Інтегральне числення
МІНІСТЕРСТВО
ОСВІТИ І НАУКИ УКРАЇНИ
ВИЩИЙ
ДЕРЖАВНИЙ НАВЧАЛЬНИЙ ЗАКЛАД
ДОНЕЦЬКИЙ
НАЦІОНАЛЬНИЙ ТЕХНІЧНИЙ УНІВЕРСИТЕТ
КРАСНОАРМІЙСЬКИЙ
ІНДУСТРІАЛЬНИЙ ІНСТИТУТ
Кафедра
ПРИРОДНИЧИХ НАУК
ІНДИВІДУАЛЬНЕ
ЗАВДАННЯ
з
дисципліни
«ВИЩА
МАТЕМАТИКА»
по
темі
«Інтегральне
числення»
Красноармійск
2013
Варіант 7
. Обчислити інтеграли:
а)
б)
в)
г)
д)
е)
є)
ж)
к)
л)
м)
н)
Розв’язання
а)
б)
в)
г)
д)
е)
є)
ж)
к)
л)
м)
н)
н)
. Обчислити інтеграл, або
встановити його збіжність:
а)
б)
в)
г)
д)
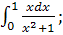
Розв’язання
а)
збіжний інтеграл
б) 
розбіжний інтеграл
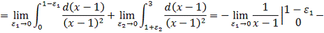
в)
збіжний інтеграл
розбіжний інтеграл
Отже, даний інтеграл розбіжний.
г)
збіжний інтеграл
д)

3. Обчислити площу фігури, яка
обмежена лініями:
а)
і
координатною віссю Ох;
б)
і
координатною віссю Ох;
в)
г) однією аркою
циклоїди
і
віссю абсцис. Параметр
змінюється в
межах:
;
д)
параметр
змінюється в межах
е)
параметр
змінюється в межах
є) кардіоїдою
параметр
змінюється в межах
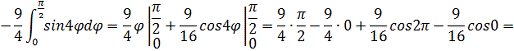
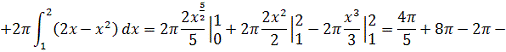
Розв’язання
а)
б)
в)
г)
д)
е)
є)
інтеграл площа фігура
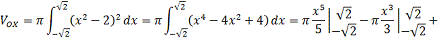
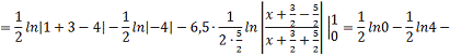
4. а) Обчислити об’єм тіла,
утвореного обертанням фігури, обмеженою лініями
навколо
осі Ох.
б) обчислити об’єм тіла, утвореної
обертанням фігури, обмеженою лініями
,
навколо осей Ох та Оу.
Розв’язання
а)
б)
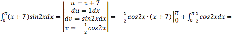
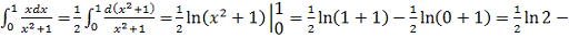
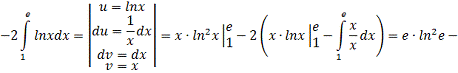
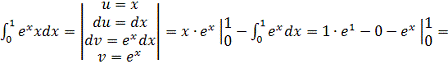
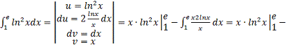
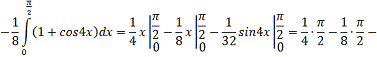
. Обчислити визначений інтеграл:
Розв’язання
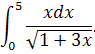
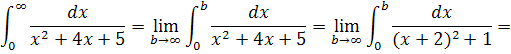
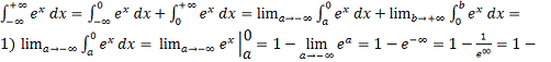
6. Обчислити невласний інтеграл і
встановити його збіжність:
Розв’язання
розбіжний інтеграл
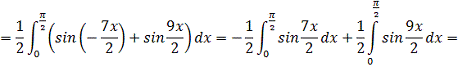
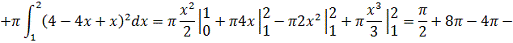
. Знайти об’єм тіла утвореного
обертанням площі, обмеженою лініями
навколо
вісі Ох.
Розв’язання