности на подстанции
позволяет, без расширения номенклатуры светильников, получать различные нормы
освещенности в соответствии со СНиП 23-05-95.
Таким образом
.3 Использование современных инверторных сварочных источников
«ТОРУС-200» - современный инверторный сварочный источник, основан на
цифровом высокочастотном преобразователе напряжения сети. Такой метод
обеспечивает высокую стабильность параметров сварки, большой КПД, экономию
электроэнергии и простоту выполнения сварки.
Аппарат предназначен для электродуговой сварки низкоуглеродистых,
легированных и нержавеющих сталей, может работать в режимах TIG, MMA. Диаметр
используемых электродов до 5мм.
Получение качественных сварочных швов не требует от работника высокой
квалификации, что не маловажно для начинающих сварщиков. С аппаратом удобно
работать в любых областях промышленности, особенно при нестабильной сети.
Экономия электроэнергии до 30%, подключение в любых промышленных помещениях.
.4 Улучшение обработки металла
Уменьшение объёма металла, спиленного при обработке. В результате замены
механической обработки ковкой и штамповкой, а также точным литьём за счёт
уменьшения обработки резанием удельный расход электроэнергии сокращается на 15-20%.
Таблица 12 -
Мероприятия по экономии электроэнергии
|
Мероприятия
|
Годовой экономический
эффект
|
|
тыс. кВт·ч
|
тыс. руб.
|
|
1 Замена компрессорной
турбины
|
924,48
|
1024,97
|
|
2 Использование
светодиодных технологий
|
2144,835
|
2377,98
|
|
3 Использование современных
инверторных источников
|
4451,628
|
4935,52
|
|
4 Улучшение обработки
металла
|
2019,99
|
2239,56
|
|
Итого
|
9540,933
|
10578,03
|
Определим годовой экономический эффект
где
-
годовая экономия электроэнергии по мероприятиям 1, 2, 3,4;
- средний тариф на электроэнергию,
. Организационная структура управления энергохозяйством
Структура управления энергохозяйством, под которой понимаются
совокупность взаимосвязанных различных звеньев, определяется конкретными
условиями каждого предприятия. Такими условиями, влияющими на структуру
управления, кроме величин потребляемых энергоресурсов, являются: объем и
сложность электрохозяйства, энерговооруженность, особенности технологии, способ
организации ремонта энергооборудования и др. факторы.
Данное предприятие относится к предприятию средней мощности.
Рисунок
4 - Организационная структура управления энергохозяйством
7. Технико-экономические показатели системы электроснабжения
В заключение экономической части необходимо привести таблицу с основными
технико-экономическими показателями проектируемой системы электроснабжения.
Таблица 13 -
Основные технико-экономические показатели проектируемой системы
электроснабжения
|
№ п/п
|
Показатель
|
Обозначение
|
Единица измерения
|
Количество
|
|
|
|
|
|
|
1
|
Установленная мощность
|
Pу
|
кВт
|
31235
|
|
2
|
Расчетная мощность
|
Pр
|
кВт
|
17426
|
|
3
|
Полная мощность
|
S
|
кВ·А
|
21818,6
|
|
4
|
Напряжение внешнего
электроснабжения
|
Uвн
|
кВ
|
35
|
|
5
|
Напряжение внутреннего
электроснабжения
|
Uнн
|
кВ
|
10
|
|
6
|
Коэффициент мощности
|
cosφ
tgφ
|
о.е.
|
0,8
|
|
|
|
о.е.
|
0,75
|
|
|
|
|
|
|
7
|
Количество и мощность
трансформаторов на ГПП
|
2×ТДН-16000/35
|
|
8
|
Конструктивное выполнение
ГПП
|
Два блока
линия-трансформатор с неавтоматической перемычкой
|
|
9
|
Максимальная заявленная
мощность
|
PM
|
кВт
|
17426
|
|
10
|
3*КТП-630/10, 2*КТП-1000/10
7*2КТП-630/10, 4*2КТП-1000/10
|
|
11
|
Принятая схема внутреннего
электроснабжения
|
Смешанная
|
|
12
|
Потребление электрической
энергии предприятием за год
|
Эп
|
тыс. кВт∙ч
|
74583,28
|
|
13
|
Компенсируемая реактивная
мощность, в том числе:
|
|
|
|
|
на напряжении 6-10 кВ
|
Qкв
|
кВар
|
2516,8
|
|
на напряжении 0,4 кВ
|
Qкн
|
кВар
|
6468
|
|
|
|
|
|
|
14
|
Потери активной мощности
|
|
кВт
|
293,2
|
|
15
|
Потери энергии
|
|
тыс. кВт·ч
|
782,61
|
|
16
|
Капитальные затраты на
электрооборудование предприятия
|
K
|
тыс. руб.
|
46492,06
|
|
17
|
Удельные капиталовложения
на 1 кВт установленной мощности
|
kуд
|
тыс. руб./кВт
|
1,49
|
|
18
|
Годовые издержки по
обслуживанию электрооборудования и сетей
|
Игод
|
тыс. руб.
|
24968,45
|
|
19
|
Численность персонала
|
Чэ
|
чел.
|
68
|
|
20
|
Годовой фонд основной и
дополнительной зарплаты эксплуатационного персонала
|
ГФЗП
|
тыс. руб.
|
|
|
21
|
Коэффициент обслуживания
|
Ко
|
чел./МВт
|
1,05
|
|
22
|
Стоимость электроэнергии
(плата энергосистеме)
|
Пэ
|
тыс. руб.
|
|
|
23
|
Расход электроэнергии на
единицу продукции
|
|
|
|
|
нормативный
|
н
|
кВт·ч/ед.
|
315
|
|
фактический
|
|
кВт·ч/ед.
|
|
|
24
|
Снижение расхода
электроэнергии на единицу продукции
|
|
%
|
|
|
25
|
Себестоимость 1 кВт·ч
электроэнергии
|
Сэ
|
руб./кВт·ч
|
1,45
|
|
26
|
Экономический эффект от
внедрения мероприятий по экономии электроэнергии
|
|
тыс. кВт·ч
|
9540,933
|
|
|
|
тыс. руб.
|
|
|
|
|
|
|
|
|
Коэффициент обслуживания
Удельные капиталовложения на 1 кВт установленной мощности
Фактический расход электроэнергии на единицу выпущенной продукции
определяется из формулы
где
- годовой объем выпущенной продукции, ед. прод.;
- суммарный годовой экономический эффект полученный за
счет предложенных мероприятий.
где
н
- номинальный расход электроэнергии на единицу продукции.
Определим снижение расхода электроэнергии на единицу продукции
Список использованных источников
1<http://ttplus.electrob.ru/production/Vakuumnyy_vyklyuchatel_VBET_35III_25_630_1600/654886/>
<http://www.kaztransformator.kz/>
<http://www.razrad.ru/>
<http://www.findfirm.ru/r778/2407/prices/1469/прайс-лист-нп.html>
<http://www.energy-t.ru/documents.html>
<http://www.elteh.energoportal.ru/sunit6771.htm>
<http://transtechno2.ru/>
Неклепаев, Б. Н.
Электрическая часть электростанций и подстанции, справочные материалы для
курсового и дипломного проектирования : учеб. пособие для вузов / Б. Н.
Неклепаев, И. П. Крючков. - М.: Энергоатомиздат, 1989. - 608 с.
Электроснабжение : учеб.
пособие по курсовому и дипломному проектированию в 2 ч. Ч. 1 / Л. С. Синенко,
Т. П. Рубан, Е. Ю. Сизганова, Ю. П. Попов ; Красноярск : ИПЦ КГТУ, 2005. - 135
с.
Электроснабжение : учеб.
пособие по курсовому и дипломному проектированию: в 2 ч. Ч. 2 / Л. С. Синенко,
Т. П. Рубан, Е. Ю. Сизганова, Ю. П. Попов ; Красноярск: ИПЦ КГТУ, 2006. - 207 с.
http://www.tavrida.ru
Ополева, Г. Н. Схемы и
подстанции электроснабжения: справочник: учеб. пособие. / Г. Н. Ополева - М. : ФОРУМ : ИНФРВ-М, 2006. - 480 с. - (Высшее образование).
СТО 4.2-07-2008 Система
менеджмента качества. Общие требования к построению, изложению и оформлению
документов учебной и научной деятельности [Текст]. - Введ. впервые; дата введ.
22.12.2008. - Красноярск, 2008. - 47 с.