Статистические категории
Содержание
Введение
.
Теоретическая часть
.1
Статистические категории
.
2 Основные показатели вариаций
.3
Основные экономические индексы
.
Практическая часть
.1
Задание № 1
.2
Задание № 2
.3
Задание № 3
Список
литературы
Введение
Статистика - от латинского слова status -
состояние или положение вещей.
Экономическая статистика - это один из основных
разделов статистики как дисциплины и вида практической деятельности органов
государственной статистики, который занимается изучением количественной стороны
массовых процессов и явлений в экономике.
Сбор макроэкономических данных и предоставление
всем нуждающимся сведений об основных понятиях и закономерностях
функционирования экономики является главной целью экономической статистики. Ее
задачи заключаются в исследовании методологии структурных сдвигов в экономике,
анализе динамики и прогнозировании экономических процессов, приобретении умений
и навыков для общего статистического анализа явлений и процессов.
В основе экономической статистики лежат
статистические показатели. Они описывают экономическое состояние общества в
рассматриваемом периоде (динамика цен; объем произведенной продукции;
численность населения; трудовые ресурсы; безработица; степень равномерности
распределения доходов; наличие основных и оборотных фондов).
Данные экономической статистики позволяют
обеспечить систематическое количественное описание всех основных направлений
экономического развития и экономики в целом.
Экономическая статистика представляет собой
самостоятельную научную дисциплину, однако количественное измерение
экономических процессов и явлений основывается на положениях экономической
теории, результатах изучения качественных изменений экономических процессов,
полученных в рамках общей экономической теории и различных прикладных разделов
экономической науки. В свою очередь в экономической теории используются
результаты статистических исследований, а в некоторых случаях - для уточнения
отдельных концепций, положений и выводов.
Экономическая статистика находится в тесной
взаимосвязи с другими разделами статистики и в первую очередь - с
социально-демографической статистикой, предметом которой является детальное
изучение социально-демографических процессов, и со статистикой отдельных
отраслей (статистика промышленности, сельского хозяйства, строительства и т.
д.), которая выполняет задачу более подробного описания и анализа экономики
соответствующих отраслей.
При определении методики расчета тех или иных
показателей экономической статистики опираются на инструментарий теории
статистики. Этот раздел статистики рассматривает наиболее общие категории,
принципы и методы статистической науки. В частности, экономическая статистика в
основном использует положения теории статистики в области методов исчисления
индексов, их формул, а также аналитических требований к индексам. Большое
значение уделяется вопросу о требованиях к индексам, определяемых в рамках
международных сопоставлений основных макроэкономических показателей.
1. Теоретическая часть
.1 Статистические категории
Статистический анализ экономической деятельности
основывается на определенных категориях, которые отображают существенные
всесторонние свойства изучаемых явлений (процессов). Категории экономической
статистики необходимы для формирования данных об экономике страны, принятии
определенных решений и разработки экономической политики. На них базируется
Система национальных счетов (СНС), в том числе на следующих категориях:
) институционные единицы и сектора;
) резиденты;
) операции и потоки;
) активы и обязательства;
) виды деятельности;
) продукты и услуги;
) трансферты.
Институционные единицы - это субъекты ведения
хозяйства (домашние хозяйства, предприятия, организации), которые
самостоятельно распоряжаются своими ресурсами, владеют активами и могут брать
на себя обязательства.
В свою очередь институционные единицы
разделяются на резидентов и нерезидентов.
Резиденты - это физические или юридические лица
и субъекты, которые больше года функционируют на экономической территории
страны.
Институционные единицы во всех сферах их экономической
деятельности осуществляют соответствующие операции, которые представляют собой
обмен экономической стоимости или добровольную передачу одной единицей другой
определенного количества экономической стоимости. Такие операции обусловливают
появление экономических потоков, которые имеют не только конкретный характер
(заработная плата, налоги, прирост основного капитала), но и обеспечивают
создание, обмен, передачу или ликвидацию экономической стоимости.
Активы и обязательства являются составляющими балансов
всей экономики, которые отображаются в балансовых ведомостях. Балансовая
ведомость показывает состояние активов и обязательств, которые имеются на
определенную дату по каждой единице, институционным секторам или экономике в
целом.
Институционная единица осуществляет следующие
виды экономической деятельности: основную (однородную) и второстепенную. В СНС
функционируют продукты (товары в широком понимании) - результаты труда, которые
представляют материальную форму, и услуги - результаты деятельности, которые
отвечают определенным личным и общественным потребностям. Продукты и услуги
(материального и нематериального характера), предназначенные для продажи на
рынке, в узком понимании называют товаром.
Трансферты - это экономические операции, в ходе
которых одни институционные единицы бесплатно передают другим институционным
единицам товары, услуги, активы или права собственности.
1.2 Основные показатели вариаций
Вариационными называют ряды распределения,
построенные по количественному признаку. Значения количественных признаков у
отдельных единиц совокупности не постоянны, более или менее различаются между
собой. Такое различие в величине признака носит название вариации. Отдельные
числовые значения признака, встречающиеся в изучаемой совокупности, называют
вариантами значений. Наличие вариации у отдельных единиц совокупности
обусловлено влиянием большого числа факторов на формирование уровня признака.
Изучение характера и степени вариации признаков у отдельных единиц совокупности
является важнейшим вопросом всякого статистического исследования. Для описания
меры изменчивости признаков используют показатели вариации.
Другой важной задачей статистического
исследования является определение роли отдельных факторов или их групп в
вариации тех или иных признаков совокупности. Для решения такой задачи в
статистике применяются специальные методы исследования вариации, основанные на
использовании системы показателей, с помощью которых измеряется вариация. В
практике исследователь сталкивается с достаточно большим количеством вариантов
значений признака, что не дает представления о распределении единиц по величине
признака в совокупности. Для этого проводят расположение всех вариантов
значений признака в возрастающем или убывающем порядке. Этот процесс называют
ранжированием ряда. Ранжированный ряд сразу дает общее представление о
значениях, которые принимает признак в совокупности.
Недостаточность средней величины для
исчерпывающей характеристики совокупности заставляет дополнять средние величины
показателями, позволяющими оценить типичность этих средних путем измерения
колеблемости (вариации) изучаемого признака. Использование этих показателей
вариации дает возможность сделать статистический анализ более полным и
содержательным и тем самым глубже понять сущность изучаемых общественных
явлений.
Самыми простыми признаками вариации являются
минимум и максимум - это наименьшее и наибольшее значение признака в
совокупности. Число повторений отдельных вариантов значений признаков называют
частотой повторения. Обозначим частоту повторения значения признака fi, сумма
частот, равная объему изучаемой совокупности будет:
где k - число вариантов значений признака.
Частоты удобно заменять частостями - wi. Частость - относительный показатель
частоты - может быть выражен в долях единицы или процентах и позволяет
сопоставлять вариационные ряды с различным числом наблюдений. Формально имеем:
Для измерения вариации признака применяются
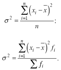
различные абсолютные и относительные показатели. К абсолютным показателям
вариации относятся среднее линейное отклонение, размах вариации, дисперсия,
среднее квадратическое отклонение.
Размах вариации (R) представляет собой разность
между максимальным и минимальным значениями признака в изучаемой совокупности:
R = Xmax - Xmin. Этот показатель дает лишь самое общее представление о
колеблемости изучаемого признака, так как показывает разницу только между
предельными значениями вариантов. Он совершенно не связан с частотами в
вариационном ряду, т. е. с характером распределения, а его зависимость может
придавать ему неустойчивый, случайный характер только от крайних значений
признака. Размах вариации не дает никакой информации об особенностях
исследуемых совокупностей и не позволяет оценить степень типичности полученных
средних величин. Область применения этого показателя ограничена достаточно
однородными совокупностями, точнее, характеризует вариацию признака показатель,
основанный на учете изменчивости всех значений признака.
Для характеристики вариации признака нужно
обобщить отклонения всех значений от какой-либо типичной для изучаемой
совокупности величины. Такие показатели
вариации, как среднее линейное отклонение,
дисперсия и среднее квадратическое отклонение, основаны на рассмотрении
отклонений значений признака отдельных единиц совокупности от средней
арифметической.
Среднее линейное отклонение представляет собой
среднюю арифметическую из абсолютных значений отклонений отдельных вариантов от
их средней арифметической:
абсолютное значение (модуль) отклонения варианта
от средней арифметической; f- частота.
Первая формула применяется, если каждый из
вариантов встречается в совокупности только один раз, а вторая - в рядах с
неравными частотами.
Существует и другой способ усреднения отклонений
вариантов от средней арифметической. Этот очень распространенный в статистике
способ сводится к расчету квадратов отклонений вариантов от средней величины с
их последующим усреднением. При этом мы получаем новый показатель вариации -
дисперсию.
Дисперсия (?2) - средняя из квадратов отклонений
вариантов значений признака от их средней величины:
Вторая формула применяется при наличии у
вариантов своих весов (или частот вариационного ряда).
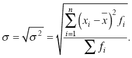
В экономико-статистическом анализе вариацию
признака принято оценивать чаще всего с помощью среднего квадратического
отклонения. Среднее квадратическое отклонение (?) представляет собой корень
квадратный из дисперсии:
Среднее линейное и среднее квадратическое
отклонения показывают, на сколько в среднем колеблется величина признака у
единиц исследуемой совокупности, и выражаются в тех же единицах измерения, что
и варианты.
В статистической практике часто возникает
необходимость сравнения вариации различных признаков. Например, большой интерес
представляет сравнение вариаций возраста персонала и его квалификации, стажа
работы и размера заработной платы и т. д. Для подобных сопоставлений показатели
абсолютной колеблемости признаков - среднее линейное и среднее квадртическое
отклонение - не пригодны. Нельзя, в самом деле, сравнивать колеблемость стажа
работы, выражаемую в годах, с колеблемостью заработной платы, выражаемой в
рублях и копейках.
При сравнении изменчивости различных признаков в
совокупности удобно применять относительные показатели вариации. Эти показатели
вычисляются как отношение абсолютных показателей к средней арифметической (или
медиане). Используя в качестве абсолютного показателя вариации размах вариации,
среднее линейное отклонение, среднее квадратическое отклонение, получают
относительные показатели колеблемости:

наиболее часто применяемый показатель
относительной колеблемости, характеризующий однородность совокупности.
Совокупность считается однородной, если коэффициент вариации не превышает 33 %
для распределений, близких к нормальному.
1.3 Основные экономические индексы
В статистике под индексом понимается
относительный показатель, который выражает соотношение величин какого - либо
явления во времени, в пространстве или сравнение фактических данных с любым
эталоном. С помощью индексов решаются следующие задачи. - измерение динамики
социально - экономического явления за два и более периодов времени; - измерение
динамики среднего экономического показателя; - измерение соотношения
показателей по разным регионам; - определение степени влияния изменений
значений одних показателей, на динамику других; В международной практике
индексы принято обозначать символами i и I (начальная буква латинского слова
index). Буквой "i" обозначаются индивидуальные (частные) индексы,
буквой "I " - общие индексы. Помимо этого используются определенные
символы для обозначения показателей структуры индексов: q - количество (объем)
какого - либо товара в натуральном выражении; р - цена единицы товара; z -
себестоимость единицы продукции; t - затраты времени на производство единицы
продукции; w - выработка продукции в стоимостном выражении на одного рабочего
или в единицу времени; v - выработка продукции в натуральном выражении на
одного рабочего или в единицу времени; Т - общие затраты времени (tq) или
численность рабочих; рq - стоимость продукции или товарооборот; zq - издержки
производства. Знак внизу справа от символа означает период: 0 - базисный; 1 -
отчетный. Все индексы можно классифицировать по следующим признакам: - степень
охвата явления; - база сравнения; - вид весов (соизмерителя); - форма
построения; - объект исследования; - состав явления; - период исчисления. По
степени охвата явления индексы бывают индивидуальные, сводные (общие) и
групповые. Индивидуальные индексы служат для характеристики изменения отдельных
элементов сложного явления. Пример. Изменение объема производства отдельных
видов продукции (телевизоров, электроэнергии и т. д.), а так же цен на акции
какого - либо предприятия. Сводные (общие) индексы служат для измерения
сложного явления, составные части которого непосредственно несоизмеримы.
Пример. Изменения физического объема продукции, включающей разноименные товары,
индекса цен акций предприятий региона и т. п. Групповые индексы (субъиндексы)
рассчитываются для определенной части элементов совокупности. Например, индекс
физического объема по отдельным отраслям или территориям. По базе сравнения
индексы бывают динамические и территориальные. Динамические индексы служат для
характеристики изменения явления во времени. Например, индекс цен на продукцию
в 1996г по сравнению с предыдущим. При исчислении динамических индексов
происходит сравнение значения показателя в отчетный период со значением этого
же показателя за предыдущий период, который называют базисным. Динамические
индексы бывают базисные и цепные. Территориальные индексы служат
межрегиональных сравнений. Используются, как правило, в международной
статистике. По виду весов индексы бывают с постоянными и переменными весами. По
форме построения различают агрегатные и средние индексы. Агрегатная форма
является наиболее распространенной. Средние индексы являются производными от
агрегатных. По характеру объекта исследования индексы бывают:
производительности труда, себестоимости, физического объема продукции и т.п. По
составу явления индексы бывают: постоянного (фиксированного) состава и
переменного состава. По периоду исчисления индексы бывают годовые, квартальные,
месячные, недельные.
2. Практическая часть
.1 Задание №1
На основе данных необходимо:
) построить дискретный и равноинтервальный ряды
распределения и изобразить их графически. В интервальном ряду целесообразно
выделить четыре группы.
) на основе построенного интервального ряда
рассчитать показатели центра распределения ряда (среднюю, моду, медиану),
основные показатели вариации.
Сделать анализ полученных результатов.
Выполнить задание по следующим данным по
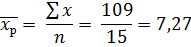
затратам фирм на рекламу, млн. руб.: 5, 9, 3, 7, 9, 6, 5,7, 10, 8, 6, 9, 7, 10,
8.
Ход решения:
) Построить дискретные и равноинтервальные ряды
распределения. Изобразить их графически.
В интервальном ряду целесообразно выделить
четыре группы.
|
№
п/п
|
1
|
2
|
3
|
4
|
5
|
6
|
7
|
8
|
9
|
10
|
11
|
12
|
13
|
14
|
15
|
Всего
|
|
Рекл.
|
5
|
9
|
3
|
7
|
9
|
6
|
5
|
7
|
10
|
8
|
6
|
9
|
7
|
10
|
8
|
109
|
Для построения дискретного ряда составляем
таблицу №1.
Таблица 1
|
№
п/п
|
xi
|
fi
|
Si
|
|
1
|
3
|
1
|
1
|
|
2
|
5
|
2
|
3
|
|
3
|
6
|
2
|
5
|
|
4
|
7
|
3
|
8
|
|
5
|
8
|
2
|
10
|
|
6
|
9
|
3
|
13
|
|
7
|
10
|
2
|
15
|
|
S
|
48
|
15
|
-
|
- рентабельностьчастота - это количество
совпадений в ряде- накопительная частота из столбца fi (все сложить по очереди).
Исходя из данных таблицы 1 строим графическое
изображение дискретного ряда.
Рис. 1
Для построения равноинтервального
ряда распределения составляем таблицу №2.
Таблица 2
|
№
п/п
|
интервал
|
fi
|
Si
|
|
1
|
3,00
»
4,75
|
1
|
1
|
|
2
|
4,75
»
6,50
|
4
|
5
|
|
3
|
6,50
»
8,25
|
5
|
10
|
|
4
|
8,25
»
10,00
|
5
|
15
|
|
S
|
-
|
15
|
-
|
Определяем размах интервала
R = Xmax - Xmin
-3=7 (деление на равные части)
Теперь проверяем размер интервала.
Расчет интервала
,00 + 1,75 = 4,75
,75 + 1,75 = 6,50
,50 + 1,75 = 8,25
,25 + 1,75 = 10,00
На основании данных таблицы №2 строим
графическое изображение равноинтервального ряда (гистограмму).
Рис. 2
б) На основе построенного
интервального ряда, рассчитать показатели центра распределения ряда (средняя
величина, мода, медиана) основные показатели вариации.
Для определения средней величины
воспользуемся следующей формулой.
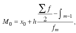
Определяем значение моды.
Мода - наиболее часто повторяющееся
значение признака.
Мода находится по формуле:
Мо = хмо+Dх
где:
Мо - мода
хмо - нижняя граница модального
интервала.
Dх
- размер интервала
- частота модального интервала
- частота интервала,
предшествующего модальному
- частота интервала, следующего за
модальным
модальный интервал - это номер по
порядку
Подставим данные нашей задачи и
получим значение моды:
Мо =
Определяем медиану.
Медиана - это такое значение
признака, которое приходится на середину ранжированного ряда.
Формула медианы:
Рассчитываем основные показатели вариации.
Для расчетов основных показателей вариации нам
необходимо построить таблицу №3.
Таблица 3
|
№
п/п
|
интервалы
|
частота
fi
|
xi
|
xi
fi
|
xi-
|
|
|
2
|
2*f
|
|
1
|
2
|
3
|
4
|
5
|
6
|
7
|
8
|
9
|
10
|
|
1
|
3,00
»
4,75
|
1
|
3,9
|
3,9
|
-3,37
|
3,37
|
3,37
|
11,36
|
11,36
|
|
2
|
4,75
»
6,50
|
4
|
5,6
|
22,4
|
-1,67
|
1,67
|
6,68
|
2,79
|
11,16
|
|
3
|
6,50
»
8,25
|
5
|
7,4
|
37,0
|
0,13
|
0,13
|
0,65
|
0,02
|
0,1
|
|
4
|
8,25
»
10,00
|
5
|
9,1
|
45,5
|
1,83
|
1,83
|
9,15
|
3,35
|
16,75
|
|
S
|
-
|
15
|
-
|
108,8
|
-
|
7,00
|
19,85
|
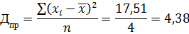
17,51
|
39,37
|
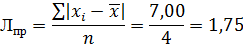
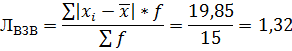
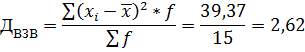
Рассчитаем абсолютные показатели вариации:
) Среднее линейное отклонение простое
) Среднее линейное отклонение взвешенное
3) Определяем дисперсию простую
) Определяем дисперсию возвышенную
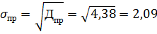
) Определяем среднее квадратичное отклонение
простое
) Определяем среднее квадратичное отклонение
возвышенное
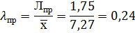
) Коэффициент линейной вариации простой:
) Коэффициент линейной вариации возвышенной:
9) Квадратичного коэффициент вариации простой:
) Квадратичного коэффициент вариации
возвышенной:
Вывод: по решению
По значению коэффициента линейной вариации
равные 0,24 и 0,18 можем сделать вывод о типичности (правильности) средней
рентабельности фирм строительных равные 7,27, т.к. расчетное значение линейной
коэффициента вариации не превышает критического значения 0,33>0,24 (0,18).
По значению квадратичного коэффициента вариации равные 0,29 и 0,22 можно
сделать вывод о типичности среднего значения рентабельности, т.к. расчетное
значение коэффициента не превышает критического 0,33>0,29 (0,22).
2.2 Задание № 2
) На основе приведенных данных изучить динамику
показателей за 2006-2010 годы. Для этого рассчитайте базисные (по сравнению с
2006 годом) и цепные абсолютные и относительные показатели анализа динамики по
значениям обобщающего показателя (данные первой строчки таблицы).
|
Показатели
|
Годы
|
|
2006
|
2007
|
2008
|
2009
|
2010
|
|
Общая
численность занятых
|
1643,2
|
1600
|
1590
|
1615
|
1585
|
|
в
том числе:
|
|
|
|
|
|
|
в
производстве товаров
|
1146,4
|
1100
|
1085
|
1105
|
1108
|
|
в
том числе:
|
|
|
|
|
|
|
промышленность
|
492,7
|
450
|
430
|
425
|
420
|
|
сельское
и лесное хозяйство
|
147,1
|
130
|
125
|
120
|
118
|
|
строительство
|
131,5
|
120
|
115
|
113
|
110
|
108,7
|
107
|
106,5
|
106
|
107
|
|
торговля,
общественное питание
|
234,4
|
250
|
265
|
267
|
270
|
|
другие
отрасли:
|
32
|
43
|
43,5
|
44
|
45
|
|
в
производстве услуг
|
496,8
|
500
|
505
|
510
|
512
|
Определите среднегодовые: абсолютный прирост,
темпы роста, и прироста за рассматриваемый период.
Рассчитайте возможный уровень обобщающего
показателя на 2011 год при условии сохранения сложившейся тенденции изменение
используя среднегодовые показатели.
Постройте линейную диаграмму динамики.
Изучите изменения структуры обобщающего
показателя в 2010 году по сравнению с 2006 годом.
Изобразите полученные относительные величины
структуры в виде секторных диаграмм. Проанализируйте все полученные данные и
сделайте выводы.
Ход решения:
) Рассчитываем базисные (по сравнению с 2006
годом) и цепные абсолютные и относительные показатели анализа динамики по
значениям обобщающего показателя (данные первой строчки таблицы).
Динамический ряд - это изменение показателей во
времени объем валовой региональный продукт.
Таблица 4
|
Год
|
2006
|
2007
|
2008
|
2009
|
2010
|
Всего
|
|
Vпр
|
1643,2
|
1600
|
1590
|
1615
|
1585
|
8033,2
|
Показатели динамики рассчитываются двумя
способами (цепным и базимным).
Цепной способ - это сравнение показателей
исследуемого года с предыдущим.
Базисный способ - сравнение исследования
показателя с базисным годом. Показатели динамического ряда бывают двух типов -
абсолютные изменения (Аизм) и относительные показатели (Тр и Тпр).
Таблица 5
|
№
п/п
|
Наименование
исследуемого показателя
|
2006
|
2007
|
2008
|
2009
|
2010
|
Среднее
годовое значение
|
|
|
|
|
|
|
|
простое
|
хронолог.
|
|
1
|
Валовый
региональный продукт
|
1643,2
|
1600
|
1590
|
1615
|
1585
|
1606,64
|
1604,78
|
|
2
|
Абсолютное
цепное цепление
|
-
|
-43,2
|
-10
|
25
|
-30
|
14,55
|
-7,2
|
|
3
|
Абсолютное
изменение базисное
|
-
|
-43,2
|
-53,2
|
-28,2
|
-58,2
|
-45,7
|
-44,03
|
|
4
|
Темп
прироста цепное
|
-
|
-
|
0,2
|
-2,5
|
-1,2
|
-1,17
|
-1,5
|
|
5
|
Темп
прироста базисный
|
-
|
-
|
1,23
|
0,65
|
1,35
|
1,080
|
0,970
|
|
6
|
Темп
роста цепной
|
-
|
0,97
|
0,99
|
1,02
|
0,98
|
0,99
|
0,99
|
|
7
|
Темп
роста базисный
|
-
|
0,97
|
0,97
|
0,98
|
0,96
|
0,97
|
0,97
|
)
)
3)
)
)
)
) Определите среднегодовые абсолютные темпы
роста и прироста за рассматриваемый период.
Формула среднеарифметический прирост и
хронологический.
)
)
)
)
)
)
)
) Рассчитайте возможный уровень обобщающего
показателя на 2011 год при условии сохранения сложившейся тенденции изменение
используя среднегодовые показатели.
Постройте линейную диаграмму динамики.
Для того чтобы рассчитать возможный уровень
обобщающего показателя на 2011 год, нам необходимо составить следующую таблицу,
в которой будем рассчитывать тренд в виде линейной закономерности.
Таблица 6
|
№
п/п
|
Годы
xi
|
yi
|
|
xi*yi
|
|
|
1
|
-2
|
1643,2
|
4
|
-3286,4
|
1626,92
|
|
2
|
-1
|
1600
|
1
|
-1600
|
1616,78
|
|
3
|
0
|
1590
|
0
|
0
|
1606,64
|
|
4
|
1
|
1615
|
1
|
1615
|
1596,50
|
|
5
|
2
|
1585
|
4
|
3170
|
1595,36
|
|
∑
|
-
|
8033,2
|
10
|
-101,4
|
|
Vпр=а0+а1*xi
Рис. 3
По итогам наших расчетов получилось,
что возможный уровень обобщающего показателя на 2011 год при условии сохранения
сложившейся тенденции изменения составит 1576,22.
) Изучаем изменение структуры
обобщающего показателя 2010 года по сравнению с 2006 годом. Для чего построим
таблицу 7.
Таблица 7
|
Показатели
|
Абсол.
показ. 2006
|
Абсол.
показ. 2010
|
Абсол.
измен.
|
Велич.
сравн.
|
Велич.
структ. 2006 %
|
Велич
структ. 2010 %.
|
|
Общая
численность занятых
|
1643,2
|
1585
|
-58,2
|
0,96
|
100%
|
100%
|
|
в
том числе:
|
|
|
|
|
|
|
|
в
производстве товаров
|
1146,4
|
1108
|
-38,4
|
0,97
|
69,77
|
69,91
|
|
в
том числе:
|
|
|
|
|
|
|
|
промышленность
|
492,7
|
420
|
-72,7
|
0,85
|
29,98
|
26,50
|
|
сельское
и лесное хозяйство
|
147,1
|
118
|
-29,1
|
0,80
|
8,95
|
7,44
|
|
строительство
|
131,5
|
110
|
-21,5
|
0,84
|
8,00
|
6,94
|
|
транспорт,
связь
|
108,7
|
107
|
-1,7
|
0,98
|
6,62
|
6,75
|
|
торговля,
общественное питание
|
234,4
|
270
|
35,6
|
1,15
|
14,26
|
17,03
|
|
другие
отрасли:
|
32
|
45
|
13
|
1,41
|
1,95
|
2,84
|
|
в
производстве услуг
|
496,8
|
512
|
15,2
|
1,03
|
30,23
|
32,30
|
По формуле находим абсолютное изменение:
Находим величину сравнения
Величина структуры 2006 года.
69,77
29,98
Величина структуры 2010 года.
7,44
17,03
) Изобразите полученные относительные величины
структуры в виде секторных диаграмм. Проанализируйте все полученные данные и
сделайте выводы.
Строим секторную диаграмму по величине структуры
2006 года.
Рис. 4
Строим секторную диаграмму по
величине структуры 2010 года.
Рис. 5
Абсолютные изменения объема валового
регионального продукта 2010 года по сравнению с 2006 годом наибольшим было в
торговле и общественном питании 35,6, а наименьшим в транспорте и связи и
составило -1,7.
Объем валового регионального
продукта в 2010 году по сравнению с 2006 годом, максимально увеличился на 41% в
других отраслях, а снижение на 10% было в производстве сельского и лесного
хозяйства и составило.
Величина структуры наибольшая доля
объема валового регионального продукта в общем объеме в 2006 году было в
производстве товаров составило 69,77%, а наименьшим в других отраслях и
составило 1,95%.
институционный единица
распределение ряд
2.3 Задание №3
) Определите индивидуальные индексы
количества реализованного товара.
) Определить общий индекс цен.
) Определить общий индекс
товарооборота в сопоставимых (индекс физического объема) и фактических ценах.
) Выполните факторный анализ
изменения товарооборота во втором полугодии по сравнению с первым, определив
абсолютное изменение товарооборота за счет изменения количества реализованной
продукции и за счет изменения цен.
Проанализируйте полученные данные и
сделайте выводы.
) Определить индивидуальные индексы
количества реализованного товара и цен.
Расчеты приведем в таблице 8.
Таблица 8
|
№
п/п
|
Вид
товара
|
Кол-во
реализ. товара
|
Цена
товара
|
Индивид.
индекс
|
p0*q0
|
p1*q1
|
p0*q1
|
p1*q0
|
|
|
q0
(I пол.)
|
q1
(II пол.)
|
p0
(I пол.)
|
p1
(II пол.)
|
ip
|
iq
|
|
|
|
|
|
1
|
А
|
420
|
440
|
8,50
|
10,80
|
1,3
|
1,05
|
3
570
|
4
752
|
3
740
|
4
536
|
|
2
|
Б
|
300
|
250
|
10,30
|
13,10
|
1,3
|
0,83
|
3
090
|
3
275
|
2
575
|
3
930
|
|
3
|
В
|
500
|
510
|
17,80
|
17,80
|
1,0
|
1,02
|
8
900
|
9
078
|
9
078
|
8
900
|
|
4
|
итого
|
1
220
|
1
200
|
-
|
-
|
-
|
0,98
|
15
560
|
17
105
|
15
393
|
17
366
|
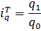
Определяем индивидуальный индекс цены:
- индивидуальный индекс цены,- цена,
Т - вид товара,- фактическая цена,- плановая
цена.
Цена товара А во втором полугодии по сравнению с
первым полугодием увеличилась на 30%. Цена товара Б во втором полугодии по
сравнению с первым полугодием увеличилась на 30%. Цена товара В во втором
полугодии по сравнению с первым полугодием осталась без изменений.
Определяем индивидуальный индекс количества
реализованного товара:
Количество реализованного товара А во втором
полугодии, по сравнению с первым полугодием, увеличилось на 5%. Количество
реализованного товара Б во втором полугодии, по сравнению с первым полугодием,
уменьшилось на 17%. Количество реализованного товара В во втором полугодии, по
сравнению с первым полугодием, увеличилось на 2%.
Определяем индекс количества реализованного
товара (всего).
Количество реализованных всех товаров (А, Б, В)
во втором полугодии, по сравнению с первым полугодием, уменьшилось на 2%.
) Определяем общий индекс цен.
Цена на все товары во втором полугодии, по
сравнению с первым полугодием, увеличилась на 10% за счет увеличения
товарооборота.
) Определяем общий индекс товарооборота в
сопоставимых ценах (индекс физического объема).
Товарооборот во втором полугодии, по сравнению с
первым полугодием, снизился на 2% за счет количества реализованного товара.
Определяем индекс товарооборота в фактических
ценах.
Объем товарооборота (общий) всех видов товаров
(А, Б, В) во втором полугодии, по сравнению с первым полугодием, увеличился на
11%, за счет увеличения цен на товары.
) Выполним факторный анализ изменения
товарооборотов во II полугодии по сравнению с I полугодием, определив
абсолютные изменения товарооборота за счет изменения количества реализованной
продукции и за счет изменения цен.
Определим абсолютное изменение товарооборота за
счет изменения количества реализованной продукции по формуле:
Объем товарооборота всех видов товаров (А, Б, В)
во втором полугодии, по сравнению с первым полугодием, уменьшился на 261000, за
счет изменения количества реализованной продукции.
Определим изменение товарооборота за счет
изменения цен.
Товарооборот всех видов товаров (А, Б, В) во
втором полугодии, по сравнению с первым полугодием, увеличился на 1712, за счет
изменения цены на товары.
Список литературы
1.
Гусаров В.М. «Теория статистики», М.: «ЮНИТИ», 2007.
.
«Теория статистики»: Учебник/Под.ред. проф. Шмойловой. - 3-е изд., перераб. -
М.: «Финансы и статистика», 2006.