Поворот та його застосування до розв'язання геометричних задач
Зміст
Вступ
Розділ1.
1.1 Поняття поворотної симетрії
1.2 Означення, задання та властивості повороту площини
1.3 Група всіх поворотів площини
1.4 Вираження повороту площини в координатах
1.5Поворотна симетрія в природі
Розділ 2.
2.1 Задачі на обчислення
2.2 Задачі на доведення
2.3 Задачі на побудову
Висновки
Використана література
Вступ
Із застосуванням повороту (або обертання) людство
стикається постійно, особливо часто це явище можна спостерігати у природі,
наприклад, рух сонця і планет, обертання колеса навколо осі, рух молекул та
інше. Так як поворот - це ізометричний рух при якому хоча б одна точка
залишається нерухомою, то в математиці поворот застосовується при розв’язанні
деяких задач на обчислення та побудову. При визначенні способу побудови шуканої
фігури інколи доводиться суміщати рівні або нерівні кути і відрізки, зближати
різні частини фігури з тим, щоб утворити нову фігуру, яка б містила по
можливості більше число даних елементів. Провести таке суміщення й зближення з
допомогою паралельного перенесення не завжди можливо. І саме в таких ситуаціях
виникає необхідність застосувати інший спосіб переміщення фігури. Нерідко можна
досягнути мети обертанням фігури або її частини навколо точки або осі. Після
обертання шукана фігура окремими частинами накладатися сама на себе. утворюючи
таку нову фігуру, що її побудова за даними задачі вже відома.
Поворотом фігури навколо прямої а на кут 
називається таке перетворення, при якому у кожній площині,
перпендикулярній прямій а і перетинаючій фігурі, відбувається поворот навколо
точки перетину цієї площини з прямою а на кут φ в одному й тому ж напрямі усіх
площин. Пряма а називається віссю повороту, кут φ - кутом повороту. Поворот
задається віссю, кутом та напрямом повороту у будь-якій площині,
перпендикулярній вісі.
Слово "обертання", як і слово "рух", у
математиці має два значення. По-перше, рухом називається безперервний процес
переміщення, а по-друге, причому набагато частіше, в математиці рухом називають
ізометричне перетворення, цікавлячись лише початковим і кінцевим положеннями.
Відповідно слово "обертання" також може ставитися як до безперервного
процесу, так і до ізометричному перетворенню. В останньому випадку найчастіше
вживається термін "поворот".
Мета дослідження: систематизувати та узагальнити теоретичні
положення про поворот та показати його практичне застосування до розв’язання
геометричних задач.
Задачі дослідження:
. проаналізувати літературу;
. розкрити основні поняття поворотної симетрії;
. сформулювати означення та властивості повороту площини;
. вивести формули повороту площини в координатах;
. розглянути поворотну симетрію в природі;
. розв’язати деякі задачі з геометрії за допомогою повороту
(на обчислення, на побудову, на доведення).
Розділ
1
1.1
Поняття поворотної симетрії
Мал. 1.1
Серед фігур, зображених на малюнку, є такі, що не
симетричні ні відносно точки, ні відносно прямої. Проте вони складаються із
закономірно розташованих рівних складових частин, які можуть суміщатися одна з
одною при повороті на деякий кут навколо певної точки О, розташованої в
площині фігури. Точку О називають центром повороту.
На малюнку 1.1а подано фігуру, яка перетворюється в себе
при поворотах на кути, кратні куту 
; фігура подана на малюнку 1.1б - при поворотах на кути 
; фігури на малюнках 1.1в і 1.1г - при поворотах на кути кратні 
; а фігура на малюнку 1.1д перетворюється сама в себе при повороті
на кути, кратні куту 
. При повороті на будь-який кут навколо центра О кожне коло
відображається само на себе (є інваріантною фігурою при повороті).
Якщо при повороті фігура F відображається сама на себе, то
можна сказати, що ця фігура має поворотну симетрію.
поворот поворотна симетрія геометрія
Поворот - переміщення 1-го роду: при повороті не
міняється орієнтація конгруентних фігур. Якщо ж орієнтація міняється на
протилежну, то поворот називається поворотом 2-го роду.
Фігура F має поворотну симетрію порядку n відносно центра О,
якщо при повороті навколо нього на кут 
ця фігура відображається сама на себе. Точка О називається
центром симетрії n-го порядку фігури F. На малюнку 1.1 подано
приклади поворотної симетрії 3-го порядку (1.1а), 5-го порядку (1.1б), 6-го
порядку (1.1 в, г), 9-го порядку (1. Ід).
З малюнку 1.1 видно, що симетрія об'єкта може бути
поєднанням поворотної симетрії і симетрій відносно прямої (1.1 г, д) або
відносно точки (1.1 в, г). Проте є об'єкти, які мають тільки поворотну симетрію
(1.1 а, б).
Встановимо зв'язок між осьовою симетрією і поворотною
симетрією. Якщо фігура F має дві осі симетрії а і b, які перетинаються під
кутом α1=

, то при повороті f = Sb
Sa (кут повороту 
= α1=
, центр повороту О - точка перетину прямих a і b) ця фігура
відображається сама на себе. Отже, точка О перетину осей а і b є центром
симетрії n-го порядку. Наприклад, правильний шестикутник має дві осі симетрії,
які перетикаються під кутом 
, і поворотну симетрію 6-го порядку (1.1г).
Мал. 1.2
Якщо кут повороту дорівнює розгорнутому куту, тобто маємо
поворотну симетрію другого порядку, то такий поворот є центральною симетрією:
точка М відображається на точку M1 так, що точка О
є серединою відрізка ММ1 (1.2.)
1.2
Означення, задання та властивості повороту площини
Поворотом з центром О на кут 
(
) у заданому напрямі називається відображення площини на себе, при
якому точка О відображається на себе, а будь-яка інша точка А -
на точку А1 так, що:
. відстані ৷ОА৷ і ৷ОА1৷ рівні;
. кут АОА1 має величину 
і відкладений від променя ОА у заданому напрямі.
Точка О при цьому називається центром повороту,
а кут 
- кутом повороту.
Поворотом на 0
вважають тотожне відображення площини.
Поворот площини навколо точки О на кут 
позначають символом 
(від латинського слова Rotation). Якщо точка 
є образом точки А у повороті навколо точки О на кут

, то це записують так: 
=
(А) або 
: А
. Із запису 

=
(АВ) маємо. Що пряма 

є образом прямої АВ при повороті 
.
Мал. 1.3
На малюнку 1.3 зображено такі відображення:
1) точок: 
=
(A), 
=
(B), 
= 
(C);
) відрізків: 
=
(AB), 
=
(AC), 
=
(BC);
) кутів: 
=
(
A), 
=
(
В), 
=
(
С);
) трикутника: r
=
(rABC).
Із наведеного означення випливає, що поворот навколо точки
повністю визначається заданням центра повороту і орієнтованого кута повороту.
Крім того, поворот може бути заданий центром повороту і парою відповідних точок
або двома парами відповідних точок (парою відповідних відрізків).
Кут повороту є напрямленою величиною, тому числове значення
кута повороту може бути як додатним, так і від'ємним. Додатним вважають напрям
повороту проти руху стрілки годинника. Кут повороту
може мати значення в межах - 
В науковій літературі, крім терміну "поворот"
навколо точки, у тому самому розумінні вживають термін "обертання".
Розглядатимемо поворот як результат обертання, що узгоджується з підходом,
викладеним у сучасних шкільних посібниках з геометрії. Відомо, що кожна точка
площини повертається в попереднє положення при обертанні на 
, на 
і т.д., на 
де n - будь-яке ціле число. Тому поворот 
дістанемо не лише обертанням на кут 
, а й на кут а +
, де п - будь-яке ціле число. (наприклад, 
=
=

).
Обертання навколо осей x, y і z називається основним
обертанням. Обертання навколо довільної осі можна розглядати послідовно, за
складовими: спочатку обертання навколо осі x, потім як обертання навколо осі y,
і потім обертання навколо осі z. Інакше кажучи, для просторового обертання
можна зробити декомпозицію на основні складові.
Кожна геометрична фігура - це певна множина точок. Для
побудови образу фігури в даному повороті 
треба вміти будувати образи точок. Якщо задано поворот 
, то для побудови образу 
довільної точки А площини треба:
. сполучити А з центром повороту О;
. побудувати кут АОА1, рівний куту 
і однаково з ним орієнтований;
. на промені ОА1 відкласти відрізок ОА1=ОА.
Поворот площини навколо точки можна визначити через
композицію двох осьових симетрій.
Теорема 1. Будь-який поворот площини навколо точки
можна подати у вигляді композиції двох осьових симетрій площини.
Доведення. Нехай дано поворот 
який відображає довільно взяту точку М на точку 
: 
= 
М).
Мал. 1.4
Проведемо через центр О повороту довільний промінь l1
(мал.1.4) і знайдемо образ М1 точки М у симетрії
відносно променя l1: М1= 
(M).
Далі побудуємо вісь симетрії l2 точок М1
і 
- це буде серединний перпендикуляр відрізка М1
. Вісь l2 пройде через точку О (трикутник
М1
- рівнобедрений, ОМ1 = 
). Осьова симетрія поставить у відповідність точці М1 точку

: 
= 
(M1). Отже, точку 
дістаємо з точки М композицією двох осьових симетрій 
. Кут повороту 
у два рази більший кута між осями симетрії l1 і
l2: 
(l1 l2) =
. За властивостями осьової симетрії 
1=
2 і 
3=
4. Звідси 
(l1 l2) = 
2+
3=
.
Має місце і обернене твердження. ¢
Теорема 2. Композиція двох осьових симетрій з
непаралельними осями l1 і l2 є поворотом
навколо точки перетину осей симетрії на кут, рівний подвійному куту між осями
симетрії.
) образом точки при повороті площини є точка.
) на площині існує єдина незмінна точка - центр повороту О,
якщо кут повороту відмінний від 0
.
) незмінними прямими при повороті на кут а - 180
є всі прямі, що проходять через центр повороту.
При повороті відстані зберігаються. Відображення, обернене
до повороту, є поворотом з тим самим центром О і на той самий кут, але в
протилежному напрямі.
У геометрії відображення площини на себе, що зберігають
відстані, відіграють важливу роль і тому дістали спеціальну назву -
переміщення.
Теорема 3. При переміщенні будь-яка фігура
відображається на конгруентну їй фігуру.
Доведення. Внаслідок переміщення будь-яка пара точок А
і В фігури L відображається на таку пару точок А1
і В1 фігури L1 (L1 - образ
фігури L), що ৷А1В1৷=৷АВ৷ (переміщення зберігає відстані).
Це й означає, що L1
L. ¢
Теорема 4. Поворот площини навколо точки є рухом
площини.
Нехай дано, що
= 
(A), 
=
(B) і треба довести, що 
=АВ.
Доведення. Використаємо малюнок

=
(A) 
(ОА=О
, 
АОА1=
),

=
(В) 
(ОВ=О
, 
ВОВ1=
).
Звідси 
АОА1 = 
ВОВ1. Крім того, 
АОВ
= 
АОА1 - 
ВОВ1, 
=
- 
, тому 
. Отже, трикутники 
мають 
, 
і 
, тому r
. Таким чином, поворот площини навколо точки не змінює відстані
між точками, тобто є рухом. ¢
Наслідок 1. Поворотом площини навколо точки пряма
відображається на пряму, промінь - на промінь, відрізок - на відрізок.
Наслідок 2. Відповідні фігури при повороті рівні і
однаково орієнтовані.
Наслідок 3. Упорядкованість точок прямої не
порушується поворотом площини, тобто якщо точка С лежить між точками А
і В, то точка 
лежатиме між точками 
=
(A), 
=
(В).
1.3
Група всіх поворотів площини
Якщо на обертання навколо точки або осі
накладається друге обертання навколо тієї ж точки (або осі), результатом буде
третє сумарне обертання. Реверс (інверсія) обертання також є обертанням. Таким
чином, всі види обертань навколо точки (або осі) утворюють групу.
Теорема 5. Множина всіх поворотів
площини навколо однієї і тієї ж точки площини є групою.
Доведення. Правильність теореми
випливає з того, що в множині всіх поворотів площини зі спільним центром
виконуються всі групові властивості.
Мал. 1.5 Мал. 1.6
. Композиція двох будь-яких поворотів зі спільним центром
на кути 
є теж поворотом з цим самим центром на кут 
. Справді, нехай маємо два повороти 
і 
, в яких А1 = 
(А) і А2 = 
(А1). Якщо 
однаково орієнтовані (мал. 1.5),

=
=
і А2= 
(A).
У випадку, коли 
протилежно орієнтовані (мал. 1.6), аналогічно


= 
, тобто
А2 = 
(A).
. Композиція поворотів площини зі спільним центром повороту
асоціативна. Нехай маємо три повороти зі спільним центром на кути 
тобто 
, 
, 
. Оскільки композиція поворотів зводиться до операції додавання
кутів повороту, а ця операція асоціативна для чисел, то

. Серед поворотів площини існує тотожне перетворення. Роль
тотожного перетворення площини відіграє поворот на кут 
або 
, де k
При 
всі точки площини залишаються незмінними, самі собі відповідають.
. Кожний поворот площини на кут 
має обернене собі перетворення, яке є поворотом на кут - 
.
Якщо поворот 
: 
Композиція 
.
Отже, усі групові властивості мають місце в множині всіх
поворотів площини зі спільним центром, тому множина всіх таких поворотів
утворює групу, причому комутативну, бо 
= 
= 
= 
. ¢
Підгрупами групи поворотів площини зі спільним центром є:
. група перетворень правильного трикутника, утворена
поворотами навколо точки перетину його медіан на кути 
. група перетворень квадрата, утворена поворотами навколо
його центра на кути 
. група перетворень правильного шестикутника, утворена
поворотами навколо його центра на кути 
. група перетворень правильного n-кутника, утворена
поворотами навколо його центра на кути 
Теорема 6. Множина всіх поворотів площини навколо
різних центрів не утворює групи.
Мал.1.7
Доведення. Для того, щоб довести цю теорему досить
показати неправильність хоч однієї з групових властивостей. Отже, покажемо, що
композиція двох поворотів на кути 
1 і 
2 з центрами О1 і О2 не
завжди буде поворотом. Візьмемо відрізок ОА, побудуємо його образ ОА1
при повороті навколо точки О на кут 
(мал. 1.7). Потім виконаємо другий поворот із центром у точці А1
на кут 
2 = - 
1, при цьому образом відрізка ОА1 є відрізок О2А1.
Ми виконали композицію двох поворотів з різними центрами О і А1
на кути 
і 

): ОА
О2А1, тому ОА = О2А1.
Крім того, ОА
О2А1. Звідси маємо: відрізок О2А1
є образом відрізка ОА при паралельному перенесені 
.
Отже, композиція двох поворотів з різними центрами може
бути не поворотом, а паралельним перенесенням. Саме це доводить теорему. ¢
Наслідок. Композиція двох поворотів площини з
різними центрами повороту є або паралельним перенесенням, коли кути повороту
рівні і протилежно орієнтовані, або поворотом площини у всіх інших випадках,
тобто:


1.4
Вираження повороту площини в координатах
Мал. 1.8
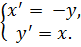
Нехай дано поворот 
. Візьмемо прямокутну декартову систему координат з початком у
точці О таку, щоб координатний базис (

) і кут повороту 
були однаково орієнтовані. Нехай довільна точка М (x; y)
площини поворотом 
відображається в точку 
(
(мал.1.8). Тоді ОМ= О
, 
. Позначимо 
Матимемо:

і 
Звідси
Отже, формули, що виражають координати точки-образу через
координати її прообразу при повороті площини у випадку, коли система координат
і кут повороту однаково орієнтовані, мають вигляд:

(1)
Аналогічно можна переконатися, що коли координатний базис (

) і кут повороту 
протилежно орієнтовані, формули набувають вигляду:

(2)
Знайдені координати формули повороту, як і інших
геометричних перетворень, мають численні застосування. Зокрема, за формулами
(1) і (2) можна довести аналітично всі властивості повороту площини, які були
розглянуті раніше.
За допомогою цих формул можна дістати тригонометричні
формули додавання. Справді, нехай повороти 
і 
задаються відповідно формулами:
Тоді повороту 


відповідатимуть формули:
Врахувавши те що 


= 
, дістанемо тригонометричні формули додавання:
Зауважимо, що за цими формулами можна раціонально знайти
координатні формули повороту. Справді, нехай точка А (x, y) (мал. 1.9)
унаслідок повороту 
переходить у точку 
. Тоді з прямокутних трикутників АОА1 і О
А2
знайдемо:

О

О
Мал. 1.9
О
АО, ОА
ОА
, то:
Теорема 7. Нехай в площині 
задано ортонормований базис 
, 
, і нехай вектор 
отримується із 
поворотом на кут 
; тоді 
має координати (
1.5Поворотна
симетрія в природі
В астрономії обертання є часто спостерігаються
явищем. Зірки, планети та аналогічні тіла обертаються навколо своїх осей.
Швидкість обертання планет сонячної системи було вперше виміряна шляхом
візуального спостереження. Швидкість обертання зірок вимірюється по
допплерівського зміщення або відстеженням активних ділянок на поверхні.
Це обертання має відцентрове прискорення в
системі відліку на Землі, яке злегка компенсує силу гравітації поблизу
екватора. Перший ефект полягає в тому, що на екватор вага об'єкта злегка менше.
А інший ефект полягає в тому, що Земля злегка деформована у форму сплюсненого
біля полюсів сфероида.
Інший наслідок обертання планет складається в
доказі прецесії. Подібно гіроскопа, загальний ефект полягає в легкому
"віхляніє" руху осі планет. В даний час нахил земної осі до
орбітальної площині (площині екліптики) складає 23.45 градуси, але цей кут
повільно змінюється.
Рух Сонця і планет на небесній сфері
Більшість планет нашої сонячної системи,
включаючи Землю, обертаються навколо своєї осі в тому ж напрямку, в якому вони
рухаються по орбіті навколо Сонця. Уран теж обертається майже в тому ж напрямку
по відношенню до своєї орбіти. Венеру можна вважати повільно обертається у
зворотному напрямку (або "зверху вниз"). Карликова планета Плутон
(раніше вважався планетою) теж має аномальне обертання.
Розважальні атракціони
Багато розважальні атракціони використовують
обертання. Колесо огляду має центральну горизонтальну вісь і паралельні їй осі
в кожній кошику, навколо яких обертання, протилежне основного обертанню,
здійснюється під дією гравітації або від механічного приводу. У результаті
кошика весь час зберігають вертикальне положення (не обертаються). При цьому
вектор переміщення кожної корзини описує коло. Карусель забезпечує обертання
навколо вертикальної осі. Багато атракціони забезпечують одночасне обертання
навколо декількох осей.
Для багатьох природних об'єктів характерна
обмеженість порядку поворотної симетрії. Так, наприклад, у кристалах можлива
поворотна симетрія тільки 1, 2, З, 4 або 6-го порядку.
Перед тим, як це встановити, зауважимо, що форма
кристалів зумовлена в основному атомною будовою речовини. Рентгеноструктурний
аналіз показав, що атоми, іони і молекули в кристалах певним чином
упорядковані.
У всіх кристалічних структурах можна виділити
однакові атоми, розміщені подібно до вузлів просторової гратки (мал. 1.10).
Мал. 1.10
Останню можна уявити як простір, заповнений
рівними паралелепіпедами. Якщо в них виділити деякі точки (наприклад, їх
центри, вершини та ін.), дістанемо нові просторові грати. Виділені точки
називаються вузлами. У кристалах у вузлах містяться атоми, іони або молекули.
Тепер переконаємося, що в кристалах немає
поворотної симетрії (і осі) 5-го порядку.
Припустимо, що в кристалах можлива поворотна
симетрія 5-го порядку. І нехай її вісь проходить через точку О (мал.
1.11).
Мал. 1.11
Позначимо через А найближчий до точки О
вузол, який лежить у площині малюнка. Оскільки вісь має поворот 5-го порядку,
то навколо неї буде розміщено тільки о вузлів. При поворотах навколо точки О
на кути, кратні 
вони збігатимуться. Ці вузли повинні утворювати плоску гратку.
Оскільки вузли А1 А2 А3
визначають паралелограм грат, то четверта вершина А' цього
паралелограма і вузол А5 мають лежати в одному ряду
грат з вузлами А3, А'. Вузол А' розташований
ближче до точки О, ніж точки А1, А2,
…, А5. Це суперечить вибору вузла А1, а
водночас і вузлів А2, …, А5. Отже,
припущення про те, що в кристалах існує поворотна симетрій 5-го порядку,
неправильне.
Аналогічно можна довести, що в кристалах неможливі і
поворотні симетрії порядку п 
7.
Зауважимо, що обидва твердження випливають також із
принципу щільного упакування елементарних частинок речовини, згідно з яким
кристалічні грати не можуть мати ні осі повороту 5-го порядку, ні осі повороту
порядку п 
7,
бо в першому випадку правильними п'ятикутниками не можна щільно покрити
площину, а з другому - семикутники покривають площину з перекриттями (мал.
1.12).
Мал. 1.12
З погляду щільного упакування речовини і поворотної
симетрії можна з'ясувати суть явища збільшення об'єму при перетворенні води на
лід.
Як відомо, при зниженні температури тепловий рух частинок
зменшується і водночас відбувається упорядкування їх взаємного розміщення.
Зокрема, молекули льоду розміщуються так, що між ними виникають порожнини (мал.
1.13).
Мал. 1.13
При перетворенні льоду на воду ці порожнини частково
заповнюватимуться молекулами води. Ось чому вода, утворена при плавленні льоду,
займає менший об'єм, а при перетворенні на лід руйнує навіть міцні споруди.
Проте більшість речовин мають у твердому стані таку кристалічну структуру, що,
перетворюючись на рідину, зони розширюються.
Тепловий рух молекул не обмежується тільки їх переміщенням
- рухаються всі складові частини молекули. Наприклад, молекула етану Н3С
- СН3 допускає поворот атомів вуглецю навколо осі зв'язку (мал.
1.14).
Мал. 1.14
Внутрішньо молекулярний рух особливо важливий у молекулах
полімерів. Зокрема, ланцюжки полімерних молекул мають багато таких зв'язків,
навколо яких можливі обмежені повороти, і розміщуються ці ланцюжки з межах
конуса допустимих поворотів (мал. 1.15). Внутрішні повороти в молекулі
приводять до того, що вона згортається в клубок.
Мал. 1.15
Отже, причина пружності полімерів, наприклад, таких, як
каучук, - у тенденції його молекул набувати форми клубка. Такі молекули
об'ємні, бо до них входить вуглець, у якого хімічні зв'язки напрямлені від
центра тетраедра до його вершин.
Поворотна симетрія відіграє значну роль при аналізі систем
елементарних частинок речовини. Кожна елементарна частинка характеризується
певним власним обертовим моментом імпульсу, так званим епіком. Це вектор,
причому його напрям збігається з напрямом переміщення правого гвинта, якщо
гвинт обертається в той самий бік, що й частинка.
Для нейтральних елементарних частинок спіновий момент є
характеристикою, за допомогою якої розрізняють частинки і античастинки. Так,
наприклад, експериментально було встановлено, що для антинейтрино вектори спіна
S та імпульсу р мають один і той же напрям, тоді як у нейтрино вони
напрямлені в протилежні боки (мал. 1.16).
Мал. 1.16
Антинейтрино можна розглядати як правий, а нейтрино - як
лівий гвинт. Уявлення про поворотну симетрію допомагають досліджувати деякі
важливі властивості кристалів. Так, у природі є кристали, які під дією тих чи
інших змін (тиску, температури) електризуються. Оскільки при цьому одна грань
кристала заряджена додатньо, а друга від'ємно, то, очевидно, явище електризації
пов'язане з полярними напрямами. Тому його не може бути у
центрально-симетричних кристалах. Не може також електризація відбуватися в
напрямах, перпендикулярних до площини симетрії кристала або до осей повороту
парного порядку (ці напрями не мають полярності).
Кристал кварцу має одну вісь 3-го порядку і три осі 2-го.
Вісь 3-го порядку перпендикулярна до осей 2-го порядку (мал. 1.17).
Мал. 1.17
Отже, кінці осі 3-го порядку рівноправні: при повороті
навколо будь-якої осі 2-го порядку кінці осі 3-го порядку міняються місцями.
Вісь 3-го порядку не може бути полярною. Тому вздовж неї
явище поляризації не спостерігатиметься.
Осі 2-го порядку полярні, їх кінці не рівноправні, бо при
повороті навколо осі 3-го порядку вони не міняються місцями. Тому з напрямами
цих осей пов'язаний ефект електризації. Якщо стискувати кристал вздовж такої
осі, то один кінець її буде додатково зарядженим, а другий - від'ємно.
Цікава симетрія у циліндричного магніту, який має вісь
повороту нескінченного порядку і площину симетрії, перпендикулярну до цієї осі.
тобто його симетрія така, як і біконуса, що обертається (мал. 1.18). Оскільки
кінці магніту дзеркально рівні, то, зрозуміло, що магнітні силові лінії не
полярні, а осьові, або аксіальні.
Мал. 1.18
Мал. 1.19
Полярні вектори при дзеркальному відображенні спрямовані
так, як зображено на малюнку 1.19а, аксіальні ж вектори - як на малюнку 1.19б.
Швидкість, імпульс, напруженість електричного поля зображаються полярними
векторами. Момент імпульсу, напруженість магнітного поля зображаються
аксіальними векторами. Як бачимо (мал. 1.19б), напрям вектора моменту імпульсу,
що визначається за допомогою правила правої руки, при дзеркальному відображенні
змінюється на протилежний.
Отже, вектор моменту імпульсу - аксіальний. Поняття
поворотної симетрії застосовується і для розв'язання деяких задач на обчислення
опорів електричних схем. У таких випадках на симетричній схемі шукають точки з
однаковими потенціалами і з'єднують або роз'єднують їх, щоб дістати
еквівалентну схему, яка складається з послідовно і паралельно з'єднаних опорів.
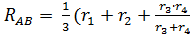
При повороті каркаса, що має форму куба, навколо осі АВ
на 120
каркас суміститься сам із собою (мал. 1.20). Тому потенціали в
точках 2, 3.4 будуть рівними. Рівними вони будуть і в точках 7, 5,6. Такі точки
можна сполучити, причому загальний опір електричної схеми не зміниться. Отже,
дістанемо еквівалентну схему послідовного і паралельного з'єднання опорів (мал.
1.21), загальний опір якої дорівнює:

).
Мал. 1.20 Мал. 1.21
Розділ
2
2.1
Задачі на обчислення
Задача 1
Квадрат поділений на чотири частини двома взаємно
перпендикулярними прямими, які проходять через центр квадрату. Обчислити площу
кожної частини, якщо сторона квадрату дорівнює 1.8 дм.
Мал. 1
Розв’язання:
Квадрат самосумістен (відображається на себе) при повороті
на кут 90
навколо свого центру О: ৷АВ৷ = 
(৷BC৷), ৷AD৷ = 
(৷BA৷), ৷DC৷ = 
(৷AD৷), ৷CB৷ = 
(৷DC৷) (мал.1).
А так як (MP) 
(NQ) і точки M
৷AD৷, Q 
৷DC৷, P 
৷CB৷, N 
৷CB৷, то при вказаному повороті Q = 
(M), P = 
(Q) і інші (враховуючи, що при цьому повороті С = 
(D) і інше) можна зробити висновок, що чотирикутник OMQD
відобразиться на чотирикутник OQCP, який в свою чергу відобразиться
на чотирикутник OPBN, а останній - на ONAM. Отже, квадрат ABCD
складається з чотирьох конгруентних чотирикутників. Тому площа кожного із
них буде рівна
= 
= 0.81 (
.
Відповідь: 0.81 (
.
Знайти координати точок, які є образами точок А (3;
0), В (0; - 2), С (-3;
), D (-1;
) при повороті навколо початку координат на кут 90
(проти руху стрілки годинника).
Розв’язання:
Цю задачу можна розв’зувати двома способами.
1 спосіб (без використання аналітичного
задання повороту).
У прямокутній системі координат 
XOY
= 90
, тому при повороті навколо початку координат на кут 90
вісь абсцис переходить у вісь ординат, а вісь ординат - у вісь
абсцис протилежного напрямку до осі OX. При цьому абсциси точок
переходять у ординати їх образів, а ординати - в абсциси з урахуванням знаків у
відповідній чверті.
Мал. 2
Точка А (3; 0) лежить на додатній піввісі абсцис,
тому її образ 
в даному повороті перейде на додатну піввісь ординат, і при цьому

. Отже, 
(0;3) (мал. 2).
Аналогічно точка В (0; - 2) лежить на від’ємній
піввісі ординат, яка відображається на додатну піввісь абсцис, і при цьому ৷
৷ = ৷
৷ = 2. Отже, 
(2; 0). Для визначення координат точки 
, що є образом точки С (-3; - 4), використаємо попередні
міркування. Оскільки точка С лежить у третій чверті, то її образ 
у даному повороті буде лежати в четвертій чверті. Тому абсциса -
3 точки С перейде в ординату точки 
з тим же знаком, тобто 
Ордината - 4 точки С перейде в абсцису точки 
з протилежним знаком, тобто 
Отже 
(4; - 3).
Аналогічно для точки D: точка D лежить у
другій чверті, тому при даному повороті точка 
її образ лежатиме у третій чверті, дістанемо 
(-4; - 1).
Відповідь: 
(0;3), 
(2; 0), 
(4; - 3), 
(-4; - 1).
2 спосіб.
Враховуючи залежність між координатами відповідних точок
при повороті навколо початку координат на кут 
а саме:
При умові, що 
, знайдемо 
. Звідси маємо, що 
(0;3), 
(2; 0), 
(4; - 3), 
(-4; - 1).
Задача 3.
Дані прямі 
Знайти на осях координат точки, поворотом навколо яких одна з цих
прямих відображується на іншу.
Розв’язання:
Мал.3
Пряма 
проходить через точку А (0;
) паралельно осі OY, а пряма 
проходить через точку В (0;2), С - точка перетину
даних прямих (мал.1). Оскільки прямі АС і ВС взаємно
перпендикулярні, то одна з них може відобразитися на іншу поворотом тільки на 
за рухом чи проти руху стрілки годинника.
Враховуючи координатні формули повороту навколо початку
координат на 
, знайдемо, що поворотом навколо точки М (1;0) на 
(проти руху стрілки годинника) пряма АС (
) відобразиться на пряму ВС (
), точка А (0;3) при цьому відобразиться на точку 
(1;2) прямої 
. При
повороті 
все
відбувається навпаки.
Аналогічно знайдемо, що поворотом навколо точки N
(0;- 1) на кут 
(за рухом стрілки годинника) пряма ВС (
) відобразиться на пряму АС, при цьому точка В (0;2)
прямої 
перейде в точку 
(3;1) прямої 
. При повороті 
маємо обернене перетворення точок і прямих.
Відповідь: М (1; 0), N (0; - 1).
Задача 4.
На сторонах СА і СВ рівностороннього
трикутника АВС відкладені відрізки CM і CN, сума довжин
яких дорівнює стороні даного трикутника. Знайти величину кута MON, де O
- точка перетину медіан трикутника.
Розв’язання:
Мал.4
Нехай у рівносторонньому трикутнику АВС проведені
медіани АА1, ВВ1, СС1,
які перетинаються в точці О (мал.1). За властивостями рівностороннього
трикутника медіани між собою рівні АА1 = ВВ1
= СС1, а також
і
Точками M і N можна позначити точки В1
і А1, бо СВ1 + СА1
= АС, 
.
Візьмемо точку М на стороні СА довільно, тоді
точку N на стороні СВ треба взяти таку, щоб CN = AM: CM + CN =
CM + AM = AC.
Поворотом навколо точки О на кут 
точка А переходить у точку С, а точка М у
точку N. Отже, 
.
Відповідь: 
.
2.2
Задачі на доведення
Задача 1.
На сторонах АВ і ВС трикутника АВС
зовні побудовані квадрати ABMN і BCLK. Довести, що центри
квадратів і середини відрізків AC і MK є вершинами нового
квадрата.
Розв’язання:
Мал. 1
Нехай О1 і О2 -
центри квадратів ABMN і BCLK відповідно, О3 і
О4 - середини відрізків AC і MK.
У трикутнику CMK відрізок О2О4
є середньою лінією, тому О2 О4 
СМ і О2 О4
= 
СМ.
Аналогічно, відрізок О2 О3
є середньою лінією трикутника ACK, тому О2 О3

АК і О2 О3
=
АК.
Оскільки ВА = ВМ і 
, то поворотом навколо точки В на 
точка А відображається на точку М. Аналогічно ВС
= ВК і 
, тому поворотом точки В на 
точка К відображається на точку С.
Отже, поворотом навколо точки В на 
відрізок АК відображається на відрізок МС, тому АК
= МС і АК 
МС.
Враховуючи нерівності:
О2 О4 
СМ і О2 О4
= 
СМ і
О2 О3 
АК і О2 О3
=
АК,
маємо
О2 О3 = О2 О4 і
О2 О3 
О2 О4.
Відрізок О1О4 є
середньою лінією трикутника АКМ, тому О1О4

АК і О1О4
= 
АК.
Враховуючи О2 О3 
АК і О2 О3
=
АК,
звідси маємо
О1О4 
О2О3 і О1О4
= О2О3.
Відрізок О1О3 є
середньою лінією трикутника АКС, тому О1О3

МС і
О1О3 = 
МС.
Враховуючи О2 О4 
СМ і О2 О4
= 
СМ,
маємо О1О3 
О4 О2 і О1О3

О4 О2.
Із співвідношень О2 О4 
СМ і О2 О4
= 
СМ, О2
О3 
АК і О2 О3
=
АК, О2
О3 = О2 О4 і О2
О3 
О2 О4, О1О4

О2О3 і О1О4
= О2О3, О1О3

О4 О2 і О1О3

О4 О2 випливає,
що чотирикутник О1О2 О3О4
- квадрат.
Задача 2.
Зовні квадрата на його сторонах побудовані рівносторонні
трикутники. Довести, що чотирикутник із вершинами в центрах побудованих
трикутників є квадратом.
Розв’язання:
Мал. 2
Центри О1, О2, О3,
О4 побудованих рівносторонніх трикутників лежать на осях
симетрії даного квадрата АВСD, які проходять через середини протилежних
сторін квадрата, бо ці центри лежать на медіанах (і висотах) побудованих
трикутників.
Отже, діагоналі одержаного чотирикутника взаємно
перпендикулярні. Крім того, діагоналі чотирикутника рівні, у точці О ділиться
пополам. Тому поворотом навколо центра О квадрата АВСD на 
чотирикутник відображається на себе. Отже, О1О2О3О4
- квадрат.
Задача 3.
У колі (O, R) AB і DC - два
взаємно перпендикулярні діаметри. На дузі AD відмічена точка М. Пряма,
яка проходить через центр О перпендикулярно до прямої ОМ,
перетинає дугу DВ у точці Р. Довести рівність трикутників AMD і
DPB.
Розв’язання:
За властивостями повороту навколо точки відповідні відрізки
рівні між собою: АМ = DР, МD = РВ, АD = DВ, а тому 
AMD = 
DPB.
2.3
Задачі на побудову
Задача 1.
Побудувати рівносторонній трикутник так, щоб
однією його вершиною була дана точка С, а дві інші лежали по одній на
двох даних прямих
Розв’язання:
. Аналіз.
Нехай дана точка С і прямі a і b. Припустимо,
що трикутник АВС побудовано такий, що АВ = ВС = АС, А
a,
В
b.
Оскільки трикутник АВС рівносторонній, то 
. Тоді точку А можна одержати з точки В
поворотом навколо точки С на 
. Але точка В належить прямій b, яка поворотом
навколо точки С на 
перейде в пряму 
. Отже, точку А можна знайти як точку перетину прямої a з
прямою 
(b). Далі точку В знайдемо як образ точки А при
повороті навколо точки С на 
.
2. Побудова.
Дані прямі a, b і С. Будуємо:
. пряму 
(b); А - точка перетину прямих a і 
;
. точку В = 
(А). 
АВС - шуканий.
3. Доведення.
Правильність побудови обґрунтовано в аналізі.
4. Дослідження.
Оскільки розв’язання задачі зводиться до побудови точки А
перетину прямих a і 
, задача при вибраному повороті має єдиний розв’язок, якщо прямі a
і 
перетинаються. Пряма 
(b) може збігатися з прямою a або бути їй
паралельною. У першому випадку маємо розв'язок, у другому - розв’язку немає.
Але образ прямої b можна дістати також поворотом навколо точки С на
кут 
(за рухом стрілки годинника) - дістанемо пряму
, яка в перетині з прямою a дає точку А1
- вершину другого рівностороннього трикутника А1В1С,
де В1 = 
(А1). Отже, задача може мати два розв’язки.
Задача 2.
Земельна ділянка форми квадрата була огороджена. Із забору
залишилося два стовпці на паралельних сторонах квадрати і стовп у центрі
квадрата. Відновити межі ділянки.
Розв'язання:
. Аналіз.
Припустимо, що межі ділянки (квадрата АВСD) відновлені,
точка (стовпець) М лежить на стороні АВ, точка (стовпець) N
- на стороні СD.
Нехай точки М і N не лежать на одній прямій з
центром О квадрата. Побудуємо точки М1 і N1,
симетричні точкам М і N відносно точки О: М1 =
Z0 (M), N1 = Z0
(N). Далі виконаємо поворот точок М, N, М1,
N1, навколо точки О на 
. Точки М, N, М1, N1,

визначають прямі, на яких лежать сторони квадрата.
2. Побудова.
Дано точки М, N і О, які не лежать на одній
прямій. Порядок побудови визначений в аналізі. Побудуємо:
1)точки М1 = Z0
(M), N1 = Z0 (N);
точки 
(М), 
(М1), 
(N), 
(N1);
прямі М N1, NМ1, 
, 
;
точки А = М N1 

, В = М N1 

, С = 

NМ1, D = NМ1 

. Чотирикутник АВСВ - квадрат.
3. Доведення.
Правильність побудови випливає з аналізу і
властивостей центральної симетрії та повороту навколо точки.
4. Дослідження.
Якщо точки М і N не симетричні
відносно точки О, то задача має єдиний розв'язок.
Якщо ж точки М, О, N лежать на одній
прямій, то задача має безліч розв'язків.
Висновки
Математично обертання - це такий рух абсолютно
твердого тіла, яке, на відміну від перенесення, зберігає нерухомими одну або
кілька точок. Це визначення застосовувати як для плоского, так і для
тривимірного простору. Обертання в тривимірному просторі зберігає нерухомої
лінію, тобто в тривимірному просторі обертання відбувається навколо осі.
В даній курсовій роботі ми систематизували та
узагальнили теоретичні положення про поворот та показати його практичне
застосування до розв’язання геометричних задач. Більш детально розкрили основні
поняття поворотної симетрії; сформулювали означення та властивості повороту
площини; вивели формули повороту площини в координатах; розглянули поворотну
симетрію в природі; розв’язали деякі геометричні задачі за допомогою повороту
(на обчислення, на побудову, на доведення).
Використана
література
1. Боровик В.Н., Зайченко І.В., Мурач М.М., Яковець В.П.,
Геометричні перетворення площини - Суми, Університетська книга, 2003, - 504с.
. Колмогоров А.М., Семенович О.Ф., Черкасов Р.С., Геометрія 6 - 8
- К., Радянська школа, 1981, - 328с.
. Тесленко І.Ф., Геометричні побудови - К., Радянська школа, 1956,
- 140с.
. Аргунов Б.И., Балк М.Б., Элементарная геометрия - М.,
Просвещение, 1966, - 399с.
. Перепёлкин Д.И., Курс элементарной геометрии - М.,
государственное издательство технико-теоретической литературы, 1949, - 348с.
. Веселовский С.Б., Практикум по преобразованиям плоскости - Х.,
1981, - 48с.
. Александров А.Д., Вернер А.Л., Рыжик В.И., Геометрия 9-10 - М.,
Просвещение, 1987, - 272с.
. Василевский А.Б., Методы решения геометрических задач - Минск, Вышэйшая
школа, 1969, - 232с.