Разбор теорем Джексона и вычисление обобщенных модулей непрерывности и гладкости

  • Вид работы:
    Дипломная (ВКР)
  • Предмет:
    Математика
  • Язык:
    Русский
    ,
    Формат файла:
    MS Word
    3,21 Мб
  • Опубликовано:
    2013-06-11
Вы можете узнать стоимость помощи в написании студенческой работы.
Помощь в написании работы, которую точно примут!

Разбор теорем Джексона и вычисление обобщенных модулей непрерывности и гладкости

Реферат

Объект исследования: обобщенные модули гладкости, теоремы Джексона.

Методы исследования: анализ литературы.

Цель дипломной работы: разбор теорем Джексона и вычисление обобщенных модулей непрерывности и гладкости.

Область применения: научные исследования и проведение спецкурсов.

Выводы: В ходе выполнения дипломной работы были разобраны теоремы Джексона и вычислены обобщенный модуль непрерывности для и обобщенный модуль гладкости 2-го порядка для .

Введение

Одна из основных задач теории приближений состоит в нахождении связей между структурными свойствами функции (дифференцируемостью, условием Липшица и т. п.) и порядком стремления к нулю последовательности ее наилучших приближений тригонометрическими или алгебраическими полиномами.

Первые результаты в этом направлении появились в начале века. В этих работах для непрерывных -периодических функций были доказаны прямая и обратная теоремы теории приближений для модулей непрерывности степенного типа. А именно было, в частности, показано, что эквивалентны условия

 и

где  означает, что функция  принадлежит классу Липшица порядка , если для любого  , а наилучшее приближение функциимножество непрерывных-периодических функций) при помощи тригонометрических полиномов порядка не выше, чем  в метрике  т.е.

 

где Т - множество тригонометрических полиномов порядка не выше, чем  Норма в пространстве  равна

 

В дальнейшем для периодических функций прямая и обратная теоремы теории приближений были доказаны в равномерной метрике для общих модулей гладкости. А именно, была показана справедливость следующих неравенств:

 

где -й модуль гладкости функции

 

и положительные постоянные  и  не зависят от и .

В начале века была также обнаружена существенная разница между периодическим и непериодическим случаями. Так, было показано, что условие принадлежности непериодической функции классу Липшица порядка  на отрезке [-1,1] не является структурной характеристикой классов функций с порядком  стремления к нулю последовательностиее наилучших приближений алгебраическими многочленами степени не выше, чем .

В 1946 году было показано, что прямая теорема теории приближений для непериодических непрерывных функций допускает усиление. В частности, было показано, что для непериодических функций, удовлетворяющих условию Липшица порядка 1 на отрезке [-1,1] можно построить такие алгебраические многочлены  степени не выше, чем  для которых имеют место неравенства

 

где некоторая постоянная, не зависящая от  и

В дальнейшем этот результат был уточнен и обобщен и была доказана его обратимость. В частности, было показано, что условие принадлежности функции  классу Липшица порядка  на отрезке [-1,1] равносильно следующему условию: существуют алгебраические многочлены  степени не выше, чем , такие, что

 

где константа  не зависит от и

Таким образом, для непрерывных непериодических функций также были получены прямая и обратная теоремы теории приближений. Однако, в отличие от периодического случая они доказаны не для наилучшего, а для поточечного приближения.

В дальнейшем было показано, что прямые и обратные теоремы теории приближений справедливы в случае, когда обычный модуль гладкости заменен некоторым обобщенным модулем гладкости.

Такие обобщенные модули гладкости могут определяться различными способами. Например, DitzianZ. и TotikV. определяли -й обобщенный модуль гладкости исходя из обычной -й разности, но подставляли в нее вместо  функцию .

Другой подход связан со следующей аналогией с -периодическим случаем.

Если рассмотреть ряд Фурье по тригонометрической системе -периодической, интегрируемой на [0,] функции, то в каждой точке  такой функции  можно сопоставить ее ряд Фурье  Тогда в точке  функции “функции сдвига” сопоставляется ее ряд Фурье  Теперь, если мы будем рассматривать непериодические функции, заданные на отрезке [-1,1] и интегрируемые на нем с весом , то каждой такой функции можно сопоставить ряд Фурье-Якоби по системе  полиномов Якоби,ортогональных друг другу на отрезке [-1,1] с весом . Он будет иметь вид  И естественно взять в качестве функции-“сдвига” функцию, ряд Фурье-Якоби которой имеет вид

 

В некоторых случаях такие функции были явно выписаны. Именно эти случаи и рассматриваются в дипломной работе. В дальнейшем будем называть такие функции операторами обобщенного сдвига.

Целями дипломной работы являются:

)        разбор прямых и обратных теорем для некоторых обобщенных модулей гладкости;

)        вычисление обобщенных модулей для некоторых функций.

В первой главе введены основные определения, вспомогательные понятия и леммы. Во второй главе дипломной работы подробно разобраны доказательства прямых и обратных теорем для некоторых обобщенных модулей гладкости с использованием вспомогательных лемм. Практической частью данной работы является вычисление обобщенного модуля непрерывности и модуля гладкости 2-го порядка для функции .

1. Вспомогательные леммы

Будем говорить, что  ,, если для  функция  измерима на отрезке  и , а для функция  непрерывна на отрезке  и .

Будем также говорить, что , если , причем .

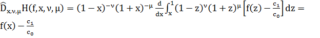
Дляи данных чисел  и  введем оператор обобщенного сдвига  по правилу:

)        для  ,

 +

2)      для  ,


3)      для  ,

 

4)      для  ,

 ,

где 

 .

. Пусть заданы числа ,  и  такие, что  , . Пусть числа  выбраны по правилу:

)        если  , то  при

)        если  , то  и  при ,  при  , при

)        если  , то  и  при ,  при , при

4)      если  , то  и  при  и  при  ,  и  при  .

 ,

где положительная постоянная  не зависит от  и  .

Лемма 2. Пусть  и  . Тогда

 

Доказательство. Пусть

1)      

 

Сделаем замену переменной . Тогда

 

2)       ,

 

Сделаем замену переменных

 ,

тогда

 

 

 

 

 ,

 

   

 

  

 

 

 

3)       ,

 

Сделаем замену переменной

 

Тогда

 

где

Сделаем еще замену переменных

 

 

Тогда

 ,

 

Далее замена переменной

 

Тогда

 

4)       ,

 

 

 

Сделав замену переменных

 

 

 

Получим

 

 

Лемма 2 доказана.

Лемма 3. Если функцияимеет абсолютно непрерывную  ( производную на каждом отрезке  , тогда при фиксированном  функция  также имеет абсолютно непрерывную  производную на каждом отрезке

Доказательство. Пусть  . Выберем произвольный отрезок . На нем имеем:

 1)


Функции  и  абсолютно непрерывны на  и так как  а  то в силу строгой монотонности  на  и , строгой монотонности  на  и  и строгой монотонности ,  строго монотонна на  и , а  строго монотонна на  и . В силу теоремы : пусть абсолютно непрерывная функция, заданная на отрезке  строго возрастает. Если , абсолютно непрерывна на , то функция , абсолютно непрерывна на  (если  строго убывает доказательство не меняется) функция

 

абсолютно непрерывна на каждом из отрезков  и , а

 

абсолютно непрерывна на  и . А поскольку  и непрерывны на . Поскольку сумма, разность, произведение и частное, если знаменатель не обращается в нуль, абсолютно непрерывных функций абсолютно непрерывны, то  абсолютно непрерывна на .

2)

 

Пусть

 

 

Как и в случае 1) доказывается, что  абсолютно непрерывна на . Так как по теореме Лагранжа о среднем

 ,

то  при любых . Тогда по теореме Лебега о предельном переходе под знаком интеграла при фиксированном  на отрезке  существует конечная производная

 

В силу абсолютной непрерывности  на  также абсолютно непрерывна на . 3) и 4) разбираются также как и 2).

б) 1)

 

 

 

 

 

 

 

 

 

 

 

 

В силу абсолютной непрерывности  и  на каждом отрезке рассуждая как и в случае а) 1) получаем, что  абсолютно непрерывна на

2) ,

 

 

 

Таким образом,  также абсолютно непрерывна на  и воспользовавшись как и в случае а) 2) теоремой Лебега о предельном переходе под знаком интеграла получим, что  абсолютно непрерывна на  и в этом случае.

)        и 4) разбираются также как и 2). Для произвольного доказывается индукцией по .

Черезобозначим множество таких функций , что  ,  имеет абсолютно непрерывную  производную на каждом отрезке  и где

Пусть

Тогда . Действительно,

 

Сделав замену переменной  имеем

 

и

 

 

где .

Лемма 4. Пусть  Тогда

)        для почти всех  и почти всех  справедливы равенства:

а)

б)

2) для почти всех  и для любых

а) ,

 

б)

где

3)      если  , то для почти всех  и для любых

 

Доказательство. 1) б) Пусть вначале функциябесконечно дифференцируема на  и равна нулю вне некоторого отрезка . И пусть

 

 ,

где  полиномы, ортогональные на отрезке  с весом  и нормированные условием . По лемме 2 можно написать

 

 

Поскольку

 , то

 

 

 

 

 

И так как  то

 

 

 

 

  

 


Или делая замену переменной , имеем

 

 

Т.е. для любого

 

модуль гладкость приближение полином

В силу теоремы: пусть  конечный интервал и  почти всюду в . Тогда система  полиномов, ортогональных на  с весом , полна относительно , т.е. из равенств  и интегрируемости  вытекает равенство  почти всюду.

 

для всех  и для почти всех  . Таким образом равенство б) доказано для функций, бесконечно дифференцируемых на  и равных нулю вне некоторого .

Пусть теперь функцияудовлетворяет условию леммы, т.е. . По лемме 3  абсолютно непрерывна на каждом отрезке . Пусть функция  бесконечно дифференцируема и равна нулю вне некоторого отрезка .

Тогда

 

 

Или

  

Применяя эти соотношения при интегрировании по частям и Лемму 2, имеем:

 

 

  

 

  

 

   

 

Из 1) и 2) имеем:

  

для всех . Или

 

для всех . Так как бесконечно дифференцируемая функция  и отрезок выбраны произвольно, то

 

для почти всех  и всех .. Таким образом равенство б) доказано.

а) Так как , что непосредственно видно из определения оператора обобщенного сдвига, то с учетом уже доказанного равенства б) имеем:

для почти всех  и всех  и

для почти всех  и всех . Поэтому  для почти всех  и почти всех ..

Равенство а) доказано.

) а) Из 1) б) следует, что

 

 

для почти всех и

Таким образом  (*)

для почти всех и .

Теперь для доказательства 2) а) применим индукцию по

1)       это равенство (*)

Предположим

 

Тогда фиксируя  и применяя (*) имеем:

 

 (**)

Из предположения следует (замена ), что

 

Поэтому

 

  (***)

Из (**) и (***) следует равенство 2) а).

)б) Поскольку  в равенстве 2) а) произвольные числа, то полагая  получаем равенство 2) б).

) Для любого  имеем по Лемме 2

  

но

 

 

Отсюда следует, что . Поэтому в силу Теоремы

 

для почти всех  и всех ,. Лемма 4 доказана.

Лемма 5. Пусть заданы числа ,  и  такие, что  , . Пусть числа  выбраны по правилу: при ,  при приТогда если  то .

Доказательство:

 

1)       если

2)      

если

3)       если

Лемма доказана.

Лемма 6. Пусть  . Тогда для  выполнены равенства:

1)      

2)      

Доказательство: Пусть сначала  бесконечно дифференцируема и равна нулю вне некоторого конечного отрезка .Тогда равенства 1) и 2) следуют из Леммы 4. 1).

В случае, когда  произвольная функция из  они доказываются также как и равенство 2) Леммы 4. 1).Лемма 6 доказана.

Для  и данных чисел  введем  -ю обобщенную разность

 

 

и  -й обобщенный модуль гладкости

 

Лемма 7. Пусть заданы числа ,  и  такие, что  , . Пусть числа  выбраны по правилу:

)        если  , то  при

)        если  , то  и  при ,  при  , при

)        если  , то  и  при ,  при , при

8)      если  , то  и  при  и  при  ,  и  при  .

Тогда для справедливо неравенство:

 

где положительная постоянная  не зависит оти .

Доказательство: Докажем сначала неравенство

 (3),

где положительная постоянная  не зависит оти .

Применим индукцию по

1)       По Лемме 5. 1)

3)      


Если  и  или  и , то применив обобщенное неравенство Минковского и Лемму 1получим:

  

 

  т.е.


при указанных и . Если  и  , то по Лемме 5. 2)

1)      

Применив опять обобщенное неравенство Минковского и Лемму 1 получим:

 

 

 

 

 

И поскольку


то и для

 

Таким образом для  и  неравенство (3) доказано. Поскольку  то оно справедливо и для.

Если , то , где . Поскольку тогда , то

 

Итак неравенство (3) для  доказано. Предположим, что

 

Тогда как и в 1) (только вместо  взяв ) имеем:

 

Применив Лемму 4. 2) а) и предположение индукции получим:

 

На основании индукции неравенство (3) доказано. Переходя в (3) к точной верхней грани по всем ,  получим неравенство (2). Итак Лемма 7 доказана.

Для  рассмотрим оператор

 

 

Лемма 8.Пусть  и . Тогда

Доказательство:

 

 

 

Из определения  и  следует, что

  и значит

Поэтому

 

 

 

 

 

Таким образом

 

Лемма 8 доказана.

Для  и  рассмотрим оператор

  

где

 

Лемма 9.  и

 (4)

1)       . Ясно, что функция

 

абсолютно непрерывна на каждом отрезке  и поскольку

  то


для почти всех .

2)      Предположим  и

  .

Тогда имеем:

 

 

 

где .

Так как

 

 

и по предположению  имеет  производную, абсолютно непрерывную на каждом , то и  абсолютно непрерывна на любом отрезке . На основании 1) и предположения индукции имеем

 

 

 

Лемма 9 доказана.

Для  рассмотрим оператор

 ,

где

Пусть  и

Лемма 10. Пусть  ,  и числа  выбраны по правилу Леммы 7. Тогда для и  выполнено равенство:

 (5)

Доказательство: Применим индукцию по

1)       . Из равенства (4) Леммы 9 при  следует, что

 

И поскольку  , то для  имеем . Поэтому

 

.

По Лемме 9 имеем, что . Применив Лемму 6, получим

 

2)      Предположим

 

Так же как и при доказательстве равенства (4) при  получаем, что

 (6)

Из Лемм 1, 3 и 9 следует, что  . Поэтому пользуясь предположением индукции, Леммой 4. 2) б) и Леммой 6. 1) имеем:

 

 

 

 

 

 

 

 

 

 

На основании индукции Лемма 10 доказана. Лемма 11. Пусть  ,  ,  выбраны по правилу Леммы 7. Тогда, если  ,

 и

 (7)

Доказательство: То, что  следует из Лемм 10, 9, 1 и 3. Из равенства (5), Леммы 4. 2) б) и равенства (4) следует, что

 

 

Лемма 11 доказана.

2. Теоремы Джексона для к-го обобщенного модуля гладкости

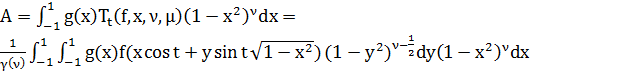
Для  и данных чисел  введем -функционал по формуле:

 

Теорема 1. Пусть заданы числа ,  и  такие, что  , . Пусть числа  выбраны по правилу:

1) если  , то  при

) если  , то  и  при ,  при  , при

) если  , то  и  при ,  при , при

4) если  , то  и  при  и  при  ,  и  при  .

Тогда для  справедливы неравенства:

 

где положительные постоянные  и  не зависят от  и .

Доказательство:

 

для любой функции. По Лемме 1 , где положительная постоянная  не зависит от  и . Если , то в силу Леммы 7

  ,

где положительная постоянная  не зависит от  и .

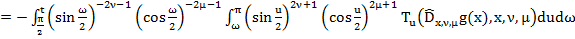
Поэтому . Для доказательства правого неравенства рассмотрим функцию

 

где  .

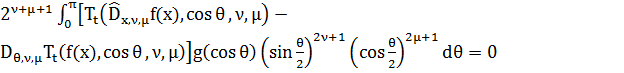
Так как  имеет  абсолютно непрерывную производную на каждом , то применяя Теорему Лебега о предельном переходе под знаком интеграла (так же как и при доказательстве случая 2) Леммы 3), Лемму 4. 1) б), обобщенное неравенство Минковского и Лемму 1 имеем для  и при

 

 

 

 

 

 

 

 

Так как  представляет собой сумму произведений , то

и применяя равенство (7) Леммы 11 имеем

 

Поскольку для

 

 

где положительные постоянныеине зависят от , то

 

 

 

где

с другой стороны

 

 

Так как

 

то учитывая, что

  

 

имеем:

 

 

 

 

Из Леммы 4. 3) получаем

   

 

Поэтому из равенства (8) и неравенства (****) следует, что

 

 

 

 

 

 

Таким образом для

 

Пусть

 

Тогда , а для  имеем:

 

Итак для любого

 

Теорема 1 доказана.

Пусть заданы натуральные числа  и  Известно, что функция  есть четный тригонометрический полином порядка  Функция  , где

 

обладает для  и  свойствами:

1)       ;

2)       ,

где положительная постоянная не зависит от

Лемма 12. Если  , то

 

есть алгебраический многочлен степени не выше, чем .

Обозначим через  наилучшее приближение функции  при помощи алгебраических многочленовстепени не выше, чем , в метрике , то есть

 

Лемма 13. Пусть  ,  и .

Тогда

 

Доказательство: Пусть. Положим

 

Для фиксированного  подберем  так, что . По Лемме 12  есть алгебраический многочлен степени не выше, чем . Используя обобщенное неравенство Минковского, неравенство (3) при  и свойство 2)  имеем:

 

 

 

 

Пусть

 

Поскольку любой многочлен можно представить в виде линейной комбинации многочленов Якоби, то

 

Положим  

 

Тогда из (9) следует

 

 

поскольку

 

Таким образом


Лемма 13 доказана.

Следствие. Пусть  и . Тогда

 

Доказательство: Применяя неравенство (10)  раз получаем

 

 

Следствие доказано.

Лемма 14. Пусть  алгебраический полином степени не выше, чем  , ,  . Тогда справедливы неравенства:

 

 

где положительная постоянная  не зависит от  .

Теорема 2. Пусть даны числа ,  и  такие, что  , . Пусть числа  выбраны по правилу Теоремы 1Тогда для справедливы неравенства:

 

где положительные постоянные  и  не зависят от  и

Доказательство: Пусть . Для любой функции можем записать

 

По следствию

 

Переходя к точной нижней грани по всем, получим

 

и по теореме 1

Таким образом первое неравенство теоремы доказано. Докажем второе.

Пусть  алгебраический многочлен наилучшего приближения для  степени не выше, чем . Пусть . Из теоремы 1 следует, что

 

 

Так как  то используя равенство типа Маркова

 

где  многочлен степени , которое сразу следует из Леммы 14, получаем:

 

 

 

Отсюда с учетом (11) имеем

 

 

 

Теорема 2 доказана.

3. Вычисление модулей гладкости для некоторых функций

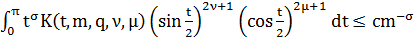
1.Найти модуль непрерывности для функции

 

По определению

 

 

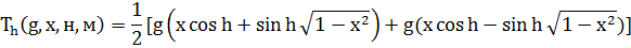
Пусть . Тогда обобщенный оператор обобщенного сдвига  имеет вид:

 

Т.к. , то окончательно получаем:

 

 

 

Сделаем замену переменных . Тогда

 

 

Т.к. , то  по отрезку  будет совпадать с  по отрезку  от указанной функции. И исходя из графиков функций  и  получаем:

 

 

 

2.Найти модуль гладкости 2-го порядка для функции

 

 

Найдем

  

 

 

 

 

 

 

 

 

 

 

Поскольку  и  то  по  и  и достаточно найти для  и . Тогда

 +

 

 

 

 

 

 

 

 

 

Заключение

Таким образом, в дипломной работе разобраны прямые и обратные теоремы теории приближенияи посчитаны обобщенный модуль непрерывности и обобщенный модуль гладкости 2-го порядка для функции . К сожалению, удалось найти модули гладкости для некоторых значений

Список использованных источников

1 Казимиров Г.Н. О теоремах Джексона для к-го обобщенного модуля гладкости. Депонированная работа, ВИНИТИ РАН, Москва 1994, № 3054-В94, с. 1-40

2 Казимиров Г.Н. Приближение алгебраическими многочленами функций с данным к-м обобщенным модулем гладкости. Диссертация на соисканиеученой степени кандидата физико-математических наук, Москва, 1995, с. 3-17

Стечкин С. Б. О порядке наилучших приближений непрерывных функций. Изв. АН СССР, сер. матем., Т 19, 1951, с. 219- 242

4 Ditzian Z. and Totik V., Moduli, Springer (New York-Berlin, 1987)

5 Потапов М.К. О приближении алгебраическими многочленами в интегральной метрике с весом Якоби. Вестник МГУ, сер. матем.,-мех., 1983, № 4, с. 43-52

Потапов М.К. О стуктурных характеристикахклассов функций с данным порядком наилучшего приближения. Труды МИАН СССР, 1975, Т 134, с. 260-277

Фихтенгольц Г.М.Курс дифференциального и интегрального исчисления. М., 1969

Колмогоров А.Н., Фомин С.В. Элементы теории функций и функционального анализа. М, 1989

Натансон И.П. Теория функций вещественной переменной, 1974, с. 228

Натансон И.П. Конструктивная теория функций

11 Качмаж С., Штейнгауз Г. Теория ортогональных рядов, М, 1958, с. 323

12 Потапов М.К.О приближении многочленами Якоби. Вестник МГУ, матем. Мех., 1977, № 5, с. 70-82

Халилова Б.А. О некоторых оценках для полиномов. -Из. АН Аз. СССР, сер-физ-мат. Наук, 1974, № 2, с. 46-55

Похожие работы на - Разбор теорем Джексона и вычисление обобщенных модулей непрерывности и гладкости

 

Не нашли материал для своей работы?
Поможем написать уникальную работу
Без плагиата!
Без нейросетей!