Дискретная динамическая модель гейзера
Содержание
Введение
.
Суть компьютерного моделирования
.
Система, модели и имитационное моделирование
.
Дискретно-событийное моделирование
.1
Механизмы продвижения времени
.2
Компоненты дискретно-событийной имитационной модели и их организация
.
Усиление и ослабление факторов сопутствующих активности гейзера
.
Дискретная динамическая модель гейзера
Заключение
Список
литературы
Введение
Гейзеры - это редкие природные явления и для их
появления требуется выполнение нескольких условий: наличие воды, источника
тепла и резервуара связанного с водопроводящей системой каналов [1] - [7].
Существует около шести основных типов гейзеров, классифицированных по общим
физическим параметрам и отдельно по геометрии их резервуаров [6]. Гейзеры по
существу являются горячими источниками, которые обладают нестабильной
термодинамической и гидродинамической моделью. Хотя, может быть много других
факторов, поддерживающих динамическую активность гейзера. Точное моделирование
гейзера - это вызов для научного сообщества в теоретических и экспериментальных
исследованиях. Многофазные потоки являются естественным явлением при
моделировании гейзеров. Эти потоки чрезвычайно сложны для расчётов из-за
деформаций и быстрого преобразования раздела между паровой и жидкой фазами.
Осложнения вызывает то, что фазы могут быть диспергированы неравномерно, как в
поперечном сечении водопроводящей системы каналов, с неизвестной геометрий, так
и в продольном. В настоящее время теоретические исследования, на основе полного
набора уравнений гидродинамики, в том числе сохранения массы, импульса, момента
импульса и энергии, предусмотренные в соответствующих уравнениях, не так
плодотворны с физической точки зрения и из-за сложности расчетов [8], [9]. Для
того чтобы преодолеть это, различные эмпирические распределения потоков, как
правило, объединяются в группы, называемые шаблонами потоков. Этот подход
полезен в моделировании потоков при выявлении возникновения различных шаблонов
потоков предоставляемых в упрощенной модели, связанной с вариациями форм потока.
В частности, корреляции между падением давления и скоростью потока фазы
отношений, которые играют основную роль на практике. Существует множество
структур потоков для вертикального, горизонтального потоков и потока
движущегося под углом, хотя именно модель вертикального потока, представляет
основной интерес в изучении гейзеров. Основные виды: пузырьковый поток;
пробковый или поршневой поток из более крупных пузырьков, которые приближаются
по размеру к диаметру водопроводящей системы; вспененный поток, характеризующийся
хаотическими вибрациями; кольцевой поток, в котором жидкость течет по стенке
вниз в виде пленки, а поток газа поднимается в центре канала; эмульсионный
поток с большой концентрацией капель в газовом потоке [10].
В одном из разделов данной работы предлагается
на основе анализа усиления и подавление факторов, специальной дискретной
динамической модели, описывающей активность гейзера в соответствии с некоторыми
популярными эмпирическими картами, связанными с различными вертикальными
моделями течения [11] - [18]. Конкуренция между усилением и рассеянием энергии
в вертикальном пробковом потоке рассматривается, как возможный начальный этап
активности гейзера, и поскольку развитие вертикального пробкового потока
показывает, что доля пустот, пузырей Тейлора и длинны жидкой части потока,
зависит от значений различных параметров и имеет важное значение для описания
динамической неустойчивости [20], [21]. С физической точки зрения, очевидно,
что активность в гейзере всегда приводит к снижению вязкости жидкости на
глубине, заполняющей водопроводящую систему каналов и увеличению размера
пузырей пара в потоке. Таким образом, амплитуда термомеханических колебаний
может быстро увеличиваться с повышением температуры. Предполагается, что
скорость диссипации энергии зависит от температуры окружающей среды, и простая
зависимость диссипации энергии от температуры может быть выражена, как линейная
функция с небольшим наклоном, которая должна вводиться, как уравнение теплового
баланса и также должна описывать механические колебания [22]. Физическая
картина динамических процессов в действующих гейзерах должна быть довольно
простой. Падение вязкости приводит к некоторому увеличению амплитуды, которой
способствует введение дополнительной порции тепла. Это тепло вызывает снижение
вязкости, так что поступление инъекция тепла должно уменьшаться. Ясно, что
такие процессы будут подходить некоторое стационарное состояние. Тем не менее,
рассматриваемая система, будучи нелинейной, может обладать гистерезисным
установившимся режимом движения, что может привести к опасным колебаниям, даже
если её собственные колебания будут далеки от резонансной частоты.
1. Суть компьютерного моделирования
Компьютерное моделирование как новый метод
научных исследований основывается на:
) построении математических моделей для описания
изучаемых процессов;
) использовании новейших вычислительных машин,
обладающих высоким быстродействием (миллионы операций в секунду) и способных
вести диалог с человеком.
Суть компьютерного моделирования состоит в следующем:
на основе математической модели с помощью компьютера проводится серия
вычислительных экспериментов, т.е. исследуются свойства объектов или процессов,
находятся их оптимальные параметры и режимы работы, уточняется модель.
Например, располагая уравнением, описывающим протекание того или иного
процесса, можно изменяя его коэффициенты, начальные и граничные условия,
исследовать, как при этом будет вести себя объект. Имитационные модели - это
проводимые на компьютере вычислительные эксперименты с математическими
моделями, имитирующими поведение реальных объектов, процессов или систем.
Реальные процессы и системы можно исследовать с
помощью двух типов математических моделей: аналитических и имитационных.
В аналитических моделях поведение реальных
процессов и систем (РПС) задается в виде явных функциональных зависимостей
(уравнений линейных или нелинейных, дифференциальных или интегральных, систем
этих уравнений). Однако получить эти зависимости удается только для
сравнительно простых РПС. Когда явления сложны и многообразны исследователю
приходится идти на упрощенные представления сложных РПС. В результате
аналитическая модель становится слишком грубым приближением к действительности.
Если все же для сложных РПС удается получить аналитические модели, то зачастую
они превращаются в трудно разрешимую проблему. Поэтому исследователь вынужден
часто использовать имитационное моделирование.
Имитационное моделирование представляет собой
численный метод проведения на компьютере вычислительных экспериментов с
математическими моделями, имитирующими поведение реальных объектов, процессов и
систем во времени в течение заданного периода. При этом функционирование РПС
разбивается на элементарные явления, подсистемы и модули. Функционирование этих
элементарных явлений, подсистем и модулей описывается набором алгоритмов,
которые имитируют элементарные явления с сохранением их логической структуры и
последовательности протекания во времени.
Имитационное моделирование - это совокупность
методов алгоритмизации функционирования объектов исследований, программной
реализации алгоритмических описаний, организации, планирования и выполнения на
компьютере вычислительных экспериментов с математическими моделями,
имитирующими функционирование РПС в течение заданного периода.
Под алгоритмизацией функционирования РПС
понимается пооперационное описание работы всех ее функциональных подсистем
отдельных модулей с уровнем детализации, соответствующим комплексу требований к
модели.
"Имитационное моделирование" (ИМ) -
это двойной термин. "Имитация" и "моделирование" - это
синонимы. Фактически все области науки и техники являются моделями реальных
процессов. Чтобы отличить математические модели друг от друга, исследователи
стали давать им дополнительные названия. Термин "имитационное моделирование"
означает, что мы имеем дело с такими математическими моделями, с помощью
которых нельзя заранее вычислить или предсказать поведение системы, а для
предсказания поведения системы необходим вычислительный эксперимент (имитация)
на математической модели при заданных исходных данных.
Основное достоинство ИМ:
)возможность описания поведения компонент
(элементов) процессов или систем на высоком уровне детализации;
)отсутствие ограничений между параметрами ИМ и
состоянием внешней среды РПС;
)возможность исследования динамики
взаимодействия компонент во времени и пространстве параметров системы.
Эти достоинства обеспечивают имитационному
методу широкое распространение.
Рекомендуется использовать имитационное
моделирование в следующих случаях:
)Если не существует законченной постановки
задачи исследования и идет процесс познания объекта моделирования. Имитационная
модель служит средством изучения явления.
)Если аналитические методы имеются, но
математические процессы сложны и трудоемки, и имитационное моделирование дает
более простой способ решения задачи.
)Когда кроме оценки влияния параметров
(переменных) процесса или системы желательно осуществить наблюдение за
поведением компонент (элементов) процесса или системы (ПС) в течение
определенного периода.
)Когда имитационное моделирование оказывается
единственным способом исследования сложной системы из-за невозможности
наблюдения явлений в реальных условиях (реакции термоядерного синтеза,
исследования космического пространства).
)Когда необходимо контролировать протекание
процессов или поведение систем путем замедления или ускорения явлений в ходе
имитации.
)При подготовке специалистов для новой техники,
когда на имитационных моделях обеспечивается возможность приобретения навыков в
эксплуатации новой техники.
)Когда изучаются новые ситуации в РПС. В этом
случае имитация служит для проверки новых стратегий и правил проведения
натурных экспериментов.
) Когда особое значение имеет последовательность
событий в проектируемых ПС и модель используется для предсказания узких мест в
функционировании РПС.
Однако ИМ наряду с достоинствами имеет и
недостатки:
) разработка хорошей ИМ часто обходится дороже
создания аналитической модели и требует больших временных затрат;
) может оказаться, что ИМ неточна (что бывает
часто), и мы не в состоянии измерить степень этой неточности;
) зачастую исследователи обращаются к ИМ, не
представляя тех трудностей , с которыми они встретятся и совершают при этом ряд
ошибок методологического характера.
И, тем не менее, ИМ является одним из наиболее
широко используемых методов при решении задач синтеза и анализа сложных
процессов и систем.
2. Система, модели и имитационное
моделирование
Система - это совокупность объектов, например
людей или механизмов, функционирующих и взаимодействующих друг с другом для
достижения определенной цели. Данное определение предложено Шмидтом и Тейлором.
На практике понятие системы зависит от задач
конкретного исследования. Так, совокупность предметов, которые составляют
систему в одном исследовании, может являться лишь подмножеством в иной системе,
при проведении другого исследования. Скажем, при исследовании функционирования
банка с целью определения числа кассиров, необходимого для обеспечения
адекватного обслуживания клиентов, желающих снять деньги со счета, обналичить
чек, сделать вклад, система будет состоять из кассиров и посетителей, ожидающих
своей очереди на обслуживание. Если же в исследовании должны быть учтены
служащие, занимающиеся выдачей кредитов, и сейфы для вкладов на ответственном
хранении, определение системы расширится соответствующим образом.
Состояние системы определяется как совокупность
переменных, необходимых для описания системы на определенный момент времени в
соответствии с задачами исследования. При исследовании банка примерами переменных
состояния могут служить число занятых кассиров, число посетителей в банке и
время прибытия каждого клиента в банк.
Существуют системы двух типов: дискретные и
непрерывные. В дискретной системе переменные состояния в различные периоды
времени меняются мгновенно. Банк можно назвать примером дискретной системы,
поскольку переменные состояния, например количество посетителей в банке,
меняются только по прибытии нового посетителя, по окончании обслуживания или
уходе посетителя, раньше находившегося в банке. В непрерывной системе
переменные меняются беспрерывно во времени. Самолет, движущийся в воздухе,
может служить примером непрерывной системы, поскольку переменные состояния
(например, положение и скорость) меняются постоянно по отношению ко времени. На
практике система редко является полностью дискретной или полностью непрерывной.
Но в каждой системе, как правило, превалирует один тип изменений, по нему мы и
определяем ее либо как дискретную, либо как непрерывную.
В определенные моменты функционирования большинства
систем возникает необходимость их исследования с целью получения представления
о внутренних отношениях между их компонентами или вычисления их
производительности в новых условиях эксплуатации. На рисунке 1 изображены
различные способы исследования системы. Рассмотрим их подробнее.
Рисунок 1 - Способы исследования системы
Эксперимент с реальной системой или с моделью
системы? При наличии возможности физически изменить систему (если это
рентабельно) и запустить ее в действие в новых условиях лучше всего поступить
именно так, поскольку в этом случае вопрос об адекватности полученного
результата исчезает сам собой. Однако часто такой подход неосуществим либо
из-за слишком больших затрат на его осуществление, либо в силу разрушительного
воздействия на саму систему. Например, в банке ищут способы снижения расходов,
и с этой целью предлагается уменьшить число кассиров. Если опробовать в
действии новую систему - с меньшим числом кассиров, это может привести к
длительным задержкам в обслуживании посетителей и их отказу от услуг банка.
Более того, система может и не существовать на самом деле, но мы хотим изучить
различные ее конфигурации, чтобы выбрать наиболее эффективный способ
выполнения. Примерами таких систем могут служить сети связи или стратегические системы
ядерных вооружений. Поэтому необходимо создать модель, представляющую систему,
и исследовать ее как заменитель реальной системы. При использовании модели
всегда возникает вопрос - действительно ли она в такой степени точно отражает
саму систему, чтобы можно было принять решение, основываясь на результатах
исследования.
Физическая модель или математическая модель? При
слове «модель» большинство из нас представляет себе кабины, установленные вне
самолетов на тренировочных площадках и применяемые для обучения пилотов, либо
миниатюрные супертанкеры, движущиеся в бассейне. Это все примеры физических
моделей (именуемых также тоническими или образными). Они редко используются при
исследовании операций или анализе систем. Но в некоторых случаях создание физических
моделей может оказаться весьма эффективным при исследовании технических систем
или систем управления. Примерами могут служить масштабные настольные модели
погрузочно-разгрузочных систем и, по крайней мере, один случай создания
полномасштабной физической модели заведения быстрого питания в большом
магазине, в реализации которой были задействованы вполне реальные посетители.
Однако преобладающее большинство создаваемых моделей являются математическими.
Они представляют систему посредством логических и количественных отношений,
которые затем подвергаются обработке и изменениям, чтобы определить, как
система реагирует на изменения, точнее - как бы она реагировала, если бы
существовала на самом деле. Наверное, самым простым примером математической
модели является известное соотношение
(1)
где
- расстояние;
- скорость перемещения;
- время перемещения.
Иногда такая модель может быть и
адекватна (например, в случае с космическим зондом, направленным к другой
планете, по достижении им скорости полета), но в других ситуациях она может не
соответствовать действительности (например, транспортное сообщение в часы пик
на городской перегруженной автостраде).
Аналитическое решение или
имитационное моделирование? Чтобы ответить на вопросы о системе, которую
представляет математическая модель, следует установить, как эту модель можно
построить. Когда модель достаточно проста, можно вычислить ее соотношения и
параметры и получить точное аналитическое решение. Если в примере с формулой
(1) известны расстояние, на которое перемещается объект, и его скорость, то
время, необходимое для перемещения, рассчитывается из соотношения:
(2)
Это простое аналитическое решение, к
которому мы приходим с помощью ручки и бумаги. Однако некоторые аналитические
решения могут быть чрезвычайно сложными и требовать при этом огромных
компьютерных ресурсов.
Обращение большой не разреженной
матрицы является знакомым многим примером ситуации, когда существует в принципе
известная аналитическая формула, но получить в таком случае численный результат
не так просто. Если в случае с математической моделью возможно аналитическое
решение и его вычисление представляется эффективным, лучше исследовать модель
именно таким образом, не прибегая к имитационному моделированию. Однако многие
системы чрезвычайно сложны, они практически полностью исключают возможность
аналитического решения. В этом случае модель следует изучать с помощью
имитационного моделирования, то есть многократного испытания модели с нужными
входными данными, чтобы определить их влияние на выходные критерии оценки
работы системы.
Имитационное моделирование воспринимается
как «метод последней надежды», и в этом есть толика правды. Однако в
большинстве ситуаций мы быстро осознаем необходимость прибегнуть именно к этому
средству, поскольку исследуемые системы и модели достаточно сложны и их нужно
представить доступным способом.
Допустим, у нас есть математическая
модель, которую требуется исследовать с помощью моделирования (далее -
имитационная модель). Прежде всего нам необходимо прийти к выводу о средствах
ее исследования. В этой связи следует классифицировать имитационные модели по
трем аспектам.
Статическая или динамическая?
Статическая имитационная модель - это система в определенный момент времени или
же система, в которой время просто не играет никакой роли. Примерами
статической имитационной модели являются модели, созданные по методу
Монте-Карло.
Динамическая имитационная модель
представляет систему, меняющуюся во времени, например конвейерную систему на
заводе. Построив математическую модель, следует решить, каким образом ее можно
использовать для получения данных о системе, которую она представляет.
Детерминированная или
стохастическая? Если имитационная модель не содержит вероятностных (случайных)
компонентов, она называется детерминированной. Примером такой модели является
сложная (и аналитически сложно вычислимая) система дифференциально-разностных
уравнений, описывающих химическую реакцию. В детерминированной модели результат
можно получить, когда для нее заданы все входные величины и зависимости, даже
если в этом случае потребуется большое количество компьютерного времени. Однако
многие системы моделируются с несколькими случайными входными данными
компонентов, в результате чего создается стохастическая имитационная модель.
Непрерывная или дискретная? Говоря
обобщенно, мы определяем дискретную и непрерывную модели подобно ранее
описанным дискретной и непрерывной системам. Следует заметить, что дискретная
модель не всегда используется для моделирования дискретной системы, и наоборот.
Необходимо ли для конкретной системы использовать дискретную или непрерывную
модель, зависит от задач исследования. Так, модель транспортного потока на
автомагистрали будет дискретной, если вам необходимо учесть характеристики и
движение отдельных машин. Однако, если машины можно рассматривать в
совокупности, транспортный поток может быть описан с помощью дифференциальных
уравнений в непрерывной модели.
Имитационные модели, которые мы
дальше рассмотрим, будут дискретными, динамическими и стохастическими.
В дальнейшем будем именовать их
дискретно-событийными имитационными моделями. (Так как детерминированные модели
представляют собой особый вид стохастических моделей, тот факт, что мы
ограничиваемся только такими моделями, не влечет за собой каких-либо
погрешностей в обобщении).
Дискретно-событийное моделирование
используется для построения модели, отражающей развитие системы во времени,
когда состояния переменных меняются мгновенно в конкретные моменты времени.
(Говоря математическим языком, система может меняться только в исчислимое
количество моментов времени.) В такие моменты времени происходят события, при
этом событие определяется как мгновенное возникновение, которое может изменить
состояние системы. Хотя теоретически дискретно-событийное моделирование можно
осуществлять с помощью вычислений вручную, количество данных, которые должны
сохраняться и обрабатываться при моделировании большинства реальных систем,
диктует необходимость применения вычислительных машин.
Оба типа событий действительно
меняют состояние системы, тогда как в некоторых дискретно-событийных моделях
события применяются для задач, не вызывающих таких изменений. Так, событие
может использоваться, чтобы задать окончание имитационного прогона на
определенное время или вычислить результаты работы системы в определенный момент
времени, при этом оно не будет вызывать действительного изменения состояния
системы. Именно потому в начале раздела сказано, что событие может изменить
состояние системы.
.1 Механизмы продвижения времени
гейзер моделирование
динамический модель
Динамическая природа
дискретно-событийных имитационных моделей требует, чтобы мы следили за текущим
значением имитационного времени по мере функционирования имитационной модели.
Нам необходим также механизм для продвижения имитационного времени от одного
значения к другому. В имитационной модели переменная, обеспечивающая текущее
значение модельного времени, называется часами модельного времени. При создании
модели на таких универсальных языках, как FORTRAN или С, единица времени для
часов модельного времени никогда не устанавливается явно. Подразумевается, что
оно будет указываться в тех же единицах, что и входные параметры. К тому же
модельное время и время, необходимое для прогона имитационной модели на
компьютере, как правило, невозможно соотнести.
Существует два основных подхода к
продвижению модельного времени: продвижение времени от события к событию и
продвижение времени с постоянным шагом. Поскольку первый подход используется
всеми основными имитационными программами и большинством разработчиков,
создающих свои модели на универсальных языках, а также с учетом того, что
второй подход является разновидностью первого, в дискретно-событийных моделях
выберем такой подход, как продвижение времени от события к событию.
При использовании продвижения
времени от события к событию часы модельного времени в исходном состоянии
устанавливаются в 0 и определяется время возникновения будущих событий. После
этого часы модельного времени переходят на время возникновения ближайшего
события, и в этот момент обновляются состояние системы с учетом произошедшего
события, а также сведения о времени возникновения будущих событий. Затем часы
модельного времени продвигаются ко времени возникновения следующего (нового)
ближайшего события, обновляется состояние системы и определяется время будущих
событий, и т. д.
Процесс продвижения модельного
времени от времени возникновения одного события ко времени возникновения
другого продолжается до тех пор, пока не будет выполнено какое-либо условие
останова, указанное заранее. Поскольку в дискретно-событийной имитационной
модели все изменения происходят только во время возникновения событий, периоды
бездействия системы просто пропускаются, и часы переводятся со времени
возникновения одного события на время возникновения другого. Следует отметить,
что длительность интервала продвижения модельного времени от одного события к
другому может быть различной.
3.2 Компоненты дискретно-событийной
имитационной модели и их организация
Хотя моделирование применяется к
самым разнообразным реальным системам, все дискретно-событийные имитационные
модели включают ряд общих компонентов. Логическая организация этих компонентов
позволяет обеспечивать программирование, отладку и последующее изменение
программы имитационной модели. В частности, дискретно-событийная имитационная
модель, которая использует механизм продвижения времени от события к событию и
написана на универсальном языке, содержит следующие компоненты:
)состояние системы - совокупность
переменных состояния, необходимых для описания системы в определенный момент
времени;
)часы модельного времени -
переменная, указывающая текущее значение модельного времени;
)список событий - список, содержащий
время возникновения каждого последующего типа событий;
)статистические счетчики -
переменные, предназначенные для хранения статистической информации о
характеристике системы;
)программа инициализации -
подпрограмма, устанавливающая в исходное состояние имитационную модель в момент
времени, равный 0;
)синхронизирующая программа -
подпрограмма, которая отыскивает следующее событие в списке событий и затем
переводит часы модельного времени на время возникновения этого события;
)программа обработки событий -
подпрограмма, обновляющая состояние системы, когда происходит событие
определенного типа (для каждого типа событий существует отдельная программа
обработки событий);
)библиотечные программы - набор
подпрограмм, применяемых для генерации случайных наблюдений из распределений
вероятностей, которые были определены как часть имитационной модели;
)генератор отчетов - подпрограмма,
которая считывает оценки (со статистических счетчиков) критериев оценки работы
и выдает отчет по окончании моделирования;
)основная программа - подпрограмма,
которая вызывает синхронизирующую программу, для того чтобы определить
следующее событие, а затем передает управление соответствующей событийной
программе с целью обеспечения заданного обновления состояния системы. Основная
программа может также контролировать необходимость прекращения моделирования и
вызывать генератор отчетов по его окончании.
Логические отношения (поток
управления) между данными инициализации, которая устанавливает часы модельного
времени в 0, затем задает исходное состояние системы, устанавливает в исходное
состояние статистические счетчики и инициализирует список событий. После
возвращения управления основной программе она вызывает синхронизирующую
программу, чтобы определить тип ближайшего события. Если следующим должно
произойти событие типа г, часы имитационного времени переводятся на время
возникновения события типа i, и управление возвращается основной программе.
Основная программа активизирует
программу обработки событий i, при этом происходят три типа действий:
первое - обновляется состояние
системы в соответствии с произошедшим событием типа г;
второе - собирается информация о
критериях оценки работы системы путем обновления статистических счетчиков;
третье - генерируется время
возникновения будущих событий, и информация о нем добавляется в список событий.
Часто при определении времени
будущих событий возникает необходимость сгенерировать случайные наблюдения из
распределения вероятностей. Такое наблюдение будем называть случайной
величиной. После полного завершения обработки в программе обработки событий г
или в основной программе выполняется проверка с целью определить (относительно
некоторого условия останова), следует ли прервать моделирование.
И если моделирование должно быть
завершено, из основной программы вызывается генератор отчета, для того чтобы
считать оценки (со статических счетчиков) необходимых критериев работы и
создать отчет. Если время прекращения моделирования еще не настало, управление
снова передается основной программе, и цикл «основная
программа-синхронизирующая программа - основная программа - программа обработки
событий - проверка условия прекращения имитации» повторяется до тех пор, пока
условие останова не будет выполнено.
Прежде чем завершить этот раздел,
следует сказать несколько слов о состоянии системы. Как уже говорилось в
разделе 1, система - это четко определенная совокупность объектов.
Объекты характеризуются с помощью
значений, именуемых атрибутами. В дискретно-событийной имитационной модели эти
атрибуты являются частью состояния системы.
Объекты с каким-либо общим свойством
часто объединяются в списки (в файлы, либо наборы). Для каждого объекта
существует запись в списке, состоящем из атрибутов объектов. Порядок размещения
объектов в списке определяется некоторым правилом.
Рисунок 2 - Поток управления в механизме
продвижения времени от события к событию
Организация и функционирование
дискретно-событийной моделирующей программы, в которой применяется механизм
продвижения времени от события к событию, довольно типичны, если эта программа
написана на универсальном языке (например, FORTRAN или С). Такой подход к
имитационному моделированию называется планированием событий, поскольку время
будущих событий явно указано в модели и запланировано в модельном будущем.
Существует альтернативный подход к имитационному
моделированию, именуемый процессным подходом. При этом моделирование рассматривается
с точки зрения отдельных объектов, участвующих в нем, и разработанный код
описывает «опыт» отдельного «типичного» объекта по мере его «перемещения» по
системе.
Для разработки такого рода имитационных моделей
требуется специальное программное обеспечение имитационного моделирования. Даже
при использовании процессного подхода моделирование фактически выполняется вне
нашего поля зрения - как часть представленной выше логики планирования событий.
4. Усиление и ослабление факторов
сопутствующих активности гейзера
Хотя рассматриваемые системы являются очень
сложными и обладают уникальными структурами для каждого данного гейзера, тем не
менее, можно проследить некоторые общие черты с помощью простых инструментов
нелинейной динамики. Математическое моделирование активности гейзера может
варьироваться от простейшего физического описания, основанного на принципе
Бернулли для идеальной жидкости, через аналитические исследования по теории
нелинейных динамических систем [23], до множественного численного моделирования
многофазных жидкостей и тепла, преимущественно через пористые среды [24].
Экспериментальные исследования ориентированы на наблюдение за природными
гейзерами [3] совместно с лабораторными исследованиями [19].
Многофазные потоки часто используются в области
разработки космических технологий. Для прогнозирования локальной структуры
потока, используется карта структуры потока для отображения перехода границы,
обычно используется график с логарифмической шкалой, с использованием
репрезентативных параметров, описывающих жидкую и газовую фазы [11] - [17].
Рисунки 3 и 4 иллюстрируют широко распространённую картину структуры течения
для вертикального потока, предложенную с начала Файером [11], а затем Хьюитом и
Робертсом [12]. Стрелками показан типичный цикл активности гейзера.
Пусть, например, внутренний диаметр
вертикальной трубы будет
. Тогда
конкретные свойства жидкости - плотность жидкости и пара
,
соответственно,
и вязкость жидкости и пара
,
. Предположим, что качество пара
и пусть
общая скорость потока жидкости и пара равна
. Скорость определяется соотношением
между массовым расходом и внутренней площадью поперечного сечения канала:
. Параметр
по горизонтальной оси по Фейру рассчитывается по формуле:
.
Следовательно, пара значений, 895.2 и 1.07, по Фейру идентифицирует режим
течения для кольцевого потока (отмечено символом ромба на рисунке 3 a). Чтобы
использовать карту для вертикального потока, показанного, например, на рисунке
4, где
обозначает
приведенную скорость газа;
показывает то, что
и
отвечают за
газ и жидкость соответственно. Импульс потока жидкости и газа рассчитываются в
зависимости от местного качества пара. Тогда значения вертикальных и
горизонтальных координат определяются пересечением этих двух значений. Переход
кривых на этой карте отмечается примерно в промежуточных зонах, как между
ламинарным и турбулентным потоками. Наиболее широко используемая модель
структуры потока для предсказания перехода между двухфазными режимами
адиабатического движения в горизонтальной трубе предложена Бейкером [15], [16].
Тогда как Тейтел и Даклер [17], на основе аналитического и эмпирического анализа
механизмов перехода потока, построили единую модель, определяющуюся
безразмерными характеристическими числами, а именно параметром Мартинелли,
газовым числом Фруда, жидкой фазы и паровой фазы чисел Рейнольдса и еще одним
параметром - соотношением между силой тяжести и соответствующим градиентом. Так
же указывается, что вертикальные модели сложнее по сравнению с горизонтальными,
так как их описание в терминах характеристических чисел отсутствует.
Рисунок 3 - а - двухфазная структура потока по
Фейру [11] для вертикальных течений; б - Импульс потока газа против импульса
потока жидкости для вертикального двухфазного прямоточного потока в
вертикальной трубе [12]
Основные закономерности кипящего потока жидкости
в вертикальных каналах могут быть следующими: пузыри появляющиеся на нагретой
поверхности, а затем поднимающиеся в потоке жидкости вверх и превращающиеся в
большие пузыри, приближаясь к собственному диаметру канала. Затем пузыри растут
и создают пробковое течение с высокой концентрации паров жидкости. Эти пузыри
Стокса измельчаются в широких каналах и получается турбулентный смешанный
поток, так как жидкость перемещается туда и обратно в хаотическом колебательном
движении, в то время как пар вырывается вверх. В узких трубах может
образоваться кольцевой поток. Паровые струи движутся в центре каналов
водопроводящей системы под высоким давлением, в то время как жидкость стекает
вниз по стенкам канала в виде жидкой пленки под действием силы тяжести. При
достаточно высокой температуре пара, эта пленка может высохнуть и оставшаяся
жидкость, в виде маленьких капель, будет двигаться вместе с паровой фазой
вверх. В конечном итоге все капли испаряются и газовая фаза перегревается [25],
[26]. Затем в тепловой системе происходит адиабатическое охлаждение и после
процесс может повториться еще раз.
Наступление оттока потока жидкости, показано на
рис. 4, оно сопровождается резким увеличением градиента давления [13], [27] при
фиксированном давлении жидкости и фиксированной скорости потока жидкости. Это
может быть связано с когерентным взаимодействием двигающихся вверх газа и вниз
потока. Этот совместный эффект может вызвать резонансное возбуждение, если
рассматривать пар вместо воздуха.
Рисунок 4 - Безразмерные данные для градиента
давления в полностью развитом воздушно-водяном потоке в вертикальной трубе [13]
Тогда градиент давления вновь будет
увеличивается, когда скорость потока газа будет расти для этого кольцевого
потока. Экспериментальные корреляции обычно оценивается путем объединения
вклада двух механизмов передачи(конвекции и кипения), в том числе так
называемый коэффициент усиления конвективного
кипения, связанные с наличием
пузырьков, а также, подавлением фактора кипения
, так как поток жидкости может
угнетать пузыри пара [27]. Введем определяемый оператор
,
отображением [28]:
(3)
где
,в противном случае
(4)
где
.
Здесь
и
- непрерывные функции, определенные
текущим состоянием динамической системы
, которая расширяется до нового
размера
, в
соответствии с так называемым отображением Пуанкаре
. Переход в
критической точке
описывает
явление шока, связанное с распадом длинных пузырей Тейлора из-за конденсации в
верхней части канала. Расстояние между двумя точками окрестности
и
может быть
определено, в контексте динамики гейзера, как характеристика жизни пузыря в
канале, в то время как переменная
может быть интерпретирована, как
любой измеренный физический параметр, например, в качестве значения
безразмерной энергии. Коэффициент усиления
не превосходит значение
и не
превышает критической точки
. В противном случае, возникает
фактор подавления
. Для
простоты будем считать, что
(5)
(6)
линейные функции. Несмотря на
простоту, изучение этой динамической системы также достаточно труоемко. Хотя,
можно было бы объявить, что параметры
,
и
должны быть неотрицательными
константами, да еще
и,
,если
рассматривать динамику гейзера (рисунок 5). Кусочно-линейное отображение
Пуанкаре характеризуется критической точкой
порога параметрами:
;
;
;
, изображен
на рисунке 5 а, с начальной точки
. Явное отображение которое проявляется
в типичнрм хаотическом поведении показано на рисунке 5 б.
Видно, что аналогичные
кусочно-линейных отображения Пуанкаре могут создать, при малых значениях
параметра
, почти
периодический временной ряд, ряд с данными в реальном времени, представлен в
работе [19]. Подобные структуры, присущи и образованию пузырьков воздуха [29].
Как можно заключить, динамика гейзера крайне чувствительна к малейшим
изменениям в системе параметров и начальных условий. Так что, никакими
факторами нельзя пренебрегать при разработке адекватной математической модели в
идеальном случае факторов.
Рисунок 5 - Конкуренция между
усиление и подавление факторов: а - схема Ламерея; б - символическое
отображение
. Дискретная динамическая модель
гейзера
(7)
где
- начальная точка.
Здесь E и S - непрерывные функции,
определяемые динамической системы
, которая увеличивается до нового
размера 
. Эта система работает только для
поршневого типа потока(содержит большие пузыри пара, диаметр которых близок к
диаметру канала).
Переход в критической точке 
, описывает явление шока, связанное
с распадом длинных пузырей пара в потоке. Коэффициент усиления E не превосходит
значения 
и не превышает критической точки 
. В противном случае наблюдается
фактор подавления S.
Для простоты будем считать, что
и
линейные
функции:
(8)
Несмотря на простоту, изучение этой
системы все равно остается достаточно трудоёмким. Хотя, можно было бы принять,
что параметры
,
и
должны быть
неотрицательными константами, а так же
и
.
Рисунок 6 - Графическое точечное изображение
дискретной системы
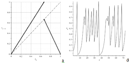
Пример 1:
Пусть в качестве примера
кусочно-линейное отображение Пуакаре характеризуется критической точкой 
и параметрами 
;
;
;
с начальной точкой
.
Тогда получим систему:
(9)
В критической точке:
Рисунок 7 - Активность гейзера во времени для
дискретной системы (9)
Рисунок 8 - Графическое изображение дискретной
модели (9)
Пример 2:
Пусть в качестве примера
кусочно-линейное отображение Пуакаре характеризуется критической точкой 
и параметрами 
;
;
;
с начальной точкой
.
Тогда получим систему:
(10)
В начальной точке:
В критической точке:
Рисунок 9 - Активность гейзера во
времени для дискретной системы (10)
Рисунок 10 - Графическое изображение
дискретной модели (10)
Заключение
В данной работе представлены основы
имитационного моделирования и вывод дискретной динамической системы для одного
из типов потоков гейзера. В ней обсуждается использование моделирования для
решения различных типов задач. В процессе данной работы был рассмотрен лишь
один из методов используемых для нахождения коэффициентов дискретной системы.
Для этого метода приведена информация необходимая для разработки программы.
Список литературы
1. E.T.
Allen and A.L. Day, Hot Springs of the Yellowstone National Park, Publ. 466.
Carnegie Institute of Washington: Washington, D.C., 1935.
2. T.F.
W. Barth, Volcanic Geology: Hot Springs and Geysers of Iceland, Publ. 587.
Carnegie Institute of Washington: Washington, D.C., 1950.
. T.S.
Bryan, The Geysers of Yellowstone, Third Edition. Uni. Press of Colorado, 1995.
. J.S.
Rhinehart, “Fluctuations in geyser activity caused by variations in earth tidal
forces, barometric pressure, and tectonic stresses,” Jour. Geophys. Res., vol.
77, pp. 342-350, 1972.
. J.S.
Rhinehart, “18.6-year tide regulates geyser activity,” Science, vol.177, pp.
346-347, 1972.
. J.S.
Rhinehart, Geysers and Geothermal Energy, Springer-Verlag, 1980.
. D.E.
White, “Some principles of geyser activity mainly from Steamboat Springs,”
Nevada. Amer.
Jour. Sci., vol. 265, pp. 641-684, 1967.
8. D.
Jamet, D. Torres and J. U. Brackbill, “On the theory and computation of surface
tension: The elimination of parasitic currents through energy conservation in
the second-gradient method,” Journal of Computational Physics, vol. 182, pp.
262-276, 2002.
. R.
Nourgaliev, T.N. Dinh, T.G. Theofanous, D. Joseph, “The lattice Boltzmann
equation method: theoretical interpretation, numerics and implications,” Int.
J. Multiphase Flow, vol. 29(1), pp. 117-169, 2003.
. D.
Barnea, “A unified model for predicting flow-pattern transitions for the whole
range of pipe inclinations,” Int. J. Multiphase Flow, vol. 13, pp. 1-12, 1987.
. J.
R. Fair, “What You Need to Design Thermosyphon Reboilers,” Petroleum Refiner,
Vol. 39(2), pp. 105-124, 1960.
. G.F.
Hewitt and D.N. Roberts, Studies of two-phase patterns by simultaneous x-ray
and flash photography, UKAEA Report AERE M2159, 1969.
. D.G.
Owen and G.F. Hewitt, An improved annular two-phase flow model, Proc. Third
International Conference on Multiphase Flow, The Hague, Netherlands, paper C1,
1986
A. W.
Bennett, G.F. Hewitt, H.A. Kearsey, R.K.F. Keeys and P.M.C. Lacey, Flow
visualisation studies of flow boiling at high pressures. Proceedings of the
Institution of Mechanical Engineers, 180, Paper no 5. 1965.
. D.
Barnea, O. Shoham and Y. Taitel, “Flow pattern transition for downward inclined
two-phase flow: Horizontal to vertical,” Chemical Engineering Science, vol. 37,
pp. 735-740, 1982.
15. O.
Baker, “Simultaneous flow of oil and gas,” Oil and Gas Journal, vol. 53, pp
185-195, 1954.
. Y.
Taitel and A.E. Dukler, “A model for predicting flow regime transitions in
horizontal and near-horizontal gas-liquid flow,” American Institute of Chemical
Engineers Journal, vol. 22, pp 47-55, 1976.
. S.
Lasic, “Geyser model with real-time data collection,” European Jour. of
Physics, vol. 27(4), pp. 995-1005, 2006.
. R.
Kaji, B. J. Azzopardi, D. Lucas, “Investigation of flow development of
co-current gas-liquid vertical slug flow,” Int. J. Multiphase Flow, vol. 35(4),
pp. 335-348, 2009.
. U.
Kadri, M.L. Zoeteweij, R.F. Mudde and R.V.A. Oliemans, “A growth model for
dynamic slugs in gas-liquid horizontal pipes,” Int. J. Multiphase Flow, vol.
35(5), pp. 439-449, 2009.
. R.L.
Fogelson and E.P. Likhachev, Temperature dependence of viscosity. Tech.
Physics, vol. 71(8), pp. 128-131, 2001.
. P.S.
Landa and D.A. Vlasov, “Geyser as a self-oscillatory system,” Doklady
Mathematics, vol. 76(1): pp. 623-628, 2007.
. S.E.
Ingebritsen, and S. A. Rojstaczer, “Geyser periodicity and the response of
geysers to deformation,” J. Geophys. Res., vol. 101(B10), 21, pp. 891-921,
1996.
. W.
Owhaib, C. Martín-Callizo and B. Palm,
“Evaporative heat transfer in vertical circular microchannels,” Appl. Thermal
Eng. J., vol. 24, pp. 1241-125, 2004.
24. S.S.
Kutateladze and A. Leontiev, Heat Transfer, Mass Transfer, and Friction in
Turbulent Boundary Layers, Hemisphere Publishing Corp., 1989.
. S.
Jayanti and G. F. Hewitt, “Prediction of the slug-to-churn flow transition in
vertical two-phase flow,” Int. J. Multiphase Flow, vol. 18, pp. 847-860, 1992.
. Ju.
I. Neimark, Mathematical Models in Natural Science and Engineering: An
Example-Based Approach (Foundations of Engineering Mechanics), Springer, 2003.
A. Tufaile
and J. C. Sartorelli, “Hénon-like attractor
in air bubble formation,” Physics Letters A, vol. 275(3), pp. 211-217,
2000.
. T.H.
Brikowski, “Deep fluid circulation and isotopic alteration in the geysers
geothermal system: Prole models,” Geothermics, vol. 30, pp. 333-347, 2001.
28. S.
Hurwitz, A. Kumar, R. Taylor, H. Heasler, “Climate-induced variations of geyser
periodicity in Yellowstone National Park,” Geology, vol. 36(6), pp. 451-454,
2008.
29. Петров
П.К. - Моделирование - М. «Протон» - 2002 г.
. Имитационное
моделирование - под ред. Ткаченоков С.В. - М. 2006 г.
. Моделирование
процессов - Шабов И.К. - 2000 г.