Характеристика субстанций, входящих в лекарственный препарат

  • Вид работы:
    Реферат
  • Предмет:
    Химия
  • Язык:
    Русский
    ,
    Формат файла:
    MS Word
    414,39 Кб
  • Опубликовано:
    2013-08-02
Вы можете узнать стоимость помощи в написании студенческой работы.
Помощь в написании работы, которую точно примут!

Характеристика субстанций, входящих в лекарственный препарат

Содержание

1. Характеристика субстанций, входящих в лекарственный препарат

.1. Характеристика кодеина фосфата

.1.1 Формула

.1.2 Номенклатура

.1.3 Описание

.1.4 Растворимость

.1.5 Физико-химические свойства

.1.6 Подлинность

.1.7 Чистота

.1.8 Количественное определение

.2. Характеристика натрия бромида

.2.1 Формула

.2.2 Номенклатура

.2.3 Описание

.2.4 Растворимость

.2.5 Физико-химические свойства

.2.6 Подлинность

.2.7 Чистота

.2.8 Количественное определение

2. Виды контроля которым подвергается лекарственный препарат в условиях аптеки

3. Анализ лекарственного препарата аптечного изготовления

.1. Описание

.2. Подлинность

.3. Количественное определение

Список используемой литературы

I. Характеристика субстанций, входящих в лекарственный препарат

.1 Характеристика кодеина фосфата (ФС 42-0247-07)

1.1.1 Формула

C18H21NO3 H3PO4 1/2H2O М. м. 406,4 [1]

1.1.2 Номенклатура

Кодеина фосфат

МНН: Codeinе phosphate

Латинское название: Codeini phosphas

Химическое название: (5R,6S)-N-метил-3-метокси-4,5-эпоксиморфин-7-ен-6-ол фосфат (1:1), полугидрат.[1]

1.1.3 Описание

Белый кристаллический порошок, без запаха, горького вкуса. На воздухе выветривается.[1]

Для определения соответствия субстанции разделу «Описание», небольшое количество вещества помещают тонким слоем на чашку Петри и рассматривают на белом фоне. Запах определяют на расстоянии 4-6 см. Отсутствие запаха: 1-2 г вещества равномерно распределяют на часовом стекле диаметром 6-8 см и через 2 мин определяют запах на расстоянии 4-6 см сразу после вскрытия упаковки.

1.1.4 Растворимость [1]

Легко растворим в воде(1 г. вещества в 10 мл воды), мало или очень мало растворим в 96% спирте(0,01г. вещества в 10 мл спирта). Навеску препарата вносят в отмеренное количество растворителя и не прерывно встряхивают в течении 10 мин. Препарат считают растворившимся, если в растворе при наблюдении в проходящем свете не обнаруживаются частицы вещества. кодеин фосфат натрий бромид

1.1.5 Физико-химические свойства

1. Кодеина фосфат является оптически активным веществом за счет наличия в молекуле пяти асимметрических атомов углерода в 5, 6, 9, 13 и 14 положениях , обладает левым вращением. [1]

. Поглощение света в УФ-области спектра - вещество поглощает свет в УФ области спектра за счет наличия в молекуле хромофоров (система сопряжения в ароматическом кольце)[1]

. Поглощение света в ИК-области спектра [1]- вещество поглощает свет в ИК области спектра, что обусловлено наличием функциональных групп

спиртовый гидроксил,

простая эфирная группа,

двойные связи в кольце А и С, каждой связи и функциональной группе на спектре соответствует своя полоса поглощения.

. Проявляет основные свойства за счет наличия неподеленной элекронной пары третичного атома азота. [3]

. Обладает выраженными восстановительными свойствами, что обусловлено принадлежностью кодеина фосфата к частично гидрированой системе фенантрена, а также наличием вторичной спиртовой группы. [10]

. Способны вступать, в реакцию окислительной конденсации, за счет атома водорода в орто-положении по отношению к алкоксигруппе. [10]

1.1.6 Подлиность

1. Инструментальные методы

1.1 Поляриметрия. Ведется определение удельного вращения, по величине отклонения плоскости поляризации от начального положения. Величина должна быть от -98 до -102 º в пересчете на сухое вещество (2 % раствор). [1] [9]

1.2 Спектрофотометрия в УФ области. Снимают ультрафиолетовый спектр поглощения 0,004% раствора субстанции в 1 М растворе натрия гидроксида, в интервале длин волн от 250 до 350 нм должен иметь только один максимум при 284 нм. [1]

1.3 Спектрофотометрия в ИК области. Снимают инфракрасный спектр осадка, который получают действием на раствор субстанции натрия гидроксидом при низкой температуре, снятый в диске с калия бромидом, в области от 4000 до 400 см-1 по положению полос поглощения должен соответствовать спектру стандартного образца кодеина. [1]

. Химические реакции

.1 Реакция конденсации с альдегидами [10]

Реакция основана на способности кодеина фосфата образовывать с реактивом Марки комплексные соединения, окрашенные в сине - фиолетовый цвет, усиливающийся при стоянии

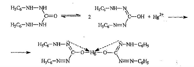
.2 Реакция комплексообразования с ионами железа (III)

Реакция основана на кислотных свойствах продукта гидролиза (морфина). Образуются комплексные соединения окрашенные в синий цвет, переходящий в красный при добавлении 1 капли азотной кислоты. [1] [4]

.3 Реакция осаждения основания. [9]

Реакция основана на способности едкой щелочи вытеснять слабое органическое основание из его соли. Выпадает белый кристаллический осадок, у которого определяют температуру плавления (154 - 1570) .

.4 Реакция на фосфат ион. [5]

Реакция основана на способности вещества осаждаться серебра нитратом. Образуется желтый осадок, растворимый в разведенной азотной кислоте и растворе аммиака.

Н3РО4 + 3AgNO3 → AgPO4↓ + 3HNO3

.5 Реакция с раствором молибдата аммония на фосфат ион. [4]

Реакция основана на способности вещества осаждаться молибдатом аммония. Выпадает желтый кристалический осадок.

H3PO4 + 12(NH4)2MoO4 + 21HNO3 → (NH4)3PO4 • 12MoO3↓ + 21NH4NO3 + 12H2O

Реакция основана на способности вещества образовывать с магнезиальной смесью белый осадок растворимый в разведенных минеральных кислотах и уксусной кислоте.

Н3PO4 + MgSO4 + 3NH4OH + NH4CI → MgNH4PO4↓ + (NH4)2SO4 + 3H2O

2.7 Реакция с реактивом Драгендорфа.[3]

Реакция основана на основных свойствах третичного атома азота в составе кодеина фосфата. Образуются соединения кармино-красного цвета.

.8. Реакция с реактивом Эрдмана. [10]

Реакция основана на способности кодеина фосфата окисляться под действием концентрированных серой и азотной кислот. Образуется осадок интенсивного краснного цвета.

1.1.7 Чистота [1]

Цветность раствора. Раствор 0,2г препарата в 4мл свежепрокипяченной и охлажденной воды должен быть бесцветным. Это требование предъявляется т. к. вещество способно окисляться, и тем самым изменить свою окраску (желтоватый).

Определение цветности раствора проводиться путем сравнения раствора кодеина фосфата с водой. Сравнение проводят визуально в пробирках одинакового стекла и диаметра при дневном отраженном свете, через весь слой жидкости на матово-белом фоне. Бесцветной считается жидкость, только тогда когда по цвету не отличаются от воды.

Щелочность или кислотность . 2мл полученного раствора при добавлении 1 капли раствора метилового красного должны окрашиваться в красный цвет, а при добавлении 1 капли раствора бром фенолового синего должна появляться синяя окраска.

Морфин. 0,1 г препарата растворяют в 5 мл 1% раствора соляной кислоты, прибавляют 2 мл 1% раствора нитрита натрия и через 15 минут 2 мл раствора аммиака. Появившееся окрашивание не должно быть интенсивнее окраски 5 мл 0,0023% раствора безводногоморфина гидрохлорида в 1% растворе соляной кислоты, к которой прибавлены теже реактивы.

Потеря в массе при высушивании. Около 0,5 г (точная навеска) субстанции сушат при температуре от 100 до 105 ºС до постоянной массы. Потеря в массе должна быть от 1,5 до 3,0 %.

Сульфаты. Раствор 0,1 г субстанции в 10 мл воды должен выдерживать испытание на сульфаты (не более 0,1 % в субстанции).

SO42- + BaCl2 ¾¾® BaSO4 ¯ + 2Cl- Образуется белый осадок или муть не исчезающая от добавления разведенной хлористоводородной.

Муть появившаяся в иследуемом растворе не должна превышать эталон.

Остаточные органические растворители. В соответствии с требованиями ОФС «Остаточные органические растворители».

Микробиологическая чистота. В соответствии с требованиями ОФС «Микробиологическая чистота».

Хлориды. 10 мл раствора должны выдержать испытание на хлориды (не более 0,01% в препарате). Опалесценция появившаяся в растворе не должна превышать эталон.

Cl- + AgNO3 ¾¾® AgCl ¯ + NO3-

Постороние примеси. Определение проводят методом ВЭЖХ.

ПФ - ацетонитрил с добавлением натрия октансульфоната и уксусной кислоты ледяной. НПФ - октадецилсилил силикагелем (С18)

Используют растворы сравнения стандартного образца примеси кодеина (7,8- дидегидро-4,5α-эпокси-3,6α-диметокси-17-метилморфинан) А, Б, В различной концентрации.

Хроматографические условия: используется хроматограф с насадочной колонкой, детектором спектрофотометрическим 245 нм; скорость потока 2,0 мл/мин; объем пробы 10 мкл.

Хроматографируют испытуемый раствор и растворы сравнения. Площадь пика примеси на хроматограмме испытуемого раствора должна быть не более площади пика на хроматограмме раствора сравнения (не более 1,0 %).

Суммарное содержание примесей, должно быть более 1,0 %.

1.1.8 Количественное определение

Метод кислотно-основного титрования в среде протогенного растворителя. (Прямое титрование) [11]

Метод основан на способности протогенного растворителя усиливать слабые основные свойства третичного атома азота.

Титрант - раствор кислоты хлорной в ледяной уксусной кислоте.

Индикатор - кристаллический фиолетовый. Титрование ведется до голубовато - зеленого окрашивания


CH3COOH + H2PO4- → CH3COO- + H3PO44 + CH3COOH → CH3COOH2+ + ClO4-3N+H + ClO4- → [R3N+H ]ClO4-3COO- + CH3COOH2+ → 2 CH3COOH3COOH

Суммарно: [R3N+H ]H2PO4- + HClO4 → [R3N+H ]ClO4- + H3PO4 экв = 1

Алкалиметрия (Метод вытеснения) [3][5]

Метод основан на способности сильного основания вытеснять слабое органическое основание из его соли.

Титрант - гирооксид натрия.

Индикатор - фенолфталеин. Титрование ведется до розового окрашивания водного слоя.

Условия титрования: присутствие органических растворителей - спирта и хлороформа.

f экв(ЛВ)= ½

Ацидиметрический метод (метод нейтрализации)

Метод основан на сильных основных свойствах кодеина, который образуется под действием гидроксида натрия на кодеина фосфат. [5]

Титрант - соляная кислота

Индикатор - метиловый красный, титрование ведут до розового окрашивания.

Условия: присутствие этанола.

1.2 Характеристика натрия бромида

1.2.1 Формула [2]

NaBr М. м. 102,90

1.2.2 Номенклатура[2]

Натрия бромид

МНН: Sodium bromide

Латинское название: Natrii bromidum

1.2.3 Описание [2]

Белый кристаллический порошок без запаха, соленого вкуса. Гигроскопичен.

1.2.4 Растворимость [2]

Растворим в 1,5 частях воды и в 10 частях спирта.

1.2.5 Физико-химические свойства [10]

Температура плавления       747 °C

Температура кипения  1396 °C

Проявляет хорошо выраженные восстановительные свойства за счет бромид ионна. [11] Е0 Br2/Br- = 1,087

Является сильным электролитом. [11]

1.2.6 Подлинность

На бромид ион.

Реакция осаждения. [11][2]

Реакция основана на способности бромид ионов осаждаться раствором серебра нитрата.

Реакция идет в присутствии азотной кислоты. Образуется желтый творожистый осадок, трудно растворимый в избытке концентрированного раствора аммиака.

+ AgNO3 → AgBr↓ + NaNO3

AgBr + 2NH3 → [Ag(NH3)2] Br

Реакция с хлорамином Б. [8] [2]

Реакция основана на способности бромид иона окисляться под действием хлорамина Б, в присутствии хлороформа. Хлороформный слой окрашивается в желто-бурый цвет.

Соль натрия, внесенная в бесцветное пламя горелки, окрашивает его в желтый цвет. [2]

Реакция с цинк-уранил-ацетатом. [11]

Реакция основана на образовании зеленовато-жёлтого кристаллического осадка ацетата натрий-цинк-уранила.

NaCI + Zn(UO)2(CH3COO)8 + H2O + CH3COOH → NaZn(UO)2(CH3COO)9 * (H2O) * HCI

Реакция с пикриновой кислотой. [10]

Реакция основана на образовании желтых кристаллов игольчатой формы, исходящих из 1 точки. Реакция провидится микрокристаллоскопическим способом.

 

1.2.7 Чистота [2]

Прозрачность и цветность раствора. Раствор препарата (1:10) должен быть прозрачным и безцветным. Прозрачность раствора определяют путем сравнения испытуемой жидкости с водой. Испытания проводят при освещении электрической лампой матового стекла мощностью 40 Вт на черном фоне при вертикальном расположении пробирок бесцветного стекла. Жидкость считают прозрачной, если при ее рассмотрении невооруженным глазом не наблюдается присутствие нерастворенных частиц, кроме единичных волокон.

Определение цветности раствора проводиться путем сравнения раствора натрия бромида с водой. Сравнение проводят визуально в пробирках одинакового стекла и диаметра при дневном отраженном свете, через весь слой жидкости на матово-белом фоне. Бесцветной считается жидкость, только тогда когда по цвету не отличаются от воды.

Щелочность. 1 г препарата растворяют в 10 мл свежепрокипяченной и охлаждённой воды, прибавляют 0,1 мл 0,1 н. раствора соляной кислоты; раствор не должен окрашиваться в розовый цвет ни на холоду, ни при кипячении от прибавления 1 капли раствора фенолфталеина.

Сульфаты. 3 г препарата растворяют в 30 мл воды. 10 мл этого раствора должны выдержать испытания на сульфаты ( не более 0,01 % в препарате).

SO42- + BaCl2 ¾¾® BaSO4 ¯ + 2Cl-

Муть появившаяся в иследуемом растворе не должна превышать эталон.

Йодиды. 5 мл того же раствора, разведенные водой до 10 мл, не должны окрашиваться в синий цвет в течении 10 минут от прибавления 3 капель раствора хлорида окислого железа и нескольких капель раствора крахмала.

Барий, кальций, броматы. К 5 мл того же раствора прибавляют 1 мл концентрированной серной кислоты. Раствор должен быть прозрачным и не должен окрашиваться в желтый цвет в течении 5 минут.

Ва+2 BaSO4¯

Са+2 + H2SO4 ® CaSO4¯

KBrO3 5KBr + 3H2SO4 → 3Br2 + 3K2SO4 + 3H2O (желтое окрашивание)

Тяжелые металлы. 5 мл того же раствора, разведенные водой до 10 мл, должны выдерживать испытание на тяжелые металлы ( не более 0,001 % в препарате).

Pb(CH3COO)2 + Na2S ® ¯ PbS + 2CH3COONa

Окрашивание в растворе натрия бромида, не должно превышать эталон.

Железо. Раствор 3 г препарата в 10 мл воды должен выдерживать испытание на железо (не более 0,001 % в препарате). Окраска появившаяся в исследуемом растворе, не должна превышать этанол.


Потеря в массе при высушивании. Около 1 г (точная навеска) растертого в мелкий порошок препарата сушат при 1200 до постоянной массы. Потеря в массе не должна превышать 1%

Мышьяк. 0,5 г препарата должны выдержать испытание на мышьяк (не более 0,0001% в препарате)

 

Zn + H2SO4 ® ZnSO4 + H2 ­2O3 + 6H2 ® 2AsH3 + 3H2O2O5 + 8H2 ® 2AsH3 + 5H2O3 + HgCl2 ® AsH2(HgCl)+ HCl3 + 2HgCl2 ® AsH(HgCl)2+ 2HCl3 + 3HgCl2 ® As(HgCl)3+ 3HCl3 + As(HgCl)3 ® As2Hg3+ 3HCl

As2Hg3+ 3HgCl2 ® ¯ 2As+ As2Hg3 · Hg2Cl2+ 2Hg2Cl2¯

1.2.8 Количественное определение

Аргентометрический метод

Метод основан на свойстве бромид-иона количественно осаждаться серебра нитратом в виде бромида серебра.

вариант Мора. [11][2][10]

Прямое титрование в нейтральной или слабоосновной среде (в кислой среде не титруют, так как снижается чувствительность индикатора).

Титрант - раствор серебра нитрата - AgNO3.

Индикатор - хромат калия (K2CrO4). Титруют до оранжево-желтого цвета.

NaBr + AgNO3 → AgBr+ NaNO3

В т.э. - K2CrO4 + 2 AgNO3 → Ag2CrO4 + 2 KNO3 fэкв = 1

вариант Фаянса [3][4]

Вариант прямого титрования в среде разбавленой уксусной кислоты (до титрования раствор зеленовато-желтого цвета).

Титрант - раствор серебра нитрата - AgNO3.

Индикатор - бромфеноловый синий. Титруют до фиолетового окрашивания.

HInd + H2O « Ind- + H3O++ AgNO3 ® AgBr¯ + NaNO3- + AgBr¯ + AgNO3 (изб. капля) ® [(AgBr)Ag+]Ind-¯ + NO3- экв = 1

метод Фольгарда. [12]

Титранты - растворы серебра нитрата и аммония тиоцианата (роданида).

Индикатор - железоаммониевые квасцы. Титрование ведут до желто-розового окрашивания

Титрование обратное в среде в среде азотной кислоты для предотвращения гидролиза соли Fe (III) (индикатора).

NaBr + AgNO3 ® AgBr¯ + NaNO33 + NH4CNS ® AgCNS¯ + NH4NO3

В т.э. FeNH4(SO4)2 + 3 NH4CNS ® Fe(CNS)3 + 2 (NH4)2SO4      f экв = 1

Меркуриметрический метод. [4]

Основан на свойстве бромид-иона количественно взаимодействовать с солями ртути (II) с образованием труднодиссоциируемого (малодиссоциируемого) хлорида ртути (II).

Прямое титрование. Титрант - нитрат ртути (II) - Hg(NO3)2.

2 NaBr + Hg(NO3)2 → HgBr2 + 2Na(NO3)2

Определение проводят в азотно-кислой среде. В качестве индикатора используют спиртовый раствор дифенилкарбазона. Титруют до перехода окраски из желтой в светло-сиреневую. fэкв = 1



2. Виды контроля, которым подвергается лекарственный препарат в условиях аптеки [7]

Согласно приказу МЗ и СР РФ №214 от 16 июля 1997 г. «О Контроле качества лекарственных средств, изготовляемых в аптечных организациях (аптеках)», общие положения, пункт 1.4. - Все лекарственные средства, изготовленные в аптеках по индивидуальным рецептам или требованиям лечебных организаций, в виде внутриаптечной заготовки, фасовки, а также концентраты и полуфабрикаты подвергаются внутриаптечному контролю: письменному, органолептическому и контролю при отпуске - обязательно; опросному и физическому - выборочно; химическому - в соответствии с требованиями главы VIII настоящей Инструкции.

Данный лекарственный препарат обязательно подвергается следующим видам контроля:

.        Органолептический контроль.

Заключается в проверке лекарственной формы по показателям: "Описание" (внешний вид, цвет, запах), отсутствие видимых механических включений.

Данная лекарственная форма это бесцветная прозрачная жидкость, без запаха, без механических включений.

.        Письменный контроль.

Заполняется паспорт письменного контроля, в котором должны быть указаны: дата изготовления, номер рецепта, наименование взятых лекарственных веществ:

При изготовлении взяли - воды 200 мл в ней растворили кодеина фосфата 0,15 и натрия бромида 4,0 Далее ставятся подписи изготовившего, расфасовавшего и проверившего лекарственную форму. Все расчеты производятся до изготовления лекарственной формы и записываются на обратной стороне паспорта. Паспорт заполняется немедленно после изготовления лекарственной формы, по памяти, на латинском языке, в соответствии с последовательностью технологических операций.

.        Контроль при отпуске.

При данном виде контроля проверяется соответствие:

упаковки лекарственных средств физико-химическим свойствам входящих в них лекарственных веществ, а именно хорошо укупоренная склянка, оранжевого стекла, должна храниться в сухом, защищенном от света месте.

указанной в рецепте высшая суточная и высшая разовая дозы наркотического лекарственного вещества (кодеина фосфата) ВРД = 0,05; ВСД = 0,2

номера на рецепте и номера на этикетке; фамилии больного на квитанции, фамилии на этикетке и рецепте;

оформления лекарственного препарата действующим требованиям: Этикетка «Внутреннее», дополнительно «Беречь от детей», «Хранить в сухом, защищенном от света месте», «Перед употреблением взбалтывать».

.        Физический контроль.

Заключается в проверке общего объема лекарственной формы. Допустимые нормы отклонений в общем объёме данного препарата согласно приказу МЗ и СР РФ №305 от 16 октября 1997 г. «О нормах допустимых отклонений при изготовлении лекарственных средств и фасовке промышленной продукции в аптеках» Инструкции по оценке качества лекарственных средств, изготовляемых в аптеке, приложению №2, пункту 2.5 составляют ± 2% от прописанного общего объема лекарственного препарата [6].

Предел отклонений в общем объеме для данного препарата будет [от 196 до 204]

.        Опросный контроль.

Фармацевт называет все взятые лекарственные вещества и их количества для изготовления лекарственного препарата.

.        Химический контроль.

Химический контроль заключается в оценке качества изготовления лекарственного средства по показателям: Подлинность, качественный анализ лекарственных веществ, входящих в его состав.

Согласно приказу №214, главы VIII, пункту 8.3.1. препарат подвергается качественному анализу выборочно. Это значит , что лекарственные формы, проверяются в количестве не менее трех лекарственных форм при работе в одну смену.

3. Анализ лекарственного препарата аптечного изготовления

Состав прописи: Кодеина фосфата 0,15

Натрия бромида 4,0

Воды 200 мл

3.1 Описание

Бесцветная прозрачная жидкость, без запаха, без механических включений.

3.2 Подлинность. [4]

На кодеина фосфат

Реакция на фосфат ион

(Обоснование и уравнение реакции см. I. 1.6.2.5)

Методика. Помещают 0,5 мл раствора в фарфоровую чашку, прибавляют по 3-5 капель раствора аммония молибдата и бензидина, 0,3-0,5 г натрия ацетата, появляется зеленовато-синее окрашивание.

Идентификация ведется в присутствии бензидина, при взаимодействии молибдата аммония с фосфорной кислотой образуется фосфоромолибдат аммония, который окисляет бензидин. Образуется «бензидиновая синь»

Реакция с реактивом Марки.

(Обоснование и уравнение реакции см. I. 1.6.2.1)

Методика. К 1 мл раствора прибавляют 1-2 капли раствора натрия гидроксида, 2-3 мл эфира и взбалтывают 1 минуту. Эфирный слой отгоняют. К остатку добавляют 1-2 капли раствора формальдегида в концентрированной серной кислоте. Появляется сине-фиолетовое окрашивание.

Реакция комплексообразования с ионами железа (III)

(Обоснование и уравнение реакции см. I. 1.6.2.2)

Методика. К 1 мл препарата добавляют 10 капель хлорида железа, и 1 каплю азотной кислоты, раствор окрашивается в синий цвет, переходящий в красный при добавлении 1 капли азотной кислоты.

На натрия бромид.

Реакция с хлорамином Б

(Обоснование и уравнение реакции см. I. 2.6.1.2)

Методика. К 5-6 каплям раствора прибавляют 2-3 капли разведенной соляной кислоты, 3-5 капель раствора хлорамина, 1 мл хлороформа и взбалтывают. Хлороформный слой окрашиваеться в желто-бурый цвет.

Окрашивание пламени

Методика. Часть раствора на графитовой палочке вносят в бесцветное пламя. Пламя окрашивается в желтый цвет.

На ион натрия с пикриновой кислотой.

(Обоснование и уравнение реакции см. I. 2.6.1.2)

Методика. На предметное стекло наносят по одной капле исследуемого раствора и раствора пикриновой кислоты, под микроскопом наблюдают образующиеся желтые игольчатые кристаллы, выходящие из одной точки.

На бромид ион с серебра нитратом.

(Обоснование и уравнение реакции см. I. 2.6.1.1)

Методика. На предметное стекло наносят по 1 капле исследуемого раствора, раствора серебра нитрата и разведенной азотной кислоты. Образуется желтый творожистый осадок, трудно растворимый в избытке концентрированного раствора аммиака.

3.3 Количественное определение

Кодеина фосфата.

Ацидиметрический метод (метод нейтрализации)

(Обоснование и уравнение реакции см. I. 1.8.3)

Методика. Помещают мл раствора в делительную воронку, прибавляют 2-3 капли раствора натрия гидроксида и извлекают хлороформом 3 раза по 10 мл, взбалтывая по 2 минуты. Хлороформные извлечения фильтруют через фильтр, содержащий 1г безводного натрия сульфата, в сухую колбу, фильтр промывают 5 мл хлороформа и хлороформ отгоняют. Остаток растворяют в 1 мл 96% этанола, нейтрализованного по метиловому красному, добавляют 5 мл свежепрокипяченной охлажденной воды и титруют 0,02 моль/л раствором соляной кислоты до разового окрашивания.

мл 0,02 моль/л раствора соляной кислоты соответствует 0,008488 г кодеина фосфата.

Предварительные расчеты:

) Расчет титра:

) Нормы допустимых отклонений:

) Расчет V min и Vmax , который пойдет на титрование взятой навески;

) Расчет содержания лекарственного вещества в граммах:

Алкалиметрия

(Обоснование и уравнение реакции см. I. 1.8.2)

Методика. К 2 мл испытуемого раствора прибавляют 2мл смеси, состоящей из равных объемов спирта и хлороформа, 2-3 капли раствора фенолфталеина и титруют 0,02 н. раствором едкого натра, при взбалтывании, до розового окрашивания.

) Расчет титра:

) Нормы допустимых отклонений:

) Расчет V min и Vmax , который пойдет на титрование взятой навески;

) Расчет содержания лекарственного вещества в граммах:

Натрия бромид

Аргентометрия (вариант Фаянса)

(Обоснование и уравнение реакции см. I. 2.8.1.2)

Методика. К 1 мл раствора прибавляют 2 капли раствора бромфенолового синего, по каплям разведенную уксусную кислоту до зеленовато-желтого окрашивания и титруют 0,1 моль/л раствором серебра нитрата до фиолетового окрашивания.

мл 0,1 моль/л раствора серебра нитрата соответствует 0,01029 г натрия бромида

Предварительные расчеты:

1) Расчет титра:

) Нормы допустимых отклонений:

) Расчет V min и Vmax , который пойдет на титрование взятой навески;

) Расчет содержания лекарственного вещества в граммах:

Аргентометрия (вариант Мора)

(Обоснование и уравнение реакции см I. 2.8.1.1)

Методика. К 1 мл раствора прибавляют 2 мл воды, 1-2 капли раствора хромата калия и титруют 0,1 М. раствором нитрата серебра до оранжево-желтого окрашивания.

Расчеты приведены выше.

(Обоснование и уравнение реакции см. I. 2.8.2)

Методика. К 1 мл препарата добавляют 5 мл кислоты азотной и прибавляют 2 капли спиртового раствора дифенилкарбазона и титруют 0,1 М. хлоридом ртути (II), до перехода окраски из желтой в светло-сиреневую.

Расчеты приведены выше.

Список используемой литературы

1. Государственная фармакопея РФ, XII часть 1, Москва изд- НЦЭСМП, 2008-704с

.     Государственная фармакопея СССР, Х изд.- М.: Медицина, 1968.- 1079с.

.     Методическое пособие «Фармацевтический анализ по функциональным группам и общие титриметрические методы анализа». - г. Пермь, 2011. - 95 с.

.     Анализ лекарственных форм, изготовляемых в аптеках / М.И. Кулешова, Л.Н. Гусева, О.К. Сивицкая. Пособие.- 2-е изд., перераб. и доп.- М.: Медицина, 1989.- 228 с.

.     Методы анализа лекарств / Н.П. Максютина, Ф.Е. Каган, Л.А. Кириченко и др.- К.: Здоров`я, 1984.- 224 с.

.     Приказ МЗ РФ № 305 от 16.10.97. О нормах отклонений, допустимых при изготовлении лекарственных средств и фасовки промышленной продукции в аптеках.

.     Приказ МЗ РФ № 214 от 16.07.97. О контроле качества лекарственных средств, изготовляемых в аптеках.

. Государственная фармакопея СССР: Вып. 1. Общие методы анализа/МЗ СССР, XI изд, доп. -М.: Медицина, 1987.-336с

"Справочник химика" т.2, Л.-М.: Химия, 1964. - 801 с

. Фармацевтическая химия. Учебное пособие для вузов / Арзамасцева А. П. изд-«ГЭОТАР-Медиа»,2008.-635с

. Беликов В.Г. Фармацевтическая химия. Учебное пособие. Изд.2. - М.: МЕДпресс-информ, 2008. - 613 с.

Похожие работы на - Характеристика субстанций, входящих в лекарственный препарат

 

Не нашли материал для своей работы?
Поможем написать уникальную работу
Без плагиата!
Без нейросетей!