Інверсія на площині

  • Вид работы:
    Курсовая работа (т)
  • Предмет:
    Математика
  • Язык:
    Украинский
    ,
    Формат файла:
    MS Word
    516,92 Кб
  • Опубликовано:
    2013-09-27
Вы можете узнать стоимость помощи в написании студенческой работы.
Помощь в написании работы, которую точно примут!

Інверсія на площині

ЗМІСТ

ВСТУП

РОЗДІЛ 1. ІНВЕРСІЯ

.1   Основні поняття

1.2    Поняття інверсії на площині

.3      Аналітичне завдання інверсії

.4      Образи прямих і кіл при інверсії

.5      Інваріантні кола інверсії

.6      Властивості кутів і відстаней при інверсії

РОЗДІЛ 2. ЗАСТОСУВАННЯ ІНВЕРСІЇ

2.1 Інверсор Посельє

2.2    Застосування інверсії при розв’язанні задач на побудову

2.3 Застосування інверсії при розв’язанні задач на доведення

ВИСНОВКИ

СПИСОК ВИСКОРИСТАНОЇ ЛІТЕРАТУРИ

ВСТУП

В геометрії основну роль відіграють різні перетворення фігур. У курсі геометрії більш докладно вивчаються рухи і гомотетії, а також їх застосування. Важливою особливістю цих перетворень є збереження ними природи найпростіших геометричних образів: прямі переводяться в прямі, а кола в кола. Інверсія являє собою більш складне перетворення геометричних фігур, при якому прямі вже можуть переходити в кола, і навпаки. При цьому твердження про те, що прямі й площини - це кола і сфери,які проходять через деяку «ідеальну» точку, що називається «нескінченно віддаленою точкою» може бути замінене на досить зрозуміле твердження про те, що прямі й площини являють собою «кола і сфери нескінченного радіуса». Такий підхід дозволяє дати в застосуванні до завдань елементарної геометрії одноманітну методику вивчення. Це, перш за все відноситься до завдань на побудову і до деяких задач на доведення. Слід зазначити, що розгляд зазначених розділів елементарної геометрії без застосування інверсії пов'язане із залученням різноманітних, здебільшого штучних побудов, що носять частинний характер, тобто використовуються лише в певних задачах. Тому цікаво було б дізнатися поняття, властивості інверсії і навчитися застосовувати ці знання на практиці. Зі сказаного випливає актуальність теми курсової роботи.

Мета роботи - познайомитись з поняттям інверсії на площині, вивчити властивості інверсії, навчитися будувати образи фігур при інверсії і застосовувати ці знання при розв’язанні задач на побудову і на доведення.

Тому в процесі виконання курсової роботи необхідно буде вирішити наступні завдання:

. Дати визначення інверсії на площині.

. Вивчити основні властивості інверсії на площині.

. Вивести формули аналітичного задання інверсії на площині.

. Навчитися будувати образи точок, прямих і кіл при інверсії.

. Виявити властивості кутів і відстаней між точками при інверсії.

. Вивчити ортогональні і інваріантні окружності інверсії.

. Навчитися розв’язувати задачі на побудову і на доведення за допомогою інверсії.

Об'єктом дослідження є інверсія на площині, предметом дослідження - властивості інверсії і можливість їх застосування до розв'язання задач на побудову і доведення.

Значимість результатів, отриманих в роботі, полягає в тому, що:

• Виділено основні поняття, пов'язані з інверсією.

• Наведено доведення властивостей інверсії на площині і деяких теорем, пов'язаних з інверсією.

• Знайдено образи прямої і кола при інверсії.

• Наведено приклади розв’язання задач на побудову і на доведення за допомогою інверсії.

РОЗДІЛ 1. ІНВЕРСІЯ

.1      Основні поняття

Перед тим як перейти до вивчення інверсії на площині сформулюємо визначення основних понять, необхідних для подальшого викладу.

Нехай X і Y - дві непорожні множини. Якщо кожному елементу хϵX ставиться у відповідність один(єдиний) елемент уϵY, тo кажуть, що поставлено відображення множини X в множину Y.

Нехай дано відображення f множини X в множину Y. Тоді:

Ін'єкція (ін'єктивне відображення, ін'єктивна функція, відображення в) - це таке співвідношення між елементами двох множин, яке одному елементу з першої множини зіставляє один і тільки один елемент з другої множини.

Формально, відображення f: X → Y - ін'єктивне тоді й тільки тоді, коли для кожного yϵY, існує не більш як один x (або жодного) в X такий, що f(x) = y. Інакше: f є ін'єктивним, якщо для кожного x ϵX та x'ϵX, де f(x)=f(x'), виконується рівність x = x'.

Сюр'єкція (сюр'єктивне відображення, сюр'єктивна функція, відображення на) - це відповідність між двома множинами, в якій з кожним елементом другої множини асоціюється щонайменш один (або більше) елементів першої множини.

Формально, відображення f: X → Y є сюр'єктивним' якщо для кожного yϵY, існує щонайменш один xϵX такий, що f(x) = y.

Бієкція (бієктивна функція, бієктивне відображення, взаємно однозначна відповідність) - це відображення, яке є одночасно сюр'єктивним <#"662605.files/image001.jpg">

Рис. 1

Є простий спосіб побудови образу M' даної точки M при інверсії. Якщо точка M лежить поза колом інверсії, то проведемо через неї дотичну MT до кола ω і перпендикуляр з точки T дотику на пряму OM (рис. 1). Основа M' цього перпендикуляра і є образом точки M при інверсії відносно кола. З подібності трикутників OMT і OTM' маємо:

:OT = OT:OM',

звідки OM•OM'= OT2 = R2.

З визначення інверсії випливає, що в інверсії відповідність між точками множини Е0 взаємна, тому якщо M → M', то M' → M, тобто перетворення, обернене до даної інверсії, збігається з тією ж інверсією. З цієї причини образ M точки M' будується в зворотному порядку.

Якщо Mϵω, то OM*OM = R2 і тому точка M відображається на себе. Значить, і все коло ω інверсії відображається на себе (тобто є безліччю нерухомих точок). Інших нерухомих точок інверсія не має.

Відзначимо найпростіші властивості інверсії, які безпосередньо випливають із визначення.

. Якщо точка M' інверсна точці M, то й обернено: точка M інверсна точці M'.

. Якщо при інверсії фігура F перетвориться у фігуру F', то фігура F' перетвориться у фігуру F (Мал. 2).

Рис. 2

. Кожна точка кола інверсії інверсна самій собі.

. Якщо дана точка лежить поза колом інверсії, то інверсна їй точка (образ) лежить усередині цього кола. І навпаки, якщо образ А' точки А лежить поза колом інверсії, то прообраз А лежатиме в цьому колі. Це випливає з рівності (1).

. Якщо точка, що лежить поза колом інверсії, необмежено віддаляється від цього кола, то інверсна їй точка (всередині базисного кола) необмежено наближається до центру інверсії. Вірно і обернене твердження.

. При інверсії промінь, що виходить з центру інверсії, перетвориться в себе. При цьому частина променя, яка лежить в колі інверсії перетвориться на частину променя, яка лежить поза колом, і навпаки.

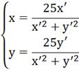
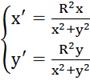
1.3    Аналітичне задання інверсії

Задамо прямокутну декартову систему координат з початком в центрі O інверсії. Якщо М (х, у) → М '(x', y'), то = λ при λ> 0. За умови

*=R², отримаємо λ =

Ці рівності в координатах запишуться так:

'= λx,

y' =λy, де λ> 0; (2)'+ yy' = R² (3)

Підставивши значення x' і y' з рівності (2) в рівність (3), отримуємо:

λ (x ² + y ²) = R².

Так як точка М не збігається з точкою О, то x ² + y ² ≠ 0, тому

λ =

Підставивши значення λ в рівність (2), остаточно одержуємо аналітичний вираз інверсії:

 (4)

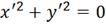
Так як М '(х', у ') → М (х, у) при цій інверсії, то


Як бачимо, ці формули не лінійні. Тому образом довільної прямої

+ By + C = 0

при C ≠ 0 не буде пряма лінія, тобто інверсія не є афінним перетворенням.

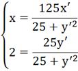
Приклад 1

Визначити пропущені координати точок А '(5, ...) і(..., 2), якщо відомо, що точка А'є образом точки А при інверсії з центром на початку координат і радіусом інверсії R = 5.

Розв’язання:

Використовуємо формули, отримані раніше. Враховуючи, що О (0, 0) і R=5 можна записати:


Підставивши відомі координати, легко отримати:

Отже, ця задача має два розв’язки:

) А'(5, 10), А (1, 2);

) А'(5, 2,5), А (4, 2).

1.4    Образи прямих і кіл при інверсії

Формули (4) і (5) дають можливість знайти образи прямих і кіл при інверсії.

Теорема 1

Пряма, що проходить через центр О інверсії (без самої точки О), переходить в себе, а пряма, що не переходить через центр інверсії, переходить в коло, що проходить через центр інверсії.

Доведення

Перша частина теореми безпосередньо випливає з визначення інверсії, тому доведемо тільки другу частину теореми.

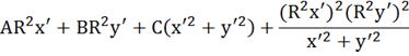
Нехай, Ах + Ву + С = 0 - рівняння довільної прямої, що не проходить через центр інверсії. Якщо в цьому рівнянні х і у замінити виразами (5), то отримаємо рівняння образу цієї прямої:

х'² + у'² + А * R² x'+ B * R² y' = 0. (6)

Цим рівнянням задається коло, що проходить через точку О.

Наслідок 1

Якщо пряма d, не проходить через центр О інверсії, переходить в коло (О1, R), то прямі ОО1 і d перпендикулярні.

Доведення

З рівняння (6) знаходимо координати центра О1 кола (О1, R):

О (,)

Таким чином, вектор (,) перпендикулярний прямій d, заданої рівнянням

Ах + Ву +1 = 0.

Користуючись наслідком 1, легко вказати спосіб побудови образу ω прямої d, що не проходить через центр О інверсії.

Рис. 2, 3

Нехай Н - основа перпендикуляра, проведеного з центра О кола інверсії γ до прямої d, а Н'- образ цієї точки (рис. 4, а). Тоді ω є колом, побудованим на відрізку ОН' , як на діаметрі. Якщо пряма d перетинає коло інверсії γ в двох точках (на рис. 3, б точки А і В), то коло ω проходить через точки А, В і О.

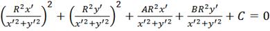
Теорема 2

Коло, що проходить через центр О інверсії (без самої точки О), переходить в пряму, яка не проходить через точку О. Коло, що не проходить через точку О, переходить в коло, яке також не проходить через точку О, причому точка О лежить на лінії центрів цих кіл.

Доведення

Нехай

х2 + у2 + Ах + Ву + С=0 (7)

Це рівняння довільного кола ω. Якщо в цьому рівнянні х і у замінити виразами (5), то отримаємо рівняння образу ω' кола:

ω:

Помноживши обидві частини рівності на  (якщо , то точка О (0, 0) буде належати даному колу) отримаємо:


Це рівняння приводиться до вигляду:

(x'2 + y'2)+AR2x' + BR2y' + R4=0.  (8)

Якщо коло ω проходить через центр інверсії, то C = 0, тому рівнянням (8) визначається пряма ω ', яка не проходить через точку О (так як R4≠0). Якщо коло ω не проходить через точку О, то C ≠ О, тому рівнянням (8) визначається коло ω', яке не проходить через центр інверсії.

З рівнянь (7) і (8) знаходимо центри кіл:

(, ) , (, )

ці точки і точка О (0,0) лежать на прямій, що задана рівнянням Вх - Ау = 0.

Теорема 3

Якщо лінії ω1 і ω2, де ω1 - коло або пряма, а ω2 - коло, торкаються один одного в точці М, відмінної від центру інверсії f, то їх образи ω1' і ω2' також торкаються один одного в точці M' = f (M).

Доведення

Так як ω1 і ω2 торкаються один одного в точці М, то М '- єдина спільна точка ліній ω1 і ω2. Але кожна з цих ліній є прямою або колом, тому вони торкаються один одного.

1.5    Інваріантні кола інверсії

Ортогональні кола

Кутом між двома кривими (зокрема, між двома колами) називається кут між дотичними до цих кривих у їх спільній точці.

Два кола, що перетинаються, називаються ортогональними, якщо дотичні до них в точці перетину перпендикулярні (рис. 4).

Рис. 4

Згідно властивості дотичної до кола, центр кожної з двох ортогональних кіл лежить на дотичній до іншого кола в точці їх перетину.

Теорема 4

Коло γ, ортогональне до кола інверсії, відображається цієї інверсією на себе (інваріантне при інверсії).

Доведення

Якщо М - довільна точка кола γ і пряма ОМ перетинає коло γ вдруге в точці М', то за властивостю січних ОМ * ОМ' = ОТ2=R2, тобто точки М і М' взаємно інверсні щодо кола ω (рис. 5). Отже, коло γ відображається на себе.

Теорема 5 (зворотна)

Якщо коло γ, відмінне від кола інверсії, відображається інверсією на себе, то воно ортогональне колу інверсії.

Доведення

Відповідні точки М і М' кола γ лежать на одному промені з початком О, причому одна з них поза, інша - всередині кола ω інверсії (рис. 5). Тому коло γ перетинає коло ω. Нехай Т - одна з точок їх перетину. Доведемо, що ОТ - дотична до кола γ. Якби пряма ОТ перетинала γ ще в іншій точці Т1, то за властивостю січних ОТ * ОТ1=R2. Але ОТ=R і тому ОТ1=R, тобто точки Т і Т1 збігаються, пряма ОТ дотикається до кола γ в точці Т, кола ω і γ ортогональні.

Інверсія як симетрія відносно кола.

Інверсія відносно кола має аналогію з осьовою симетрією.

Коло, що містить дві інверсні точки, інваріантне при даній інверсії (отже, дане коло ортогональне колу інверсії).

Доведення

Якщо коло γ містить точки А і А', відповідно при інверсії відносно кола ω, то центр О інверсії лежить поза відрізком АА', тобто поза колом γ (рис.5). Нехай М - довільна точка кола γ і пряма ОМ перетинає γ вдруге в точці М'. Тоді за властивістю січних ОМ*ОМ'= OA*OA' = R2

Рис. 5

Тому точки М і М' взаємно інверсні, і коло γ відображається інверсією на себе. інверсія площина точка пряма коло

Наслідок

Якщо два кола, що перетинаються, ортогональні до кола інверсії, то точки їх перетину взаємно інверсні.

Доведення

Дійсно, якщо А - одна з точок перетину кіл α і β, кожне з яких ортогональне до кола ω інверсії, то пряма OA перетинає як коло α, так і коло β в образі А' точки А (рис. 6).

Рис. 6

Інакше кажучи, образом точки А, що не лежить на колі інверсії, є друга точка перетину будь-яких двох кіл, що проходять через точку А і ортогональні до кола інверсії.

Ця властивість може бути покладена в основу визначення інверсії.

Візьмемо тепер замість кола ω пряму ω як граничний випадок кола (коло нескінченно великого радіуса). Центри кіл α і β, ортогональних прямій ω, лежать на цій прямій. Попередня властивість інверсії (друге її визначення) призводить до того, що точки А і А' перетину кіл α і β симетричні відносно прямої ω (рис. 7).

Рис. 7

1.6    Властивості кутів і відстаней при інверсії

Інверсія володіє чудовою властивістю: вона зберігає величину кута між лініями. Кут між двома лініями дорівнює куту між їх образами при інверсії. Це властивість називається властивістю конформності інверсії.

Доведення

Так як кут між двома кривими за визначенням дорівнює куту між дотичними прямими до цих кривих в їх спільній точці, то достатньо довести сформульовану властивість конформності для двох прямих і їх образів при інверсії.

Якщо обидві дані прямі проходять через центр інверсії, то доводити нічого.

Рис. 8

Якщо одна з даних прямих а і b містить центр О інверсії, а інша його не містить, то перша відображається на себе, а друга - на коло, що проходить через точку О (рис. 8). Дотична до кола в точці О паралельна прообразу кола, звідки і випливає рівність кутів Ð(a, b) =Ð(a', b'). Коли центр О інверсії не належить жодній з даних прямих а і b, то їх образами будуть два кола а' і b', що перетинаються в центрі О інверсії і деякій точці Р' - образі точки Р перетину даних прямих а і b. Кути між колами а' і b' в точках О і Р' рівні. Тому можна розглядати кут між дотичними а' і b' в точці О. А ці дотичні паралельні відповідно даним прямим а і b (рис. 9).

Рис. 9

Зокрема, якщо дві дані прямі, два кола, пряма і коло ортогональні, то їх образи при інверсії також ортогональні.

Якщо два даних кола дотикаються, то їх образами будуть або два кола, що дотикаються, або коло і пряма, що дотикаються, або дві паралельні прямі.

З'ясуємо, як змінюється при інверсії відстань між двома точками. Нехай А і В - дві довільні точки площини, А' і В' - точки, в які вони переходять при інверсії з центром О (відмінних від А і від В) і степенем k=R2 (рис. 10). Трикутники ОАВ, ОВ'А' будуть подібні, так як АОВ=B'OA' і  (ОА*ОА'=OB*OB = k).

Рис. 10

Отже,  , звідки  . Зробимо заміну ОВ на . Отримаємо шукану формулу:

 (9)

Із рівняння відстані між точками А' и В', що отримуються при інверсії з даних точок А і В, випливає однин цікавий наслідок. Складним відношенням чотирьох точок A, В, С и D площини назвемо додатнє число .

Доведемо, що інверсія володіє наступною властивістю:

Теорема 7

Складне відношення чотирьох точок площини зберігається при інверсії.

Доведення

Нехай точки А, В,С і D переходять при інверсії в точки А', В', С' і D'. У такому випадку формула (9) дає:

*, *, *,

*, отже,

, , звідки

,

що і потрібно було довести.

Зазначимо, що дана властивість інверсії на має сенсу, якщо одна з розглянутих чотирьох точок співпаде з центром інверсії.

РОЗДІЛ 2. ЗАСТОСУВАННЯ ІНВЕРСІЇ

2.1    Інверсор Посельє

Існують прилади, за допомогою яких можна без будь-яких обчислень і без залучення звичайних інструментів геометричних побудов побудувати лінію, інверсну будь-якій даній лінії.

Вперше інверсор був запропонований французьким капітаном Посельє в 1864 році. Цей прилад здобув популярність тільки через сім років.

«Клітка Посельє», як прийнято називати цей інверсор, складається з шести стержнів, пов'язаних шарнірами (рис. 11). Чотири з них складають ромб PAQB. Інші два стрижня рівні між собою, але кожен з них довші сторони ромба PAQB.

Рис. 11

Коли точка P описує яку-небудь лінію ω, точка Q описує інверсну їй лінію ω'. Зокрема, коли Р описує коло, що проходить через точку О, точка Q опише пряму(рис. 13 а). Таким чином, інверсор Посельє дозволяє перетворити обертальний рух в прямолінійний.

Якщо потрібно перетворити коло радіуса r, то до інверсору в точці Р шарнірно приєднується стрижень МР довжини r. Якщо точки О і М закріплені нерухомо так, що стрижні ОА і ОВ можуть обертатися біля точки О, а стрижень МР - близько точки М (рис. 12), то точка Р опише дугу деякого кола, а точка Q - дугу інверсного йому кола (рис. 13 б) або прямолінійний відрізок (у разі, якщо ОМ = МР).

Рис. 12


Рис. 13

2.2    Застосування інверсії при розв’язанні задач на побудову

Метод інверсії дає можливість розв’язати ряд найбільш важких конструктивних задач елементарної геометрії. При цьому комбінація цього методу з методом координат, що фактично відбувається при спробі розв’язувати задачу на комплексній площині, дає найбільш точні обчислення місцезнаходження потрібних фігур, що є явним плюсом методу в порівнянні з досить неточними побудовами від руки. Недоліком же цього методу є його громіздкість, пов'язана з необхідністю виконати велике число досить об'ємних обчислень. Але треба сказати, що для комп'ютера це не складно, і перед користувачем постає лише проблема перекладу алгоритму розв'язання задачі на мову програмування.

Задачі на побудову, які розв’язуються методом інверсії, Александров ділив на три групи.

Перша група. У завданнях цього роду обернені криві грають роль геометричних місць. Центр і степінь інверсії в цьому випадку відомі.

Друга група. У завданнях цієї групи інвертується деяка частина шуканої фігури (відрізок, точка або коло); при цьому теорія інверсії, іноді в поєднанні з іншими методами, часто вкаже таку залежність початку інверсії від даних і шуканих, яка дозволяє розв’язати задачу. Центр і степінь інверсії дано чи повинні бути доцільно вибрані. У виборі центру, степеня, числа інверсій іноді зустрічаються труднощі.

Третя група. Будь-яке завдання на побудову дає деяку фігуру, причому деякі елементи цієї фігури невідомі. Інвертуємо цю фігуру. Тоді дані шукані відобразяться відомим чином, і часто може трапитися, що залежність даних і шуканих у відображеній фігурі набагато простіша, ніж в основній фігурі. Тоді треба побудувати відображену фігуру. Потім інвертувати її назад з тим же центром і степенем. У цьому і полягає головна ідея методу інверсії. Розумний вибір центру інверсії відіграє істотну роль: обчислення можна істотно скоротити. Степінь інверсії в цьому випадку зазвичай буває довільним.

Класичним прикладом завдань цього типу можна назвати задачу Аполлонія.

Задача Аполлонія. (Побудувати коло, що дотикається до трьох заданих кіл).

2.3    Застосування інверсії при розв’язанні задач на доведення

Тут знову використовується той факт, що залежність даних і шуканих у відображеній фігурі часто набагато простіше, ніж в основній фігурі. Чудово, якщо в задачі фігурує коло: метод дає можливість замінювати фігури, що містять коло, більш простими фігурами.

Для всякого чотирикутника ABCD, вписаного в коло, вірно:


Оберенена теорема.

Якщо для чотирьох неколінеарних точок A, B, C, D вірно

, то вони лежать на одному колі.

Задача Паппа.

Нехай кола α, β і γ з діаметрами АВ, ВС, АС утворюють арбелос, δ0 - коло, вписане в арбелос, коло δ1 дотикається до кіл α, β і δ0, коло δ2 дотикається до кіл α, β і δ1, ... коло δn +1 дотикається до кіл α, β і δn. Позначимо Rn - радіус кола δn, dn - відстань від центру кола δn до прямої АВ.(рис. 14).

Рис. 14

Виконаємо інверсію щодо будь-якого кола з центром в точці А. На малюнку це коло проходить через точку В.

При цій інверсії кола α і β перейдуть у дві паралельні прямі, а ланцюжок з кіл δ0, δ1, δ2, ... перейде в ланцюжок рівних кіл ω0, ω1, ω2, ... укладених між паралельними прямими (рис. 15). Центри кіл ωn і δn лежать на одній прямій з точкою А. Для окружності ωn твердження задачі виконується очевидним чином. Але окружність δn переходить в окружність ωn при гомотетії з центром А, звідки і випливає твердження завдання.

Рис. 15

ВИСНОВКИ

Геометричні побудови можуть зіграти серйозну роль у математичній підготовці школяра. Задачі на побудову, які розв’язуються за допомогою інверсії зазвичай не допускають стандартного підходу до них і формального сприйняття їх учнями. Такі завдання зручні для закріплення теоретичних знань учнів з будь-якого розділу шкільного курсу геометрії. Розв’язуючи геометричні задачі на побудову, учні набувають багато корисних креслярських навичок.

У даній роботі було розглянуто поняття інверсії та методу інверсії, за допомогою якого розв’язуються деякі задачі на побудову, розглянуті основні властивості і теореми, на які спирається даний метод.

СПИСОК ВИКОРИСТАНОЇ ЛІТЕРАТУРИ

1. Александров, И.И. Сборник геометрических задач на построение [Электронный ресурс] / И.И. Александров; под ред. Н.М. Наумович. -Изд. 18-е. - М.: Учпедгиз, 1950. - 176 с.

2.      Атанасян Л.С., Базылев В.Т. Геометрия. - учебное пособие для студентов физ. - мат. факультетов пед. институтов. - М.: Просвещение, 1987

.        Бакельман И.Я. Инверсия. - М.: Наука, 1966. - 78с.: ил.

.        Яглом, И.М. Геометрические преобразования [Электронный ресурс]. В 2 ч. Ч. 2. Линейные и круговые преобразования / И.М. Яглом. - М.: Гос. изд-во технико-теорет. лит-ры, 1956. - 612 с. - (Серия «Библиотека математического кружка»; вып. 8)

5.      Адамар, Ж. Элементарная геометрия [Электронный ресурс]: пособие для высших педагогических учебных заведений и преподавателей средней школы. В 2 ч. Ч. 1. Планиметрия / акад. Ж. Адамар; пер. со 2 издания под ред. проф. Д.И. Перепелкина. - Изд. 3-е. - М.: Учпедгиз, 1948. - 608 с.


Не нашли материал для своей работы?
Поможем написать уникальную работу
Без плагиата!
Без нейросетей!