|
Выделенные
ресурсы
|
Прибыль
от реализации продукции
|
|
0
|
172030
|
|
100000
|
188894
|
|
200000
|
199806
|
|
300000
|
210222
|
|
400000
|
221134
|
|
500000
|
231550
|
|
600000
|
242462
|
Прибыль от реализации продукции
Прибыль является главным результатом
предпринимательской деятельности. Она обеспечивает потребности самого
предприятия и государства в целом. Поэтому, прежде всего важно определить
состав прибыли предприятия. Общий объем прибыли предприятия представляет собой
Валовой доход. На величину валового дохода влияет совокупность многих факторов,
зависящих и не зависящих от предпринимательской деятельности. Рассмотрим
подробнее эти факторы:
Факторы, зависящие от предпринимательской
деятельности: важными факторами роста прибыли, зависящими от деятельности
предприятий, являются рост объема производимой продукции в соответствии с
договорными условиями, снижение ее себестоимости, повышение качества, улучшение
ассортимента, повышение эффективности использования производственных фондов.
Рост производительности труда.
Факторы, не зависящие от предпринимательской
деятельности: к факторам, не зависящим от деятельности предприятия, относятся
изменения государственных регулируемых цен на реализуемую продукцию, влияние
природных, географических, транспортных и технических условий на производство и
реализацию продукции и др.
Валовой доход предприятия складывается под
влиянием как тех, так и других факторов.
Таких как:
Во-первых - валовой доход от реализации товарной
продукции, исчисленную путем вычета из общей суммы выручки от реализации этой
продукции (работ, услуг) налога на добавленную стоимость, акцизов. Выручка от
реализации товарной продукции - основная часть валового дохода.
Во-вторых, в состав валового дохода включается
прибыль от реализации прочей продукции и услуг нетоварного характера, т.е.
прибыль (или убытки) подсобных сельских хозяйств, автохозяйств,
лесозаготовительных и других хозяйств, находящихся на балансе основного
предприятия. В состав валового дохода входит также прибыль от реализации
основных фондов и другого имущества.
В-третьих - в составе валового дохода отражаются
внереализационные доходы и расходы, т.е. результаты внереализационных операций.
Так как подавляющую часть валового дохода (95 -
97 %), предприятия получают от реализации товарной продукции, этой части дохода
должно быть уделено главное внимание. Отмеченные выше факторы, зависящие и не
зависящие от деятельности предприятия, воздействуют главным образом на доход от
реализации продукции. В дальнейшем основные из этих факторов мы детально
рассмотрим и проанализируем.
Одним из основных факторов, влияющих на величину
дохода от реализации продукции, является изменение объема производства и
реализации продукции. Чем больше объем реализации в конечном счете, тем больше
прибыли получит предприятие, и наоборот. Следовательно, зависимость прибыли
прямо пропорциональная (исходя из этого фактора при прочих равных условиях).
Если объемы производства падают, то при нынешних
экономических условиях, не считая ряда противодействующих факторов, как,
например, роста цен, неизбежно влечет сокращение объема прибыли. Отсюда вывод о
необходимости принятия неотложных мер по обеспечению роста объема производства
продукции на основе технического его обновления и повышения эффективности
производства. Следует выделить, что совершенствование расчетно-платежных
отношений между предприятиями будет способствовать улучшению условий реализации
продукции, а следовательно, росту прибыли.
Изменение себестоимости продукции, вот еще один
немаловажный фактор влияющий на величину дохода от реализации товарной
продукции. Если изменение объема реализации влияет на сумму прибыли прямо
пропорционально, то связь между величиной прибыли и уровнем себестоимости
обратная. Чем ниже себестоимость продукции, определяемая уровнем затрат на ее
производство и реализацию, тем выше прибыль, и наоборот. Этот фактор, в свою
очередь, находится под воздействием многих причин. Исходя из этого, при анализе
изменения уровня себестоимости должны быть выявлены причины ее снижения или
повышения с тем, чтобы разработать мероприятия по сокращению уровня затрат на
производство и реализацию продукции, а следовательно, увеличению прибыли.
Так же, помимо указанных выше факторов, на
величину дохода от реализации, безусловно, влияют изменения в структуре
производимой и реализуемой продукции. Чем выше доля более рентабельной
продукции (исчисляемой как отношение прибыли к полной себестоимости этой
продукции), тем больше прибыли получит предприятие. При увеличении доли
малорентабельной продукции сразу происходит сокращение прибыли.
Прибыль от реализации прочей продукции и услуг
нетоварного характера.
Кроме прибыли от реализации продукции в состав
валового дохода включается прибыль от реализации прочей продукции и услуг
нетоварного характера . На долю этой прибыли приходится несколько процентов
валового дохода. Результаты от прочей реализации могут быть как положительными,
так и отрицательными. Предприятия транспорта, подсобных сельских хозяйств,
торговых организаций, находящихся на балансе предприятия, могут иметь от
реализации своей продукции, работ, услуг не только прибыль, но и убытки, что
соответственно скажется на объеме валового дохода.
Прибыль от реализации основных фондов и другого
имущества
Прибыль (убыток) от реализации основных средств,
их прочего выбытия, реализации иного имущества предприятия - это финансовый
результат, не связанный с основными видами деятельности предприятия. Он
отражает прибыли (убытки) по прочей реализации, к которой относится продажа на
сторону различных видов имущества, числящегося на балансе предприятия.
Предприятие самостоятельно распоряжается своим
имуществом. Оно вправе списывать, продавать, ликвидировать, передавать в
уставные фонды других предприятий здания, сооружения, оборудование,
транспортные средства и другие основные фонды, материальные ценности,
полученные в процессе сноса и разборки зданий, сооружений, продавать отдельные
объекты, товарно-материальные ценности и другие виды имущества. Финансовый
результат имеет место только при продаже перечисленных видов имущества, а также
при прочем выбытии недоамортизированных объектов в некоторых случаях. При реализации
основных фондов финансовый результат определяется как разница между продажной
ценой реализованных на сторону основных средств и их остаточной стоимостью с
учетом понесенных расходов по реализации.
Под иным имуществом предприятия понимаются
сырье, материалы, топливо, запчасти, нематериальные активы (патенты, лицензии,
торговые марки, программные продукты для ЭВМ и т.д.), валютные ценности
(иностранная валюта, ценные бумаги в иностранной валюте, драгоценные металлы и
природные драгоценные камни, за исключением ювелирных и бытовых изделий и лома
таких изделий), ценные бумаги. Разница между продажной ценой этих видов
имущества предприятия и их балансовой стоимостью (с учетом понесенных в связи с
этим расходов) составляет финансовый результат, влияющий на сумму балансовой
прибыли.
При определении прибыли от реализации основных
фондов и иного имущества предприятия для целей налогообложения учитывается
разница (превышение) между продажной ценой и первоначальной или остаточной
стоимостью этих фондов и имущества с учетом их переоценки, производимой на
основании постановлений Правительства Российской Федерации, увеличенной на
индекс инфляции, исчисленный в порядке, устанавливаемом Правительством
Российской Федерации.
По основным фондам, нематериальным активам,
малоценным и быстроизнашивающимся предметам, стоимость которых погашается путем
начисления износа, принимается остаточная стоимость этих фондов и имущества.
Отрицательный результат от их реализации и от безвозмездной передачи в целях
налогообложения не уменьшает налогооблагаемую прибыль.
В случае, если остаточная (первоначальная)
стоимость основных фондов и иного имущества, скорректированная на индекс
инфляции, равна продажной цене или превышает ее, прибыль предприятия для целей
налогообложения уменьшается на сумму фактически полученной прибыли от
реализации этих основных фондов и иного имущества и не увеличивается на сумму
превышения остаточной (первоначальной) стоимости основных фондов и иного
имущества, пересчитанной на индекс инфляции, над их продажной ценой.
Индекс инфляции не применяется в случае
реализации основных фондов и иного имущества по цене равной или ниже их
остаточной, первоначальной стоимости.
По предприятиям, осуществляющим реализацию
продукции (работ, услуг) по ценам не выше фактической себестоимости, для целей
налогообложения принимается рыночная цена на аналогичную продукцию (работы,
услуги), сложившаяся на момент реализации, но не ниже фактической
себестоимости.
В случае, если предприятие не могло реализовать
продукцию по ценам выше себестоимости из-за снижения ее качества или
потребительских свойств (включая моральный износ), либо если сложившиеся
рыночные цены на эту или аналогичную продукцию оказались ниже фактической
себестоимости этой продукции, то для целей налогообложения применяется
фактическая цена реализации продукции.
Под сложившимися рыночными ценами понимаются
рыночные цены, сложившиеся в регионе на момент исполнения сделки. Под регионом
следует понимать сферу обращения продукции в данной местности, которая
определяется исходя из экономической возможности покупателя приобрести товар на
ближайшей по отношению к нему территории.
При этом под ближайшей территорией понимается
конкретный населенный пункт или группа населенных пунктов, или иные территории,
находящиеся в пределах границ национально - и административно -
территориальных, национально - государственных образований.
Если предприятие в течение 30 дней до реализации
продукции по ценам, не превышающим ее фактической себестоимости, реализовало
(реализовывало) аналогичную продукцию по ценам выше ее фактической
себестоимости, то по всем сделкам в целях налогообложения применяются цены,
исчисленные из максимальных цен реализации этой продукции.
При осуществлении предприятиями обмена
продукцией (работами, услугами) либо ее передачи безвозмездно выручка для целей
налогообложения определяется исходя из средней цены реализации такой или
аналогичной продукции (работ, услуг), рассчитанной за месяц, в котором
осуществлялась указанная сделка, а в случае отсутствия реализации такой или аналогичной
продукции (работ, услуг) за месяц - исходя из цены ее последней реализации, но
не ниже фактической себестоимости.
Если предприятие обменивает вновь освоенную
продукцию, которая ранее не производилась, или обменивает приобретенную
продукцию (основные средства, производственные запасы, малоценные и
быстроизнашивающиеся предметы, иное имущество), то для целей налогообложения
принимается фактическая рыночная цена на аналогичную продукцию, сложившаяся на
момент исполнения обязательств по сделке, но не ниже ее фактической
себестоимости (балансовой стоимости). В себестоимость приобретенной продукции
включаются стоимость приобретения, расходы по доставке, хранению, реализации и
другие аналогичные расходы. По основным средствам, иному имуществу, по которым
начисляется износ, принимается их остаточная стоимость. Сумма выручки,
полученная от таких видов сделок, определяется предприятием на основании
расчетов, которые представляются в налоговый орган по месту нахождения
предприятия одновременно с бухгалтерской отчетностью и расчетом по налогу на
прибыль.
Внереализационные доходы и расходы
Внереализационные доходы и расходы - это
денежные средства, которые получены либо истрачены предприятиям не при
осуществлении основной деятельности (отсюда и их название), которые могут быть
представлены следующим образом:
В состав доходов (расходов) от внереализационных
операций включаются: доходы, получаемые от долевого участия в деятельности
других предприятий, от сдачи имущества в аренду, доходы (дивиденды, проценты)
по акциям, облигациям и иным ценным бумагам, принадлежащим предприятиям, а
также другие доходы (расходы) от операций, непосредственно не связанных с
производством продукции (работ, услуг) и ее реализацией, определяемые
федеральным законом, устанавливающим перечень затрат, включаемых в
себестоимость продукции (работ, услуг), и порядок формирования финансовых
результатов, учитываемых при расчете налогооблагаемой прибыли.
В состав доходов от внереализационных операций
включаются также суммы средств, полученные безвозмездно от других предприятий
при отсутствии совместной деятельности (за исключением средств, зачисляемых в
уставные фонды предприятий их учредителями в порядке, установленном
законодательством; средств, полученных в рамках безвозмездной помощи,
оказываемой иностранными государствами в соответствии с межправительственными
соглашениями; средств, полученных от иностранных организаций в порядке
безвозмездной помощи российским образованию, науке и культуре; средств,
полученных приватизированными предприятиями в качестве инвестиций в результате
проведения инвестиционных конкурсов (торгов); средств, переданных между
основными и дочерними предприятиями при условии, что доля основного предприятия
составляет более 50 процентов в уставном капитале дочерних предприятий; средств,
передаваемых на развитие производственной и непроизводственной базы в пределах
одного юридического лица).
Приватизируемые предприятия, реализующие пакеты
своих акций на конкурсах (торгах) и получающие по условиям таких конкурсов
(торгов) от их победителей средства на инвестиции, отражают их в учете как
целевое финансирование на кредите счета "Целевые финансирование и
поступления" в корреспонденции со счетами учета денежных средств.
Расходование указанных средств осуществляется в порядке, предусмотренном
инвестиционной программой, разработанной в соответствии с условиями
инвестиционных конкурсов (торгов).
Суммы полученных инвестиций, используемые по
прямому назначению в сроки, предусмотренные инвестиционной программой, не
увеличивают налогооблагаемую базу. Если указанные средства использованы не по
назначению, то в этой части они подлежат включению в налогооблагаемую базу в
общеустановленном порядке.
При увеличении уставного капитала в связи с
переоценкой основных фондов акционерного общества, произведенной на основании
постановлений Правительства Российской Федерации, стоимость дополнительно
полученных акционерами - юридическими лицами акций по решению общего собрания
пропорционально количеству принадлежащих им ранее акций, либо разница между
номинальной стоимостью новых акций, полученных взамен первоначальных акций без
изменения доли (удельного веса) акционеров в уставном капитале акционерного
общества, не подлежит включению в налогооблагаемую базу акционера.
Таблица 10. Объём закупаемых ресурсов в 2010
году, B1.
|
Выделенные
ресурсы
|
Объём
закупаемых ресурсов, шт.
|
|
дуб
|
берёза
|
сосна
|
бамбук
|
вяз
|
|
0
|
0
|
0
|
0
|
0
|
0
|
|
100000
|
72
|
104
|
0
|
0
|
0
|
|
200000
|
180
|
169
|
0
|
0
|
0
|
|
300000
|
287
|
233
|
0
|
0
|
0
|
|
400000
|
395
|
298
|
0
|
0
|
0
|
|
500000
|
502
|
362
|
0
|
0
|
0
|
|
600000
|
610
|
427
|
0
|
0
|
0
|
Второй год (2011год)
P2-запасы ресурсов
предприятия на начало второго года
G1-остатки ресурсов
с первого года
Q=0
Q=100000
Q=200000
Q=300000
Q=400000
Q=500000
Q=600000
Таблица 11. Прибыль от реализации продукции в
2011 году, Z2.
|
Выделенные
ресурсы
|
Прибыль
от реализации продукции
|
|
0
|
8688
|
|
100000
|
15092
|
|
200000
|
28160
|
|
300000
|
41822
|
|
400000
|
54296
|
|
500000
|
66770
|
|
600000
|
78650
|
Таблица 12. Объём закупаемых ресурсов в 2011
году, B2.
|
Выделенные
ресурсы
|
Объём
закупаемых ресурсов, шт.
|
|
драп
|
вельвет
|
батист
|
шёлк
|
фурнитура
|
|
0
|
17
|
141
|
0
|
0
|
0
|
|
100000
|
169
|
171
|
0
|
0
|
0
|
|
200000
|
282
|
238
|
0
|
0
|
0
|
|
300000
|
394
|
306
|
0
|
0
|
0
|
|
400000
|
505
|
372
|
0
|
26
|
0
|
|
500000
|
605
|
433
|
0
|
192
|
0
|
|
600000
|
706
|
493
|
0
|
359
|
0
|
Третий год (2012)
P3-запасы ресурсов
предприятия на начало третьего года
G2-остатки ресурсов
со второго года
Q=0
Q=100000
Q=200000
Q=300000
Q=400000
Q=500000
Q=600000
Таблица 13. Прибыль от реализации продукции в
2012 году, Z3.
|
Выделенные
ресурсы
|
Прибыль
от реализации продукции
|
|
0
|
310
|
|
100000
|
14870
|
|
200000
|
28910
|
|
300000
|
41910
|
|
400000
|
53870
|
|
500000
|
67390
|
|
600000
|
80390
|
Таблица 14. Объём закупаемых ресурсов в 2012
году, B3.
|
Выделенные
ресурсы
|
Объём
закупаемых ресурсов, шт.
|
|
драп
|
вельвет
|
батист
|
шёлк
|
фурнитура
|
|
0
|
9
|
1
|
0
|
0
|
0
|
|
100000
|
147
|
79
|
0
|
0
|
0
|
|
200000
|
285
|
162
|
0
|
0
|
0
|
|
300000
|
408
|
235
|
0
|
177
|
0
|
|
400000
|
522
|
304
|
0
|
417
|
0
|
|
500000
|
651
|
381
|
0
|
520
|
0
|
|
600000
|
779
|
548
|
0
|
622
|
0
|
Четвёртый год (2013)
P4-запасы ресурсов
предприятия на начало четвёртого года
G3-остатки ресурсов
с третьего года
Q=0
Q=100000
Q=200000
Q=300000
Q=400000
планирование линейный
программирование
Q=500000
Q=600000
Таблица 15. Прибыль от реализации продукции в
2013 году, Z4.
|
Выделенные
ресурсы
|
Прибыль
от реализации продукции
|
|
0
|
0
|
|
100000
|
16740
|
|
200000
|
32240
|
|
300000
|
46500
|
|
400000
|
62000
|
|
500000
|
76530
|
|
600000
|
93000
|
Таблица 16. Объём закупаемых ресурсов в 2013
году, B4.
|
Выделенные
ресурсы
|
Объём
закупаемых ресурсов, шт.
|
|
драп
|
вельвет
|
батист
|
шёлк
|
фурнитура
|
|
0
|
1
|
0
|
0
|
0
|
0
|
|
100000
|
136
|
81
|
0
|
0
|
0
|
|
200000
|
259
|
156
|
0
|
111
|
0
|
|
300000
|
375
|
226
|
0
|
300
|
0
|
|
400000
|
499
|
300
|
0
|
400
|
0
|
|
500000
|
624
|
374
|
0
|
499
|
0
|
|
600000
|
749
|
449
|
0
|
599
|
0
|
Пятый год
(2014)
P5-запасы ресурсов
на начало пятого года, G4-остатки
ресурсов с четвёртого года.
Q=0
Q=100000
Q=200000
Q=300000
Q=400000
Q=500000

Таблица 17. Прибыль от реализации продукции в
2014 году, Z5.
|
Выделенные
ресурсы
|
Прибыль
от реализации продукции
|
|
0
|
0
|
|
100000
|
15760
|
|
200000
|
30870
|
|
300000
|
45990
|
|
400000
|
61740
|
|
500000
|
77490
|
|
600000
|
91980
|
Таблица 18. Объём закупаемых ресурсов в 2014
году, B5.
|
Выделенные
ресурсы
|
Объём
закупаемых ресурсов, шт.
|
|
драп
|
вельвет
|
батист
|
шёлк
|
фурнитура
|
|
0
|
0
|
0
|
0
|
0
|
0
|
|
100000
|
132
|
80
|
0
|
0
|
0
|
|
200000
|
244
|
146
|
0
|
195
|
0
|
|
300000
|
366
|
219
|
0
|
292
|
0
|
|
400000
|
487
|
292
|
0
|
389
|
0
|
|
500000
|
611
|
362
|
0
|
486
|
0
|
|
600000
|
730
|
438
|
0
|
584
|
0
|
4. ОПТИМАЛЬНОЕ РАСПРЕДЕЛЕНИЕ ИНВЕСТИЦИЙ МЕТОДОМ
ДИНАМИЧЕСКОГО ПРОГРАММИРОВАНИЯ
Динамическое программирование - методы и модели
оптимизации,
когда процесс принятия оптимального решения
может быть разбит на этапы (шаги). Общая постановка задачи динамического
программирования: Процесс принятия решения рассматривается как управленческий
процесс. Предполагается, что управленческая система находится в некотором
состоянии S0. В результате управления эта система переходит в
конечное состояние S*. Процесс управления разбивается на n шагов (этапов).
Хi
- управление на i-ом шаге. В результате применения этих управлений система
принимает следующую последовательность состояний s0,
s1,…,sn*,(sn*=s*).
Таким образом, управления (решение задачи) принимает вид:
- управление, переводящее систему S из состояния
S0 в
состояние S*. Хk
- может быть числом или точкой пространств качественным признаком объекта.
Особенности модели
. Задача оптимизации рассматривается как
n-шаговый процесс управления.
. Показатель эффективности всего процесс
управления является аддитивной функцией показателей эффективности каждого шага.
. Выбор управления на k-ом шаге зависит только
от состояния системы к этому шагу и не влияет на предшествующие шаги.
. Состояние системы на k-ом шаге Sk
зависит только от состояния на предшествующем шаге Sk-1 и управления
на этом шаге хk.:
sk
=
φk
(sk-1,
Xk
),
k = 1, 2, …, n
. На каждом шаге управления состояние системы
зависит от конечного числа параметров и переменных.
Принцип оптимальности
На любом шаге управление должно выбираться так
(оптимально), чтобы он в совокупности с оптимальным управлением на всех
последующих шагах приводило к суммарному оптимальному выигрышу.
Таким образом, решение на каждом шаге оказывается
наилучшим с точки зрения управления в целом. Поэтому на каждом шаге должно
приниматься условно оптимальное решение.
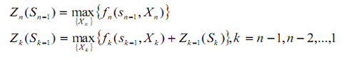
Уравнения Беллмана
Для нахождения решения задачи используются
уравнения Беллмана: Вместо исходной задачи с заданным числом шагов и начальным
состоянием рассматривается последовательность задач. Из принципа оптимальности
на каждом шаге нужно выбрать такое управление “с оглядкой”, но на последнем
шаге состояние системы можно планировать условно оптимальным.
Одношаговая задача (схема обратная):
Рассмотрим n-ый шаг. n характеризуется
двумя величинами Sn-1 и xn. Предположим, zn,
которая зависит от состояния Sn-1, - показатель эффективности n-го
шага.
n
- показатели эффективности на n-ом
шаге для всех возможных значений Xn.
В результате будут найдены два значения zn*
и xn*.
Двухшаговая задача ( схема обратная):
В силу аддитивности целевой функции:
В результате получаем:
В результате вычислений этих уравнений находятся
следующие две последовательности:
Расчеты в среде Excel
Используя приведенные выше вычисления в
программе MathCAD, находится прибыль при разных инвестициях. Затем эти значения
заносятся в таблицу Ms Excel, для того, чтобы определить оптимальное
распределение ресурсов для получения максимального дохода. f - показатель эффективности
i-го года в зависимости от выделенных ресурсов; z - показатель эффективности за
весь процесс принятия решения.
Таблица 19. Прибыль от реализации продукции по
годам.
|
Объём
выделенных средств
|
2010
|
2011
|
2012
|
2013
|
2014
|
|
0
|
172030
|
8688
|
310
|
0
|
0
|
|
100000
|
188894
|
15092
|
14870
|
16740
|
15760
|
|
200000
|
199806
|
28160
|
28910
|
32240
|
30870
|
|
300000
|
210222
|
41822
|
41910
|
46500
|
45990
|
|
400000
|
221134
|
54296
|
53870
|
62000
|
61740
|
|
500000
|
231550
|
66770
|
67390
|
76530
|
77490
|
|
600000
|
242462
|
78650
|
80390
|
93000
|
91980
|
Распределяя ресурсы по годам, на первом шаге
рассматривается показатель эффективности в первый год в зависимости от
выделенных ресурсов. На втором шаге рассматривается показатель эффективности,
объединенных двух лет в зависимости от всевозможных распределений ресурсов
между годами. На третьем шаге рассматривается показатель эффективности
объединенных трех лет в зависимости от всевозможных распределений ресурсов
между тремя годами и объединенными первыми двумя и т.д. В результате получаем
объединенный показатель эффективности деятельности предприятия за 5 лет. Причем
на каждом шаге находится показатель эффективности только между двумя
показателями.
Рассмотрим обратную схему Беллмана. Рекуррентные
соотношения имеют вид:
Согласно обратной схеме Беллмана показатель
эффективности 5-ого шага:
- показатель
эффективности деятельности
предприятия за первый год.
объединенный показатель предприятия во второй
год.
-объединённый показатель эффективности
деятельности 3 год.
Объединённый показатель эффективности
деятельности во 2 год:
Объединённый показатель эффективности
деятельности в первый год:
Таблица
|
Z5(0)
|
0
|
|
|
Z5(100000)
|
30870
|
|
|
Z5(200000)
|
61740
|
|
|
Z5(300000)
|
91980
|
|
|
Z5(400000)
|
61740
|
|
|
Z5(500000)
|
77490
|
|
|
Z5(600000)
|
91980
|
|
|
Z4(0)
|
0
|
|
|
|
|
|
|
|
|
Z4(100000)
|
30870
|
32240
|
32240
|
|
|
|
|
|
|
Z4(200000)
|
61740
|
63110
|
62000
|
63110
|
|
|
|
|
|
Z4(300000)
|
91980
|
93980
|
93980
|
93000
|
93980
|
|
|
|
|
Z4(400000)
|
61740
|
124220
|
124850
|
124850
|
63110
|
124850
|
|
|
|
Z4(500000)
|
77490
|
93980
|
155090
|
155720
|
93980
|
76530
|
155720
|
|
|
Z4(600000)
|
91980
|
109730
|
124850
|
185960
|
124850
|
76530
|
93980
|
185960
|
|
Z3(0)
|
0
|
|
|
|
|
|
|
|
|
Z3(100000)
|
32240
|
28600
|
32240
|
|
|
|
|
|
|
Z3(200000)
|
63110
|
60840
|
53560
|
63110
|
|
|
|
|
|
Z3(300000)
|
93980
|
91710
|
85800
|
108058
|
108058
|
|
|
|
|
Z3(400000)
|
124850
|
122580
|
116670
|
112320
|
63110
|
124850
|
|
|
|
Z3(500000)
|
155720
|
153450
|
147540
|
143190
|
85800
|
67080
|
155720
|
|
|
Z3(600000)
|
185960
|
184320
|
178410
|
174060
|
116670
|
99320
|
80080
|
185960
|
|
Z2(0)
|
0
|
|
|
|
|
|
|
|
|
Z2(100000)
|
32240
|
19472
|
32240
|
|
|
|
|
|
|
Z2(200000)
|
63110
|
51712
|
45608
|
63110
|
|
|
|
|
|
Z2(300000)
|
108058
|
82582
|
77848
|
69962
|
108058
|
|
|
|
|
Z2(400000)
|
124850
|
113452
|
108718
|
102202
|
45608
|
124850
|
|
|
Z2(500000)
|
155720
|
144322
|
139588
|
133072
|
77848
|
58082
|
155720
|
|
|
Z2(600000)
|
185960
|
175192
|
170458
|
163942
|
108718
|
90322
|
69962
|
185960
|
|
Z1(0)
|
0
|
|
|
|
|
|
|
|
|
Z1(100000)
|
32240
|
27776
|
32240
|
|
|
|
|
|
|
Z1(200000)
|
63110
|
60016
|
49104
|
63110
|
|
|
|
|
|
Z1(300000)
|
108058
|
90886
|
81344
|
70432
|
108058
|
|
|
|
|
Z1(400000)
|
124850
|
121756
|
112214
|
102672
|
49104
|
124850
|
|
|
|
Z1(500000)
|
155720
|
152626
|
143084
|
133542
|
81344
|
59520
|
155720
|
|
|
Z1(600000)
|
185960
|
183496
|
173954
|
164412
|
112214
|
91760
|
70432
|
185960
|
|
|
|
|
|
|
|
|
|
|
Z4*(100000)= max
(0+30870; 32240+0) = 32240
Z4*(200000)= max
(0+61740; 32240+30870; 6200+0) = 63110
Z4*(300000)= max
(0+91980; 32240+61740; 63110+30870; 93000+0) = 93980
Z4*(400000)= maх
(0+61740; 32240+91980; 63110+61740; 93980+30870; 63110+0) = 124850
Z4*(500000)= max
(0+77490; 32240+61740; 63100+91980; 93980+61740; 63110+30870; 76530+0) =
155720*(600000)= max
(0+91980; 32240+91980; 63100+61740; 93980+91980; 63110+61740;
76530+30870; 93980+0) = 185960
Z3*(100000)= max
(0+32240; 28600+0) = 32240
Z3*(200000)= max
(0+63110; 28600+32240; 53560+0) = 63110
Z3*(300000)= max
(0+93980; 28600+63110; 53560+32240; 108058+0) = 108058
Z3*(400000)= maх
(0+124850; 28600+93980; 53560+63110; 108058+32240; 63110+0) = 124850
Z3*(500000)= max
(0+155720; 28600+124850; 53560+93980; 108058+63110; 63110+32240; 67080+0) =
155720
Z3*(600000)= max
(0+185960; 28600+155720; 53560+124850; 108058+93980; 63110+63110; 67080+32240;
80080+0) = 185960
Z2*(100000)= max
(0+32240; 19472+0) = 32240
Z2*(200000)= max
(0+63110; 19472 +32240; 45608+0) = 63110
Z2*(300000)= max
(0+108058; 19472+63110; 45608+32240; 69962+0) = 108058
Z2*(400000)= maх
(0+124850; 19472 +108058; 45608 +63110; 69962+32240; 45608+0) = 124850
Z2*(500000)= max
(0+155720; 19472 +124850; 45608 +108058; 69962+63110; 45608+32240; 58082+0) =
155720
Z2*(600000)= max
(0+185960; 19472 +155720; 45608+124850; 69962+108058; 45608+63110; 58082+32240;
69962+0) = 185960
Z1*(100000)= max
(0+32240; 27776+0) = 32240
Z1*(200000)= max
(0+63110; 27776 +32240; 49104+0) = 63110
Z1*(300000)= max
(0+108058; 27776+63110; 49104+32240; 70432+0) = 108058
Z1*(400000)= maх
(0+124850; 27776 +108058; 49104 +63110; 70432+32240; 49104+0) = 124850
Z1*(500000)= max
(0+155720; 27776 +124850; 49104 +108058; 70432+63110; 49104+32240; 59520+0) =
155720
Z1*(600000)= max
(0+185960; 27776 +155720; 49104+124850; 70432+108058; 49104+63110; 59520+32240;
70432+0) = 185960
Дополнительный доход предприятия в зависимости
от V выделенных средств
fi(x)
|
V выд.рес.x
|
f1
|
f2
|
f3
|
f4
|
f5
|
|
0
|
0
|
0
|
0
|
0
|
0
|
|
100000
|
27776
|
19472
|
28600
|
32240
|
30870
|
|
200000
|
49104
|
45608
|
53560
|
63110
|
61740
|
|
300000
|
70432
|
69962
|
108058
|
93980
|
91980
|
|
400000
|
49104
|
45608
|
63110
|
63110
|
61740
|
|
500000
|
59520
|
58082
|
67080
|
76530
|
77490
|
|
600000
|
70432
|
69962
|
80080
|
93980
|
91980
|
Показатели эффективности предприятий в
зависимости от V выделенных
средств Zi(x)
|
V выд.рес.x
|
Z5(x)
|
Z4(x)
|
Z3(x)
|
Z2(x)
|
Z1(x)
|
|
0
|
0
|
0
|
0
|
0
|
0
|
|
100000
|
30870
|
32240
|
32240
|
32240
|
32240
|
|
200000
|
61740
|
63110
|
63110
|
63110
|
63110
|
|
300000
|
91980
|
93980
|
108058
|
108058
|
108058
|
|
400000
|
61740
|
124850
|
124850
|
124850
|
124850
|
|
500000
|
77490
|
155720
|
155720
|
155720
|
155720
|
|
600000
|
91980
|
185960
|
185960
|
185960
|
185960
|
В результате расчетов было получено максимальное
значение функции
Z max =Z1*(600000) =185960 *(600000)
= f1(0)+Z2*(600000)=x1*=0*(600000) = f2(0)+Z3*(600000)=x2*=0*(600000) =
f3(0)+Z4*(600000)=x3*=0*(600000) = f4(300000)+Z5*(300000)=x4*=300000*(300000) =
f5(300000)=x5*=300000
ЗАКЛЮЧЕНИЕ
В курсовой работе была рассмотрена задача
стратегического планирования деятельности предприятия ООО «Дэби» на период с
по 2014 года. Поставленную задачу решали двумя
методами: метод линейного программирования и метод динамического
программирования.
Методом линейного программирования в среде
MathCAD было получено: оптимальный объем выпуска продукции; оптимальный объем
закупаемых ресурсов (таблицы: 10, 12, 14, 16, 18); объем используемых ресурсов;
остаток ресурсов; прибыль от реализации продукции (таблицы: 9, 11, 13, 15, 17).
Методом динамического программирования были
произведены расчеты на основе которых был предложен следующий план действий на
ближайшие 5 лет:
Распределить дополнительные финансовые ресурсы в
размере 600000
рублей следующим образом:
в 2010 году не привлекать дополнительные
финансовые ресурсы .
в 2011 году не привлекать дополнительные
финансовые ресурсы .
в 2012 году не привлекать дополнительные
финансовые ресурсы .
в 2013 году привлечь дополнительные финансовые
ресурсы в размере 300000 рублей;
в 2014 году привлечь дополнительные финансовые
ресурсы в размере 300000 рублей;
Следуя этому плану к концу 2014 года, по
прогнозам, должна быть получена прибыль в размере 185960 руб.
СПИСОК ИСПОЛЬЗОВАННЫХ ИСТОЧНИКОВ
1) Беллман Р., Дрейфус С. Прикладные
задачи динамического программирования. - М.:Наука,1965.-458 с.
) Лежнёв А.В. Динамическое
программирование в экономических задачах. Учебное пособие.- Изд-во «Бином.
Лаборатория знаний» 2009 г.
) Кремер Н.Ш., Фридман М.Н.
Исследование операций в экономике: Учебное пособие для вузов. - М.: ЮНИТИ,
2000.
) Кузнецов А.В. Высшая математика:
Мат.программирование: Учеб./А.В.Кузнецов, В.А. Сакович, Н.И. Холод; Под общей
редакцией А.В. Кузнецова. - М.:1999. 5) Майкл Мескон, Майкл Альберт, Франклин
Хедоури. Основы менеджмента. - М.: «Дело», 1997.
) Муравьева Т.В., Зиньковская Н.В.,
Волкова Н.А., Лиференко Г.Н. Экономика фирмы: Учеб. Пособие. - М.: Мастерство,
2002.
) Федорова Н.Н. Организационная
структура управления предприятием: Учеб. пособие. - М.: ТК Велби, 2003.
) Производство листового стекла
флоат-способом. - Саратов, 2003.
) Хемди А. Таха Введение в
исследование операций, 7-е издание.: Пер. с англ. - М: Издательский дом
«Вильямс», 2005.