The stock market of Russia and Italy: dynamics of development and comparative characteristics
THEME: «THE STOCK MARKET
OF RUSSIA AND ITALY: DYNAMICS OF DEVELOPMENT AND COMPARATIVE CHARACTERISTICS»
CONTENTS
INTRODUCTION 3
CHAPTER 1. THE STOCK
MARKET AND ECONOMIC GROWTH: THEORETICAL AND ANALYTICAL QUESTIONS 7
1.1 Theory of stock market 7
1.2 Strategy and data 12
1.3 Structure, transactions and rules 20
CONCLUSION 28
CHAPTER 2. THE STOCK
MARKET OF RUSSIA AND ITALY: DYNAMICS OF DEVELOPMENT AND COMPARATIVE ANALYSIS 31
2.1 Russian stock market: the development and current
state 31
2.2 Stock market in Italy: development and quality
of institutions 43
2.3 Interaction and prospects 51
CONCLUSION 54
LIST OF LITERATURE 56
Appendix 1 61
Appendix 2 72
INTRODUCTION
aspects about stock market in native scientific papers up to
90-th were mainly based on the Marxist tradition, which interprets the
securities as a certain kind of fictitious capital, as without value, they can
be bought and sold on the stock exchange at a priceshaving irrational
character.is a weakening of traditional literature in the Soviet criticism of
fictitious capitalin scientific studies 90-th and later periods. The stock
market is interpreted as a kind of tool for mobilizing funds for a variety of development
and passes through the prism of the basic categories of political economy:
capital and fictitious capital.stock market is an integral part of the
securities market, where it sells a specific commodity - financial securities.
It is considered that this is one of the most faithful of definitions, which
gives a complete idea ofwhat is the stock market. Many authors sharethis
opinion, believing that the stock market is a broader concept than the category
of the stock market, as the latter includes not all securities, but only the
value of the stock, that is, investment securities.development of informational
opennessis characterized by indicators such as the level of information
transparency of companies, educationand awareness to private investors. The
efficient operation of the stock market requires that the disclosure
requirements of international standards. It should be noted that, for example,
in Russia there are no legal requirements for the disclosure of the
consolidated financial statement of companies, their transparency according
with international accounting standards.resultit need to pursue an economic
policy aimed at increasing the transparency of the ownership structure,
necessary for both Russian and foreign investors, which is a definite indicator
of reliability. Without a solution to these problems is difficult to talk about
improving confidence of investors, a tributary of the necessary investment
resources.the step of virtualization and the latest technology, a real economic
growth of economy is impossible without the development of innovation and
investment, bearing in mind, first of all investments in the renewal of fixed
capital, based on technological innovation.successful functioning of the stock
market and its role in the modern economy, entail new requirements for the
stock market to the liquidity of capital, risk management and control
operations. The world economy is actively occurring processes of technological
re-equipment of the stock markets based on internet technology, erasing
national borders and actively contribute to strengthening direct links between
investors and issuers in various countries.stock market is not only one of the
factors of economic policy, but also a certain kind of cumulative element that
combines a number of economic trends. The development of technology, the growth
of labor productivity and savings rates are the sources of economic growth, but
all of these factors lead to an increase in the stock sector.only took a decade
to the stock markets of countries with growing economies have become key
sources of funding for their enterprises. It claims to be quite the most
important changes in international finance over the last ten years. However,
does it lead to rapid economic growth to a higher efficiency of investments in
stocks? And. whether or not do today's investors seek to invest all assets in
the shares of companies with fast-growing economies?the participants of the
stock market results of the study will evaluate the effectiveness of their
investment strategies, and for regulatory authority is allowedto determine the
current state of the market and develop an action plan for its reform. From a
theoretical point of view, the analysis of the efficiency of the stock market
expands understanding of the mechanism of operation and the process of price
formation in securities markets, to determine the significance of the market
for long-term growth of the economy.used the researches of European economists
who study the problem of the stock market: G.Aleksandepa, D.Bipca, U.Baumolya,
D.Beyli, M.Jonka, D.Douda, J.Gitmana, G.Mapkovitsa, F.Modiliani, D.
Stiglitz,U.Sharpa and others.the development of the concept of the stock market
it is used a systematic procedure. In this approach, it is applied such
scientific methods: historical-genetic, comparative, systemic-functional,
economic-statistics. On this base, a systematic approach practiced holistic
political-economic study of the essence of the stock market, its place and role
in the modern market economy, formulated problems to be theoretical solutions.purpose
of this research is that, on the basis of theoretical analysis of market
efficiency hypothesis to determine the possibility of its use in the simulation
of processes occurring in the securities markets, to assess the current state
of the stock markets and establish a relationship between the degree of market
efficiency and the factors that contribute to long-term growth of the
economy.to this purpose, it has the following tasks:
- to analyze the hypothesis of stock market efficiency;
- to classify the degree of efficiency of the stock
market and characterize each of them, to identify the relevant stock markets of
different countries, the major forms of the efficient market hypothesis;
to determine the use of the main provisions of the
hypothesis of market efficiency when modeling the behavior of prices in the
securities markets of developed and developing countries;
to identify ways of improving the efficiency
hypothesis stock market better reflect real-life situations that occur in the
securities markets;
to analyze the mechanism of the effect of the
financial market on the efficient allocation of resources in the economy and to
define the specific role of stock market prices in the process;
to highlight the relationship between the efficiency
of the stock market with the main factors through which the securities market
impact on economic growth;
to analyze the impact of institutional investors on
the development of the stock market and the degree of its effectiveness.
The object of the study is the stock markets of
developed, developing and transformation economies. The subject of the
study is the relationship between the participants of the securities market and
their specific manifestations ye the transition economies as a defining
elements of the functioning of the financial market.
stock market economic financial
CHAPTER 1. THE STOCK
MARKET AND ECONOMIC GROWTH: THEORETICAL AND ANALYTICAL QUESTIONS
1.1 Theory
of stock market
The National Securities and Stock Market State
Commission
<#"663975.files/image001.gif">
Fig. 1. The techniques that are the foundation of modeling
portfolio within an integrated multi-factor portfolio theory
The procedure for pre-segmentation of the portfolio, which
assumes the division of total resources invested in certain proportions between
several types of assets (such as between stocks and bonds), is optional.
However, this segmentation can significantly simplify the procedure further
detail the structure of the portfolio, because of the diversification within
each sub-portfolios need to conduct a comparative analysis of the Raman and the
only similar assets.module combination (diversification) portfolio is the key
to a number of procedures and algorithms of portfolio theory: it allows you to
choose the best from the point of view of the investor mix of investment assets
across the portfolio or individual sub-portfolios if appropriate segmentation
was performed.of the investment portfolios of assets and qualities, from the
point of view of portfolio theory support element providing the bulk of the
input data for the optimization procedure of the portfolio. However, it is this
element of most complicated for formalizing and to interpret test results.of
assessing the qualities of investment includes a number of private practices
that enable numerically evaluate the profitability, risk, liquidity, and other
quality of financial assets. Each of these individual techniques should allow
passing from estimates of individual assets to the estimated portfolio
consisting of these assets. In the framework of portfolio theory can be
evaluated an unlimited number of investment portfolios of assets and qualities,
but a set of these qualities and characterizing their performance should be
identical for all types of assets, potentially in the portfolio.are unlimited
multifactor portfolio theory, on the one hand, the complexity algorithm
optimization of the portfolio, and on the other hand, allows to simplify the
estimation algorithms of investment qualities of the assets used as criteria
for selecting the optimal portfolio, as it is possible to characterize such
complex qualities as a risk or liquidity, several private performance instead
of one composite.evaluating the effectiveness of portfolio investments is on a
regular basis after the portfolio formation. The portfolio manager evaluation
is performedin order to decide whether to restructure the portfolio and
investor - with a view to a decision on whether, or to continue investing in
the previously set parameters, or change the settings, or liquidation of the portfolio.
In addition to the analytical basis for decisions related to portfolio
management, performance evaluation of investment is needed to confirm the
adequacy of the methodology used for its formation.classical portfolio theory
G. Mapkovitsa - J. Tobin of the structure of the portfolio optimization
technique supplemented algorithm functional formalization of indifference
curves, including the case of multi-factor optimization, eliminating the
time-consuming and subjective graphical approaches to simplify the numerical
reflection of personal preference and increase the portfolio of the investor
the level of automation of portfolio decision-making.general, a
multi-dimensional equation of the curve (hyperplane) of indifference can be as
follows:
, (1)
R - equivalent yield; xi - value investment characteristics;
№ - number of characteristics, ai, ki - coefficients.of the independent (risk)
factors in the model for ease of reading and interpretation of the results must
be submitted to the inverse: the deterioration of the quality of the investment
- increasing the value of the indicator. Absolute (zero) standard investment
asset for all design performances will be free cash flow, profitability, risk,
liquidity, and other indices which are equal to zero. Thus, the problem of
choosing the optimal portfolio is reduced to finding the portfolio, for which
the maximum difference between its expected performance and graphics ordinate
the indifference curve.we consider this difference as a function whose
arguments are the parameters of the indifference curve and the investment
portfolio characteristics, then to find the optimal portfolio is applicable
standard method of finding the extremum of function, based on equating to zero
its derivative. This algorithm allowsanalytic way to determine the structure of
the optimal portfolio is known function of indifference curve. For example, for
a portfolio of two assets, estimated in accordance with the theory of
G.Markovitsa expected return and standard deviation for the indifference curve
of the form portion of the assets in the optimal portfolio is calculated as
follows:
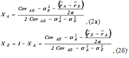
XA, Xb - share of assets in the optimal
portfolio (expressed as a decimal) - the expected return on assets; σA, σB - the standard deviation
of asset returns; C vAB - covariance of asset returns, and -
factor.proposed algorithm for finding the optimal portfolio of two assets can
be used in conjunction with a classical algorithm for finding the corner
portfolios, because after calculating the parameters of the portfolio
optimization problem basically boils down to their pairwise combinations.the
method of forming the portfolio, partially funded by borrowed money, the
classical portfolio theory was complemented by a model of interest rates
determine the intervals at which the appropriate financing of the investment
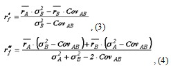
portfolio by risk or risk-free borrowing. With the help of this model for any
set of risky assets may be determined by the maximum risk-free rate rf ', in
which risky debt attractive to investors, as well as minimum risk-free rate rf
", in which can be an effective unlimited risky borrowing.particular, two
assets portfolio of tender rf 'and rf "are defined as follows:
- the expected return on assets; σ2A, σ2B - the variance of asset
returns; C vAB - covariance of asset returns.technique can be easily
extended to the case of a more diversified portfolios.need to develop standard
methods of numerical evaluation of the liquidity of individual securities and
portfolios due to the fact that the practice of an expert (qualitative)
assessment does not allow for the inclusion of the liquidity factor in the
complex formal analytical models used in the framework of portfolio
theory.study specific liquidity as an investment analysis has shown that
liquidity is not an abstract inherent characteristic of an investment asset.
The level of liquidity of the security also depends on the set of investment conditions,
including the value of the investment portfolio of the expected maturity
investments of the portfolio management strategy chosen by the investor, and
other factors, security, part of a small-scale package, the sale of which is
not planned for quite a long period, is much more liquid than the same security
that is included in a large package is used extensively for speculation. In the
latter case, a special assessment of the liquidity of equity instruments is the
most important.
1.3 Structure,
transactions and rules
The stock market has arisen at a certain stage of development
of the market economy emerged in connection with the need for new forms of
currency. Formation of the stock market in the current context of market
relations is associated with an increase in the share and role of financial
capital, development capital loan and credit relationships that have emerged to
resolve the contradictions that are emerging in the process of binding and
release of capital.market covers a part of the credit market, particularly the
bond market and the stock market completely. In other words, it's the stock
market, which made their production, distribution and sale. The product
specific stock market - various types of securities. The main purpose of the
analysis of the securities market is to ensure the normal functioning of all
sectors of the economy by investing large amounts of capital in their
operations. There are different classifications of the stock market.most common
classification of the stock market divides them into four groups: issuers -
legal (in some cases, physical, if the legislation) those which issue
securities and carry out in connection with certain responsibilities. Often
identify the issuer and seller of securities. But it should be noted that the
term issuer and seller are the same in the primary securities
market and are not the same in the secondary, where they are reselling,
investors - individuals and legal entities, including institutional investors
(investment funds, trust companies, pension funds, insurance companies, etc.)
that have available funds and may invest in securities to generate income
(percent) or an increase in the market value of securities intermediaries -
legal entities that provide certain services on the implementation of stock
operations, issuers and investors, the state adopts legislation creates the
relevant authorities and thus determines the conditions of the legal regulation
of the stock market in order to maintain its effective functioning and protection
of its members.in the stock market can be companies that specialize in working
with securities and operate as agents for the production and circulation of
securities, banking institutions, which, along with other financial functions
can operate as agents for the production and circulation of securities, as well
as provide Loans related to securities, investment companies, combining the
functions of a financial intermediary and institutional investor.its
activities, resellers can create voluntary associations, including the stock
exchange. Stock Exchange is an organizational designed, permanent market on
which the securities trade. Ensuring safekeeping of securities and registration
of the transfer of ownership is carried depository, settlement and clearing
agencies and registrars.sellers of the stock of capital are: financial
institutions, and commercial and investment banks, insurance companies, savings
banks, pension funds, etc. The buyers of capital are state, commercial and
industrial companies, private persons. The main macroeconomic function of the
stock market is to transform temporarily idle funds into productive investment,
that is, to transfer financial resources from the lender to the borrower. The
stock market serves as economic, political, social. As part of the economic
function of the stock market: Provides contact the seller and buyer; accumulate
cash population (savings) and businesses (temporarily free funds) balances the
supply and demand of securities in the stock market, contributes to the
stabilization of prices, optimize the industrial and regional structure,
providing overflow capital from less profitable sectors and regions in the
highly profitable, technologically advanced industries and promising regions;
aligns rate of return on invested capital, supports the implementation of
science and technology by creating a joint venture firms and other measures to
encourage the development of new technologies; negotiates property state,
institutional and individual interests in the process of circulation of
securities and softens the state budget deficit, the state securities market
indicates the state of the economic situation. The essence of the political
function of the stock market is to facilitate the establishment of the economic
independence of the state, attracting foreign investment through the sale of
shares, creating a truly market system.social function of the stock market
appears to enable people to more profits and the formation of owners of
securities. In addition, the flow of capital contributes to the creation of
additional jobs. Taking into account the stages of functioning allocate primary
and secondary securities markets.the primary market will initially be allocated
securities to investors. The main task of the primary market is allowedto
minimize the risk of the investor. This is the aim state legislative
regulations governing the operation of the market. The primary market
securities are reviewed: the major issuers, major investors, the main objects
of transactions, the main forms of agreements. The main issuers is the state,
private companies, international bodies.main investors are the people, the
government, commercial bodies. The objects of transactions are public, private
and international securities. There are two forms of transactions - offering of
securities by way of auction or public sale.placement of securities shall be
made in levels. First, the issuer decides to issue securities, and then there
is the open or private placement. Open seating provides for the registration of
information on the securities issue and the organization to subscribe to them,
a private placement of securities occurs among individuals. At the final stage
of the securities is issued to the owners or the owner is registered in the
system registry of owners. The secondary market provides trading of
securities. Its main function is to create conditions for the general trading
of securities, provision of liquidity, to determine the market price of the
securities and the provision of information about its changes.organizational
forms are distinguished Stock Exchange and OTC securities market.
Exchange market, as a rule, is the secondary, submitted by the stock exchange.
That is, it is a market with a high level of organization at which special
rules made the purchase and sale of securities. The main subjects of the
exchange market are the sellers, buyers and intermediaries - brokers, dealers.
OTC market(over-the-counter market) is a
secondary and serves medium and small in terms of equity of issuers that, for
objective reasons, do not expose your assets to the stock exchange. The basis
of the OTC market is the computer connection, the channels that transmit
information in respect of the shares listed.volume of trading in securities
through the stock exchange and OTC market in developed countries is almost
identical. Typically, the leading one is the stock market; there is a
concentration of centers of stock trading in securities.securities market is
also characterized by the following features: in terms of production:
fixed-term treatment and perpetual securities, outside the territory of
distribution: international, national, regional markets, by types of
securities: market shares, bonds, etc.efficiency of the securities market is
determined by the supply of the latter, as well as the largely consumer
potential of society as a whole. Effective demand in the stock market depends
strongly on the ability of households to save, their incomes. For example, in
countries with a high standard of living of households owning stocks is quite
high about 49-51%.economic literature identifies two points of view about the
importance of the financial system for the economy as a whole and for its
economic growth in particular. Proponents of the first believe that the financial
market does not play a significant role in economic development. Therefore, for
example, J. Robinson argues that the financial market does not stimulate
economic growth, and its development is only a response to the expansion of the
real economy. In his review of the theory of economic development of H. Stern
does not even mention the financial market as a factor contributing to economic
growth. In the works of the first researcher’s theories of economic
development, including Nobel laureates, it is argued that the financial system
plays a minor role in economic development. Moreover, one of them, R. Lucas,
says that economists often exaggerate the role of financial factors in economic
development.contrast to the first, a much larger number of economists is of the
view that emphasizes the importance of the financial system to promote economic
development. B. Bagex J. Schumpeter, P. Cameron, P. Goldsmith provide
conceptual explanations and empirical examples of the positive impact of the
financial system on economic growth. Based on these assumptions, A. Gelb, E.
Ghani, J. DeGregorio, P.Giudotti show that the value of capital market
development is closely correlated with economic growth in a large sample of
countries. The result of this research lies in the fact that a well-functioning
financial market is a key element to sustain economic growth.. King, P. Levin,
Zervos, T. Beck and H. Loayza provide empirical evidence to support the view
that financial development causes economic growth at the country level. At the
sectorial level, R. Rajan and L. Zingales show that industry-funded from
external sources, is growing faster in financially developed countries. At the
firm level, A. Demnrguk Kant and V. Maksimovic, using its own model to estimate
the level of growth in the absence of external funding, finding that firms in
developed countries finance grow faster than predicted by their model.his works
J. Dzhayaratne and P. Strachan, J. Greenwood and B. Jovanovic also confirm that
the main source through which financial market has a positive impact on
economic growth, improve the quality of resource allocation in the economy. J.
Vurgler proves that developed financial markets, measured as the value of the
domestic stock market and credit markets relative to GDP, improve the
allocation of resources.the beginning of the year, it is used to make
conclusion. It is interesting in this context to look at the capitalization and
its performance over the past year, the national stock markets around the
world. According to Blumberg largest by market capitalization at the end of the
world market in 2010 is the United States, occupying nearly one-third of the
world market capitalization. Of the five largest markets in terms of
capitalization, three are in Asia: Japan, China and Hong Kong. Of the four
stock markets of the BRIC countries (BRIC) is the smallest Russia, notably (at
times), yielding a national stock markets of China, India and Brazil. Moreover,
the stock markets of developing countries are beginning to overtake the stock
markets of developed countries: India surpassed Germany and China ranked third
in the world, behind only the U.S. and Japan.was surprised markets in South
Africa and Turkey. The stock market in South Africa was quite large -
comparable in terms of capitalization with Russia, and Turkey is quite small -
in two and a half times less than the Russian one.
Table 1. Capitalization of world market
|
Country
|
Capitalization,
ml., USD
|
% from total of
capitalization 31.12.2009
|
% from total of
capitalization 31.12.2010
|
Changes
|
|
All world
|
52 466 737
|
100,00
|
100,00
|
0,00
|
|
USA
|
15 559 765
|
29,92
|
29,66
|
-0,26
|
|
Japan
|
4 013 496
|
7,59
|
7,65
|
0,06
|
|
China
|
3 389 920
|
7,15
|
1,27
|
0.12
|
|
Great Britain
|
3 389 874
|
6,47
|
6,46
|
-0,01
|
2 579 378
|
4,93
|
4,92
|
-0,01
|
|
Canada
|
2 104 890
|
3,50
|
4,01
|
0,51
|
|
France
|
1 796 545
|
4,13
|
3,42
|
-0,71
|
|
India
|
1 628 673
|
2,82
|
3,10
|
0,28
|
|
German
|
1 515 063
|
2,98
|
2,89
|
-0,09
|
|
Australia
|
1 462 179
|
2,73
|
2,79
|
0,06
|
|
Brazil
|
1 457 790
|
2,89
|
2,78
|
-0,11
|
|
Switzerland
|
1 193 428
|
2,34
|
2,27
|
-0,07
|
|
South Korea
|
1 098 158
|
1,79
|
2,09
|
0,30
|
|
Taiwan
|
921 883
|
1,57
|
1,76
|
0,19
|
|
Russia
|
691 005
|
1,02
|
1,32
|
0,30
|
|
Spain
|
630 181
|
1,71
|
1,20
|
-0,51
|
|
Italy
|
630 181
|
1,71
|
1,20
|
-0,51
|
|
Sweden
|
604 901
|
1,49
|
1,15
|
-0,34
|
|
Singapore
|
0,97
|
1,12
|
0,15
|
|
South Africa
|
532 890
|
0,87
|
1,02
|
0,15
|
|
Mexico
|
500 097
|
0,79
|
0,95
|
0,16
|
|
Malaysia
|
413 515
|
0,62
|
0,79
|
0,17
|
|
Indonesia
|
361 820
|
0,46
|
0,69
|
0,23
|
|
Saudi Arabia
|
358 730
|
0,69
|
0,68
|
-0,01
|
|
Chile
|
331 719
|
0,50
|
0,63
|
0,13
|
|
Holland
|
327 604
|
0,71
|
0,62
|
-0,09
|
|
Turkey
|
310 996
|
0,49
|
0,59
|
0,10
|
|
Norway
|
289 029
|
0,56
|
0,55
|
-0,01
|
|
Thailand
|
277 345
|
0,38
|
0,53
|
0,15
|
|
Belgium
|
272 845
|
0,54
|
0,52
|
-0,02
|
was changed and the proportion of the various national stock
markets in total. There is the most notably the share of the Canadian market by
0.51% to 4%. Then there are South Korea (0.3% to 2%), Russia (0.3% to 1.3%) and
India (up 0.28% to 3.1%). In 2010 there was a sharp decrease in the share
capitalization of stock markets in France (at 0.71% to 3.4%), Spain (by -0.51%
to 1.2%) and Italy (by 0.34% to 1, 15%), as well as Brazil and Hong Kong.
. 1.Changes of capitalization
national market in 2010. %
role and value of the stock market as a system of market
relations are determined by the following factors:of available funds in the
form of investment for the development of production;
- to ensure that capital flows from decaying industries
in the rapidly progressing field;
- to raise funds to cover the deficit of the federal
and local budgets;
ability to assess the state of the economy on
indicators of the stock market;
influence on the change in inflation.securities
market is like any other market, is a complex organizational and legal system
to a specific technology operations., the organization of the securities market
can be expressed as the following related itemsmain objective of the securities
market is to attract investment into the economy. For this purpose it is
necessary for the following conditions:
- freedom of movement of capital;
- provision of liquidity of the securities, which is
achieved due to the large number of buyers and sellers and small differences in
the prices of sales and purchases;
availability of commercial systems to provide
contact sellers and buyers;transparency of the market.should be accurate,
correct and meaningful. Therefore, great attention is paid to the stock market
disclosure by:of financial condition of the company, the upcoming release of
securities, major shareholders, etc.;organizers of trade, trade rules,
conditions of listing and the like; regulators of changes in the regulatory
framework, the system of control over the activities in the financial market
and compliance with work rules.
rise of the stock markets in the countries in the last decade
occurred just at an incredible rate. If during much of the 1990s stock market
capitalization of emerging market economies in relation to the total GDP of
these countries fluctuated around the level of 20-25%, since the beginning of
the century to 2007 it has increased almost three-fold.the past fifteen years,
the total market capitalization of emerging market economies has increased
approximately tenfold, from less than U.S. $ 2 trillion in 1995 to about 5
trillion U.S. dollars in 2005 and about 19 trillion U.S. dollars by the end of
2010. In comparison, over the same period the total market capitalization of
developed countries increased only twice. Since the beginning of the century
the share of emerging market economies in the global stock market capitalization
has increased from 7% to the current value of approximately 30%.findings can be
expressed as the following conclusions:
. Stock market is a segment of the financial market and the
infrastructure element of economic policy, which allows us to solve a variety
of macro-economic issues, including the rise of the concentration and the
socialization of production, mobilization of free cash flow and direction of
these funds in the desired segments of the economic system, the activation of
the investment process, the transformation of savings businesses and the public
investment resources, increasing the income capitalization of market agents,
the formation of involvement of each household in market conditions and the
economic transformation of the private ownership of a wide range of market
agents in the capital that generates income.
- market capitalization;
- liquidity of the market;
stable foundation of the stock market, the focus on
the needs of the national economy;
reducing the relative dependence on world financial
markets;
information field.social function of the stock
market appears to enable people to more profits and the formation of owners of
securities. In addition, the flow of capital contributes to the creation of
additional jobs. Taking into account the stages of the operation, allocate
primary and secondary securities markets. In the primary market will initially
be allocated securities to investors. The main task of the primary market is to
minimize the risk of the investor. This is the aim state legislative
regulations governing the operation of the market. The primary market
securities are reviewed: the major emitters, the main investors, the main
objects of transactions, the main forms of agreements. The main issuers is the
state, private companies, international bodies.main investors are the people,
the government, commercial bodies. The objects of transactions are public,
private and international securities. There are two forms of transactions -
offering of securities by way of auction or public sale.placement of securities
shall be made in stages. First, the issuer decides to issue securities, then
there is the open or private placement. Open seating provides for the
registration of information on the securities issue and the organization to
subscribe to them, a private placement of securities occurs among individuals.
At the final level of the securities are issued to the owners or the owner is
registered in the system registry of owners. The secondary market provides
trading of securities. Its main function is to create conditions for the
general trading of securities, provision of liquidity, to determine the market
price of the securities and the provision of information about its
changes.organizational forms are distinguished Stock Exchange and OTC
securities market. Exchange market, as a rule, is the secondary, submitted by
the stock exchange. That is, it is a market with a high level of organization
at which special rules made the purchase and sale of securities. The main
subjects of the exchange market are the sellers, buyers and intermediaries -
brokers, dealers.
CHAPTER 2. THE STOCK
MARKET OF RUSSIA AND ITALY: DYNAMICS OF DEVELOPMENT AND COMPARATIVE ANALYSIS
object of this chapter is to study the stock market of Russia
and Italy, the dynamics of its development and comparative characteristics that
affect the acceleration of economic growth in the process of social
reproduction. The subject of the study is social and economic relations that
arise between the subjects of the economy during the action of the stock market
to accelerate economic growth.field of study: the development of stock market
of Russia and Italy, the state-of-the-art, the quality of institutions. Most of
the authors (both Russian and European) are based on the classical theories and
models that are losing relevance to the development of economic relations, the
financial crisis and changing the priority of the basic functions of the stock
market. The new models presented in journalistic materials often have strong
political or geographical focus. The important point is the use of theoretical
and methodological approaches to the particular economy, such as the
post-socialist economy in Russia.
2.1 Russian
stock market: the development and current state
stock market is a holistic system of financial relationships
between people, based on the trading of shares and securities of all kinds. It
is difficult to account for market investors because they invest their money in
the campaign, and not to lose your capital, you need carefully research each
company. After losing their money because the campaign has become bankrupt,
nobody wants it. Although this happens quite often, because the shares of major
campaigns are not available to ordinary investors because of the high price,
and the available securities of small companies may at any time become
unnecessary. Of course, if he wins the investor will receive fabulous profits,
but also the risk of losing money is also very high., Legal beginning of the
stock market in Russia can be considered as the introduction in the summer of
1990 resolutions of the Government of the USSR «On Joint Stock Companies» and
the «Securities Act». These provisions shall remain in force until now.first
commodity exchange was established. Shares of commodity exchanges - the first
that have been issued and purchased. Until November 1991 80% of the shares were
sold shares of commodity exchanges, then there were the shares of banks and a
number of large joint-stock companies.this time there were many violations
(institutional and legal). Therefore, the interest in the stock market quickly
faded, and economic analysts have noted a depression in the stock market. To a
certain extent, this can be explained by the fact that Russia had no experience
of Investment Banking, specialists; there was no reliable information, so the
true moment of the creation of the stock market in Russia is 1992. This was
facilitated by the creation of the Moscow Interbank Currency Exchange and the
Moscow Central Stock Exchange, the Russian Commodity Stock Exchange, St.
Petersburg Stock Exchange, the South Urals Stock Exchange.the past few years
along with the development, the expansion of the securities on the stock market
occurred negative phenomena that accompanied the collapse of a number of
investment companies, banks, sharp fluctuations in exchange rates, etc. In the
development of the Russian Stock Exchange can note a number of stages.
. 1992 - mid-1993. This phase is associated with the
occurrence of the foreign exchange market on the Moscow Interbank Currency
Exchange and, therefore, with the expansion of the scale of U.S. dollars.
. 1993 - 1994. Begins the process of privatization, are
auctions, the sale of shares of privatized enterprises. In May 1993, itsheld
first auction sale of T-bills. This marked the beginning of the market for
government securities. In October 1993, the Central Bank of the Russian
Federation, dramatically increases the discount rate (from 80 to 210%). This
reduces the amount of credit resources, slows down inflation, but it also
contributes to the emergence of inter-bank loan market (banks became
unprofitable to borrow from the central bank, and they borrow from each other
by less than the central bank, the percentage). 1994 was marked by the fall of
the dollar (Black Tuesday), which led to a decline in the purchasing power of
the ruble in 2 times (as the central bank bought up cheap dollars, and then
again "inflated" their course). All this has led to speculative games
in the foreign exchange market.
. August 1994 is characterized by an increase in sales of
shares of some large corporation’s energy, fuel, gas, construction industries.
During this period, there is a rapid growth of quotes for individual stocks. In
dozens of times their face value increases. Overall, 1994 has the following
proportions on the securities market: 32% - sale of T-bills, 29% - the shares
of privatized enterprises, 12% - bank stocks, 5% - vouchers, about 20% - other
securities.
. 1995. The Russian government has set a target to reduce
inflation sharply, so the issue was worked containment of the U.S. dollar. In
early June 1995 for a period of up to 1 October introduced the trading band,
which sets the boundary between the U.S. dollar and the ruble exchange rate.
This led to the fact that the volume of transactions decreased with dollars and
the exchange rate of the ruble against the dollar began to rise. In addition,
the central bank increased the amount of the reserve funds of commercial banks,
which are stored at the central bank. This extentsto put the banks in a very
difficult position, and in this period the bankrupt Unicombank, Kredobank, in
1996 for the same reason - Tver-Universalbank. It can be summed up as follows (Appendix
1, Fig. 1-21)
) Foreign Exchange Market in the Russian Federation was
created, formed and operates in all segments, i.e., the currency market, the
market for government securities, the securities market stock companies and
banks, derivatives markets, the market for interbank loans.
) The foreign exchange market is the most far-reaching, it
has an inherent high liquidity, but the reliability of foreign exchange due to
sharp increases in the dollar, until recently, was low. The introduction of the
currency corridor defined the dollar in those borders, which established the
Central Bank of the Russian Federation (now the Central Bank withdrew from the
hard corridor and entered the sliding dollar. Now its borders - from 5550 rub.
To 6100 rub.).
) The securities market is developing successfully and is now
the most attractive. Yield varies from 92 to 140% per annum. T-bills and have
the liquidity and high reliability, and profitability. At the same time, it can
be noted that the market price of T-bills subject to significant fluctuations
depending on the political and economic situation. T-bills are issued on a
fairly short period of time (1-3 months). In 1995 there was an attempt to
release them for a year. This resulted in a yield of 450% per annum.
) Market securities of the companies and banks are low
turnover. Brokerages are guided by the stock trading through the stock stores,
a trust - of the company. In exchange, listing includes only a small number of
issuers. Shares of most public companies are not liquid and not listed on the
market. The population of Russia does not take part in operations with
securities. 50% of household savings are in the Savings Bank, 30% - on the
hands (in the developed world in the hands of the population on average 2-3%
savings). Derivatives markets (futures, warrants, options, notes) is still in
development.
) The market of interbank loans. Daily volume in the
interbank market is 200-300 billion rubles. Because these operations are quite
risky, there are methods to reduce the risk of credit operations. It is - a
method of securitization, when in credit operations involving not one, but two
or three or more banks. Interbank market is characterized by high liquidity, is
very sensitive to the state of monetary sphere, public debt, inflation. Specific
indicators characterize the state of the financial market. For example, the
English stock market indicators include such Libor, Libid, etc. Libor isthe
rate Seller deposits. Libidis the price the buyer. In July 1994, the Central
Bank of the Russian Federation introduced by analogy Russian indicators: Mibor
and Mibid. These rates are set nine largest Russian banks.further development
of the Russian stock market is necessary to provide a clearer state control
over private securities, reduce the tax burden of enterprises, establish a
special exchange for securities and derivatives to expand this sphere, to
create a centralized structure of intelligence that must provide services
according to the calculations of stock indices, according to calculations brokerage
houses.
The Russia stock market is still very young; his
appearance began in the nineties. This is a constantly evolving market, which
brings high returns, but the risk in the stock market is very high. In recent
years, the foreign exchange market has a lot of positive changes: the market
liquidity has improved, strengthened the legal frameworkto these positive
changes, the stock market in Russia reached a new level that equates us in an
environment of currency exchange to the most developed him.in the foreign
exchange market are the participation:organizers of the trade are the stock
exchanges.
1. Brokers are financial intermediaries between the
exchanges and investors. Investors are usually banks or investment companies.
2. Depositaries, which is due to securities accounting
and recording of property rights.
. Settlement bank.stock market has its own rules:
physical and legal persons, who are not professionals in the stock market, have
the right to enter into transactions through brokers. Nevertheless, just in
case, if the brokerage company is accredited and is licensed for this
activity.securities, the client sends its affairs broker. The securities of
each customer are stored and listed on the deposit account - each client has
his own. As soon as the transfer of securities to another owner, the savings
account have the appropriate mark.the time of trading, the Exchange assumes
most of the risk this is done in order to protect market participants from
failures. Here is one example: before you put up for sale securities, exchange
offers participants put them in storage in the depository. In this case, the
depositary is an intermediary between the buyer and the seller. This gives
assurance that the securities are available and they are authentic.stock market
in Russia, on the stock exchange, there is such a thing as a clearing. He
created in order to control the high turnover during transactions. The task of
clearing - ensure that transactions are properly treated and addressed.is
divided on several grounds:clearing - all transactions and monitoring is
carried out in real time, that is, each of the transaction, immediately sent to
the buyer. This kind of clearing is used only when there is powerful software
and not large quantities.clearing - there is a certain frequency - every hour,
day or week. For example, within an hour accumulate data on all completed
transactions, and then they are processed all at once. This type of clearing is
very beneficial, but too much takes time.of the securities market allows you to
trade in the stock market safer. It's no secret that stock trading is far more
dangerous than the currency trading. Strictly speaking, therefore Forex and
enjoys a wide popularity - to lose the capital there is a bit more complicated.
On the other hand, the stock market in the event of winning promises a far
greater amount. But that's not all people choose to risk, as the saying goes:
"Better pie in the hand is worth a bird in the sky." However, stock
markets are trying to adjust their system to make it easier for casual players
and reduce the risk of loss of capital. However, the changes are still not too
noticeable.risk of losing your capital is always there, no matter what kind of
trade busy people. Any electronic exchange is always in development, primarily
because the world economy is developing. For example, if a country has
undergone a political crisis, the country's currency falls relative to other
monetary units, and the value of the shares of the campaigns of the state
decreases. Securities market regulation affects just on the position of a
campaign in a kind of ranking. Agree, the investor must be sure that the
company in which he is going to invest money, do not go bankrupt, and its
profits will only increase. Only then the player will receive a long-awaited
return. By the way, the income in this case is welcome. Investors have a long
wait for the campaign, bought them in times of crisis, overcame a difficult
situation, and its shares have increased, so that they can be profitably sold.
And make such long-term predictions are pretty difficult. Another thing
Currency Exchange - read in the news about a particular economic event that
drew parallels with the rate-adjusted trade. The situation with the economy
returned to normal, hence the course took its usual position.addition, the
stock market is rich crooks. It does not say, but such divorces occur quite
often. We will not give examples of fraudulent schemes; such information can be
found at either site. Regulation of the securities market helps to get rid of
so many swindles. First, set a high threshold for the start of trading
eliminates investors. Agree, not every crook decide to initially pay quite a
large sum. Of course, experienced scammers and find other loopholes, but the
market is improving daily. Incidentally, this is why an investor should
constantly evolve. He should study the changes to match the position of the
currency exchange. So training should never be neglected.the most difficult
thing in the stock market - it is right to analyze the campaign. An investor
should understand perfectly in the activities of the campaign itself, must know
perfectly well the accounting department to assess the state of the campaign.
But the difficulty is as follows. Since the regulation of the securities market
is not perfect, some information may be sheltered from the investor.
"Error" has already become clear after the purchase; the investor
will realize that instead of profitable campaign has gained a firm on the verge
of bankruptcy. Rather unpleasant feeling, but such a situation occurs
frequently. That is why people do not rush to join in the number of stock
market investors, but prefer to exchange analog.fact, the Russian stock market
- is trading in shares and other securities. Recently, the completely
integrated system was largely transformed, which increased the protective
mechanisms of investors participating in the auction, has improved the legal
framework and so on. Thus, Russia has gained recognition in the global market,
its rating increases, and hence the growing rating of all banks and other
municipal enterprises. This increases the economy of the country, which, in
turn, has an impact on the world economy as a whole. Credit agencies from all
over the world celebrate this growth, saying that Russia can independently
perform all of its obligations to its citizens and its neighbors. Since 2003,
international agencies continually point out how much Russia has grown
economically. Country regularly assigned investment grade ratings. This means that
the Russian securities have a great potential for further development in the
global market.stock market heads the Russian stock exchanges, brokers involved
in the bidding, depositories and clearing banks. People who are not
professionals trading can make transactions through brokers. So trading in
securities may engage each. The depositary notes of who and what securities
purchased or sold. That is the whole process is completely controlled by the
special services. In case of a successful transaction the investor can quickly
get a huge profit, which is one of the main reasons why people come to this
kind of trading., the Russian stock market has significant drawbacks.
Therefore, to participate in the deal, the player will have to spend a huge
amount. He must have a huge initial capital, which is not at all. In addition,
the risk of capital loss is much greater. Let us say a player made a deal and
bought shares of a campaign. For short term, action became bankrupt, and the
player loses all his money, which he invested in the company. Moreover,it gets
them is not possible, revenge will not work. The stock market is too complex
for the untrained, ordinary people, learning that takes place every investor
before work is too long and costly. Therefore, most willing to trade in the
foreign exchange market are selected.addition, the Russian stock market and
currency exchange provide the opportunity to participate tenders anyone. Here
are just a Forex does not require such investments, and the risk of capital
loss is much less. Even in the case of loss, a trader at any time, take
advantage of lending or brokerage services. Money it takes a lot less. In
addition, the methods of analysis of the currency market is much easier, that
is, the player does not have to go through such a long period of training,
though quite unprepared to go public still can’t come. Its business strategy is
still needed.Forex market has become popular in a very short period. Not every
system can so quickly unwind. The secret lies in the exchange are that it
really works and proves it every day with fresh payments. There are plus, of
course, a good advertisement. However, no advertising would not make the game
popular in the foreign exchange market if it did not win, did not earn, do not
become regular Bill Gates.decade ago, the Internet in Russia was familiar
counting the number of people. Today the daily services of the World Wide Web
are already millions of Russians. And this number will only increase. This is a
great achievement of humankind could not long be kept away from the stock
market.Trading is the mechanism of the transactions over the Internet.quickly
took their positions, expanded the possibilities of investors. Now, thanks to
the Internet can be made online to watch the changes in securities prices. You
can own, almost instantly, to buy or sell shares of Gazprom, SPE«RussiaUES»,
«Surgut» and many, many others. With this you can be anywhere in the world, as
long as at hand was a computer connected to the Internet. Through the Internet
Investor (any natural or legal person who has entered into an agreement with a
broker) is associated with a broker who, in turn, is connected to the exchange.
Thus, the investor is in transit through a broker receives information directly
from the stock exchange on current prices, the transaction, the orders for
purchase and sale. In deciding on the transaction, the investor sends a request
to the agent who immediately falls into exchange system. All this happens in a
split second, almost instantly.trading has made a real revolution in the stock
market. The most important thing is that online trading is incredibly increased
the speed of processing trade orders, and will eliminate the need for direct
personal contact with the broker. Brokerage costs are much reduced, and
therefore, reduced customer costs. Due to this the stock market investors could
come from small amounts of cash. Now everyone can invest only the amount of
money that it is ready to operate.internet trading system includes several key
functions are:
• self-nomination applications for exchange;
• automatic checking of applications for compliance
with limits;
• verification of the portfolio at any given time;
• ensuring the protection of information;
• information about trading in real time;
• limit management and control applications from
broker;
• interaction with the accounting systems of the
broker (back office risk management system).those investors who, for various
reasons, prefer to delay the carrying out transactions over the Internet, Internet
trading system can provide the extended information. In this case, an investor
in real time monitors the health of their portfolio, and application to the
stock exchange exhibits, as before, on the phone.are two types of trading
systems to private investors. First, the trade is executed through a trading
system implemented as a web-browser. You go to the website of the broker, enter
your username, password, andfull speed ahead. Main convenience of such trading
systems is that you are not tied to a particular computer. For these purposes
fit almost any computer connected to the Internet, because it does not require
any additional software. Such systems are usually designed brokers themselves.
Virtually any more or less large broker has its own trading system of this
type., you must have the special program. Such trading system more functional,
faster and require less bandwidth. The best known QUIK, Netinvestor, TRANSAQ.
It is worth to say that both types of trading systems are able to understand
even a child.now, after the growth of capitalization of the Russian stock
market, which we see from the time they reach the bottom at the end of 2008,
the market is still heavily undervalued. Since the end of 2012 the coefficient
P \ E for the Russian stock market amounted to only 5.3. This is one of the
lowest in comparison with other countries (13 in the U.S. and Western Europe, 9
for emerging economies), which indicates a very low cost of Russian companies
and the high growth potential of the stock market.level of monetization of the
Russian economy (M2/GDP) remains extremely low. In 2007, the figure was 40% at
the end of 2008 only 32.5%, and up to the monetization of the economy in 2012
was 43.9%. At the same time, the value of this parameter in the advanced economies
is in the range of 80-100%, and the growing economies of China - about 160%. In
fact, in these circumstances, the Russian economy is barely enough money to
maintain current operations, not to mention a fair valuation of assets and
investments in fixed assets.
. 2.1 - The main macroeconomic
indicators of Russia
to their ongoing surveys of international investors, the
Russian stock market is still perceived by investors as one of the most
promising markets in the world. This gives us hope that after the normalization
of the economic situation in the world, the main flow of foreign investment
will go mainly to the Russian market. It should be added also the fact that
Russia has become a WTO member. For the domestic stock market may be extremely
positive signal because the statements of foreign investors for them to
Russia's WTO accession may provide some trigger for the investment of capital
in the Russian stock market (as happened in 2005 after Russia's investment rating
assigned by international rating agencies). In part, this view is supported by
the actions of foreign institutional investors, who since the beginning of 2013
to reduce the share of their portfolios in favor of Turkey, Russia, which is
reflected in the dynamics of the stock market.
. 2.1 - Foreign investment, mln. USA
the coming years, the main drivers of growth of the Russian
stock market will be: growth in corporate profits (up by 16% in 2012), GDP
(acceleration of growth from 3.4% in 2012 to 4.5% in 2015) and investment in
the economy countries, the growth of household income and expenditure patterns
change (reduction in the share of consumption).
2.2 Stock
market in Italy: developmentand quality of institutions
's stock market is one of the oldest markets in the world.
The word exchangewas incorporated into all modern languages, comes from
the Latin «bursa» leather bag for storage of money, and the first security-bill
appeared in Italy in the XI century.Types
of shares traded in the market, and rights to sharesItalian company started as
a joint stock company società per azioni, may issue different classes of
shares with the same par value. Most companies produce only ordinary shares
azioneordinaria, owners have the right to vote at all meetings of shareholders on the
principle of one share, one vote. It release of preferred shares
azioneprivilegiata, which give their holders a preferential right to the
allocation of proceeds from the sale of assets in the event of liquidation. It
is voting rights holders of preferred shares are only at the extraordinary
shareholders' meetings. (Figure 1-11, Appendix 2).Italian company's ordinary
shares are included in the listing on the Stock Exchange shall have the right
to issue savings shares azione di risparmio, which provide benefits to their
owners and the owners of ordinary and preference shares for dividends and
assets in liquidation. Savings Bonds are convertible into ordinary in
accordance with the terms of conversion proposed by the company.shares of
Italian companies are registered securities holders registers, which are
issuing companies. In accordance with Italian law, all securities issuers with
Italian 1 January 1999 issued in book-entry, dematerialized form.requirements.
Consolidated Finance Act contains the basic rules of law relating to the
disclosure of information about their investors acquisitions of shares of
Italian companies. The law sets the minimum threshold of the share capital of
2%, at or above which the investor is obliged to notify the transaction market
regulator Consob and the issuing company. This requirement applies to the
capital of the Italian company, whose shares are listed on the stock exchange.
The law gives the Bank of Italy and Consob authorized to establish additional
threshold amount of the share capital requiring disclosure, the adoption of the
order and timing of the disclosure and monitoring of the shareholders of the
law.the framework of its powers Consob approved by resolution number 11971 on
May 14, 1999 Rules for issuers of action, recent changes in which are recorded
in August 2009 According to the normative document persons acquiring an equity
interest in the Italian company, whose shares are listed on the stock exchange
are required to notify Consob and the company issuing the following conditions:
at or above the value of the acquired shares, equal to 2% of the share capital
of the company, at or above the value of the acquired shares, five times the
5%, 10%, etc. to 50%, and equal 66.6%, 75%, 90% and 95% of the share capital of
the company, while the share in the authorized capital of the company below
these thresholds.of the acquisition of shares in the authorized capital of the
company shall be sent to Consob within five trading days after the trade date
the form prescribed by the above regulations.the company whose shares are
listed on the stock exchange, acquires 10% or more of the share capital of
another company whose shares are not included in the stock exchange listing,
the company-shareholder is obliged to disclose information about the deal by
giving notice to Consob and the appropriate company.requirements on the
acquisition of shares in the capital of Italian companies are treated as
investors resident in Italy, as well as foreign investors.are stock exchanges
and procedure for admission to trading.main role in the organization of trade
in the shares owned by Italian Italian stock exchange BorsaItaliana. In 2008,
the Exchange has celebrated its 200th anniversary. Founded in 1808 in Milan,
the original name of Borsa di Commercio di Milano, she gradually became more
and more important in the economic and financial life of the country. Trading
in shares on the BorsaItaliana is a middle of the XIX
century, were the first to shares issued by the railway company
SocietàFerroviariadel Lombardo Veneto.
Since 70-ies of the XX century with the strengthening of the
positions of Milan as the financial capital of the state exchange market
becomes more centralized. Forming in 1991, the single-organizing center of the
Exchange Council Consiglio di Borsa contributed to an eventual unification of
exchange trade at the national level, and marked the beginning of the
privatization of the Italian stock exchange, which until then was in public ownership.
Corporatization of BorsaItalianawas completed in 1997 with the creation of
joint-stock company BorsaItalianaSpA, is being implemented by the Office
Exchange. BorsaItaliana has become the core of the exchange group, composed of
the following years included the central depository Monte Titoli, the central
counterparty CC & G, the organizer of trade debt MTS and other companies in
the financial sector, serving securities transactions. In 2007has become part
of the London Stock Exchange Group, the latter is owned 99.96% stake in the
Italian Stock Exchange. For the admission of shares to trading on BorsaItaliana
issuing company must meet the following basic requirements: the capitalization
of the company must be at least 40 million euros, one class of shares
representing at least 25% of the capital of the Issuer, shall be distributed
among the investors, and the company must submit reports for the preceding
three years from the auditor's report.stock market, served by the Italian stock
exchange, called MTA-MercatoTelematicoAzionario.Until the end of June 2010 MTA
was divided into the following segments: Blue Chip, which traded shares of the
largest issuers with a market capitalization in excess of € 1 billion; STAR,
designed for trading in shares of companies with an average market
capitalization up to 1 billion euros, with high rates of development and
meeting a set of additional criteria for listing; Standard, focusing on
companies with a market capitalization of 40 million to 1 billion euros, not in
the segment STAR., in order to more efficient organization of the market shares
of Blue Chip segment and Standard abolished, trade shares of large issuers in
the market is MTA. Companies with medium and small capitalization to € 1
billion are in the segment of STAR.the end of June 2011 listing on the MTA has
270 companies, including 72 of the segment STAR, the total capitalization of
about 390 billion euros, capitalization STAR -15 billion euros.addition to the
MTA, relating to regulated markets, trade in shares of small-and
medium-capitalization companies that have, however, significant potential is in
the segment of AIM-Alternative Investment Market Italia, which is an analogue
of the AIM on the London Stock Exchange. This market is not the exchange market
in the true sense, as not subject to appropriate regulation. The rules of
operation of AIM Italia segment provides for the appointment of a specialized
consultant-Nominated Adviser whose duty is to support the company in entering
the market and the transactions in the AIM Italia.
Main instruments of the stock market
Italy is a highly developed industrial-agrarian country with
an eleventh in the world by GDP, equal to 1.76 trillion dollars USA. Feature of
the economy of the country is the territorial unevenness of industrial
development: the more developed north and the less developed south.largest
Italian companies whose shares are blue chip stock market, represented
by the leading sectors of the Italian economy: engineering, production and
refining of oil and gas, food and light industry, banking. The favorable
natural and climatic conditions allow Italy to occupy a leading position in
Europe and in the world for growing crops, cereals, citrus, tomatoes, grapes,
olives, etc. One of the most important sectors of the Italian economy, which
accounts for about 12% of GDP, is the sphere of tourism services.leading
Italian company whose shares have the greatest weight in the stock market is
one of the world's largest oil companies EniSpAEnteNazionaleIdrocarburi, founded
in 1953 by the Italian government. Eni has exploration and production
operations in 70 countries on all continents; the company is a major partner of
Russia's Gazprom in the implementation of the project pipeline «Blue Stream».
Network of petrol stations to Eni operates under the commercial brand Agip,
familiar throughout the world on a logo with a picture of a fire-breathing
six-legged dog, symbolizing the energy and power.large enough share of the
total stock market capitalization of Italy occupy the shares of financial
institutions, among which the bank UniCreditSpA, belonging to one of the
largest banking groups in the world UniCredit Group. UniCredit Bank traces its
history back to 1473, when Bologna was based bank RoloBanca. Currently,
UniCredit has an extensive network of branches and subsidiaries in 50 countries
around the world, including in Russia, which serves more than 40 million
customers.the world-famous Italian companies whose shares have considerable
weight in the stock market indices, it should be noted automotive group Fiat
SpA and the Corporation for the production of milk and other food products
ParmalatSpA2008, in connection with the accession of the Italian Stock Exchange
to the London Stock Exchange London Exchange Group index system of the stock
market in Italy has evolved, becoming a part of the family of indices
FTSE-Financial Times Stock Exchange Index, but retaining the overall structure
and the methodology for calculating the major indexes BorsaItaliana.most famous
stock market index Italy-FTSE MIB Index earlier S & P MIB consists of the
40 most liquid stocks of the largest companies by capitalization of Italy
"blue chips", the total market value of about 80% of the total stock
market capitalization of Italy. The base level of the index FTSE MIB Index,
equal to 10,000 points, was adopted December 31, 1997companies with an average
market capitalization of the index is used FTSE Italia Mid Cap Index earlier
Midex, including shares of 60 Italian companies with the total market capitalization
of approximately 12% of the total stock market capitalization of Italy. Stocks
of small companies with a combined market capitalization of about 4% of the
entire stock market represented in the index FTSE Italia Small Cap
Index.addition to the above, the indices of FTSE, calculated for the Italian
market include 66 sectorial indices FTSE Italia Sector Indices, an index for
the stocks included in the listing exchange segment STAR-FTSE Italia STAR
Index, and other indices.most representative stock index in Italy - FTSE Italia
All-Share Index earlier Mibtel includes stocks of about 250 companies included
in the index FTSE MIB, FTSE Italia Mid Cap, FTSE Italia Small Cap and FTSE
Italia All-Share Sector Indices. The total market capitalization of the companies
whose shares are included in the index is about 95% of the total capitalization
of the Italian stock market. Given this figure, as well as inclusion in the
stocks of companies from all major sectors of the economy of Italy, FTSE Italia
All-Share Index is recognized as a national indicator of the market and the
most significant landmark for a wide range of investors with different
investment objectives.
Organization of trading shares. In 1994, on the Italian
stock exchange has been carried out the final transition from voice
contrattazionegridata trading to electronic trading. After joining the London
Stock Exchange Group equity markets were unified trading platform TradElect.is
an auction market. As a regulated stock market MTA, and in the trading system
of AIM Italia trades are conducted in multiple-launch the auction at the
opening and closing of the trading session from 8:00 to 9:00 and from 17:25 to
17: 30 and in continuous auction for trading day from 9:00 to 17:25.
Vnesessionnaya stock trading is carried out in a specialized segment of the TAH
Trading After-Hours.the Italian Stock Exchange provides the functions of
specialists (OperatoriSpecialisti), which, if necessary to maintain the
liquidity of the market are required to quote continuouslya certain action,
taking into account the limits set by the exchange.
Clearing and settlement system
Central counterparty for transactions with all shares traded
on BorsaItaliana, acts Clearing Company of Italy Cassa di Compensazione e
Garanzia, CC & G, founded March 31, 1992 and included as a central
depository of Italy Monte TitoliSpA, in exchange group London Stock Exchange
Group . Clearing Company carries charges between bidders, acting on their
behalf, thus ensuring the carrying out calculations and eliminating the risk of
default by the participants.January 2004 the transaction on shares of issuers
of Italy held the central depository Monte Titoli in two combined electronic
settlement systems:II primary clearing and settlement platform, uniting the
gross settlement system in real-time Real-Time Gross Settlement-RTGS with
multilateral netting. This electronic payment system was put into operation the
central depository of Italy in December 2003conducting operations in the form
ofdelivery / receipt of securities versus payment may be the difference in the
orders of counterparties to a value of EUR 25.
General Meeting of Shareholders
General Meeting of Shareholders of Italian companies held
within four months after the fiscal year end December 31, in most cases, in
April of the following year. The period of the meeting may be extended by up to
six months after the end of the year, if provided for in the charter of the
company. Message about the upcoming shareholders' meeting must be published 15
days before the scheduled date of the meeting in the Official Gazette
«GazettaUfficialedellaRepubblicaItaliana» or any other national publication.
The message should include the date, time and place of the meeting and the
agenda.accordance with Italian law, a shareholder who wishes to participate in
the meeting should send a custodian who has opened an account for shareholder
consideration of the relevant shares, the application for the grant of license
richiestacomunicazione to participate in the meeting. Within two working days
of the date of the application the shareholder, if the charter of the issuing
company does not specify a time custodian sends the required certificate
issuer, which is in fact an extract on the securities account of the
shareholder. Received from the custodian certificate issuer uses to calibrate
the register of holders of shares and identification of shareholders, the
meeting participants.shareholder may exercise their voting rights at the
general meeting by personal presence at the meeting by appointing a trustee by
the issuer or by sending completed ballots by mail.those rare cases where the
investor owns shares in the form of certificates to be eligible to participate
in the meeting must first convert their shares in certificated form, opening a
securities account and transferred the certificates to one of the custodians,
which will forward them to a central depository Monte Titoli.
Payment of dividends
Italian companies pay dividends annually, within a month
after the annual general meeting of shareholders. The peak of payments is to
the period from the end of March to the end of July.a month prior to the
payment of dividends of issuers announce the forthcoming payment through the
official website of the Italian Stock Exchange, the only company whose shares
are included in the listing, a central depository Monte Titoli in Italy and by
placing information in a special bulletin, published under the editorship of
Consob, as well as in the local financial press, for example, Milano
Finanza.January 2002, the procedure for establishing the dates associated with
the payment of dividends, if the issuing company chooses as the ex-dividend
ex-date the date of the first working day of a week after the annual
shareholders' meeting. Italian companies, whose shares are blue chip
stock market, are obliged to appoint the ex-dividend date on the first working
day following the third Friday of the month. Thus, in anticipation of dividend
shares are traded through Friday with the right to receive dividends cum
dividend, and on Monday, without the right to receive dividends ex dividend.
Two days after the ex-dividend date is usually on Wednesday comes a record date
of the rights record date, and the next day, ie on Thursday, followed by the
date of payment date.are issuing companies informed about upcoming dividend
central depository Monte Titoli and appoint a paying agent, a local bank. Monte
Titoli will in turn notify the dividends by custodian and paying agent informs
payment information custodians and the amount of dividends payable to each
custodian depending on the number of their shares in the accounts at the
Central Depository as of the end of the day fixing date right. At the appointed
date of payment of dividend paying agent debits open his account of the issuing
company and the custodian of dividend payment in accordance with the
instructions received from the central depository. After receiving the funds,
custodians list them on account of their clients, the owners of the shares. In
order to keep up to date register of holders of shares of Consolidated Finance
Act provides that the intermediary custodian within three days after the
payment of dividends by the issuer to send details of shareholders, who are the
dividends, and the number of shares them hold.
Tax base
According to Italian law proceeds on shares issued by
resident in Italy are taxed at source at the rate of 27%. In accordance with
the convention is reducing the tax rate from 27% to 10%. If the owner of the
securities was unable to make a timely payment of income to provide documents
to obtain tax benefits, in the four years following the date of payment of
dividends it is entitled to a refund of the excess tax withheld.
2.3 Interaction
and prospects
In Russia selected a mixed model of the stock market, where
both are present with equal rights and non-banks with the right to trade in
securities, investment and non-banking institutions.
One of the most volumes is the market for government debt,
including:
long-term and medium-term bond issues placed among the
population;
- short-term government bond issue of 1994;
long-term 30-year bond issue of 1991;
the domestic currency bond issue for businesses;
treasury bills.
Private securities market include:
issue of shares converted into joint stock companies of
state enterprises;
- issue of shares and bonds of banks;
issue of shares voucher investment funds;
issue of shares of the newly established joint stock
companies;
bonds issued by banks and businesses.also is a
highly industrial-agrarian country with an eleventh in the world by GDP, equal
to 1.76 trillion. USD. Feature of the economy of the country is the territorial
unevenness of industrial development: the more developed north and the less
developed south.largest Italian companies whose shares are blue chip
stock market, represented by the leading sectors of the Italian economy:
engineering, production and refining of oil and gas, food and light industry,
banking. The favorable natural and climatic conditions allow Italy to occupy a
leading position in Europe and in the world for growing crops, cereals, citrus,
tomatoes, grapes, olives, etc. One of the most important sectors of the Italian
economy, which accounts for about 12% of GDP, is the sphere of tourism services
.Russian stock market is characterized by the following:
- small volume and illiquidity;
- unformed in the macroeconomic sense (do not
know the balance of power in the stock market, etc.);
lack of development of material resources, technology,
trade, regulatory and information infrastructure;
fragmented system of state regulation;
lack of long-term public policy formation of the
securities market;
high degree of market-related securities;
significant extent (aggressive policy of non-viable
institutions of companies);
the lack of public access to the macro-and
micro-economic information about the state of the stock market;
investment crisis;
lack of trained staff and large, have won the
confidence of the public investment institutions;
aggressive and intense competition in the absence of
traditions of business ethics;
a high proportion of black and speculative
turnover;
Creating a new system purchase / sale of securities
These systems are the most developed in developing countries,
as an example in Russia to create new sites (RTS and MICEX, for example), which
creates new opportunities for the development of a national securities market
and its introduction into the world stock market. It is creating a new market
infrastructure.
CONCLUSION
theoretical basis in this thesis work are classic and modern
works of domestic and foreign scholars, publications in periodicals and
specialized publications, materials of scientific conferences and seminars on
the problem of the influence of the financial system on economic growth. In
work laws and other legal documents of the Russian Federation and Italy,
regulatory processes under study.the course of this thesis, we determined the
structure of the stock market. Any stock market consists of the following components:
- subjects of the market;
- the actual market (stock exchange, otc equity
markets);
the bodies of state regulation and supervision;
self-regulatory organizations (associations of
professional participants of the securities market that perform certain
regulatory functions;
market infrastructure (legal, information (financial
press, the stock system performance, etc.), depository and clearing and
settlement network (public and private securities, there are often separate
depository and clearing systems), registration network).securities markets are:
) The issuer - the state and its authorized bodies,
legal entities and citizens, attracting through the issuance of securities they
need cash and perform on their own behalf specified in securities obligation;
) Investors (or their representatives are not
professional participants of the securities market) - the citizens or legal
entities who acquire securities in the property, full economic management or
operational management for the implementation of these securities certified
property rights (population, industry, institutional investors - mutual funds,
insurance companies, etc.);
) Professional participants of the securities market -
legal entities and citizens engaged in activities recognized professional in
the securities market (dealer, broker, and other activities).the many
challenges faced in the present, the Russian stock market, it should be noted
that this is a young, dynamic and promising market, which is developed on the
basis of the positive processes taking place in our economy: the mass issuance
of securities in connection with the privatization of state enterprises, rapid
creation of new business entities and holding companies raising funds on the
basis of equity, etc. In addition, the stock market plays an important role in
the allocation of the financial resources of the state, and is necessary for
normal functioning of a market economy. Hence the restoration and management of
the stock market is one of the priority tasks of the government, the solution
of which is necessary to adopt a long-term national development plan and the
stock market regulation and strict control over its execution.Finance Act
contains the basic rules of law relating to the disclosure of information about
their investors acquisitions of shares of Italian companies. The law sets the
minimum threshold of the share capital of 2%, at or above which the investor is
obliged to notify the transaction market regulator Consob and the issuing
company. This requirement applies to the capital of the Italian company, whose
shares are listed on the stock exchange. The law gives the Bank of Italy and
Consob authorized to establish additional threshold amount of the share capital
requiring disclosure, the adoption of the order and timing of the disclosure
and monitoring of the shareholders of the law.
LIST OF LITERATURE
1. Credito Ristrutturazione delle
organizzazioni di paesi stranieri. - UN. : finanza e statistica, 2000. - 416
Con.
2. Diritto Commerciale i paesi
stranieri. UN libro di
testo. - , 2005. - 504.
3. Diritto costituzionale di
paesi stranieri. - UN, 2006. - 208.
. Economic Survey of Europe
1991-1992, UN, 1992.
. Economic Survey of Europe
1991-1992, UN, 1992.
. Main Economic Indicators,
Smith Barncy Research International, February 11, 1993.
. I paesi stranieri. - M. :
letteratura politica pubblica casa editrice, nel 1957. - 992.
. Main Economic Indicators, Smith
Barncy Research International, February 11, 1993.
9. Бессарабова // Сборник
материалов студенческой учебно-теоретической конференции. - 2010 от 20 ноября
2010. - С.19-29. (0,31 п.л.)
. Бессарабова В.Е. Влияние
фондового рынка на развитие современной российской экономики. / В.Е.
Бессарабова // Человеческий капитал. - 2011. №12(36). - С.42-44. (0,22 п.л.)
. Бессарабова В.Е. Особенности
развития банковской системы РФ/ В.Е.
. Бессарабова В.Е. Проблемы
динамики и тенденций развития рынка ценных бумаг в отечественной и зарубежной
экономике (теоретико-методологический анализ). / В.Е. Бессарабова //
Аспирантский сборник. - 2011. №4(45). - С.135-143. (0,38 п.л.)
. Бессарабова В.Е. Проблемы
российского фондового рынка в условиях развития интернет-технологий. / В.Е.
Бессарабова // Социальная политика и социология. - 2011. №7. - С.418-424. (0,3
п.л.)
. Бессарабова В.Е. Проблемы
российского фондового рынка в условиях социально-ориентированной экономики /
В.Е. Бессарабова// Ученые записки. - 2012. №11. - С.48-54. (0,28 п.л.)
. Бессарабова В.Е. Проблемы
российского фондового рынка в условиях социально-ориентированной экономики /
В.Е. Бессарабова // Сборник научных трудов преподавателей и аспирантов кафедры
политической экономии и международных отношений РГСУ. - 2011. - С.276-280. (0,2
п.л.)
. Будущее России: инерционное
развитие или инновационный прорыв? / В. В. Ивантер, Б. Н. Кузык - М.: Институт
экономических стратегий, 2005. -С.38-42
17. Кох И.А. Возможности и ограничения современной
портфельной теории // Вестник Казанского государственного
финансово-экономического института. - 2006. - №2. - 0,5 п.л.
18. Кох И.А. Выбор инвестиционных характеристик ценных
бумаг // В кн.: Социально-экономические проблемы становления и развития
рыночной экономики: Тез. докл. итоговой науч.-практ. конференции. - Казань:
Изд-во КФЭИ, 2006. - 0,1 п.л.
. Кох И.А. Альтернативные показатели инвестиционной
привлекательности облигаций // В кн.: Социально-экономические проблемы
становления и развития рыночной экономики: Тез. докл. итоговой науч.-практ.
конференции. -Казань: Изд-во КФЭИ, 2003. - 0,1 п.л.
20. Кох И.А. Аналитические модели
рынка ценных бумаг. Учебное пособие -Казань: Издательство КФЭИ, 2001. - 5,75
п.л.
21. Кох И.А. Использование коэффициентов рыночной модели для
оценки инвестиционных характеристик акций и портфелей акций // Вестник
Казанского государственного финансово-экономического института. - 2005. - №2. -
0,5 п.л.
22. Кох И.А. Историческая оценка рыночного риска для акций
// В кн.: Моделирование и анализ безопасности и риска в сложных системах: Труды
Международной научной школы МА БР - 2008. - СПб.: РИЦ ГУАП, 2008. - 0,75 п.л.
. Кох И.А. К вопросу о сущности портфельного
инвестирования // В кн.: Социально-экономические проблемы становления и
развития рыночной экономики: Тез. докл. итоговой науч.-практ. конференции. -
Казань: Изд-во КФЭИ, 2008. - 0,2 п.л.
. Кох И.А. Количественные методы в менеджменте.
Учебное пособие для слушателей программы МВА. - Казань: Офс. тип. Казанского
государственного финансово-экономического института, 2008. - 7,0 п.л.
. Кох И.А. Количественные методы в экономике. Учебное
пособие для слушателей программы МВА. - Казань: Офс. тип. Казанского
государственного финансово-экономического института, 2005. - 5,0 п.л.
. Кох И.А. О перспективах процентной политики на рынке
государственных ценных бумаг // В кн.: Социально-экономические проблемы
становления и развития рыночной экономики: Тез. докл. итоговой науч.-практ.
конференции. -Казань: Изд-во КФЭИ, 1998. - 0,1 п.л.
. Кох И.А. О перспективах развития российского рынка
корпоративных ценных бумаг // В кн.: Социально-экономические проблемы
становления и развития рыночной экономики: Тез. докл. итоговой науч.-практ.
конференции. -Казань: Изд-во КФЭИ, 2000. - 0,1 п.л.
. Кох И.А. О численных характеристиках рыночного риска
акций // В кн.: Социально-экономические проблемы становления и развития
рыночной экономики: Тез. докл. итоговой науч.-практ. конференции. - Казань:
Изд-во КФЭИ, 2005. - 0,1 п.л.
. Кох И.А. Особенности формирования краткосрочного
спекулятивного портфеля ценных бумаг // Российское предпринимательство. - 2009.
-№ 8. - 0,3 п.л. 23. Кох И.А. Элементы современной портфельной теории //
Экономические науки. - 2009. - №8. - 0,5 п.л.
. Кох И.А. Оценка ликвидности ценных бумаг и портфелей
// Рынок ценных бумаг. - 2004. - №4. - 0,4 п.л.
. Кох И.А. Оценка ожидаемой доходности и измерение
рыночного риска для долговых обязательств // В кн.: Моделирование и анализ
безопасности и риска в сложных системах: Труды Международной научной школы МА
БР - 2009. - СПб.: РИЦ ГУАП, 2009. - 0,75 п.л.
. Кох И.А. Оценка эффективности управления портфелем
при различных подходах к портфельному инвестированию // Финансы и кредит. -
2009. - №39. - 0,7 п.л.
. Кох И.А. Перспективы использования процентных свопов
// В кн.: Социально-экономические проблемы становления и развития рыночной
экономики: Тез. докл. итоговой науч.-практ. конференции. - Казань: Изд-во КФЭИ,
2001. - 0,1 п.л.
. Кох И.А. Портфельное и проектное инвестирование как
методы осуществления инвестиционной деятельности // Финансы и кредит. - 2008. -
№24. - 0,8 п.л.
35. Кох И.А. Портфельное
инвестирование: методологические подходы. Монография. - Казань: Издательство
КГУ, 2009. - 16,5 п.л.
36. Кох И.А. Практические подходы к формированию портфеля
ценных бумаг // Финансы и кредит. - 2008. - №41. - 0,7 п.л.
37. Кох И.А. Принципы оценки ликвидности ценных бумаг // В
кн.: Социально-экономические проблемы становления и развития рыночной
экономики: Тез. докл. итоговой науч.-практ. конференции. - Казань: Изд-во КФЭИ,
2002. - 0,1 п.л.
. Кох И.А. Принципы портфельного инвестирования на
рынке ценных бумаг // Вестник Саратовского государственного
социально-экономического университета. - 2008. - №4. - 0,8 п.л.
. Кох И.А. Проблема эффективности фондового рынка в
инвестиционном анализе // В кн.: Проблемы и перспективы развития инвестиционной
деятельности в РФ: Тез. Докл. всероссийской науч.-практ. конференции. - Казань:
Изд-во КГФЭИ, 2007. - 0,35 п.л.
. Кох И.А. Проблемы портфельного инвестирования на
современных финансовых рынках // В кн.: Социально-экономическое развитие
России: проблемы, поиски, решения: Материалы докл. науч.-практ. конференции. -
Саратов: Изд-во СГСЭУ, 2009. - 0,45 п.л.
. Кох И.А. Роль институтов накопительного пенсионного
обеспечения в повышении инвестиционного потенциала финансового рынка // В кн.:
Управление стоимостью бизнеса: Материалы докл. Всероссийской науч.-практ.
конференции. - Казань: Изд-во КГФЭИ, 2009. - 0,3 п.л.
. Кох И.А. Современные возможности диверсификации на
рынке акций // Рынок ценных бумаг. - 2006. - №7. - 0,55 п.л.
. Кох И.А. Спекулятивное портфельное инвестирование на
краткосрочных горизонтах // Экономические науки. - 2009. - №5. - 0,5 п.л.
. Кох И.А. Технический анализ как инструмент принятия
портфельных решений // Экономические науки. - 2009. - №6. - 0,5 п.л.
. Кох И.А. Формализация алгоритма выбора оптимального
портфеля ценных бумаг // В кн.: Современный финансовый рынок Российской
Федерации: Сборник докладов международной науч.-практ. конференции. - Пермь:
Изд-во Пермского государственного университета, 2009. - 0,4 п.л.
. Кох И.А. Характеристика доходности и риска долговых
ценных бумаг на основе кривой доходности // Экономические науки. - 2008. - №2.
- 0,5 п.л.
. Кох И.А. Численные характеристики ликвидности ценных
бумаг // В кн.: Сборник научных трудов аспирантов и докторантов КГФЭИ. -
Казань: Изд-во КГФЭИ, 2002. - 0,65 п.л.
. Кох И.А. Экономическая сущность портфельного
инвестирования // Вестник Казанского государственного финансово-экономического
института. - 2008. - №3. - 0,4 п.л.
. Рассчитано по: Федеральная служба государственной
статистики. Россия и страны - члены Европейского союза - 2011 г. Таб. 12.14. URL:
#"663975.files/image008.gif">
Fig 1. Fig 2.
Fig 3. Fig 4.
Fig 5. Fig 6.
Fig 7 Fig 8.
Fig 9. Fig 10.
Fig 11. Fig 12.
Fig13. Fig 14.
Fig 15. Fig
16.
Fig 17. Fig
18.

Fig 19. Fig
20.
21.
APPENDIX
2
Рис.1
Рис. 2
Рис. 3
Рис. 4
Рис. 5
Рис. 6
Рис. 7
Рис. 8
Рис. 9
Рис. 10
Рис. 11