Разработка рекомендаций по ценообразованию арендных ставок на основе расчета средней ставки по сегменту
СОДЕРЖАНИЕ
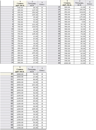
ВВЕДЕНИЕ
. АНАЛИТИЧЕСКАЯ ЧАСТЬ
.1 Общая характеристика организации
.2 Структура подразделения
.3 Структура и функции органов управления
.4 Технико-экономические и финансовые показатели и их анализ
.5 Организация бухгалтерского учета и налогообложения
.6 Выбор темы дипломной работы
. ТЕОРЕТИЧЕСКАЯ ЧАСТЬ
.1 Бухгалтерский учет аренды на основе ПБУ
.2 Анализ существующей системы формирования классов
недвижимости
. ПРОЕКТНАЯ ЧАСТЬ
.1 Анализ рынка недвижимости и статистики по арендным ставкам
по СПб
. ВЫВОДЫ ИЗ АНАЛИЗА РАСПРЕДЕЛЕНИЯ АРЕНДНЫХ СТАВОК,
ФОРМУЛИРОВКА ПРЕДЛОЖЕНИЙ ПО ПЕРЕХОДУ В БОЛЕЕ ВЫСОКИЙ ЦЕНОВОЙ СЕГМЕНТ
ЗАКЛЮЧЕНИЕ
СПИСОК ИСПОЛЬЗУЕМОЙ ЛИТЕРАТУРЫ
ВВЕДЕНИЕ
Тема дипломной работы - «Разработка рекомендаций по ценообразованию
арендных ставок на основе расчета средней ставки по сегменту». Аренда
недвижимости всегда остается самым актуальным вопросом для любого бизнеса. Это
объясняется тем, что приобретение недвижимости не всегда может быть
целесообразным, поэтому большая часть торговых площадей, офисных, складских и
промышленных помещений являются арендованными. Рынок аренды недвижимости имеет
не достаточное количество предложений, чтобы удовлетворить спрос по аренде
коммерческой недвижимости. Однако сегодня можно заметить сильные изменения на
рынке аренды недвижимости в Санкт-Петербурге. Сегодня широко развивается
строительство бизнес-центров различного уровня, которыми предлагается аренда
коммерческой недвижимости. Достаточно развита аренда недвижимости без
посредников, так как существуют строительные компании, которые занимаются
строительством с последующей сдачей в аренду коммерческой недвижимости в
Петербурге. В данной работе будет рассмотрена только аренда офисных помещений в
Санкт-Петербурге. Аренда офисов - это ключевая задача для компаний, работающих
или планирующих работать в Северной столице.
Офисная недвижимость Санкт-Петербурга за последние годы претерпела
существенные изменения как в количественном, так и в качественном плане.
Существенно выросли объемы офисной недвижимости, выраженные в росте суммарных
площадей офисных помещений в СПб. Менялась и качественная составляющая офисной
недвижимости за счет вывода на рынок современных качественно отремонтированных
и оборудованных помещений для офисов, причем эти тенденции были характерны для
всех составляющих рынка офисной недвижимости Петербурга. Характерным явлением
последнего времени для рынка офисной недвижимости Санкт-Петербурга было и
значительное расширение географии офисного строительства. Все больше помещений
под офисы вводится не в центральных районах СПб, и лидерами среди них являются
Московский, Выборгский и Приморский. На рынке коммерческой недвижимости нашего
города офисный сектор является, пожалуй, наиболее развитым и приближенным к
западным стандартам. Сейчас с уверенностью можно говорить, что в
Санкт-Петербурге сложился вполне цивилизованный рынок аренды офисных помещений
и площадей. На нем достаточно предложений под широкий диапазон требований, и он
способен регулировать соотношение цена-качество.
Ценообразование арендной ставки зависит от таких критерий как: насколько
привлекателен район и непосредственное местоположение, наличие на территории
бизнес-центра кафе, банков, парковки, качество арендуемых помещений, год
постройки, состояние бизнес-центра. Долгое время бизнес-центры традиционно
делились на классы А, В, С. Но зачастую у владельцев деловых комплексов не было
четкого понимания, какие параметры и характеристики должны быть у современного
бизнес-центра, и чем отличается центр класса А от деловых комплексов других
классов. Отсутствие четкой и общепринятой классификации с подробным описанием
характеристик усложняет задачу аренды офисных площадей. В последнее время в
Санкт-Петербурге увеличивается число арендаторов в лице иностранных и
московских компаний, которые нуждаются в качественных офисных помещениях. Ведь
бизнес-центр класса А должен отвечать уровню компании, гарантировать
необходимый уровень функциональных возможностей и сервиса, как сотрудникам, так
и клиентам компании.
Увеличение количества бизнес-центров и, главное, повышение уровня спроса
на качественные помещения породили требования к стандартизации как самих
офисов, так и офисных центров. Ведь если, допустим, в гостиничном бизнесе
существует общепринятая методика присвоения «звезд», то при аренде офиса до сих
пор приходится самостоятельно сопоставлять цену с качеством помещения,
инфраструктурой и той буквой, которую гордо называет вам арендодатель или
продавец.
1. АНАЛИТИЧЕСКАЯ ЧАСТЬ
1.1 Общая характеристика организации
Общество с ограниченной ответственностью «Ай Би Эстейт» входит в состав
холдинга ООО «Ай Би Групп». ООО «Ай Би Групп» ведет свои проекты в сфере
коммерческой недвижимости от идеи и до воплощения с 2001 года. ООО «Ай Би
Групп» - одна из лидирующих организаций в сфере коммерческой недвижимости Санкт-Петербурга.
Организация активно оказывает различные типы услуг участникам рынка
коммерческой недвижимости. Клиентами организации уже стали крупные
трансконтинентальные и национальные компании, сетевые ритейлеры, и известные
инвестиционные фонды. На счету ООО «Ай Би Групп» 8 успешно открытых торговых
комплексов. На данный момент «Ай Би Групп» развивает 20 объектов торговой
недвижимости в Санкт-Петербурге и регионах России. Управляет 4 торговыми
комплексами, 9 бизнес-центрами.
Для этого у холдинга есть все необходимые компетенции по каждому из
направлений - будь то консалтинг, брокеридж, технадзор, управление,
эксплуатация объекта, оценка или правовой аудит проекта. В структуру ООО «Ай Би
Групп» входят:
1. «Ай Би Девелопмент» - одна из структур холдинга «Ай Би Групп», в
чьи задачи входит реализация проектов коммерческой недвижимости. Основное
направление деятельности - это оказание услуг по выполнению функций Службы
заказчика и Строительного контроля (технического надзора) на объектах
строительства и реконструкции.
2. «Ай Би Консалт» - консультанты по проектам. Осуществляют в
интересах заказчика:
- экспертизу существующих концептуальных и проектных решений;
анализ лучшего и наиболее эффективного использования;
бизнес-планирование;
концептуальное зонирование;
анализ текущей хозяйственной деятельности;
разработку рекомендаций по улучшению экономических показателей проекта;
. «Ай Би Эстейт» - внешнее управление объектами коммерческой
недвижимости с позиции собственника и в его интересах.
аудит проектов коммерческой недвижимости на всех стадиях их развития,
включая подготовку к сделкам купли-продажи.
. «Ай Би Рисеч» - организация ООО «Ай Би Рисеч», работающая в
составе ООО «Ай Би Групп», имеет многолетний опыт разработки концептуальных и
бизнес-планов развития коммерческой недвижимости, оценки различных видов
стоимости. Ежегодно организация готовит для своих клиентов до 30 отчетов по
оценке различных объектов. Основное направление деятельности в сфере
недвижимости - это разработка концепций развития и бизнес-планов коммерческих
объектов, анализ наиболее эффективного использования недвижимости, оценка любых
видов стоимости объектов недвижимости. Также ООО «Ай Би Рисеч» занимается
оценкой любых материальных и нематериальных активов.
5. «Ай Би Менеджмент» - внешнее управление коммерческой
недвижимостью, в частности, решение поставленных перед ней задач с позиции
собственника и в его интересах.
. «Ай Би Ритейл» - является единственной организацией в
Санкт-Петербурге, имеющей в своём активе многолетний опыт внешнего управления
действующими торговыми центрами. Сетевой характер деятельности позволяет
предлагать инвесторам и собственникам более выгодные условия на всех этапах
девелопмента: от концептуального зонирования до выхода из проекта.
Ответственность за конечный результат предопределяет такие решения на стадии
брокериджа, которые имеют долгосрочную выгоду и повышает капитализацию ТЦ.
. «Ай Би Фэсилити» - правление эксплуатацией нежилого фонда. ООО
«Ай Би Фэсилити» предоставляет услуги технической эксплуатации как в составе
комплекса услуг доверительного управления, так и в качестве самостоятельной
услуги на любом этапе существования объекта коммерческой недвижимости.
. «Ай Би Сервис» - обслуживание инженерных систем и конструкций
жилых и коммерческих зданий.
Из этих компетенций сложился уникальный вертикально интегрированный
холдинг, которому по плечу самые сложные проекты строительства и
коммерциализации объектов недвижимости. Благодаря наличию собственных служб
эксплуатации и управления арендными отношениями, многократно проверенному на
практике опыту развития и продвижения проектов на рынок, холдингом сформирован
объемный банк статистических данных по операционному менеджменту, который
позволяет с высокой долей вероятности прогнозировать будущий результат
инвестиционных вложений. Профессионализм сотрудников холдинга дополняют и такие
их достоинства как коммуникабельность и креативность, работающие на главную
задачу - сделать проект заказчика максимально успешным. Внешнее сетевое
управление, выбранное в качестве основного позиционирования на рынке, за много
лет позволило выработать и отточенный стиль ведения переговоров, и высокий
уровень долгосрочных эффективных взаимоотношений с партнерами - арендаторами и
владельцами собственности. Организация относится внимательно к эстетике
проектируемых зданий, к архитектурным достоинствам проектов, к вопросу
гармоничного включения новых объектов в существующую городскую среду, к тому,
насколько комфортно будут чувствовать себя люди внутри зданий. Опыт, полученный
за годы работы в российских городах от Калининграда до Иркутска, убеждает в
том, что впереди у девелоперов и управляющих организаций еще не один проект
развития территорий, регенерации целых микрорайонов и концептуальных решений в
сфере реновации коммерческой недвижимости.
Профессиональная деятельность организаций ООО «Ай Би Групп» в области
внешнего управления отмечена рядом наград:
2005 год. Премия Commercial Real Estate Awards в номинации «Торговый
центр Санкт-Петербурга» за участие в реализации проекта Торговый комплекс «Сенная»;-
2005 год. Премия XI Межрегионального общественного конкурса в сфере
недвижимости «КАИССА» в номинации "Лучшая управляющая компания в сегменте
торгово-развлекательных комплексов в Санкт-Петербурге";
2006 год. Премия XII Межрегионального общественного конкурса в сфере
недвижимости «КАИССА» в номинации "Лучшая управляющая компания в области
коммерческой недвижимости Санкт-Петербурга и Ленинградской области";
2008 год. Премия Commercial Real Estate Awards в номинации «Торговая
недвижимость. Малый торговый центр» за участие в реализации проекта ТК
«Юго-Запад»;
2010 год. Профессиональная деятельность компании ООО «Ай Би Групп»
отмечена за участие в реализации проекта МФК «Толстой Сквер», ставшего
победителем ежегодной премии Commercial Real Estate Awards в номинации
«Многофункциональный комплекс».
ООО «Ай Би Групп» оказывает полный комплекс услуг, востребованных в
коммерческой недвижимости:
разработка концептуальных и бизнес-планов;
сопровождение проектов;
брокеридж (подбор арендаторов);
поиск и привлечение финансирования;
управление объектами недвижимости;
-повышение доходности объектов недвижимости и их «предпродажная»
подготовка;
- формирование объектов коммерческой недвижимости;
оптимизация эксплуатационных расходов;
услуги технической эксплуатации;
оформление правоустанавливающих документов;
независимая оценка;
сбор исходной информации;
разрешительная документация;
изыскательские работы;
контроль над проектированием и строительством;
технический надзор;
ввод в эксплуатацию.
ООО «Ай Би Групп» работает в таких сегментах рынка коммерческой
недвижимости как:
офисы;
торговые центры и комплексы;
развлечения;
бизнес-парки;
земельные участки под застройку;
складские комплексы.
ООО «Ай Би Групп» за время своего существования (11 лет) реализовало
более 70 проектов (общей площадью - более 1,5 млн. кв. м) в различных
направлениях.
Управление объектами является одной из самых важных задач для
собственников, потому что современные здания и сооружения Санкт-Петербурге
представляют собой дорогостоящий актив с большим количеством инженерных систем.
Чтобы этот актив приносил доход, а все системы в здании эффективно
функционировали, его собственник должен осуществлять профессиональное и
современное управление недвижимостью коммерческого или жилого назначения.
Практика показывает, что правильнее всего передать управление объектами
профессиональной управляющей организации, которая сможет обеспечить
максимальный доход от ее сдачи в аренду при минимизации расходов на
эксплуатацию и содержание.
ООО «Ай Би Эстейт» - одна из главных ключевых компетенций холдинга ООО
«Ай Би Групп». С момента создания ООО «Ай Би Групп» и до настоящего дня
организация ООО «Ай Би Эстейт» профессионально и успешно управляем 9
бизнес-центрами всех классов. ООО «Ай Би Эстейт» учреждено несколькими лицами,
уставный капитал составляет 10 000 руб. Предприятие зарегистрировано
Регистрационной Палатой г.Санкт-Петербурга 25.09.2001г. Как внешняя управляющая
организация, решающая поставленные перед ней задачи с позиции собственника и в
его интересах, организация стремится к созданию «равнобедренного треугольника»
на объекте - собственники, арендатор, управляющий. Только такие партнерские
отношения на объекте способствуют достижению максимального экономического
эффекта для собственника от использования объекта недвижимости. Основное
направление деятельности - оперативная работа по организации доверительного
управления, обеспечивающая максимальную эффективность для собственника и
максимальный комфорт для арендаторов.
В рамках договоров на управление доходной недвижимостью организация
оказывает следующие услуги:
обоснование доходных характеристик объекта;
составление бюджета доходов и расходов по управлению;
стратегическое планирование затрат;
обеспечение комфортных условий работы арендаторов на объекте;
подбор арендаторов и сдача помещений в аренду.
Взаимоотношения управляющей организации с собственником объекта
недвижимости:
деятельность управляющей компании по взаимодействию с собственниками;
договорные отношения управляющей организации с арендаторами помещений.
Руководителем организации является генеральный директор, который
организует работу и взаимодействие персонала. В дипломной работе будет
рассмотрена деятельность на примере бизнес-центра «МИР», расположенного по
адресу: г. Санкт-Петербург, ул. Ефимова, д. 4а. Бизнес-центр «МИР» был построен
в 2003г., принадлежит трем собственникам: ООО «Трезубец», ООО «Бизнес-старт» и
ООО «Деловой Альянс», от имени которого мы выступам как поверенные. Общая
площадь в управление составляет 4863 кв.м., из них арендопригодная площадь 3600
кв.м. Здание расположено в центре Санкт-Петербурга и характеризуется хорошей
транспортной доступностью. Рядом проходят главные магистрали Санкт-Петербурга:
Московский проспект и улица Садовая. Бизнес-центр предлагает своим арендаторам
офисные помещения класса В. Описание объекта: евроремонт, стеклопакеты,
коридорное расположение офисов, возможность свободной планировки,
круглосуточный режим работы, охрана (физическая/электронная), контроль доступа,
2 пассажирских лифта. На территории бизнес-центра расположены салон красоты,
отделения банков («Райффайзенбанк», «ЮНИКРЕДИТ БАНК», «Газпромбанк», «Русфинанс
Банк», «Мастер-Банк»), фитнес-клуб «WorldClass» (с бассейном), нотариус,
юридические услуги, кафе.
В бизнес-центре «МИР» арендуют такие крупные организации как:
ООО «Ай Ти Ви Групп»;
ООО «Балтийская жемчужина»;
ООО «Чибо СНГ»;
ЗАО «НПО «Балтрос»;
ООО «РусфинансБанк»;
ООО «Русский Экспресс. Северо-Запад»;
НОУ ДПО «Институт Коучинга»;
ООО «Кай Лай».
Бизнес-центр «МИР» расположен конференц-зал. Конференц-зал представляет
собой встроенное помещение, расположенное на шестом этаже здания бизнес-центра.
Общая площадь Конференц-зала составляет 65,5 кв.м. Вместимость - 50 человек.
Конференц-зал оснащен проекционным оборудованием (жидкокристаллический
мультимедиа проектор Panasonic, настенный экран с электроприводом, колонки акустические инсталляционные
170 wt, аудио видео ресивер Pioneer, стационарный компьютер),
затемнением (жалюзи), вентиляцией и находится в состоянии, позволяющем его
нормальную эксплуатацию в соответствии с целью использования.
Численность работников в бизнес-центре «МИР» составляет 6 человек. Все
сотрудники образованные, коммуникабельные и исполнительные.
Рассматриваемый период деятельности организации 3 года. Организация
применяет упрощенную систему налогообложения.
1.2 Структура подразделения
Основные подразделения ООО «Ай Би Эстейт» в бизнес-центре «МИР» приведены
в табл.1.1.
Таблица 1.1 Структура подразделения ООО «Ай Би Эстейт» в бизнес-центре
«МИР»
|
Наименование подразделений
|
Вид деятельности
|
Технико-экономические показатели: численность работников
|
|
Основные подразделения
|
|
Управление
|
Сдача офисов в аренду
|
2
|
|
Бухгалтерия
|
Ведение бухгалтерского учета
|
2
|
|
Другие подразделения, входящие в состав организации
|
|
Администратор
|
|
2
|
1.3 Структура и функции органов управления
Структура органов управления в бизнес-центре «МИР» относиться к линейной
системе управления, которая представлена на рис. 1.1. Данная структура
характеризует, что во главе каждого структурного управления находится
единоначальник, наделенный всеми полномочиями и осуществляющий единоличное
руководство подчиненными ему работниками по всем функциям управления. Его
решения передаваемые по цепочке «сверху вниз», обязательны для выполнения
нижестоящими звеньями. Он, в свою очередь, подчинен вышестоящему руководителю.
На этой основе создается иерархия руководителей данной системы управления, т.е.
реализуется принцип единоначалия, который предполагает, что подчиненные
выполняют распоряжения одного руководителя. Достоинство линейной системы
управления:
- четко выраженная ответственность;
оперативность принятия решения;
единство и четкость распорядительства.
Недостатки:
-высокие требования к руководству, который должен быть подготовлен
всесторонне для обеспечения руководства по всем функциям управления;
-возможно возникновение информационных перезагрузок.
В организации различают следующие функции управления:
общее руководство, которое осуществляет генеральный директор предприятия.
Генеральный директор предприятия в соответствии с принципом единоначалия
осуществляет общее руководство и несет всю полноту ответственности за
деятельность предприятия. Ему непосредственно подчиняются следующие
функциональные органы предприятия: главная бухгалтерия, управляющий;
- управляющий бизнес-центра - обеспечение дохода собственника
недвижимости от сдачи в аренду офисных площадей, увеличение рыночной стоимости
объекта недвижимости, содержание объекта недвижимости в порядке, своевременная
его профилактика, предоставление арендаторам качественных услуг, взаимодействие
с органами власти.
Рис. 1.1. Структура управления ООО «Ай Би Эстейт» в бизнес-центре «МИР»
1.4 Технико-экономические
и финансовые показатели и их анализ
недвижимость арендный ставка ценовой
Все
хозяйственные операции за отчетный период организации при применении упрощенной
системы налогообложения отражаются в Книге учета доходов и расходов. В Книге
учета доходов и расходов отражаются только те доходы и расходы, которые
учитываются при определении налоговой базы по единому налогу. Форма и порядок
ее ведения утверждены приказом Минфина России от 31 декабря 2008 г. N 154н [6].
Приказ Минфина России от 31 декабря 2008 г. N 154н вступил в силу 4 апреля 2009
года. Книга учета доходов и расходов заполняется в единственном экземпляре. На
каждый новый налоговый период (год) открывается новая Книга учета (п. 1.4
Порядка, утвержденного приказом Минфина России от 31 декабря 2008 г. N 154н).
Книгу учета доходов и расходов ведется в электронном виде (п. 1.4 Порядка,
утвержденного приказом Минфина России от 31 декабря 2008 г. N 154н) [6]. Книга
учета доходов и расходов должна быть прошнурована и пронумерована. На последней
странице пронумерованной и прошнурованной налогоплательщиком Книги учета
доходов и расходов указывается количество содержащихся в ней страниц, которое
подтверждается подписью руководителя организации, скрепляется печатью
организации, а также заверяется подписью должностного лица налогового органа и
скрепляется печатью налогового органа до начала ее ведения. Исправление ошибок
в Книге должно быть обосновано и подтверждено подписью руководителя организации
с указанием даты исправления и печатью организации. Разъяснения по внесению
исправлений в книгу учета доходов и расходов при применении упрощенной системы
налогообложения приведены в Письме Минфина Российской Федерации от 15 декабря
2003 года №04-02-05/1/108 «О внесении исправлений в налоговые регистры
организациями и предпринимателями, применяющими упрощенную систему
налогообложения» [12].
В табл. 1.2 приведены доходы и расходы организации за 3 года. Темп роста
отражает интенсивность изменения уровней ряда динамики и показывает, во сколько
раз увеличился уровень по сравнению с базисным, а в случае уменьшения - какую
часть базисного уровня составляет сравниваемый уровень.
Таблица 1.2 Основные финансовые результаты ООО «Ай Би Эстейт», тыс. руб.
|
|
Значение показателя
|
|
2009г.
|
2010г.
|
2011г.
|
|
Доходы, тыс. руб.
|
Расходы, тыс. руб.
|
Доходы, тыс. руб.
|
Темп роста, %
|
Расходы, тыс. руб.
|
Темп роста, %
|
Доходы, тыс. руб.
|
Темп роста, %
|
Расходы, тыс. руб.
|
Темп роста, %
|
|
Январь
|
3 727,0
|
983,8
|
3 969,3
|
106,50
|
1 608,5
|
61,85
|
4 051,9
|
102,08
|
680,8
|
111,89
|
|
Февраль
|
3 827,1
|
1 953,8
|
3 941,2
|
102,98
|
1 277,9
|
65,41
|
3 461,5
|
87,83
|
2 144,7
|
167,82
|
|
Март
|
3 797,3
|
1 689,9
|
3 896,5
|
102,61
|
1 794,6
|
106,19
|
3 666,8
|
94,10
|
1 939,5
|
108,08
|
|
Итого I
квартал
|
11 351,5
|
4 627,4
|
11 807,1
|
104
|
4 681,1
|
79,55
|
11 180,1
|
94,69
|
4 765,1
|
129,45
|
|
Апрель
|
3 845,6
|
1 673,9
|
3 874,2
|
100,74
|
1 853,9
|
110,54
|
4 021,9
|
103,81
|
1 855,2
|
100,26
|
|
Май
|
3 886,8
|
1 439,7
|
3 906,4
|
100,50
|
1 595,9
|
110,85
|
3 440,3
|
88,07
|
1 717,9
|
107,65
|
|
Июнь
|
3 836,0
|
1 342,1
|
3 953,5
|
103,06
|
1 328,6
|
98,99
|
4 583,6
|
115,94
|
1 743,1
|
131,20
|
|
Итого II
квартал
|
11 568,4
|
4 455,7
|
11 734,1
|
101,43
|
4 774,8
|
107,16
|
12 045,8
|
102,65
|
5 316,2
|
111,34
|
|
Итого за полугодие
|
22 919,9
|
9 083,1
|
23 541,2
|
102,7
|
8 455,8
|
93
|
23 225,9
|
98,66
|
10 081,3
|
119,22
|
|
Июль
|
3 866,6
|
1 385,8
|
3 981,7
|
102,98
|
1 395,1
|
100,67
|
4 372,8
|
109,82
|
1 834,5
|
131,50
|
|
Август
|
3 928,8
|
1 300,6
|
3 985,4
|
101,44
|
1 340,9
|
103,11
|
4 142,5
|
103,94
|
1 668,9
|
124,46
|
|
Сентябрь
|
3 895,2
|
1 543,2
|
3 976,3
|
102,08
|
1 735,7
|
112,47
|
4 184,9
|
105,25
|
1 726,7
|
99,48
|
|
Итого III
квартал
|
11 690,6
|
4 229,6
|
11 943,4
|
102,16
|
4 471,7
|
105,7
|
12 700,2
|
106,33
|
5 230,2
|
116,96
|
|
Итого за 9 месяцев
|
34 610,5
|
13 312,7
|
35 484,6
|
102,52
|
12 927,6
|
97,11
|
35 926,1
|
101,24
|
15 311,5
|
118,44
|
|
Октябрь
|
3 826,7
|
1 746,5
|
3 497,1
|
91,39
|
1 457,9
|
83,48
|
3 989,7
|
114,09
|
1 811,7
|
124,26
|
|
Ноябрь
|
3 903,0
|
1 847,5
|
3 564,0
|
91,31
|
1 546,5
|
83,71
|
3 732,1
|
104,72
|
1 784,4
|
115,38
|
|
Декабрь
|
3 935,6
|
2 103,7
|
3 791,1
|
96,33
|
2 058,9
|
97,88
|
4 883,5
|
128,82
|
2 914,9
|
141,57
|
|
Итого IV
квартал
|
11 665,2
|
5 697,8
|
10 852,1
|
93,03
|
5 063,5
|
88,87
|
12 605,3
|
116,15
|
6 511,1
|
128,59
|
|
Итого за год
|
46 275,8
|
19 010,4
|
46 336,7
|
100
|
17 991,1
|
94,64
|
48 531,4
|
21 822,6
|
121,29
|
В табл. 1.3 приведены финансовые результаты деятельности ООО «Ай Би
Эстейт» за период с 2009г. по 2011г.
Таблица 1.3 Основные финансовые результаты деятельности, тыс. руб.
|
Показатели
|
Обозначение
|
Значение показателей
|
|
|
2009г.
|
2010г.
|
2011г.
|
|
|
Абсолютная величина
|
Абсолютная величина
|
Темп роста, %
|
Абсолютная величина
|
Темп роста, %
|
|
Выручка (нетто) от продажи товаров, продукции, работ, услуг
|
В
|
27265
|
28345
|
103,9
|
26709
|
94,2
|
|
Себестоимость проданных товаров, продукции, работ, услуг
|
С
|
(19010)
|
(17991)
|
94,6
|
(21823)
|
121,3
|
|
Валовая прибыль
|
-
|
8255
|
10354
|
125,4
|
4886
|
47,2
|
|
Прибыль от продаж
|
ПП
|
8255
|
10354
|
125,4
|
4886
|
47,2
|
|
Прибыль до налогообложения
|
ПН
|
8255
|
10354
|
125,4
|
4886
|
47,2
|
|
Текущий налог на прибыль (10%)
|
-
|
(825,5)
|
(1035,4)
|
125,4
|
(488,6)
|
47,2
|
|
Чистая прибыль (убыток) отчетного периода
|
ЧП
|
7429,5
|
9318,6
|
125,4
|
4397,4
|
47,2
|
Основные технико-экономические показатели ООО «Ай Би Эстейт» приведены в
табл. 1.4.
Таблица 1.4 Основные технико-экономические показатели
|
Показатели
|
Обозначение
|
Единица измерения
|
Источник данных или формула расчета
|
Значение показателей
|
|
|
|
|
2009г
|
2010г.
|
2011г.
|
|
|
|
|
Абсолютная величина
|
Абсолютная величина
|
Темп роста, %
|
Расчет
|
Абсолютная величина
|
Темп роста, %
|
|
Уставный капитал
|
УК
|
тыс. руб.
|
Баланс
|
10
|
10
|
100
|
-
|
10
|
100
|
|
Валюта баланса
|
ВБ
|
тыс.руб.
|
Баланс
|
1227,1
|
1563
|
127,4
|
-
|
1750
|
111,9
|
|
Оборотные активы
|
ОА
|
тыс. руб.
|
Баланс
|
1227,1
|
1563
|
127,4
|
-
|
1750
|
111,9
|
|
Запасы
|
З
|
тыс.руб.
|
Баланс
|
105,7
|
218,9
|
207,1
|
-
|
284
|
77
|
|
Денежные средства
|
ДС
|
тыс. руб.
|
Баланс
|
689,3
|
456,2
|
66,2
|
-
|
798
|
174,9
|
|
Дебиторская задолженность
|
ДЗ
|
тыс. руб.
|
Баланс
|
432,1
|
887,8
|
205,5
|
-
|
93
|
10,5
|
|
Собственные средства
|
СС
|
тыс.руб.
|
Баланс
|
221
|
337,6
|
152,7
|
-
|
494
|
146,3
|
|
Заемные средства
|
ЗС
|
тыс.руб.
|
Баланс
|
1006,1
|
1225,4
|
121,8
|
-
|
1256
|
102,5
|
|
Среднегодовая величина собственного капитала
|
|
тыс.руб.
|
0,5*(СКн+СКк)*
|
219,5
|
279,3
|
127,2
|
0,5*(218+221)
|
415,8
|
148,9
|
|
Среднегодовая стоимость активов
|
__ А
|
тыс. руб.
|
0,5* (Ан+ Ак)
|
1165
|
1395
|
119,7
|
0,5*(1103+1227)
|
1656
|
112,2
|
|
Среднегодовая стоимость оборотных активов
|
|
тыс.руб.
|
0,5*(ОАн+ОАк)
|
1223,2
|
1395,1
|
114
|
0,5*(1219,3+1227,1)
|
1656,5
|
118,7
|
|
Среднесписочная численность работников
|
Ч
|
чел.
|
Табель учета раб. времени
|
6
|
6
|
100
|
-
|
6
|
100
|
|
Среднемесячная заработная плата одного работника
|
ЗП
|
тыс. руб./мес.
|
Табель учета раб. времени
|
22
|
27
|
122,7
|
130/6
|
32
|
118,5
|
|
Прибыль от продаж на рубль зарплаты
|
ППз
|
руб./ руб.
|
ПП /(Ч*ЗП*12)
|
5,21
|
5,33
|
102,3
|
8255/(6*27*12)
|
2
|
39,8
|
|
Прибыль от продаж на одного работника
|
ППр
|
тыс. руб./ чел.
|
ПП/Ч
|
1375,8
|
1725,6
|
125,4
|
8255/6
|
814
|
47,2
|
В табл. 1.5. приведены финансовые показатели ООО «Ай Би Эстейт».
Таблица 1.5 Финансовые показатели ООО «Ай Би Эстейт»
|
Показатели
|
Ед. измерения
|
Формула расчета
|
Нормативное значение
|
Фактическое значение
|
|
|
|
|
2009г.
|
2010г.
|
2011г.
|
|
Показатели платежеспособности
|
|
Абсолютная ликвидность
|
-
|
0,2≤Кал≤0,50,70,40,6
|
|
|
|
|
|
Текущая ликвидность (общий коэффициент покрытия)
|
-
|
1≤Ктл≤21,21,31,4
|
|
|
|
|
|
Показатели финансовой устойчивости
|
|
Коэффициент автономии
|
-
|
К≥0,50,20,20,3
|
|
|
|
|
|
Коэффициент обеспечения собственными оборотными средствами
|
-
|
К≥0,50,20,20,3
|
|
|
|
|
|
Соотношение дебиторской и кредиторской задолженности
|
-
|
К<10,40,70,1
|
|
|
|
|
|
Показатели деловой активности
|
|
Период оборота оборотных активов
|
дни
|
16,417,922,6
|
|
|
|
|
|
Период оборота собственного капитала
|
дни
|
2,93,65,7
|
|
|
|
|
|
Период оборота дебиторской задолженности
|
дни
|
5,811,41,3
|
|
|
|
|
|
Показатели рентабельности
|
|
Рентабельность продаж по прибыли от продаж
|
%
|
30,336,518,3
|
|
|
|
|
|
Рентабельность активов по прибыли от продаж
|
%
|
708,6742,2295
|
|
|
|
|
|
Рентабельность активов по прибыли до налогообложения
|
%
|
708,6742,2295
|
|
|
|
|
|
Рентабельность собственного капитала по прибыли от продаж
|
%
|
3760,83707,11175,1
|
|
|
|
|
Коэффициент абсолютной ликвидности характеризует способность организации
погашать текущие обязательства за счёт денежных средств. На 2009г. и 2011г.
значение этого коэффициента выше границы рекомендуемого интервала и составляет
0,7 и 0,6, что свидетельствует о хорошей платежеспособности организации. В
2010г. значение коэффициента находиться в пределах нормы и равен 0,4.
Показатель текущей ликвидности находиться в пределах рекомендуемого значения -
на 2009г. 1,2, на 2010г. 1,3, на 2011г. составляет 1,4, что указывает на то,
что оборотных средств достаточно для покрытия краткосрочных обязательств.
Коэффициент автономии показывает долю собственных средств в общем объеме
ресурсов предприятия. С 2009г. по 2011г. наблюдается рост данного показателя,
однако, предприятие находится в сильной зависимости от внешних источников
финансирования. Кроме того, чем выше значение коэффициента, тем более
предприятие финансово устойчиво и тем менее зависимо от сторонних кредитов.
Коэффициент обеспеченности собственными оборотными средствами показывает
наличие собственных оборотных средств, необходимых для финансовой устойчивости.
Коэффициент обеспеченности собственными оборотными средствами в 2009г., 2010г.
и 2011г. равен 0,2, 0,2 и 0,3 соответственно, что свидетельствует о том, что у
предприятия есть возможность в проведении независимой финансовой политики.
Соотношение дебиторской и кредиторской задолженности находиться в пределах
рекомендуемого значения, что свидетельствует о способности предприятия погасить
кредиторскую задолженность при условии благоприятных расчётов с предприятием
его дебиторов.
Период оборота собственного капитала показывает скорость оборота
собственного капитала, что для акционерных обществ означает активность средств,
которыми рискуют акционеры. Резкий рост коэффициента отражает повышение уровня
продаж, которое должно в значительной степени обеспечиваться кредитами и,
следовательно, снижать долю собственников в общем капитале предприятия. Период
оборота дебиторской задолженности показывает расширение или снижение
коммерческого кредита, предоставляемого предприятием. Значение этого
коэффициента с каждым годом растет, что означает сокращение задолженности
арендаторов перед арендодателем.
Рекомендуемое значение рентабельности продаж по прибыли от продаж по
данным налоговых инспекций в 2009 г. равно 10,4%, в 2010 г. 11,8%. Показатель
рентабельности продаж по прибыли от продаж показывает сколько прибыли
приходиться на единицу реализуемой услуги. Рост показателя является следствием
роста цен при постоянны затратах на оказание услуг или снижение затрат при
постоянных ценах. Рекомендуемое значение рентабельности активов по прибыли от
продаж по данным налоговых инспекций в 2009 г. равно 3,9%, в 2010 г. 4,1%. Показывает
сколько приходится прибыли на каждый рубль, вложенный в имущество организации.
1.5 Организация
бухгалтерского учета и налогообложения
Общество с ограниченной ответственностью «Ай Би Эстейт» является
юридическим лицом - коммерческой организацией, уставный капитал которого
составляет 10 000 руб.
Общество действует на основании Федерального закона «Об обществах с
ограниченной ответственностью» [3], настоящего Устава и учредительного договора
от 25.09.2001 года.
Учетная политика ООО «Ай Би Эстейт» приведена в табл. 1.6. Учетная
политика утверждается приказом генерального директора и не подлежит изменению в
течение отчетного года, кроме случаев изменения законодательства РФ, изменения
нормативных документов по бухгалтерскому учету, смены собственников предприятия,
реорганизации предприятия. Разработанные таким образом и утвержденные учетной
политикой способы и приемы являются обязательными для ведения бухгалтерского
учета не только внутри предприятия, но и для проверяющих, контролирующих их
деятельность служб и в первую очередь налоговых органов.
Таблица 1.6 Учетная политика ООО «Ай Би Эстейт»
|
Элементы учетной политики организации
|
Выбор
|
|
Организационно-технические вопросы
|
|
Организация учетной работы
|
Бухгалтер, состоящий в штате организации
|
|
Организационная структура бухгалтерии в зависимости от
организационной структуры организации
|
Линейная
|
|
Рабочий план счетов
|
План счетов, утвержденный приказом Минфина РФ от 31.10.2000
г. №94н
|
|
Организация документооборота
|
Графики движения документов в организации и сдачи их в
бухгалтерию. Перечни лиц, имеющих право подписи первичных документов
|
|
|
Формы первичных документов
|
Унифицированные формы документов и формы документов, для
которых нет унифицированных форм, разработанные самим предприятием в
соответствии с общими принципами формирования документов
|
|
|
Форма бухгалтерского учета и технология обработки учетной
информации
|
Автоматизированная
|
|
|
Внутренняя отчетность организации
|
Положение о внутренней отчетности организации (состав и
формы внутренней отчетности, периодичность, сроки составления, лица,
ответственные за составление, пользователи)
|
|
|
Другие решения, необходимые для организации и ведения учета
|
Положения по организации и ведению учета на разных участках
работы бухгалтерии
|
|
|
Учет выручки от продаж
|
Ведется на счет 90
|
|
|
Затраты на ремонт ОС
|
Включаются в себестоимость услуг отчетного периода
|
|
|
Учет расходов на продажу
|
Ведется на счете 26
|
|
|
Управленческие расходы, учитываемые по дебету счета 26
«Общехозяйственные расходы», по окончании отчетного периода
|
Не распределяются между объектами и списываются
непосредственно в дебет счета 90 «Реализация продукции (работ, услуг)»
|
|
|
Выручка от оказания услуг признается
|
По мере оказания услуг
|
|
|
Поступления, получение которых связано с деятельностью по
предоставлению за плату во временное владение и пользование активов
предприятия признавать
|
Доходами от обычных видов деятельности
|
|
|
Признание доходов (расходов) от оказания услуг
|
По мере оказания услуг. По завершении оказания услуг
|
|
|
Порядок признания управленческих и коммерческих расходов
|
В конце месяца полностью списывается на счет 90
|
|
|
|
|
|
Ведение бухгалтерского учета регламентируется законами, нормативными
актами и положениями по бухгалтерскому учету. Ответственность за организацию
бухгалтерского учета на предприятии и соблюдение законодательства при
выполнении хозяйственных операций несет руководитель организации. В организации
числится 6 человек. В соответствии с Федеральным законом от 21.11.1996 №129-ФЗ
«О бухгалтерском учете» [4], бухгалтерский учет в организации осуществляться
бухгалтерами, состоящим в штате предприятия. Бухгалтерия предприятия
обеспечивает обработку документов, ведение книги доходов и расходов,
составление отчетности. Главный бухгалтер подписывает совместно с руководителем
организации документы, служащие основанием для приемки и выдачи денежных
средств, а также документы, связанные с расчетными и денежными обязательствами.
Указанные документы без подписи главного бухгалтера считаются недействительными
и к исполнению не принимаются. Бухгалтерский учет ведется компьютерным способом
с применением программы 1С: Предприятие 8.2. и Microsoft Excel.
Главный бухгалтер назначается на должность (освобождается от должности)
руководителем организации и подчиняется непосредственно ему. В своей работе он
руководствуется нормативными документами, а также несет ответственность за
соблюдение содержащихся в них единых правовых и методологических принципов
ведения бухгалтерского учета. ООО «Ай Би Эстейт» использует автоматизированную
форму учета. При автоматизированной форме бухгалтерский учет осуществляется
путем внесения корреспонденций счетов непосредственно в журнал хозяйственных
операций либо заполнением первичных учетных документов. При проведении
заполненных первичных учетных документов происходит автоматическое формирование
корреспонденции счетов. Также реализована возможность получения печатной формы
созданного документа. Существует возможность формирования проводок путем
введения так называемых «типовых операций», в основу которых положена типовая
корреспонденция счетов. Автоматизированная форма учета позволяет проводить
большое число различных операции, в частности начисление заработной платы,
отчислений на социальные нужды, закрытие месяца и другие операции. Регистры
бухгалтерского учета, такие как оборотные и шахматные ведомости, журналы-ордера
и ведомости к ним, формы бухгалтерской и налоговой отчетности могут быть
сформированы за любой отрезок времени.
Основной источник информации в программах автоматизации бухгалтерского
учета - журнал хозяйственных операций. Данные вводятся в журнал в виде
первичных документов, проводок или типовых операций, перечень которых можно
изменить и дополнить. Основными достоинствами данной формы учета является:
простота регистрации хозяйственных операций;
однократное введение первичной документации;
быстрота обеспечения пользователей необходимой информацией;
возможность получения в любой момент времени всей необходимой информации
с целью проведения анализа деятельности организации и принятия оптимальных
управленческих решений.
Грамотно обработанная и систематизированная информация является в
определенной степени гарантией эффективного управления предприятием. Если не
брать во внимание умышленные противоправные действия, то все ошибки
бухгалтерского учета совершаются либо по небрежности, либо из - за незнания
особенностей ведения бухгалтерского учета в России. Такие ошибки часто
возникают при ручном учете или при использовании устаревших или нелегальных
версий программных комплексов.
Документирование хозяйственных операций определено Федеральным законом от
21.11.1996 №129-ФЗ «О бухгалтерском учете» [4], Положением по ведению
бухгалтерского учета и бухгалтерской отчетности в Российской Федерации [7].
Порядок создания, принятия и отражения в бухгалтерском учете, а также хранение
первичных документов регламентируется Положением о документах и
документообороте в бухгалтерском учете.
Первичные документы фиксируют факт совершения хозяйственной операции. Они
должны содержать достоверные данные и оформляться своевременно, в момент
совершения операции, а если это не представляется возможным - непосредственно
после её окончания. Первичные документы принимаются к учету, если они
составлены по форме, содержащейся в альбомах унифицированных форм первичной
учетной документации. Движение первичных документов с момента их создания, получения
от других организаций, принятия к учету, обработки до передачи в архив
представляет собой документооборот.
Первичные документы подлежат обязательной передаче в архив. Сроки
хранения документов в архиве организации определяются правилами, установленными
Главным архивным управлением (главные книги и отчеты, вспомогательные регистры,
первичные документы -5 лет, лицевые счета работников -75 лет). Согласно пункту
1 ст. 9 гл. 2 Федерального закона от 21.11.1996 №129-ФЗ «О бухгалтерском учете»
[4] все хозяйственные операции, проводимые организацией, должны оформляться
оправдательными документами. Эти документы служат первичными учетными
документами, на основании которых ведется бухгалтерский учет. Первичные
документы, подшиваются и хранятся в соответствующих папках.
Первичный учет документации по учету кассовых операций:
приходный кассовый ордер - форма КО-1;
расходный кассовый ордер - форма КО-2;
журнал регистрации приходных и расходных кассовых документов - форма
КО-3;
авансовый отчет - форма АО-1;
кассовая книга - форма КО-4;
накладная - форма ТОРГ-12;
счет-фактура;
акт выполненных работ;
банковские выписки.
Первичный учет численности персонала осуществляется на основании
документов:
приказ о приеме на работу - форма Т-1;
личная карточка - форма Т-2;
приказ о предоставлении отпуска - формаТ-6;
приказ о прекращении трудового договора (при увольнении) - форма Т-8.
Первичная документация по учету рабочего времени и расчетов с персоналом
по оплате труда:
расчетно-платежная ведомость - форма Т-49.
В бухгалтерской деятельности особенно важно широкое применение
бухгалтерских пакетов и программ, благодаря внедрению которых повышается
оперативность обработки данных и достоверность деловой информации, принимаются
более объективные финансовые и управленческие решения. Все это позволяет
постоянно улучшать качество предоставляемых услуг. Разработка и внедрение
автоматизированной системы позволила сотрудникам организации работать в едином
информационном пространстве, информация доступна в реальном времени. Снизилась
доля ручного труда в деятельности сотрудников, а точность и достоверность
данных при этом повысились.
В табл. 1.7. приведены расходы по обычным видам деятельности в динамике
за 3 года.
Таблица 1.7 Расходы по обычным видам деятельности, тыс.руб.
|
Элементы затрат
|
Фактические затраты
|
|
2009г.
|
2010г.
|
2011г.
|
|
Абсолютная величина
|
Абсолютная величина
|
Абсолютная величина
|
|
Материальные затраты
|
16793,4
|
15129,1
|
18241,6
|
|
Затраты на оплату труда
|
1560
|
1920
|
2280
|
|
Отчисления на социальные нужды
|
657
|
942
|
1301
|
|
Итого
|
19010,4
|
17991,1
|
21822,6
|
Для наглядности структура затрат приведена на рис. 1.2. за 2009г., рис.
1.3. за 2010г. и рис. 1.4. за 2011г. в виде круговой диаграммы.
Рис. 1.2. Структура затрат на 2009г., тыс. руб.
Рис. 1.3. Структура затрат на 2010г., тыс. руб.
Рис. 1.4. Структура затрат на 2011г., тыс. руб.
ООО «Ай Би Эстейт» использует упрощенную систему налогообложения.
Упрощенная система налогообложения - специальный налоговый режим, направленный
на снижение налоговой нагрузки на субъекты малого бизнеса и среднего бизнеса, а
также облегчения и упрощения ведения налогового учёта и бухгалтерского учёта.
Упрощенная система налогообложения введена Федеральным законом от 24.07.2002 N
104-ФЗ [5]. Сущность единого налога, уплачиваемого в связи с применением
упрощенной системы налогообложения организациями, заключается в том, что он
заменяет уплату целого ряда налогов, устанавливаемых общим налоговым режимом.
Организация освобождается от обязанности по уплате:
налога на прибыль организаций;
налога на добавленную стоимость;
налога на имущество организаций.
Налогоплательщики, применяющие упрощенную систему налогообложения, не
освобождаются от исполнения обязанностей налоговых агентов - они обязаны
уплачивать в бюджет налог на доходы физических лиц.
Организация имеет право перейти на упрощенную систему налогообложения,
если по итогам 9 месяцев предыдущего года доходы, определяемые в соответствии
со статьей 248 Налогового кодекса РФ, не превысили 45 млн. рублей [2].
Объектом налогообложения в ООО «Ай Би Эстейт» являются доходы,
уменьшенные на величину расходов, налоговая ставка устанавливается в размере 10
процентов [14].
Налогоплательщики, выбравшие в качестве объекта
налогообложения доходы, уменьшенные на величину расходов, по итогам каждого
отчетного периода исчисляют сумму авансового платежа по налогу, исходя из ставки
налога и фактически полученных доходов, уменьшенных на величину расходов,
рассчитанных нарастающим итогом с начала налогового периода до окончания
соответственно первого квартала, полугодия, девяти месяцев с учетом ранее
исчисленных сумм авансовых платежей по налогу. Расходами признаются затраты
после их фактической оплаты (за поставку товаров, выполнение работ, оказание
услуг, передачу имущественных прав).
Уплата
налога и авансовых платежей по налогу производится по месту нахождения
<consultantplus://offline/ref=420F9529884C764591A3D6684132225DC23DF895C068366F670299799AC72439DF5C43EE6518521854wCD4N>
организации. Налог, подлежащий уплате по истечении налогового периода,
уплачивается не позднее срока, установленного для подачи налоговой декларации <consultantplus://offline/ref=420F9529884C764591A3D6684132225DC23DFB92C460346F670299799AC72439DF5C43EE6518521B55wCDBN>
за соответствующий налоговый период пунктами 1
<consultantplus://offline/ref=420F9529884C764591A3D6684132225DC23DF896CB673A6F670299799AC72439DF5C43EE6518511C54wCD0N>
и 2 статьи 346.23
<consultantplus://offline/ref=420F9529884C764591A3D6684132225DC23DF896CB673A6F670299799AC72439DF5C43EE6518511C54wCD7N>
настоящего Кодекса [2]. Авансовые платежи по налогу уплачиваются не позднее
25-го числа первого месяца, следующего за истекшим отчетным периодом.
Суммы налога зачисляются на счета органов Федерального казначейства для
их последующего распределения в бюджеты всех уровней в соответствии с бюджетным
законодательством Российской Федерации.
Налогоплательщики
- организации по истечении налогового периода представляют налоговую декларацию
в налоговые органы по месту своего нахождения. Налоговая декларация по итогам
налогового периода
<consultantplus://offline/ref=420F9529884C764591A3D6684132225DC23DF896CB673A6F670299799AC72439DF5C43EE6518511D5CwCD6N>
представляется налогоплательщиками-организациями не позднее
<consultantplus://offline/ref=420F9529884C764591A3D6684132225DC23DF895C560306F670299799AC72439DF5C43EE651B52w1DDN>
31 марта года, следующего за истекшим налоговым периодом. Форма
<consultantplus://offline/ref=420F9529884C764591A3D6684132225DC23DFB92C460346F670299799AC72439DF5C43EE6518521B55wCDBN>
налоговой декларации и порядок
<consultantplus://offline/ref=420F9529884C764591A3D6684132225DC23DFB92C460346F670299799AC72439DF5C43EE6518521B5DwCD3N>
ее заполнения утверждаются Министерством финансов Российской Федерации.
Налогоплательщики обязаны вести учет доходов и расходов для целей исчисления
налоговой базы по налогу в книге учета доходов и расходов организаций,
применяющих упрощенную систему налогообложения, форма и порядок заполнения
которой утверждаются Министерством финансов Российской Федерации.
Вопрос о том, стоит ли применять упрощенную систему налогообложения или
обычную систему налогообложения, решается на основе обычного критерия -
экономической выгодности - путем взвешивания достоинств и недостатков УСН в
каждом конкретном случае.
Плюсы:
- при УСН организация освобождается от уплаты НДС, налога на прибыль и
налога на имущество организации. Вместо этих налогов выплачивает единый налог,
составляющий 10% [14];
при использовании УСН сокращаются расходы на налогообложение;
используя УСН, организация подает вместо четырех налоговых декларации,
всего одну;
используя УСН, организация освобождается от ведения бухгалтерского учета,
что само по себе ведет к минимизации расходов.
Минусы:
не все организации могут применять упрощенную систему налогообложения;
существует ограничение по сумме дохода. На 2009-2012г. эта цифра
составляет не более 45 млн. рублей.
Значительное упрощение бухгалтерского и налогового учета и отчетности
позволяет налогоплательщику сократить затраты на бухгалтерию - как оплату труда
бухгалтера, так и канцелярские расходы и расходы на автоматизацию учета.
Упрощение налоговых платежей позволяет печатать меньше платежек, реже посещать
банк, не путаться во множестве налоговых кодов. Как показала практика,
многочисленные достоинства упрощенной системы налогообложения сводятся на нет,
одним существенным недостатком, а именно - малые предприятия, использующие
упрощенную систему налогообложения стали невыгодными партнерами для прочих
контрагентов. Происходит это потому, что покупатели продукции малых предприятий
не могут принять к зачету НДС, уплаченный малым предприятием поставщику. Кроме
этого контрагенты субъекта малого предпринимательства вообще не получают
никакого зачета НДС поскольку последний не является плательщиком НДС.
Согласно статье 313 главы 25 Налогового кодекса Российской Федерации
налоговый учет - система обобщения информации для определения налоговой базы по
налогу на прибыль организаций на основе данных первичных документов,
сгруппированных в соответствии с порядком, предусмотренным НК РФ [2]. В общем
виде налоговый учет представляет собой упорядоченную систему сбора, регистрации
и обобщения информации, необходимой для обеспечения эффективного и прозрачного
процесса расчета налогов в их взаимосвязи и составления налоговой отчетности в
установленном законодательством порядке.
Для правильного понимания налогового учета необходимо
осознавать важную роль бухгалтерского учета. Официальный бухгалтерский учет в
Российской Федерации служит инструментом финансового регулирования и проведения
единой финансовой (и налоговой) политики, обеспечивающим реализацию
конституционного права на информацию в сфере предпринимательской деятельности и
экономики, основанной на принципах юридического равенства сторон и договорных
отношениях, конкуренции и риске. Бухгалтерский учет является одной из
конституционных гарантий единого рынка, единства экономического пространства
как основы конституционного права России. Исходя из этого, федеральный
законодатель вправе возложить на участников предпринимательской и другой
экономической деятельности обязанность по ведению официального бухгалтерского
учета, а определенным участникам рынка и лицам, действующим в официальном
качестве (в том числе налоговым органам), предоставить право доступа к
информации по бухгалтерскому учету и проверки его достоверности.
Налоговый учет использует данные бухгалтерского учета. В то же время налоговый
учет имеет место во всех случаях, когда на налогоплательщика законодательством
о налогах и сборах возложена обязанность ведения своих доходов (расходов) и
иных объектов налогообложения, вне зависимости от того, обязан или нет этот
налогоплательщик вести бухгалтерский учет и достаточно ли налогоплательщику
данных его бухгалтерского учета для решения задач налогового учета.
Основные задачи налогового учета:
формирование полной и достоверной информации о порядке учета для целей
налогообложения хозяйственных операций;
обеспечение информацией, необходимой внутренним и внешним пользователям
налоговой отчетности для контроля за соблюдением налогового законодательства;
предотвращение отрицательных результатов хозяйственной деятельности,
связанных с уплатой налогов (избежание штрафов, переплаты, несоблюдение
принципа оптимальности налогообложения и др.).
Налоговый учет при УСН имеет документы, соответствующие трем уровням:
) Первичные документы;
) Книга учета доходов и расходов (Приложение 1);
Состоит из трех разделов [11]:
-ый раздел - доходы и расходы;
-ой раздел - расчет расходов на приобретение основных средств;
-ий раздел - расчет налоговой базы по единому налогу.
3) Налоговая декларация (Приложение 2).
Перечень уплачиваемых налогов и взносов приводится в табл. 1.8.
Таблица 1.8 Налоги и взносы, уплачиваемые при УСН, %
|
Налоги и взносы
|
Фактические значения
|
|
2009г.
|
2010г.
|
2011г.
|
|
Ставка, %
|
|
ПФР
|
14
|
20
|
26
|
|
ФФОМС
|
-
|
1,1
|
3,1
|
|
ТФОМС
|
-
|
2
|
2
|
|
ФСС
|
-
|
2,9
|
2,9
|
|
Взнос по обязательному соц. страхованию от несчастных случаев
и проф. заболеваний
|
0,1
|
0,1
|
0,1
|
|
НДФЛ
|
13
|
13
|
13
|
|
Налог на прибыль (10%)
|
15
|
10
|
10
|
|
Итого
|
42,1
|
49,1
|
57,1
|
1.6 Выбор темы дипломной работы
В дипломной работе рассматривается тема «Разработка рекомендаций по
ценообразованию арендных ставок на основе расчета средней ставки по сегменту».
Несмотря на то, что темпы роста бизнеса в России значительно ниже
показателей развитых стран, общепризнанным остается тот факт, что аренда офисов
- до сих пор один из самых актуальных вопросов для наших компаний. Эта
проблематика особенно актуальна для мегаполисов. Петербург не является
исключением. Бизнес-центры вводятся в эксплуатацию достаточно медленно и
зачастую не отвечают необходимым требованиям. Вместе с тем порой компаниям
чрезвычайно сложно сориентироваться в многообразии предложений по аренде.
Арендная ставка зачастую зависит от класса бизнес-центра.
Зачастую у арендаторов бизнес-центров нет четкого понимания какие
характеристики должны быть у современного бизнес-центра. Цель данной работы -
показать четкие отличия между классами бизнес-центра, а так же сопоставить цену
с качеством помещения.
2. ТЕОРЕТИЧЕСКАЯ ЧАСТЬ
.1 Бухгалтерский учет аренды на основе ПБУ
Минфином России разработан проект приказа «Об утверждении Положения по
бухгалтерскому учету «Учет аренды» (ПБУ... /2012) [15] и о признании утратившим
силу приказа Министерства финансов Российской Федерации от 17 февраля 1997 года
№15 «Об отражении в бухгалтерском учете операций по договору лизинга».
Общие положения по аренде, такие как договор аренды, объект аренды, срок
аренды, арендная плата и другие, а также положения по специфическим,
специальным видам договоров аренды: прокат, аренда транспортных средств, аренда
зданий и сооружений, аренда предприятий, финансовая аренда - регламентированы в
главе 34 «Аренда» Гражданского кодекса РФ [1]. Некоторые специфические вопросы
учета арендных отношений, такие как отражение затрат арендатора, осуществленных
с целью приведения объекта аренды в состояние, пригодное к использованию; учет
компенсационных платежей (коммунальные платежи и пр.) при учете арендных
платежей у арендатора и арендодателя; вопросы НДС, связанные с получением и
оплатой таких компенсационных платежей, описаны на уровне писем Минфина России
и ФНС России. Однако эти документы являются подзаконными актами и носят
рекомендательный характер. В свою очередь, в международных стандартах
финансовой отчетности учет аренды регулируется IAS 17 «Аренда», также
разработаны толкования IFRIC 4 «Определение наличия в сделке отношений аренды»,
SIC 15 «Операционная аренда - стимулы» и SIC 27 «Оценка существа операций,
облеченных в юридическую форму аренды».
При таком всеобъемлющем регулировании аренды в стандартах МСФО и на фоне
активного сближения правил бухгалтерского учета по российским стандартам (РСБУ)
с правилами МСФО регулирование в России арендных отношений сильно отстает от
других сфер бухгалтерского учета. Все это стало причиной для разработки и
утверждения нового ПБУ «Учет аренды». Установлено, что документ вступает в
силу, начиная с бухгалтерской отчетности 2013 года.
Новое ПБУ устанавливает правила формирования в бухгалтерском учете
информации об активах, обязательствах, доходах, расходах, денежных потоках
организаций, являющихся юридическими лицами по законодательству Российской
Федерации (за исключением кредитных организаций, государственных
(муниципальных) учреждений), выступающих в качестве арендодателей или
арендаторов по договорам аренды (независимо от ее вида). ПБУ применяется для
любых видов аренды, а также для иных договоров, предусматривающих предоставление
за плату имущества во временное пользование. Настоящее Положение не
применяется:
к договорам концессии;
к договорам ссуды и другим договорам по безвозмездной передаче имущества
в пользование.
Аренда - это договор, по которому собственник (арендодатель) передает
арендатору в срочное владение и пользование имущество, необходимое для
самостоятельного ведения хозяйственной деятельности за соответствующую
(арендную) плату [17]. Порядок заключения и исполнения договора аренды
недвижимого имущества регулируется как общими положениями Гражданского кодекса
об аренде, содержащимися в параграфе 1 главы 34 «Аренда», так и правилами
параграфа 4, который регламентирует аренду зданий и сооружений [1]. При этом
приоритет имеют нормы параграфа 4 главы 34 Гражданского кодекса, так как они
являются специальными по отношению к общим нормам. Эти правила полностью
применяются и при аренде отдельных помещений.
Для целей бухгалтерского учета аренда классифицируется в зависимости от
условий договора:
а) арендатором:
на аренду с получением права собственности;
на аренду без получения права собственности.
В соответствии с п. 6 настоящего Положения [15] аренда классифицируется
арендатором как аренда с получением права собственности, а арендодателем - как
аренда с передачей права собственности, если договором аренды предусмотрен
переход права собственности на предмет аренды от арендодателя к арендатору в
конце срока аренды. Аренда классифицируется указанным образом вне зависимости
от того, предполагается ли переход права собственности на основании отдельного
договора купли-продажи или непосредственно на основании договора аренды. Аренда
классифицируется указанным образом также в случаях, когда договором аренды
предусмотрено право арендатора на выкуп предмета аренды в конце срока аренды по
цене значительно ниже рыночной, и отсутствуют основания для того, чтобы
арендатор не воспользовался этим правом.
Аренда не классифицируется как аренда с получением (передачей) права
собственности в случаях, когда для реализации условия договора о переходе к
арендатору в конце срока аренды права собственности на предмет аренды требуется
заключение дополнительного соглашения сторон, и в договоре аренды не определены
существенные условия этого соглашения (например, выкупная цена, причем передача
без выкупной цены не предусмотрена), в результате чего переход к арендатору в
конце срока аренды права собственности на предмет аренды нельзя считать
обеспеченным условиями договора аренды.
б) арендодателем:
на аренду с передачей права собственности;
на аренду с передачей основных выгод и рисков без передачи права
собственности;
на аренду с сохранением основных выгод и рисков.
В соответствии с п. 8. Настоящего Положения аренда классифицируется
арендодателем как аренда с передачей основных выгод и рисков без передачи права
собственности, если она не классифицирована как аренда с передачей права
собственности в соответствии с пунктом 6 настоящего Положения, но при этом
условия договора свидетельствуют о переходе к арендатору основных экономических
выгод и рисков, связанных с использованием предмета аренды [15]. Аренда
классифицируется арендодателем как аренда с сохранением основных выгод и
рисков, если она не классифицирована иным образом в соответствии с пунктами 6
или 8 настоящего Положения.
В целях оценки активов, обязательств, доходов и расходов, признаваемых в
связи с договорами аренды, организация определяет первоначальную стоимость
аренды. Первоначальная стоимость аренды определяется на дату заключения
договора.
Бухгалтерский учет доходов по арендной плате и от оказания дополнительных
услуг ведется на счете 90 «Продажи». В соответствии с пунктом 5 Положения по
бухгалтерскому учету «Доходы организации» (ПБУ 9/99), утвержденного приказом
Минфина РФ от 06.05.1999 г. №32н, эти доходы признаются доходами от обычных видов
деятельности [8].
У организаций, которые занимаются сдачей в аренду офисных помещений на
постоянной основе, как правило, возникают разнообразные расходы. К ним
относятся:
коммунальные расходы (оплата электроэнергии, воды, услуг по
теплоснабжению по договорам, заключенным непосредственно с энергоснабжающими
организациями или в качестве субабонента через присоединенную сеть (ст. 545
Гражданского кодекса РФ)) [1];
расходы (уборка, мелкий ремонт, мытье окон) по содержанию помещений,
сдаваемых в аренду, и помещений общего пользования (холлов, коридоров,
туалетов);
расходы по обслуживанию сложных агрегатов и систем, находящихся в здании
(лифтов, эскалаторов, систем вентиляции, сигнализации и т.д.);
расходы по оплате специализированным организациям за санитарную обработку
помещений (дератизация, дезинфекция, дезинсекция);
расходы по текущему и капитальному ремонту помещений и мест общего
пользования;
расходы на охрану;
другие расходы по содержанию помещений и здания, в котором они находятся.
По договору доверительного управления одна сторона (учредитель
управления) передает другой стороне (доверительному управляющему) на
определенный срок имущество в доверительное управление, а другая сторона
обязуется управлять этим имуществом в интересах учредителя или указанного им
лица (выгодоприобретателя). Согласно ст. 1012 Гражданского кодекса РФ [1]
передача имущества в доверительное управление не влечет за собой перехода права
собственности на это имущество к доверительному управляющему. Объектами
доверительного управления могут быть предприятия и другие имущественные
комплексы, отдельные объекты, относящиеся к недвижимому имуществу, ценные
бумаги. Права, удостоверенные бездокументарными ценными бумагами,
исключительные права и другое имущество. Существенными условиями договора
доверительного управления является:
состав имущества, предаваемого в доверительное управление;
наименование учредителя управления выгодоприобретателя;
размер и форма вознаграждения управляющему;
срок действия договора.
Доверительный управляющий представляет учредителю управления отчет о
своей деятельности в сроки и в порядке, которые установлены договором
доверительного управления. Полученное в доверительное управление помещение
может быть сдано доверительным управляющим в аренду. Поскольку сдача в аренду
имущества является одним из видов деятельности учредителя управления, выручка
от сдачи помещения в аренду по договору доверительного управления признается
доходом от обычных видов деятельности. Согласно Плану счетов для учета доходов
от обычных видов деятельности предназначен счет 90 «Продажи». Расходы,
связанные со сдачей полученного в доверительное управление помещения в аренду,
должны признаваться расходами по обычным видам деятельности. Указанные расходы
отражаются в бухгалтерском учете в сумме фактических затрат.
Доверительный управляющий обязан определять настоящим итогом по
результатам каждого отчетного (налогового) периода доход учредителя
(выгодоприобретателя) доверительного управления, полученный за отчетный
(налоговый) период от имущества, преданного в доверительное управление, и
ежеквартально сообщать учредителю (выгодоприобретателю) о суммах, подлежащих
выплате в качестве дохода учредителя (выгодоприобретателя).
Согласно п. 3 ст. 346.14 Налогового кодека РФ [2] налогоплательщики,
являющиеся участниками договора доверительного управления имуществом, обязаны
применять в качестве объекта налогообложения доходы, уменьшенные на величину
расходов. Вознаграждение, получаемое доверительным управляющим в течение срока
действия договора доверительного управления имуществом, является его доходом от
реализации и подлежит налогообложению в установленном порядке.
Договоры аренды получили широкое распространение в нашей стране в
последние 15 лет. Договор аренды - основной документ, регулирующий отношения
между арендодателей и арендатором при аренде нежилого помещения (здания).
Арендатор - это лицо, которое получает во временное владение и пользование или
во временное пользование имущество и платит за это арендную плату. Арендодатель
- лицо, которое передает имущество арендатору в пользование и получает арендную
плату. В договоре аренды необходимо отразить фактический адрес помещения, его
площадь, а также размер арендной платы. Без указания этих данных он считается
незаключенным (п. 3 ст. 607, п. 1 ст. 654 Гражданского кодекса РФ) [1].
Методика учета операций, связанных с арендой имущества, соответствует
Плану счетов бухгалтерского учета финансово - хозяйственной деятельности
организаций, утвержденному приказом Минфина России от 31 октября 2000 года №94н
[9]. Имущество, передаваемое в текущую аренду, должно отражаться в
бухгалтерском учете арендодателя обособленно.
Предметом деятельности организации является предоставление за плату во
временное пользование (временное владение и пользование) своих активов по
договору аренды, то в соответствии с пунктом 5 Положения по бухгалтерскому
учету «Доходы организации» ПБУ 9 / 99 сумма арендной платы у арендодателя
считается выручкой [8].
Арендная плата за офисное помещение вноситься ежемесячно:
Дебет счета 76 «Расчеты с разными дебиторами и кредиторами» субсчет
«Расчеты с арендатором» Кредит счета 90 «Продажи» субсчет 1 «Выручка» -
начислена сумма арендной платы.
Таким образом, организации, специализирующиеся на предоставлении в аренду
своего имущества, должны рассматривать арендную плату как доход от обычных
видов деятельности и учитывать ее в составе выручки от оказания услуг на счете
90 «Продажи» субсчета 1 «Выручка». По кредиту указанного субсчета собирается
информация о величине арендной платы, причитающейся арендодателю в отчетном
периоде. Расходы, связанные с ее получением, учитываются по дебету счета 90
«Продажи» субсчета 2 «Себестоимость продаж». На основе сопоставления дебетового
оборота по счету 90 «Продажи» субсчета 2 «Себестоимость продаж» и кредитового
оборота по счету 90 «Продажи» субсчета 1 «Выручка» определяется финансовый
результат, который отражается на счете 90 «Продажи» субсчета 9 «Прибыль /
убыток и продаж». По окончании месяца финансовый результат присоединяется к
балансовой прибыли.
В пункте 15 ПБУ 9 / 99 доходы от предоставления имущества в аренду
признаются в бухгалтерском учете исходя из допущения временной определенности
фактов хозяйственной деятельности при соблюдении трех условий:
арендодатель имеет право на получение арендной платы, вытекающее из договора
аренды;
сумма арендной платы может быть определена;
имеется уверенность в том, что в результате начисления арендной платы
произойдет увеличение экономических выгод арендодателя [8].
Если не выполняется хотя бы одно из этих условий, арендодатель принимает
к учету не доходы, а кредиторскую задолженность.
Арендодатель за свой счет силами стороннего подрядчика осуществляет
косметический ремонт помещения. Стоимость текущего ремонта учитывается в
составе расходов по обычным видам деятельности:
Дебет счета 90 «Продажи» субсчета 2 «Себестоимость продаж» Кредит счета
26 «Общехозяйственные расходы» - отражается списание суммы косметического
ремонта.
Дебет счета 76 «Расчеты с разными дебиторами и кредиторами» субсчет
«Расчеты с арендатором» Кредит счета 51 «Расчетный счет» - оплата
косметического ремонта подрядчику.
При заключении договора аренды оплата коммунальных услуг включается в
состав арендной платы. При заключении договора аренды оплата коммунальных услуг
включается в состав арендной платы. Организация-арендодатель, на основании
заключенных договоров с организациями- поставщиками коммунальных услуг,
оплачивает выставленные ими счета-фактуры. А арендатор, перечисляя арендную
плату, автоматически компенсирует арендодателю оплаченные им коммунальные
расходы. Для арендодателя коммунальные расходы, потребляемые арендаторами,
являются расходами по содержанию переданного в аренду имущества и учитываются в
составе затрат арендодателя. Арендная плата с учетом коммунальных платежей, в
соответствии с пунктом 5 ПБУ 9/99, отражается как доход от обычных видов
деятельности и учитывается на счете 90 «Продажи», субсчет 1 «Выручка». А
коммунальные затраты, в соответствии с пунктом 5 ПБУ 10/99, являются расходами
по обычным видам деятельности [10]. В табл. 2.1. отражаются хозяйственные
операции по оплате коммунальных услуг.
Таблица 2.1 Хозяйственные операции по оплате коммунальных услуг
|
Корреспонденция счетов
|
Содержание операции
|
|
Дебет
|
Кредит
|
|
|
76 «Расчеты с разными дебиторами и кредиторами» субсчет
«Расчеты с арендатором»
|
90 «Продажи» субсчет 1 «Выручка»
|
Отражена выручка от предоставления имущества в аренду
|
|
26 «Общехозяйственные расходы»
|
60 «Расчеты с поставщиками и подрядчиками»
|
Отражены расходы арендодателя на оплату коммунальных услуг
|
|
90 «Продажи» субсчет 2 «Себестоимость продаж»
|
26 «Общехозяйственные расходы»
|
Списана стоимость коммунальных услуг
|
|
60 «Расчеты с поставщиками и подрядчиками»
|
51 «Расчетный счет»
|
Оплачены коммунальные услуги
|
В бухгалтерском учете организации санкции за нарушение условий договоров
учитываются по Дебету счета 91 «Прочие доходы и расходы» в корреспонденции со
счетами учета расчетов и до их получения или уплаты отражаются в бухгалтерском
балансе получателя и плательщика соответственно по статьям дебиторов или
кредиторов.
Для целей налогообложения доходы, полученные в виде штрафов, пеней и
(или) иных санкций за нарушение договорных обязательств, а также сумм
возмещения убытков или ущерба, также подлежат включению в состав
внереализационных доходов.
В бухгалтерском учете арендодателя отражение операций по признанию и
предъявлению штрафных санкций отражается следующим образом:
Дебет 76 «Расчеты с разными дебиторами и кредиторами» субсчет «Расчеты с
арендатором» Кредит 91 - 1 «Прочие доходы» - предъявлена претензия арендатору.
Дебет 51 «Расчетный счет» Кредит 76 «Расчеты с разными дебиторами и
кредиторами» субсчет «Расчеты с арендатором» - получены денежные средства по
претензии.
Статьей 606 Гражданского кодекса Российской Федерации [1] установлено,
что по договору аренды арендодатель обязуется предоставить арендатору имущество
за плату во временное владение и пользование или во временное пользование.
Основания для одностороннего расторжения договора аренды арендодателем
установлены статьей 619 ГК РФ. В соответствии с указанной статьей по требованию
арендодателя договор аренды может быть расторгнут судом, когда:
арендатор пользуется имуществом с существенным нарушением условий
договора или назначения имущества либо с неоднократными нарушениями;
арендатор существенно ухудшает имущество;
арендатор более двух раз подряд по истечении установленного договором
срока платежа не вносит арендную плату, кстати, в договоре аренды может быть
установлен и иной срок для досрочного расторжения при невнесении арендной платы
в определенный договором срок, в том числе и однократном (абзац 6 статьи 619 ГК
РФ, пункт 26 Информационного письма Президиума ВАС РФ от 11 января 2002 года
№66 «Обзор практики разрешения споров, связанных с арендой») [13].
арендатор не производит капитального ремонта имущества в установленные
договором аренды сроки, а при отсутствии их в договоре в разумные сроки в тех
случаях, когда в соответствии с законом, иными правовыми актами или договором
производство капитального ремонта является обязанностью арендатора.
Основанием расторжения договора в судебном порядке может служить также
существенное изменение обстоятельств, из которых стороны исходили при
заключении договора (пункт 1 статьи 451 Гражданского кодекса РФ). При этом
существенным является нарушение договора одной из сторон, которое влечет для
другой стороны такой ущерб, что она в значительной степени лишается того, на
что была вправе рассчитывать при заключении договора (пункт 2 статьи 450 ГК РФ)
[1]. Также арендодатель должен учитывать условие статьи 619 ГК РФ, в
соответствии с которым он имеет право требовать досрочного расторжения договора
только после направления арендатору письменного предупреждения о необходимости
исполнения им обязательства в разумный срок. При этом в пунктах 29 и 30
Информационного письма №66 даны следующие разъяснения [13]:
если основанием расторжения договора аренды является неисполнение
арендатором возложенных на него обязанностей, арендодатель до обращения в суд с
иском о досрочном расторжении договора обязан направить арендатору письменное
предупреждение о необходимости исполнения им обязательства в разумный срок
(часть 3 статьи 619 ГК РФ), а также предложение расторгнуть договор (пункт 2
статьи 452 ГК РФ);
необходимым условием удовлетворения иска арендодателя о досрочном
расторжении договора аренды на основании статьи 619 ГК РФ является установление
в ходе судебного разбирательства факта получения арендатором письменного
предупреждения арендодателя о необходимости исполнения договорного
обязательства.
Управляющим организациям крайне важно правильно организовать систему бухгалтерского
учета и налогообложения. Предоставляя помещение, арендодатель заботится об
исправности в нем освещения, рабочем состоянии розеток, теплосети, водопровода
и т.д. Все это необходимо для нормальной работы арендатора. Ведь помимо самого
офиса он нуждается и в коммунальных услугах. Эти услуги включены в стоимость
арендной платы. Организации энерго-, тепло-, водоснабжения на основании
заключенных договоров выставляют счета-фактуры арендодателю. В этом случае
арендодатель сам оплачивает коммунальные услуги по выставленным счетам-фактурам
от специализированных организаций. На рис. 2.1. показано как арендатор,
перечисляя арендную плату, как бы возмещает арендодателю коммунальные расходы.
Рис. 2.1. Возмещение арендодателю коммунальных расходов
Арендная плата с учетом коммунальных платежей отражается как доход от
обычных видов деятельности (п. 5 ПБУ 9/99) и учитывается на счете 90 «Продажи»,
субсчет 90-1 «Выручка». А коммунальные затраты являются расходами по обычным видам
деятельности (п. 5 ПБУ 10/99). В налоговом учете у арендодателя арендная плата
признается доходом от реализации (ст. 249 НК РФ), а оплата коммунальных услуг
на основании выставленных счетов-фактур коммунальными службами на основании п.
5 ст. 254 НК РФ включаются в состав материальных расходов. Согласно п. 3 ст.
271 НК РФ датой получения доходов признается дата оказания услуг, независимо от
фактического поступления денежных средств в их оплату.
Управляющая организация не вправе самостоятельно устанавливать стоимость
ресурса, по которой он будет реализован потребителю, расчет стоимости
коммунального ресурса производится исходя из потребностей другого юридического
лица - ресурсоснабжающей организации, в стоимость тарифа на производство
коммунального ресурса не заложены расходы Управляющей организации.
Рассмотрим хозяйственные операции за ноябрь 2011г. на примере,
приведенного в табл. 2.2.
Таблица 2.2 Хозяйственные операции за ноябрь 2011г.
|
Корреспонденция счетов
|
Сумма, тыс. руб.
|
Содержание операции
|
|
Дебет
|
Кредит
|
|
|
|
76 «Расчеты с разными дебиторами и кредиторами» субсчет
«Расчеты с арендатором»
|
90 «Продажи» субсчет 1 «Выручка»
|
3732,1
|
Отражена выручка от предоставления имущества в аренду
|
|
51 «Расчетный счет»
|
76 «Расчеты с разными дебиторами и кредиторами» субсчет
«Расчеты с арендатором»
|
3296,4
|
Получена выручка от предоставления имущества в аренду
|
|
26 «Общехозяйственные расходы»
|
60 «Расчеты с поставщиками и подрядчиками»
|
1125,7
|
Отражены расходы арендодателя на оплату коммунальных услуг
|
|
90 «Продажи» субсчет 2 «Себестоимость продаж»
|
26 «Общехозяйственные расходы»
|
1125,7
|
Списана стоимость коммунальных услуг
|
|
60 «Расчеты с поставщиками и подрядчиками»
|
51 «Расчетные счета»
|
1125,7
|
Оплачены коммунальные услуги
|
|
26 «Общехозяйственные расходы»
|
60 «Расчеты с поставщиками и подрядчиками»
|
32,1
|
Начислена стоимость работ, услуг по косметическому ремонту
|
|
90 «Продажи» субсчет 2 «Себестоимость продаж»
|
26 «Общехозяйственные расходы»
|
32,1
|
Списана стоимость работ, услуг по косметическому ремонту
|
|
60 «Расчеты с поставщиками и подрядчиками»
|
51 «Расчетные счета»
|
32,1
|
Оплачена стоимость работ, услуг по косметическому ремонту
|
|
26 «Общехозяйственные расходы»
|
60 «Расчеты с поставщиками и подрядчиками»
|
24,5
|
Начислена стоимость приобретенного товара
|
|
90 «Продажи» субсчет 2 «Себестоимость продаж»
|
26 «Общехозяйственные расходы»
|
24,5
|
Списана стоимость приобретенного товара
|
|
60 «Расчеты с поставщиками и подрядчиками»
|
51 «Расчетные счета»
|
24,5
|
Оплачена стоимость приобретенного товара
|
|
26 «Общехозяйственные расходы»
|
60 «Расчеты с поставщиками и подрядчиками»
|
602,1
|
Начислена стоимость работ, услуг поставщикам за Ноябрь
2011г.
|
|
90 «Продажи» субсчет 2 «Себестоимость продаж»
|
26 «Общехозяйственные расходы»
|
602,1
|
Списана стоимость работ, услуг поставщикам за Ноябрь 2011г.
|
|
60 «Расчеты с поставщиками и подрядчиками»
|
51 «Расчетные счета»
|
602,1
|
Оплачена стоимость работ, услуг поставщикам за Ноябрь
2011г.
|
2.2 Анализ существующей системы формирования классов
недвижимости
Сегодня принято классифицировать бизнес-центры по системе ABCD. Как правило, статус делового центра
оказывает существенное влияние на выбор объекта при аренде офисов. Также на
решение в пользу аренды помещения могут повлиять такие частные факторы, как
расположение офиса в центре города, наличие панорамных видов из окон, стоимость
аренды и многое другое. Существует несколько классификаций, однако критерии
оценки бизнес-центров могут быть размытыми или не совпадать у разных компаний.
Чаще всего используется классификация бизнес-центров, составленная Гильдией
Управляющих и Девелоперов Санкт-Петербурга [16].
Центры класса «А», как правило, должны располагаться в центре города,
однако этот критерий в настоящее время в применении к Санкт-Петербургу
используется достаточно гибко. Исторический центр города представляет мало
возможностей для комплексной застройки. Но в любом случае бизнес-центр класса
«А» должен находиться недалеко от центра, обладать хорошей транспортной и
социальной инфраструктурой, в ближайшем окружении должны располагаться
административные центры и торговые комплексы. Немаловажным фактором являются
видовые характеристики офисных помещений. В комплексах класса «А» особое
внимание уделяется качеству строительных и отделочных материалов. Офисные
помещения должны обладать эффективными планировками. В деловом комплексе
арендатор должен не просто иметь возможность эксплуатировать комфортное во всех
отношениях офисное помещение. Обязательным является наличие таких опций, как
конференц-зал, рестораны и кафе, охраняемая надземная парковка или подземный
паркинг, а также прочие объекты городской инфраструктуры, такие как магазины,
парикмахерские, банки. Управлять бизнес-центром класса «А» должна
профессиональная управляющая организация, имеющая опыт в управлении
недвижимостью и предоставлении услуг по аренде помещений. Нередко собственник
здания создает собственную управляющую организацию, которая впоследствии
осуществляет управление и эксплуатацию здания. Очень важную роль играют
инженерные системы. Здание должно иметь автономную систему отопления и
высокоэффективную систему кондиционирования с возможностью индивидуальной
вентиляции офисных помещений. Все инженерные системы должны автоматически
управляться с единого диспетчерского пульта. Центр класса «А» должен обладать
современными и эффективными системами видеонаблюдения и охранной сигнализацией.
Деловой комплекс должен обладать современными средствами оптико-волоконных
телекоммуникаций, телефонной связи и передачи данных. Пассажирские и грузовые
лифты должны соответствовать международным стандартам скорости и
грузоподъемности. Аренда офисов - это также и вопрос безопасности, поэтому в
комплексах класса «А» этому вопросу уделяется особое внимание. Так, системы
пожарной безопасности должны быть предварительно испытаны и обладать
необходимыми сертификатами. Необходимо обеспечить совместимость системы
пожарной безопасности с другими технологическими системами комплекса. Системы
пожарной безопасности должны обнаруживать возгорание на самой ранней стадии, а
для этого требуется поддержание нормального уровня температуры и влажности.
Необходимо также обеспечить отфильтровывание пыли из атмосферы, чтобы повысить
чувствительность датчиков и дымовых извещателей. На рис. 2.2. показано
распределение бизнес-центров класса «А» по районам на 2011г.
Рис. 2.2. Распределение бизнес-центров класса «А» по районам на 2011г.,%
К бизнес-центрам категории «В» относят здания, удовлетворяющие следующим
требованиям:
. Местоположение: бизнес-центры категории «В» расположены, как правило, в
престижных коммерческих и финансовых районах города. Класс «В» выделен
территориями исторического центра города: части Центрального, Адмиралтейского,
Петроградского, Василеостровского районов, не попадающие в категорию «А», и
зоны, прилегающие к историческому центру Петербурга, - части Выборгского, Красногвардейского,
Московского, Приморского, Калининского районов, отличающиеся хорошим
расположением (на набережных, вблизи магистралей, станций метро).
2. Здание: бизнес-центр категории «В» занимает отдельно стоящее
специализированное здание после выборочного капитального ремонта или
косметического ремонта с высоким уровнем отделки и использованием импортных
материалов. К такому зданию предъявляются следующие требования: эффективная
планировка этажей, конференц-зал, кафе/ресторан, наличие охраняемой наземной
парковки.
3. Коммуникации: для бизнес-центров категории «В» характерно хорошее
состояние внутренних коммуникаций.
Для бизнес-центров такого уровня обязательным считается наличие:
системы кондиционирования (сплит-система, индивидуальное);
централизованной системы отопления;
оптоволоконных каналов связи.
Также для бизнес-центров категории «В» характерно предоставление широкого
спектра дополнительных услуг.
. Охрана: бизнес-центры категории «В» охраняются круглосуточно,
высокопрофессиональная охрана использует системы видеонаблюдения и гибкой
пропускной системой.
Управляющая организация бизнес-центра категории «В» - это
профессиональная организация (опыт работы на рынке офисной недвижимости - более
3 лет, имеет в управлении не менее 3 объектов). На рис. 2.3. показано
распределение бизнес-центров класса «В» по районам на 2011г.
Рис. 2.3. Распределение бизнес-центров класса «В» по районам на 2011г.,%
К бизнес-центрам категории «С» относят здания со следующими
характеристиками:
. Местоположение: бизнес-центры категории «С» расположены, как правило, в
удаленных от центра города районах, но с хорошей доступностью, расположенные
вблизи основных магистралей, метро. Чаще всего размещаются в административном
здании, НИИ.
. Здание: бизнес-центры категории «С» занимают обычно реконструированные
бывшие административные здания и общежития, переоборудованные под офисные цели.
Состояние помещений в таких зданиях варьируется от ремонта советского типа до
хорошего современного интерьера. Для бизнес-центров категории «С» характерно
отсутствие охраняемой парковки.
. Коммуникации: для бизнес-центров категории «С» характерно наличие:
достаточного числа телефонных линий;
системы вентиляции.
. Охрана: охрана в бизнес-центры категории «С» обеспечивается вахтером и
пропускной системой.
На рис. 2.4. показано распределение бизнес-центров класса «С» по районам
на 2011г.
Рис. 2.4. Распределение бизнес-центров класса «С» по районам на 2011г,%
К бизнес-центрам класса «D»
относятся офисные помещения в административных зданиях с устаревшими
инженерными коммуникациями, отсутствием специализированных служб
жизнеобеспечения, в научно-исследовательских институтах, построенных более 10
лет назад, приспособленные под офисы. Здания этого класса требуют ремонта,
имеют крайне неудачную планировку и местоположение. В целом можно сказать, что
эти помещения малопригодны для нормальной работы и потребуют вложений от
арендатора. Достоинство бизнес-центров категории D - невысокие ставки арендной
платы, привлекающие небольшие компании, которые пока не в состоянии позволить
себе более комфортабельные условия работы.
Существуют и промежуточные классификации - «В+» «С+».
«+» - желание арендодателя подчеркнуть улучшенные характеристики бизнес -
центра.
3. ПРОЕКТНАЯ ЧАСТЬ
.1 Анализ рынка недвижимости и статистики по арендным ставкам
по СПб
На рынке коммерческой недвижимости сегодня представлено большое
количество предложений по аренде офисных помещений в Санкт-Петербурге, в
результате чего потенциальные арендаторы становятся более требовательными. При
заключении договора аренды офисов в Санкт-Петербурге принимаются во внимание не
только комфорт и месторасположение объекта, но и эффективное взаимодействие с
арендодателем, обеспечить которое невозможно без внедрения специализированного
программного обеспечения.
Коммерческая недвижимость - это любые здания, не связанные с постоянным
проживанием людей, и земельные участки, на которых разрешена складская или
производственная деятельность. Обычно, объекты коммерческой недвижимости
классифицируют по назначению, выделяя группы: складские и производственные
помещения, торговые площади и офисная недвижимость. Практически любые
предприятие или организация используют какие-либо помещения в своей деятельности,
а значит, при открытии нового бизнеса или в ходе его развития руководители
компаний становятся потенциальными арендаторами или покупателями коммерческой
недвижимости.
В данной работе будет произведен анализ недвижимости офисных помещений.
Офисные помещения используются для размещения кабинетов руководителей разных
уровней, бухгалтерии и секретариата; офисы занимают отдел продаж, системный
администратор со своим оборудованием, и call-center с операторами; в них
работают инженеры, юристы и другие сотрудники компаний, не занятые
непосредственно на производстве. В связи огромным количеством функций, которые
возлагают на офисные помещения, требования к ним у потенциальных покупателей и
арендаторов коммерческой недвижимости сильно разнятся. В первую очередь, при
выборе офиса необходимо определиться с требуемой площадью - в зависимости от
количества сотрудников и особенностей их деятельности. Немаловажным является и
выбор принципа планировки офисных помещений: это должны быть несколько
кабинетов или единое пространство, хотя во многих случаях этот вопрос можно
опустить и выбирать офис по другим критериям. В зависимости от характера
деятельности, которая будет вестись в офисе, и бюджетом аренды или покупки
определяется местоположение офиса: выбор подходящих районов или конкретных
улиц, удаленность от метро, требуемая проходимость, вид из окон и т. п. Из этих
же соображений, учитывая желаемый уровень «солидности» будущего офиса,
формируются пожелания по классу площадей. Чем выше уровень, тем дороже отделка
и интерьер помещений, тем престижнее район, тем больше платных и бесплатных
услуг оказываются арендаторам. Конечно, все это влияет на стоимость аренды. Для
многих потенциальных арендаторов коммерческой недвижимости большим плюсом
является аренда офиса в бизнес-центре - это позволяет переложить львиную часть
забот по содержанию офиса на администрацию здания.
1) Обзор рынка офисной недвижимости за I квартал 2009г.:
- в I квартале 2009г. в эксплуатацию введено 18 бизнес-центров и
многофункциональных комплексов общей площадью 199 200 кв. м.;
по итогам квартала общий объем предложения качественных офисных площадей
(классов А, В и С) достиг 2 002,5 тыс. кв.м.
в сегменте высококачественных офисных площадей (классов «А» и «В») за
рассматриваемый период введено 16 объектов общей площадью 1 415,4 тыс. кв.м.
отличительной чертой прошедшего квартала является превалирование ввода
площадей класса «А» - более 113 400 кв. м. в 10 объектах. Класс «В» пополнился
шестью новыми бизнес-центрами (746 900 кв. м.), в классе «С» позиционируется
два объекта (11 100 кв. м.).
Качественная структура введенных площадей и предложения в целом
представлена на рис. 3.1.
Рис. 3.1. Качественная структура введенных площадей в I кв. 2009г. и предложения в целом, %
На рис. 3.2. и 3.3. показано как в I квартале 2009г. офисные площади
вводились в 11 административных районах Санкт-Петербурга.
Рис. 3.2. Распределение введенных в I кв. 2009г. площадей в бизнес-центрах по районам Санкт-Петербурга,
%
Рис. 3.3. Структура ввода в I кв. 2009г. площадей бизнес-центров по районам, тыс. кв.м.
Диапазоны ставок аренды, номинируемых в открывшихся в I квартале 2009г.
бизнес-центрах, представлены на рис. 3.4.
Арендная ставка руб./кв.м.
Рис. 3.4. Диапазоны арендных ставок в бизнес-центрах, введенных в I кв. 2009г., руб./кв.м.
Спрос на офисные помещения в бизнес-центрах Санкт-Петербурга в 2009 году
снижается, заполнение арендаторами новых объектов существенно замедлилось. По
результатам опроса управляющих и брокеров, новые бизнес-центры заполнены на
20-70%. Средний показатель заполняемости открывшихся в I квартале
бизнес-центров составляет порядка 27%. В 2009 году происходит снижение
заполняемости и увеличение времени экспозиции новых офисных объектов, отток
арендаторов из бизнес-центров классов А и В+ в бизнес-центры более низких
классов:
2) Обзор рынка офисной недвижимости Санкт-Петербурга по итогам
2009г.
- рынок офисной недвижимости Санкт-Петербурга пережил самый сложный год в
своей истории. На фоне резкого сокращения спроса и стремительного падения
арендных ставок владельцы бизнес-центров столкнулись с рекордным количеством
переездов. К осени ставки упали до уровня, на котором уже много лет находятся
европейские рынки, и в 2010 году девелоперы и консультанты ожидают их
стабилизации;
в 2009 году сдано и введено в эксплуатацию 42 бизнес-центра и офисных
объекта в составе многофункциональных комплексов общей площадью около 450 000
кв. м.;
в центре города появились офисы класса «А» в БЦ NevskyPlaza и комплексе
«Парадный квартал». В последнем деловой центр по плану должен был вводиться в
2010 году, но успел попасть в статистику 2009 года. Петроградская сторона
пополнилась двумя бизнес-центрами: Atrio (класс «А»), «Арена Холл» (класс
«В+»), а также третьей очередью БЦ «Сенатор» (класс «В+»). Открылись новые
бизнес-центры и на популярных направлениях выезда из города: Plenar (класс
«А»), PulkovoSky (класс «В+»), «Балтийская Жемчужина» (класс «В+»).
) Обзор рынка офисной недвижимости Санкт-Петербурга за I квартал 2010г.:
в I квартале 2010г. в Санкт-Петербурге сдано в эксплуатацию 6
бизнес-центров общей площадью 103 000 кв. м., что почти в два раза меньше, чем
в 2009г.;
по итогам квартала общий объем предложения качественных офисных площадей
(классов А, В и С) достиг 2 355 700 кв. м., прирост общего объема предложения
составил 4,4%;
в сегменте высококачественных офисных площадей (классы «А» и «В») введено
четыре объекта класса «В» (84 700 кв. м. общей площади). Общий объем
предложения в сегменте на конец I квартала 2010г. составил 1 729 500 кв. м.
Качественная структура введенных площадей и предложения в целом
представлена на рис. 3.5.
Рис. 3.5. Качественная структура введенных площадей и предложения в целом
в I кв. 2010г.,%
На рис. 3.6. показано как в I квартале 2010г. офисные площади вводились в
четырех административных районах Санкт-Петербурга.
Рис. 3.6. Распределение введенных в I кв. 2010г. площадей в бизнес-центрах по районам
Санкт-Петербурга, %
В I квартале 2010г. существенных изменений ставок аренды не отмечено. В
среднем, по Санкт-Петербургу в 2010г. ставки аренды в открытом предложении
действующих бизнес-центров находились в следующих диапазонах:
класс А - 900-2 000 руб./кв. м./месяц;
класс В - 550-1 500 руб./кв. м./месяц;
класс С - 400-1 000 руб./кв. м./месяц.
Диапазоны ставок аренды, номинируемых в открывшихся в I квартале 2010г.
бизнес-центрах, представлены на рис. 3.7. и 3.8.
Арендная ставка, руб./кв.м.
Рис. 3.7. Диапазон арендных ставок в бизнес-центрах Санкт-Петербурга в I кв. 2010г., руб./кв.м.
Арендная ставка, руб./кв.м.
Рис. 3.8. Диапазон арендных ставок, номинируемых в открывшихся в I кв. 2010г. бизнес-центрах,
руб./кв.м.
В недавно открывшихся бизнес-центрах офисные площади предлагаются по
более низким ставкам. По данным брокеров, в результате переговоров между
потенциальным арендатором и арендодателем дисконт на величину арендной платы
составляет 10-30%. Разброс ставок существенен не только среди бизнес-центров
одного класса, но иногда и внутри отдельно взятого объекта, где ставки для
разных арендаторов могут отличаться на 20-25%.
4) Обзор рынка офисной недвижимости Санкт-Петербурга по итогам 2010г.:
2010г. стал для рынка офисной недвижимости Санкт-Петербурга периодом
постепенного восстановления и медленного роста по всем параметрам - спросу,
объему предложения, арендным ставкам;
за 2010г. в эксплуатацию было введено около 180 тыс. кв.м. объектов
офисной недвижимости. Большую долю нового предложения составляют бизнес-центры
класса B+ 57%;
в результате увеличения спроса со стороны арендаторов при меньшем
приросте по сравнению с 2009г., уровень вакантных площадей в среднем по рынку
сократился. На конец 2010г. в бизнес-центрах класса «А» свободно 20-22%
площадей; в бизнес-центрах класса «В+» и «B» уровень вакантных площадей
составляет 5-10%;
в течение всего года наблюдался устойчивый спрос на высококлассные
офисные объекты. Арендаторы перемещались из офисов класса C в бизнес центры
класса B+ и B. В 2010г. вновь стали пользоваться спросом офисные помещения
крупной площади - 1 000-2 000 кв.м.
В течение 2010г. на рынке офисной недвижимости Санкт-Петербурга было
введено в эксплуатацию 14 объектов общей площадью около 180 тыс. кв.м, таким
образом, общий объем предложения увеличился на 8,2% по сравнению с концом
2009г. Большая часть суммарного прироста офисных площадей за 2010г. была
введена в эксплуатацию в первой половине года. С учетом введенных площадей
общий объем рынка качественной офисной недвижимости Санкт-Петербурга составил
около 2 400 000 кв.м.
Динамика предложения офисной недвижимости приведена на рис. 3.9.
Рис. 3.9. Динамика предложения офисной недвижимости, тыс. кв.м.
Как и в 2009г. основную долю нового предложения составили бизнес-центры
класса «В+» и «В» (более 75%). Таким образом, на конец 2010г. в общем
предложении качественных офисных площадей Санкт-Петербурга преобладают
бизнес-центры класса «B+» и «B», на долю которых приходится 44% и 33%
соответственно. Доля бизнес-центров класса «А» сократилась по сравнению с
прошлым годом на 4% и составила 23% от общего объема предложения. Также
изменения в структуре рынка офисной недвижимости произошли по причине
реализации программы «Всероссийская классификация бизнес-центров». В 2009г.
Всероссийская Гильдия Управляющих и Девелоперов приняла базовую классификацию
офисных и бизнес-центров на территории России. На конец 2010г. комитетами
Гильдии пересмотрены классы 151 бизнес-центра в Санкт-Петербурге. Структура
рынка офисной недвижимости Санкт-Петербурга на конец 2010г. приведена на рис.
3.10.
Рис. 3.10. Структура рынка офисной недвижимости Санкт-Петербурга на конец
2010 г., кв.м.
По итогам 2010г. наиболее активно развивающимися деловыми зонами
Санкт-Петербурга являются Центральный, Василеостровский, Петроградский районы,
а также Московский район. По объему предложения офисной недвижимости лидируют
Центральный, Приморский, Василеостровский и Петроградский районы.
В результате увеличившегося спроса уровень вакантных площадей в
бизнес-центрах снизился по сравнению с 2009г., однако до сих пор остается достаточно
высоким. На конец 2010г. доля свободных площадей в бизнес-центрах класса «А»
составляет 20-22%, в бизнес-центрах класса «В+», «В» - 5-10%. В 2010г. при
сохраняющихся рисках на рынке офисной недвижимости Санкт-Петербурга, ставки
доходности остаются достаточно высокими - 12-14%.
Динамика ставок доходности на рынке офисной недвижимости показана на рис.
3.11.
Рис. 3.11. Динамика ставок доходности на рынке офисной недвижимости, %
После снижения в 2008 - 2009 гг., в начале 2010 года арендные ставки в
бизнес-центрах и демонстрировали рост к концу периода. В бизнес-центрах класса
«А» рост ставок составил 5%, в объектах класса «В+» и «В» - 5-10%.
) Обзор рынка офисной недвижимости Санкт-Петербурга по итогам I квартала
2011г.:
несмотря на возобновление строительства новых офисных объектов, объёмы
нового предложения по-прежнему остаются ниже докризисных показателей;
спрос на офисные помещения остается стабильным;
запрашиваемые ставки аренды на качественные центрально расположенные
офисные помещения продолжают расти;
разница между запрашиваемыми ставками аренды в качественных офисных
зданиях в центре города и в бизнес-центрах на окраине с большим уровнем
вакантных помещений возрастает;
в январе - марте 2011г. было введено в эксплуатацию приблизительно 200
000 кв.м. офисов. Это самый низкий показатель нового предложения в первом
квартале за последние шесть лет. Основную долю нового предложения составили
помещения класса «В», насчитывающие 146 000 кв.м. или 73% от общего объёма.
Доля помещений класса «А» составила 27% или 54 000 кв.м.;
до конца 2011г. введено в эксплуатацию 520 000 кв.м. офисов, а общее
новое предложение 2011г. составило 720 000 кв.м. (из них 57% придется на класс
«А»). Объём офисных помещений, заявленных к вводу в эксплуатацию в 2012 году,
ожидается выше показателя текущего года и составит 890 000 кв.м., из которых
40% придется на класс «А»;
в I квартале 2011г. объем поглощения
офисных площадей оказался сопоставим с аналогичными показателями 2010г. и
докризисного 2008г. и составил приблизительно 240 000 кв.м. Это почти в 8 раз
превышает уровень поглощения в I
квартале 2009г., когда объём вновь арендованных и купленных помещений был
наименьшим;
средний уровень вакантных помещений на конец I квартала 2011г. достиг 14,4%. В классе «А» он вырос и
составил 20%, что связано с вводом в эксплуатацию новых не занятых арендаторами
бизнес-центров, а также выходом на рынок крупных площадей в уже действующих
бизнес-центрах. В классе «В» процент свободных помещений значительно не
изменился и составил 13%;
организации по-прежнему предпочитают арендовать помещения в действующих
бизнес-центрах. На такие сделки пришёлся основной объём поглощения в I квартале. Доля сделок
предварительной аренды и продажи составила 8% от общего объёма поглощения, что
значительно ниже докризисных показателей;
в бизнес-центрах, планируемых к вводу в эксплуатацию до конца 2011г.,
уровень незанятых площадей остаётся высоким. В классе «А» он составляет 55%, в
классе «В» он достигает 75%;
учитывая объём поглощения, спрос на качественные офисные помещения со
стороны крупных организаций, а также объёмы нового предложения, ожидается, что
уровень вакантных помещений снизится к концу года, однако по-прежнему будет
превышать показатель, необходимый для равновесия рынка.
Уровень вакантных помещений приведен на рис. 3.12.
Рис. 3.12.Уровень вакантных помещений, %
На конец 2011г. доля офисных центров класса (рис. 3.13.) «В» и «В+»
составила 61% (28% - «В+» и 33% - «В») от общего объема офисных площадей. Доля
бизнес-центров класса «С» составила 22%. На бизнес-центры класса «А» приходится
17% офисных площадей.
Рис. 3.13. Предложение по классам, %
В конце 2011г. средневзвешенная ставка аренды офисных площадей составила
в классе «А» - 1 202 руб./кв. м/мес., в классе «В» и «В+» - 973 руб./кв.
м/мес., в классе «С» - 761 руб./кв. м/мес. (рис. 3.14.).
Рис. 3.14. Динамика арендных ставок по годам, руб./кв.м.
Следует отметить, что имеется существенная дифференциация арендных ставок
между классом «В» и «В+». Так, средняя по городу ставка для офисов класса «В»
составляет 918 рублей, для «В+» 1 012 рублей.
) Обзор рынка офисной недвижимости Санкт-Петербурга по итогам 2011г.:
предварительные итоги года в офисном секторе выглядят весьма
утешительными. Объем ввода площадей подрос, если сравнивать с 2010г., при этом
доля вакантных контор на рынке больше не стала. Арендные ставки увеличиваются в
пределах инфляции. Несмотря на смутные предчувствия второй волны, рыночная
конъюнктура пока не ухудшается;
спрос по-прежнему формируется прежде всего за счет ротации арендаторов.
Правда, если пару лет назад они отказывались от излишков площадей и
переселялись в здания попроще, то теперь набирает силу обратный процесс;
14% арендаторов, покинувших в этом году бизнес-центры класса «С», решили
не мелочиться и переехать сразу в объекты категории А. Доля новых организаций
на рынке увеличилась за 2011г. с 5 до 7%, но все еще очень мала;
сделки по аренде офисов уровня «A» в 2011г. заключаются в основном в
Центральном районе (55%), где больше всего таких вариантов. У клиентов
бизнес-центров класса «B» наиболее популярны Московский (23%), Петроградский
(16%) и Выборгский (16%) районы;
наиболее востребованы площади, оцененные до 1000 руб./кв.м в месяц.
Эксклюзивные офисы по 2000 руб./кв.м сдаются с большим скрипом. Рублевые
расценки в IV квартале 2011г. оставались стабильными. На рис. 3.15. приведена
структура спроса по площади.
Рис. 3.15. Структура спроса по площади, кв.м.
Проанализировав рынок недвижимости в Санкт-Петербурге за 2009-2011гг.
можно сделать вывод, что большую часть рынка занимают бизнес-центры класса «B»
и «C». Доля деловых комплексов класса «А» составляет около 20%. Однако, именно
этот сегмент офисной недвижимости ощущает наибольший прирост: каждый год
сдаются в эксплуатацию тысячи квадратных метров площадей. Но и спрос на аренду
коммерческой недвижимости в деловых комплексах класса «А» по-прежнему растёт.
Аренда офисов в Санкт-Петербурге премиум-класса, а также помещений в престижных
бизнес-центрах пользуется повышенным спросом у крупных организаций.
) Обзор рынка офисной недвижимости за полугодие 2012г.:
в Санкт-Петербурге существует устойчивый спрос на офисные площади.
Арендаторы особенно активно проявляли себя во втором квартале;
в I полугодии 2012г. в результате
скромного количества сданных в эксплуатацию офисных помещений в городе
сократилось число свободных мест. Оценки по выводу новых офисных площадок
варьируются от 43 700 кв.м. до 55 600 кв.м.;
значительная часть из запланированных открытий бизнес-центров не
состоялось, сроки были перенесены на III и IV кварталы. В результате в I полугодии 2012г. объем поглощения
офисов превысил объем введенных, и уровень вакансий сократился. В офисных
центрах класса «А» сегодня свободно 16% площадей, в классе В 9%;
арендные ставки в офисном сегменте, согласно единодушному мнению всех
наблюдателей, за первое полугодие существенно не выросли;
во 2-м полугодии ожидается ввод в эксплуатацию 11 офисных центров класса
«А» и «В» суммарной арендной площадью около 110 тыс.кв.м. Всего на стадии
строительства, по данным компании, находится 40 офисных центров класса А и В
суммарной арендной площадью около 480 тыс. кв.м.
Бизнес-центр «МИР» относится к классу «В». Бизнес-центр располагается в
непосредственной близости от деловой части города и является удобной площадкой
для развития бизнеса. Рядом проходят главные магистрали Санкт-Петербурга:
Московский проспект и улица Садовая. Арендаторам помещений бизнес-центра
предоставляется широкий пакет услуг, способных удовлетворить даже самых
взыскательных клиентов.
автономная система пожаротушения;
система вентиляции и кондиционирования;
система центрального отопления;
собственная АТС.
Офисы бизнес-центра:
евроремонт;
линолеум;
стеклопакеты;
выделенная линия интернет;
кондиционер;
отдельный санузел;
свободная планировка;
телефонная линия.
Безопасность:
круглосуточная охрана;
система аудио-оповещения;
здание после реконструкции;
приточно-вытяжная система вентиляции;
пожарная и охранная сигнализация;
система видеонаблюдения и контроля доступа.
В арендную ставку включены: коммунальные услуги, электроэнергия, охрана,
абонентское почтовое обслуживание. Дополнительно оплачиваются: уборка,
телефония, интернет.
Рассмотрим динамику средней арендной ставки за 3 года, приведенную на
рис. 3.16.
Рис. 3.16. Динамика средней арендной ставки за три года, руб.кв.м.
Как видно из рис. 3.16. рост средней арендной ставки произошел из-за
повышения стоимости коммунальных услуг, а так же в связи с заключением
договоров по новым ставкам.
Динамика свободных площадей бизнес-центра «МИР» приведена на рис. 3.17.
Рис. 3.17. Динамика свободных площадей бизнес-центра «МИР», кв.м.
Увеличение свободных площадей связано с выездом ряда крупных арендаторов,
таких как ООО «ВИП Сервис корпорейтед», занимаемая площадь которого составляла
125,9 кв.м., и ООО «Балтийская жемчужина», площадью 201,9 кв.м.
В работе были рассмотрены бизнес-центры других управляющих организаций.
Их характеристики по итогам полугодия 2012г. приведены в табл.3.1.
Таблица 3.1 Общая характеристика бизнес-центров Санкт-Петербурга по
итогам полугодия 2012г.
По приведенным данным рассмотрим каждый класс бизнес-центра отдельно и
построим гистограммы.
) Класс «А»:
- в табл. 3.2. приведено общее количество рассматриваемых бизнес-центров
класса «А» с основными данными;
на основе данных, приведенных в табл. 3.2. построим гистограмму по
арендным ставкам класса «А» (рис. 3.18.).
Таблица 3.2 Бизнес-центры класса А
Рис. 3.18. Гистограмма, построенная по арендным ставкам класса «А»,
руб./кв.м.
2) Класс «В+»:
- в табл. 3.3. приведено общее количество рассматриваемых бизнес-центров
класса «В+» с основными данными:
на основе данных, приведенных в табл. 3.3. построим гистограмму по
арендным ставкам класса «В +» (рис. 3.19.).
Таблица 3.3 Бизнес-центры класса «В+»
Рис. 3.19. Гистограмма, построенная по арендным ставкам класса «В+»,
руб./кв.м.
3) Класс «В»:
- в табл. 3.4. приведено общее количество рассматриваемых бизнес-центров
класса «В» с основными данными:
на основе данных, приведенных в табл. 3.4. построим гистограмму по
арендным ставкам класса «В» (рис. 3.20.).
Таблица 3.4 Бизнес-центры класса «В»
Рис. 3.20. Гистограмма, построенная по арендным ставкам класса «В»,
руб./кв.м.
) Класс «С»:
в табл. 3.5. приведено общее количество рассматриваемых бизнес-центров
класса «С» с основными данными;
на основе данных, приведенных в табл. 3.5. построим гистограмму по
арендным ставкам класса «С» (рис. 3.21.).
Таблица 3.5 Бизнес-центры класса «С»
Рис. 3.21. Гистограмма, построенная по арендным ставкам класса «С»,
руб./кв.м.
4) Класс «D»:
- в табл. 3.6. приведено общее количество рассматриваемых бизнес-центров
класса «D» с основными данными;
на основе данных, приведенных в табл. 3.6. построим гистограмму по
арендным ставкам класса «D»
(рис. 3.22.).
Таблица 3.6 Бизнес-центры класса «D»
Рис. 3.22. Гистограмма, построенная по арендным ставкам класса «D», руб./кв.м.
На рис. 3.23. отражены основные показатели распределения бизнес-центров в
Санкт-Петербурге по классам.
Рис. 3.23. Основные характеристики распределения бизнес-центров в
Санкт-Петербурге по классам.
1) Mean - средняя арифметическая.
За основу были взяты арендные ставки по каждому классу. Так средняя
арендная ставка класса «А», равная 1388,00 руб./кв.м., в два раза больше
средней арендной ставки класса «D»,
которая составляет 667,5 руб./кв.м. Разница между этими классами составляет
720,50 руб./кв.м.
Средняя арендная ставка класса «В+» на 209,4 руб./кв.м. меньше средней арендной
ставки класса «А», и на 257,2 руб./кв.м. больше средней арендной ставки класса
«В».
Самая минимальная арендная ставка в классе «D», которая равна 420 руб./кв.м., и 2000 руб./кв.м. в классе
«В+».
2) Skewness-асимметрия (3.24):
Показывает
отклонение эмпирического распределения от центральной оси нормального в левую
или в правую сторону. Величина асимметрии может быть положительной и
отрицательной. Если (
-Mo)>0,
то на графике такой ряд будет иметь вытянутость вправо (правосторонняя
асимметрия), если (
-Mo)<0,
то вытянутость влево (левосторонняя асимметрия).Бизнес-центры класса «А» и «С»
- левосторонняя асимметрия. Бизнес-центры класса «В+», «В» и «D» -
правосторонняя асимметрия. Принято считать, что асимметрия выше 0,5 считается
значительной. Если асимметрия меньше 0,25, она считается незначительной.
Поскольку
асимметрия не существенна и равна при классе «А» -0,04, при классе «В +» 0,24,
при классе «В» 0,43, при классе «С» -0,47 и при классе «D»
0,11, то при переходе бизнес-центра из одного класса в другой, уровень тарифов
можно устанавливать исходя из среднего значения арендных ставок, но при этом
необходимо оценить степень однородности, который рассчитывается на основе
вариации.
3) Коэффициент вариации - наиболее часто применяемый показатель
относительной колеблемости, характеризующий однородность совокупности (3.25). Совокупность
считается однородной, если коэффициент вариации не превышает 33% для
распределений, близких к нормальному. Оценка степени интенсивности вариации
возможна только для каждого отдельного признака и совокупности определенного
состава:
- коэффициент вариации класса «А» = 16% < 33%;
коэффициент вариации класса «В+» = 22% < 33%;
коэффициент вариации класса «В» = 20% < 33%;
коэффициент вариации класса «С» = 13% < 33%;
коэффициент вариации класса «D» = 20% < 33%.
Коэффициент вариации не превышает 33%, что говорит о том, что данная
совокупность однородна, отличия в индивидуальных значениях признака
несущественны, т.е. среднее значение признака действительно отражает типичный
уровень признака.
4. ВЫВОДЫ ИЗ АНАЛИЗА РАСПРЕДЕЛЕНИЯ АРЕНДНЫХ СТАВОК,
ФОРМУЛИРОВКА ПРЕДЛОЖЕНИЙ ПО ПЕРЕХОДУ В БОЛЕЕ ВЫСОКИЙ ЦЕНОВОЙ СЕГМЕНТ
Для того чтобы бизнес-центр «МИР» перешел в более высокий класс нужно
рассчитать показатель эффективности проекта. Эффективность деятельности
предприятия относится к числу наиболее важных экономических критериев. В
наиболее общем виде ее можно представить как соотношение затрат на доведение
помещения к более высокой категории, и результата, полученного в ходе ее
реализации. Таким образом, из определения экономической эффективности можно
сформулировать две основные задачи: прямую - достижение максимального эффекта
при заданном уровне затрат и обратную - достижение заданного эффекта при
минимальных затратах. Каждому предприятию за время своей деятельности
приходится решать как ту, так и другую задачу. Анализ эффективности и отбор
инвестиционных проектов базируется на прогнозе и оценке денежных потоков,
возникающих в процессе их осуществления.
На данный момент, бизнес-центр «МИР» находится в классе «В». Для того,
что бы перейти в класс «В+», ему необходимо:
провести капитальный ремонт коридоров 4-ого и 5-ого этажей: глобальная
чистка линолеума, косметический ремонт стен, а также косметический ремонт мест
общего пользования с заменой сантехники;
провести ряд работ по внешнему ремонту: облицовка плиткой, частичная
замена оконных рам.
привлечение крупных, финансово-устойчивых арендаторов, путем рекламы;
обеспечение индивидуальной системы кондиционирования.
В табл. 4.1 и 4.2 приводятся исходные данные и сводная таблица денежных
потоков для оценки коммерческой эффективности проекта для перехода в класс
«В+».
Таблица 4.1 Исходные данные
|
Исходные данные проекта
|
Сумма, тыс. руб.
|
|
Оплата за работу и услуги подрядчикам, тыс. руб.
|
18500
|
|
Покупка и установка кондиционеров, тыс. руб.
|
1350
|
|
Финансирование проекта за счет собственных средств, %
|
100
|
|
Ежегодная выручка, тыс. руб.
|
58352
|
|
Переменные затраты в год, тыс. руб.
|
2350
|
|
Постоянные затраты в год, тыс. руб.
|
26621
|
|
Ставка налога на прибыль, %
|
10
|
Таблица 4.2 Денежные потоки для оценки коммерческой эффективности проекта,
тыс.руб.
|
Номер шага
|
0
|
1
|
2
|
3
|
4
|
|
Длительность шага, год
|
|
|
|
|
|
|
Показатели
|
|
|
|
|
|
|
Операционная деятельность
|
|
|
|
|
|
|
1. Денежные притоки (стр.1.1 + стр. 1.2)
|
|
58352,0
|
58352,0
|
58352,0
|
58352,0
|
|
1.1. Выручка от реализации продукции
|
|
58352,0
|
58352,0
|
58352,0
|
58352,0
|
|
1.2. Прочие и внереализационные доходы
|
|
|
|
|
|
|
2. Денежные оттоки (сумма строк 2.1+2.2+2.5)
|
|
31909,1
|
31909,1
|
31909,1
|
31909,1
|
|
2.1. Прирост переменных издержек
|
|
2350,0
|
2350,0
|
2350,0
|
2350,0
|
|
2.2. Прирост постоянных издержек
|
|
26621,0
|
26621,0
|
26621,0
|
26621,0
|
|
2.3. Амортизация (вспомогательная строка)
|
|
|
|
|
|
|
2.4. Прибыль до налогов (вспомогательная строка)
|
|
29381,0
|
29381,0
|
29381,0
|
29381,0
|
|
2.5. Налог на прибыль (10%)
|
|
2938,1
|
2938,1
|
2938,1
|
2938,1
|
|
3. Сальдо денежного потока от операционной деятельности
(стр.1 - стр.2)
|
|
26442,9
|
26442,9
|
26442,9
|
26442,9
|
|
Инвестиционная деятельность
|
|
|
|
|
|
|
4. Денежные притоки (ликвидационная стоимость)
|
|
|
|
|
|
|
5. Денежные оттоки (стр.5.1+ стр.5.2)
|
48821,0
|
|
|
|
|
|
5.1. Общие капиталовложения (инвестиции)
|
19850,0
|
|
|
|
|
|
5.2. Вложения средств в дополнительные фонды
|
28971,0
|
|
|
|
|
|
6. Сальдо денежного потока от инвестиционной
деятельности(стр. 4-стр. 5)
|
-48821,0
|
|
|
|
|
|
7. Сальдо двух потоков (чистые денежные поступления
проекта) (стр.3 + стр.6)
|
-48821,0
|
26442,9
|
26442,9
|
26442,9
|
26442,9
|
|
8. То же нарастающим итогом
|
-48821,0
|
-22378,1
|
4064,8
|
30507,7
|
56950,6
|
|
9. Коэффициент дисконтирования
|
1,0
|
0,9
|
0,8
|
0,8
|
0,7
|
|
10. Чистые денежные поступления (стр.7 х стр.9)
|
-48821,0
|
24039,0
|
21853,6
|
19866,9
|
18060,9
|
|
11. NPV, тыс. руб.
|
-48821,0
|
-24782,0
|
-2928,4
|
16938,6
|
34999,4
|
|
12. PI
|
|
0,5
|
0,9
|
1,3
|
1,7
|
|
13. DPP, лет.
|
3,2
|
|
|
|
|
|
14. Рентабельность инвестиций по прибыли до
налогообложения, %
|
|
60
|
60
|
60
|
60
|
|
15. Рентабельность инвестиций по чистой прибыли, %
|
|
54
|
54
|
54
|
54
|
Критерий эффективности инвестиционного проекта выражается следующим
образом: NPV>0. Положительное значение чистого
дисконтированного дохода свидетельствует о том, что проект эффективен и может
приносить прибыль в установленном объеме. Отрицательное значение чистого
дисконтированного дохода свидетельствует о неэффективности проекта.
В отличие от NPV
индекс доходности является относительным показателем: он характеризует уровень
доходов на единицу затрат, т.е. эффективность вложений - чем больше значение
этого показателя, тем выше отдача каждого рубля, инвестированного в данный
проект. Благодаря этому критерий PI очень удобен при выборе одного проекта из ряда альтернативных, имеющих
примерно одинаковые значения NPV.
При расчете дисконтированного срока окупаемости проекта используют
следующую зависимость: Срок окупаемости = t при котором NPV(t)=0.
Результаты расчетов можно представить графически. Чаще всего рисуют
динамику NPV во времени. Точка пересечения линии NPV с осью абсцисс будет показывать
дисконтированный срок окупаемости проекта, как это показано на рис.4.1.
ЧДД, тыс. Руб.
Периоды, год
Рис.4.1. График изменения NPV по
периодам реализации проекта, год.
Для того, что бы бизнес-центр «МИР» смог перейти в класс «А»,
собственнику здания необходимо помимо затрат, приведенных в табл. 4.1 произвести
дополнительные затраты на:
встройку грузового лифта с внешней стороны здания;
создание автономной системы отопления;
В табл. 4.3 приведена сводная таблица денежных потоков для оценки
коммерческой эффективности проекта для перехода в класс «А».
Таблица 4.3 Денежные потоки для оценки коммерческой эффективности
проекта, тыс.руб.
|
Номер шага
|
0
|
1
|
2
|
3
|
4
|
|
Длительность шага, год
|
|
|
|
|
|
|
Показатели
|
|
|
|
|
|
|
Операционная деятельность
|
|
|
|
|
|
|
1. Денежные притоки (стр.1.1 + стр. 1.2)
|
|
63656,0
|
63656,0
|
63656,0
|
63656,0
|
|
1.1. Выручка от реализации продукции
|
|
63656,0
|
63656,0
|
63656,0
|
63656,0
|
|
1.2. Прочие и внереализационные доходы
|
|
|
|
|
|
|
2. Денежные оттоки (сумма строк 2.1+2.2+2.5)
|
|
33024,5
|
33024,5
|
33024,5
|
33024,5
|
|
2.1. Прирост переменных издержек
|
|
3000,0
|
3000,0
|
3000,0
|
3000,0
|
|
2.2. Прирост постоянных издержек
|
|
26621,0
|
26621,0
|
26621,0
|
26621,0
|
|
2.3. Амортизация (вспомогательная строка)
|
|
|
|
|
|
|
2.4. Прибыль до налогов (вспомогательная строка)
|
|
34035,0
|
34035,0
|
34035,0
|
34035,0
|
|
2.5. Налог на прибыль (10%)
|
|
3403,5
|
3403,5
|
3403,5
|
3403,5
|
|
3. Сальдо денежного потока от операционной деятельности
(стр.1 - стр.2)
|
|
30631,5
|
30631,5
|
30631,5
|
30631,5
|
|
Инвестиционная деятельность
|
|
|
|
|
|
|
4. Денежные притоки (ликвидационная стоимость)
|
|
|
|
|
|
|
5. Денежные оттоки (стр.5.1+ стр.5.2)
|
55571,0
|
|
|
|
|
|
5.1. Общие капиталовложения (инвестиции)
|
25950,0
|
|
|
|
|
|
5.2. Вложения средств в дополнительные фонды
|
29621,0
|
|
|
|
|
|
6. Сальдо денежного потока от инвестиционной деятельности
(стр. 4 - стр. 5)
|
-55571,0
|
|
|
|
|
|
7. Сальдо двух потоков (чистые денежные поступления
проекта) (стр.3 + стр.6)
|
-55571,0
|
30631,5
|
30631,5
|
30631,5
|
30631,5
|
|
8. То же нарастающим итогом
|
-55571,0
|
-24939,5
|
5692,0
|
36323,5
|
66955,0
|
|
9. Коэффициент дисконтирования
|
1,0
|
0,9
|
0,8
|
0,8
|
0,7
|
|
10. Чистые денежные поступления (стр.7 х стр.9)
|
-55571,0
|
27846,8
|
25315,3
|
23013,9
|
20921,7
|
|
11. NPV, тыс.руб.
|
-55571,0
|
-27724,2
|
-2408,9
|
20605,0
|
41526,7
|
|
12. PI
|
|
0,5
|
1,0
|
1,4
|
1,7
|
|
13. DPP, лет.
|
3,2
|
|
|
|
|
|
14. Рентабельность инвестиций по прибыли до
налогообложения, %
|
|
61
|
61
|
61
|
61
|
|
15. Рентабельность инвестиций по чистой прибыли, %
|
|
55
|
55
|
55
|
55
|
На рис. 4.2 показан график изменения NPV по периодам реализации проекта.
ЧДД, тыс. руб.
Период, год
Рис. 4.2. График изменения NPV по
периода реализации проекта, год.
Как видно из приведенного графика (рис. 4.1) дисконтированный срок
окупаемости проекта при переходе в класс «В+» составит 3,2 года, при котором
чистый дисконтированный доход будет положительный и равен 16938,6 тыс.руб.
Индекс доходности характеризует уровень доходов на единицу затрат, т.е.
эффективность вложений - чем больше значение этого показателя, тем выше отдача
каждого рубля, инвестированного в данный проект. Индекс доходности с каждым
годом увеличивается.
Дисконтированный срок окупаемости проекта при переходе в класс «А»
составляет 3,2 года, при котором чистый дисконтированный доход будет
положительный и равен 20605,0 тыс.руб. Индекс доходности увеличивается с каждым
годом. В результате расчета коммерческой эффективности можно сделать вывод о
том, чтобы в дальнейшем бизнес-центр «МИР» развивался, качественно
усовершенствовался и отвечал современным требованиям арендатора. Учитывая годовой
финансовый результат трех лет и сопоставив их с затратами, собственник здания
может принять решение о целесообразности перехода в класс «А».
ЗАКЛЮЧЕНИЕ
В данной дипломной работе была рассмотрена тема «Разработка рекомендаций
по ценообразованию арендных ставок на основе расчета средней ставки по
сегменту» на примере ООО «Ай Би Эстейт», который является управляющей
организацией, решающая поставленные перед ней задачи с позиции собственника и в
его интересах. Были приведены основные финансовые результаты деятельности
организации и рассчитаны основные технико-экономические показатели за три года.
Из расчетов технико-экономических результатов можно сделать вывод, что
предприятие платежеспособное, оно в состоянии погашать текущие обязательства за
счёт денежных средств, средств на расчетный счетах. Организация использует
упрощенную систему налогообложения. Организация освобождается от обязанности по
уплате налога на прибыль организаций, налога на добавленную стоимость, налога
на имущество организаций. Объектом налогообложения в ООО «Ай Би Эстейт»
являются доходы, уменьшенные на величину расходов, налоговая ставка
устанавливается в размере 10 процентов.
Все хозяйственные операции за отчетный период организации при применении
упрощенной системы налогообложения отражаются в Книге учета доходов и расходов.
Выявленные недостатки в бухгалтерском и налоговом учете:
- деятельность без уплаты НДС часто приводит к потере покупателей -
плательщиков НДС;
при переходе с упрощенной системы необходимо досдавать бухгалтерскую и налоговую
отчетность;
при потере права работать на УСН нужно восстанавливать обычный бухучет за
весь период работы на УСН;
затраты, которые учитывают при расчете единого налога, является закрытым.
Поэтому организации, использующие УСН (при объекте налогообложения «доходы
минус расходы») не смогут отразить часть затрат.
Проанализирована классификация бизнес-центров по системе ABCD, поскольку статус делового центра
оказывает существенное влияние на выбор объекта при аренде офисов.
Проведен анализ рынка недвижимости и статистики по арендным ставкам по
Санкт-Петербургу за 3 года. Выполнены расчеты средних арендных ставок по
классам, измерение асимметрии в группах и приведена оценка однородности по
каждому классу бизнес-центра. Рассчитан показатель коммерческой эффективности
проекта и разработаны рекомендации по переходу в более высокий ценовой сегмент.
Эффективность деятельности предприятия относится к числу наиболее важных
экономических критериев. В наиболее общем виде ее можно представить как
соотношение затрат на доведение помещения к более высокой категории, и
результата, полученного в ходе ее реализации.
Для того, чтобы в дальнейшем бизнес-центр «МИР» развивался, качественно
усовершенствовался и отвечал современным требованиям арендатора собственник
здания может принять решение о целесообразности перехода бизнес-центра «МИР» в
класс «А».
СПИСОК ИСПОЛЬЗУЕМОЙ ЛИТЕРАТУРЫ
1. Гражданский
кодекс Российской Федерации, часть вторая от 26.11.1996 №14-ФЗ.
. Налоговый
кодекс Российской Федерации, часть вторая от 05.08.2000 №117-ФЗ (ред. от
25.12.2012).
. Федеральный
закон Российской Федерации от 08.02.1998 №14-ФЗ (в ред. Федеральных законов от
11.07.1998 №96-ФЗ, от 31.12.1998 №193-ФЗ) «Об обществах с ограниченной
ответственностью».
. Федеральный
закон Российской Федерации от 21.11.1996 №129-ФЗ «О бухгалтерском учете».
. Федеральный
закон Российской Федерации от 24.07.2002 №104-ФЗ (ред. от 24.07.2009) «О
внесении изменений и дополнений в часть вторую Налогового кодекса Российской
Федерации и некоторые другие акты законодательства Российской Федерации, а
также о признании утратившими силу отдельных актов законодательства Российской
Федерации о налогах и сборах».
6. Приказ
Минфина Российской Федерации от 31.12.2008 №154н «Об утверждении форм книги
учета доходов и расходов организаций и индивидуальных предпринимателей,
применяющих упрощенную систему налогообложения, книги учета доходов
индивидуальных предпринимателей, применяющих упрощенную систему налогообложения
на основе патента, и порядков их заполнения» (зарегистрирован в Минюсте
Российской Федерации 10.02.2009 №13290).
7. Приказ
Минфина Российской Федерации от 29.07.1998 №34н (в ред. от 24.12.2010 N 186н, с
изм., внесенными решением Верховного Суда РФ от 23.08.2000 N ГКПИ 00-645) «Об
утверждении положения по ведению бухгалтерского учета и бухгалтерской
отчетности в Российской Федерации» (зарегистрирован в Минюсте Российской
Федерации 27.08.1998 №1598).
. Приказ
Минфина Российской Федерации от 06.05.1999 №32н (в ред. от 08.11.2010) «Об
утверждении Положения по бухгалтерскому учету «Доходы организации» ПБУ 9/99»
(зарегистрирован в Минюсте Российской Федерации 31.05.1999 №1791).
. Приказ
Минфина Российской Федерации от 31.10.2000 №94н (в ред. от 08.11.2010) «Об
утверждении плана счетов бухгалтерского учета финансово-хозяйственной
деятельности организаций и инструкции по его применению».
. Приказ
Минфина Российской Федерации от 06.05.1999 №33н (в ред. от 27.04.2012) «Об
утверждении Положения по бухгалтерскому учету «Расходы организации» ПБУ 10/99»
(зарегистрирован в Минюсте Российской Федерации 31.05.1999 №1790).
11. Приказ
Минфина РФ от 30.12.2005 №167н (в ред. Приказа Минфина РФ от 27.11.2006 №152н,
с изм., внесенными решением Верховного Суда РФ от 26.05.2006 №ГКПИ06-499) « Об
утверждении формы книги учета доходов и расходов организаций и индивидуальных
предпринимателей, применяющих упрощенную систему налогообложения, и порядка ее
заполнения» (зарегистрирован в Минюсте Российской Федерации 03.02.2006 №7453).
12. Письмо
Минфина Российской Федерации от 15.12.2003 №04-02-05/1/108 «О внесении
исправлений в налоговые регистры организациями и предпринимателями,
применяющими упрощенную систему налогообложения».
. Информационное
письмо Президиума ВАС РФ от 11.01.2002 №66 «Обзор практики разрешения споров,
связанных с арендой».
. Закон
Санкт-Петербурга от 05.05.2009 №185-36 «Об установлении на территории
Санкт-Петербурга налоговой ставки для организаций и индивидуальных
предпринимателей, применяющих упрощенную систему налогообложения».
. Щербачева
Е.Н.Финансовые и бухгалтерские консультации: научно-практический журнал, 2011,
№10. URL: http://www.fbk.ru/upload/images/ FBK_Journal_102011.pdf
. Володин
Н. Л. Классификация бизнес центров и торговых центров. Характеристики и
критерии, 2011. URL: http://cleaneri.ru/obuchenie/ kliningovyi-likbez/klasifikacija-biznes-centrov-i-torgovyh-centrov-harakteristiki-i-kriteri.html
. Витрянский
В.В. Договор аренды и его виды - М.: «СТАТУС», 2007, 72 с.
. Савчук
В. П. Оценка эффективности инвестиционных проектов, 2001. URL: http://www.cfin.ru/finanalysis/savchuk/index.shtml