Преподаватель: д. х. н., проф. Кустова Т.П.
Развитие промышленности неразрывно связано
с расширением круга используемых химических веществ. Увеличение объемов
применяемых пестицидов, удобрений и других химикатов - характерная черта
современного сельского хозяйства и лесоводства. В этом объективная причина
неуклонного усиления химической опасности для окружающей среды, таящейся в
самой природе человеческой деятельности.
Еще несколько десятков лет назад
химические отходы производства просто сбрасывали в окружающую среду, а
пестициды и удобрения практически бесконтрольно, исходя из утилитарных
соображений, распыляли над огромными территориями. При этом полагали, что
газообразные вещества должны быстро рассеиваться в атмосфере, жидкости частично
растворяться в воде и уноситься из мест выброса. И хотя твердые продукты в значительной
степени накапливались в регионах, потенциальная опасность промышленных выбросов
рассматривалась как низкая. Использование же пестицидов и удобрений давало
экономический эффект, во много раз превосходящий ущерб, наносимый токсикантами
природе.
Однако уже в 1962 году появляется книга
Рашель Карсон Молчаливая весна, в которой автор описывает случаи массовой
гибели птиц и рыб от бесконтрольного использования пестицидов. Карсон сделала
вывод, что выявляемые эффекты поллютантов на дикую природу предвещают надвигающуюся
беду и для человека. Эта книга привлекла всеобщее внимание. Появились общества
защиты окружающей среды, правительственные законодательные акты,
регламентирующие выбросы ксенобиотиков. С этой книги, по сути, началось
развитие науки - экотоксикологии.
Подавляющее большинство веществ
подвергаются в окружающей среде различным превращениям. Знание механизмов
трансформации химикатов в окружающей среде необходимо для оценки их
экотоксикологической роли, включая действие на объекты окружающей среды промежуточных
и конечных продуктов превращений. Стремление лучше понять связи между
свойствами химикатов и их воздействием, как на человека, так и на экосистемы и
привело к возникновению новой междисциплинарной отрасли науки об окружающей
среде - химической экотоксикологии.
В процессе изучения эффектов химических
веществ, присутствующих в окружающей среде, на человека и человеческие
сообщества, токсикология окружающей среды оперирует уже устоявшимися
категориями и понятиями классической токсикологии и применяет, как правило, ее
традиционную экспериментальную, клиническую, эпидемиологическую методологию.
Объектом исследований при этом являются механизмы, динамика развития,
проявления неблагоприятных эффектов действия токсикантов и продуктов их
превращения в окружающей среде на человека.
Методологические различия между
экотоксикологией и токсикологией окружающей среды полностью стираются, когда
перед исследователем ставятся задачи оценить опосредованное действия
загрязнителей на человеческие популяции (например, обусловленное токсической
модификацией биоты), или, напротив, выяснить механизмы действия химикатов,
находящихся в среде, на представителей того или иного отдельного вида живых
существ. Пока существует промышленная деятельность в современном виде, тема трансформации
экополлютантов будет актуальной и важной для изучения.
Ранее я неоднократно задавался вопросом о
дальнейшем превращении чужеродных для биосферы веществ антропогенного
происхождения, но на обывательском уровне. Отсутствие личной заинтересованности
попытаюсь объяснить цитатой Джона Карлина - "С планетой будет все в
порядке, Земля разберётся - людям конец." Пусть это будет подобием
эпиграфа к данной работе, напоминающего о том что иногда человечество слишком
много о себе мнит.
Для понимания изменений, которым
подвергаются чужеродные для окружающей среды вещества, необходимо ввести
определённые понятия.
Совокупность чужеродных веществ,
содержащихся в окружающей среде (воде, почве, воздухе и живых организмах) в
форме (агрегатном состоянии), позволяющей им вступать в химические и
физико-химические взаимодействия с биологическими объектами экосистемы
составляют ксенобиотический профиль биогеоценоза.
В современных условиях ксенобиотический
профиль наряду с температурой, освещенностью, влажностью, является одним из
важнейших экологических факторов среды.
Ксенобиотические профили среды,
сформировавшиеся в ходе эволюции, можно назвать естественными ксенобиотическими
профилями. Они различны в разных регионах Земли и биоценозы, также эволюционно
сложившиеся в этих регионах, в той или иной степени адаптированы к
соответствующим естественным ксенобиотическим профилям.
Природные катастрофы, а в последние годы и
хозяйственная деятельность человека, изменили естественный ксенобиотический
профиль многих регионов. Из геологических глубин изымаются и перерабатываются
тонны веществ, не включавшихся ранее в геологические круговороты. Химические
вещества накапливаются в среде в несвойственных ей количествах и изменяют
естественный ксенобиотический профиль. Эти вещества называются экополлютантами
(загрязнителями).
Экополлютант, накопившейся в
ксенобиотичеком профиле в количестве, достаточном для инициации токсического
процесса в биоценозе (на любом уровне организации живой материи), называется экотоксикантом.
Необходимо учитывать, что в реальных
условиях на биоценоз действует весь ксенобиотический профиль среды, влияя на
биологическую активность отдельного поллютанта. Поэтому в разных регионах (разные
ксенобиотические профили, различные биоценозы) количественные параметры
трансформации поллютанта в экотоксикант различны.
Многочисленные абиотические и биотические
процессы в окружающей среде, направлены на элиминацию (удаление)
экополлютантов. Многие ксенобиотики, попав в воздух, почву, воду приносят
минимальный вред экосистемам, поскольку время их воздействия ничтожно мало.
Вещества, оказывающиеся резистентными к процессам разрушения и, вследствие
этого, длительно персистирующие в окружающей среде, как правило, являются
потенциально опасными экотоксикантами. К числу веществ, длительно
персистирующих в окружающей среде, относятся тяжелые металлы, полициклические
полигалогенированные углеводороды (полихлорированные дибензодиоксины и
дибензофураны, полихлорированные бифенилы), некоторые хлорорганические
пестициды (ДДТ, гексахлоран, алдрин).
|
Экополлютант
|
Период полуразрушения
|
Среда пребывания
|
|
ДДТ
|
10 лет
|
Почва
|
|
ТХДТ
|
9 лет
|
Почва
|
|
Атразин
|
25 месяцев
|
Вода (Рн=7.0)
|
|
Фенантрен
|
138 дней
|
Почва
|
|
Карбофуран
|
45 дней
|
Вода (рН=7.0)
|
|
Фосфорилтиохолины
|
21 день
|
Почва (t +15о С)
|
|
Иприт
|
7 дней
|
Почва (t +15о С)
|
|
Зарин
|
4 часа
|
Подавляющее большинство веществ
подвергаются в окружающей среде различным превращениям - трансформации.
Различают два вида трансформации: абиотическую и биотическую.
Количественные характеристики, касающиеся
устойчивости химикатов и образования продуктов их превращений в природных
условиях, получают либо в ходе мониторинга - отслеживания тренда концентраций
отдельных химических соединений путем систематического (через равные промежутки
времени) анализа представительных проб воздуха, воды, почвы, биоты, либо в
результате лабораторного моделирования.
Направления превращений химикатов в
природных средах зависят от нескольких факторов: химического строения их
молекул; среды, в которую они попадают (воздух, вода и т.д.); характера
источников энергии и ее доступности.
Абиотические
процессы
Абиотическая трансформация - процессы,
происходящие в абиотическом компоненте экосистем. Как правило, идут с малой
скоростью. Тяжелые металлы после поступления в окружающую среду подвергаются
различным превращениям с изменением валентности и растворимости.
Самый простой пример подобных процессов:
металлургические предприятия выбрасывают тяжелые металлы преимущественно в
нерастворимой форме, однако в ходе атмосферного переноса происходят постепенное
их выщелачивание из аэрозольных частиц и переход в ионную, водорастворимую
форму.
Это обусловлено присутствием в атмосфере
сильных кислот (НNО3, H2SO4). Об интенсивности выщелачивания говорит тот факт,
что аэрозоль Антарктиды содержит металлы исключительно в водорастворимой форме.
Абиотические превращения можно классифицировать по типам реакций, например
гидролиз, окисление, восстановление и др.
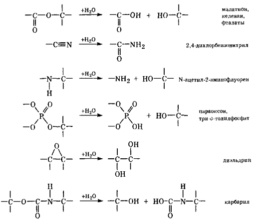
Гидролиз
В ходе гидролиза химиката, имеющего в
составе молекул определенные функциональные группы R-X, происходит
присоединение воды.
Примером таких процессов могут служить
реакции омыления сложных эфиров, замены атомов галогенов на гидроксильную
группу, образование диолов из эпоксидов.
Гидролиз - бимолекулярный процесс,
катализируемый как кислотами, так и основаниями.
Хорошо изученным примером гидролиза может
служить омыление фосфорорганических пестицидов, таких как уже упомянутый выше
бромофос или паратион (тиофос)
Соединения этого класса легче всего
омыляются в щелочной среде. Например, для паратиона при 70°С величина т1/2
(сут) в зависимости от рН изменяется следующим образом:
В этом же направлении действует и
повышение температуры (при рН 1,5):
Отметим, что изменение температуры влияет
на общую скорость процесса не только через увеличение константы скорости
реакции, но и через ионное произведение воды и величины рН буферных систем.
Особенно большое значение это имеет для почв.
Другим примером может служить
гидролитическая замена атома галогена на НО-группу в молекуле хлорорганического
пестицида гептахлора, приводящая к образованию 1-экзо-гидроксихлордена
В данном случае происходит замещение атома
хлора, находящегося в аллильном положении. При этом отщепление облегчается
возможностью стабилизации промежуточно образующегося катиона за счет сопряжения
с двойной связью. Скорость гидролиза также возрастает при увеличении
температуры и рН. Реакция катализируется ионами металлов Men+. Роль
ионов металлов в такого рода реакциях может быть связана с действием
аквакомплексов, выступающих в качестве доноров ионов гидроксила.
Другой механизм включает образование на промежуточной стадии
комплексного металлорганического соединения, что облегчает последующую реакцию
с водой или с гидроксилом
На скорость гидролиза сложных эфиров ароматических кислот сильно
влияют заместители в ароматическом ядре и, следовательно, сила образующейся при
гидролизе кислоты.
Восстановление
Восстановительные процессы в окружающей
среде реализуются обычно только в анаэробном окружении, например в донных
отложениях. В таких условиях в результате жизнедеятельности некоторых групп
микроорганизмов происходят выделение водорода, восстановление железа (Ш) до
формы Fe (II) и некоторые другие процессы. В результате может осуществляться
перенос электронов от восстановленных субстратов (например, в форме
порфириновых комплексов) к молекулам химикатов. В природных условиях отмечен
целый ряд восстановительных процессов, иллюстрируемых приведенными ниже схемами
реакций.
Окисление
Окисление химикатов в газовой и водной
фазах, а также в адсорбированном состоянии происходит главным образом за счет
различных активированных форм кислорода. Такая активация может быть результатом
термических, фотохимических или энзиматических (ферментативных) реакций.
К реакционно-способным частицам относятся
возбужденный молекулярный и атомарный кислород, молекула озона и радикал
гидроксила. Значение последнего особенно велико в атмосферных процессах, тогда как
в водной фазе видную роль играют перекисные радикалы ROO" и синглетный
кислород 1O2.
Фотохимическое окисление происходит в
случае соединений, способных поглощать свет, проникающий в нижнюю атмосферу или
(для водных систем) в поверхностный слой воды. Окисление может протекать по
различным механизмам: без расщепления образующегося под действием света
возбужденного состояния
Продукты
или после диссоциации его на радикалы.
Химическое окисление описывается в общем
виде схемой реакции:
где Ox, может быть
возбужденным молекулярным или атомарным кислородом, молекулой озона или
радикалом.
Скорость прямого фотоокисления
определяется концентрацией реагентов - квантов света и окисляемого соединения.
Химические реакции с участием
возбужденного метастабильного кислорода определяются электронным строением его
молекулы: наличие незаполненной π*-орбитали обусловливает
его электрофильный характер. Поэтому он вступает в реакции с непредельными
соединениями.
А. Присоединение к
электронодефицитным олефинам с атомом водорода в аллильном положении. В общем
виде эта реакция описывается схемой
Конкретным примером может служить
присоединение синглетного кислорода к триметилэтилену
Б. Присоединение к α, β-ненасыщенным соединениям. Такого типа
реакция протекает по согласованному механизму через шестиэлектронное переходное
состояние подобно реакции Дильса-Альдера с образованием перекисных соединений
В случае терпинолена возможно
присоединение двух молекул кислорода
В. Окисление сернистых
соединений (сульфидов и меркаптанов)
Возможный механизм окисления
адсорбированных на поверхности аэрозольных частиц восстановленных соединений
можно представить себе следующим образом: являющиеся постоянными компонентами
как городского, так и фонового аэрозоля ароматические (в том числе полиядерные)
углеводороды при поглощении света переходят в возбужденное состояние и передают
возбуждение (фото) сорбированным молекулам кислорода.
Специальные эксперименты показали также,
что на облучаемых солнечным светом частицах происходит глубокое окисление ПАУ,
дехлорирование и дегидрохлорирование хлорорганических пестицидов и тому
подобные процессы.
Недостаточно изучена и роль синглетного
кислорода в водных экосистемах и атмосфере, малые концентрации не позволили
пока детализировать его роль. В верхних слоях атмосферы при фотодиссоциации
молекул кислорода, а в тропосфере, куда не проникает свет с длиной волны менее
290 нм, при фотодиссоциации диоксида азота образуется атомарный кислород.
Образование его в водной фазе может быть связано как с энзиматическими, так и с
чисто химическими процессами. Последние также связаны с передачей возбуждения
от молекул органических соединений после поглощения ими квантов света.
Атомарный кислород может присоединяться к
двойным связям алкенов, как это показано ниже на примере инсектицида альдрина:
Реакции с
озоном
Взаимодействие озона с алкенами в растворах
было изучено Криги (Criegee); предложенный им механизм включает несколько
стадий. В результате первой из них образуется молозонид (1,2,3-триоксолан)
Последний распадается на карбонильное соединение и карбонилоксид
Нестабильный карбонилоксид вновь реагирует с карбонильным
соединением, давая изоозонид (1,2,4-триоксолан)
В ряде случаев, например при реакции хлорзамещенных алкенов с
озоном, образуются устойчивые изоозониды
Дальнейшие превращения озонидов описываются механизмами,
включающими разрыв связи O-O.
Фотохимические
процессы
Прямые фотохимические реакции протекают
при поглощении молекулами квантов света с энергией, достаточной для возбуждения
электронных переходов. Основное, невозбужденное состояние органической
молекулы, как правило, является синглетным. Электронные состояния
расщепляются на колебательные уровни, а те, в свою очередь, - на вращательные.
Поглощение УФ-кванта приводит обычно к переходу в одно из возбужденных
синглетных состояний. Прямой переход в возбужденное триплетное состояние
наблюдается редко из-за необходимости изменения спина. Возвращение в основное
состояние возможно разными путями, за счет фотоизомеризации, фотоионизации,
переноса энергии на другую молекулу, которая после этого претерпевает
химическое превращение, и фотоминерализации.
Фотоизомеризация. Практически важным с
точки зрения экотоксикологии примером фотоизомеризации служит
внутримолекулярное превращение под действием солнечного света некоторых
циклодиеновых хлорорганических инсектицидов. В результате таких процессов может
происходить 2+2-циклоприсоединение.
трансформация тяжелый металл экополлютант
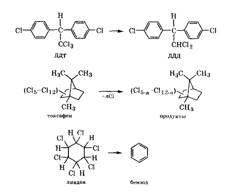
Другим направлением фотоизомеризации
является внутримолекулярное присоединение по двойной связи
Испытания на инсектицидную активность
показали, что продукты фотоизомеризации гораздо более токсичны, чем исходные
хлордены. В частности, фото-γ-хлорден в опытах на мухе
домашней (Musca domestica) оказался в 20 раз токсичнее γ - хлордена.
Дехлорирование входящих в состав
промышленного токсафена компонентов показано на схеме:
Фотоминерализация. Под фотоминерализацией
понимают полное разложение химикатов под действием света на простые
неорганические молекулы (CO2, СО, Н2O, НС1 и т.д.). Такое
полное разрушение происходит, как правило, в случае адсорбированных на
поверхности различных частиц химикатов. Например, многие хлорорганические
пестициды, чрезвычайно устойчивые в водной и газовой средах, будучи
адсорбированными на поверхности силикатных материалов, относительно быстро
минерализуются даже под действием света с длиной волны более 300 нм.
Фотолиз проходит главным образом
в атмосфере, на поверхности почвы и воды. Скорость фотолиза зависит от
интенсивности света и способности вещества его поглощать. Ненасыщенные
ароматические соединения, например полициклические ароматические углеводороды
(ПАУ), наиболее чувствительны к фотолизу, т.к. активно поглощают энергию света.
Одним из примеров фотолиза является
взаимодействие хлора с молекулами озона, следствием которого становится
разрушение озонового слоя. Хлор, попадающий в воздух даже в небольших
количествах, может оказать заметное влияние на концентрацию озона в верхних
слоях атмосферы. Основным источником хлора в атмосфере считаются фреоны -
фтор-и фторхлоруглеводороды, например фреон-12, широко используемые в качестве
холодильных агентов (от лат. фригус-холод). Они используются не только в
холодильных установках, но и в многочисленных бытовых аэрозольных баллонах с
красками, лаками, инсектицидами. Молекулы фреонов отличаются стойкостью и
способны практически без изменений переноситься с атмосферными массами на
огромные расстояния. На высотах 15-25 км (зона максимального содержания озона)
они подвергаются воздействию ультрафиолетовых лучей и распадаются с
образованием атомарного хлора.
Атомарный хлор реагирует с озоном и
трансформирует его в обычный кислород:
О3 + Сl - = С1О
- + О2,
Образовавшийся монооксид хлора
взаимодействует с атомами кислорода и восстанавливает хлор:
Сl - +2О2 - = Сl - + О2.
Высвобождающиеся атомы хлора вновь
реагируют с озоном, вызывая цепную реакцию. Прежде чем хлор окажется связанным
с каким-либо другим элементом, например водородом, может произойти разрушение
многих тысяч молекул озона.
Свет ускоряет и другие процессы деградации
веществ: гидролиз и окисление.
В результате превращения химических
веществ в окружающей среде образуются новые вещества. При этом их токсичность
иногда может быть выше, чем у исходного агента. Например, в результате
фотоокисления паратиона в среде может образовываться параоксон. Токсичность
последнего для млекопитающих в несколько десятков раз выше, чем у исходного
вещества.
Фотохимические превращения в окружающей среде
2,4,5-трихлорфеноксиуксусной кислоты, известного гербицида, может приводить к
образованию опасного экополлютанта ТХДД. Многие пестициды
(диалкилтиокарбаматы, тиокарбамоилдисульфиды, соли феноксиуксусной кислоты)
легко вступают в соединение с нитритами в кислой среде почв. Образующиеся при
этом нитрозосоединения, рассматриваются в настоящее время, как возможные
канцерогены.
Реакции между различными ксенобиотиками
Различные химикаты, поступающие в окружающую среду, могут
реагировать между собой в атмосфере и воде, образуя новые токсиканты. Такие
реакции достаточно редки, т.к. концентрации антропогенных химических веществ
достаточно малы. Однако имеется целый ряд примеров этих процессов.
Фотолитический процесс взаимодействия оксидов азота и озона с
углеводородами, который приводит к образованию пероксиацилнитратов - наиболее
токсичной составляющей фотохимического смога:
Возможны реакции хлора, используемого для дезинфекции воды, с
содержащимися в ней органическими соединениями (фенола, амины, бифенилы,
бензол) с образованием соответствующих хлорпроизводных.
Абиотические процессы трансформации чаще всего сопряжены с
биотическими процессами.
Биотическая
трансформация
Метаболизм органических
токсикантов.
Химические реакции с участием энзимов
протекают с очень небольшими затратами энергии. Они могут приводить как к детоксикации
ксенобиотиков, так и к образованию метаболитов с более высокой токсичностью (в
последнем случае говорят об активации)
В случае органических соединений возможны
три типа превращений под действием энзимов:
полная минерализация до CO2 и Н2O
без образования на промежуточных стадиях персистентных и биологически активных
соединений (при этом происходит увеличение биомассы организмов, участвующих в
минерализации);
разрушение ксенобиотика до
низкомолекулярных соединений, которые затем выделяются в окружающую среду и
включаются в природный круговорот веществ;
химическая трансформация с накоплением
метаболитов в клетках организма.
Примером метаболизма без загрязнения
окружающей среды может служить биотическое разложение фунгицидных
этиленбистиокарбаматов в растительных тканях:
где I - этиленбистиокарбамат; II -
этилентиомочевина; III - этилен - мочевина; IV - этилендиамин; V - щавелевая
кислота; VI - глицин; VII - мочевина.
Живые организмы, за исключением некоторых
видов бактерий, не имеют специфических энзимов для преобразования
ксенобиотиков. Метаболические превращения, протекающие за счет неспецифических
ферментных систем, в общем виде можно представить последовательностью.
Общая тенденция заключается в превращении экзогенного вещества в
более полярное соединение и последующем связывании образовавшегося продукта с
высокополярным фрагментом, облегчающим его выделение. У растений, не имеющих
системы выделения, аналогичной органам выделения животных, обычно происходит
конъюгирование экзогенных веществ (или их метаболитов) с углеводами и
депонирование в местах, не связанных с общим метаболизмом.
Высокая скорость метаболических реакций обусловлена участием в них
биологических катализаторов - ферментов. Скорость энзиматических реакций обычно
в 108 - 1011 раз выше скорости соответствующих
неферментативных процессов.
Роль фермента часто заключается в промежуточном связывании
субстрата на активных центрах и его ориентации в подходящей для реакции
конформации.
Для обозначения фермента к названию катализируемой реакции
прибавляют суффикс - аза:
дегидрогеназа - катализатор отщепления водорода;
монооксидаза
- катализатор внедрения в молекулу субстрата одного атома кислорода;
метилтрансфераза - катализатор переноса метильной группы и т.д.
Окислительные процессы являются самыми распространенными
направлениями трансформации химических соединений в организмах. Часто при этом
происходит детоксикация ксенобиотиков, как это показано на примере окисления
инсектицида изодрина в тканях растений:
Основные типы окислительных процессов обозначаются как
оксигеназные, оксидазные (дегидрогеназные) и пероксидазные в зависимости от
энзимов, которые их осуществляют.
|
Энзимы
|
Процесс
|
|
Оксигеназы
|
|
|
диоксигеназы монооксигеназы
|
Внедрение обоих атомов кислорода молекулы 02
в субстрат Внедрение одного из атомов
|
|
кислорода молекулы
|
|
02 в субстрат; второй
|
|
атом связывается водо
|
|
родом в молекулу Н20
|
|
Дегидрогеназы
|
|
|
аэробные (оксидазы)
|
Перенос атомов водорода на молекулу кислорода
|
|
анаэробные
|
Перенос атома водорода на иной акцептор
|
|
Пероксидазы
|
Восстановление Н2О2
|
Монооксигеназы (микросомальные ферменты
или оксигеназы со смешанными функциями) в наибольших количествах
содержатся в печени и локализуются на клеточных мембранах (на гладком
эндоплазматическом ретикулуме). Действие их заключается в катализе
присоединения атома кислорода к субстрату (вернее - внедрения его по срязи
С-Н); второй атом кислорода молекулы О2 связывается с другим
акцептором, чаще всего с водородом. Донором последнего служит восстановленная
форма НАДФН/Н+ (никотинамидадениндинуклеотидфосфат).
Монооксигеназы образуют часть
окислительно-восстановительных систем, как правило, локализованных в мембранах
митохондрий и на гладком эндоплазматическом ретикулуме. Взаимодействие с
различными ксенобиотиками приводит к гемолитическому разрыву связи С-Н.
Схема энзиматического окисления ароматических углеводородов
Окислительные процессы в тканях растений в
основном катализируются пероксидазами в окруженных мембранами микротелах, в
которых резервные жиры превращаются в углеводы и частично происходит
фотореспирация. При фотореспирации гликолат превращается в глиоксалат, который
затем может быть полностью окислен до СO2. При этом кислород
восстанавливается не до воды, а до Н2О2. Последний затем
расщепляется каталазой.
Функция каталазы заключается не только в
разложении реакдионноспособного пероксида водорода Н2О2,
но и в окислении спиртов, фенолов и других соединений, служащих донорами
электронов:
Пероксидазы почвенных микроорганизмов окисляют
также ароматические амины. Реакция протекает через промежуточное образование
радикалов, которые могут рекомбинировать, что приводит к соединениям со связями
N-N, N-С и С-С. Например, в условиях окружающей среды удалось зарегистрировать
образование азобензолов в почве.
Восстановление
и гидролиз
Восстановительные процессы в организмах
исследованы не так хорошо, как окислительные. Известно, что в анаэробных
условиях в почве происходит разложение циклических и ароматических
углеводородов с промежуточным образованием циклогексанона.
Предполагается, что в тканях растений
нитросоединения восстанавливаются нитро - и азоредуктазами. В тканях животных
происходит также восстановление сульфидов
К реакциям гидролиза в первую очередь
относится протеолитическое расщепление крахмала, белков и нейтральных жиров,
катализируемое ферментами гидролазами (в случае энзимов, расщепляющих сложные
эфиры типа жиров, их называют эстеразами)
Активность эстераз зависит от характера
заместителей в молекуле - расщепляемого сложного эфира: объемные заместители по
соседству со сложноэфирной группировкой стерически затрудняют гидролиз. Поэтому
устойчивые к гидролизу и липофильные соединения типа диэтилгексилфталата
накапливаются в жировых тканях. Напротив, фталаты с неразветвленными
углеродными цепочками омыляются в гидрофильные фталевые кислоты, которые
выводятся из организма с мочой.
Ниже приведены примеры энзиматического
гидролиза некоторых экотоксикантов:
Среди этих соединений много средств
химической защиты растений от насекомых. Это объясняется тем, что в организмах
насекомых, в отличие от организмов млекопитающих, набор эстераз беден. Поэтому
у насекомых не происходит быстрое обезвреживание, например, фосфорорганических
соединений, и они накапливаются до летальных концентраций. Однако у насекомых в
значительно большей степени, в сравнении с млекопитающими, распространено
окислительное активирование.
Вторичные
реакции
Важным направлением биологической
трансформации у позвоночных животных является перевод гидрофобных соединений в
водорастворимые, способные выводиться с мочой.
Это достигается путем конъюгации - связывания
ксенобиотиков и продуктов их трансформации с гидрофильными молекулами, такими
как глюкуроновая кислота, H2S04 и т.п.

Конъюгация спиртов и фенолов с уридинфосфатглюкуроновой кислотой
Глюкуроновая кислота получается при
окислении глюкозы по атому С-6. Предварительной стадией трансформации
гидрофобного ксенобиотика должно быть введение в молекулу полярной группы
(например, НО). На схеме показано образование УДФ-глюкуроновой кислоты
уридинфосфатом (УДФ) и глюкозой. Взаимодействие последней с гидроксилированной
молекулой ксенобиотика (ROH) приводит к образованию конъюгата - глюкуронида.
Биотрансформация
неорганических экотоксикантов
Из всех классов неорганических соединений,
поступающих в биосферу в результате человеческой деятельности, наибольшее
внимание привлекают тяжелые металлы. В их число, согласно решению Целевой
группы по выбросам Европейской экономической комиссии ООН, включены Pb, Cd, Hg,
Ni, Со, Cr, Сu, Zn, а также As, Sb и Se.
Некоторые из перечисленных элементов
необходимы живым организмам, поскольку входят в состав простетических групп
важных биомолекул. Однако потребность в них невелика и поступление избыточных
количеств металлов в организмы приводит к тяжелой интоксикации.
Поэтому многие организмы имеют
естественные механизмы метаболизма и удаления тяжелых металлов, чаще всего в
форме металлорганических соединений.
Неорганические катионы переводятся в такие
соединения различными путями. Один из наиболее изученных механизмов
биометилирования включает перенос метиланиона от модифицированной формы
витамина B12 (метилкобаламина CH2CoB12).
Донором кабаниона СН-3
служат также производные N5-метилтетрагидрофолата и
S-аденозилметионина. По такому механизму происходит биометилирование ртути,
свинца и олова.
Другим направлением биотрансформации ртути
является восстановление катионов Hg2+ или CH3Hg+
с участием НАДФ/Н+. Образовавшаяся металлическая ртуть, обладающая
высокой летучестью, может переходить в газовую фазу. Таким образом, в общем
виде биохимические превращения ртути могут быть представлены в виде следующей
схемы:
Процессы биометилирования наиболее
интенсивно осуществляются микроорганизмами (псевдомоноподобными бактериями),
обитающими в донных отложениях. Поэтому металлорганические соединения прежде
всего и в наибольших количествах поступают в водные экосистемы. Вследствие
довольно высокой химической устойчивости и липофильности органические формы
ртути и некоторых других тяжелых металлов накапливаются в жировых тканях и
передаются по пищевым цепям.
В связи с выше сказанным, не возможно не
упомянуть хрестоматийный случай имевший место в Японии на берегах бухты
Минамато в 50 - 60х годах. Поступавшая в воду залива ртуть со стоками фабрики
по производству азотных соединений, трансформировалась биотой в метилртуть,
которая сконцентрировалась в тканях морских организмов и рыбы, служившей пищей
местного населения. В итоге у людей, потреблявших рыбу, развивалось
неврологическое заболевание, у новорожденных детей отмечались пороки развития.
Всего было зарегистрировано 292 случая болезни Минамато, 62 из них закончились
гибелью людей.
Итоги работы
Тяжелые металлы после поступления в
окружающую среду подвергаются различным превращениям с изменением валентности и
растворимости.
Гидролиз. Включает омыление сложных
эфиров, замену атомов галогенов на гидроксильную группу. Типичен пример
гидролитической замены атома хлора на НО-группу в хлорсодержащих пестицидах.
Скорость их гидролиза сильно зависит от рН почвы и температуры. В частности, в
кислых почвах российского Причерноземья с их низкими температурами
хлорорганические пестициды сохраняются долгие годы.
Восстановление. Восстановительные процессы
в окружающей среде реализуются обычно только в анаэробном окружении, например в
донных отложениях. В результате жизнедеятельности некоторых микроорганизмов
происходят выделение водорода, восстановление Fe (III) до Fe (II) и некоторые
другие процессы.
Окисление. Окисление химикатов в газовой и
водной фазах, а также в адсорбированном состоянии происходит главным образом за
счет различных активированных форм кислорода.
Химические реакции с участием синглетного
(возбужденного) кислорода определяются электронным строением его молекулы:
наличие незаполненной p*-орбитали обусловливает его электрофильный характер,
поэтому синглетный кислород вступает в реакции с непредельными соединениями,
например присоединяется к алкенам с атомом водорода. Атомарный кислород может
присоединяться к двойным связям алкенов. В реакциях с алкенами конкурирует и
другая активная форма кислорода - озон, Реакции алкенов, например хлордена, с
озоном включают несколько стадий. В результате первой из них образуется озонид,
дальнейшее разрушение с разрывом связи О-О приводит к образованию
реакционноспособных радикалов.
Фотохимические процессы. Возвращение из
возбужденного в основное состояние при поглощении молекулами квантов света
возможно несколькими способами, за счет фотоизомеризации, фотоионизации,
переноса энергии на другую молекулу, которая после этого претерпевает
химическое превращение, и фотоминерализации. Последнее представляет собой
полное разложение химикатов на простые неорганические молекулы (СO2,
H2O, НС1). Сравнительно устойчивые в водной и газовой средах
хлорорганические пестициды, адсорбируясь на поверхности силикатных материалов,
быстро минерализуются.
Энзиматические реакции могут приводить как
к детоксикации экотоксикантов (которые при попадании в организм становятся
ксенобиотиками), так и к образованию метаболитов с более высокой токсичностью,
в последнем случае говорят об активации. Возможны три типа превращений под
действием энзимов: полная минерализация; разрушение ксенобиотика до
низкомолекулярных соединений, которые затем выделяются в окружающую среду и
включаются в природный круговорот веществ; химическая трансформация с накоплением
метаболитов в клетках организма.
Живые организмы, за исключением некоторых
видов бактерий, не имеют специфических энзимов для преобразования
ксенобиотиков. Неспецифические энзиматические превращения обычно включают в
себя реакции окисления, восстановления и гидролиза. Окислительные процессы
наиболее распространены.
К реакциям гидролиза в первую очередь
относятся протеолитическое расщепление крахмала, белков и нейтральных жиров,
катализируемое ферментами гидролазами (в случае энзимов, расщепляющих сложные
эфиры типа жиров, их называют эстеразами). Среди средств химической защиты
растений от насекомых много веществ со сложноэфирной группировкой, особенно
среди фосфорорганических соединений. Это объясняется тем, что в организмах
насекомых в отличие от организма млекопитающих набор эстераз беден, поэтому у
насекомых не происходит их быстрого обезвреживания и они накапливаются до
летальных концентраций.
Конъюгация. У растений, не имеющих системы
выделения, аналогичной органам выделения животных, обычно происходит
конъюгирование ксенобиотиков (или их метаболитов) с углеводами и депонирование
в местах, не связанных с общим метаболизмом.
Многие организмы имеют естественные
механизмы метаболизма и удаления тяжелых металлов, чаще всего в форме
металлорганических соединений. Процессы биометилирования наиболее интенсивно
осуществляются микроорганизмами (псевдомоноподобными бактериями), обитающими в
донных отложениях. Поэтому металлорганические соединения прежде всего и в
наибольших количествах поступают в водные экосистемы. Вследствие довольно
высокой химической устойчивости и липофильности органические формы ртути и
некоторых других тяжелых металлов накапливаются в жировых тканях и передаются
по пищевым цепям.
Таким образом, процесс трансформации
веществ в окружающей среде может приводить к образованию более токсичных
веществ, чем исходные, однако, многие вещества все же включаются, после
абиотической трансформации в биологические круговороты и входят в состав живых
организмов.
Вывод
В целом проблема трансформации экополлютантов,
как естественного, так в особенности антропогенного происхождения является
недостаточно изученной, как этого требует современное состояние окружающей
среды. Сложность процессов превращения химических соединений в природе
колоссальна. Поток разнообразных ксенобиотиков, заполняющих природные
экосистемы, количественно и качественно увеличивается с каждым годом, в связи с
экстенсивным развитием промышленности и сельского хозяйства общества
потребления, которое переходит все разумные границы.
Мало того, даже детальное изучение данных
процессов может всего лишь указать на уже непоправимые ошибки человечества.
Ведь многие необдуманные, сделанные, исключительно, с позиции экономической
выгоды антропогенные воздействия практически необратимы, что показал опыт
неограниченного использования пестицидов.
Список
литературы
1. Корте Ф. Экологическая химия. М.: Мир, 1997.
. Секи X. Органические вещества в водных экосистемах. Л:
Гидрометеоиздат, 1986.
. Исидоров В.А. Введение в курс химической экотоксикологии.
СПб.: Изд-во СПб. ун-та, 1997.
. Пурмаль А.П. Антропогенная токсикация планеты //
Соросовский Образовательный Журнал. 1998. № 9. С.39-51.
. Куценко С.А. Основы токсикологии. - СПб, 2002. - 638с.
. Незнамова Е.Г. Экологическая токсикология. - Томск, 2007 -
133с.