Детальный план подготовки и проведения капитального ремонта кухни
Оглавление
Введение
1. Описание предметной области
2. Системный анализ подготовки и проведения капитального ремонта
кухни
2.1 Построение дерева целей
2.2 Расчет коэффициентов относительной важности
4. Сетевой график реализации мероприятий
4.1 Составление перечня работ по деревьям мероприятий
4.2 Определение длительности работ
4.3 Построение сетевого графика
Заключение
Список литературы
Введение
Системный анализ - это комплекс исследований, направленных на
выявление общих тенденций и факторов развития организации и выработку
мероприятий по совершенствованию системы управления и всей
производственно-хозяйственной деятельности организации.
Системный анализ имеет следующие особенности:
применяется для решения таких проблем, которые не могут быть
поставлены и решены отдельными методами математики, т.е. проблем с
неопределенностью ситуации принятия решения;
использует не только формальные методы, но и методы
качественного анализа, т.е. методы, направленные на активизацию использования
интуиции и опыта специалистов;
объединяет разные методы с помощью единой методики;
опирается на научное мировоззрение, в частности, на
диалектическую логику;
дает возможность объединить знания, суждения и интуицию
специалистов различных областей знаний и обязывает их к определенной дисциплине
мышления;
основное внимание уделяет целям и целеобразованию.
Области применения системного анализа можно определить с
точки зрения характера решаемых задач:
задачи, связанные с преобразованием и анализом целей и
функций;
задачи разработки или совершенствования структур;
задачи проектирования.
Все эти задачи по-разному реализуются на различных уровнях
управления экономикой. Поэтому целесообразно выделить области применения
системного анализа и по этому принципу: задачи общегосударственного, народнохозяйственного
уровня; задачи отраслевого уровня; задачи регионального характера; задачи
уровня объединений, предприятий.
Системный анализ применим и при капитальном ремонте кухни у
меня дома.
Цель работы: составить детальный план подготовки и проведения
капитального ремонта кухни.
Объектом исследования является подготовка и проведение
капитального ремонта кухни.
Предметом исследования являются процедуры подготовки и
проведения капитального ремонта кухни.
Методы, использовавшиеся в работе:
метод системного анализа;
метод сравнения.
1. Описание
предметной области
Кухня во многих квартирах является одним из самых посещаемых
и излюбленных мест, особенно если она еще и выполняет роль столовой. Здесь
готовят кушать, обедают, завтракают и ужинают, а также предпочитают устраивать
посиделки и может проводить какое-то свободное время, читая газету или смотря
телевизор. Поэтому при ремонте кухни в первую очередь необходимо задуматься о
ее функциональной значимости, а также о том, что вам не нравится в старой кухни,
что для вас неудобно и чего бы с удовольствием перепланировали или даже убрали.
Выполняя ремонт кухни надо помнить не только о красоте ее
внешнего вида, дизайна интерьера, а также о функциональности. В целом ремонт
кухни не сильно отличается от ремонта других комнат в квартире, но стоит учесть
такие особенности, как сантехнические коммуникации, вытяжки, вентиляция и
электричество.
При капитальном ремонте кухне в первую очередь происходит
замена сантехнических коммуникаций, новая подводка электричества и освещения,
перепланировка розеток в соответствии с проектом и расположением мебели.
Затем идет этап демонтажа старого пола и делается новая
стяжка, заливка пола раствором по маякам с дальнейшей укладкой кафельной плитки
или пробкового покрытия.
Потолок можно сделать из гипсокартона, в некоторых случаях с
изгибами и коробами, встроив в него точечные светильники.
Стены идеально выравниваются по маякам, для того чтобы
кухонная мебель ровно стыковалась между собой и оклеиваются обоями, либо делают
комбинацию декоративного камня и покраски.
Так же при капитальном ремонте кухни, меняют радиаторы
отопления, окна, двери и кухонную мебель на новое.
Моя кухня нуждается как раз в капитальном ремонте - стены в
данный момент оклеены кафелем "больничного" типа, навевающем тоску, а
покрытие пола выполнено линолеумом 20-тилетней давности. Учитывая, какую важную
роль играет кухня в моем доме, проведение капитального ремонта просто
необходимо.
дерево цель проблема сетевой
2. Системный
анализ подготовки и проведения капитального ремонта кухни
2.1
Построение дерева целей
На рисунке 1 представлено дерево проблем, на основе которого
будет построено дерево целей.
Рисунок 1 - Дерево проблем моей кухни
На рисунке 2 представлено дерево целей подготовки и
проведения капитального ремонта моей кухни.
Рисунок 2 - Дерево целей подготовки и проведения капитального
ремонта кухни
2.2 Расчет
коэффициентов относительной важности
В таблице 1 представлен расчет коэффициентов относительной
важности подцелей.
Таблица 1 - Расчет коэффициентов относительной важности целей
и подцелей
|
Подцели
|
Эксперт
|
|
|
|
1
|
2
|
3
|
4
|
5
|
|
|
|
Произвести
замену покрытия стен и пола
|
1
|
2
|
1
|
1
|
2
|
|
|
|
Заменить старую
кухонную мебель
|
3
|
3
|
2
|
2
|
1
|
|
Rmax=3
|
|
Установить
натяжной потолок
|
2
|
1
|
3
|
3
|
3
|
|
|
|
Произвести
замену покрытия стен и пола
|
2
|
1
|
2
|
2
|
1
|
8
|
0,53
|
|
Заменить старую
кухонную мебель
|
0
|
0
|
1
|
1
|
2
|
4
|
0,27
|
|
Установить
натяжной потолок
|
1
|
2
|
0
|
0
|
0
|
3
|
0, 20
|
|
Очистить стены
и пол от старых покрытий
|
2
|
1
|
2
|
1
|
3
|
|
|
|
Выбрать и
наклеить новые обои
|
1
|
2
|
1
|
2
|
2
|
|
Rmax=3
|
|
Настелить новое
половое покрытие
|
3
|
3
|
3
|
3
|
1
|
|
|
|
Очистить стены
и пол от старых покрытий
|
1
|
2
|
1
|
2
|
0
|
6
|
0,40
|
|
Выбрать и
наклеить новые обои
|
2
|
1
|
2
|
1
|
1
|
7
|
0,47
|
|
Настелить новое
половое покрытие
|
0
|
0
|
0
|
0
|
2
|
2
|
0,13
|
|
"Пристроить"
старую кухонную мебель
|
1
|
2
|
1
|
1
|
2
|
|
|
|
Выбрать и
заказать новую кухонную мебель
|
3
|
1
|
3
|
2
|
3
|
|
Rmax=3
|
|
Установить
новую кухонную мебель
|
2
|
3
|
2
|
3
|
1
|
|
|
|
"Пристроить"
старую кухонную мебель
|
2
|
1
|
2
|
2
|
1
|
8
|
0,53
|
|
Выбрать и
заказать новую кухонную мебель
|
0
|
2
|
0
|
1
|
0
|
3
|
0, 20
|
|
Установить
новую кухонную мебель
|
1
|
0
|
1
|
0
|
2
|
4
|
0,27
|
|
Выбрать фирму,
делающую натяжные потолки
|
3
|
2
|
1
|
1
|
2
|
|
|
|
Заказать
установку натяжного потолка
|
2
|
3
|
2
|
2
|
1
|
|
Rmax=3
|
|
Установить
новый потолок
|
1
|
1
|
3
|
3
|
3
|
|
|
|
Выбрать фирму,
делающую натяжные потолки
|
0
|
1
|
2
|
2
|
1
|
6
|
0,40
|
|
Заказать
установку натяжного потолка
|
1
|
0
|
1
|
1
|
2
|
5
|
0,33
|
|
Установить
новый потолок
|
2
|
2
|
0
|
0
|
0
|
4
|
0,27
|
На рисунке 3 представлено дерево целей подготовки и
проведения ремонта кухни с учетом коэффициентов относительной важности.
Рисунок 3 - Дерево целей подготовки и проведения капитального
ремонта кухни с учетом КОВ
Таким образом, самое главное для организации и проведения
капитального ремонта - произвести замену покрытия стен и пола (0,53). На втором
месте - замена старой кухонной мебели (0,27). На третьем месте - установить
натяжной потолок (0, 20).
Для достижения первой цели - проведения замены покрытия стен
и пола:
во-первых - очистить стены и пол от старых покрытий (0,2809);
во-вторых - выбрать и наклеить новые обои (0,1431);
в-третьих - настелить новое половое покрытие (0,106).
По данным, самая важная подцель - очистить стены и пол от
старых покрытий, но на этом нельзя остановить ремонтные работы - далее следует
выбор и наклейка новых обоев, а также нужно новое покрытие для пола.
Для достижения второй цели - хорошей организации праздничного
стола, необходимо:
во-первых - пристроить старую мебель (0,1431);
во-вторых - установить новую кухонную мебель (0,0729);
в-третьих - выбрать и заказать новую кухонную мебель (0,054).
По данным, самая важная подцель - пристроить старую мебель,
но достижение двух других целей также необходимо - отдать всю мебель и не
купить ничего взамен - глупость.
Для достижения третьей цели - установки натяжного потолка,
необходимо:
во-первых - выбрать фирму, делающую натяжные потолки (0,08);
во-вторых - заказать установку натяжного потолка (0,066
балла);
в-третьих - установить новый потолок вечер (0,054).
По данным, самая важная подцель - выбрать фирму, делающую
натяжные потолки, но достижение двух других целей также необходимо - только
выбор фирмы не решит проблем, нужно заказать и установить потолок.
Таким образом, необходимо обеспечить максимально эффективное
достижение всех подцелей.
3.
Мероприятия по достижению подцелей
На рисунках 4-6 представлены деревья мероприятий с
коэффициентами весомости альтернативных вариантов решений первого семейства.
Рисунок 4 - Дерево мероприятий для подцели "Очистить
стены и пол от старых покрытий"
Рисунок 5 - Дерево мероприятий для подцели "Выбрать и
наклеить обои"
Рисунок 6 - Дерево мероприятий для подцели "Настелить
новое половое покрытие"
Далее произведем расчет КОВ для критериев.
Выбраны следующие критерии оценки мероприятий:
эффективность варианта;
затраты на реализацию;
затраты времени на проведение.
Таблица 2 - Расчет КОВ для критериев
|
Критерии
|
Эксперт
|
|
|
|
1
|
2
|
3
|
4
|
5
|
|
|
|
Эффективность
варианта
|
1
|
2
|
1
|
1
|
2
|
|
|
|
Затраты на реализацию
|
3
|
1
|
3
|
2
|
1
|
|
Rmax=3
|
|
Затраты времени
проведение
|
2
|
3
|
2
|
3
|
3
|
|
|
|
Критерии
|
Эксперт
|
Сумма
|
КОВ
|
|
1
|
2
|
3
|
4
|
5
|
|
|
|
Эффективность
варианта
|
2
|
1
|
2
|
2
|
1
|
8
|
0,534
|
|
Затраты на
реализацию
|
0
|
2
|
0
|
1
|
2
|
5
|
0,333
|
|
Затраты времени
проведение
|
1
|
0
|
1
|
0
|
0
|
2
|
0,133
|
|
|
|
|
|
|
|
15
|
1
|
|
|
|
|
|
|
|
|
|
Согласно таблице 2, критерии оценки мероприятий получили
следующие веса: эффективность варианта - 0,534; затраты на реализацию - 0,333;
затраты времени на проведение - 0,133.
Таблица 3 - Расчет КОВ для мероприятий 2
семейства 1 группы
|
Критерии
|
КВ
|
1.1
|
1.2
|
1.3
|
Сумма
|
|
Эффективность
варианта
|
0,534
|
0,1
|
0,5
|
0,4
|
1
|
|
Затраты на
реализацию
|
0,333
|
0,3
|
0,3
|
0,4
|
1
|
|
Затраты времени
проведение
|
0,133
|
0,1
|
0,7
|
0,2
|
1
|
|
0,167
|
0,460
|
0,373
|
1
|
|
Критерии
|
КВ
|
2.1
|
2.2
|
Сумма
|
|
|
Эффективность
варианта
|
0,534
|
0,8
|
0,2
|
1
|
|
|
Затраты на
реализацию
|
0,333
|
0,5
|
0,5
|
1
|
|
|
Затраты времени
проведение
|
0,133
|
0,7
|
0,3
|
1
|
|
|
Итоговые оценки
|
|
0,687
|
0,313
|
1
|
|
|
Критерии
|
КВ
|
2.3
|
2.4
|
Сумма
|
|
|
Эффективность
варианта
|
0,534
|
0,5
|
0,5
|
1
|
|
|
Затраты на
реализацию
|
0,333
|
0,5
|
0,5
|
1
|
|
|
Затраты времени
подготовку
|
0,133
|
0,7
|
0,3
|
1
|
|
|
Итоговые оценки
|
|
0,527
|
0,473
|
1
|
|
|
Критерии
|
КВ
|
2.5
|
2.6
|
Сумма
|
|
|
Эффективность
варианта
|
0,534
|
0,5
|
0,5
|
1
|
|
|
Затраты на
реализацию
|
0,333
|
0,4
|
0,6
|
1
|
|
|
Затраты времени
проведение
|
0,133
|
0,7
|
0,3
|
1
|
|
|
Итоговые оценки
|
|
0,493
|
0,507
|
1
|
|
|
Критерии
|
КВ
|
3.1
|
3.2
|
Сумма
|
|
|
Эффективность
варианта
|
0,534
|
0,2
|
0,8
|
1
|
|
|
Затраты на
реализацию
|
0,333
|
0,4
|
0,6
|
1
|
|
|
Затраты времени
проведение
|
0,133
|
0,7
|
0,3
|
1
|
|
|
Итоговые оценки
|
|
0,333
|
0,667
|
1
|
|
|
Критерии
|
КВ
|
3.3
|
3.4
|
Сумма
|
|
|
Эффективность
варианта
|
0,534
|
0,4
|
0,6
|
1
|
|
|
Затраты на
реализацию
|
0,333
|
0,4
|
0,6
|
1
|
|
|
Затраты времени
проведение
|
0,133
|
0,7
|
0,3
|
1
|
|
|
Итоговые оценки
|
|
0,440
|
0,560
|
1
|
|
|
Критерии
|
КВ
|
3.5
|
3.6
|
Сумма
|
|
|
Эффективность
варианта
|
0,534
|
0,8
|
0,2
|
1
|
|
|
Затраты на
реализацию
|
0,333
|
0,2
|
0,8
|
1
|
|
|
Затраты времени
проведение
|
0,133
|
0,7
|
0,3
|
1
|
|
|
Итоговые оценки
|
|
0,587
|
0,413
|
1
|
|
|
Критерии
|
КВ
|
3.7
|
3.8
|
Сумма
|
|
|
Эффективность
варианта
|
0,534
|
0,8
|
0,2
|
1
|
|
|
Затраты на
реализацию
|
0,333
|
0,5
|
0,5
|
1
|
|
|
Затраты времени
проведение
|
0,133
|
0,7
|
0,3
|
1
|
|
|
Итоговые оценки
|
|
0,687
|
0,313
|
1
|
|
|
Критерии
|
КВ
|
3.9
|
3.10
|
Сумма
|
|
|
Эффективность
варианта
|
0,534
|
0,8
|
0,2
|
1
|
|
|
Затраты на
реализацию
|
0,333
|
0,5
|
0,5
|
1
|
|
|
Затраты времени
проведение
|
0,133
|
0,2
|
0,8
|
1
|
|
|
Итоговые оценки
|
|
0,620
|
0,380
|
1
|
|
|
Критерии
|
КВ
|
3.11
|
3.12
|
Сумма
|
|
|
Эффективность
варианта
|
0,534
|
0,8
|
0,2
|
1
|
|
|
Затраты на
реализацию
|
0,333
|
0,6
|
0,4
|
1
|
|
|
Затраты времени
проведение
|
0,133
|
0,2
|
0,8
|
1
|
|
|
Итоговые оценки
|
|
0,654
|
0,346
|
1
|
|
Ветвь 0-3.1 =0,167*0,687*0,333=0,038
Ветвь 0-3.2 =0,167*0,687*0,667=0,077
Ветвь 0-3.3 =0,167*0,313*0,440=0,023
Ветвь 0-3.4 =0,167*0,313*0,560=0,029
Ветвь 0-3.5 =0,460*0,527*0,587=0,142
Ветвь 0-3.6 =0,460*0,527*0,413=0,100
Ветвь 0-3.7 =0,460*0,473*0,687=0,149
Ветвь 0-3.8 =0,460*0,473*0,313=0,068
Ветвь 0-3.9 =0,373*0,493*0,620=0,114
Ветвь 0-3.10 =0,373*0,493*0,380=0,070
Ветвь 0-3.11 =0,373*0,507*0,654=0,124
Ветвь 0-3.12 =0,373*0,507*0,346=0,065. Сумма = 1
Таким образом, наиболее эффективные варианты достижения
целей:
. Очистить стены от старых покрытий, обойдясь собственными
силами и выполнив все покачественнее (0,077).
. Выбрать и наклеить новые обои, ориентируясь на качество и
предпочесть обои из камыша (0,149).
. Настелить новое пробковое половое покрытие, выбрав
подешевле и (0,124).
Рисунок 7 - Дерево мероприятий для подцели "Пристроить
старую кухонную мебель"
Рисунок 8 - Дерево мероприятий для подцели "Выбрать и
заказать новую кухонную мебель"
Рисунок 9 - Дерево мероприятий для подцели "Установить
новую кухонную мебель"
Таблица 4 - Расчет КОВ для мероприятий семейства 2 группы 2
|
Критерии
|
КВ
|
1.4
|
1.5
|
1.6
|
Сумма
|
|
Эффективность
варианта
|
0,534
|
0,2
|
0,3
|
0,5
|
1
|
|
Затраты на
реализацию
|
0,333
|
0,3
|
0,3
|
0,4
|
1
|
|
Затраты времени
проведение
|
0,133
|
0,1
|
0,7
|
0,2
|
1
|
|
Итоговые оценки
|
|
0,220
|
0,353
|
0,427
|
1
|
|
Критерии
|
КВ
|
2.7
|
2.8
|
Сумма
|
|
|
Эффективность
варианта
|
0,534
|
0,8
|
0,2
|
1
|
|
|
Затраты на
реализацию
|
0,333
|
0,5
|
0,5
|
1
|
|
|
Затраты времени
проведение
|
0,133
|
0,2
|
0,8
|
1
|
|
|
Итоговые оценки
|
|
0,620
|
0,380
|
1
|
|
|
Критерии
|
КВ
|
2.9
|
2.10
|
Сумма
|
|
|
Эффективность
варианта
|
0,534
|
0,3
|
0,7
|
1
|
|
|
Затраты на
реализацию
|
0,333
|
0,5
|
0,5
|
1
|
|
|
Затраты времени
проведение
|
0,133
|
0,2
|
0,8
|
1
|
|
|
Итоговые оценки
|
|
0,353
|
0,647
|
1
|
|
|
Критерии
|
КВ
|
2.11
|
2.12
|
Сумма
|
|
|
Эффективность
варианта
|
0,534
|
0,3
|
0,7
|
1
|
|
|
Затраты на
реализацию
|
0,333
|
0,6
|
0,4
|
1
|
|
|
Затраты времени
проведение
|
0,133
|
0,2
|
0,8
|
1
|
|
0,387
|
0,613
|
1
|
|
|
Критерии
|
КВ
|
3.13
|
3.14
|
Сумма
|
|
|
Эффективность
варианта
|
0,534
|
0,3
|
0,7
|
1
|
|
|
Затраты на
реализацию
|
0,333
|
0,4
|
0,6
|
1
|
|
|
Затраты времени
проведение
|
0,133
|
0,2
|
0,8
|
1
|
|
|
Итоговые оценки
|
|
0,320
|
0,680
|
1
|
|
|
Критерии
|
КВ
|
3.15
|
3.16
|
Сумма
|
|
|
Эффективность
варианта
|
0,534
|
0,1
|
0,9
|
1
|
|
|
Затраты на реализацию
|
0,333
|
0,4
|
0,6
|
1
|
|
|
Затраты времени
проведение
|
0,133
|
0,2
|
0,8
|
1
|
|
|
Итоговые оценки
|
|
0,213
|
0,787
|
1
|
|
|
Критерии
|
КВ
|
3.17
|
3.18
|
Сумма
|
|
|
Эффективность
варианта
|
0,534
|
0,1
|
0,9
|
1
|
|
|
Затраты на
реализацию
|
0,333
|
0,6
|
0,4
|
1
|
|
|
Затраты времени
проведение
|
0,133
|
0,2
|
0,8
|
1
|
|
|
Итоговые оценки
|
|
0,280
|
0,720
|
1
|
|
|
Критерии
|
КВ
|
3.19
|
3.20
|
Сумма
|
|
|
Эффективность
варианта
|
0,534
|
0,4
|
0,6
|
1
|
|
|
Затраты на
реализацию
|
0,333
|
0,6
|
0,4
|
1
|
|
|
Затраты времени
проведение
|
0,133
|
0,2
|
0,8
|
1
|
|
|
Итоговые оценки
|
|
0,440
|
0,560
|
1
|
|
|
Критерии
|
КВ
|
3.21
|
3.22
|
Сумма
|
|
|
Эффективность
варианта
|
0,534
|
0,4
|
0,6
|
1
|
|
|
Затраты на
реализацию
|
0,333
|
0,5
|
0,5
|
1
|
|
|
Затраты времени
проведение
|
0,133
|
0,2
|
0,8
|
1
|
|
|
Итоговые оценки
|
|
0,407
|
0,593
|
1
|
|
|
Критерии
|
КВ
|
3.23
|
3.24
|
Сумма
|
|
|
Эффективность
варианта
|
0,534
|
0,8
|
0,2
|
1
|
|
|
Затраты на
реализацию
|
0,333
|
0,2
|
0,8
|
1
|
|
|
Затраты времени
проведение
|
0,133
|
0,5
|
0,5
|
1
|
|
|
Итоговые оценки
|
|
0,560
|
0,440
|
1
|
|
Ветвь 0-3.13 =0,220*0,620*0,320=0,044
Ветвь 0-3.14 =0,220*0,620*0,680=0,093
Ветвь 0-3.15 =0,220*0,380*0,213=0,018
Ветвь 0-3.16 =0,220*0,380*0,787=0,066
Ветвь 0-3.17 =0,353*0,353*0,280=0,035
Ветвь 0-3.18 =0,353*0,353*0,720=0,090
Ветвь 0-3.19 =0,353*0,647*0,440=0,100
Ветвь 0-3.20 =0,353*0,647*0,560=0,128
Ветвь 0-3.21 =0,427*0,387*0,407=0,067
Ветвь 0-3.22 =0,427*0,387*0,593=0,098
Ветвь 0-3.23 =0,427*0,613*0,560=0,147
Ветвь 0-3.24 =0,427*0,613*0,440=0,115. Сумма = 1
Таким образом, наиболее эффективные варианты достижения
целей:
. Пристроить старую кухонную мебель, продав ее по объявлению
в "Из рук в руки" (0,093)
. Выбрать и заказать новую кухонную мебель в салонах г.
Новокузнецка, выбрав подешевле (0,128).
. Установить новую кухонную мебель по плану, позвав друзей на
помощь (0,147).
Рисунок 10 - Дерево мероприятий для подцели "Выбрать
фирму по установке потолка"
Рисунок 11 - Дерево мероприятий для подцели "Заказать
потолок"
Рисунок 12 - Дерево мероприятий для подцели "Установить
новый потолок"
Таблица 5 - Расчет КОВ для мероприятий
семейства 2 группы 3
|
Критерии
|
КВ
|
1.7
|
1.8
|
1.9
|
Сумма
|
|
Эффективность
варианта
|
0,534
|
0,2
|
0,3
|
0,5
|
1
|
|
Затраты на
реализацию
|
0,333
|
0,6
|
0,2
|
0,2
|
1
|
|
Затраты времени
проведение
|
0,133
|
0,1
|
0,7
|
0,2
|
1
|
|
Итоговые оценки
|
|
0,320
|
0,320
|
0,360
|
1
|
|
Критерии
|
КВ
|
2.13
|
2.14
|
Сумма
|
|
|
Эффективность
варианта
|
0,534
|
0,2
|
0,8
|
1
|
|
|
Затраты на
реализацию
|
0,333
|
0,2
|
0,8
|
1
|
|
|
Затраты времени
проведение
|
0,133
|
0,5
|
0,5
|
1
|
|
|
Итоговые оценки
|
|
0,240
|
0,760
|
1
|
|
|
Критерии
|
КВ
|
2.15
|
2.16
|
Сумма
|
|
|
Эффективность
варианта
|
0,534
|
0,2
|
0,8
|
1
|
|
|
Затраты на
реализацию
|
0,333
|
0,7
|
0,3
|
1
|
|
|
Затраты времени
проведение
|
0,133
|
0,5
|
0,5
|
1
|
|
|
Итоговые оценки
|
|
0,406
|
0,594
|
1
|
|
|
Критерии
|
КВ
|
2.17
|
2.18
|
Сумма
|
|
|
Эффективность
варианта
|
0,534
|
0,2
|
0,8
|
1
|
|
|
Затраты на
реализацию
|
0,333
|
0,7
|
0,3
|
1
|
|
|
Затраты времени
проведение
|
0,133
|
0,1
|
0,9
|
1
|
|
|
Итоговые оценки
|
|
0,353
|
0,647
|
1
|
|
|
Критерии
|
КВ
|
3.25
|
3.26
|
Сумма
|
|
|
Эффективность
варианта
|
0,534
|
0,2
|
0,8
|
1
|
|
|
Затраты на
реализацию
|
0,333
|
0,4
|
0,6
|
1
|
|
|
Затраты времени
проведение
|
0,133
|
0,1
|
0,9
|
1
|
|
|
Итоговые оценки
|
|
0,253
|
0,747
|
1
|
|
|
Критерии
|
КВ
|
3.27
|
3.28
|
Сумма
|
|
|
Эффективность
варианта
|
0,534
|
0,2
|
0,8
|
1
|
|
|
Затраты на реализацию
|
0,333
|
0,8
|
0,2
|
1
|
|
|
Затраты времени
проведение
|
0,133
|
0,2
|
0,8
|
1
|
|
|
Итоговые оценки
|
|
0,400
|
0,600
|
1
|
|
|
Критерии
|
КВ
|
3.29
|
3.30
|
Сумма
|
|
|
Эффективность
варианта
|
0,534
|
0,2
|
0,8
|
1
|
|
|
Затраты на
реализацию
|
0,333
|
0,9
|
0,1
|
1
|
|
|
Затраты времени
проведение
|
0,133
|
0,2
|
0,8
|
|
|
Итоговые оценки
|
|
0,433
|
0,567
|
1
|
|
|
Критерии
|
КВ
|
3.31
|
3.32
|
Сумма
|
|
|
Эффективность
варианта
|
0,534
|
0,2
|
0,8
|
1
|
|
|
Затраты на
реализацию
|
0,333
|
0,9
|
0,1
|
1
|
|
|
Затраты времени
проведение
|
0,133
|
0,5
|
0,5
|
1
|
|
|
Итоговые оценки
|
|
0,473
|
0,527
|
1
|
|
|
Критерии
|
КВ
|
3.33
|
3.34
|
Сумма
|
|
|
Эффективность
варианта
|
0,534
|
0,2
|
0,8
|
1
|
|
|
Затраты на
реализацию
|
0,333
|
0,8
|
0,2
|
1
|
|
|
Затраты времени
проведение
|
0,133
|
0,5
|
0,5
|
1
|
|
|
Итоговые оценки
|
|
0,440
|
0,560
|
1
|
|
|
Критерии
|
КВ
|
3.35
|
3.36
|
Сумма
|
|
|
Эффективность
варианта
|
0,534
|
0,2
|
0,8
|
1
|
|
|
Затраты на
реализацию
|
0,333
|
0,8
|
0,2
|
1
|
|
|
Затраты времени
проведение
|
0,133
|
0,9
|
0,1
|
1
|
|
|
Итоговые оценки
|
|
0,493
|
0,507
|
1
|
|
Ветвь 0-3.25=0,320*0,240*0,253=0,019
Ветвь 0-3.26=0,320*0,240*0,747=0,057
Ветвь 0-3.27=0,320*0,760*0,400=0,097
Ветвь 0-3.28=0,320*0,760*0,600=0,146
Ветвь 0-3.29=0,320*0,406*0,433=0,056
Ветвь 0-3.30=0,320*0,406*0,567=0,074
Ветвь 0-3.31=0,320*0,594*0,473=0,090
Ветвь 0-3.32=0,320*0,594*0,527=0,100
Ветвь 0-3.33=0,360*0,353*0,440=0,056
Ветвь 0-3.34=0,360*0,353*0,560=0,071
Ветвь 0-3.35=0,360*0,647*0,493=0,115
Ветвь 0-3.36=0,360*0,647*0,507=0,118. Сумма = 1
Таким образом, наиболее эффективные варианты достижения
целей:
. Выбрать фирму по установке натяжного потолка по советам
сотрудников (0,146).
. Заказать установку потолка в кредит, ориентируясь на
качество (0,100).
. Установить новый потолок подешевле, выбрав зеленый цвет
(0,118).
4. Сетевой
график реализации мероприятий
4.1
Составление перечня работ по деревьям мероприятий
Виды работ:
. Очистить стены от старых покрытий, обойдясь собственными
силами и выполнив все покачественнее.
. Выбрать и наклеить новые обои, ориентируясь на качество и
предпочесть обои из камыша.
. Настелить новое пробковое половое покрытие, выбрав
подешевле.
. Пристроить старую кухонную мебель, продав ее по объявлению
в "Из рук в руки".
. Выбрать и заказать новую кухонную мебель в салонах г.
Новокузнецка, выбрав подешевле.
. Установить новую кухонную мебель по плану, позвав друзей на
помощь.
. Выбрать фирму по установке натяжного потолка по советам
сотрудников.
. Заказать установку потолка в кредит, ориентируясь на
качество.
. Установить новый потолок подешевле, выбрав зеленый цвет.
4.2
Определение длительности работ
Длительность работ представлена в таблице 6.
Таблица 6 - Длительность работ
|
Виды работ
|
Длительность,
дней
|
|
Очистить стены
от старых покрытий, обойдясь собственными силами и выполнив все
покачественнее
|
3
|
|
Выбрать и
наклеить новые обои, ориентируясь на качество и предпочесть обои из камыша
|
2
|
|
Настелить новое
пробковое половое покрытие, выбрав подешевле
|
1
|
|
Пристроить
старую кухонную мебель, продав ее по объявлению в "Из рук в руки"
|
14
|
|
Выбрать и
заказать новую кухонную мебель в салонах г. Новокузнецка, выбрав подешевле
|
6
|
|
Установить
новую кухонную мебель по плану, позвав друзей на помощь
|
2
|
|
Выбрать фирму
по установке натяжного потолка по советам сотрудников
|
2
|
|
Заказать
установку потолка в кредит, ориентируясь на качество
|
2
|
|
Установить
новый потолок подешевле, выбрав зеленый цвет
|
10
|
Совокупная длительность работ составит 42 дня.
Составим сетевой график.
4.3
Построение сетевого графика
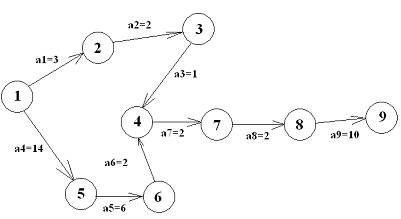
На рисунке 13 представлен сетевой график.
Рисунок 13 - Сетевой график
Таблица 4 - Расчет общей продолжительности работ
|
Работа
|
Прод-ть
|
Время начала
|
Время окончания
|
Резервы
|
|
|
Es
|
Ls
|
Ef
|
Lf
|
П
|
Св
|
|
1
|
2
|
3
|
4
|
5
|
6
|
7
|
8
|
|
1
|
3
|
0
|
16
|
3
|
19
|
16
|
0
|
|
2
|
2
|
3
|
19
|
5
|
21
|
16
|
0
|
|
3
|
1
|
5
|
21
|
6
|
22
|
16
|
16
|
|
4
|
14
|
0
|
0
|
14
|
14
|
0
|
0
|
|
5
|
6
|
14
|
14
|
20
|
20
|
0
|
0
|
|
6
|
2
|
20
|
20
|
22
|
22
|
0
|
0
|
|
7
|
2
|
22
|
22
|
24
|
24
|
0
|
0
|
|
8
|
2
|
24
|
24
|
26
|
26
|
0
|
0
|
|
9
|
10
|
26
|
26
|
36
|
36
|
0
|
0
|
Критический путь:
-5-6-4-7-8-9, его длина - 36 дней.
На рисунке 14 представлен сетевой график с обозначенным
критическим путем.
Рисунок 14 - Сетевой график и критический путь
Таким образом, одновременно с выполнением работ по обдинаю и
наклейке обоев и укладки полового покрытия необходимо избавляться от старой и
ненужной кухонной мебели.
Заключение
В курсовой работе был проведен системный анализ подготовки и
проведения капитального ремонта моей кухни, построено дерево целей, проведен
расчет коэффициентов относительной важности, построены деревья мероприятий с
коэффициентами весомости альтернативных вариантов решений, построен сетевой
график реализации мероприятий.
Список работ включает:
. Очистить стены от старых покрытий, обойдясь собственными
силами и выполнив все покачественнее.
. Выбрать и наклеить новые обои, ориентируясь на качество и
предпочесть обои из камыша.
. Настелить новое пробковое половое покрытие, выбрав
подешевле.
. Пристроить старую кухонную мебель, продав ее по объявлению
в "Из рук в руки".
. Выбрать и заказать новую кухонную мебель в салонах г.
Новокузнецка, выбрав подешевле.
. Установить новую кухонную мебель по плану, позвав друзей на
помощь.
. Выбрать фирму по установке натяжного потолка по советам
сотрудников.
. Заказать установку потолка в кредит, ориентируясь на
качество.
. Установить новый потолок подешевле, выбрав зеленый цвет.
Была найден критический путь выполнения работ. Его длина
составила 36 дней.
Список
литературы
1. Кричевский, А.И. Системный анализ [Текст] / А.И.
Кричевский. Новосибирск, НГУЭУ, 2005. - 124с.
2. Фатхутдинов
Р.А. Управленческие решения [Текст]: Учебник. - 6-е изд., перераб. и доп. - М.:
ИНФРА-М, 2006. - 344с.