Підсумовування розбіжних рядів
Підсумовування розбіжних
рядів
1. Поняття збіжного та розбіжного числового ряду
Означення 1. Нехай дана деяка нескінченна послідовність
чисел
. Формально складений із цих чисел вираз
називається нескінченним рядом, а ці числа - членами ряду.
Замість нескінченного підсумовування, користуючись знаком
суми, часто нескінчений ряд позначають як
.
Означення 2.
-ою частковою сумою ряду називається скінчена сума всіх членів
ряду до
- го члена включно, тобто сума
Означення 3. Числовий ряд називається збіжним, якщо існує
скінчена границя послідовності його часткових сум
Число
в цьому випадку називають сумою ряду й
пишуть
Якщо границя дорівнює нескінченності або її не існує, то
кажуть, що ряд розбігається.
Приклад 1. Ряд
розбігається, оскільки
при
.
Приклад 2. Ряд
розбігається, оскільки
, а
. Відповідно спільної границі
не існує.
Приклад 3. Ряд
при
має часткові суми
. Очевидно, що при
ряд збігається й
. При
ряд розбігається, оскільки
при
.
Теорема 1 (Критерій Коши для рядів). Для того, щоб ряд
був збіжним необхідно й достатньо, щоб
для кожного
існував номер
такий, що для будь якого
й для кожного
була виконана нерівність
.
Теорема 2 (необхідна умова збіжності ряду). Якщо ряд
збігається, то
.
Теорема 3 (достатня умова розбіжності ряду). Якщо загальний
член ряду не прямує до нуля
, то ряд розбігається.
Приклад. Для ряду
, оскільки границя його загального члену
, то ряд розбігається.
Приклади розбіжних рядів [5]:
.
.
.
.
.
Ряди, які розбігаються для всіх дійсних
[5]:
.
.
Ряд, який розбігається для всіх дійсних
, окрім кратних
, де він збігається до суми 0 [5]:
.
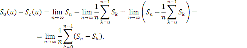
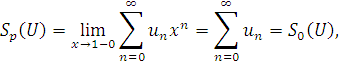
. Підсумовуючі функції розбіжних рядів
В основу сучасного аналізу розбіжних рядів ставиться
означення «підсумовуючої функції», що стосується цілого класу таких рядів.
Поставимо ряду
з членами ряду
у відповідність деяке число 
, яке будемо називати його сумою (сумою членів його ряду). Ми
можемо вважати, що маємо справу з функцією 
, визначеною для деяких рядів і яка приймає числові значення.
Функцію
будемо називати підсумовуючою функцією.
Прикладом такої підсумовуючої функції для членів ряду
може бути
(1)
Ця функція визначена на множині всіх збіжних рядів, і для
кожного збіжного ряду її значення дорівнює звичайній сумі цього ряду. Так,
визначену конкретну підсумовуючу функцію позначимо через
.
Всі підсумовуючі функції, які будемо згадувати далі
прийнято зв’язувати із іменами математиків, які їх ввели. Для «звичайної»
підсумовуючої функції
цього не роблять. Однак звичайне
підсумовування рядів справедливо було б називати «підсумовуванням за Коші».
Можна побудувати надзвичайно велику кількість підсумовуючих
функцій. Для виправдання своєї назви вони повинні мати властивості звичайних
сум.
По-перше, підсумовуюча функція
не повинна суперечити звичайному
підсумовуванню збіжних рядів. Іншими словами, якщо
- деякий збіжний ряд, то значення
повинне існувати і бути рівним
. Підсумовуюча функція
, яка має цю властивість, називається
регулярною.
По-друге, для будь-яких двох рядів
і 
і чисел
і 
з існування значень 
і 
слідує існування значення 
і рівність
(2)
Підсумовуюча функція, яка має цю властивість називається
лінійною.
. Підсумовування розбіжних рядів за
Пуассоном-Абелем
Означення. Якщо підсумовуюча функція
визначається рівністю
(3)
то таке підсумовування називається підсумовуванням за
Пуассоном-Абелем.
Приклади:
1. Для ряду
підсумовування за Пуассоном-Абелем дає
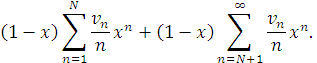
. Розглянемо ряд

Для нього
Але для будь-якого
, близького до 1, але меншого за 1, ряд який стоїть під знаком
границі збігається. А тому:
Підсумовуючи ряди які стоять справа, одержимо:
. Розглянемо ряд
; де
(4)
Тут границя
не існує, тому згідно з необхідною умовою збіжності ряду, ряд (4)
- розбігається.
Підсумуємо цей ряд за Пуассоном-Абелем. Для цього візьмемо
довільне, близьке до 0 зліва,
,
розглянемо ряд
; де
(5)
і складемо ряд з модулів членів цього ряду:
(6)
Ознака збіжності Коші дає нам, що
(7)
Отже ряд (6) збігається. Це означає, що ряд (5)
збігається абсолютно, а тому - збігається. Знайдемо його суму.
Зазначимо, що вираз
є
дійсною частиною комплексного числа 
.
є дійсною частиною виразу
Або, підсумовуючи дану геометричну прогресію, отримаємо
=
(8)
Множення чисельника і знаменника дробу в виразі (8) на
комплексне число, спряжене знаменнику, дає нам
=
(9)
Після обчислень виразу (9) виявляється, що дійсна
чистина цього виразу дорівнює
(10)
Таким чином (враховуючи (5), що
, розраховуємо суму ряду (4) за Пуассоном
- Абелем, як
(11)
4. Лінійність та регулярність
підсумовування розбіжних рядів за Пуассоном-Абелем
Лінійність підсумування за Пуассоном-Абелем випливає із
того, що для будь-яких рядів
і
:
(12)
Встановимо регулярність цього підсумовування.
Теорема. Якщо
збіжний ряд, то він підсумовується за
методом Пуассона-Абеля і 
.
Доведення. Складемо за рядом 
степеневий ряд
(13)
Із умови збіжності ряду
випливає, що радіус збіжності степеневого
ряду (13) не менше одиниці, причому при
цей ряд збігається. Тому в другій теоремі
Абеля сума ряду (13) неперервна в точці
зліва, тобто
(14)
і теорему доведено.
5. Підсумовування розбіжних рядів за
Пуассоном-Абелем і їх абсолютна збіжність
Різниця між абсолютною збіжністю ряду і його умовною
збіжністю з точки зору підсумовування за Пуассоном-Абелем зберігається,
наприклад, ряд
за Пуассоном-Абелем підсумовується, але ряд, який
складається із модулів його членів, тобто ряд
ні. Тут ця різниця виявляється слабшою, ніж у випадку
звичайної збіжності.
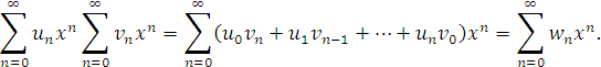
Означення. Нехай нам дано ряди
та
Добутком цих рядів будемо називати ряд
,
в якому члени ряду формуються як

(15)
Для абсолютно збіжних рядів
і
має місце наступна рівність
(16)
Якщо ж обидва ряди
і
збігаються, але лише умовно, то це
очевидне на перший погляд співвідношення не виконується (втрачає зміст його
перша частина).
Наприклад. Нехай кожен із рядів
і
є
Тоді для члена
ряду 
, який є добутком
і
маємо:
Внаслідок того, що
тут повинно бути
тобто ряд
не задовольняє необхідну умову збіжності, і сума
не існує.
Однак з точки зору підсумовування за Пуассоном-Абелем
різниця в цьому питанні між абсолютною і умовною збіжністю втрачається.
Теорема. Якщо ряди
і
підсумовувані за Пуассоном-Абелем, то їх
добуток
також підсумовується за Пуассоном-Абелем,
і
(17)
Доведення. Підсумовування рядів
і
, за теоремою Пуассона-Абеля означає збіжність степеневих рядів
Звідси, за теоремою Абеля кожен такий ряд збігається,
причому абсолютно. Але тоді за теоремою про множення абсолютно збіжних рядів
Ліва частина цієї рівності за умовою при 
має границю рівну добутку
.
Значить, і права його частина має границю,
яка за означенням дорівнює 
.
Таким чином, з точки зору множення рядів підсумовування
рядів за Пуассоном - Абелем навіть «ближче» до скінченних сум ніж
підсумовування рядів у звичайному розумінні.
Приклади:
. Нехай обидва ряди
і
є одним і тим же рядом

тобто 
Тоді 
тобто ряд
добутку рядів
і
має вид:
При цьому вище доведено, що сума рядів
підсумовувана за Пуассоном-Абелем дає
тобто
Тому за тільки що доведеною теоремою
. Розглянемо ряд
(18)
Він не є збіжним навіть умовно, оскільки

(19)
і геометричної прогресії
(20)
Член отриманого при перемноженні ряду буде
(21)
і підсумовування скінченної геометричної прогресії, яка
стоїть у дужках дає можливість знайти
.
Вище доведено, що сума ряду (19)
за Пуассоном-Абелем дорівнює 
, а прогресія (20) збігається в звичайному розумінні (а значить і
за Пуассоном - Абелем) і має суму рівну 2.
Звідси ряд (18) також збігається за Пуассоном - Абелем і
його сума дорівнює
.
6. Теорема Таубера для розбіжних рядів
В результаті різного роду перетворень, зокрема, в
результаті переходів від одних рядів до інших, можемо отримати ряди
підсумовувані за Пуассоном-Абелем. Прикладом їх можуть бути розглянуті в
попередньому розділі добутки рядів. У всіх потрібних випадках може викликати
інтерес з’ясування збіжності цих рядів у звичайному розумінні.
Таким чином, виникає питання про ознаки збіжності
спеціально для тих рядів які є підсумовуваними за Пуассоном-Абелем. Ці ознаки,
які відносяться до рядів, що підсумовуються за Пуассоном-Абелем, так і до
рядів, що підсумовуються будь-яким іншим методом, зазвичай називаються
тауберовими теоремами. Історично перша з них, належить самому Тауберу, полягає
в наступному
Теорема Таубера. Для того, щоб підсумовуваний за Пуассоном
- Абелем ряд
(22)
що має суму
, збігався в звичайному розумінні (і мав суму 
) необхідно і достатньо щоб виконувалось граничне відношення
(23)
Частинну теореми Таубера, яка стосується необхідності,
виділимо як самостійну лему.
Лема. Якщо збігається ряд (22) то має місце (23).
Доведення. Нехай ряд
(22) збігається і
- це
тий його залишок. Збіжність ряду означає,
що
(24)
Далі, з врахуванням (23) маємо
Таким чином,
За (24) друга границя справа тут рівна нулю. Якби перша
границя не існувала або була відмінна від нуля, то знайшлося б таке
,
що при як завгодно великих значеннях
виконувалася б нерівність
(25)
Знайдемо тепер у відповідності із збіжністю ряду (22) таке
, що при 
(26)
а за ним - таке 
, що
(27)
Число 
можна брати скільки завгодно великим. Візьмемо його таким, щоб
було одночасно
та
(28)
Запишемо
(29)
Із (27) випливає, що тут перший доданок менший ніж
.
Із (26) випливає що другий доданок менший за 
. Значить, з урахуванням (28)
А це суперечить (25), тобто лема доведена.
Переходимо до доведення достатності. Почнемо з того
частинного випадку, коли члени ряду (22) спадають настільки швидко, що
(30)
Покладемо
(31)
Із (30) випливає, що із збільшення
величина
(31) монотонно прямує до нуля.
Візьмемо довільне
і запишемо
(32)
Зауважимо, що при 
повинно бути
(33)
Користуючись цими оцінками і властивостями
(31), можемо оцінити перші два доданки в
(32) справа:
і
Тому із (32) випливає, що
(34)
Візьмемо довільне 
і виберемо
так, щоб було 
, тобто 
. Візьмемо тепер 
настільки великим, щоб виконувалась нерівність
(35)
а 
залежне від
, - настільки близько до одиниці, щоб
виконувалась нерівність
(36)
Тоді в (34) ліва частина може бути оцінена як
(37)
і довільність 
доводить збіжність ряду (22). Виділений умовами (30) частинний
випадок доведений.
Розглянемо тепер загальний випадок. Покладемо
(38)
і (умовно) 
. Тоді, при
(39)
так що
(40)
або, пересунувши на одиницю нумерацію у другій сумі справа,
маємо
(41)
звідси
(42)
який представимо у вигляді
(43)
Візьмемо тут довільне
і виберемо у відповідності до (23)
настільки великим, щоб при 
виконувалась нерівність
.
В цьому випадку з урахуванням (33) для
будь-якого 
буде
(44)
Далі, наближаючи
до одиниці можемо отримати
(45)
Враховуючи (44) і (45) отримаємо, що при значеннях
,
достатньо близьких до одиниці
(46)
Звідси випливає (оскільки ліва частина цієї нерівності не
залежить від
, що
(47)
з рівності (42) отримаємо
(48)
Але за умовою підсумовування рядів ліва частина рівна тут 
. Тому
(49)
Розглянемо тепер допоміжний ряд
(50)
Для нього маємо згідно (23)
(51)
Тому опиняємось в умовах уже розглянутого частинного
випадку. Тим самим від (49) можемо перейти до рівності
(52)
Нарешті маємо для будь-якого
(53)
звідси
(54)
Тут границя справа за умовою рівна нулю, і з (52) маємо
(55)
Таким чином, ряд (22) збігається і його сума рівна
.
7. Підсумовування розбіжних рядів за
Чезаро
Розглянемо ще одну підсумовуючу функцію, що відрізняється
від функції 
, що приводить до звичайної суми ряду, так і від функції 
, що приводить до суми за Пуассоном-Абелем.
В якості такої функції для ряду
візьмемо границю середніх арифметичних частинних сум
цього ряду, тобто
(56)
Таке розуміння суми ряду називається його підсумовуванням
за Чезаро.
Приклади:
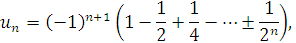
1. Для розбіжного ряду 
маємо
Тому
Звідси, сума ряду за Чезаро дорівнює 
.
. Для ряду 
буде
.
Значить
При збільшенні
послідовності цих сум ні до якої границі не прямує. Таким чином,
розглянутий ряд за Чезаро не підсумовується.
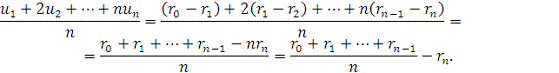
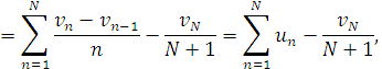
Метод підсумовування Чезаро є лінійним. Дійсно, якщо
та 
- ряди, то
(57)
Доведемо, що підсумовування за Чезаро є і регулярним, тобто
якщо ряд 
збігається і 
то він підсумовується за Чезаро і 
.
Маємо
(58)
Розглянемо різницю
(59)
Очевидно, тут 
не входить в жоден доданок останньої суми, 
входить лише в один, 
входить тільки в два і так далі. Таким чином,
(60)
де згідно леми, для збіжного ряду остання границя рівна
нулю.
Зручна необхідна ознака підсумовування ряду Чезаро
подається в наступній теоремі.
Теорема. Для того щоб ряд 
підсумовувався за Чезаро, необхідно, щоб
(61)
Доведення. Нехай
-на частинна сума ряду
(при чому 
), і припустимо, що границя
. Співвідношення між підсумовуванням за
Чезаро і за Пуассоном-Абелем
Підсумовування за Чезаро «слабше» ніж підсумовування за
Пуассоном - Абелем. Зокрема має місце така теорема.
Теорема. Якщо ряд
підсумовується за Чезаро, то він підсумовується і за
Пуассоном-Абелем, і
Доведення. Нехай ряд 
підсумовується за Чезаро і має в цьому розумінні суму
. Звідси випливає на основі теореми (61)
попереднього пункту, що
Це в свою чергу означає, що для будь-якого
починаючи з деякого номера, буде 
. Далі, ряд
(62)
збігається для довільного
,
як в цьому можна переконатися,
використовуючи, наприклад, ознаку збіжності Даламбера. Звідси, для довільного
збігається ряд
Але (покладемо умовно 
)
і повторюючи ці міркування ще раз, одержимо
(64)
Розглянемо тепер ряд
і помножимо його сам на себе. Отримаємо
тобто
Враховуючи (64), отримаємо
(65)
Для будь-якого натурального
суму, яка стоїть справа в (65), можна розбити на дві частини:
одну, яка охоплює всі доданки для
від 0 до 
і другу, яка містить всі інші доданки:
(66)
Виберемо
таким, щоб для довільного 
було
(67)
Тоді для будь-якого
одержимо (збільшуючи, якщо треба, 
ще більше)
(68)
Крім того, зафіксувавши
і вибравши
достатньо близьким до одиниці, можна
добитися того, щоб було
(69)
Із (65), (68) і (69) випливає, що
(70)
тобто
,
що й треба було довести.
Обернена теорема не справедлива: існують ряди,
які підсумовуються за Пуассоном-Абелем, але не підсумовуються за Чезаро. Так
ряд
підсумовується за Пуассоном-Абелем, але не
підсумовується за Чезаро.
Із доведеної теореми випливає, що якщо ряд
підсумовується за Чезаро то він підсумовується і за Пуассоном-Абелем.
збіжний ряд пуассон чезаро
Список літератури
1. Воробьев Н.Н. Теория рядов. 6-е изд. стереотипное./Н.Н.
Воробьев. - СПб.: Издательство «Лань», 2002. - 408 с.
. Еремов А.В, Математический анализ (специальные разделы). Ч1.
Общие функциональные ряды и их приложение. /А.В. Ефремов. - М.: Высшая Школа,
1980. - 436 с.
2. Маркушевич А.И. Ряды: Елементарный очерк. / А.И.
Маркушевич. - М.: Наука, 1957. - 400 с.
. Прудников А.П. Интегралы и ряды. Елементарные функции /
А.П. Прудников - М.: Наука, 1981 - 343 с.
. Харди Г. Расходящиеся ряды. / Г. Харди; пер. с англ. Д.А.
Райковаж под ред. С.Б. Стечкина. - М.: Издательство «Иностранная литература»,
1951. - 504 с.
. Фихтенгольц Г.М. Основы математического анализа. Том 2. /
Г.М. Фихтенгольц. - М.: Наука, 1969. - 810 с.