Прогнозування видобутку залізної руди на підприємстві 'Схід-руда'
Зміст
1. ТЕОРЕТИЧНІ ОСНОВИ
ЕКОНОМІКО-МАТЕМАТИЧноГО МОДЕЛЮВаННЯ
.1 Економічне прогнозування
.2 Часові ряди і їх
попередній аналіз
.3 Трендові моделі на основі
кривих росту
.3.1 Поліноміальні криві
росту
.3.2 Експоненціальні криві
росту
.3.3 S - образні криві росту
.4 Оцінка адекватності й
точності трендових моделей
. Економічний аналіз
діяльності підприємства ТОВ «Схід-Руда»
.1 Загальна характеристика
підприємства як ланки народного господарства України
.1.1 Тенденція розвитку
гірничо-металургійного комплексу України
.1.2 Історія розвитку та
характеристика ТОВ «Схід-Руда»
.1.3 Номенклатура й
асортимент послуг підприємства
.2 Загальна економічна
характеристика підприємства ТОВ «Схід-Руда»
.3 Аналіз основних фінансових
показників ТОВ «Схід-Руда»
. економіко-математичне
моделювання видОбутку на ТОВ «Схід-руда»
.1 Вибір моделей
прогнозування
.2 Знаходження параметрів
моделей
.3 Оцінка точності та
адекватності моделей
.4 Побудова прогнозу
.5 Автоматизована
інформаційна система для прогнозування за трендовими і адаптивними моделями
.6 Інструкція користувачу
ВИСНОВКИ
СПИСОК ВИКОРИСТАНОЇ ЛІТЕРАТУРИ
ВСТУП
У процесі реформування економіки все більшою мірою зростає
попит на прогнозні дослідження соціально-економічних процесів на різних рівнях
керування й прийняття рішень. Правильний вибір рішення перебуває в прямої
залежності від якості його обґрунтування. Прогнозування є однієї з функцій
керування, поряд з аналізом, організацією, плануванням, мотивацією й т.д.
Активними споживачами прогнозних розробок є мільйони агентів ринку, домашні
господарства, органи державного й територіального керування. У демократичному
відкритому суспільстві необхідно представляти альтернативні варіанти розвитку
суспільства, можливості, що існують у кожного учасника ринкових відносин.
До теперішнього часу накопичені достатній досвід і набір
інструментів як для довгострокового, так і короткострокового прогнозування.
Прогнозування - це науково-обґрунтоване пророкування найбільш імовірного стану,
тенденцій і особливостей розвитку керованого об'єкта в перспективному періоді
на основі виявлення й правильної оцінки стійких зв'язків і залежностей між
минулим, сьогоденням і майбутнім.
Прогнозування дозволяє розкрити стійкі тенденції, або,
навпаки, істотні зміни в соціально-економічних процесах, оцінити їхня
ймовірність для майбутнього планового періоду, виявити можливі альтернативні
варіанти, нагромадити науковий і емпіричний матеріал для обґрунтованого вибору
тої або іншої концепції розвитку або планового рішення.
Викладені обставини визначили актуальність і вибір теми
дипломної роботи, яка присвячена моделям прогнозування видобутку підприємства
на прикладі підприємства «Схід-руда».
Мета роботи - розглянути теоретичні аспекти прогнозування з
застосуванням тренд-сезонних моделей динамічного ряду; автоматизувати процес
прогнозування видобутку залізної руди підприємства «Схід-руда» на 2011 рік,
маючи дані прибутку за попередні квартали.
Прогнозування видобутку дає можливість зміцнити фінансовий
стан підприємства, прийняти більш ефективні управлінські рішення щодо розвитку
ділової активності й удосконалення процесу надання послуг підприємства ТОВ
«Схід-руда».
Створення кваліфікованого прогнозу прибутку являє собою
дослідження, проведення якого вимагає певної підготовки й знання сукупності
сучасних підходів і методів статистичного аналізу й прогнозування часових
рядів. Крім того, процедура розробки прогнозів прибутку значно ускладнюється у
зв'язку з об'єктивною необхідністю аналізу й оцінки сезонних коливань
видобутку.
1. ТЕОРЕТИЧНІ ОСНОВИ
ЕКОНОМІКО-МАТЕМАТИЧНОГО МОДЕЛЮВАННЯ
1.1
Економічне прогнозування
Прогноз (грец. - передбачення) - науково обґрунтоване
судження, що дає випереджаючу інформацію про розвиток об’єкта у майбутньому та
можливих шляхів і термінів його досягнення.
Економічне прогнозування - виявлення стану та можливих
напрямків розвитку економічних явищ і процесів на різних рівнях економічної
системи (мікро-, мезо-, макрорівні).
Джерела прогнозної інформації:
· накопичені знання та досвід
(теоретичні та емпіричні знання про закономірності розвитку процесів);
· фактична і статистична інформація
щодо об'єкта прогнозування;
· економіко-математичні моделі.
Способи прогнозування:
· експертний (лат. - досвідчений) -
шляхом опитування спеціалістів стосовно об'єкта прогнозування;
· екстраполяції (лат. - згладжувати) -
збирання інформації щодо розвитку об'єкта у минулому і перенесення
закономірностей цього розвитку на майбутнє;
· моделювання (франц. - ліпити,
формувати) - дослідження, що базуються на побудові моделей об'єкта відповідно
до очікуваних (бажаних) змін у його стані.
Існують такі форми наукового передбачення:
· Гіпотеза - наукове передбачення на
рівні загальної теорії, тобто якісної характеристики досліджуваного об’єкта, що
відображає загальні закономірності (причинно-наслідкові зв’язки) його функціонування.
· Прогноз - достовірне і більш
визначене наукове передбачення, оскільки базується не тільки на якісних, а й на
кількісних оцінках (проте має ймовірний, варіантний характер).
· План - характеризується більш вищим
ступенем достовірності й конкретності (постановка конкретної цілі, передбачення
способів її досягнення та однозначність рішення).
За масштабом прогнози поділяються на:
· Структурні (міжгалузеві,
міжрегіональні);
· Прогнози розвитку окремих комплексів,
секторів, регіонів;
· Макроекономічні (національної
економіки);
· Прогнози окремих господарюючих
суб’єктів, а також окремих виробництв і продуктів.
За часом:
· Оперативний (до 1 місяця);
· Короткостроковий (до 1 року);
· Середньостроковий (1-5 років);
· Довгостроковий (15-25 років);
· Далекостроковий (понад 25 років).
За об’єктом:
· Природних ресурсів;
· Трудових ресурсів;
· Інвестицій;
· Науково - технічний;
· Соціальний;
· Зайнятості;
· Доходів;
· Зовнішньоекономічний тощо.
За функціональною ознакою:
· Пошуковий;
· Нормативний.
Пошуковий прогноз базується на умовному перенесенні на
майбутнє тенденцій розвитку об’єкта, що склалися у минулому та діють нині,
абстрагується від факторів, здатних змінити ці тенденції. Мета пошукового
прогнозу - з'ясувати, як розвиватимуться події за збереження існуючих
тенденцій.
Нормативний прогноз (на відміну від пошукового) розробляється
на основі заданих цілей (нормативів) і передбачає визначення способів і терміну
їх досягнення.
У таблиці 1.1.1 наведена різниця між пошуковим та нормативним
прогнозом.
Таблиця 1.1.1
Різниця між пошуковим та нормативним прогнозом
|
Критерій
|
Пошуковий
|
Нормативний
|
|
Основні засади
побудови
|
Аналіз минулих та
діючих тенденцій розвитку об’єкта без урахування можливих змін умов та інших
факторів
|
Розробляється за
заданими цілями (нормативами)
|
|
Завдання
|
З’ясувати, як
розвиватиметься об’єкт за збереження існуючих умов (тенденцій)
|
Визначити шляхи і
строки досягнення можливого стану об’єкта прогнозування у майбутньому як ціль
його розвитку
|
|
Алгоритм (логіка,
послідовність) побудови прогнозу
|
Вихідним пунктом у
визначенні майбутнього стану об’єкта є його минулий і теперішній рівень
розвитку
|
Здійснюється у
зворотному напрямку - від заданого стану в майбутньому до тенденцій, що вже
склалися
|
У таблиці 1.1.2. наведена класифікація методів економічного
прогнозування за ступенем формалізації.
Таблиця 1.1.2
Класифікація методів економічного прогнозування
|
Методи
|
|
Інтуїтивні
|
Формалізовані
|
|
Індивідуальні
|
Колективні
|
Екстраполяція
|
Моделювання
|
|
Анкетний
|
Метод «комісій»
|
Плинних середніх
|
Факторне
|
|
Інтерв’ю
|
«Мозкова атака»
|
Найменших квадратів
|
Структурне
|
|
Аналітичний
|
Матричний
|
Дисперсія
|
Сіткове
|
|
Побудови сценарію
|
Метод «Дельфі»
|
Регресійного
аналізу
|
Комбіноване
|
|
«Дерево цілей»
|
|
Кореляції
|
Імітаційне
|
|
|
Інші статистичні
методи
|
|
Прогноз має включати три основні елементи: ціль, способи її
реалізації та необхідні ресурси. Інтуїтивні методи дають можливість визначити
ціль і, в деяких випадках, засоби її досягнення, а також визначити ресурсне
забезпечення, що є завданням формалізованих методів.
Методи експертної оцінки (інтуїтивні) передбачають розробку
прогнозу на основі індивідуального чи колективного опитування спеціалістів
(експертів). Використовуються для аналізу і прогнозування складних об'єктів
(явищ, процесів), на розвиток яких впливають багато факторів.
Індивідуальні інтуїтивні методи засновані на зборі інформації
від окремих спеціалістів.
Анкетний метод передбачає опитування експертів за допомогою
спеціально складеного переліку питань щодо майбутнього розвитку об'єкта
прогнозування (анкети).
Аналітичний метод здійснюється на основі логічного аналізу
ситуації, що склалася, і передбачає підготовку аналітичних доповідних записок.
Метод написання сценарію базується на визначенні логіки
розвитку процесу чи явища, виходячи із конкретної ситуації (побудова алгоритму
вирішення проблеми).
«Дерево цілей» використовується для аналізу та прогнозування
систем, об’єктів, процесів, у яких можна виділити кілька структурних чи
ієрархічних рівнів (А, Б, В, тощо) та базується на послідовному виділенні
дрібніших компонентів системи на нижчих рівнях.
Методи колективної експертної оцінки - розробка прогнозу на
основі колективного обговорення проблеми, обробки матеріалів опитування
експертів, узгодження й узагальнення їхніх суджень щодо майбутнього розвитку
об'єкта.
Метод "комісій" - обговорення актуальної проблеми
групою спеціалістів і складання прогнозу за результатами обговорення.
Матричний метод передбачає опитування експертів, спеціальну
обробку отриманої інформації і складання експертної матриці - таблиці, у якій
по горизонталі зазначені напрямки дослідження (запитання для експертів), по
вертикалі - експерти. На перетині рядків і стовпчиків відображені міркування
спеціаліста з конкретного питання.
"Мозкова атака" - активний творчий процес
обговорення конкретної актуальної проблеми групою висококваліфікованих
спеціалістів і оперативне вироблення продуктивних рішень.
Етапи прогнозування за допомогою методу "мозкова
атака":
· Формування груп учасників: 10-15
чоловік висококваліфікованих, ерудованих спеціалістів.
· Складання завдання для учасників:
· опис методу, за яким проводиться
"мозкова атака" (принципи, умови, гарантії авторства генераторам
ідей);
· опис проблемної ситуації (аналіз
причин, можливих наслідків, шляхів вирішення проблеми, формулювання проблемної
ситуації у вигляді питань).
· Генерація ідей - обговорення
проблемної ситуації за певними правилами: точні й лаконічні висловлювання
(максимум три речення). Примітка: не дозволяються скептичні й критичні
зауваження, а також використання так званих домашніх заготовок.
· Систематизація висловлених ідей.
· Складання прогнозу у вигляді списку
ідей відносно майбутнього розвитку об'єкта, які можна і потрібно реалізувати.
Метод "Дельфі" - системний збір інформації про
об'єкт прогнозування шляхом опитування експертів та узагальнення даних.
Особливості методу "Дельфі":
· анонімність експертів (учасники
експертної оцінки не знайомі один з одним);
· використання результатів попереднього
туру опитування (із анкет обирається необхідна інформація);
· статистичний характер групової
відповіді (відображення точки зору більшості).
Формалізовані методи прогнозування - складання прогнозу на
основі використання математичних формул та економіко-математичних моделей для
визначення кількісних параметрів. Є дві групи методів: прогнозної екстраполяції
та економіко-математичне моделювання.
Методи прогнозної екстраполяції - вивчення попереднього і
сучасного стану розвитку об'єкта і перенесення закономірностей минулого і
сучасного розвитку на майбутнє.
Найпростішим методом екстраполяції є метод найменших квадратів,
за допомогою якого встановлюються розмах коливань прогнозованих тенденції чи
явища, тобто прогнозується можливий ризик неотримання прогнозного результату.
Екстраполяція на основі плинних середніх використовується за умов
короткострокового прогнозування.
Економіко-математичне моделювання - спосіб прогнозування, що
передбачає конструювання моделі (зразка) реального процесу чи явища, що мають
відбутися у майбутньому.
Економіко-математична модель (EMM) - система формалізованих
співвідношень, які описують основні взаємозв'язки елементів, що утворюють
економічну систему.
У таблиці 1.1.3. наведена класифікація економіко-математичних
моделей.
Таблиця 1.1.3
Класифікація економіко-математичних моделей
|
Критерій
|
Види моделей
|
|
За очікуваним
результатом
|
ЕММ, у яких мінімізуються
витрати
|
|
ЕММ, у яких
максимізується кінцевий результат
|
|
За часом
|
Статичні
|
|
Динамічні
|
|
За рівнем
агрегування показників
|
Макроекономічні
|
|
Міжгалузеві
|
|
Галузеві
|
|
Регіональні
|
|
За об’єктом
|
Природних ресурсів
|
|
Трудових ресурсів
|
|
Інвестицій
|
|
Доходів
|
|
Зайнятості тощо
|
|
За характером і
змістом
|
Факторні
|
|
Структурні
|
|
Комбіновані
|
|
Сіткові
|
|
Імітаційні
|
Факторні моделі описують залежність рівня і динаміки певного
економічного показника від рівня і динаміки показників-аргументів, тобто
факторів, що впливають на нього. Моделі бувають одно- і багатофакторні
(прикладом може бути виробнича функція).
Структурні моделі описують зв'язки між окремими елементами,
які утворюють єдине ціле або агрегат (прикладом є міжгалузевий баланс).
Комбіновані моделі досліджують характеристики як структурних,
так і факторних моделей.
Сіткові моделі мають основним завданням оптимізацію
прогнозних рішень за допомогою методів математичного програмування. За їх
допомогою складають оптимальні програми випуску продукції за наявних ресурсів,
оптимального завантаження виробництва, раціонального розвитку окремих регіонів
тощо.
Імітаційні моделі відображають розвиток економіки як складної
економічної системи (наприклад, модель макроекономіки - система національних
рахунків, модель структури економіки тощо).
1.2
Часові ряди і їх попередній аналіз
Часовим рядом називається
впорядкована за часом послідовність спостережень.
Виділяють одновимірні часові ряди,
отримані при фіксованій кількісній характеристиці, і багатовимірні часові ряди,
отримані при спостереженні декількох характеристик виділеного об'єкту.
Часові ряди можуть бути дискретними і
безперервними. У складі дискретних виділяють ряди для рівновіддалених моментів
спостереження і для довільних моментів спостереження.
Часові ряди бувають детермінованими і
випадковими: перші отримують на основі значень деякої невипадкової функції;
другі є результат реалізації деякої випадкової величини.
Особливо слід виділити стаціонарні і
нестаціонарні ряди. Ряд у(t) називається стаціонарним (у
вузькому сенсі), якщо закон розподілу вірогідностей випадкової величини у(t)
не залежить від t.
При дослідженні рядів динаміки
виникає ряд труднощів:
· Характерною рисою часових
рядів є істотність порядку спостережень, тоді як у випадковій вибірці порядок
проходження елементів неважливий;
· Ряди економічних показників
містять довготривалі тенденції - тренди;
· Вибірка містить порівняно
небагато елементів, що ускладнює прогнозування досліджуваних явищ;
· Економічні ряди динаміки
часто є сильно автокорельованими;
· Можливе існування часових
лагів між рядами;
· При побудові багатофакторних
регресійних моделей по рядах динаміки часто виникає проблема
мультіколлінеарності;
· Розвиток економічних процесів
і явищ відбувається безперервно, але реально досліджувати можна лише дискретні
за часом значення процесу;
· Члени часового ряду не є
однаково розподіленими.
Метою аналізу часового ряду є
досягнення розуміння причинних механізмів, що зумовили появу цього ряду. В
реальності ряд може відображати один з аспектів складного явища, що породжує
декілька динамічних рядів. Але на практиці обмежуються вивченням типу поведінки
окремого ряду і побудовою моделей, які пояснюють цей тип поведінки.
Якщо в часовому ряду виявляється
тривала тенденція зміни економічного показника, то говорять, що має місце
тренд. Таким чином, під трендом розуміється зміна, що визначає загальний
напрям розвитку, основну тенденцію часових рядів. У зв'язку з цим
економіко-математична динамічна модель, в якій розвиток модельованої
економічної системи відбивається через тренд її основних показників,
називається трендової моделлю. Для виявлення тренда в часових рядах, а
також для побудови і аналізу трендових моделей використовується апарат теорії
вірогідності і математичної статистики, розроблений для простих статистичних
сукупностей. Відмінність часових економічних рядів від простих статистичних
сукупностей полягає перш за все в тому, що послідовні значення рівнів часового
ряду залежать один від одного.
Припустимо, є часовий ряд, що
складається з п рівнів:
y1, y2, y3, . . . , yn.
У найзагальнішому випадку часовий ряд
економічних показників можна розкласти на чотири структурно утворюючих
елементи:
· тренд,
складові якого позначатимемо
;
· сезонна
компонента, така, що позначається через
;
· циклічна
компонента, така, що позначається через
;
· випадкова
компонента, яку позначатимемо
.
Під трендом розуміється стійка
систематична зміна процесу протягом тривалого часу.
У часових рядах економічних процесів
можуть мати місце більш - менш регулярні коливання. Якщо вони носять суворо
періодичний або близький до нього характер і завершуються протягом одного року,
то їх називають сезонними коливаннями. У тих випадках, коли
період коливань складає декілька років, то говорять, що в часовому ряду
присутня циклічна компонента.
Тренд, сезонна і циклічна компоненти
називаються регулярними або систематичними компонентами часового ряду.
Складова частина часового ряду, що залишається після виділення з нього
регулярних компонент, є випадковою, нерегулярною компонентою. Вона є
обов'язковою складовою частиною будь-якого часового ряду в економіці, оскільки
випадкові відхилення неминуче супроводжують будь-яке економічне явище. Одна з
головних цілей при розробці трендових моделей - це правильність визначення
часових компонент часового ряду. Після виділення з часового ряду цих компонент
залишається так звана залишкова послідовність (ряд залишків) що буде
випадковою компонентою ряду, тобто володітиме наступними властивостями:
· випадковістю коливань рівнів
залишкової послідовності;
· відповідністю розподілу
випадкової компоненти нормальному закону розподілу;
· рівністю математичного
очікування випадкової компоненти нулю;
· незалежністю значень рівнів
випадкової послідовності, тобто відсутністю істотної автокореляції.
Для визначення наявності тренда в
початковому часовому ряду застосовується декілька методів. Розглянемо метод
перевірки різниць середніх рівнів. Реалізація цього методу складається з
чотирьох етапів.
На першому етапі початковий часовий
ряд
, y2, y3, . . . , yn.
розбивається на дві приблизно рівні
по числу рівнів частини: у першій частині п1 перших рівнів початкового
ряду, в другій - п2 решти рівнів (п1+ п2 = п).
На другому етапі для кожної з цих
частин обчислюються середні значення і дисперсії:
;
;(1.2.1)
;
.(1.2.2)
Третій етап полягає в перевірці рівності (однорідності) дисперсій обох
частин ряду за допомогою F-критерія Фішера, який заснований на
порівнянні розрахункового значення цього критерію:
з табличним (критичним) значенням критерію Фішера
із заданим рівнем значущості (рівнем помилки)
. У якості
найчастіше
беруть значення 0,1 (10%-ая помилка), 0,05 (5%-ая помилка), 0,01 (1%-ая
помилка). Величина 1 -
називається довірчою вірогідністю.
Якщо F більше або рівне
,
гіпотеза про рівність
дисперсій відхиляється і робиться висновок, що даний метод для визначення
наявності тренда відповіді не дає. Якщо розрахункове значення F менше
табличного
, то
гіпотеза про рівність дисперсій приймається.
На четвертому етапі перевіряється гіпотеза про відсутність тренда з
використанням t-критерия Стьюдента. Для цього визначається
розрахункове значення критерію Стьюдента по формулі (1.2.3):
,
(1.2.3)
де а - середньоквадратичне відхилення різниці середніх, яке
розраховується по формулі (1.2.3.2):
.
(1.2.4)
Якщо розрахункове значення t менше табличного значення
статистики Стьюдента
із
заданим рівнем значущості
, гіпотеза приймається, тобто тренда немає, інакше
тренд є. Відмітимо, що в даному випадку табличне значення
береться
для числа мір свободи, рівного
,
при цьому даний метод застосовний тільки для рядів з монотонною тенденцією.
Метод Фостера-Стьюарта володіє великими можливостями і дає надійніші
результати в порівнянні з попереднім. Окрім тренда самого ряду (тренда в
середньому), він дозволяє встановити наявність тренда дисперсії часового ряду:
якщо тренда дисперсії немає, то розкид рівнів ряду постійний; якщо дисперсія
збільшується, то ряд «розгойдується». Реалізація методу також містить чотири
етапи.
На першому етапі проводиться порівняння кожного рівня початкового
часового ряду, починаючи з другого рівня, з усіма попередніми, при цьому
визначаються дві числові послідовності:
,
якщо
більше за всі попередні рівні
,
в іншому випадку
,
якщо
менше за всі попередні рівні
,
в іншому випадку
.
На другому етапі обчислюються величини s і d:
;
.
Неважко відмітити, що величина s, що характеризує зміну часового
ряду, набуває значень від 0 (всі рівні ряду рівні між собою) до п-1 (ряд
монотонний). Величина d характеризує зміну дисперсії рівнів тимчасового
ряду і змінюється від -(п-1) (ряд монотонно убуває) до (п-1) (ряд
монотонно зростає).
Третій етап полягає в перевірці гіпотез: чи можна вважати за випадкові:
· відхилення
величини s від величини
- математичного очікування величини s для ряду, в
якому рівні розташовані випадковим чином,
· відхилення
величини d від нуля.
Ця перевірка проводиться з
використанням розрахункових значень t-критерия Стьюдента для середньої і
для дисперсії:
;
;
;
,
де
- математичне очікування величини s, визначеною
для ряду, в якому рівні розташовані випадковим чином;
-
середньоквадратичне відхилення для величини s;
-
середньоквадратичне відхилення для величини d.
Для зручності є табульовані значення величин
; фрагмент цих значень представлений в таблиці 1.2.1.
Таблиця 1.2.1
|
10203040
|
|
|
|
|
|
3,8585,1955,9906,557
|
|
|
|
|
|
1,2881,6771,8822,019
|
|
|
|
|
|
1,9642,2792,4472,561
|
|
|
|
|
На четвертому етапі розрахункові значення
і
порівнюються
з табличним значенням
-критерия Стьюдента із заданим рівнем значущості
. Якщо
розрахункове значення менше табличного, то гіпотеза про відсутність
відповідного тренда приймається; інакше тренд є. Наприклад, якщо
більше табличного значення
, а
менше
,
то для даного часового
ряду є тренд в середньому, а тренда дисперсії рівнів ряду немає.
Також для визначення наявності тренда в початковому
часовому ряду застосовується критерій серій. Розглянемо його детальніше.
Спочатку члени ряду впорядковуються по зростанню та
знаходиться медіана ряду:
(1.2.5)
Далі утворюється послідовність плюсів і мінусів, яка відповідає
часовому ряду, за правилом: якщо
,
то рівню
відповідає плюс, якщо
,
то мінус. Під серією розуміють послідовність плюсів, які йдуть один за одним,
та розуміють послідовність мінусів, які йдуть один за одним. Потім підраховується
загальна кількість серій
, та протяжність найдовшої серії
.
Якщо хоча б одна з нерівностей
(1.2.6)
виконується (квадратні дужки означають цілу частину числа), то гіпотеза
про наявність тренду відкидається з ймовірністю помилки
, де
лежить
в інтервалі
.
При статистичному аналізі часових
рядів часто виникає необхідність, крім визначення основних характеристик ряду,
оцінити залежність досліджуваного показника yt від його значень,
розглянутих з деяким запізнюванням у часі. Залежність значень рівнів часового
ряду від попередніх (зрушення на 1), попередніх від попередніх (зрушення на 2)
і так далі рівнів того ж часового ряду називається автокореляцією в
часовому ряді. Для одержання числової характеристики такої внутрішньої
залежності обчислюють взаємну кореляційну функцію між вихідним рядом yt і
рядом поруч, зрушеним у часі на величину t. Така функція називається
автокореляціоною, вона характеризує внутрішню структуру часового ряду й
складається із множини коефіцієнтів автокореляції (нециклічних), що
розраховуються по формулі (1.2.4.1.):
.
(1.2.7)
Графік автокореляціоної функції називається коррелограмом і
показує величину запізнювання, з яким зміна показника yt позначається на
його наступних значеннях. Величина зрушення
,
якому відповідає найбільший коефіцієнт автокореляції, називається часовим
лагом.
У ряді випадків використовується спрощена формула (1.2.8) для
обчислення коефіцієнта автокореляції:
,
(1.2.8)
де
- середній рівень ряду:

.
1.3 Трендові моделі на основі кривих росту
Основна мета створення трендових моделей економічної динаміки
- на їхній основі зробити прогноз розвитку досліджуваного процесу на майбутній
проміжок часу. Прогнозування на основі часового ряду економічних показників
відноситься до одномірних методів прогнозування, що базується на екстраполяції,
тобто на продовженні на майбутнє тенденції, що спостерігалася в минулому. При
такому підході передбачається, що прогнозований показник формується під впливом
великої кількості факторів, виділити які або неможливо, або по яких відсутня
інформація. У цьому випадку зміни даного показника пов'язують не з факторами, а
із часом, що проявляється в утворенні одномірних часових рядів. Розглянемо
метод екстраполяції на основі так званих кривих росту економічної динаміки.
Використання методу екстраполяції на основі кривих росту для
прогнозування базується на двох припущеннях:
· часовий ряд економічного показника
дійсно має тренд, тобто переважну тенденцію;
· загальні умови, що визначали розвиток
показника в минулому, залишаться без істотних змін протягом періоду
упередження.
У теперішній час налічується велика кількість типів кривих
росту для економічних процесів. Щоб правильно підібрати найкращу криву росту
для моделювання й прогнозування економічного явища, необхідно знати особливості
кожного виду кривих. Найчастіше в економіці використовуються поліноміальні,
експонентні й S-подібні криві росту.
1.3.1
Поліноміальні криві росту
Найпростіші поліноміальні криві росту мають вигляд:
(поліном
першого порядку)
(поліном
другого порядку)
(поліном
третього порядку)
де
- параметр лінійного приросту,
-
параметр прискоренням росту,
-
параметр зміни прискорення росту.
Для полінома першого порядку характерний постійний закон росту. Якщо
розрахувати перші прирости за формулою
то вони будуть постійної величини і рівні
.
Якщо перші прирости розрахувати для полінома другого порядку, то вони
будуть мати лінійну залежність від часу й ряд з перших приростів
на графіку буде представлений прямою лінією. Другі
прирости
для полінома другого порядку будуть постійні.
Для полінома третього порядку перші прирости будуть поліномами другого
порядку, другі прирости будуть лінійною функцією часу, а треті прирости, що
розраховуються за формулою
,
будуть постійною величиною.
На основі сказаного можна відмітити наступні властивості поліноміальних
кривих росту:
· від полінома вищого порядку можна
шляхом розрахунку послідовних різниць (приростів) перейти до полінома більше
нижчого порядку;
· значення
приростів для поліномів будь-якого порядку не залежать від значень самої
функції
.
Таким чином, поліноміальні криві росту можна використовувати
для апроксимації (наближення) і прогнозування економічних процесів, у яких
наступний розвиток не залежить від досягнутого рівня.
Параметри поліноміальних кривих оцінюються, як правило,
методом найменших квадратів, суть якого полягає в тому, щоб сума квадратів
відхилень фактичних рівнів ряду від відповідних вирівняних по кривій росту
значень була найменшою. Цей метод приводить до системи так званих нормальних
рівнянь для визначення невідомих параметрів відібраних кривих.
Для полінома першого порядку система нормальних рівнянь має
вид:
Аналогічна система для полінома другого порядку
Для полінома третього порядку система нормальних рівнянь записується в
такому вигляді:
1.3.2
Експоненціальні криві росту
На відміну від використання поліноміальних кривих
використання експоненціальних кривих росту припускає, що подальший розвиток
залежить від досягнутого рівня, наприклад, приріст залежить від значення
функції. В економіці найчастіше застосовуються два різновиди експоненціальних
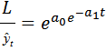
(показникових) кривих: проста експонента й модифікована експонента.
Проста експонента має вигляд:
де
і
-
позитивні числа, при цьому якщо
>1,
то функція зростає з ростом часу
,
якщо
<1 - функція спадає.
Рис.1.3.2.1 Проста експонента
Можна помітити, що ордината даної функції змінюється з постійним темпом
приросту. Якщо взяти відношення приросту до самої ординати, воно буде постійною
величиною:
Прологарифмуємо вираз даної функції з будь-якою основою:
Звідси видно, що логарифми ординат простої експоненти лінійно залежать
від часу.
Модифікована експонента має вигляд
,
де постійні величини:
<0,
<1 і додатна, а константа
зветься асимптотами цієї функції, тобто значення функції
необмежено наближаються (знизу) до величини
.
Рис. 1.3.2.2. Модифікована експонента
Можуть бути інші варіанти модифікованої експоненти, але на практиці
найчастіше зустрічається зазначена вище функція.
1.3.3.
S - образні криві росту
В економіці досить поширені процеси, які спочатку зростають
повільно, потім прискорюються, а потім знову сповільнюють свій ріст,
наближаючись до певної межі. Як приклад можна привести процес введення деякого
об'єкта в промислову експлуатацію, процес зміни попиту на товари, що володіють
здатністю досягати деякого рівня насичення, та ін. Для моделювання таких
процесів використовуються так звані S-подібні криві росту, серед яких виділяють
криву Гомперца й логістичну криву.
Крива Гомперца має вигляд:
де
,
-
додатні параметри, причому
<1;
параметр
- асимптота функції.
Рис.1.3.3.1. Крива Гомперца
У кривій Гомперца виділяються чотири ділянки: на першій - приріст
функції незначний, на другій - приріст збільшується, на третій ділянці приріст
приблизно постійний, на четвертій - відбувається сповільнення темпів приросту й
функція необмежено наближається до значення
.
В результаті конфігурація кривої нагадує латинську букву S.
Логарифм даної функції є експоненціальною кривою; логарифм відношення
першого приросту до самої ординати функції - лінійна функція часу.
На підставі кривої Гомперца описується, наприклад, динаміка показників
рівня життя; модифікації цієї кривої використовуються в демографії для
моделювання показників смертності й т.д.
Логістична крива, або крива Перла-Ріда - зростаюча функція, найчастіше
виражається у вигляді:
,
інші види цієї кривої:
;
.
де
і
-
додатні параметри, L - граничне значення функції при
.
Рис.1.3.3.2 Логістична крива
Якщо взяти похідну даної функції, то можна побачити, що швидкість
зростання логістичної кривої в кожний момент часу пропорційна досягнутому рівню
функції й різниці між граничним значенням
і
досягнутим рівнем. Логарифм відношення першого приросту функції до квадрата її
значення (ординати) є лінійна функція від часу.
Конфігурація графіка логістичної кривої близька до графіка кривої
Гомперца, але на відміну від останньої логістична крива має точку симетрії, що
співпадає з точкою перегину.
На практиці при попередньому виборі відбирають звичайно дві-три криві
росту для подальшого дослідження й побудови трендової моделі даного часового
ряду.
Параметри експоненціальних і S-подібних кривих знаходяться більш
складними методами. Для простої експоненти попередньо логарифмують вираз за
деякою основою (наприклад, десятковою або натуральною):
,
тобто для логарифма функції одержують лінійний вираз, а потім для
невідомих параметрів
і
складають
по методу найменших квадратів систему нормальних рівнянь, аналогічну системі
для полінома першого порядку. Розв'язавши цю систему, знаходять логарифми
параметрів, а потім і самі параметри моделі.
При визначенні параметрів кривих росту, що мають асимптоти
(модифікована експонента, крива Гомперца, логістична крива), розрізняють два
випадки. Якщо значення асимптоти
відомо
заздалегідь, то шляхом нескладної модифікації формули й наступного
логарифмування визначення параметрів зводять до рішення системи нормальних
рівнянь, невідомими якої є логарифми параметрів кривої.
Якщо значення асимптоти заздалегідь невідомо, то для знаходження
параметрів зазначених вище кривих росту використовуються наближені методи:
метод трьох точок, метод трьох сум та ін.
Таким чином, при моделюванні економічної динаміки, заданої часовим рядом,
шляхом згладжування вихідного ряду, визначення наявності тренда, відбору однієї
або декількох кривих росту й визначення їхніх параметрів у випадку наявності
тренда одержують одну або декілька трендових моделей для вихідного часового
ряду. Постає питання, наскільки ці моделі близькі до економічної реальності,
відображенні в часовому ряді, наскільки доцільне застосування цих моделей для
аналізу й прогнозування досліджуваного економічного явища.
1.4
Оцінка адекватності й точності трендових моделей
Незалежно від виду й способу побудови економіко-математичної
моделі питання про можливість її застосування з метою аналізу й прогнозування
економічного явища може бути вирішене тільки після встановлення адекватності,
тобто відповідності моделі досліджуваного процесу або об'єкту. Так як повної
відповідності моделі реальному процесу або об'єкту бути не може, адекватність -
якоюсь мірою умовне поняття. При моделюванні мається на увазі адекватність не
взагалі, а по тим властивостям моделі, що вважаються істотними для дослідження.
Трендова модель
конкретного часового ряду
вважається адекватною якщо правильно відображає
систематичні компоненти часового ряду. Ця вимога еквівалентна тому, щоб залишкова
компонента
, задовольняла властивостям випадкової компоненти
часового ряду, тобто: випадковість коливань рівнів залишкової послідовності,
відповідність розподілу випадкової компоненти нормальному закону розподілу, рівність
математичного очікування випадкової компоненти нулю, незалежність значень
рівнів випадкової компоненти.
Розглянемо, яким чином здійснюється перевірка цих властивостей
залишкової послідовності.
Перевірка випадковості коливань рівнів залишкової послідовності означає
перевірку гіпотези про правильність вибору виду тренда. Для дослідження
випадковості відхилень від тренда ми маємо у своєму розпорядженні набір різниць
Характер цих відхилень вивчається за допомогою ряду непараметричних
критеріїв. Одним з таких критеріїв є критерій серій, заснований на медіані
вибірки. Ряд з величин
розташовують у порядку зростання їхніх значень і
знаходять медіану
отриманого варіаційного ряду, тобто серединне
значення при
непарному або середню арифметичну із двох серединних
значень при
парному. Повертаючись до вихідної послідовності
і порівнюючи значення цієї послідовності з
, будемо ставити знак «плюс», якщо значення
перевершує медіану, і знак «мінус», якщо воно менше
медіани; у випадку рівності порівнюваних величин відповідне значення
опускається. Таким чином, виходить послідовність, що
складається із плюсів і мінусів, загальне число яких не перевершує
. Послідовність підряд ідучих плюсів або мінусів
називається серією. Для того, щоб послідовність
була
випадковою вибіркою, довжина найдовшої серії не повинна бути занадто великою, а
загальне число серій - занадто малим.
Позначимо довжину найдовшої серії через
,
а загальне число серій - через
.
Вибірка є випадковою, якщо виконуються наступні нерівності для 5%-го рівня
значущості:
.
(1.4.1)
Якщо хоча б одна із цих нерівностей порушується, то гіпотеза про
випадковий характер відхилень рівнів часового ряду від тренда відкидається , а
трендова модель визнається неадекватною.
Іншим критерієм для даної перевірки може слугувати критерій піків
(поворотних точок). Рівень послідовності
вважається
максимумом, якщо він більший за два поряд розташовані рівні, тобто
,і мінімумом, якщо він менший обох сусідніх рівнів,
тобто
. В обох випадках
вважається
поворотною точкою; загальну кількість поворотних точок для залишкової
послідовності
позначимо через
.
У випадковій вибірці математичне очікування числа точок повороту
і дисперсія
виражаються
формулами:
Критерієм випадковості з 5%-м рівнем значущості, тобто з довірчою
ймовірністю 95%, є виконання нерівності
.(1.4.3)
Якщо ця нерівність не виконується, трендова модель вважається
неадекватною.
Перевірка відповідності розподілу випадкової компоненти нормальному
закону розподілу може бути зроблена за допомогою дослідження показників
асиметрії (
) і ексцесу (
),
так як часові ряди, як правило, не дуже великі. При нормальному розподілі
показники асиметрії й ексцесу деякої генеральної сукупності дорівнюють нулю. Ми
припускаємо, що відхилення від тренда являють собою вибірку з генеральної
сукупності, тому можна визначити тільки вибіркові характеристики асиметрії й
ексцесу та їх помилки:
,
де
- вибіркова характеристика асиметрії;
-
вибіркова характеристика ексцесу;
і
- відповідні середньоквадратичні помилки.
Якщо одночасно виконуються наступні нерівності:
,(1.4.6)
то розподіл випадкової компоненти вважається нормальним.
Якщо не виконується хоча б одна з нерівностей
,(1.4.7)
то розподіл не вважається нормальним, а трендова модель є неадекватною.
Інші випадки вимагають додаткової перевірки за допомогою більш складних
критеріїв.
Крім розглянутого методу відомий ряд інших методів перевірки
нормальності закону розподілу випадкової величини: метод Вестергарда,
RS-критерій і т.д. Розглянемо найбільш простий з них, який базується на
RS-критерію. Цей критерій дорівнює відношенню розмаху варіації випадкової
величини R до стандартного відхилення S.
В даному випадку
, а
.
Обчислене значення RS-критерію порівнюється з табличними нижньою й верхньою
границями даного відношення, і якщо це значення не потрапляє до інтервалу між критичними
границями, то гіпотеза про нормальність розподілу із заданим рівнем вагомості
відкидається; в іншому випадку ця гіпотеза приймається.
Перевірка рівності математичного очікування випадкової компоненти нулю,
якщо вона розподілена за нормальним законом, здійснюється за допомогою
t-критерію Ст’юдента. Розрахункове значення цього критерію задається формулою
,(1.4.8)
де
- середнє арифметичне значення рівнів залишкової
послідовності
;
-
стандартне (середньоквадратичне) відхилення для цієї послідовності.
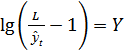
Якщо розрахункове значення t менше табличного значення
статистики Ст’юдента із заданим рівнем вагомості
й числом ступенів свободи
, то гіпотеза про рівність нулю математичного
очікування випадкової послідовності приймається; в іншому випадку ця гіпотеза
відкидається й модель вважається неадекватною.
Перевірка незалежності значень рівнів випадкової компоненти, тобто
перевірка відсутності істотної автокореляції в залишковій послідовності може
здійснюватися по ряду критеріїв, найпоширенішим з яких є
-критерій Дарбіна-Уотсона. Розрахункове значення цього
критерію обчислюється за формулою
.
Відмітимо, що розрахункове значення критерію Дарбина-Уотсона в
інтервалі від 2 до 4 свідчить про від'ємний зв'язок; у цьому випадку його треба
перетворити за формулою
і в подальшому використовувати значення
.
Розрахункове значення критерію
(або
) порівнюється з верхнім
і нижнім
критичними
значеннями статистики Дарбина-Уотсона, фрагмент табличних значень яких для
різного числа рівнів ряду
і числа, обумовленого параметрами моделі
представлений в таблиці 1.4.1 (рівень вагомості 5%).
Таблиця 1.4.1
|
  
|
|
|
|
|
    
|
|
|
|
|
|
|
15
|
1,08
|
1,36
|
0,95
|
1,54
|
0,82
|
1,75
|
|
20
|
1,20
|
1,41
|
1,10
|
1,54
|
1,00
|
1,68
|
|
30
|
1,35
|
1,49
|
1,28
|
1,57
|
1,21
|
1,65
|
Якщо
, то гіпотеза про незалежність рівнів залишкової
послідовності, тобто про відсутність у ній автокореляції, приймається. Якщо
, то ця гіпотеза відкидається й модель неадекватна.
Якщо значення
перебуває між значеннями
і
,
включаючи самі ці значення, то вважається, що немає достатніх підстав зробити
той або інший висновок і необхідні подальші дослідження, наприклад, за більшим
числом спостережень.
Висновок про адекватність трендової моделі робиться, якщо всі зазначені
вище чотири перевірки властивостей залишкової послідовності дають позитивний
результат. Для адекватних моделей є сенс оцінити їхню точністі. Точність моделі
характеризується величиною відхилення виходу моделі від реального значення
змінної, яку моделюють (економічного показника). Для показника, представленого
часовим рядом, точність визначається як різниця між значенням фактичного рівня
часового ряду і його оцінкою, отриманої розрахунковим шляхом з використанням
моделі. При цьому в якості статистичних показників точності застосовуються
такі:
середньоквадратичне відхилення
,(1.4.10)
середня відносна помилка апроксимізації
,(1.4.11)
коефіцієнт схожості
,(1.4.12)
коефіцієнт детермінації
(1.4.13)
та інші показники;
де
- кількість рівнів ряду,
-
число обумовлених параметрів моделі,
-
оцінка рівнів ряду по моделі,
середнє
арифметичне значення рівнів ряду.
На підставі зазначених показників можна зробити вибір з декількох
адекватних трендових моделей економічної динаміки. Хоча може зустрітися
випадок, коли по деякому показнику більш точна одна модель, а по іншому - інша.
Дані показники точності моделей розраховуються на основі всіх рівнів
часового ряду й тому відбивають лише точність апроксимації. Для оцінки прогнозних
властивостей моделі доцільно використовувати так званий ретроспективний прогноз
- підхід, заснований на виділенні ділянки з ряду останніх рівнів вихідного
часового ряду в кількості, припустимо,
рівнів
у якості перевірочного, а саму трендову модель у цьому випадку варто будувати
по перших точках, кількість яких буде дорівнювати
. Тоді для розрахунку показників точності моделі за
прогнозом застосовуються ті ж формули, але підсумовування в них буде вестися не
за всіма спостереженнями, а лише за останнім
спостереженням.
Наприклад, формула для середньоквадратичного відхилення буде мати вигляд:
,
де
- значення рівнів ряду по моделі, побудованої для
перших
рівнів. Оцінювання прогнозних властивостей моделі на
ретроспективній ділянці досить корисно, особливо при зіставленні різних моделей
прогнозування із числа адекватних. Однак слід пам'ятати, що оцінки
ретропрогноза - лише наближена міра точності прогнозу й моделі в цілому, тому
що прогноз на період упередження робиться по моделі, побудованої за всіма
рівнями ряду.
2.
Економічний аналіз діяльності підприємства ТОВ «Схід-Руда»
.1
Загальна характеристика підприємства як ланки народного господарства України
.1.1
Тенденція розвитку гірничо-металургійного комплексу України
Гірничо-металургійний комплекс України - це сукупність
підприємств, що послідовно здійснюють видобування, збагачення, металургійну
переробку руд чорних, кольорових і рідкісних металів, виробництво чавуну, сталі
кольорових і дорогоцінних металів, сплавів, прокатне виробництво, переробку
вторинної сировини. До гірничо-металургійному комплексу належить також
коксохімія, виробництво вогнетривів, будівельних конструкцій з металу,
електродів, металургійного устаткування, порошкова металургія також.
Функціональним ядром комплексу є чорна металургія. Саме до
чорної металургії відноситься Жовтоводське ТОВ «Схід-руда».
Гірничо-металургійна галузь займає головне місце в
господарській сфері держави, у її промисловому й експортному потенціалі. Її
частина складає приблизно 22% усього промислового виробництва України і майже
63% її експорту; у ній працюють приблизно 550 тис. чоловік. Наша країна є
однієї з передових експортерів металів. На підприємствах металургії після спаду
виробництва (із серпня 2007 року по квітень 2008року) спостерігалося
нарощування щомісячних обсягів продукції. За минулий рік приріст склав 3,9
відсотків. Внутрішній ринок в Україні виявився неготовим освоїти обсяги
виробництва металургійної продукції і буде нездатним зробити це в найближчі
роки. Тому величезна заслуга металургійної галузі перед економікою України
полягає в тому, вона змогла переорієнтуватися з внутрішнього на зовнішній
ринок, не втративши при цьому свого потенціалу і підтримавши економіку держави.
Одночасно в гірничо-металургійному комплексі, як і в інших
базових галузях економіки, є багато не вирішених проблем. Через недолік якості
українська металопродукція, що здебільшого виробляється на застарілому
обладнанні, експортується за цінами, на 20-30 % менше, у порівнянні з цінами на
метал сучасних закордонних заводів.
У гірничо-металургійній галузі, ще повільно ведуться роботи з
виведення з експлуатації зайвих потужностей, приведення чисельності працюючих у
відповідність з обсягами виробництва.
Аналіз структури собівартості виробництва металопродукції
показує, що собівартість формується, головним чином, на підставі цін на
сировинні матеріали, устаткування й енергетичні ресурси. Протягом останнього
років кілька разів збільшувалися ціни на електроенергію, тарифи на
транспортування природного газу (у 4,7 рази), залізничні тарифи. Стратегічним і
для металургії як галузі, і для нашої держави в цілому є питання збереження
свого металофонда.
Україна сьогодні має достатній ресурс металобрухту, і могла б
цілком задовольнити потреба металургів у цій сировині, але значна його частина
експортується. Одночасно металургійна промисловість України відчуває дефіцит
металобрухту для власних виробничих потреб.
Для рішення проблем металургії необхідні рішучі кроки,
загальна стратегія повинна бути спрямована на збереження експортного потенціалу
гірничо-металургійного комплексу з метою забезпечення валютних надходжень в
Україну, підвищення конкурентоздатності продукції шляхом зменшення її
собівартості, проведення реструктуризації підприємств (ліквідація збиткових
підприємств, виведення з експлуатації непрацюючих потужностей і їхнє перепрофілювання,
розширення номенклатури ТП, упровадження нових високопродуктивних,
енергозберігаючих і екологічно чистих технологій і устаткування), і відновлення
виробничих фондів. Важливим кроком у рішенні економічних проблем гірничо -
металургійного комплексу України в цілому повинне стати правове і законодавче
забезпечення виробництва і збут продукції згідно змін умов на внутрішньому і
зовнішньому ринках.
Для подальшої спеціалізації і розвитку гірничо-металургійного
комплексу України необхідно продовжити реструктуризацію підприємств, підвищити
ефективність керування державними підприємствами і частинами майна, що належать
державі в акціонерних товариствах, збільшити споживання металургійної продукції
на внутрішньому ринку, оптимізувати рівень оподатковування, установити
раціональне співвідношення витрат на виробництво і перевіз металургійної
сировини і готової продукції, реалізувати діючі заходи зі збереженням
металофонда держави, надати всебічну державну підтримку підприємствам у їхній
зовнішньоекономічній діяльності.
2.1.2
Історія розвитку та характеристика ТОВ «Схід-Руда»
Суспільство з обмеженою відповідальністю «Схід-руда» було
створено 27 серпня 2002 долі на підставі протоколу №30 збори Засновників
підприємства. ТОВ «Схід-руда» є правонаступником підприємства з іноземними
інвестиціями у формі товариства з обмеженою відповідальністю «Спільне
підприємство «СхідГЗК-ашурст». На балансі цього підприємства діє шахта «Нова»,
до цього вона існувала на базі Східного гірничо-збагачувального комбінату
(СхідГЗК).
Місцезнаходження суспільства: Україна, 52210,
Дніпропетровська область, р. Жовті Води, пер. Капітальній, 2.
Жовтореченське родовище знаходиться в північній частині
Криворізького залізорудного басейну. Залізною і шосейною дорогами м.Жовті Води
пов'язане із залізничною станцією П’ятихатки(18 км.), Кривій Ріг(69 км.) і
Дніпропетровськом(130 км.).
Жовтореченське родовище рудовмістовною структурою залізних і
комплексних рудий. Складка простежується в субмеридіальнім напрямі і
заглиблюється на північ під кутом 60-70 градусів, довжина складки-9км при
ширині від 0,5 до 2 км.
Залізняк виробляється на 415-435-575 горизонтах системою
безперервного поверхневого обвалу з відбоєм руді глибокими блоками і гасіння
порожнеч породами з кар'єру.
Родовище розкрите трьома стовбурами шахт: «Нова» до горизонту
755м, «Нова глибока» до горизонту 1105м, «Сліпа-12» пройдена між горизонтами
895-615м
Стовбур шахти «Нова» має глибокий перетин площею 38,5 м2,
закріплено монолітним бетоном. Стовбур оснащений двозмінними підйомами. Кліті
двоповерхові, розраховані на підйом вагонеток ВГ-2,1, вантажопідйомністю скипів
до 17 тонн.
Предметом діяльності ТОВ «Схід-руда» є здійснення виробничою,
консультаційною, експертною інвестиційною, фінансовою і іншій господарській
діяльності, виконання робіт і надання послуг, як на території Україні, так і за
кордоном з метою отримання прибули на користь засновників.
2.1.3
Номенклатура й асортимент послуг підприємства
ТОВ «Схід-руда» здійснює такі види діяльності:
пошук (розвідка) корисних копалини;
експлуатація родовища корисних копалини;
здобич залізних і інших рудий їх збагачення і інша переробка;
покупка, володіння і розпорядження правами на розробку
металів і мінералів і залізорудної сировини (корисних копалини);
розробка, здобич, переробка, очищення, аналіз, складування,
продажів і інші види комерційної експлуатації всіх видів металів, мінералів і
інших природних ресурсів будь-яким прийнятним способом;
проведення аналізу і експертизи всіх видів елементів,
матеріалів і речовин, включаючи, але, не обмежуючись здійсненням аналізу
продукції;
постачання електроенергії і природного газу по регульованих і
нерегульованих тарифах;
покупка, оренда, здача в оренду або придбання прав на
використання і експлуатацію прийнятним способом устаткування і інших видів
майна, необхідного для здійснення розвідки, розробки, здобичі, переробки і
очищення;
здійснення екологічної експертизи, заходь щодо запобігання
екологічній небезпеці, а також очисні, меліораційні і інші подібні роботи;
проведення дослідницькою та проектною роботи у всіх галузях
промисловості і економіці, захист і комерційна експлуатація здобутих
технологій;
будівельна діяльність;
надання посередницьких,маркетингових, рекламних,
консультаційних, інформаційно-довідкових, сервісних і інших платних послуг для
українських і іноземних громадян і юридичних осіб;
покупка, експлуатація і реалізація рухомого і нерухомого
майна на території Україні і за її межами, зокрема за дорученням інших фізичних
і юридичних осіб інші операції з нерухомістю, лізингові операції;
зовнішньоекономічна діяльність;
здійснення інших видів діяльності, які відповідають меті
створення підприємства і не заборонені чинним законодавством Україні.
Ключовою метою діяльності ТОВ «Схід-Руда» є добування
залізняку і з вересня 2007 року здійснюється діяльність по переробці
залізорудного концентрату на установці СМС (сухій магнітній сепарації).
Головні пріоритети ТОВ «Схід-Руда» :
·
орієнтація
на споживача;
·
пріоритетне
відношення до якості у всіх сферах діяльності;
·
формування
асортиментної політики з урахуванням вимог ринку;
·
вдосконалення
технології з використанням передових вітчизняних і зарубіжних досягнень;
·
вдосконалення
економічної сфери діяльності підприємства;
·
постійне
підвищення компетентності персоналу як основи інтелектуального потенціалу і
конкурентоспроможності підприємства;
·
вдосконалення
системи мотивації персоналу;
·
вдосконалення
системи управління інфраструктурою підприємства;
·
забезпечення
безпечних умов праці і збереження навколишнього природного середовища.
2.2 Загальна
економічна характеристика підприємства ТОВ «Схід-Руда»
Аналіз економічного і фінансового стану підприємства можна
зробити на основі економічних показників (табл. 2.2.1), що дасть змогу
прогнозувати його подальший розвиток.
Таблиця 2.2.1
Показники прибутковості господарської діяльності підприємства
за 2 останні квартали 2010 року
|
Показник
|
Квартали 2010 року
|
Відхилення 4
кварталу до 3 кварталу
|
|
3 квартал
|
4 квартал
|
+/-
|
%
|
|
1
|
2
|
3
|
4
|
5
|
|
1. Обсяги
господарської діяльності (валова продукція), тис, грн.
|
24 406,00
|
31 825,00
|
7 419,00
|
30,40
|
|
2. Чистий дохід
(виручка). тис, грн.
|
20 339,00
|
26 521,00
|
6 182,00
|
30,39
|
|
3. Валовий
прибуток. тис, грн.
|
510,50
|
834,00
|
323,50
|
63,37
|
|
4. Операційний
прибуток, тис, грн.
|
5 207,00
|
42 800,00
|
37 593,00
|
-
|
|
5. Чистий прибуток,
тис, грн.
|
-14 767,00
|
24 433,00
|
39 200,00
|
--
|
Таблиця 2.2.2
Показники рентабельності господарської діяльності
підприємства
|
Показники
|
Квартали 2010 року
|
Відхилення 4
кварталу до 3 кварталу
|
|
3 квартал
|
4 квартал
|
+,-
|
%
|
|
1
|
2
|
3
|
4
|
5
|
|
1. Рентабельність
господарської діяльності, %
|
-39,0186
|
37,9925
|
77,0112
|
-
|
|
2. Рентабельність
активів підприємства, %
|
1,1148
|
0,9323
|
-0,1826
|
-
|
|
3. Рентабельність
власного капіталу, %
|
-0,9865
|
1,2320
|
2,2185
|
-
|
Рентабельність - один із головних вартісних показників
ефективності виробництва, який характеризує рівень віддачі активів і ступінь
використання капіталу у процесі виробництва.
· Загальний рівень рентабельності
(виробництва): цей показник характеризує прибутковість підприємства відносно до
всіх ресурсів, які є в розпорядженні підприємства
заг = ПБ \ (Совф +Сноз)
Такий рівень рентабельності показує, скільки прибутку
приходиться на 1 грн вкладеного капіталу.
· Рентабельність сукупних активів
характеризує ефективність використання всього наявного майна підприємства:
ак= ПБ \САК
де САК - середня сума активів балансу підприємства.
· Рентабельність власного
(акціонерного) капіталу показує ефективність використання активів, створених за
рахунок власних коштів:
трендовий модель прогнозування автоматизація
Rп= ПБ \СВ.К *100
ПБ - чистий прибуток підприємства за вирахуванням оплати
відсотків за кредит;
СВ.К. - сума власного капіталу. Величину власного капіталу
беруть за даними балансу. Вона дорівнює сумі активів за вирахуванням всіх
боргових зобов'язань. Цей показник цікавить передусім акціонерів, оскільки він
визначає верхню межу дивідендів.
Як видно з таблиці 2.2.1 у порівнянні з 3 кварталом 2010
роком у четвертому кварталі 2010 року підприємство збільшило обсяг
господарської діяльності і вийшло на беззбитковий рівень.
В першому кварталі збитковість господарської діяльності було
-39,0186%, як видно з таблиці 2.2.2, в другому кварталі підприємство вийшло на
належний рівень і рентабельність становить 37,9925%. Але зменшився коефіцієнт
рентабельності активів підприємства з 1,1148% до 0,9323% відповідно в третьому
і четвертому кварталі.
Аналітичну роботу підприємства можна поділити на два блоки:
) аналіз фінансових результатів та рентабельності;
) аналіз фінансового стану підприємства.
Аналіз фінансових результатів підприємства здійснюється за
такими основними напрямками:
· аналіз та оцінка рівня і динаміки
показників прибутковості, факторний аналіз прибутку від реалізації продукції,
робіт, послуг;
· аналіз фінансових результатів від
іншої реалізації, позареалізаційної та фінансової інвестиційної діяльності;
· аналіз та оцінка використання чистого
прибутку;
· аналіз взаємозв'язку витрат, обсягів
виробництва продукції та прибутку;
· аналіз взаємозв'язку прибутку, руху
оборотного капіталу та грошових потоків;
· аналіз та оцінка впливу інфляції на
фінансові результати;
· факторний аналіз показників
рентабельності.
Аналіз фінансового стану підприємства проводиться за такими
напрямками:
· аналіз та оцінка складу та динаміки
майна;
· аналіз фінансової стійкості
підприємства;
· аналіз ліквідності балансу;
Фінансове планування є необхідним для фінансового
забезпечення розширення кругообігу виробничих фондів, досягнення високої
результативності виробничо-господарської діяльності, створення умов, які
забезпечили б платоспроможність та фінансову стійкість підприємства. Ринок
висуває високі вимоги до якості фінансового планування, оскільки нині за
негативні наслідки своєї діяльності відповідальність нестиме само підприємство.
Сьогодні фінансове планування потребує переведення на нові принципи
організації. Його зміст та форми мають бути суттєво змінені у зв'язку з новими
економічними умовами та соціальними орієнтаціями.
Фінансове планування - це процес визначення обсягу фінансових
ресурсів за джерелами формування і напрямками їх цільового використання згідно
з виробничими та маркетинговими показниками підприємства у плановому періоді.
Метою фінансового планування є забезпечення господарської діяльності
необхідними джерелами фінансування.
Отже, основними завданнями фінансового планування на
підприємстві є:
· забезпечення виробничої та інвестиційної
діяльності необхідними фінансовими ресурсами;
· установлення раціональних фінансових
відносин із суб'єктами господарювання, банками, страховими компаніями тощо;
· визначення шляхів ефективного
вкладення капіталу, оцінка раціональності його використання;
· виявлення та мобілізація резервів
збільшення прибутку за рахунок раціонального використання матеріальних,
трудових та грошових ресурсів;
· здійснення контролю за утворенням та
використанням платіжних засобів.
Фінансове планування дає змогу розв'язати такі конкретні
питання:
· які грошові кошти може мати
підприємство в своєму розпорядженні;
· які джерела їх надходження;
· чи достатньо засобів для виконання
накреслених завдань;
· яка частина коштів має бути
перерахована в бюджет, позабюджетні фонди, банкам та іншим кредиторам;
· як повинен здійснюватися розподіл
прибутку на підприємстві;
· як забезпечується реальна
збалансованість планових витрат і доходів підприємства на принципах
самоокупності та самофінансування.
Фінансовий план - це найважливіший елемент плану, який
складається як для обґрунтування конкретних інвестиційних проектів, так і для
управління поточною та стратегічною фінансовою діяльністю. Цей розділ
бізнес-плану включає такі складові:
· прогноз обсягів реалізації;
· баланс грошових надходжень та витрат;
· таблицю доходів та витрат;
· прогнозований баланс активів та
пасивів підприємства.
Нині, коли підприємствам надано самостійність у плануванні,
вони можуть не складати фінансового плану або складати його в будь-якій
довільній формі, що її вони вважають для себе найбільш прийнятною.
Найпоширенішою формою фінансового плану є баланс доходів та видатків.
Мета складання фінансового плану полягає у взаємоузгодженні
доходів та витрат. За перевищення доходів над витратами сума перевищення може
направлятися в резервний фонд.
Коли витрати перевищують доходи, визначається сума фінансових
ресурсів, якої бракує. Додаткові фінансові ресурси можна одержати за рахунок
кредитів, позик, випуску цінних паперів тощо. Якщо джерело додаткових
фінансових ресурсів уже відоме, то ці кошти включаються в дохідну частину, а
сума погашення заборгованості в плановому періоді - у витратну частину
фінансового плану.
Фінансовий план складається на рік з розбивкою по кварталах.
Розробка фінансового плану розпочинається з розрахунку показників дохідної, а
потім витратної його частин.
У процесі складання балансу доходів та витрат необхідно
перевірити взаємоузгодженість запланованих сум витрат та відрахувань із
джерелами покриття їх відповідними доходами та надходженням коштів, передбачених
у першому розділі балансу доходів та витрат. Витрати на реалізацію продукції,
передбачені в другому розділі балансу доходів та витрат, повинні покриватися з
виручки від реалізації продукції та послуг (за вирахуванням податку на додану
вартість та акцизного збору). Якщо виручка від реалізації продукції та послуг
(за вирахуванням податків) виявляється меншою за витрати на реалізовану
продукцію, тоді прибуток у першому розділі буде відсутній. У другому розділі
з'являться збитки в сумі перевищення витрат над виручкою.
Таблиця 2.2.3
Характеристика активів та зобов’язань підприємства за
балансом
|
Показники
|
3 квартал
|
4 квартал
|
Відхилення
|
|
грн.
|
Питома вага,%
|
грн.
|
Питома вага,%
|
+,-
|
%
|
|
Активи
|
|
|
|
|
|
|
|
1.Основні засоби
|
634 203
|
20,29
|
659 291
|
19,31
|
25 088
|
3,96
|
|
2.Довгострокові
фінансові інвестиції
|
3 090
|
0,10
|
3 090
|
0,09
|
-
|
-
|
|
3.Інші необоротні
активи
|
-
|
-
|
-
|
-
|
-
|
-
|
|
4.Виробничі запаси
|
39 132
|
1,25
|
51 240
|
1,50
|
12 108
|
30,94
|
|
5.Готова продукція
|
8 365
|
0,27
|
6 215
|
0,18
|
-2 150
|
-25,70
|
|
6.Дебіторська
заборгованість за товари, роботи і послуги
|
1 215 942
|
38,91
|
1 151 877
|
33,74
|
-64 065
|
-5,27
|
|
7.Інша поточна
дебіторська заборгованість
|
2 255
|
0,07
|
1 790
|
0,05
|
-465
|
-20,62
|
|
8.Грошові кошти
|
4 321
|
0,14
|
28 514
|
0,84
|
24 193
|
559,89
|
|
9.Інші оборотні
активи
|
42 698
|
1,37
|
54 233
|
1,59
|
11 535
|
27,02
|
|
Разом
|
3 124 967
|
100
|
3 413 777
|
100
|
288 810
|
9,24
|
|
Зобов’язання
|
|
|
|
|
|
|
|
1.Статутний капітал
|
1 362 789
|
43,61
|
1 362 789
|
39,92
|
0,00
|
0,00
|
|
2.Додатковий
капітал
|
24 326
|
0,78
|
24 331
|
0,71
|
5,00
|
0,02
|
|
3.Резервний капітал
|
-
|
-
|
-
|
-
|
-
|
-
|
|
4.Нерозподілений
прибуток
|
201 426
|
6,45
|
569 257
|
16,68
|
367 831
|
182,61
|
|
5.Короткострокові
кредити банків
|
671 903
|
21,5
|
914 077
|
242 174
|
36,04
|
|
6.Поточна
заборгованість за довгостроковими зобов’язаннями
|
-
|
-
|
-
|
-
|
-
|
-
|
|
7. Кредиторська
заборгованість
|
442 907
|
14,17
|
240 984
|
7,06
|
-201 923
|
-45,59
|
|
8. Поточні
зобов’язання за розрахунками з бюджетом, зі страхування, з оплати праці тощо
|
277 853
|
8,89
|
346 010
|
10,14
|
68 157
|
24,53
|
|
9. Інші поточні
зобов’язання
|
1 847 968
|
59,14
|
2 123 384
|
62,2
|
275 416
|
14,9
|
|
Разом
|
3 124 967
|
100
|
3 413 777
|
100
|
288 810
|
9,24
|
Що ж до оборотних активів, то вони у вартості суттєво
збільшились (виробничі запаси, грошові кошти, частково дебіторська
заборгованість).
На підприємстві до основних засобів
відносять матерiальнi активи, очікуваний строк корисного використання
(експлуатації) яких більше одного року, первісна вартість яких більша за 1000
грн. Обліковою одиницею бухгалтерського обліку основних засобів вважається
об’єкт основних засобів Лiквiдацiйна вартiсть об’єктiв основних засобiв
прийнята рiвною 0. Нарахування амортизацiї за основними засобами здiйснювається
за податковим методом. Матерiальнi активи з термiном корисного використання
(експлуатації) понад один рік вартістю до 1000 трн. є малоцiнними необоротними
матеріальними активами (МНМА). Амортизація малоцінних необоротних матеріальних
активiв (МНМА) нараховується у першому мiсяцi використання об’єкта в розмiрi
100% його вартостi.
Термін використання нематеріальних
активів визначається по кожному об’єкту окремо, в момент його зарахування на
баланс, виходячи з:
· терміну використання подібних
нематеріальних активів;
· передбачуваного морального
зносу, правових чи інших подібних обмежень щодо строків використання та iнших
факторів.
Амортизацію нематеріальних активів
здійснюється прямолiнiйним методом.
Резервування коштiв для здiйснення
майбутнiх витрат i платежiв не проводиться. Використовується метод оцiнки
вибуття сировини, матерiалiв, напiвфабрикатiв, iнших виробничих запасiв i
готової продукцiї за середньозваженою собiвартiстю.
Виробнича собiвартiсть продукцiї
складається з таких статей (склад виробничої собiвартостi обумовлюється для
кожного об’єкта облiку затрат):
· сировина i матерiали;
· комплектуючi вироби,
напiвфабрикати;
· основна та додаткова зарплата
робiтникiв виробництва;
· вiдрахування на соціальне
страхування;
· змінні та розподiлені
постiйні загальновиробничi витрати.
Застосовується нормативний метод
обліку витрат на виробництво i калькулювання собiвартостi продукції.
метою визначення виробничої
собiвартостi продукцiї встановлюється такий перелік змінних i постійних
загальновиробничих витрат:
а) зміннi:
· витрати, пов язанi з
енергопостачанням технологічного процесу;
· витрати на водопостачання
технологiчного процесу;
б) постiйнi:
· заробiтна плата та iншi
виплати апарату управлiння дiльницями;
· вiдрахування на соцiальне
страхування вiд зарплати апарату управлiння дiльницями;
· витрати на опалення,
освiтлення, водопостачання та iншi послуги третiх осiб з утримання виробничих
примiщень;
· амортизацiя основних засобiв
загальновиробничого призначення iз застосуванням податкового методу нарахування
амортизацiї;
· витрати на ремонт цехового
обладнання.
Установлено порядок розподiлу
загальновиробничих витрат пропорцiйно сумi обсягу виконаних робiт.
Оцiнка залишкiв незавершеного
виробництва провадиться у розрiзi видiв готової продукцiї (замовлень) i статей
калькуляцiї з визначенням фактичної вартостi залишкiв сировини i матерiалiв за
рахунок вартостi витрат iнших статей калькуляцiї пропорцiйно вартостi сировини
i матерiалiв за фактичною виробничою собiвартiстю.
Оплата працi робiтникам проводиться
за дiючими на пiдприємствi відрядними розцiнками, тарифними ставками,
посадовими окладами за фактично виконаний обсяг будiвельно - монтажних робiт.
Таблиця 2.2.4.
Динаміка середньомісячних доходів
робітніків
|
Показник
|
Од.виміру
|
4 квартал 2010р
|
|
|
план
|
факт
|
(+,-)
|
%
|
|
Середньоспискова
чисельність працівників
|
чол.
|
913
|
786
|
-126
|
-13,84
|
|
Середньоспискова
чисельність ПВП
|
чол.
|
908
|
781
|
-126
|
-13,92
|
|
Продуктивність
праці 1 робітника ПВП
|
тис. грн./чол.
|
11
|
14
|
2
|
21,58
|
|
Середньомісячний
доход 1-го робітника
|
тис. грн./чол.
|
1,74
|
2,35
|
1
|
34,98
|
|
Фонд оплати праці
|
тис. грн.
|
1588,14
|
1847,15
|
259
|
16,31
|
|
Питома вага ФОП в
об’ємі ТП
|
%
|
15,43
|
14,76
|
-1
|
-4,35
|
|
Тарифна ставка 1-го
розряду
|
грн./год
|
4,25
|
4,25
|
0
|
0,00
|
Проаналізувавши дану таблицю ми
бачимо, що на підприємстві за аналізуємий період зменшилась кількість
робітників, але за рахунок цього підвищилась продуктивність праці, дохід одного
працівника, а також збільшився фонд оплати праці, що є дуже великим плюсом.
Встановлені форми i системи оплати
працi:
· для робiтникiв вiдрядникiв -
вiдрядна, вiдрядно-премiальна;
· для робiтникiв погодинникiв -
погодинна, погодинно-премiальна.
Розмiрiв тарифних ставок i окладiв
переглядається при зміні розміру мiнiмальної заробiтної плати у вiдповiдностi з
Законом України “Про державний бюджет" на коефiцiєнт її пiдвищення з
урахуванням діючих міжпосадових мiжквалiфiкацiйних) спiввiдношень в оплатi
працi.
Грошова винагорода працiвникам та
службовцям за загальними результатами роботи за рiк виплачується при наявностi
коштiв згiдно з розробленим Положенням.
За високi показники у працi, при
наявностi прибутку на пiдприємствi спецiалiстам, службовцям i лiнiйним
працiвникам можуть встановлюватись надбавки до посадового окладу з коефiцiєнтом
один, два, три, чотири, а в окремих випадках i бiльше.
Виплати заробiтної плати працiвникам пiдприємства
здiйснюються у гривнях. Як виняток за згодою працiвника частина заробiтної
плати може виплачуватись у натуральному виглядi за цiнами нарiвнi собiвартостi
бажаної для працiвника продукцiї. За заявою працiвника здiйснюються
безготівкові платежi за рахунок заробiтної плати на оплату комунальних послуг,
навчання працiвника i його членiв сiм'ї, лiкування тошо.
Ставка (оклад) для працівників, якi виконують неквалiфiковану
роботу, кур’єр, прибиральник службових приміщень, сторож, прибиральник цехів,
встановлюється у розмiрi мінімальної заробітної плати.
Запровадження, зміна та перегляд норм
праці (виробітку) проводиться адміністрацією за погодженням з профспілковим
комітетом.
Форми і системи оплати праці, як вже зазначалось,
встановлюються як для погодинників, так і для відрядників. За цим принципом
визначається (за тарифними ставками) посадовий оклад, який разам з можливими
додатковою заробітною платою, премією, матеріальною допомогою, виплат за
чергову відпустку тощо складають загальну суму виплат. З загальної суми виплат
вираховується податок на доходи фізичних осіб (15%), вирахування у Пенсійний
фонд (2,5%), Фонд соціального страхування від тимчасової втрати працездатності
(1%), Фонд соціального страхування на випадок безробіття (0.5%); також на
підприємстві діє профспілка, члени якої із своєї заробітної плати здійснюють
членські внески у розмірі 1% від заробітної плати.
Розмiр власних оборотних активiв, що
необхiднi пiдприємству для забезпечення нормальної дiяльностi, встановлюється
нормуванням.
Нормування - це процес обчислення тої
частини оборотних активiв (запасiв та затрат), яка потрiбна пiдприємству для
забезпечення нормального, неперервного процесу виробництва, реалiзацiї
продукцiї та розрахункiв.
Основним завданням нормування є
розробка в кожному пiдприємствi економiчно обгрунтованих норм та нормативiв
власних оборотних активiв, що забезпечують прискорення обiгу та найбiльш
ефективнє використовування матерiальних i фiнансових ресурсiв.
При розрахунку нормативу власних
оборотних активiв необхiдно виходити з виробничого напрямку пiдприємства,
планiв виробництва та реалiзацiї продукцiї, її собiвартостi, норм витрат та
запасiв товарно-матеріальних цінностей, що передбачені у планах виробництва та
матерiально-технiчного постачання, умов розрахункiв iз заготiвельниками та
постачальниками. а також забезпечення прискорення обiгу активiв.
Нормування оборотних активiв включає
розробку та встановлення в кожному пiдприємствi спецiальних норм за окремими
видами матерiальних цiнностей, затрат виробництва i т.д. та розрахунок
нормативу власних оборотних активiв у грошовому виразі на кінець року,
кварталу.
Норма - це обчислювана за
встановленим порядком за кожним видом оборотних активів відносна або мiнiмальна
їх величина, що необхідна для розрахунку нормативу. За окремими видами
оборотних активів вона розраховується в абсолютних величинах (гривнях,
копійках), за іншими - у відносних величинах (днях, відсотках).
Норматив - це мiнiмальний розмір
власних оборотних активiв у грошовому виразi, що необхiдний пiдприємству для
забезпечення нормального, безперервного процесу виробництва, реалiзацiї
продукцiї та розрахункiв. Нормативи власних оборотних активiв повиннi
враховувати потреби пiдприємства в активах не тiльки для основної дiяльностi,
але й для капiтального ремонту будинкiв, споруд, що виконується господарським
способом, а також для допомiжних пiдприємств та iнших служб пiдприємств, що не
знаходяться на самостiйпому балансi.
Норми та нормативи обчислюються
складанням спецiальних розрахункiв за кожним видом оборотних активiв, шо
нормуються. Визначаються нормативи на кiнець плапованого року за окремими
видами оборотних активiв множенням норми на об’єм (одноденну витрату)
нормованих цiнностей або затрат виробництва. що приймаються в розрахунок. Данi
, що необхiднi для розрахуику норм та нормативiв за окремими елементами
нормованих оборотних активiв, беруть з вiдповiдних видiв бухгалтерської
звiтностi (балансiв та iн.) та таблиць виробничо-фiнансовоi о плану.
Особливiстю в обчисленнi нормативiв
оборотних активiв є те, що за окремими їх видами (незавершеному виробництвi)
нормативи встановлюються в об'ємi повної потреби пiдприємства в них. а за
iншими (сировиною та основним матерiалам, пальним, запасним частинам, тарою,
допомiжним та iишим матерiалам) - у розмiрi мiнiмальної потреби. Цє пов'язано з
тим, що витрати незавершеного виробництва не вiдшкодовуються виручкою вiд
реалiзацiї продукцiї запланованого року, а включаються до собiвартостi
продукцiї наступних перiодiв, тому на них пiдприємствами видiляються активи у
повному обсязi. Запаси ж сировини, основних матерiалiв, пального та iнших
товарно-матерiальних цiнностей споживаються та вiдшкодовуються систематично,
тому на них пiдприємствами видiляються активи в обсязi мiнiмальних запасiв, що
забезнечують неперервний процес виробництва.
2.3
Аналіз основних фінансових показників ТОВ «Схід-Руда»
Підприємства, якi працюють в умовах
ринкових вiдносин, несуть повну вiдповiдальнiсть за своїми зобов'язаннями перед
ланками фінансово- кредитної системи, постачальниками, своїми працівниками, а
також за результати своєї виробничо-фiнансової дiяльностi. Здатнiсть
пiдприємства своєчасно погашати свої борговi зобов'язання характеризують
фiнансовий стан пiдприємства.
Пiд фiнансовим станом пiдприємства
також розумiють рiвень його забезпеченостi вiдповiдним обсягом фiнансових
ресурсiв, необхiдних для здiйснення ефективної господарської дiяльностi та
своєчасного здiйснення грошових розрахункiв за своїми зобов'язаннями.
Фiнансовий стан - це одна з найважливiших
характеристик виробничо-фiнансової дiяльностi пiдприємств. Вiн може бути добрим
чи поганим. Кожне пiдприємство повинно прямувати до позитивного фiнансового
стану, тобто до створення достатнього обсягу фiнансових ресурсiв, що виступає
гарантом своєчасностi розрахункiв з постачальниками, бюджетом та iншими ланками
фiнансової системи, подальшого економiчного та соцiального розвитку.
Оцiнка фiнансового стану пiдприємства
повинна здiйснюватись за допомогою вирахування системи економiчних показникiв,
якi характеризують господарсько-фiнансове становище господарюючих суб'єктiв.
Метою оцiнки фiнансового стану
пiдприємства виступає пошук резервiв збiльшення його прибутковостi,
рентабельностi i платоспроможностi.
Основними показниками, якi
характеризують фiнансовий стан підприємства є:
· прибутковiсть
(рентабельнiсть);
· оптимальний розподiл
прибутку;
· наявнiсть оптимальних
розмiрiв власних оборотних активiв, якi забезпечують нормальний процес
виробництва та реалiзацiї продукції;
· наявнiсть власних джерел
формування оборотних активiв в обсязi, достатньому для їх покриття;
· платоспроможнiсгь
пiдприємства та iнше.
Якщо пiдприємство досягає у вказаних
напрямках необхiдних оптимальних параметрiв, його фiнансовий стан стiйкий. Якщо
ж пiдприємство не отримує, скажiмо, прибуток у розмiрах, якi б забезпечували
необхiдний прирiст власних фiнансових ресурсiв, його фiнансовий стан не може
бути стiйким. Тому розгляд змiсту, порядку розрахунку вказаних показникiв, їх
взаємозв'язку i впливу на фiнансовий стан пiдприємства є досить суттєвим.
Під сутністю фінансової стійкості
розуміють забезпечення запасів та витрат джерелами коштів для їх формування.
Фінансова стійкість - це такий стан
підприємства, коли об'єм його майна (активiв) достатнiй для погашення
зобов'язань, тобто пiдириємство є платоспроможним. Або, фiнансова стiйкiсть
пiдприємства це таке його становище, коли вкладенi в пiдприємницьку дiяльнiсть
ресурси окупаються за рахунок грошових надходжень вiд господарювання, а
отриманий прибуток забезпечує самофiнансування та незалежнiсть пiдприємства вiд
зовнiшнiх залучених джерел формування активiв. Визначається фiнансова стiйкiсть
вiдношенням вартостi матерiальних оборотних активiв (запасiв та витрат) до
величини власних та позичених джерел коштiв для їх формування.
Оцінимо основні фінансові показники ТОВ “Схід-Руда”(таблиця
2.3.1).
Таблиця. 2.3.1
Основні фінансові показники ТОВ “Схід-Руда”
|
Оборотність
|
3 квартал
|
4 квартал
|
Відхилення +,-
|
|
Фондовіддача,
грн./1 грн. ОФ
|
0,261
|
0,311
|
0,049
|
|
Коефіцієнт обороту
дебіторської заборгованості, об.
|
0,012
|
0,016
|
0,004
|
|
Середній період
обороту дебіторської заборгованості, дн.
|
2554,926
|
1976,229
|
-578,697
|
|
Коефіцієнт обороту
кредиторської заборгованості, об.
|
0,017
|
0,022
|
0,005
|
|
Середній період
обороту кредиторської заборгованості, дн.
|
1781,525
|
1405,111
|
-376,414
|
|
Ліквідність та
платоспроможність
|
|
|
|
|
Коефіцієнт покриття
|
1,537
|
1,470
|
-0,066
|
|
Коефіцієнт швидкої
ліквідності
|
1,483
|
1,402
|
-0,081
|
|
Коефіцієнт
абсолютної ліквідності
|
0,578
|
0,619
|
0,041
|
|
Доля чистого
оборотного капіталу
|
0,584
|
0,833
|
0,250
|
|
Маневреність
власних оборотних коштів
|
0,013
|
0,083
|
0,070
|
|
Частка власних
оборотних коштів в покритті запасів
|
0,084
|
0,465
|
0,382
|
|
Коефіцієнт покриття
запасів
|
60,495
|
55,696
|
-4,799
|
|
Фінансова стійкість
|
|
|
|
|
Коефіцієнт
концентрації власного капіталу
|
0,257
|
0,240
|
-0,018
|
|
Частка позикового
капіталу в загальній сумі коштів
|
0,001
|
0,001
|
0,000
|
|
Коефіцієнт
фінансової залежності
|
3,885
|
4,174
|
0,290
|
|
Коефіцієнт
маневреності власного капіталу
|
3,530
|
3,817
|
0,287
|
|
Співвідношення
власних і залучених засобів
|
|
|
Частка довгострокових
зобов'язань в інвестиційному капіталі
|
0,587
|
0,578
|
-0,010
|
|
Коефіцієнт
структури довгострокових вкладень
|
0,604
|
0,618
|
0,014
|
Фондовіддача - це відношення вартості випущеної продукції у
вартісному виразі до середньорічної вартості основних виробничих фондів. Вона
виражає ефективність використання засобів праці, тобто показує, скільки
виробляється готової продукції на одиницю основних виробничих фондів.
Як ми бачимо с таблиці 2.3.1.,фондовіддача збільшилась на
0,049, це позитивно впливає на діяльність підприємства.
Важливою вимогою успішного ведення діяльності є раціональне
використання оборотних коштів, яке виявляється в прискоренні оборотності
оборотних коштів. Чим швидше здійснюється кругообіг, тим менша величина
оборотних коштів обслуговує процес виробництва. Ефективність використання
оборотних коштів вимірюється показниками оборотності.
Під оборотністю оборотних коштів розуміється тривалість
проходження засобами окремих стадій виробництва і обігу. Кругообіг оборотних
коштів завершується зарахуванням виручки на рахунок господарського суб'єкта.
Оборотність оборотних коштів не однакова і залежить від галузевої
приналежності, збуту готової продукції, організації виробництва і розміщення
оборотних коштів по підприємству.
З таблиці 2.3.1 видно оборотність коштів на підприємстві
поліпшилась, коефіцієнти обороту підвищились, а терміни обороту зменшились, з
цього можна зробити висновок, що використання оборотних коштів на підприємстві
поліпшилось у 4 кварталі в порівняні з 3.
Коефіцієнт концентрації власного капіталу (інше найменування цього
коефіцієнта - коефіцієнт автономії, коефіцієнт незалежності). Визначає частку
коштів власників підприємства в загальній сумі коштів, вкладених у майно
підприємства. Коефіцієнт розраховується за формулою:
Підприємство вважається фінансово стійким за умов, що частина власного
капіталу в загальній сумі фінансових ресурсів підприємства становить не менше
50 %. Позитивним є збільшення.
2. Коефіцієнт концентрації позикового капіталу (коефіцієнт фінансової
залежності) є доповненням до попереднього коефіцієнта їх сума дорівнює 1
(або 100 %). Коефіцієнт характеризує частку позикових коштів у загальній сумі
коштів, вкладених у майно підприємства. Коефіцієнт розраховується за формулою:
Нормативне значення 0,5 позитивна тенденція до зменшення.
3. Коефіцієнт маневреності власного капіталу. Показує яка частина власного капіталу
використовується для фінансування поточної діяльності, тобто вкладена в оборотні
кошти, а яка частина капіталізована.
Нормативне значення 0,4 - 0,6. Позитивна тенденція до збільшення.
Найважливішим показником фінансового
стану підприємства є лiквiднiсть, сутність якої проявляється у можливості підприємства
у будь-який момент розрахуватися за своїми зобов'язаннями за допомогою майна,
яке є на балансі, тобто в тому, як швидко підприємство може продати свої
активи, отримати грошові кошти i погасити свої борги, заборгованості перед
постачальниками, перед банком по поверненню кредитів, перед бюджетом та
позабюджетними централізованими фондами по сплаті податкiв та платежiв, перед
робiтниками по виплатi заробiтної плати та iнше.
В залежностi вiд того, якими
платiжними засобами пiдприємство має можливiсть погасити свої зобов'язання,
розраховують декiлька показникiв лiквiдностi.
Коефіцієнт абсолютної ліквідності характеризує частину
поточної заборгованості яку підприємство може погасити найближчим часом. На
нашому підприємстві цей показник збільшився у 4 кварталі порівняно з 3 на
0,041, що є позитивним для підприємства.
Коефіцієнт критичної ліквідності, характеризує очікувану
платоспроможність підприємства через період через період, що дорівнює
тривалості одного обороту дебіторської заборгованості. На нашому підприємстві
за досліджуваний період цей показник знизився на -0,081 пункту, але так як він
вище нормативного значення це не несе негативних наслідків.
Коефіцієнт покриття характеризує здатність підприємства
погасити свої поточні зобов’язання протягом періоду, що дорівнює тривалості
обороту його оборотних активів. За два даних квартали цей показник знизився на
-0,066 , це є незначним мінусом для фінансового стану підприємства.
В цілому ж ліквідність підприємства є позитивною -
найважливіший (коефіцієнт покриття) з показників перевищують їх нормативне
значення.
Як бачимо характеристика даних показників показує їх
неоднозначність. Але вона засвідчує загальну тенденцію до покращення
фінансово-економічного стану підприємства.
3.
Економіко-математичне моделювання видОбутку на ТОВ «Схід-руда»
3.1
Вибір моделей прогнозування
Питання про вибір типу кривої є основним при вирівнюванні
ряду. За всіх інших рівних умов помилка в рішенні цього питання опиняється
більш значущою по своїх наслідках, чим помилка, пов'язана із статистичним
оцінюванням параметрів. До вибору типу кривої можна підійти різними шляхами.
Проте який би шлях (або їх поєднання) не був обраний, він обов'язково припускає
знайомство з основними властивостями ряду, головним чином з характером зміни приростів
і деякими їх перетвореннями.
Для вирівнювання динамічних рядів найчастіше застосовуються
такі відносно прості функції, як багаточлени, різного роду експоненти і
логістичні криві. Існують декілька практичних підходів, які дозволяють більш
менш задовільно вибрати адекватну форму кривої.
Найбільш простій шлях - це візуальний - вибір форми на основі
графічного зображення ряду. Підбирають таку криву зростання, форма якої
відповідає фактичному розвитку процесу.
У сучасних пакетах статистичної обробки є багатий арсенал
стандартних перетворень даних і широкі можливості для графічного зображення.
Все це дозволяє істотно спростити для дослідника проведення даного етапу.
Проте, ризик суб'єктивного і довільного вибору тут дуже великий.
Маємо дані видобутку залізної руди і
концентрату підприємства ТОВ “Схід-Руда” поквартально.
Таблиця 3.1.1
Видобуток підприємства за 2010-2011
роки (тис. тон)
|
Роки
|
Квартали
|
Місяць
|
Залізна руда
|
Залізорудний
концентрат
|
|
2010 рік
|
I квартал
|
Січень
|
8,34
|
4,2
|
|
|
Лютий
|
7,54
|
3,1
|
|
|
Березень
|
5,7
|
2,7
|
|
II квартал
|
Квітень
|
6,7
|
3,3
|
|
|
Травень
|
8,3
|
3,7
|
|
|
Червень
|
11,43
|
5,45
|
|
III квартал
|
Липень
|
32,80
|
13,20
|
|
|
Серпень
|
37,37
|
14,68
|
|
|
Вересень
|
54,41
|
19,36
|
|
IV квартал
|
Жовтень
|
62,1
|
21,9
|
|
|
Листопад
|
65
|
32,1
|
|
|
Грудень
|
71,8
|
38
|
|
2011 рік
|
I квартал
|
Січень
|
74,5
|
41,25
|
|
|
Лютий
|
73,5
|
40,5
|
|
|
Березень
|
75,41
|
40,5
|
|
II квартал
|
Квітень
|
76,45
|
36,7
|
|
|
Травень
|
78,14
|
38,48
|
|
|
Червень
|
|
|
Представимо дані на графіку (рис. 3.1.1).
Рис. 3.1.1. Графік початкових даних
Проаналізувавши дані,оберемо наступні моделі:
. Трендові моделі
. Адаптивні моделі
В якості апроксимуючих кривих трендових моделей оберемо
S-образні криві:
· Логістична крива
· Крива Гомперца
· Крива Перла-Ріда
Адаптивні моделі:
· Модель Брауна першого порядку
· Модель Хольта
Так як наші початкові дані показують видобуток двох видів
продукції, то прогноз буде робитися для них окремо.
3.2
Знаходження параметрів моделей
Знайдемо параметри кожної моделі за допомогою МНК.
1. Крива Гомперца.
Для того щоб знайти параметри, треба привести функцію до
лінійного вигляду:
Вводимо заміну:

Проміжні розрахунки для кривої
Гомперца(Залізна руда)
|
t
|
Y
|
Ln( ln(y/L))
|
t*Y
|
t2
|
|
1
|
8,34
|
0,816
|
0,816
|
1
|
|
2
|
7,54
|
0,859
|
1,719
|
4
|
|
3
|
5,7
|
0,971
|
2,914
|
9
|
|
4
|
6,7
|
0,908
|
3,633
|
16
|
|
5
|
8,3
|
0,818
|
4,090
|
25
|
|
6
|
11,43
|
0,666
|
3,994
|
36
|
|
7
|
32,80
|
-0,115
|
-0,803
|
49
|
|
8
|
37,37
|
-0,273
|
-2,183
|
64
|
|
9
|
54,41
|
-0,953
|
-8,579
|
81
|
|
10
|
62,1
|
-1,373
|
-13,733
|
100
|
|
11
|
65
|
-1,572
|
-17,291
|
121
|
|
12
|
71,8
|
-2,224
|
-26,692
|
144
|
|
13
|
74,5
|
-2,642
|
-34,344
|
169
|
|
14
|
73,5
|
-2,468
|
-34,554
|
196
|
|
15
|
75,41
|
-2,829
|
-42,431
|
225
|
|
16
|
76,45
|
-3,092
|
-49,480
|
256
|
|
17
|
78,14
|
-3,750
|
-63,745
|
289
|
|
∑
|
153
|
|
-16,253
|
-276,671
|
1785
|
|
|
|
|
|
|
За допомогою МНК знаходимо A1 та A0 := -0,320, A0 = 1,920
Повернувшись до заміни, отримуємо такі параметри кривої
Гомперца:= 0,320, a0 = 6,823
Крива Гомперца(для залізної руди) приймає вид:
Так як ми будемо робити прогноз по двом видам продукції, знайдемо
параметри для кривої Гомперца для залізорудного концентрату.
Тут і надалі L - це верхня границя змінної у. Крива має
початкове значення, рівне 0, при
,
і досягає граничного значення L при
.
Для залізної руди L=80, і L=50 - для залізного концентрату
відповідно.
Таблиця 3.2.2
Проміжні розрахунки для кривої
Гомперца(Залізний концентрат)
|
t
|
Y
|
Ln( ln(y/L))
|
t*Y
|
t2
|
|
1
|
4,20
|
0,907
|
0,907
|
1
|
|
2
|
3,10
|
1,023
|
2,045
|
4
|
|
3
|
2,70
|
1,071
|
3,213
|
9
|
|
4
|
3,30
|
1,000
|
4,000
|
16
|
|
5
|
3,70
|
0,957
|
4,785
|
25
|
|
6
|
5,45
|
0,796
|
4,775
|
36
|
|
7
|
13,20
|
0,287
|
2,006
|
49
|
|
8
|
14,68
|
0,203
|
1,627
|
64
|
|
9
|
19,36
|
-0,053
|
-0,473
|
81
|
|
10
|
21,90
|
-0,192
|
-1,917
|
100
|
|
11
|
32,10
|
-0,814
|
-8,952
|
121
|
|
12
|
38,00
|
-1,293
|
-15,516
|
144
|
|
13
|
41,25
|
-1,648
|
-21,428
|
169
|
|
14
|
40,50
|
-1,557
|
-21,801
|
196
|
|
15
|
40,50
|
-1,557
|
-23,358
|
225
|
|
16
|
36,70
|
-1,174
|
-18,778
|
256
|
|
17
|
38,48
|
-1,340
|
-22,777
|
289
|
|
∑
|
153
|
|
-3,384
|
-111,643
|
1785
|
|
|
|
|
|
|
За допомогою МНК знаходимо A1 та A0 := -0,199, A0 = 1,592
Повернувшись до заміни, отримуємо такі параметри кривої
Гомперца:= 0,199, a0 = 4,913
Крива Гомперца(для залізного концентрату) приймає вид:
. Крива Перла-Ріда.
Для того щоб знайти параметри, треба привести функцію до лінійного
вигляду:

;

;

;
Вводимо заміну:

;

;

;
Таблиця 3.2.3
Проміжні розрахунки для кривої
Перл-Ріда(Залізна руда)
|
t
|
Y
|
ln(L/y-1)
|
-t
|
t*Y
|
t2
|
|
1
|
8,34
|
2,151
|
-1
|
-2,151
|
1
|
|
2
|
7,54
|
2,263
|
-2
|
-4,526
|
4
|
|
3
|
5,7
|
2,568
|
-3
|
-7,703
|
9
|
|
4
|
6,7
|
2,392
|
-4
|
-9,570
|
16
|
|
5
|
8,3
|
2,156
|
-5
|
-10,781
|
25
|
|
6
|
11,43
|
1,792
|
-6
|
-10,750
|
36
|
|
7
|
32,80
|
0,364
|
-7
|
-2,548
|
49
|
|
8
|
37,37
|
0,132
|
-8
|
-1,054
|
64
|
|
9
|
54,41
|
-0,754
|
-9
|
6,789
|
81
|
|
10
|
62,1
|
-1,244
|
-10
|
12,439
|
100
|
|
11
|
65
|
-1,466
|
-11
|
16,130
|
121
|
|
12
|
71,8
|
-2,170
|
-12
|
26,037
|
144
|
|
13
|
74,5
|
-2,606
|
-13
|
33,879
|
169
|
|
14
|
73,5
|
-2,425
|
-14
|
33,957
|
196
|
|
15
|
75,41
|
-2,799
|
-15
|
41,986
|
225
|
|
16
|
76,45
|
-3,070
|
-16
|
49,115
|
256
|
|
17
|
78,14
|
-3,738
|
-17
|
63,545
|
289
|
|
∑
|
153
|
|
-6,455
|
-153
|
234,795
|
1785
|
|
|
|
|
|
|
|
За допомогою МНК знаходимо A1 та A0 := 0,433, A0 = 3,518
Повернувшись до заміни, отримуємо такі параметри кривої
Перл-Ріда:=0,433 , a0 = 33,717
Крива Перла-Ріда(для залізної руди) приймає вид:
Проводимо аналогічні розрахунки по даним залізного концентрату.
Таблиця 3.2.4
Проміжні розрахунки для кривої
Перл-Ріда(Залізний концентрат)
|
t
|
Y
|
ln(L/y-1)
|
-t
|
t*Y
|
t2
|
|
1
|
4,2
|
2,389
|
-1
|
1
|
|
2
|
3,1
|
2,717
|
-2
|
-5,433
|
4
|
|
3
|
2,7
|
2,863
|
-3
|
-8,590
|
9
|
|
4
|
3,3
|
2,650
|
-4
|
-10,599
|
16
|
|
5
|
3,7
|
2,527
|
-5
|
-12,634
|
25
|
|
6
|
5,45
|
2,101
|
-6
|
-12,606
|
36
|
|
7
|
13,2
|
1,025
|
-7
|
-7,177
|
49
|
|
8
|
14,68
|
0,878
|
-8
|
-7,023
|
64
|
|
9
|
19,36
|
0,459
|
-9
|
-4,132
|
81
|
|
10
|
21,9
|
0,249
|
-10
|
-2,493
|
100
|
|
11
|
32,1
|
-0,584
|
-11
|
6,425
|
121
|
|
12
|
38
|
-1,153
|
-12
|
13,832
|
144
|
|
13
|
41,25
|
-1,551
|
-13
|
20,158
|
169
|
|
14
|
40,5
|
-1,450
|
-14
|
20,300
|
196
|
|
15
|
40,5
|
-1,450
|
-15
|
21,750
|
225
|
|
16
|
36,7
|
-1,015
|
-16
|
16,240
|
256
|
|
17
|
38,48
|
-1,206
|
-17
|
20,503
|
289
|
|
∑
|
153
|
|
9,450
|
-153
|
46,132
|
1785
|
|
|
|
|
|
|
|
За допомогою МНК знаходимо A1 та A0 :=0,322 , A0 = 3,450
Повернувшись до заміни, отримуємо такі параметри кривої
Перл-Ріда:=0,322, a0 = 31,486
Крива Перла-Ріда(для залізного концентрату) приймає вид:
. Логістична крива
Для того щоб знайти параметри, треба привести функцію до лінійного
вигляду:


Вводимо заміну:

;

;

Таблиця 3.2.5
Проміжні розрахунки для логістичної
кривої(Залізна руда)
|
t
|
Y
|
lg(L/y-1)
|
t*Y
|
t2
|
|
1
|
8,34
|
0,934
|
0,934
|
1
|
|
2
|
7,54
|
0,983
|
1,965
|
4
|
|
3
|
5,7
|
1,115
|
3,345
|
9
|
|
4
|
6,7
|
1,039
|
4,156
|
16
|
|
5
|
8,3
|
0,936
|
4,682
|
25
|
|
6
|
11,43
|
0,778
|
4,669
|
36
|
|
7
|
32,80
|
0,158
|
1,106
|
49
|
|
8
|
37,37
|
0,057
|
0,458
|
64
|
|
9
|
54,41
|
-0,328
|
-2,948
|
81
|
|
10
|
62,1
|
-0,540
|
-5,402
|
100
|
|
11
|
65
|
-0,637
|
-7,005
|
121
|
|
12
|
71,8
|
-0,942
|
-11,308
|
144
|
|
13
|
74,5
|
-1,132
|
-14,713
|
169
|
|
14
|
73,5
|
-1,053
|
-14,747
|
196
|
|
15
|
75,41
|
-1,216
|
-18,234
|
225
|
|
16
|
76,45
|
-1,333
|
-21,330
|
256
|
|
17
|
78,14
|
-1,623
|
-27,597
|
289
|
|
∑
|
153
|
|
-2,803
|
-101,970
|
1785
|
|
|
|
|
|
|
За допомогою МНК знаходимо A1 та A0 := -0,188, A0 = 1,528
Повернувшись до заміни, отримуємо такі параметри логістичної
кривої:=0,188, a0 = 1,528
Логістична крива(для залізної руди) приймає вид:
Проводимо аналогічні розрахунки по даним залізного концентрату.
Таблиця 3.2.6
Проміжні розрахунки для логістичної
кривої(Залізний концентрат)
|
t
|
Y
|
lg(L/y-1)
|
t*Y
|
t2
|
|
1
|
4,2
|
1,038
|
1,038
|
1
|
|
2
|
3,1
|
1,180
|
2,360
|
4
|
|
3
|
2,7
|
1,243
|
3,730
|
9
|
|
4
|
3,3
|
1,151
|
4,603
|
16
|
|
5
|
3,7
|
1,097
|
5,487
|
25
|
|
6
|
5,45
|
0,912
|
5,475
|
36
|
|
7
|
13,2
|
0,445
|
3,117
|
49
|
|
8
|
14,68
|
0,381
|
3,050
|
64
|
|
9
|
19,36
|
0,199
|
1,794
|
81
|
|
10
|
21,9
|
0,108
|
1,083
|
100
|
|
11
|
32,1
|
-0,254
|
-2,790
|
121
|
|
12
|
38
|
-0,501
|
-6,007
|
144
|
|
13
|
41,25
|
-0,673
|
-8,754
|
169
|
|
14
|
40,5
|
-0,630
|
-8,816
|
196
|
|
15
|
40,5
|
-0,630
|
-9,446
|
225
|
|
16
|
36,7
|
-0,441
|
-7,053
|
256
|
|
17
|
38,48
|
-0,524
|
-8,904
|
289
|
|
∑
|
153
|
|
4,104
|
-20,035
|
1785
|
|
|
|
|
|
|
За допомогою МНК знаходимо A1 та A0 := -0,14, A0 = 1,498
Повернувшись до заміни, отримуємо такі параметри логістичної
кривої:=0,14, a0 = 1,498
Логістична крива(для залізного концентрату) приймає вид:
. Модель Брауна першого порядку
За даними часового ряду
знаходимо
за допомогою МНК - оцінку лінійного тренда
та
приймаємо
та
.
Для знаходження коефіцієнтів
та
на графіку часового ряду
добавимо лінію тренда (рис. 3.2.1).
Рис.3.2.1 Початкові дані(залізна руда) та лінійний тренд
В нашому випадку рівняння тренда для залізної руди має вигляд
, звідки
та
.
Зобразимо на графіку лінію тренду залізної руди рис. 3.2.2
Рис.3.2.2. Початкові дані(залізний концентрат) та лінійний
тренд
В нашому випадку рівняння тренда для залізного концентрату має вигляд
, звідки
та
5.Модель Хольта.
Оцінка коефіцієнтів адаптивного поліному першого порядку здійснюється
за формулами:
,
де
- параметри експоненціального
згладжування
.
Таким чином прогноз в методі Хольта є функцією минулих і теперішніх
даних, параметрів
і початкових даних. Початкові значення
визначається по рівнянню лінійного тренда.
Таким чином параметри моделі згідно рис.3.2.1 та рис.3.2.2 такі:
· для залізної руди
,
звідки
та
· для залізного концентрату
,
звідки
та
.
3.3 Оцінка точності та адекватності моделей
Проведемо розрахунки по кожній моделі окремо для залізної
руди та залізного концентрату.
Оцінимо точність кожної моделі за такими критеріями:
• Середньоквадратичне відхилення
• Коефіцієнт збіжності
• Коефіцієнт детермінації.
1. Крива Гомперца.
Таблиця 3.3.1
Проміжні розрахунки для кривої
Гомперца(Залізна руда)
Y
|
Yр
|
(y-yp)2
|
(y-ycp)2
|
e
|
((y-yp)/y)
|
|
1
|
8,34
|
0,563
|
60,481
|
1277,890
|
7,777
|
0,932
|
|
2
|
7,54
|
2,185
|
28,680
|
1335,726
|
5,355
|
0,710
|
|
3
|
5,7
|
5,850
|
0,022
|
1473,607
|
-0,150
|
0,026
|
|
4
|
6,7
|
11,964
|
27,713
|
1397,832
|
-5,264
|
0,786
|
|
5
|
8,3
|
20,120
|
139,710
|
1280,751
|
-11,820
|
1,424
|
|
6
|
11,43
|
29,350
|
321,137
|
1066,518
|
-17,920
|
1,568
|
|
7
|
32,80
|
38,614
|
33,797
|
127,410
|
-5,814
|
0,177
|
|
8
|
37,37
|
47,128
|
95,238
|
45,139
|
-9,759
|
0,261
|
|
9
|
54,41
|
54,468
|
0,003
|
106,552
|
-0,058
|
0,001
|
|
10
|
62,1
|
60,508
|
2,534
|
324,447
|
1,592
|
0,026
|
|
11
|
65
|
65,311
|
0,097
|
437,329
|
-0,311
|
0,005
|
|
12
|
71,8
|
69,038
|
7,627
|
767,978
|
2,762
|
0,038
|
|
13
|
74,5
|
71,878
|
6,874
|
924,915
|
2,622
|
0,035
|
|
14
|
73,5
|
74,014
|
0,264
|
865,090
|
-0,514
|
0,007
|
|
15
|
75,41
|
75,606
|
0,038
|
981,093
|
-0,196
|
0,003
|
|
16
|
76,45
|
76,783
|
0,111
|
1047,326
|
-0,333
|
0,004
|
|
17
|
78,14
|
77,650
|
0,240
|
1159,567
|
0,490
|
0,006
|
|
∑
|
153
|
|
|
724,567
|
14619,170
|
-31,542
|
6,010
|
|
Сер.знач.
|
|
44,087
|
|
|
|
|
|
1. Середньоквадратичне відхилення
. Коефіцієнт збіжності
3. Коефіцієнт детермінації
Рис.3.3.1.Початковий ряд і прогнозні значення
Таблиця 3.3.2
Проміжні розрахунки для кривої
Гомперца(Залізорудний концентрат)
|
t
|
Y
|
Yр
|
(y-yp)2
|
(y-ycp)2
|
e
|
((y-yp)/y)
|
|
1
|
4,20
|
0,891882
|
10,943645
|
286,4472
|
3,308118
|
0,787647
|
|
2
|
3,10
|
1,844344
|
1,5766716
|
324,8916
|
1,255656
|
0,40505
|
|
3
|
2,70
|
3,345341
|
0,4164652
|
339,4714
|
-0,64534
|
0,239015
|
|
4
|
3,30
|
5,449749
|
4,6214195
|
317,7217
|
-2,14975
|
0,651439
|
|
5
|
3,70
|
8,129617
|
19,621507
|
303,6219
|
-4,42962
|
1,197194
|
|
6
|
5,45
|
11,28293
|
34,023056
|
245,6978
|
-5,83293
|
1,070262
|
|
7
|
13,20
|
14,76003
|
2,4336856
|
62,80166
|
-1,56003
|
0,118184
|
|
8
|
14,68
|
18,39505
|
13,796035
|
41,52514
|
-3,7143
|
0,253005
|
|
9
|
19,36
|
22,03241
|
7,1417641
|
3,114343
|
-2,67241
|
0,138038
|
|
10
|
21,90
|
25,54366
|
13,276293
|
0,601013
|
-3,64366
|
0,166377
|
|
11
|
32,10
|
28,83475
|
10,661874
|
120,4561
|
3,265252
|
0,101721
|
|
12
|
38,00
|
31,84578
|
37,874475
|
284,7741
|
6,154224
|
0,161953
|
|
13
|
41,25
|
34,54649
|
44,937006
|
405,0257
|
6,703507
|
0,162509
|
|
14
|
40,50
|
36,92981
|
12,746275
|
375,4003
|
3,570193
|
0,088153
|
|
15
|
40,50
|
39,00516
|
2,2345318
|
375,4003
|
1,494835
|
0,03691
|
|
16
|
36,70
|
40,79271
|
16,750272
|
242,5884
|
-4,09271
|
0,111518
|
|
17
|
38,48
|
42,31862
|
14,734993
|
301,2047
|
-3,83862
|
0,099756
|
|
∑
|
153
|
|
|
247,78997
|
4030,743
|
-6,82758
|
5,788732
|
|
Сер.знач.
|
|
21,125
|
|
|
|
|
|
1. Середньоквадратичне відхилення
. Коефіцієнт збіжності
. Коефіцієнт
детермінації
Рис.3.3.2. Початковий ряд і прогнозні значення
2. Крива Перла-Ріда
Таблиця 3.3.3
Проміжні розрахунки для кривої
Перла-Ріда(Залізна руда)
|
t
|
Y
|
Yр
|
(y-yp)2
|
(y-ycp)2
|
e
|
піки
|
((y-yp)/y)
|
|
1
|
8,34
|
3,498
|
23,438
|
1277,890
|
4,841
|
|
0,580
|
|
2
|
7,54
|
5,270
|
5,153
|
1335,726
|
2,270
|
|
0,301
|
|
3
|
5,7
|
7,846
|
4,606
|
1473,607
|
-2,146
|
|
0,377
|
|
4
|
6,7
|
11,488
|
22,927
|
1397,832
|
-4,788
|
|
0,715
|
|
5
|
8,3
|
16,436
|
66,188
|
1280,751
|
-8,136
|
|
0,980
|
|
6
|
11,43
|
129,377
|
1066,518
|
-11,374
|
+
|
0,995
|
|
7
|
32,80
|
30,459
|
5,482
|
127,410
|
2,341
|
+
|
0,071
|
|
8
|
37,37
|
38,933
|
2,446
|
45,139
|
-1,564
|
+
|
0,042
|
|
9
|
54,41
|
47,504
|
47,686
|
106,552
|
6,906
|
+
|
0,127
|
|
10
|
62,1
|
55,417
|
44,669
|
324,447
|
6,683
|
|
0,108
|
|
11
|
65
|
62,127
|
8,255
|
437,329
|
2,873
|
+
|
0,044
|
|
12
|
71,8
|
67,421
|
19,172
|
767,978
|
4,379
|
+
|
0,061
|
|
13
|
74,5
|
71,365
|
9,825
|
924,915
|
3,135
|
|
0,042
|
|
14
|
73,5
|
74,180
|
0,462
|
865,090
|
-0,680
|
|
0,009
|
|
15
|
75,41
|
76,126
|
0,513
|
981,093
|
-0,716
|
|
0,010
|
|
16
|
76,45
|
77,444
|
0,989
|
1047,326
|
-0,994
|
+
|
0,013
|
|
17
|
78,14
|
78,324
|
0,034
|
1159,567
|
-0,184
|
|
0,002
|
|
∑
|
153
|
|
|
391,223
|
14619,170
|
2,845
|
|
4,477
|
|
Сер.знач.
|
|
44,088
|
|
|
|
0,167
|
|
|
1. Середньоквадратичне відхилення
. Коефіцієнт збіжності
. Коефіцієнт
детермінації
Рис.3.3.3 Початковий ряд і прогнозні значення
Таблиця 3.3.4
Проміжні розрахунки для кривої
Перла-Ріда(Залізорудний концентрат)
|
t
|
Y
|
Yр
|
(y-yp)2
|
(y-ycp)2
|
e
|
((y-yp)/y)
|
|
1
|
4,2
|
2,098
|
4,417
|
286,447
|
2,102
|
0,500
|
|
2
|
3,1
|
2,849
|
0,063
|
324,892
|
0,251
|
0,081
|
|
3
|
2,7
|
3,846
|
1,313
|
339,471
|
-1,146
|
0,424
|
|
4
|
3,3
|
5,154
|
3,437
|
317,722
|
-1,854
|
0,562
|
|
5
|
3,7
|
6,841
|
9,866
|
303,622
|
-3,141
|
0,849
|
|
6
|
5,45
|
8,970
|
12,390
|
245,698
|
-3,520
|
0,646
|
|
7
|
13,2
|
11,583
|
2,613
|
62,802
|
1,617
|
0,122
|
|
8
|
14,68
|
14,686
|
0,000
|
41,525
|
-0,005
|
0,000
|
|
9
|
19,36
|
18,225
|
1,288
|
3,114
|
1,135
|
0,059
|
|
10
|
21,9
|
22,084
|
0,034
|
0,601
|
-0,184
|
0,008
|
|
11
|
32,1
|
26,089
|
36,133
|
120,456
|
6,011
|
0,187
|
|
12
|
38
|
30,039
|
63,383
|
284,774
|
7,961
|
0,210
|
|
13
|
41,25
|
33,743
|
56,362
|
405,026
|
7,507
|
0,182
|
|
14
|
40,5
|
37,055
|
11,866
|
375,400
|
3,445
|
0,085
|
|
15
|
40,5
|
39,895
|
0,366
|
375,400
|
0,605
|
0,015
|
|
16
|
36,7
|
42,243
|
30,719
|
242,588
|
-5,543
|
0,151
|
|
17
|
38,48
|
44,125
|
31,864
|
301,205
|
-5,645
|
0,147
|
|
∑
|
153
|
|
|
266,115
|
4030,743
|
9,597
|
4,229
|
|
Сер.знач.
|
|
21,12475
|
|
|
|
|
|
1. Середньоквадратичне відхилення
. Коефіцієнт збіжності
. Коефіцієнт
детермінації
Рис.3.3.4.Початковий ряд і прогнозні значення
3. Логістична крива
Таблиця 3.3.5
Проміжні розрахунки для логістичної
кривої(Залізна руда)
|
t
|
Y
|
Yр
|
(y-yp)2
|
(y-ycp)2
|
e
|
((y-yp)/y)
|
|
1
|
8,34
|
3,499
|
23,439
|
1277,890
|
4,841
|
0,580
|
|
2
|
7,54
|
5,270
|
5,153
|
1335,726
|
2,270
|
0,301
|
|
3
|
5,7
|
7,846
|
4,606
|
1473,607
|
-2,146
|
0,377
|
|
4
|
6,7
|
11,488
|
22,927
|
1397,832
|
-4,788
|
0,715
|
|
5
|
8,3
|
16,436
|
66,188
|
1280,751
|
-8,136
|
0,980
|
|
6
|
11,43
|
22,804
|
129,377
|
1066,518
|
-11,374
|
0,995
|
|
7
|
32,80
|
30,459
|
5,482
|
127,410
|
2,341
|
0,071
|
|
8
|
37,37
|
38,933
|
2,446
|
45,139
|
-1,564
|
0,042
|
|
9
|
54,41
|
47,504
|
47,686
|
106,552
|
6,906
|
0,127
|
|
10
|
62,1
|
55,417
|
44,669
|
324,447
|
6,683
|
0,108
|
|
11
|
65
|
62,127
|
8,255
|
437,329
|
2,873
|
0,044
|
|
12
|
71,8
|
67,421
|
767,978
|
4,379
|
0,061
|
|
13
|
74,5
|
71,365
|
9,825
|
924,915
|
3,135
|
0,042
|
|
14
|
73,5
|
74,180
|
0,462
|
865,090
|
-0,680
|
0,009
|
|
15
|
75,41
|
76,126
|
0,513
|
981,093
|
-0,716
|
0,010
|
|
16
|
76,45
|
77,444
|
0,989
|
1047,326
|
-0,994
|
0,013
|
|
17
|
78,14
|
78,324
|
0,034
|
1159,567
|
-0,184
|
0,002
|
|
∑
|
153
|
|
|
391,223
|
14619,170
|
2,845
|
4,477
|
|
Сер.знач.
|
|
44,088
|
|
|
|
|
|
|
|
|
|
|
|
|
|
|
1. Середньоквадратичне відхилення
. Коефіцієнт збіжності
. Коефіцієнт
детермінації
Рис.3.3.5.Початковий ряд і прогнозні значення
Таблиця 3.3.6
Проміжні розрахунки для логістичної
кривої(Залізорудний концентрат)
|
t
|
Y
|
Yр
|
(y-yp)2
|
(y-ycp)2
|
e
|
((y-yp)/y)
|
|
1
|
4,2
|
2,098
|
4,417
|
286,447
|
2,102
|
0,500
|
|
2
|
3,1
|
2,849
|
0,063
|
324,892
|
0,251
|
0,081
|
|
3
|
2,7
|
3,846
|
1,313
|
339,471
|
-1,146
|
0,424
|
|
4
|
3,3
|
5,154
|
3,437
|
317,722
|
-1,854
|
0,562
|
|
5
|
3,7
|
6,841
|
9,866
|
303,622
|
-3,141
|
0,849
|
|
6
|
5,45
|
8,970
|
12,390
|
245,698
|
-3,520
|
0,646
|
|
7
|
13,2
|
11,583
|
2,613
|
62,802
|
1,617
|
0,122
|
|
8
|
14,68
|
14,686
|
0,000
|
41,525
|
-0,005
|
0,000
|
|
9
|
19,36
|
18,225
|
1,288
|
3,114
|
1,135
|
0,059
|
|
10
|
21,9
|
22,084
|
0,034
|
0,601
|
-0,184
|
0,008
|
|
11
|
32,1
|
26,089
|
36,133
|
120,456
|
6,011
|
0,187
|
|
12
|
38
|
30,039
|
63,383
|
284,774
|
7,961
|
0,210
|
|
13
|
41,25
|
33,743
|
56,362
|
405,026
|
7,507
|
0,182
|
|
14
|
40,5
|
37,055
|
11,866
|
375,400
|
3,445
|
0,085
|
|
15
|
40,5
|
39,895
|
0,366
|
375,400
|
0,605
|
0,015
|
|
16
|
36,7
|
42,243
|
30,719
|
242,588
|
-5,543
|
0,151
|
|
17
|
38,48
|
44,125
|
31,864
|
301,205
|
-5,645
|
0,147
|
|
∑
|
153
|
|
|
266,115
|
4030,743
|
9,597
|
4,229
|
|
Сер.знач.
|
|
21,125
|
|
|
|
|
|
1. Середньоквадратичне відхилення
. Коефіцієнт збіжності
. Коефіцієнт
детермінації
Рис.3.3.6 Початковий ряд і прогнозні значення
. Модель Брауна першого порядку
Таблиця 3.3.7
Проміжні розрахунки для моделі Брауна
першого порядку(Залізна руда)
|
t
|
Y
|
a1
|
a2
|
Yp
|
(y-yp)2
|
(y-ycp)2
|
e
|
((y-yp)/y)
|
Похибка
|
|
1
|
8,34
|
6,887
|
0,966
|
7,853
|
0,238
|
1277,890
|
0,487
|
0,058
|
0,487
|
|
2
|
7,54
|
7,543
|
0,713
|
8,256
|
0,512
|
1335,726
|
-0,716
|
0,095
|
0,716
|
|
3
|
5,7
|
5,726
|
-1,358
|
4,368
|
1,774
|
1473,607
|
1,332
|
0,234
|
1,332
|
|
4
|
6,7
|
6,677
|
0,531
|
7,208
|
0,258
|
1397,832
|
-0,508
|
0,076
|
0,508
|
|
5
|
8,3
|
8,289
|
1,416
|
9,705
|
1,974
|
1280,751
|
-1,405
|
0,169
|
1,405
|
|
6
|
11,43
|
11,413
|
2,813
|
14,226
|
7,817
|
1066,518
|
-2,796
|
0,245
|
2,796
|
|
7
|
32,80
|
32,614
|
17,858
|
50,472
|
312,315
|
127,410
|
-17,672
|
0,539
|
17,672
|
|
8
|
37,37
|
37,500
|
7,244
|
44,744
|
54,397
|
45,139
|
-7,375
|
0,197
|
7,375
|
|
9
|
54,41
|
54,313
|
15,074
|
69,387
|
224,306
|
106,552
|
-14,977
|
0,275
|
14,977
|
|
10
|
62,1
|
62,173
|
9,171
|
71,344
|
85,452
|
324,447
|
-9,244
|
0,149
|
9,244
|
|
11
|
65
|
65,063
|
4,032
|
69,096
|
16,777
|
437,329
|
-4,096
|
0,063
|
4,096
|
|
12
|
71,8
|
71,773
|
6,223
|
77,996
|
38,387
|
767,978
|
-6,196
|
0,086
|
6,196
|
|
13
|
74,5
|
74,535
|
3,391
|
77,926
|
11,739
|
924,915
|
0,046
|
3,426
|
|
14
|
73,5
|
73,544
|
-0,194
|
73,350
|
0,022
|
865,090
|
0,150
|
0,002
|
0,150
|
|
15
|
75,41
|
75,389
|
1,474
|
76,864
|
2,114
|
981,093
|
-1,454
|
0,019
|
1,454
|
|
16
|
76,45
|
76,454
|
1,139
|
77,593
|
1,307
|
1047,326
|
-1,143
|
0,015
|
1,143
|
|
17
|
78,14
|
78,135
|
1,582
|
79,717
|
2,485
|
1159,567
|
-1,577
|
0,020
|
1,577
|
|
∑
|
|
|
|
|
761,875
|
14619,170
|
-70,616
|
2,289
|
74,554
|
|
Ср
|
44,088
|
|
|
|
|
|
|
|
|
1. Середньоквадратичне відхилення
. Коефіцієнт збіжності
. Коефіцієнт
детермінації
Рис.3.3.7 Початковий ряд і прогнозні значення
Розподілення помилки прогнозування відносно параметра
показано на графіку (рис. 3.3.8).
Рис.3.3.8 Залежність помилки прогнозу
від коефіцієнта згладжування
Таблиця 3.3.8
Проміжні розрахунки для моделі Брауна
першого порядку(Залізорудний концентрат)
|
t
|
Y
|
a1
|
a2
|
Yp
|
(y-yp)2
|
(y-ycp)2
|
e
|
((y-yp)/y)
|
Піки
|
|
1
|
4,2
|
3,240
|
0,255
|
3,495
|
0,497
|
286,447
|
0,705
|
0,168
|
|
|
2
|
3,1
|
3,104
|
-0,065
|
3,039
|
0,004
|
324,892
|
0,061
|
0,020
|
+
|
|
3
|
2,7
|
2,703
|
-0,340
|
2,364
|
0,113
|
339,471
|
0,336
|
0,125
|
+
|
|
4
|
3,3
|
3,291
|
0,419
|
3,709
|
0,168
|
317,722
|
-0,409
|
0,124
|
|
|
5
|
3,7
|
3,700
|
0,411
|
4,111
|
0,169
|
303,622
|
-0,411
|
0,111
|
+
|
|
6
|
5,45
|
5,437
|
1,496
|
6,932
|
2,197
|
245,698
|
-1,482
|
0,272
|
|
|
7
|
13,2
|
13,137
|
6,572
|
19,710
|
42,378
|
62,802
|
-6,510
|
0,493
|
+
|
|
8
|
14,681
|
14,731
|
2,499
|
17,230
|
6,499
|
41,525
|
-2,549
|
0,174
|
+
|
|
9
|
19,36
|
19,339
|
4,224
|
23,563
|
17,665
|
3,114
|
-4,203
|
0,217
|
+
|
|
10
|
21,9
|
21,917
|
2,877
|
24,794
|
8,375
|
0,601
|
-2,894
|
0,132
|
+
|
|
11
|
32,1
|
32,027
|
8,795
|
40,822
|
76,076
|
120,456
|
-8,722
|
0,272
|
+
|
|
12
|
38
|
38,028
|
6,509
|
44,537
|
42,739
|
284,774
|
-6,537
|
0,172
|
|
|
13
|
41,25
|
41,283
|
3,846
|
45,129
|
15,049
|
405,026
|
-3,879
|
0,094
|
|
|
14
|
40,5
|
40,546
|
0,097
|
40,643
|
0,020
|
375,400
|
-0,143
|
0,004
|
|
|
15
|
40,5
|
40,501
|
-0,019
|
40,482
|
0,000
|
375,400
|
0,018
|
0,000
|
+
|
|
16
|
36,7
|
36,738
|
-3,083
|
33,655
|
9,272
|
242,588
|
3,045
|
0,083
|
+
|
|
17
|
38,48
|
38,432
|
0,825
|
39,257
|
0,604
|
301,205
|
-0,777
|
0,020
|
|
|
∑
|
|
|
|
|
221,823
|
4030,743
|
-34,353
|
2,480
|
|
|
Ср
|
21,125
|
|
|
|
|
|
-2,021
|
|
|
1. Середньоквадратичне відхилення
. Коефіцієнт збіжності
. Коефіцієнт
детермінації
Розподілення помилки прогнозування відносно параметра
показано на графіку (рис. 3.3.9).
Рис.3.3.9 Залежність помилки прогнозу
від коефіцієнта згладжування
5.Модель Хольта
Таблиця 3.3.9
Проміжні розрахунки для моделі
Хольта(Залізна руда)
|
t
|
Y
|
a1
|
a2
|
Yp
|
похибка
|
(y-yp)2
|
(y-ycp)2
|
|
|
-7,267
|
5,706
|
|
|
|
|
|
1
|
8,34
|
7,350
|
11,944
|
19,294
|
10,954
|
119,980
|
1277,890
|
|
2
|
7,54
|
8,715
|
4,539
|
13,254
|
5,714
|
32,652
|
1335,726
|
|
3
|
5,7
|
6,455
|
-0,220
|
6,235
|
0,535
|
0,286
|
1473,607
|
|
4
|
6,7
|
6,654
|
0,073
|
6,726
|
0,026
|
0,001
|
1397,832
|
|
5
|
8,3
|
8,143
|
1,064
|
9,207
|
0,907
|
0,822
|
1280,751
|
|
6
|
11,43
|
11,208
|
2,465
|
13,672
|
2,242
|
5,029
|
1066,518
|
|
7
|
32,80
|
30,887
|
14,515
|
45,402
|
12,602
|
158,820
|
127,410
|
|
8
|
37,37
|
38,172
|
9,454
|
47,626
|
10,257
|
105,215
|
45,139
|
|
9
|
54,41
|
53,732
|
13,728
|
67,459
|
13,049
|
170,287
|
106,552
|
|
10
|
62,1
|
62,636
|
10,351
|
72,987
|
10,887
|
118,533
|
324,447
|
|
11
|
65
|
65,799
|
5,319
|
71,118
|
6,118
|
37,431
|
437,329
|
|
12
|
71,732
|
5,749
|
77,481
|
5,681
|
32,271
|
767,978
|
|
13
|
74,5
|
74,798
|
3,871
|
78,669
|
4,169
|
17,382
|
924,915
|
|
14
|
73,5
|
74,017
|
0,615
|
74,631
|
1,131
|
1,280
|
865,090
|
|
15
|
75,41
|
75,332
|
1,105
|
76,437
|
1,027
|
1,055
|
981,093
|
|
16
|
76,45
|
76,449
|
1,113
|
77,562
|
1,112
|
1,236
|
1047,326
|
|
17
|
78,14
|
78,082
|
1,477
|
79,560
|
1,420
|
2,015
|
1159,567
|
|
∑
|
|
|
|
|
87,833
|
804,295
|
14619,170
|
1. Середньоквадратичне відхилення
. Коефіцієнт збіжності
. Коефіцієнт
детермінації
Рис.3.3.10 Початковий ряд і прогнозні значення
Таблиця 3.3.10
Проміжні розрахунки для моделі
Хольта(Залізорудний концентрат)
|
t
|
Y
|
a1
|
a2
|
Yp
|
похибка
|
(y-yp)2
|
(y-ycp)2
|
e
|
|
|
-5,679
|
2,929
|
|
|
|
|
|
|
1
|
4,2
|
3,505
|
5,431
|
8,936
|
4,736
|
22,429
|
286,447
|
-4,736
|
|
2
|
3,1
|
3,684
|
3,330
|
7,014
|
3,914
|
15,316
|
324,892
|
-3,914
|
|
3
|
2,7
|
3,131
|
1,777
|
4,908
|
2,208
|
4,877
|
339,471
|
-2,208
|
|
4
|
3,3
|
3,461
|
1,198
|
4,659
|
1,359
|
1,847
|
317,722
|
-1,359
|
|
5
|
3,7
|
3,796
|
0,853
|
4,649
|
0,949
|
0,900
|
303,622
|
-0,949
|
|
6
|
5,45
|
5,370
|
1,141
|
6,511
|
1,061
|
1,126
|
245,698
|
-1,061
|
|
7
|
13,2
|
12,531
|
3,549
|
16,080
|
2,880
|
8,297
|
62,802
|
-2,880
|
|
8
|
14,68
|
14,821
|
3,045
|
17,866
|
3,185
|
10,147
|
41,525
|
-3,185
|
|
9
|
19,36
|
19,211
|
3,583
|
22,794
|
3,434
|
11,791
|
3,114
|
-3,434
|
|
10
|
21,9
|
21,989
|
3,261
|
25,251
|
3,351
|
11,228
|
0,601
|
-3,351
|
|
11
|
32,1
|
31,415
|
5,727
|
37,142
|
5,042
|
25,424
|
120,456
|
-5,042
|
|
12
|
38
|
37,914
|
6,036
|
43,950
|
5,950
|
35,404
|
284,774
|
-5,950
|
|
13
|
41,25
|
41,520
|
5,064
|
46,584
|
5,334
|
28,450
|
405,026
|
-5,334
|
|
14
|
40,5
|
41,108
|
2,874
|
43,982
|
3,482
|
12,125
|
375,400
|
-3,482
|
|
15
|
40,5
|
40,848
|
1,620
|
42,468
|
1,968
|
3,874
|
375,400
|
-1,968
|
|
16
|
36,7
|
37,277
|
-0,456
|
36,820
|
0,120
|
0,014
|
242,588
|
-0,120
|
|
17
|
38,48
|
38,314
|
0,141
|
38,455
|
0,025
|
0,001
|
301,205
|
0,025
|
|
|
|
|
|
48,999
|
193,251
|
4030,743
|
-48,949
|
1. Середньоквадратичне відхилення
. Коефіцієнт збіжності
. Коефіцієнт
детермінації
Рис.3.3.11 Початковий ряд і прогнозні значення
Таблиця 3.3.11
Підсумуюча таблиця(для залізної руди)
|
№
|
Залежність
|
Коефіцієнт
детермінації
|
Коефіцієнт
збіжності
|
Середньоквадратичне
відхилення
|
|
1
|
  
|
|
|
|
|
2
|
  
|
|
|
|
|
3
|
  
|
|
|
|
|
4
|
Модель Брауна  
|
|
|
|
|
5
|
Модель Хольта  
|
|
|
|
Провівши всі розрахунки можна зробити висновок, що найкращим
чином апроксимує дані для залізної руди крива Перла-Ріда.
Таблиця 3.3.12
Підсумуюча таблиця(для залізорудного концентрату)
|
№
|
Залежність
|
Коефіцієнт
детермінації
|
Коефіцієнт
збіжності
|
Середньоквадратичне
відхилення
|
|
1
|
  
|
|
|
|
|
2
|
  
|
|
|
|
|
3
|
  
|
|
|
|
|
4
|
Модель Брауна  
|
|
|
|
|
5
|
Модель Хольта  
|
|
|
|
Провівши всі розрахунки можна зробити висновок, що найкращим
чином апроксимує дані для залізорудного концентрату модель Брауна першого
порядку.
Зробимо перевірку на адекватність найточніших моделей,а саме
кривої Перла-Ріда та моделі Брауна першого порядку.
Перевіримо адекватність моделі,яка найкраще апроксимує дані видобутку
залізної руди
Перевірку випадковості рівнів ряду
залишків проведемо на основі критерію піків.
В сьомому стовпчику табл. 3.3.3. відмічені
точки піків, їх кількість дорівнює 7. Права частина нерівності (1.4.3) в нашому
випадку дорівнює 6, тобто 7>6, нерівність виконується. З цього слідує, що
властивість випадковості ряду залишків підтверджується.
Перевіримо відповідність розподілу залишкової
компоненти нормальному закону розподілу. За формулами (1.4.4) і (1.4.5)
обчислимо асиметрію, ексцес залишкової компоненти та їх помилки:
,
,
Перевіряємо нерівності (1.4.6) та (1.4.7):
,
.
Оскільки обидві нерівності виконуються, то гіпотеза про нормальний
розподіл залишкової компоненти приймається.
Перевірку рівності математичного очікування залишкової компоненти нулю
проведемо за допомогою t-критерію Ст’юдента. Розрахункове значення цього
критерію обчислюється за формулою (1.4.8.):
.
Оскільки розрахункове значення близьке до нуля, то гіпотеза про
рівність нулю математичного очікування залишкової компоненти приймається.
Перевіримо адекватність моделі,яка найкраще апроксимує дані видобутку
залізного концентрату модель Брауна
Перевірку випадковості рівнів ряду
залишків проведемо на основі критерію піків.
В десятому стовпчику табл. 3.3.8.
відмічені точки піків, їх кількість дорівнює 10. Права частина нерівності
(1.4.3) в нашому випадку дорівнює 6, тобто 10>6, нерівність виконується. З
цього слідує, що властивість випадковості ряду залишків підтверджується.
Перевіримо відповідність розподілу
залишкової компоненти нормальному закону розподілу. За формулами (1.4.4) і
(1.4.5) обчислимо асиметрію, ексцес залишкової компоненти та їх помилки:
,
,
Перевіряємо нерівності (1.4.6) та (1.4.7):
,
.
Оскільки обидві нерівності виконуються, то гіпотеза про нормальний
розподіл залишкової компоненти приймається.
Перевірку рівності математичного очікування залишкової компоненти нулю
проведемо за допомогою t-критерію Ст’юдента. Розрахункове значення цього
критерію обчислюється за формулою (1.4.8.):
.
Гіпотеза про рівність нулю математичного очікування залишкової
компоненти приймається.
Проаналізувавши зроблені розрахунки можна сказати, що обидві
моделі адекватні, надалі зробимо прогноз на 4 періода (місяця).
3.4 Побудова прогнозу
Прогнозувати будемо наступним чином:
· для прогнозу видобутку залізної руди
будемо використовувати криву Перла-Ріда з граничним значенням L=80.
· для прогнозу видобутку залізного
концентрату використаємо модель Брауна першого порядку з коефіцієнтом
згладжування α=0,8.
Будуємо прогноз по моделі Перла-Ріда
Таблиця 3.4.1
Проміжні розрахунки прогнозу
видобутку залізної руди
|
t
|
Y
|
ln(L/y-1)
|
-t
|
t*Y
|
t2
|
Yp
|
|
1
|
8,34
|
2,151
|
-1
|
-2,151
|
1
|
3,499
|
|
2
|
7,54
|
2,263
|
-2
|
-4,526
|
4
|
5,270
|
|
3
|
5,7
|
2,568
|
-3
|
-7,703
|
9
|
7,846
|
|
4
|
6,7
|
2,392
|
-4
|
-9,570
|
16
|
11,488
|
|
5
|
8,3
|
2,156
|
-5
|
-10,781
|
25
|
16,436
|
|
6
|
11,43
|
1,792
|
-6
|
-10,750
|
36
|
|
7
|
32,80
|
0,364
|
-7
|
-2,548
|
49
|
30,459
|
|
8
|
37,37
|
0,132
|
-8
|
-1,054
|
64
|
38,933
|
|
9
|
54,41
|
-0,754
|
-9
|
6,789
|
81
|
47,504
|
|
10
|
62,1
|
-1,244
|
-10
|
12,439
|
100
|
55,417
|
|
11
|
65
|
-1,466
|
-11
|
16,130
|
121
|
62,127
|
|
12
|
71,8
|
-2,170
|
-12
|
26,037
|
144
|
67,421
|
|
13
|
74,5
|
-2,606
|
-13
|
33,879
|
169
|
71,365
|
|
14
|
73,5
|
-2,425
|
-14
|
33,957
|
196
|
74,180
|
|
15
|
75,41
|
-2,799
|
-15
|
41,986
|
225
|
76,126
|
|
16
|
76,45
|
-3,070
|
-16
|
49,115
|
256
|
77,444
|
|
17
|
78,14
|
-3,738
|
-17
|
63,545
|
289
|
78,324
|
|
18
|
|
|
|
|
|
78,905
|
|
19
|
|
|
|
|
|
79,286
|
|
20
|
|
|
|
|
|
79,536
|
|
21
|
|
|
|
|
|
79,698
|
*жовтим кольором позначено прогноз на 4 періода
Зобразимо вхідні та розрахункові дані
видобутку залізної руди на графіку 3.4.1
Рис.3.4.1 Вхідні та розрахункові дані
видобутку залізної руди
Будуємо прогноз по моделі Брауна першого порядку
Таблиця 3.4.2
Проміжні розрахунки прогнозу видобутку залізного концентрату
|
t
|
Y
|
St
|
St2
|
a1
|
a2
|
Yp
|
|
|
|
-5,679
|
2,929
|
|
|
|
|
1
|
4,2
|
2,224
|
2,365
|
2,083
|
-0,564
|
1,519
|
|
2
|
3,1
|
2,925
|
2,813
|
3,037
|
0,448
|
3,485
|
|
3
|
2,7
|
2,745
|
2,759
|
2,731
|
-0,054
|
2,677
|
|
4
|
3,3
|
3,189
|
3,103
|
3,275
|
0,344
|
3,619
|
|
5
|
3,7
|
3,598
|
3,499
|
3,697
|
0,396
|
4,093
|
|
6
|
5,45
|
5,080
|
4,763
|
5,396
|
1,265
|
6,660
|
|
7
|
13,2
|
11,576
|
10,213
|
12,938
|
5,450
|
18,388
|
|
8
|
14,681
|
14,060
|
13,291
|
14,829
|
3,077
|
17,906
|
|
9
|
19,36
|
18,300
|
17,298
|
19,302
|
4,008
|
23,309
|
|
10
|
21,9
|
21,180
|
20,404
|
21,956
|
3,106
|
25,062
|
|
11
|
32,1
|
29,916
|
28,014
|
31,818
|
7,610
|
39,428
|
|
12
|
38
|
36,383
|
34,709
|
38,057
|
6,696
|
44,753
|
|
13
|
41,25
|
40,277
|
39,163
|
41,390
|
4,454
|
45,844
|
|
14
|
40,5
|
40,455
|
40,197
|
40,714
|
1,034
|
41,747
|
|
15
|
40,5
|
40,491
|
40,432
|
40,550
|
0,235
|
40,785
|
|
16
|
36,7
|
37,458
|
38,053
|
36,863
|
-2,379
|
34,484
|
|
17
|
38,48
|
38,276
|
38,231
|
38,320
|
0,178
|
38,498
|
|
18
|
38,676
|
38,596
|
38,523
|
38,669
|
0,292
|
38,961
|
|
19
|
38,961
|
38,888
|
38,815
|
38,961
|
0,292
|
39,253
|
|
20
|
39,253
|
39,180
|
39,107
|
39,253
|
0,292
|
39,546
|
|
21
|
39,546
|
39,472
|
39,399
|
39,546
|
0,292
|
39,838
|
*зеленим кольором позначено прогноз на 4 періода
Зобразимо вхідні та розрахункові дані
видобутку залізного концентрату на графіку 3.4.2.
Рис.3.4.2 Вхідні та розрахункові дані
видобутку залізного концентрату
Зведемо всі розрахункові та прогнозні
значення по двом видам продукції в кінцеву таблицю 3.4.3.
Таблиця 3.4.3
Розрахункові та прогнозні значення
видобутку підприємства (тис. тон)
|
Роки
|
Квартали
|
Місяць
|
Залізна руда
|
Залізорудний
концентрат
|
|
2010 рік
|
I квартал
|
Січень
|
3,499
|
1,519
|
|
|
Лютий
|
5,270
|
3,485
|
|
|
Березень
|
7,846
|
2,677
|
|
II квартал
|
Квітень
|
11,488
|
3,619
|
|
|
Травень
|
16,436
|
4,093
|
|
|
Червень
|
22,804
|
6,660
|
|
III квартал
|
Липень
|
30,459
|
18,388
|
|
|
Серпень
|
38,933
|
17,906
|
|
|
Вересень
|
47,504
|
23,309
|
|
IV квартал
|
Жовтень
|
55,417
|
25,062
|
|
|
Листопад
|
62,127
|
39,428
|
|
|
Грудень
|
67,421
|
44,753
|
|
2011 рік
|
I квартал
|
Січень
|
71,365
|
45,844
|
|
|
Лютий
|
74,180
|
41,747
|
|
|
Березень
|
76,126
|
40,785
|
|
II квартал
|
Квітень
|
77,444
|
34,484
|
|
|
Травень
|
78,324
|
38,498
|
|
|
Червень
|
78,905
|
38,961
|
|
III квартал
|
Липень
|
79,286
|
|
|
Серпень
|
79,536
|
39,546
|
|
|
Вересень
|
79,698
|
39,838
|
*зеленим кольором позначено прогноз на 4 періода
Зобразимо розрахункові значення та прогноз по обом видам
продукції на графіку 3.4.3.
Рис.3.4.2 Розрахункові значення та
прогноз по обом видам продукції
3.5
Автоматизована інформаційна система для прогнозування за трендовими і
адаптивними моделями
Для побудови прогнозу прибутку на наступні 4 місяця для
підприємства «Схід-Руда» була обрана тренд-сезонна модель Тейла-Вейджа
економічного прогнозування з використанням програми Microsoft Excel з пакета
Microsoft Office.
Зокрема були використані наступні її можливості:
·
зміни
настроювань книги;
·
захист
аркушів і книги;
·
створення
макросів;
·
убудовані
статистичні, математичні й логічні функції.
Даний файл Прогноз.xls містить 7 вкладок:
·
Головна сторінка;
·
Вхідні
дані;
·
Концентрат(розрахунки);
·
Руда(розрахунки);
·
Прогноз
по залізорудному концентрату;
·
Прогноз
по залізній руді;
·
Довідка.
На кожній з вкладок є елементи управління - кнопки. Кожній
кнопці назначено макрос, який виконує певну дію. Розглянемо їх докладніше.
1. Вкладка «Головне меню» містить кнопки «Початкові
дані», «Розрахунки по залізній руді», «Розрахунки по залізному концентрату»,
«Прогноз по залізній руді»,«Прогноз по залізному концентрату» та «Довідка».
Кнопка «Початкові дані» має такий програмний код:
Початкові_дані()
'
' Початкові_дані Макрос("Вхідні дані").SelectSub
Кнопка «Розрахунок по залізній руді» має такий програмний
код:Залруда()
' Залруда Макрос("Руда").SelectSub
Кнопки «Розрахунки по залізній руді», «Розрахунки по залізному
концентрату», «Прогноз по залізній руді», «Прогноз по залізному концентрату» та
«Довідка» мають аналогічний програмний код.
1. Вкладка «Початкові дані» містить такі кнопки:
«Головна сторінка», «Розрахунки по залізній руді», «Розрахунки по залізному
концентрату», «Прогноз по залізній руді», «Прогноз по залізному концентрату»
2. Вкладки «Розрахунки по залізній руді» та «Розрахунки
по залізному концентрату» містить однакові кнопки: «Головна сторінка», «Крива
Гомперца», «Крива Перла-Ріда», «Модель Брауна 1 порядку», «Модель Хольта»,
«Вибір моделі».
. Вкладки «Прогноз по залізні руді» та «Прогноз по
залізному концентрату» містять кнопки «Головна сторінка».
. Вкладка «Довідка» містить кнопку «Головна сторінка».
3.6 Інструкція користувачу
1. Відкрити файл «Прогноз.xls».
2. Користувач входить на «Головну сторінку», що
складається з кнопок: «Початкові дані», «Розрахунки по залізній руді»,
«Розрахунки по залізному концентрату», «Прогноз по залізній руді»,«Прогноз по
залізному концентрату» та «Довідка».
2. Для початку роботи користувач із головного меню
натискає на кнопку «Початкові дані» та переходить на вкладку «Початкові дані».
На цій сторінці вже введені дані за 17 місяців.
3. Всі розрахунки й вивід прогнозу здійснюється
автоматично.
4. Для перегляду розрахунків користувач переходить на
вкладку «Розрахунки по залізній руді» або «Розрахунки по залізному
концентрату», тут можна обрати по якій моделі дивитися розрахунки.
5. Для перегляду прогнозу видобутку на наступні 4 місяці
користувач переходить на вкладку «Прогноз по залізній руді» або »,«Прогноз по
залізному концентрату».
6. При виникненні необхідності додаткової інформації
необхідно скористатися пунктом «Довідка» головного меню.
ВИСНОВКИ
У представленій випускній роботі була досліджена тема -
економіко-математичне моделювання діяльності ТОВ «Схід-Руда».
При вивченні вибраної теми була поставлена конкретна ціль -
розкрити зміст самого поняття прогнозування та дослідити методи прогнозування
на конкретному прикладі, провести аналіз отриманих результатів.
В процесі вивчення і дослідження були вирішені наступні
завдання:
· розглянуті принципи прогнозування,
· розглянуті трендові та адаптивні
моделі прогнозування,
· проаналізована економічна діяльність
і перспективи розвитку підприємства ТОВ «Схід-Руда» за 2 останні квартали 2010
року
· Побудовані трендові та адаптивні
моделі для прогнозування видобутку залізної руди та залізного концентрату
підприємства.
В другій частині розглянута діяльність ТОВ «Схід-Руда» та
проведений його економічний аналіз. Який показав, що у порівнянні з 3 кварталом
2010 роком у 4 кварталі 2010 року підприємство збільшило обсяг господарської
діяльності і вийшло на беззбитковий рівень. В 3 кварталі збитковість
господарської діяльності було -39,0186%, а в 4 кварталі підприємство вийшло на
належний рівень і рентабельність становить 37,993%. Але зменшився коефіцієнт
рентабельності активів підприємства з 1,1148% до 0,9323% відповідно в третьому
і четвертому кварталі, фондовіддача збільшилась на 0,049 та поліпшилась
оборотність коштів на підприємстві, коефіцієнти обороту підвищились, а терміни
обороту зменшились, з цього можна зробити висновок, що використання оборотних
коштів на підприємстві поліпшилось у 4 кварталі в порівняні з 3.
В третій частині роботи побудовані трендові та адаптивні
моделі для прогнозування динаміки видобутку залізної руди та залізного
концентрату підприємства.
Після проведення розрахунків по даним залізної руди похибка
по моделям дорівнює (тис. тон):
· крива Гомперца - 6,374
· крива Перла-Ріда - 4,584
· логістична крива - 4,584
· модель Брауна першого порядку - 6,543
· модель Хольта - 6,731
по даним залізного концентрату (тис. тон):
· крива Гомперца - 3,546
· крива Перла-Ріда - 3,695
· логістична крива - 3,695
· модель Брауна першого порядку - 3,115
· модель Хольта - 3,061
Після всіх розрахунків порівняні всі результати і визначена
та модель якою краще робити прогноз. Це крива Перла-Ріда - для прогнозування
видобутку залізної руди, та модель Брауна першого порядку - для прогнозування
видобутку залізного концентрату.
СПИСОК ВИКОРИСТАНОЇ
ЛІТЕРАТУРИ
1. Бочаров В.В. Финансовый анализ: Краткий
курс.-Санкт-Петербург.-ПИТЕР.-2002.-с.100-130.
. Житна І.П., Нескреба А.М. Економічний аналіз
господарської діяльності підприємств: Навч.пос..-Київ: Вища
школа.-1992.-с.12-20.
3. Іваненко В.М., Горбаток М.І., Льовочкін В.С.
Економічний аналіз: Навч.посібник.- Київ: Знання.- 1999.-с.159-162.
. Івахненко В.М. Курс економічного аналізу:
Навч.посібник.-Київ: Знання - Прес.-2003.-120-124.
. Коробов М.Я. Фінансово-економічний аналіз
діяльності підприємств: Навч.посібник.- Київ: Знання.-2002.-с.199-205.
. Мних Є.В., Буряк П.Ю. Економічний аналіз на
промисловому підприємстві.-Львів: Каменяр.-1998.-с.215-224.
7. Половников В.А. Экономико-математические методы и
прикладные модели: Учебно-методическое пособие/ В.А. Половников, И.В.Орлова,
А.Н. Гармаш, В.В. Федосеев. - М.: Финстатинформ, 1997.
8. Покропивний В.М. Економіка
підприємства.-Київ: Знання.-2003.-с.161-170.
9. Примак Т.О. Економіка
підприємства.-Львів: Інтелект-Захід.-2001.-с.78-83.
10. Протопонова В.О. Економіка
підприємства.-Житомир: Рута.-2002.-с.111-119.
11. Савицкая Г.В. Анализ хозяйственной деятельности
предприятия.-Москва: Фининсы и статистика.-1997.-с.244-257
12. Тинбэрхэн Я., Бос К. Математические модели
экономического роста. - М.: Прогресс, 1967.
13. Фомин Г. П. Математические методы и модели в
коммерческой деятельности. - М.: Финансы и статистика, 2002.
14. Шегда А.В. Економіка
підприємства: Навч.посібник.-Київ: Знання-Прес.-2003.-с.266-279.
15. Шеремет А.Д., Сайфулин Р.С., Негашев С.В.
Методика финансового анализа.-М.: ИНФРА.-2001.-с.76-81.
16. Шумпетер Й. Теория экономического развития. М.:
Прогресс.1982.
17. Экланд И. Элементы математической экономики.
М., Мир. 1983.
. Яковенко Е. Г., Басс М. И., Махров Н. В.
Циклы жизни экономических процессов, объектов и систем. - М.: Наука, 1991.