Пути повышения эффективности работы крематория г. Новокузнецка
Оглавление
Введение
1. Описание предметной области
2. Дерево целей
2.1 Построение дерева целей
2.2 Расчёт коэффициентов относительной важности
2.3 Выводы
3. Деревья мероприятий
3.1 Построение деревьев мероприятий для всех подцелей нижнего
уровня дерева целей
3.2 Расчёт коэффициентов оценки вариантов мероприятий
3.2.1 Выбор критериев (факторов) оценки альтернатив
3.2.2 Расчетные таблицы семейств каждого дерева мероприятий (для
одного дерева приводится полный расчет со всеми таблицами, а для остальных
деревьев только результаты расчета)
3.3 Определение эффективных мероприятий во всех деревьях
мероприятий
3.4 Выводы (формирование полного перечня мероприятий по достижению
цели)
4. Сетевой график реализации мероприятий
4.1 Построение сетевого графика
4.2 Расчёт численных характеристик сетевого графика, оптимизация
графика выполнения мероприятий
Заключение
Список литературы
Введение
Тема данной курсовой работы - "Повысить эффективность
работы крематория г. Новокузнецка". С помощью методов системного анализа я
предполагаю выявить мероприятия по повышению эффективности работы
Новокузнецкого крематория, так как я работаю на данном предприятии.
Системный анализ - это совокупность методов, основанных на
использовании ЭВМ и ориентированных на исследование сложных систем -
технических, экономических, экологических и т.д. Результатом системных
исследований является, как правило, выбор вполне определенной альтернативы:
плана развития региона, параметров конструкции и т.д. Поэтому истоки системного
анализа, его методические концепции лежат в тех дисциплинах, которые занимаются
проблемами принятия решений: теории операций и общей теории управления.
Ценность системного подхода состоит в том, что рассмотрение
категорий системного анализа создает основу для логического и последовательного
подхода к проблеме принятия решений. Эффективность решения проблем с помощью
системного анализа определяется структурой решаемых проблем.
В начале работы по системному анализу базировались на идеях
теории оптимизации и исследования операций. Затем системный анализ начинают
определять как процесс последовательного разбиения изучаемого процесса на
подпроцессы и основное вниманию уделяют выбору приемов, позволяющих
организовать решение сложной проблемы путем расчленения ее на подпроблемы и
этапы, для которых становится возможным подобрать методы исследования и
исполнителей.
Наряду с расчленением процесса принятия решения на этапы и
подэтапы, разрабатываются формализованные приемы и методы разделения системы на
подсистемы, цели на подцели. В большинстве работ стремятся в основу системного
анализа поставить многоступенчатое расчленение в виде иерархических структур
типа "дерева". Применительно к исследованию целей эти структуры
получили название "деревьев целей".
Системный анализ дает основу для сочетания знаний и опыта
специалистов многих областей при нахождении решений, трудности которых не могут
быть преодолены на основе суждений любого отдельного эксперта. Более того,
часто указывается, что основной особенностью методик системного анализа
является сочетание в них формальных методов и неформализованного (экспертного)
знания.
Таким образом, системный анализ - это совокупность
определенных научных методов и практических приемов решения проблем,
возникающих во всех сферах целенаправленной деятельности общества, на основе
системного подхода и представления объекта исследования в виде системы.
Применение системного анализа в отношении к теме данной
курсовой работы вполне обоснованно.
Целью написания данной работы является овладение
практическими навыками системного анализа.
Методы, используемые в данной курсовой работе:
дерево проблем;
дерево целей;
матрица опроса экспертов;
матрица преобразованных рангов;
сетевой график.
1. Описание
предметной области
Мероприятия по повышению эффективности
работы будем рассматривать на примере работы крематория г. Новокузнецка.
Крематорий расположен по адресу: г.
Новокузнецк, ул. Ленина, д. 167.
В общем и целом процесс кремации
представляет собой горение тела умершего за счет подаваемых в камеру
кремационных печей потоков раскалённого до высоких температур (870-980°C) газа.
Для эффективности дезинтеграции в современные печи внедрён ряд модификаций
(одна из них заключается в подаче основной массы пламени на торс, составляющий
основную массу тела). В качестве топлива для печей в настоящее время
используется газ (природный или пропан), реже электричество. До 1960-х гг.
активно использовался каменный уголь или кокс.
Современные печи автоматизированы и
контролируются микропроцессорными устройствами, снабжены устройствами безопасности
для обеспечения безопасного использования (например, дверь реторты печи
блокируется, пока не будет достигнута нормальная рабочая температура; гроб
подаётся в печь максимально быстро во избежание потерь тепла).
Вопреки широко распространенному мнению, первый
крематорий в России появился еще до 1917 года во Владивостоке и был
предназначен для погребения граждан Страны восходящего солнца.
Первый крематорий в России советского
периода был открыт в декабре 1920 года в здании бань Васильевского острова
Петрограда. Этот крематорий проработал всего три месяца и был остановлен в
феврале 1921 года "из-за отсутствия дров".
Окончательно и бесповоротно огненные
похороны вошли в быт советских людей в 1927 году, когда в Москве, в Донском
монастыре начала работать кремационная печь. Первыми клиентами крематория стали
проверенные товарищи - "рыцари революции". В колумбарии, размещенном
в храме монастыря, на кремационных урнах можно прочесть надписи
"большевик-чекист", "член ВКП (б)", "стойкий
большевик", "один из старейших деятелей большевистской партии".
Через 45 лет в Москве был построен
крупнейший в Европе крематорий на Николо-Архангельском кладбище, а спустя еще
три года - на Хованском кладбище.
В настоящее время в России имеется 14
крематориев в 11 городах: Москва (Митинский, Николо-Архангельский,
Носовихинский, Хованский), Санкт-Петербург, Екатеринбург, Нижний Тагил,
Новосибирск, Ростов-на-Дону, Владивосток, Артём, Новокузнецк, Норильск, Сургут
(где крематорий появился самым последним, в 2008 г.). В большинстве своём их
услуги не особо популярны у населения (кремацию в этих городах выбирают
родственники в среднем не более 15-20% умерших). Наибольший процент - в
Санкт-Петербурге, Норильске и Москве (примерно половина всех усопших). Самый
большой крематорий - Николо-Архангельский крематорий в Москве - оборудован 7
двойными кремационными печами. Его строительство было завершено в марте 1972
года. Он занимает площадь 210 га, и в нём имеется 6 нерелигиозных траурных
залов, которые используются при атеистических похоронах.
Большинство людей, выбравших кремацию,
хотят сохранить останки своих близких в достойном красивом контейнере. Эта
традиция сохранилась со времен Римской империи, хотя сейчас выбор средств для
хранения гораздо шире.
Элементы системы: конкуренты, потребители
услуг, рекламные средства.
Подсистемы: определение путей повышения
эффективности работы предприятия, подготовка мероприятий, внедрение
мероприятий.
Характеристики внешнего окружения:
высокий уровень неопределенности;
предвзятость мнения горожан по поводу услуг
крематория.
крематорий дерево цель проблема
Входные параметры: потребительские
предпочтения, сегмент потребителей, возможные ответные действия конкурентов.
Выходные параметры: мероприятия по
повышению эффективности работы крематория.
Признаки проблемной ситуации: подготовить
и провести мероприятия по повышению эффективности деятельности крематория с
максимальной эффективностью и минимальными затратами.
2. Дерево
целей
2.1
Построение дерева целей
На рисунке 1 представлено дерево проблем, на основе которого
будет построено дерево целей.
Рисунок 1 - Дерево проблем Новокузнецкого крематория
По решению данной проблемы сформулируем цель "Повысить
эффективность работы Новокузнецкого крематория".
Далее следует сформулировать критерии оценки достижения
желаемого результата. В качестве критерия оценки степени достижения
поставленной цели будем использовать коэффициенты относительной важности,
которые необходимо рассчитать для всех подцелей первого уровня и затем для
подцелей второго уровня.
Для ранжирования прибегнем к помощи экспертов. Экспертные
методы широко используются при определении коэффициентов относительной
важности. Ниже, на рисунке 2 приведено в графическом виде дерево целей,
содержащее два уровня подцелей.
Рисунок 2 - Дерево целей повышения эффективности работы
Новокузнецкого крематория
2.2 Расчёт
коэффициентов относительной важности
Произведем расчет КОВ дерева целей (семейство №1)
Матрица опроса экспертов
|
Подцели
|
Эксперт
|
|
|
|
1
|
2
|
3
|
4
|
5
|
|
|
|
Выявить пути
снижения стоимости услуг
|
3
|
1
|
1
|
1
|
3
|
|
|
|
Изменить мнение
целевой аудитории относительно услуг крематория
|
1
|
2
|
2
|
2
|
1
|
|
Rmax=3
|
|
Повысить
эффективность воздействия на аудиторию
|
2
|
3
|
3
|
3
|
2
|
|
|
Матрица преобразованных рангов
|
Подцели
|
Эксперт
|
Сумма
|
КОВ
|
|
1
|
2
|
3
|
4
|
5
|
|
|
|
Выявить пути
снижения стоимости услуг
|
0
|
2
|
2
|
2
|
0
|
6
|
0,40
|
|
Изменить мнение
целевой аудитории относительно услуг крематория
|
2
|
1
|
1
|
1
|
2
|
7
|
0,47
|
|
Повысить
эффективность воздействия на аудиторию
|
1
|
0
|
0
|
0
|
1
|
2
|
0,13
|
|
Выявить пути
снижения стоимости услуг
|
0
|
2
|
2
|
2
|
0
|
6
|
0,40
|
Произведем расчет КОВ дерева целей (семейство 2, часть 1)
Матрица опроса экспертов
|
Подцели
|
Эксперт
|
|
|
1
|
2
|
3
|
4
|
5
|
|
|
Снизить
издержки
|
2
|
3
|
2
|
3
|
2
|
|
|
Увеличить
оборачиваемость
|
1
|
2
|
1
|
2
|
3
|
Rmax=3
|
|
Повысить
производительность
|
3
|
1
|
3
|
1
|
1
|
|
Матрица преобразованных рангов
|
Подцели
|
Эксперт
|
Сумма
|
|
КОВ
|
|
1
|
2
|
3
|
4
|
5
|
|
|
|
|
Снизить
издержки
|
1
|
0
|
1
|
0
|
1
|
3
|
0, 20
|
0,08
|
|
Увеличить
оборачиваемость
|
2
|
1
|
2
|
1
|
0
|
6
|
0,40
|
0,16
|
|
Повысить
производительность
|
0
|
2
|
0
|
2
|
2
|
6
|
0,40
|
0,16
|
|
|
|
|
|
|
15
|
|
0,40
|
Произведем расчет КОВ дерева целей (семейство 2, часть 2)
Матрица опроса экспертов
|
Подцели
|
Эксперт
|
|
|
1
|
2
|
3
|
4
|
5
|
|
|
Заказать
написание статьи в местной прессе
|
2
|
2
|
3
|
2
|
3
|
|
|
Размесить
рекламные материалы в фирмы ритуальных услуг
|
3
|
3
|
2
|
3
|
1
|
Rmax=3
|
|
Объединиться с
фирмами ритуальных услуг
|
1
|
1
|
1
|
1
|
2
|
|
Матрица преобразованных рангов
|
Подцели
|
Эксперт
|
Сумма
|
|
КОВ
|
|
1
|
2
|
3
|
4
|
5
|
|
|
|
|
Заказать
написание статьи в местной прессе
|
1
|
1
|
0
|
1
|
0
|
3
|
0, 20
|
0,094
|
|
Размесить
рекламные материалы в фирмы ритуальных услуг
|
0
|
0
|
1
|
0
|
2
|
3
|
0, 20
|
0,094
|
|
Объединиться с
фирмами ритуальных услуг
|
2
|
2
|
2
|
2
|
1
|
9
|
0,60
|
0,282
|
|
|
|
|
|
|
15
|
|
0,47
|
Произведем расчет КОВ дерева целей (семейство 2, часть 3)
Матрица опроса экспертов
|
Подцели
|
Эксперт
|
|
|
1
|
2
|
3
|
4
|
5
|
|
|
С помощью
рекламных средств
|
2
|
2
|
2
|
3
|
3
|
|
|
С помощью
написания статей на правах рекламы
|
3
|
3
|
1
|
1
|
2
|
Rmax=3
|
|
С помощью
популяризации идеи
|
1
|
1
|
3
|
2
|
1
|
|
Матрица преобразованных рангов
|
Подцели
|
Эксперт
|
Сумма
|
|
КОВ
|
|
1
|
2
|
3
|
4
|
5
|
|
|
|
|
С помощью
рекламных средств
|
1
|
1
|
1
|
0
|
0
|
3
|
0, 20
|
0,026
|
|
С помощью
написания статей на правах рекламы
|
0
|
0
|
2
|
2
|
1
|
5
|
0,33
|
0,043
|
|
С помощью
популяризации идеи
|
2
|
2
|
0
|
1
|
2
|
7
|
0,47
|
0,061
|
|
|
|
|
|
|
15
|
|
0,13
|
Нанесем полученные данные на исходное дерево целей (рисунок
3).
Рисунок 3 - Дерево целей повышения эффективности работы
Новокузнецкого крематория с учетом КОВ
2.3 Выводы
Как видно из расчетов, главная цель разбита на три
неравнозначные подцели:
выявить пути снижения стоимости услуг - 0,40;
изменить мнение целевой аудитории относительно услуг
крематория - 0,47;
повысить эффективность воздействия на аудиторию - 0,13.
Все эти подцели в детализированном виде представляют главную
цель и поэтому, эффективно распределяя ресурсы для достижения всех этих
подцелей, и, достигая их, достигается и главная цель.
Из дерева целей видно, что наиболее важной подцелью является
"изменить мнение целевой аудитории относительно услуг крематория"
(0,47).
На основе исследования второго уровня подцелей можно определить
главенство подцелей более подробно. Как видно из рисунка 3, главной подцелью
является "объединиться с фирмами ритуальных услуг" - (28,2%), а
подцели "заказать написание тематической статьи в местной прессе" и
"разместить рекламные материалы в фирмах ритуальных услуг"
равнозначны (по 9,4%).
Так же важную роль для повышения эффективности работы
крематория играют:
повышение производительности - 16% и повышении
оборачиваемости - 16%;
снижение издержек - 8%.
Кроме того, нужно повысить эффективность воздействия на
целевую аудиторию за счет:
рекламных средств - 2,6%
написания статей на правах рекламы - 4,3%
3. Деревья
мероприятий
3.1
Построение деревьев мероприятий для всех подцелей нижнего уровня дерева целей
После построения дерева целей необходимо определить пути
достижения подцелей нижнего уровня, т.к. достижение всех подцелей обеспечивает
и достижение главной цели. Для этого необходимо:
построить для каждой подцели нижнего уровня дерева целей свое
дерево мероприятий;
выполнить расчёт коэффициентов весомости альтернативных
вариантов решений для всех деревьев;
определить эффективные мероприятия во всех деревьях
мероприятий;
сформулировать выводы по расчету и анализу.
Рисунок 4 - Дерево мероприятий для подцели "Снизить
издержки"
3.2 Расчёт
коэффициентов оценки вариантов мероприятий
3.2.1 Выбор
критериев (факторов) оценки альтернатив
Для оценки альтернативных вариантов решения будут
использованы следующие критерии:
эффективность варианта;
затраты на реализацию;
затраты времени.
Произведем расчет коэффициентов важности факторов.
Матрица опроса экспертов
|
Критерии
|
Эксперт
|
|
|
|
1
|
2
|
3
|
4
|
5
|
|
|
|
Эффективность
варианта
|
1
|
2
|
1
|
1
|
3
|
|
|
|
Затраты на реализацию
|
2
|
3
|
2
|
3
|
2
|
|
Rmax=3
|
|
Затраты времени
|
3
|
1
|
3
|
2
|
1
|
|
|
Матрица преобразованных рангов
|
Критерии
|
Эксперт
|
Сумма
|
КОВ
|
|
1
|
2
|
3
|
4
|
5
|
|
|
|
Эффективность
варианта
|
2
|
1
|
2
|
2
|
0
|
7
|
0,47
|
|
Затраты на
реализацию
|
1
|
0
|
1
|
0
|
1
|
3
|
0, 20
|
|
Затраты времени
|
0
|
2
|
0
|
1
|
2
|
5
|
0,33
|
|
|
|
|
|
|
|
15
|
1
|
|
|
|
|
|
|
|
|
|
Согласно таблице, критерии оценки мероприятий получили
следующие веса:
эффективность варианта;
затраты на реализацию;
затраты времени.
3.2.2
Расчетные таблицы семейств каждого дерева мероприятий (для одного дерева
приводится полный расчет со всеми таблицами, а для остальных деревьев только
результаты расчета)
Таблица расчета альтернатив семейства №1 (пустая)
|
Факторы
|
КВ
|
Использовать
новые печи
|
Использовать
новые материалы
|
Итого
|
|
Эффективность
варианта
|
0,47
|
|
|
|
|
Затраты на
реализацию
|
0, 20
|
|
|
|
|
Затраты времени
|
0,33
|
|
|
|
|
Итоговые оценки
|
|
|
|
|
Расчет весов альтернатив по фактору 1
Фактор 1 - Эффективность варианта
Матрица опроса экспертов
|
Критерии
|
Эксперт
|
|
|
1
|
2
|
3
|
4
|
5
|
|
|
Использовать
новые печи
|
2
|
1
|
1
|
1
|
2
|
|
|
Использовать
новые материалы
|
1
|
2
|
2
|
2
|
1
|
Rmax=2
|
Матрица преобразованных рангов
|
Критерии
|
Эксперт
|
Сумма
|
КВ
|
|
1
|
2
|
3
|
4
|
5
|
|
|
|
Использовать
новые печи
|
0
|
1
|
1
|
1
|
0
|
3
|
0,60
|
|
Использовать
новые материалы
|
1
|
0
|
0
|
0
|
1
|
2
|
0,40
|
|
|
|
|
|
|
|
5
|
1
|
|
|
|
|
|
|
|
|
|
Фактор 2 - Затраты на реализацию
Матрица опроса экспертов
|
Критерии
|
Эксперт
|
|
|
1
|
2
|
3
|
4
|
5
|
|
|
Использовать
новые печи
|
2
|
2
|
2
|
1
|
2
|
|
|
Использовать
новые материалы
|
1
|
1
|
1
|
2
|
1
|
Rmax=2
|
Матрица преобразованных рангов
|
Критерии
|
Эксперт
|
Сумма
|
КВ
|
|
1
|
2
|
3
|
4
|
5
|
|
|
|
Использовать
новые печи
|
0
|
0
|
0
|
1
|
0
|
1
|
0, 20
|
|
Использовать
новые материалы
|
1
|
1
|
1
|
0
|
1
|
4
|
0,80
|
|
|
|
|
|
|
|
5
|
1
|
|
|
|
|
|
|
|
|
|
Фактор 3 - Затраты времени
Матрица опроса экспертов
|
Критерии
|
Эксперт
|
|
|
1
|
2
|
3
|
4
|
5
|
|
|
Использовать
новые печи
|
1
|
2
|
2
|
1
|
2
|
|
|
Использовать
новые материалы
|
2
|
1
|
1
|
2
|
1
|
Rmax=2
|
Матрица преобразованных рангов
|
Критерии
|
Эксперт
|
Сумма
|
КВ
|
|
1
|
2
|
3
|
4
|
5
|
|
|
|
Использовать
новые печи
|
1
|
0
|
0
|
1
|
0
|
2
|
0,40
|
|
Использовать
новые материалы
|
0
|
1
|
1
|
0
|
1
|
3
|
0,60
|
|
|
|
|
|
|
|
5
|
1
|
|
|
|
|
|
|
|
|
|
Таблица расчета альтернатив семейства №1 (заполненная)
|
Факторы
|
КВ
|
Использовать
новые печи
|
Использовать
новые материалы
|
Итого
|
|
Эффективность
варианта
|
0,47
|
0,6
|
0,4
|
1
|
|
Затраты на
реализацию
|
0, 20
|
0,2
|
0,8
|
1
|
|
Затраты времени
|
0,33
|
0,4
|
0,6
|
1
|
|
Итоговые оценки
|
|
0,45
|
0,55
|
|
Результат расчета первого семейства.
Рисунок 5 - Результат расчета первого семейства дерева
мероприятий "Снизить издержки"
Дерево мероприятий №1 (семейство 2)
Матрица опроса экспертов
|
Критерии
|
Эксперт
|
|
|
1
|
2
|
3
|
4
|
5
|
|
|
Эффективность
варианта
|
2
|
1
|
1
|
3
|
3
|
|
|
Затраты на
реализацию
|
1
|
2
|
2
|
2
|
1
|
Rmax=3
|
|
Затраты времени
|
3
|
3
|
3
|
1
|
2
|
|
Матрица преобразованных рангов
|
Критерии
|
Эксперт
|
Сумма
|
КОВ
|
|
1
|
2
|
3
|
4
|
5
|
|
|
|
Эффективность
варианта
|
1
|
2
|
2
|
0
|
0
|
5
|
0,33
|
|
Затраты на
реализацию
|
2
|
1
|
1
|
1
|
2
|
7
|
0,47
|
|
Затраты времени
|
0
|
0
|
0
|
2
|
1
|
3
|
0, 20
|
|
|
|
|
|
|
|
15
|
1
|
|
|
|
|
|
|
|
|
|
Таблица расчета альтернатив семейства №2 (пустая)
|
Факторы
|
КВ
|
На полную
мощность
|
Выбрать
оптимальный режим работы
|
Итого
|
|
Эффективность
варианта
|
0,33
|
|
|
|
|
Затраты на
реализацию
|
0,47
|
|
|
|
|
Затраты времени
|
0, 20
|
|
|
|
|
Итоговые оценки
|
|
|
|
|
Фактор 1 - Эффективность варианта
Матрица опроса экспертов
|
Критерии
|
|
|
1
|
2
|
3
|
4
|
5
|
|
|
На полную
мощность
|
2
|
1
|
2
|
2
|
1
|
|
|
Выбрать
оптимальный режим работы
|
1
|
2
|
1
|
1
|
2
|
Rmax=2
|
Матрица преобразованных рангов
|
Критерии
|
Эксперт
|
Сумма
|
КВ
|
|
1
|
2
|
3
|
4
|
5
|
|
|
|
На полную
мощность
|
0
|
1
|
0
|
0
|
1
|
2
|
0,40
|
|
Выбрать
оптимальный режим работы
|
1
|
0
|
1
|
1
|
0
|
3
|
0,60
|
|
|
|
|
|
|
|
5
|
1
|
|
|
|
|
|
|
|
|
|
Фактор 2 - Затраты на реализацию
Матрица опроса экспертов
|
Критерии
|
Эксперт
|
|
|
1
|
2
|
3
|
4
|
5
|
|
|
На полную
мощность
|
2
|
1
|
2
|
2
|
2
|
|
|
Выбрать
оптимальный режим работы
|
1
|
2
|
1
|
1
|
1
|
Rmax=2
|
Матрица преобразованных рангов
|
Критерии
|
Эксперт
|
Сумма
|
КВ
|
|
1
|
2
|
3
|
4
|
5
|
|
|
|
На полную
мощность
|
0
|
1
|
0
|
0
|
0
|
1
|
0, 20
|
|
Выбрать
оптимальный режим работы
|
1
|
0
|
1
|
1
|
1
|
4
|
0,80
|
|
|
|
|
|
|
|
5
|
1
|
|
|
|
|
|
|
|
|
|
Фактор 3 - Затраты времени
Матрица опроса экспертов
|
Критерии
|
Эксперт
|
|
|
1
|
2
|
3
|
4
|
5
|
|
|
На полную
мощность
|
2
|
1
|
1
|
2
|
1
|
|
|
Выбрать
оптимальный режим работы
|
1
|
2
|
2
|
1
|
2
|
Rmax=2
|
Матрица преобразованных рангов
|
Критерии
|
Эксперт
|
Сумма
|
КВ
|
|
1
|
2
|
3
|
4
|
5
|
|
|
|
На полную
мощность
|
0
|
1
|
1
|
0
|
1
|
3
|
0,60
|
|
Выбрать
оптимальный режим работы
|
1
|
0
|
0
|
1
|
0
|
2
|
0,40
|
|
|
|
|
|
|
|
5
|
1
|
|
|
|
|
|
|
|
|
|
Таблица расчета альтернатив семейства №2 (заполненная)
|
Факторы
|
КВ
|
На полную
мощность
|
Выбрать
оптимальный режим работы
|
Итого
|
|
Эффективность
варианта
|
0,33
|
0,4
|
0,6
|
1
|
|
Затраты на
реализацию
|
0,47
|
0,2
|
0,8
|
1
|
|
Затраты времени
|
0, 20
|
0,6
|
0,4
|
1
|
|
Итоговые оценки
|
|
0,35
|
0,65
|
|
Дерево мероприятий №1 (семейство 3)
Матрица опроса экспертов
|
Критерии
|
Эксперт
|
|
|
1
|
2
|
3
|
4
|
5
|
|
|
Эффективность
варианта
|
1
|
1
|
3
|
1
|
2
|
|
|
Затраты на
реализацию
|
2
|
3
|
1
|
2
|
3
|
Rmax=3
|
|
Затраты времени
|
3
|
2
|
2
|
3
|
1
|
|
Матрица преобразованных рангов
|
Критерии
|
Эксперт
|
Сумма
|
КВ
|
|
1
|
2
|
3
|
4
|
5
|
|
|
|
Эффективность
варианта
|
2
|
2
|
0
|
2
|
1
|
7
|
0,46
|
|
Затраты на
реализацию
|
1
|
0
|
2
|
1
|
0
|
4
|
0,27
|
|
Затраты времени
|
0
|
1
|
1
|
0
|
2
|
4
|
0,27
|
|
|
|
|
|
|
|
15
|
1
|
|
|
|
|
|
|
|
|
|
Таблица расчета альтернатив семейства №2 (пустая)
|
Факторы
|
КВ
|
Материалы
высшего качества
|
Материалы среднего
качества
|
Итого
|
|
Эффективность
варианта
|
0,46
|
|
|
|
|
Затраты на
реализацию
|
0,27
|
|
|
|
|
Затраты времени
|
0,27
|
|
|
|
|
Итоговые оценки
|
|
|
|
|
Фактор 1 - Эффективность варианта
Матрица опроса экспертов
|
Критерии
|
Эксперт
|
|
|
1
|
2
|
3
|
4
|
5
|
|
|
Материалы
высшего качества
|
1
|
2
|
1
|
1
|
2
|
|
|
Материалы
среднего качества
|
2
|
1
|
2
|
2
|
1
|
Rmax=2
|
Матрица преобразованных рангов
|
Критерии
|
Эксперт
|
Сумма
|
КВ
|
|
1
|
2
|
3
|
4
|
5
|
|
|
|
Материалы
высшего качества
|
1
|
0
|
1
|
1
|
0
|
3
|
0,60
|
|
Материалы
среднего качества
|
0
|
1
|
0
|
0
|
1
|
2
|
0,40
|
|
|
|
|
|
|
|
5
|
1
|
|
|
|
|
|
|
|
|
|
Фактор 2 - Затраты на реализацию
Матрица опроса экспертов
|
Критерии
|
Эксперт
|
|
|
1
|
2
|
3
|
4
|
5
|
|
|
Материалы
высшего качества
|
1
|
2
|
2
|
1
|
2
|
|
|
Материалы
среднего качества
|
2
|
1
|
1
|
2
|
1
|
Rmax=2
|
Матрица преобразованных рангов
|
Критерии
|
Эксперт
|
Сумма
|
КВ
|
|
1
|
2
|
3
|
4
|
5
|
|
|
|
Материалы
высшего качества
|
1
|
0
|
0
|
1
|
0
|
2
|
0,40
|
|
Материалы
среднего качества
|
0
|
1
|
1
|
0
|
1
|
3
|
0,60
|
|
|
|
|
|
|
|
5
|
1
|
|
|
|
|
|
|
|
|
|
Фактор 3 - Затраты времени
Матрица опроса экспертов
|
Критерии
|
|
|
1
|
2
|
3
|
4
|
5
|
|
|
Материалы
высшего качества
|
1
|
1
|
2
|
1
|
2
|
|
|
Материалы
среднего качества
|
2
|
2
|
1
|
2
|
1
|
Rmax=2
|
Матрица преобразованных рангов
|
Критерии
|
Эксперт
|
Сумма
|
КВ
|
|
1
|
2
|
3
|
4
|
5
|
|
|
|
Материалы
высшего качества
|
1
|
1
|
0
|
1
|
0
|
3
|
0,60
|
|
Материалы
среднего качества
|
0
|
0
|
1
|
0
|
1
|
2
|
0,40
|
|
|
|
|
|
|
|
5
|
1
|
|
|
|
|
|
|
|
|
|
Таблица расчета альтернатив семейства №2 (заполненная)
|
Факторы
|
КВ
|
Материалы
высшего качества
|
Материалы
среднего качества
|
Итого
|
|
Эффективность
варианта
|
0,46
|
0,6
|
0,4
|
1
|
|
Затраты на
реализацию
|
0,27
|
0,4
|
0,6
|
1
|
|
Затраты времени
|
0,27
|
0,6
|
0,4
|
1
|
|
Итоговые оценки
|
|
0,55
|
0,45
|
|
Результаты расчета и выбора эффективного варианта.
Рисунок 6 - Результаты расчета и выбора эффективного варианта
По результатам расчетов с учетом выбранных факторов и их
весомости наиболее эффективным является вариант снижения издержек за счет
использования новых высококачественных материалов, т.к. этот вариант имеет
максимальный вес (0,30).
3.3
Определение эффективных мероприятий во всех деревьях мероприятий
Курсивом выделены оптимальные мероприятия на ветвях деревьев.
Рисунок 7 - Дерево мероприятий для подцели "Увеличить
оборачиваемость"
Рисунок 8 - Дерево мероприятий для подцели "Увеличить
производительность"
Рисунок 9 - Дерево мероприятий для подцели "Заказать
написание статьи в местной прессе"
Рисунок 10 - Дерево мероприятий для подцели "Разместить
рекламные материалы в фирмы ритуальных услуг"
Рисунок 11 - Дерево мероприятий для подцели
"Объединиться с фирмами ритуальных услуг"
Рисунок 12 - Дерево мероприятий для подцели "Повысить
эффективность воздействия с помощью рекламных средств"
Рисунок 13 - Дерево мероприятий для подцели "С помощью
написания статей на правах рекламы"
Рисунок 14 - Дерево мероприятий для подцели "С помощью
популяризации идеи"
3.4 Выводы
(формирование полного перечня мероприятий по достижению цели)
Полученные выше при расчете и анализе деревьев мероприятий
наиболее эффективные варианты мероприятий (имеющие большие веса среди
альтернативных вариантов каждого дерева) позволят нам сформировать развернутый
список работ по реализации всех выбранных мероприятий.
Итак, мы имеем следующий список работ:
снизить издержки за счет использования новых
высококачественных материалов;
увеличить оборачиваемость за счет увеличения числа печей на 2
единицы;
увеличить производительность за счет покупки новых печей в
лизинг;
заказать написание статьи о работе крематория в
"Кузнецком рабочем" на 1 страницу;
разместить в фирмы ритуальных услуг максимально эффективные
рекламные материалы, заказанные в рекламном агентстве;
объединиться с фирмами ритуальных услуг, оплачивая им
комиссионные - 15%;
повысить эффективность воздействия на целевую аудиторию с
помощью рекламных средств, размещая информацию в местных печатных СМИ;
повысить эффективность воздействия на целевую аудиторию с
помощью написания статей на правах рекламы в газете "Кузнецкий
рабочий" объемом в 1 страницу;
популяризировать идею кремации с помощью создания собственных
рекламных материалов - совместной работы дизайнера и маркетолога.
4. Сетевой
график реализации мероприятий
4.1
Построение сетевого графика
|
Обозначение
работы
|
Наименование
(содержание) работы
|
Предшествующие
работы
|
|
а1
|
снизить
издержки за счет использования новых высококачественных материалов
|
-
|
|
а2
|
увеличить
оборачиваемость за счет увеличения числа печей на 2 единицы
|
-
|
|
а3
|
увеличить
производительность за счет покупки новых печей в лизинг
|
а1
|
|
а4
|
заказать
написание статьи о работе крематория в "Кузнецком рабочем" на 1
страницу
|
а2, а3
|
|
а5
|
разместить в
фирмы ритуальных услуг максимально эффективные рекламные материалы,
заказанные в рекламном агентстве
|
а4
|
|
а6
|
объединиться с
фирмами ритуальных услуг, оплачивая им комиссионные - 15%
|
а6
|
|
а7
|
повысить
эффективность воздействия на целевую аудиторию с помощью рекламных средств,
размещая информацию в местных печатных СМИ
|
а4
|
|
а8
|
повысить
эффективность воздействия на целевую аудиторию с помощью написания статей на
правах рекламы в газете "Кузнецкий рабочий" объемом в 1 страницу
|
а7
|
|
а9
|
популяризировать
идею кремации с помощью создания собственных рекламных материалов -
совместной работы дизайнера и маркетолога
|
а8
|
Определим длительность работ.
|
Обозначение
работы
|
Наименование
(содержание) работы
|
Длительность,
дней
|
|
а1
|
снизить
издержки за счет использования новых высококачественных материалов
|
10
|
|
а2
|
увеличить
оборачиваемость за счет увеличения числа печей на 2 единицы
|
60
|
|
а3
|
увеличить
производительность за счет покупки новых печей в лизинг
|
40
|
|
а4
|
заказать
написание статьи о работе крематория в "Кузнецком рабочем" на 1
страницу
|
10
|
|
а5
|
разместить в
фирмы ритуальных услуг максимально эффективные рекламные материалы,
заказанные в рекламном агентстве
|
20
|
|
а6
|
объединиться с
фирмами ритуальных услуг, оплачивая им комиссионные - 15%
|
30
|
|
а7
|
повысить
эффективность воздействия на целевую аудиторию с помощью рекламных средств,
размещая информацию в местных печатных СМИ
|
30
|
|
а8
|
повысить
эффективность воздействия на целевую аудиторию с помощью написания статей на
правах рекламы в газете "Кузнецкий рабочий" объемом в 1 страницу
|
10
|
|
а9
|
популяризировать
идею кремации с помощью создания собственных рекламных материалов -
совместной работы дизайнера и маркетолога
|
10
|
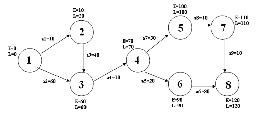
Построим сетевой график.
Рисунок 15 - Сетевой график
4.2 Расчёт
численных характеристик сетевого графика, оптимизация графика выполнения
мероприятий
Сетевой график
|
Работа
|
Длительность
|
Время начала
|
Время окончания
|
Резервы
|
Vнач
|
Vкон
|
|
|
Es
|
Ls
|
Ef
|
Lf
|
Полн
|
Своб
|
Незав
|
E
|
L
|
E
|
L
|
|
а1
|
10
|
0
|
10
|
10
|
20
|
10
|
0
|
0
|
0
|
10
|
10
|
20
|
|
а2
|
60
|
0
|
0
|
60
|
60
|
0
|
0
|
0
|
0
|
0
|
60
|
60
|
|
а3
|
40
|
10
|
20
|
50
|
60
|
10
|
10
|
0
|
10
|
20
|
50
|
60
|
|
а4
|
10
|
60
|
60
|
70
|
70
|
0
|
0
|
0
|
60
|
60
|
70
|
70
|
|
а5
|
20
|
70
|
70
|
90
|
90
|
0
|
0
|
0
|
70
|
70
|
90
|
90
|
|
а6
|
30
|
90
|
90
|
120
|
120
|
0
|
0
|
0
|
90
|
90
|
120
|
120
|
|
а7
|
30
|
70
|
70
|
100
|
100
|
0
|
0
|
0
|
70
|
70
|
100
|
100
|
|
а8
|
10
|
100
|
100
|
110
|
110
|
0
|
0
|
0
|
100
|
100
|
110
|
110
|
|
а9
|
10
|
110
|
110
|
120
|
120
|
0
|
0
|
0
|
110
|
110
|
120
|
120
|
Критические пути длиной 120 дней:
путь №1: а2-а4-а5-а6;
путь №2: а2-а4-а7-а8-а9.
Критические пути найдены. Выполнение работ а1 и а3 в
совокупности можно задержать на 10 дней без увеличения срока выполнения работ.
Заключение
В курсовой работе был проведен системный анализ повышения
эффективности деятельности Новокузнецкого крематория, построено дерево целей,
проведен расчет коэффициентов относительной важности, построены деревья
мероприятий с коэффициентами весомости альтернативных вариантов решений,
построен сетевой график реализации мероприятий.
Объектом исследования являлась методология повышения
эффективности работы крематория.
Предметом исследования являлись процедуры организации и
проведения мероприятий по повышению эффективности работы крематория.
Целью написания данной работы являлось овладение
практическими навыками системного анализа.
На основе дерева проблем было составлено дерево целей.
Был составлен список работ на основе анализа деревьев
мероприятий:
снизить издержки за счет использования новых
высококачественных материалов;
увеличить оборачиваемость за счет увеличения числа печей на 2
единицы;
увеличить производительность за счет покупки новых печей в
лизинг;
заказать написание статьи о работе крематория в
"Кузнецком рабочем" на 1 страницу;
разместить в фирмы ритуальных услуг максимально эффективные
рекламные материалы, заказанные в рекламном агентстве;
объединиться с фирмами ритуальных услуг, оплачивая им
комиссионные - 15%;
повысить эффективность воздействия на целевую аудиторию с
помощью рекламных средств, размещая информацию в местных печатных СМИ;
повысить эффективность воздействия на целевую аудиторию с
помощью написания статей на правах рекламы в газете "Кузнецкий
рабочий" объемом в 1 страницу;
популяризировать идею кремации с помощью создания собственных
рекламных материалов - совместной работы дизайнера и маркетолога.
Общая продолжительность работ составит, ориентировочно, 120
дней. Было найдено два критических пути.
Был выявлен резерв. Выполнение работ а1 и а3 в совокупности
можно задержать на 10 дней без увеличения срока выполнения работ.
Список
литературы
1. Кричевский
А.И. Системный анализ. - Новосибирск: НГУЭУ, 2005. - 124 с.